MATEMATIKA DASAR
Aswar Amiruddin, ST., MT.
Pertemuan 5
 Teorema Limit
 Limit fungsi trigonometri
Teorema Limit
Catatan.Teorema merupakan suatu pernyataan yang dapat
dibuktikan kebenarannya, dan kemudian dapat digunakan
sebagai “senjata” kita dlm pemecahan masalah terkait.
Teorema Utama Limit
Misalkan k konstanta, n є N, f dan g fungsi yang mempunyai limit
di c
1. lim
x→c
k = k
2. lim
x→c
x = c
3. lim
x→c
kf(x) = k ∗ lim
x→c
f(x)
4. lim
x→c
f(x) ± g(x) = lim
x→c
f(x) ± lim
x→c
g(x)
Misalkan k konstanta, n є N, f dan g fungsi yang mempunyai limit
di c
5. lim
x→c
f x . g(x) = lim
x→c
f(x) . lim
x→c
g(x)
6. lim
x→c
f x
g(x)
=
lim
x→c
f(x)
lim
x→c
g(x)
, syarat lim
x→c
g(x) ≠ 0
7. lim
x→c
(f x )n = (lim
x→c
f(x))n
8. lim
x→c
(f x )
1
𝑛 = (lim
x→c
f(x))
1
𝑛
Teorema Utama Limit
Contoh :
lim
x→1
5 =
lim
x→3
x =
lim
x→2
3(x + 1) =
lim
x→1
7x 2x − 1 =
Contoh :
lim
x→−1
2x + 3
5𝑥 + 2
=
lim
x→2
x2
− 3x + 2
x2 − 4
=
Limit tak hingga
 Tinjau fungsi 𝑓 𝑥 =
1
𝑥
, dengan x ≠ 0.
 Apa yang terjadi jika nilai x dekat dengan 0?
 Berapakah nilai limit 𝑓 di 0, ada aau tidak ada?
 Misalkan 𝑓 terdefinisi di sekitar x = c, dapat kita tuliskan
lim
x→c+
f x = +∞ lim
x→c−
f x = −∞
Dari gambar grafik nampak bahwa jika x mendekati 3 dari
kiri maka f(x) akan mendekati bilangan negatif tak hingga.
Sebaliknya jika x mendekati 3 dari kanan maka f(x) akan
mendekati bilangan positif tak hingga.
Karena
maka nilai dari:
-
=
-
+
-
→ 3
x
9
x
lim
2
3
x
+
=
-
+
+
→ 3
x
9
x
lim
2
3
x
3
x
9
x
lim
3
x
9
x
lim
2
3
x
2
3
x -
+

-
+
+
- →
→
ada
tidak
3
x
9
x
lim
2
3
x -
+
→
Bagi pangkat
tertinggi
....
1
x
x
2
1
x
x
3
lim
x
=






+
-
-

→
)
1
x
)(
1
x
(
)
1
x
(
x
2
)
1
x
(
x
3
lim
x +
-
-
-
+
=

→
1
x
x
2
x
2
x
3
x
3
lim 2
2
2
x -
+
-
+
=

→
1
x
x
5
x
lim 2
2
x -
+
=

→
2
2
2
2
2
2
x
1
x
x
x
x
5
x
x
x
lim
-
+
=

→
1
0
1
0
1
1
1
lim
2
x
1
x
5
x
=
-
+
=
-
+
=

→
1
1
x
x
2
1
x
x
3
lim
x
=






+
-
-


→
Contoh :
Pertemuan 5

Pertemuan 5

  • 1.
  • 2.
    Pertemuan 5  TeoremaLimit  Limit fungsi trigonometri
  • 3.
    Teorema Limit Catatan.Teorema merupakansuatu pernyataan yang dapat dibuktikan kebenarannya, dan kemudian dapat digunakan sebagai “senjata” kita dlm pemecahan masalah terkait.
  • 4.
    Teorema Utama Limit Misalkank konstanta, n є N, f dan g fungsi yang mempunyai limit di c 1. lim x→c k = k 2. lim x→c x = c 3. lim x→c kf(x) = k ∗ lim x→c f(x) 4. lim x→c f(x) ± g(x) = lim x→c f(x) ± lim x→c g(x)
  • 5.
    Misalkan k konstanta,n є N, f dan g fungsi yang mempunyai limit di c 5. lim x→c f x . g(x) = lim x→c f(x) . lim x→c g(x) 6. lim x→c f x g(x) = lim x→c f(x) lim x→c g(x) , syarat lim x→c g(x) ≠ 0 7. lim x→c (f x )n = (lim x→c f(x))n 8. lim x→c (f x ) 1 𝑛 = (lim x→c f(x)) 1 𝑛 Teorema Utama Limit
  • 6.
    Contoh : lim x→1 5 = lim x→3 x= lim x→2 3(x + 1) = lim x→1 7x 2x − 1 =
  • 7.
    Contoh : lim x→−1 2x +3 5𝑥 + 2 = lim x→2 x2 − 3x + 2 x2 − 4 =
  • 10.
    Limit tak hingga Tinjau fungsi 𝑓 𝑥 = 1 𝑥 , dengan x ≠ 0.  Apa yang terjadi jika nilai x dekat dengan 0?  Berapakah nilai limit 𝑓 di 0, ada aau tidak ada?  Misalkan 𝑓 terdefinisi di sekitar x = c, dapat kita tuliskan lim x→c+ f x = +∞ lim x→c− f x = −∞
  • 11.
    Dari gambar grafiknampak bahwa jika x mendekati 3 dari kiri maka f(x) akan mendekati bilangan negatif tak hingga. Sebaliknya jika x mendekati 3 dari kanan maka f(x) akan mendekati bilangan positif tak hingga. Karena maka nilai dari: - = - + - → 3 x 9 x lim 2 3 x + = - + + → 3 x 9 x lim 2 3 x 3 x 9 x lim 3 x 9 x lim 2 3 x 2 3 x - +  - + + - → → ada tidak 3 x 9 x lim 2 3 x - + →
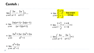
  • 13.
    Bagi pangkat tertinggi .... 1 x x 2 1 x x 3 lim x =       + - -  → ) 1 x )( 1 x ( ) 1 x ( x 2 ) 1 x ( x 3 lim x + - - - + =  → 1 x x 2 x 2 x 3 x 3 lim2 2 2 x - + - + =  → 1 x x 5 x lim 2 2 x - + =  → 2 2 2 2 2 2 x 1 x x x x 5 x x x lim - + =  → 1 0 1 0 1 1 1 lim 2 x 1 x 5 x = - + = - + =  → 1 1 x x 2 1 x x 3 lim x =       + - -  → Contoh :