Embed presentation
Download to read offline







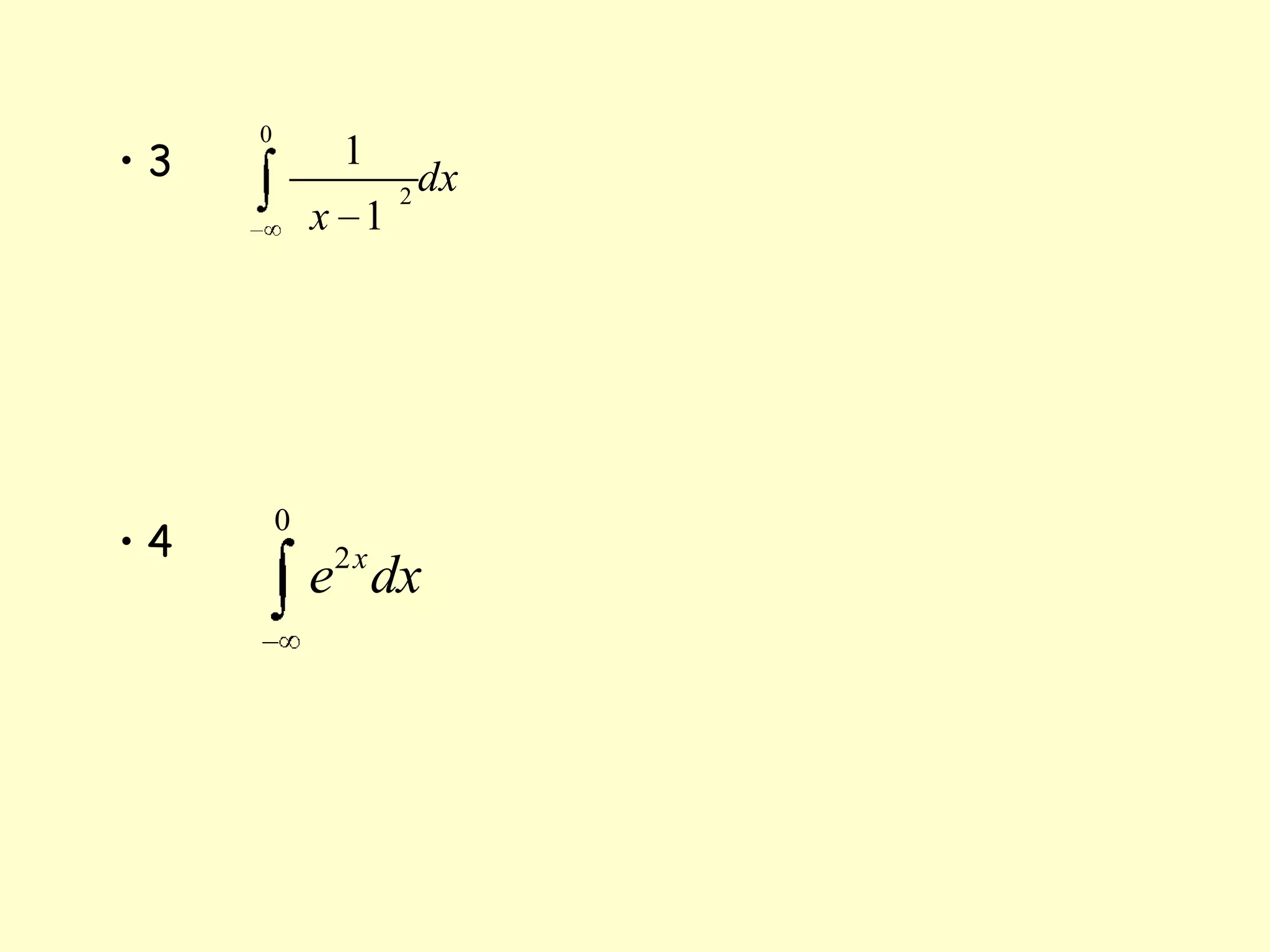
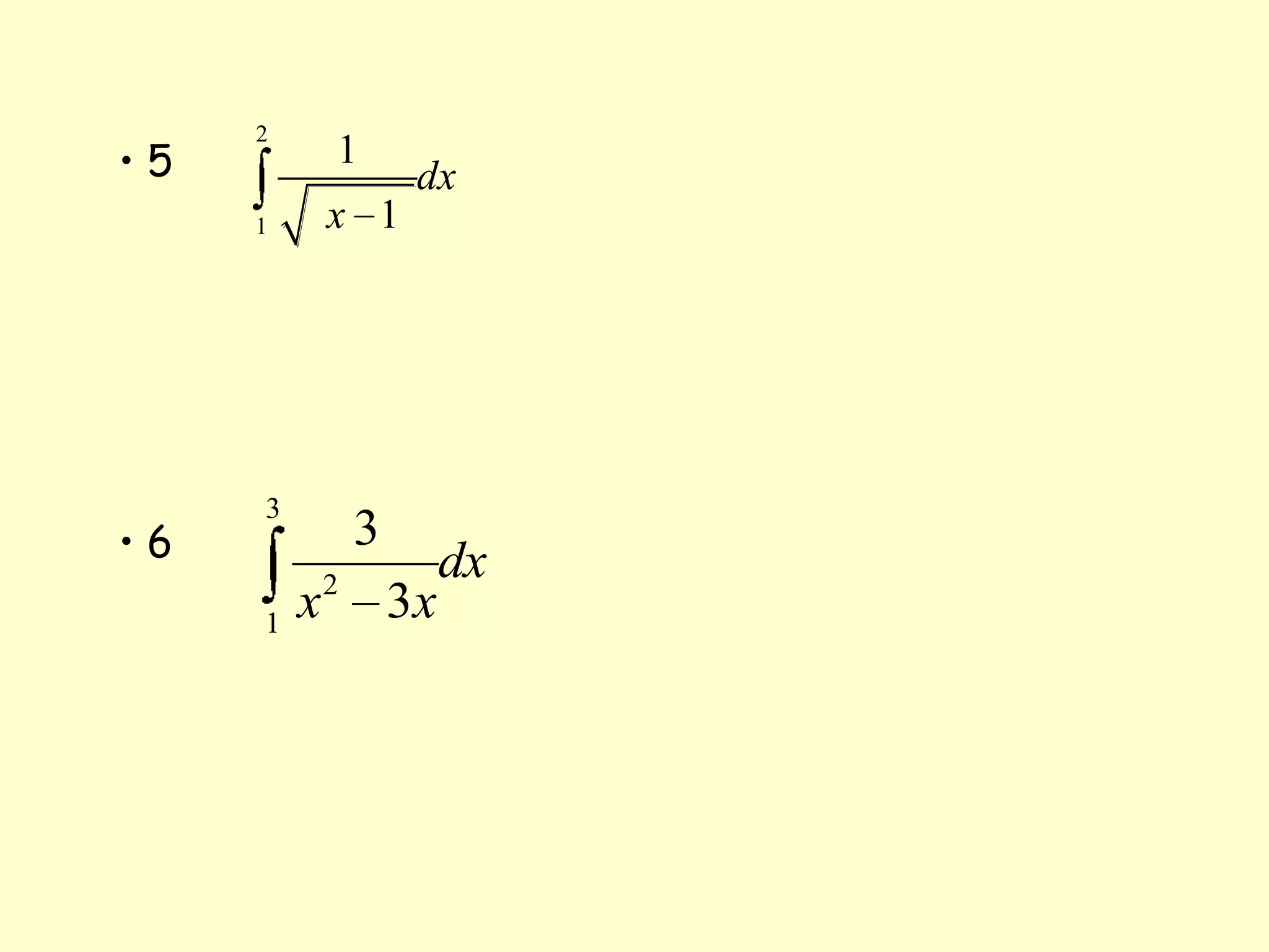
This document discusses improper integrals, which are integrals of functions that are boundless. It provides examples of improper integrals including integrals that approach infinity as the limits of integration are approached and integrals with non-continuous functions. The goal is to be able to integrate functions that are not bounded over their entire domain.






