Shri Shankaracharya Mahavidyalaya
JUNWANI,BHILAI NAGAR (C.G)
TOPIC:-LIMIT AND CONTINUITY
Presented by:
Mrs. Preeti Shrivastava
CONTENT
(1) DEFINATION OF LIMIT.
(2) DEFINACTION OF LEFT HAND
LIMIT.
(3) DEFINACTION OF RIGHT HAND
LIMIT.
(4) EXAMPLE.
(5) CONTINUITY.
(6) SOME EXAMPLES.
LIMITS
DEFINACTION:- Let f(x) be a function
of the variable x, then the value
of f(x) at x=a, i.e. for some value
`a’ of x is denoted by f(a). The
value of f(a) may be of two kinds.
(i) A definite and finite quantity:-
In this case the value of f(x) is said
to be defined at x=a.
(ii) An indefinite and indeterminate
quantity:-
In this case the value of f(x) is said
to be undefined at x=a.
LEFT HAND LIMIT
DEFINITION:- A function f(x) is sadi to
tend to `l’ as a tends to a through the
values less than a (or from left), if for
any given there exists a such
that.
i.e. for every f(x)
0 0
 ,,aax     ll ,
  lxfaxa )(
Symbolicelly, we write:-
Or
Or f(a-0)=
And is called the left hand limit (L.H.L.)
lxf
ax


)(lim0
lxf
ax


)(lim
l
RIGHT HEND LIMIT
DEFINITION:- A function f(x) is said to be tend to
limit l as x tends to a, through the values
greater than a (or form right), if for every
there exist a such that
i.e. for every
Symbolically, we write:-
0
0
  lxfaxa )(
),()(),,(   llxfaax
0)(lim0


xf
ax
Or f(a+0) =
And is called the right hand limit (R.H.L.)
Ex:- If
F(x)= when x<1
when x>1
Find if it exist.
lxf
ax


)(lim
 ,23 x
,34
2
xx 
),(lim1
xf
x
l
SOLUCTION:- consider the L.H.L.
)1()( limlim 01
hfxf
hx


 
 
0
01
0.31
)31(
233
2)1(3
lim
lim
lim
0
0
0









h
h
h
h
h
h
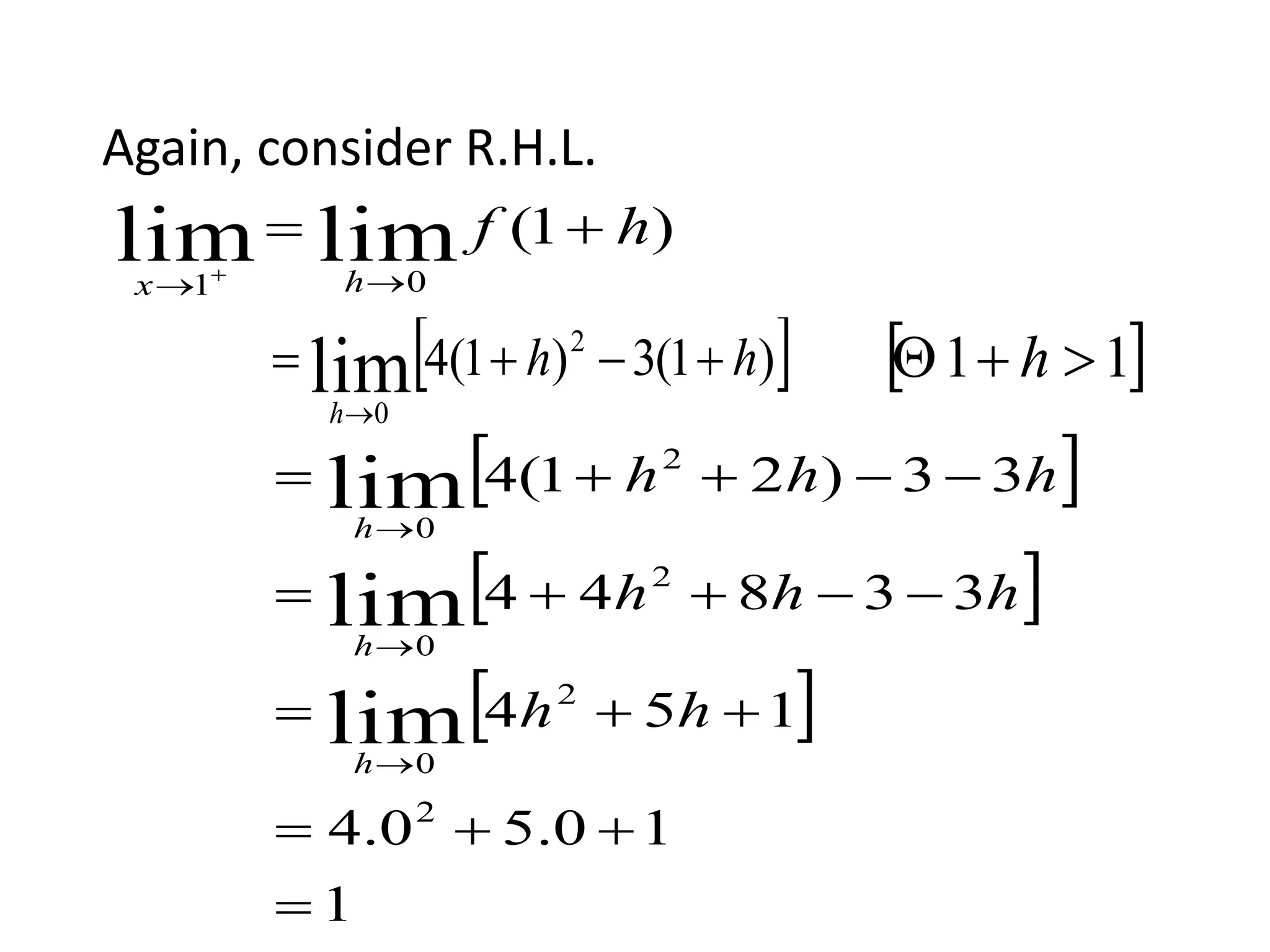
Again, consider R.H.L.
)1(limlim 01
hf
hx

 
 )1(3)1(4 2
0
lim hh
h


 11  h
 
 
 
1
10.50.4
154
33844
33)21(4
2
2
0
2
0
2
0
lim
lim
lim








hh
hhh
hhh
h
h
h
1)()( limlim 11



xfxf
xx
hence
1)(lim1


xf
x
CONTINUITY:-
The intuitive concept of continuity of a
function is derived from its geometrical
construction. If the graph of the function
y=f(x) is curve which does not break at the
point x=a then the function y=f(x) is called
continuous at x=a.
If the graph of the function break at some
point then this point is called the point of
discontinuity.
Ex:- IF
F(x)= x -1
, x=-1
Is f(x) continuous at x=-1?
 ,
1
12


x
x
2

Soluction L:- R.H.L. at x=-1
F(-1+0)
2
20
2
)2(
2
11
)121(
1)1(
1)1(
)1(
lim
lim
lim
lim
lim
lim
0
0
2
0
2
0
2
0



















h
h
h
hh
h
hh
h
h
hf
h
h
h
h
oh
h
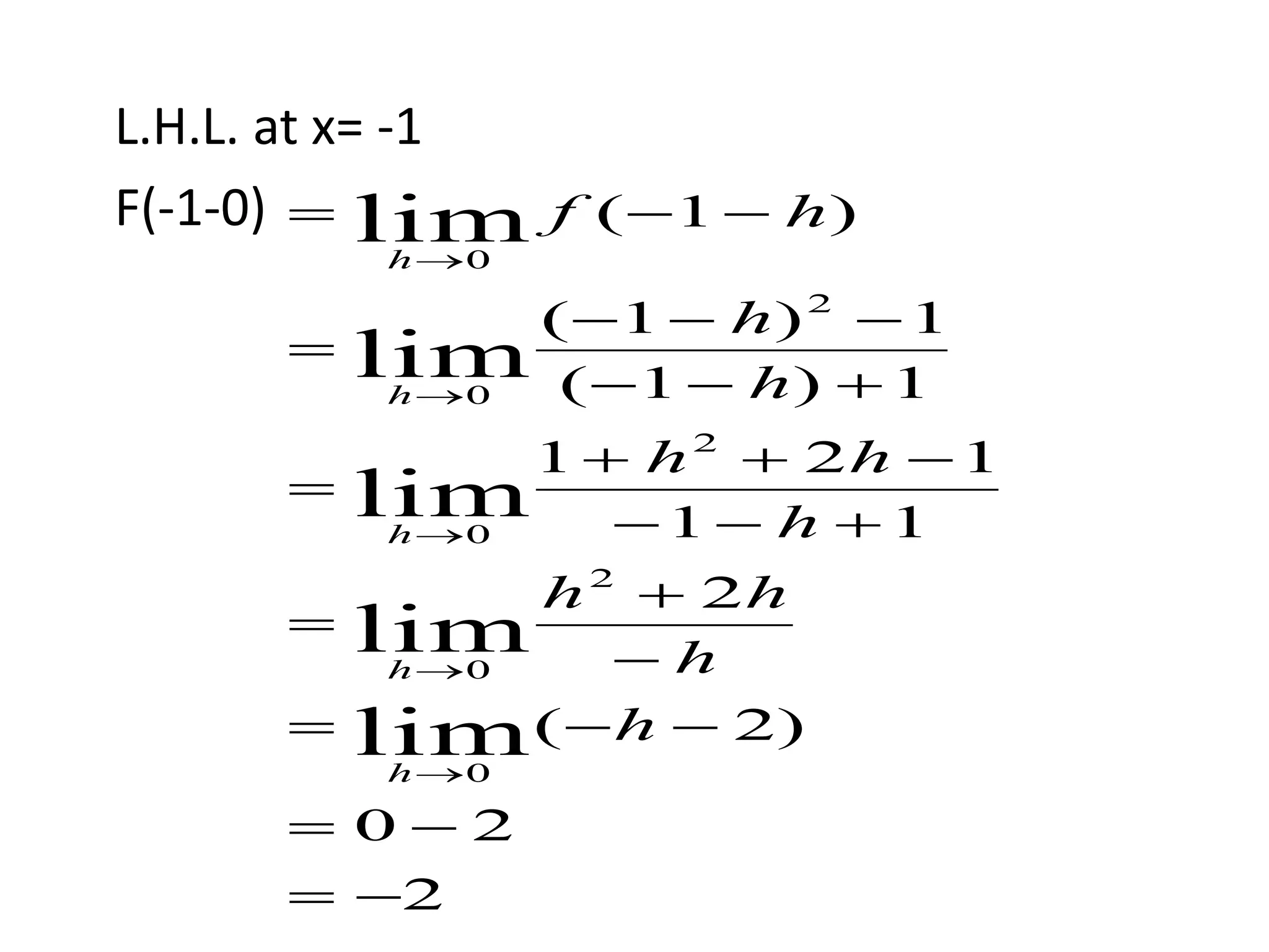
L.H.L. at x= -1
F(-1-0)
2
20
)2(
2
11
121
1)1(
1)1(
)1(
lim
lim
lim
lim
lim
0
2
0
2
0
2
0
0


















h
h
hh
h
hh
h
h
hf
h
h
h
h
h
Again when x=-1, then f(x)= -2
f(x)=2
Since f(-1-0)= f(-1)
Hence the given function is continuous at x= -1

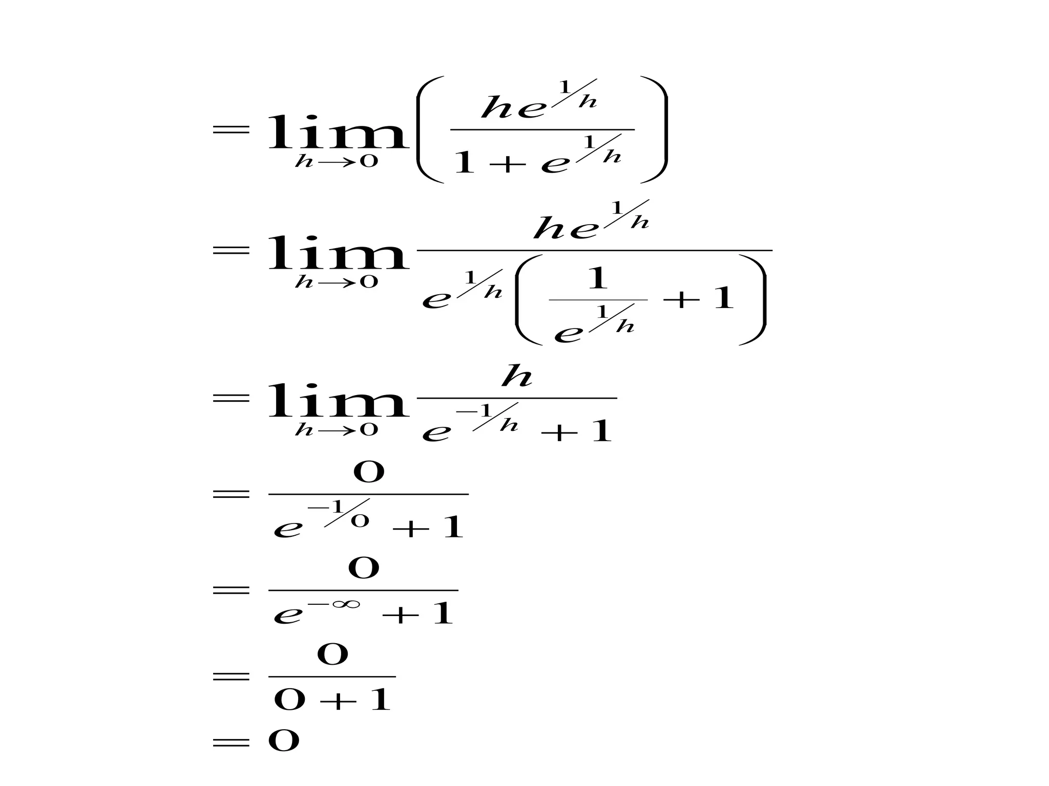
The following function for continuity at the
origin.
f(x)= , if x 0
, if x = 0
SOLUCTION:- Here f(0)=0
R.H.L. f(0+0)


















)(
11
)0(
1)0(
lim
)0(lim
0
0
ho
e
h
eh
hf
h
h
0
1
1
1
x
x
e
xe

0
10
0
1
0
1
0
1
1
1
1
0
1
1
0
1
1
1
0
1
1
0
lim
lim
lim



































e
e
e
h
e
e
he
e
he
hh
h
h
h
h
h
h
h
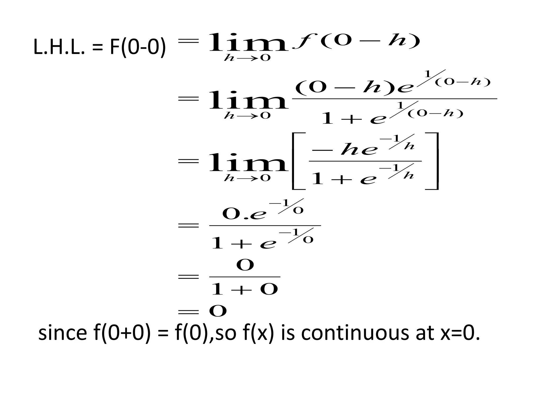
L.H.L. = F(0-0)
since f(0+0) = f(0),so f(x) is continuous at x=0.
0
01
0
1
.0
1
1
)0(
)0(
0
1
0
1
1
1
0
)0(
1
)0(
1
0
0
lim
lim
lim





























e
e
e
he
e
eh
hf
h
h
h
h
h
h
h
THANK YOU

Limit & continuity, B.Sc . 1 calculus , Unit - 1

  • 1.
    Shri Shankaracharya Mahavidyalaya JUNWANI,BHILAINAGAR (C.G) TOPIC:-LIMIT AND CONTINUITY Presented by: Mrs. Preeti Shrivastava
  • 2.
    CONTENT (1) DEFINATION OFLIMIT. (2) DEFINACTION OF LEFT HAND LIMIT. (3) DEFINACTION OF RIGHT HAND LIMIT. (4) EXAMPLE. (5) CONTINUITY. (6) SOME EXAMPLES.
  • 3.
    LIMITS DEFINACTION:- Let f(x)be a function of the variable x, then the value of f(x) at x=a, i.e. for some value `a’ of x is denoted by f(a). The value of f(a) may be of two kinds.
  • 4.
    (i) A definiteand finite quantity:- In this case the value of f(x) is said to be defined at x=a. (ii) An indefinite and indeterminate quantity:- In this case the value of f(x) is said to be undefined at x=a.
  • 5.
    LEFT HAND LIMIT DEFINITION:-A function f(x) is sadi to tend to `l’ as a tends to a through the values less than a (or from left), if for any given there exists a such that. i.e. for every f(x) 0 0  ,,aax     ll ,   lxfaxa )(
  • 6.
    Symbolicelly, we write:- Or Orf(a-0)= And is called the left hand limit (L.H.L.) lxf ax   )(lim0 lxf ax   )(lim l
  • 7.
    RIGHT HEND LIMIT DEFINITION:-A function f(x) is said to be tend to limit l as x tends to a, through the values greater than a (or form right), if for every there exist a such that i.e. for every Symbolically, we write:- 0 0   lxfaxa )( ),()(),,(   llxfaax 0)(lim0   xf ax
  • 8.
    Or f(a+0) = Andis called the right hand limit (R.H.L.) Ex:- If F(x)= when x<1 when x>1 Find if it exist. lxf ax   )(lim  ,23 x ,34 2 xx  ),(lim1 xf x l
  • 9.
    SOLUCTION:- consider theL.H.L. )1()( limlim 01 hfxf hx       0 01 0.31 )31( 233 2)1(3 lim lim lim 0 0 0          h h h h h h
  • 10.
    Again, consider R.H.L. )1(limlim01 hf hx     )1(3)1(4 2 0 lim hh h    11  h       1 10.50.4 154 33844 33)21(4 2 2 0 2 0 2 0 lim lim lim         hh hhh hhh h h h
  • 11.
  • 12.
    CONTINUITY:- The intuitive conceptof continuity of a function is derived from its geometrical construction. If the graph of the function y=f(x) is curve which does not break at the point x=a then the function y=f(x) is called continuous at x=a. If the graph of the function break at some point then this point is called the point of discontinuity.
  • 13.
    Ex:- IF F(x)= x-1 , x=-1 Is f(x) continuous at x=-1?  , 1 12   x x 2 
  • 14.
    Soluction L:- R.H.L.at x=-1 F(-1+0) 2 20 2 )2( 2 11 )121( 1)1( 1)1( )1( lim lim lim lim lim lim 0 0 2 0 2 0 2 0                    h h h hh h hh h h hf h h h h oh h
  • 15.
    L.H.L. at x=-1 F(-1-0) 2 20 )2( 2 11 121 1)1( 1)1( )1( lim lim lim lim lim 0 2 0 2 0 2 0 0                   h h hh h hh h h hf h h h h h
  • 16.
    Again when x=-1,then f(x)= -2 f(x)=2 Since f(-1-0)= f(-1) Hence the given function is continuous at x= -1 
  • 17.
    The following functionfor continuity at the origin. f(x)= , if x 0 , if x = 0 SOLUCTION:- Here f(0)=0 R.H.L. f(0+0)                   )( 11 )0( 1)0( lim )0(lim 0 0 ho e h eh hf h h 0 1 1 1 x x e xe 
  • 18.
  • 19.
    L.H.L. = F(0-0) sincef(0+0) = f(0),so f(x) is continuous at x=0. 0 01 0 1 .0 1 1 )0( )0( 0 1 0 1 1 1 0 )0( 1 )0( 1 0 0 lim lim lim                              e e e he e eh hf h h h h h h h
  • 20.