Sketching Graphs
Sketching Graphs
* Numbers on axes must be evenly spaced
Sketching Graphs
* Numbers on axes must be evenly spaced

* y intercept occurs when x = 0
Sketching Graphs
* Numbers on axes must be evenly spaced

* y intercept occurs when x = 0

* x intercept occurs when y = 0
Sketching Graphs
* Numbers on axes must be evenly spaced

* y intercept occurs when x = 0

* x intercept occurs when y = 0

Once the intercepts have been found, curves are easy to
sketch, if you know the basic shape.
Sketching Graphs
* Numbers on axes must be evenly spaced

* y intercept occurs when x = 0

* x intercept occurs when y = 0

Once the intercepts have been found, curves are easy to
sketch, if you know the basic shape.


If in doubt use a table of values and plot some points
Basic Curves
Basic Curves
(1) Straight Lines
          y          yx



                     x
Basic Curves
(1) Straight Lines
          y          yx

                           y  mx  b
                     x
Basic Curves
(1) Straight Lines
          y          yx
                              power `1
                           y  mx  b
                     x              power `1
Basic Curves
(1) Straight Lines
          y           yx
                                 power `1
                              y  mx  b
                      x                power `1



(2) Parabola
           y         y  x2


                          x
Basic Curves
(1) Straight Lines
          y           yx
                                  power `1
                              y  mx  b
                      x                  power `1



(2) Parabola
           y         y  x2
                              y  ax 2  bx  c

                          x
Basic Curves
(1) Straight Lines
          y           yx
                                  power `1
                              y  mx  b
                      x                  power `1



(2) Parabola
           y         y  x2       power `1
                              y  ax 2  bx  c
                                         power `2
                          x
Basic Curves
(1) Straight Lines
          y           yx
                                             power `1
                                         y  mx  b
                      x                            power `1



(2) Parabola
           y         y  x2                  power `1
                                        y  ax 2  bx  c
                                                   power `2
                          x x intercepts:
                                          solve ax 2  bx  c  0
Basic Curves
(1) Straight Lines
          y           yx
                                             power `1
                                         y  mx  b
                      x                            power `1



(2) Parabola
           y         y  x2                  power `1
                                        y  ax 2  bx  c
                                                   power `2
                          x x intercepts:
                                          solve ax 2  bx  c  0
                                 vertex: halfway between x intercepts
e.g. find the x intercepts and vertex of y  x 2  4 x  3
e.g. find the x intercepts and vertex of y  x 2  4 x  3
      y   x  2  1
                  2


     vertex 2,1
e.g. find the x intercepts and vertex of y  x 2  4 x  3
      y   x  2   1 x intercepts:  x  2 2  1
                   2


     vertex 2,1
e.g. find the x intercepts and vertex of y  x 2  4 x  3
      y   x  2   1 x intercepts:  x  2 2  1
                   2


      vertex 2,1                      x  2  1
                                               x  2 1
                                           x = 1 or x = 3
e.g. find the x intercepts and vertex of y  x 2  4 x  3
      y   x  2   1 x intercepts:  x  2 2  1
                   2


      vertex 2,1                      x  2  1
                                               x  2 1
         y                                 x = 1 or x = 3


             1            3   x
                 2,1
e.g. find the x intercepts and vertex of y  x 2  4 x  3
      y   x  2   1 x intercepts:  x  2 2  1
                   2


      vertex 2,1                      x  2  1
                                               x  2 1
         y                                 x = 1 or x = 3


             1            3   x
                 2,1
(3) Cubic

       y            y  x3


                     x
e.g. find the x intercepts and vertex of y  x 2  4 x  3
      y   x  2   1 x intercepts:  x  2 2  1
                   2


      vertex 2,1                      x  2  1
                                               x  2 1
         y                                 x = 1 or x = 3


             1            3     x
                 2,1
(3) Cubic

       y            y  x3
                              y  ax 3  bx 2  cx  d
                     x
e.g. find the x intercepts and vertex of y  x 2  4 x  3
      y   x  2   1 x intercepts:  x  2 2  1
                   2


      vertex 2,1                      x  2  1
                                               x  2 1
         y                                 x = 1 or x = 3


             1            3     x
                 2,1
(3) Cubic
                    y  x3          power `1
       y
                              y  ax 3  bx 2  cx  d
                     x                   power `3
e.g. find the x intercepts and vertex of y  x 2  4 x  3
      y   x  2   1 x intercepts:  x  2 2  1
                   2


      vertex 2,1                      x  2  1
                                               x  2 1
         y                                 x = 1 or x = 3


             1            3     x
                 2,1
(3) Cubic
                     y  x3         power `1
       y
                              y  ax 3  bx 2  cx  d
                        x                power `3
                 If it can be factorised to y  a x  k 
                                                          3


                 then it will look like the basic cubic.
e.g. find the x intercepts and vertex of y  x 2  4 x  3
      y   x  2   1 x intercepts:  x  2 2  1
                   2


      vertex 2,1                      x  2  1
                                               x  2 1
         y                                 x = 1 or x = 3


             1            3     x
                 2,1
(3) Cubic
                     y  x3         power `1
       y
                              y  ax 3  bx 2  cx  d        Otherwise;
                                                                   y
                        x                power `3
                 If it can be factorised to y  a x  k 
                                                          3

                                                                           x
                 then it will look like the basic cubic.
(4) Higher Powers
                       even
        y
                      y  x4
                        
                    x y  x6
                        
                       etc
(4) Higher Powers
                       even           odd
        y                      y
                      y  x4         y  x5
                                      
                    x y  x6       x y  x7
                                      
                       etc            etc
(4) Higher Powers
                       even                                odd
        y                                 y
                       y  x4                             y  x5
                                                           
                    x y  x6                           x y  x7
                                                          
                       etc                                etc
    As power gets bigger, curve gets; - flatter at base
                                      - steeper at the sides
(4) Higher Powers
                       even                                odd
        y                                 y
                       y  x4                             y  x5
                                                           
                    x y  x6                           x y  x7
                                                          
                       etc                                etc
    As power gets bigger, curve gets; - flatter at base
                                      - steeper at the sides
(5) Hyperbola
           y



                         x
(4) Higher Powers
                       even                                odd
        y                                 y
                       y  x4                             y  x5
                                                           
                    x y  x6                           x y  x7
                                                          
                       etc                                etc
    As power gets bigger, curve gets; - flatter at base
                                      - steeper at the sides
(5) Hyperbola
                               1
           y               y
                               x
                            OR
                       x xy  1
(4) Higher Powers
                       even                              odd
        y                               y
                      y  x4                            y  x5
                                                         
                    x y  x6                         x y  x7
                                                        
                       etc                              etc
    As power gets bigger, curve gets; - flatter at base
                                      - steeper at the sides
(5) Hyperbola
                               1
           y               y
                               x                    1
                                                y
                            OR                      x
                       x xy  1
                                  one power on top of a fraction,
                                  one power on bottom of fraction
(6) Circle
        y
          r
              x2  y2  r 2

   -r          r    x
        -r
(6) Circle
        y
          r
              x2  y2  r 2
                                 x2  y2  r 2
   -r          r    x
                              both power ‘2’
        -r                    coefficients are the same
(6) Circle
        y
          r
              x2  y2  r 2
                                     x2  y2  r 2
   -r          r    x
                                  both power ‘2’
        -r                        coefficients are the same


 (7) Exponential
        y               y  ax
                        a  1
         1
                    x
(6) Circle
        y
          r
              x2  y2  r 2
                                     x2  y2  r 2
   -r          r    x
                                  both power ‘2’
        -r                        coefficients are the same


 (7) Exponential
        y               y  ax
                        a  1
         1                             y  ax

                    x                  pronumeral in the power
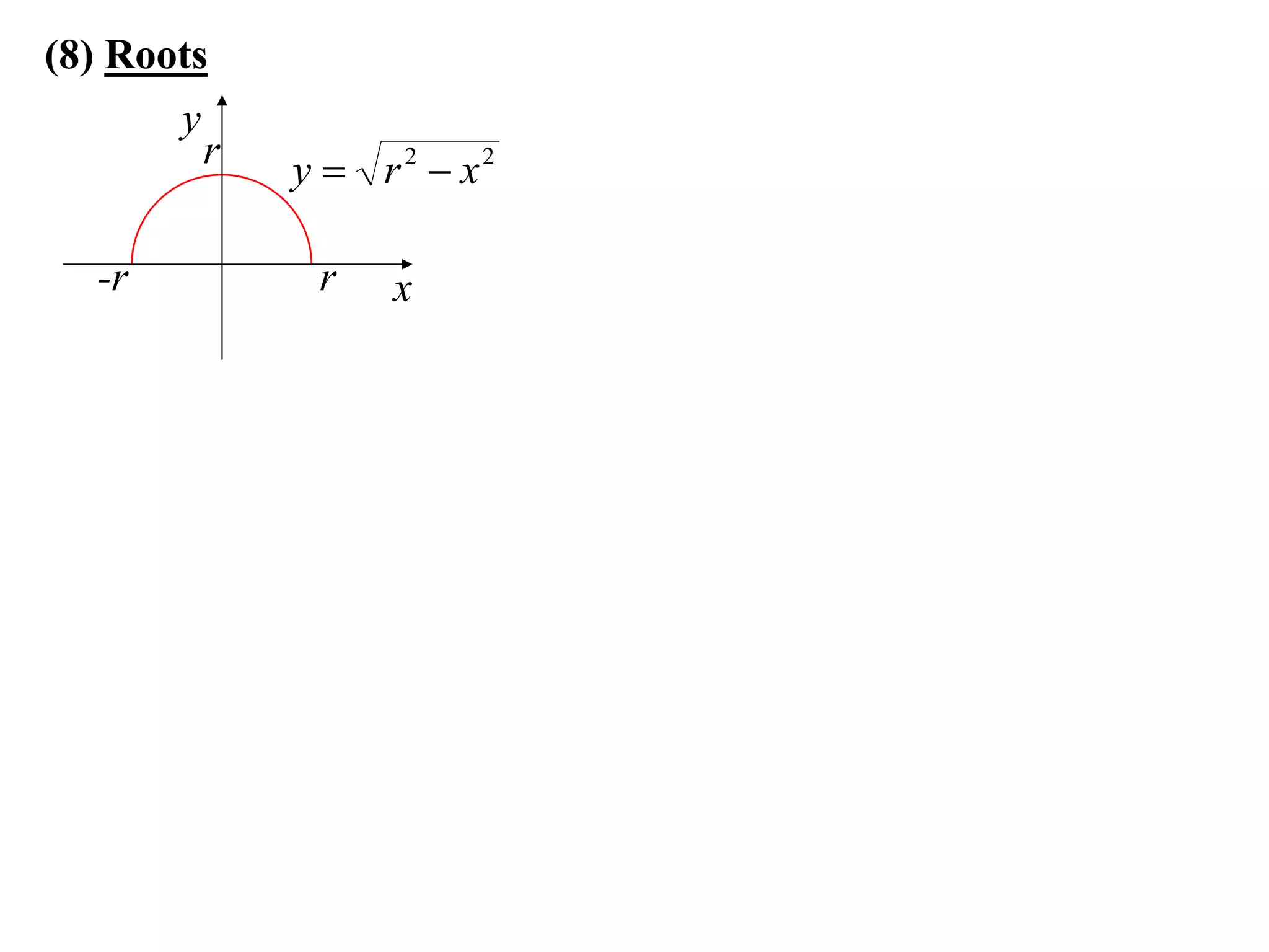
(8) Roots
       y
         r   y  r 2  x2

   -r         r    x
(8) Roots
       y                    y
         r   y  r 2  x2           y x

   -r         r    x            x
(8) Roots
       y                                     y
         r     y  r 2  x2                                    y x

   -r            r   x                                    x

        to tell what the curve looks like, square both sides
(8) Roots
       y                                       y
         r        y  r 2  x2                                   y x

   -r              r    x                                   x

          to tell what the curve looks like, square both sides
        y  r 2  x2
        y2  r 2  x2
        x2  y2  r 2
         circle
(8) Roots
       y                                       y
         r        y  r 2  x2                                   y x

   -r              r    x                                   x

          to tell what the curve looks like, square both sides
        y  r 2  x2                          y x
        y2  r 2  x2                        y2  x
        x2  y2  r 2                         parabola
         circle
(8) Roots
       y                                        y
         r        y  r 2  x2                                   y x

   -r              r    x                                   x

          to tell what the curve looks like, square both sides
        y  r 2  x2                            y x
        y2  r 2  x2                        y2  x
        x2  y2  r 2                         parabola
         circle                                   means top half
                                                   means bottom half
(8) Roots
       y                                        y
         r        y  r 2  x2                                   y x

   -r              r    x                                   x

          to tell what the curve looks like, square both sides
        y  r 2  x2                            y x
        y2  r 2  x2                        y2  x
        x2  y2  r 2                         parabola
         circle                                   means top half

 Exercise 2G; 1adeh, 2adgk, 3bdf,                  means bottom half
 5aeh, 7acegi, 8ad, 9a, 11c, 13acd,
             15bd, 17*

11 X1 T02 07 sketching graphs (2010)

  • 1.
  • 2.
    Sketching Graphs * Numberson axes must be evenly spaced
  • 3.
    Sketching Graphs * Numberson axes must be evenly spaced * y intercept occurs when x = 0
  • 4.
    Sketching Graphs * Numberson axes must be evenly spaced * y intercept occurs when x = 0 * x intercept occurs when y = 0
  • 5.
    Sketching Graphs * Numberson axes must be evenly spaced * y intercept occurs when x = 0 * x intercept occurs when y = 0 Once the intercepts have been found, curves are easy to sketch, if you know the basic shape.
  • 6.
    Sketching Graphs * Numberson axes must be evenly spaced * y intercept occurs when x = 0 * x intercept occurs when y = 0 Once the intercepts have been found, curves are easy to sketch, if you know the basic shape. If in doubt use a table of values and plot some points
  • 7.
  • 8.
  • 9.
    Basic Curves (1) StraightLines y yx y  mx  b x
  • 10.
    Basic Curves (1) StraightLines y yx power `1 y  mx  b x power `1
  • 11.
    Basic Curves (1) StraightLines y yx power `1 y  mx  b x power `1 (2) Parabola y y  x2 x
  • 12.
    Basic Curves (1) StraightLines y yx power `1 y  mx  b x power `1 (2) Parabola y y  x2 y  ax 2  bx  c x
  • 13.
    Basic Curves (1) StraightLines y yx power `1 y  mx  b x power `1 (2) Parabola y y  x2 power `1 y  ax 2  bx  c power `2 x
  • 14.
    Basic Curves (1) StraightLines y yx power `1 y  mx  b x power `1 (2) Parabola y y  x2 power `1 y  ax 2  bx  c power `2 x x intercepts: solve ax 2  bx  c  0
  • 15.
    Basic Curves (1) StraightLines y yx power `1 y  mx  b x power `1 (2) Parabola y y  x2 power `1 y  ax 2  bx  c power `2 x x intercepts: solve ax 2  bx  c  0 vertex: halfway between x intercepts
  • 16.
    e.g. find thex intercepts and vertex of y  x 2  4 x  3
  • 17.
    e.g. find thex intercepts and vertex of y  x 2  4 x  3 y   x  2  1 2  vertex 2,1
  • 18.
    e.g. find thex intercepts and vertex of y  x 2  4 x  3 y   x  2   1 x intercepts:  x  2 2  1 2  vertex 2,1
  • 19.
    e.g. find thex intercepts and vertex of y  x 2  4 x  3 y   x  2   1 x intercepts:  x  2 2  1 2  vertex 2,1 x  2  1 x  2 1 x = 1 or x = 3
  • 20.
    e.g. find thex intercepts and vertex of y  x 2  4 x  3 y   x  2   1 x intercepts:  x  2 2  1 2  vertex 2,1 x  2  1 x  2 1 y x = 1 or x = 3 1 3 x 2,1
  • 21.
    e.g. find thex intercepts and vertex of y  x 2  4 x  3 y   x  2   1 x intercepts:  x  2 2  1 2  vertex 2,1 x  2  1 x  2 1 y x = 1 or x = 3 1 3 x 2,1 (3) Cubic y y  x3 x
  • 22.
    e.g. find thex intercepts and vertex of y  x 2  4 x  3 y   x  2   1 x intercepts:  x  2 2  1 2  vertex 2,1 x  2  1 x  2 1 y x = 1 or x = 3 1 3 x 2,1 (3) Cubic y y  x3 y  ax 3  bx 2  cx  d x
  • 23.
    e.g. find thex intercepts and vertex of y  x 2  4 x  3 y   x  2   1 x intercepts:  x  2 2  1 2  vertex 2,1 x  2  1 x  2 1 y x = 1 or x = 3 1 3 x 2,1 (3) Cubic y  x3 power `1 y y  ax 3  bx 2  cx  d x power `3
  • 24.
    e.g. find thex intercepts and vertex of y  x 2  4 x  3 y   x  2   1 x intercepts:  x  2 2  1 2  vertex 2,1 x  2  1 x  2 1 y x = 1 or x = 3 1 3 x 2,1 (3) Cubic y  x3 power `1 y y  ax 3  bx 2  cx  d x power `3 If it can be factorised to y  a x  k  3 then it will look like the basic cubic.
  • 25.
    e.g. find thex intercepts and vertex of y  x 2  4 x  3 y   x  2   1 x intercepts:  x  2 2  1 2  vertex 2,1 x  2  1 x  2 1 y x = 1 or x = 3 1 3 x 2,1 (3) Cubic y  x3 power `1 y y  ax 3  bx 2  cx  d Otherwise; y x power `3 If it can be factorised to y  a x  k  3 x then it will look like the basic cubic.
  • 26.
    (4) Higher Powers even y y  x4  x y  x6  etc
  • 27.
    (4) Higher Powers even odd y y y  x4 y  x5   x y  x6 x y  x7   etc etc
  • 28.
    (4) Higher Powers even odd y y y  x4 y  x5   x y  x6 x y  x7   etc etc As power gets bigger, curve gets; - flatter at base - steeper at the sides
  • 29.
    (4) Higher Powers even odd y y y  x4 y  x5   x y  x6 x y  x7   etc etc As power gets bigger, curve gets; - flatter at base - steeper at the sides (5) Hyperbola y x
  • 30.
    (4) Higher Powers even odd y y y  x4 y  x5   x y  x6 x y  x7   etc etc As power gets bigger, curve gets; - flatter at base - steeper at the sides (5) Hyperbola 1 y y x OR x xy  1
  • 31.
    (4) Higher Powers even odd y y y  x4 y  x5   x y  x6 x y  x7   etc etc As power gets bigger, curve gets; - flatter at base - steeper at the sides (5) Hyperbola 1 y y x 1 y OR x x xy  1 one power on top of a fraction, one power on bottom of fraction
  • 32.
    (6) Circle y r x2  y2  r 2 -r r x -r
  • 33.
    (6) Circle y r x2  y2  r 2 x2  y2  r 2 -r r x both power ‘2’ -r coefficients are the same
  • 34.
    (6) Circle y r x2  y2  r 2 x2  y2  r 2 -r r x both power ‘2’ -r coefficients are the same (7) Exponential y y  ax a  1 1 x
  • 35.
    (6) Circle y r x2  y2  r 2 x2  y2  r 2 -r r x both power ‘2’ -r coefficients are the same (7) Exponential y y  ax a  1 1 y  ax x pronumeral in the power
  • 36.
    (8) Roots y r y  r 2  x2 -r r x
  • 37.
    (8) Roots y y r y  r 2  x2 y x -r r x x
  • 38.
    (8) Roots y y r y  r 2  x2 y x -r r x x to tell what the curve looks like, square both sides
  • 39.
    (8) Roots y y r y  r 2  x2 y x -r r x x to tell what the curve looks like, square both sides y  r 2  x2 y2  r 2  x2 x2  y2  r 2  circle
  • 40.
    (8) Roots y y r y  r 2  x2 y x -r r x x to tell what the curve looks like, square both sides y  r 2  x2 y x y2  r 2  x2 y2  x x2  y2  r 2  parabola  circle
  • 41.
    (8) Roots y y r y  r 2  x2 y x -r r x x to tell what the curve looks like, square both sides y  r 2  x2 y x y2  r 2  x2 y2  x x2  y2  r 2  parabola  circle  means top half  means bottom half
  • 42.
    (8) Roots y y r y  r 2  x2 y x -r r x x to tell what the curve looks like, square both sides y  r 2  x2 y x y2  r 2  x2 y2  x x2  y2  r 2  parabola  circle  means top half Exercise 2G; 1adeh, 2adgk, 3bdf,  means bottom half 5aeh, 7acegi, 8ad, 9a, 11c, 13acd, 15bd, 17*