Embed presentation
Downloaded 35 times








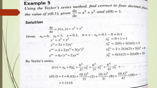
Taylor's theorem states that any function satisfying certain conditions can be expressed as a Taylor series. A Taylor series is a series expansion of a function about a point, giving an approximation of the function near that point. The Taylor series for a function y(x) around a point x=x0 is given by y1 = y0 + (x-x0)/1! * y0' + (x-x0)2/2! * y0'' + (x-x0)3/3! * y0''' + ..., providing successive approximations of the function near x0 using derivatives of the function evaluated at x0. Similarly, the Taylor series can be developed around any point x=x1






