Prof. Dr. Zahid Ahmad Siddiqi
PLATE GIRDER
A plate girder is a beam built-up from separate
plate elements welded or riveted together.
Simplest plate girder is a combination of two
flanges and one web plates properly connected
together, while stiffener plates may be added in
some girders to improve the stability.
Moment is taken by the flanges and shear is
resisted by the web.
Flange plates may be made compact or non-
compact but the web is made slender in majority of
the large plate girders.
Prof. Dr. Zahid Ahmad Siddiqi
Hence, the depth over thickness ratio of the web
is always greater than 161.2 but it should not be
more than 336, when A36 steel is employed.
This arrangement of plates in which the flanges
are designed for moment and web is designed for
shear help to achieve efficient cross-section than
is possible with rolled sections.
The other most important component of plate
girders is stiffeners used to provide indirect
stability to non-compact web.
Prof. Dr. Zahid Ahmad Siddiqi
Plate girders are economical where spans are
long enough to permit saving in cost by
proportioning for the particular requirements.
Labour cost for assembling such a girder is
generally higher than that by using hot rolled
sections, which may offset the saving in material
cost for short span beams.
Plate girders may be of riveted, bolted, or welded
type, as shown in Figures 6.1 and 6.2, depending
upon economy, construction time and field
conditions.
Prof. Dr. Zahid Ahmad Siddiqi
Cover Plates
End
Stiffener
Angles
Flange
Angles
Flange Angles
Intermediate
Stiffener Angles
Flange Angles
Figure 6.1. A Typical Riveted Plate Girder.
Web
Bearing Plate
Prof. Dr. Zahid Ahmad Siddiqi
tf
tf
h
tw
Web
Plate
bf
Figure 6.2. A Typical Welded Plate Girder.
a
Web
Intermediate
Stiffener
Plate
Bearing Stiffener Plates
Flange Plate
Weld
Prof. Dr. Zahid Ahmad Siddiqi
SPAN LENGTHS
Plate girders are economical for railroad bridges,
which are subjected to heavy loads, for spans in
the range of 14 to 40 m.
For highway bridges, this economical range is 24
to 46m.
They are often very competitive for much longer
spans, particularly when continuous.
Plate girders are common for 60 m spans and have
been used for many spans in excess of 120 m.
Prof. Dr. Zahid Ahmad Siddiqi
Trusses become more economical for spans larger
than the economical span range of the plate
girders.
These are also used in buildings for larger spans
and heavy loads, for example, in case of heavy
crane runway girders.
DIFFERENCES FROM AN ORDINARY BEAM
1. Girder is a special type of beam.
2. Spans are bigger.
3. Loads are heavy.
Prof. Dr. Zahid Ahmad Siddiqi
4. Plate girder usually consists of built-up
sections.
5. Main difference is that girder is actually a
deep beam.
The web is usually very thin as compared to
its depth.
Plate girders may be distinguished from
beams on the basis of the web slenderness
ratio h/tw.
That is, for plate girders, h/tw is generally
greater than which is equal to
161.2 for A36 steel.
yFE /70.5
Prof. Dr. Zahid Ahmad Siddiqi
However, according to AISC F13.2, h/tw should
not exceed 0.42 E / Fy for a/h > 1.5
(336 for A36 steel)
and h/tw should not exceed
for a/h £ 1.5 (331 for A36 steel).
yFE /7.11
6. Girder is a non-compact or slender section.
Buckling in webs due to diagonal
compression caused by shear may be
allowed in such girders.
Post-buckling strength is available in the
presence of web stiffeners.
Prof. Dr. Zahid Ahmad Siddiqi
TYPES OF PLATE GIRDERS
Welded and riveted plate girder as shown earlier
in Figures 6.1 and 6.2.
Box girders used for heavy loads that can also
resist torsion to a large extent (Figure 6.3).
Prof. Dr. Zahid Ahmad Siddiqi
Hybrid girders are shown in Figure 6.4 in which the
flanges are made up of high strength steel (A514
having Fy = 350 MPa) while the web may be made
of ordinary steel (A36 having Fy = 250 MPa).
A36
A514
Figure 6.4. Hybrid Girder.
Prof. Dr. Zahid Ahmad Siddiqi
Crane bridge girder is
a special type of plate
girder used to support
the crane loads, as
shown in Figure 6.5.
Crane runway girders
provided in a
perpendicular
direction to the crane
bridge at the ends
may also be plate
girders.
Crane Bridge
Prof. Dr. Zahid Ahmad Siddiqi
N-Type girder, as in Figure 6.6, may also be used
for special field requirements having stiffeners just
like vertical and diagonal members of a truss.
Prestressed girder is a plate girder in which
prestressing tendons are placed to apply
moments opposite to the expected moments due
to loads (Figure 6.7).
Load carrying capacity increases and the
deflections reduce by using prestressing.
Prof. Dr. Zahid Ahmad Siddiqi
Prestressing Tendon
Delta girder, shown in Figure 6.8, may be used for
more stability of the compression flange
Prof. Dr. Zahid Ahmad Siddiqi
Varying cross section girder having more depth in
regions of greater moment may be economical in
certain cases.
PLATE GIRDERS COMPARED TO TRUSSES
a. The fabrication cost is lower than for
trusses but higher than for rolled beam
sections.
b. Due to their relatively stronger axis
stiffness, vibrations and impact are not
serious problems for plate girders.
c. Plate girders require smaller vertical
clearance than trusses.
Prof. Dr. Zahid Ahmad Siddiqi
d. Detailing for a truss and construction
according to these details, especially for
connections, is quite involved as compared
with plate girders.
e. In case of accident, such as striking of a
truck to bridge side fence, the plate girder
may only bend without serious
consequences. However, a similar
occasion for a truss may break few
members making the structure unstable.
Collapse of the structure may result under
such conditions.
Prof. Dr. Zahid Ahmad Siddiqi
f. Maintenance including painting is easier in
case of plate girders than in trusses.
g. Material cost for plate girders is usually
higher than the material cost for the
corresponding trusses. However, the labour
cost may be lesser in plate girders.
PROPORTIONING OF THE SECTION
Proportioning the section means to decide the
flange and web sizes and to check that these
sizes provide the required strength.
Prof. Dr. Zahid Ahmad Siddiqi
According to AISC, the ratio of web area to the
compression flange area must not be more than
10.
The important requirements of proportioning may
be summarized as under:-
1. Section modulus must be sufficient to resist
the applied bending moments at various
sections of the girder.
2. The web with or without the help of the
stiffeners must provide adequate shear
strength.
Prof. Dr. Zahid Ahmad Siddiqi
3. Moment of inertia must be sufficient to
keep the deflections within limits.
4. Lateral bending stiffness of the girder must
be sufficiently large to prevent lateral-
torsional buckling.
5. Stability must be provided to the non-
compact web through the use of bearing
and intermediate stiffeners.
Depth
The height between inner ends of flanges for
welded plate girders is the web height denoted (or
depth) denoted by h, which varies between L/6 to
L/15 with most common values of L/10 to L/12.
Prof. Dr. Zahid Ahmad Siddiqi
For no depth restriction, economic design is
obtained using the following:
h = 110 (mm)
where Mu = maximum factored moment in kN-m.
( ) 3
1
uM
The depth must be selected in multiples of 25 mm.
Self Weight
Approximate self-weight in kN/m is given by the
following expressions:
self weight » 0.013
where Mu is in the kN-m units.
( ) 67.0
uM
Prof. Dr. Zahid Ahmad Siddiqi
Web Thickness With
Intermediate Stiffeners
Plate girder design with slender webs is valid
when h / tw ³
= 161.2 for A36 steel.
 (tw)max = h /161.2
yFE /70.5
The minimum web thickness, (tw)min, should be
maximum out of the following tw1, tw2 and tw3:
Prof. Dr. Zahid Ahmad Siddiqi
1- For corrosion resistance
tw1 = 10 mm is a common minimum for
unsheltered girders while 6 or 8 mm are minimum
values for more sheltered building girders.
2- For vertical buckling of the
compression flange
If the web of a plate-girder is too slender, the
two sides of the compression flange may buckle
together in a vertical plane at a stress less than
yield stress.
This behaviour is different from ordinary local
flange buckling.
Prof. Dr. Zahid Ahmad Siddiqi
Denoting the clear stiffener spacing by a,
following limitations of the web sizing may be
listed that keeps the flange buckling effect within
limits:
max
÷÷
ø
ö
çç
è
æ
wt
h
y
w
FE
t
h
/70.11
max
=÷÷
ø
ö
çç
è
æ
For a / h > 1.5 = 0.42 E / Fy
(336 for A36 steel)
For a / h £ 1.5
(331 for A36 steel)
The second value is more critical and may be
used in cases where the value of a/h is not
exactly known.
Prof. Dr. Zahid Ahmad Siddiqi
 tw2 =
331
h
3- To provide the required shear strength,
considering 60% of yield shear strength for
slender web,
tw3 =
h
V
hF
V u
yv
u
2506.09.06.0
1000
6.06.0 ´´´
´
=
´´f
h
Vu
= 12.4 for A36 steel
The web thickness close to the minimum is
selected, but is rounded to the higher whole
number millimetres up to 10 mm and then 12, 15,
18, 20, etc. mm.
Prof. Dr. Zahid Ahmad Siddiqi
Flange Dimensions
Flange dimensions may be decided using the
following Flange Area Formula:
Af =
6
w
crpg
bu A
hFR
M
-
f
where Mu is in N-mm and Rpg is the plate girder
flexural strength reduction coefficient, defined as
under:
Rpg = 1 - ÷
÷
ø
ö
ç
ç
è
æ
-
+ crw
c
w
w
F
E
t
h
a
a
70.5
3001200
£ 1.0
Prof. Dr. Zahid Ahmad Siddiqi
aw =
fcfc
wc
tb
th
Where,
hc is equal to twice the distance from the
centroid to the nearest line of fasteners at the
compression flange or the inside faces of the
compression flange when welds are used,
bfc is the width of the compression flange and
tfc is the thickness of the compression flange.
Prof. Dr. Zahid Ahmad Siddiqi
Assuming RpgFcr » 225 MPa, the required flange
area becomes:
Af » 4900
6
wu A
h
M
-
for A36 steel and Mu in kN-m
Flange width
Flange width and thickness are decided from the
calculated flange area such that the flange has
width/thickness ratio (l) preferably less than or
equal to lr.
Prof. Dr. Zahid Ahmad Siddiqi
l = bf / 2tf ;
can be either kept equal to lp for compact
flange or even greater than lp, however, it
may be kept lesser than lr.
lp = 10.8 for A36 steel
lr =
y
c
F
Ek
7.0
95.0 for doubly symmetric sections
= 19 for A36 steel
For l = lp : bf = reqfp A )(2l
kc =
wth /
4
between 0.35 and 0.76
(0.35 for slender webs)
Prof. Dr. Zahid Ahmad Siddiqi
The flange width (bf) normally varies between h/3
to h/5 at maximum moment section.
If the above calculated flange width is lesser than
h/5, then use bf = h/5 may be used.
Greater width of the flange with lesser thickness
creates problems associated with FLB and
smaller width with larger thickness reduces the
lateral strength of the girder, making LTB more
critical.
A balance should be made between the two
dimensions to achieve nearly same strengths for
both FLB and LTB limit states.
Prof. Dr. Zahid Ahmad Siddiqi
The decided bf should be rounded to the nearest
multiples of 50 mm.
Further the ratio area to the compression flange
area should not be more than 10.
Flange Thickness
tf =
selectedf
reqf
b
A
)(
)(
Check: l =
f
f
t
b
2
£ lr
Prof. Dr. Zahid Ahmad Siddiqi
The increments in flange plate thickness should
be as follows:
tf £ 10 mm 2 mm
10 mm £ tf £ 40 mm 12,15,18,20,…,38,40 mm
tf > 40 mm 5 mm
Related Definitions
1. Radius of Gyration (rt)
The exact value of rt is as under:
Prof. Dr. Zahid Ahmad Siddiqi
rt =
÷÷
ø
ö
çç
è
æ
+
dh
h
a
d
h
b
o
w
o
fc
2
6
1
12
Where, aw =
fcfc
wc
tb
th
and ho is the distance between the flange
centroids.
Prof. Dr. Zahid Ahmad Siddiqi
The approximate value may be determined as
follows:
bf
tf
h/6
tw
Axis about which rT
is to be determined
Figure 6.9. Section For Calculation of rT.
Prof. Dr. Zahid Ahmad Siddiqi
rt = radius of gyration of a section
comprising of the compression flange
plus 1/3rd of the compression web
area, taken about an axis in the plane
of the web (Figure 6.9).
»
6/
12/3
wfc
fcfc
AA
bt
+
where Aw = h tw and Afc = bfc ´ tfc
2. Compression Flange Slenderness Ratio
For LTB =Lb / rt
=
)6/1(12 w
fc
a
b
+
Prof. Dr. Zahid Ahmad Siddiqi
3. Bending Coefficient (Cb) defined earlier
for beams.
4. Elastic Section Modulus
Sxc = Sx with respect to the
outside fibre of the compression flange.
Sxt= Sx with respect to the outside
fibre of the tension flange.
5. Plate Girder Flexural Strength Reduction
Factor (Rpg):
This factor takes care of effect of the web
instability on the local stability of the flange.
Prof. Dr. Zahid Ahmad Siddiqi
Values Of Important Parameters
For LTB Limit State
Lb = unbraced length for the compression
flange
Lp =
yt FEr /1.1
= 31.1 rt / 1000 (m) for A36 steel
Lr = yt FEr 7.0/p
= 106.2 rt / 1000 (m) for A36 steel
Prof. Dr. Zahid Ahmad Siddiqi
For FLB Limit State
l =
f
f
t
b
2
kc =
wth /
4
(0.35 for slender webs)
between 0.35 and 0.76
lp =
yF
E
38.0 = 10.8 for A36 steel
lr =
L
c
F
Ek
95.0 = 19 for A36 steel
where FL = 0.7 Fy for major axis bending of
slender web built-up section.
Prof. Dr. Zahid Ahmad Siddiqi
WLB Limit StateThis limit state is considered
during the stiffener design.
Critical Compression Flange Stress For LTB (Fcr)
For Lb £ Lp Fcr = Fy
For Lp < Lb £ Lr Fcr = Cb Fy
ú
ú
û
ù
ê
ê
ë
é
÷
÷
ø
ö
ç
ç
è
æ
-
-
-
pr
pb
LL
LL
3.01 £ Fy
For Lb > Lr Fcr = 2
2
÷÷
ø
ö
çç
è
æ
t
b
b
r
L
EC p
£ Fy
Prof. Dr. Zahid Ahmad Siddiqi
Critical Compression Flange Stress For FLB (Fcr)
For l £ lp Fcr = Fy
For lp < l £ lr Fcr = Fy
ú
ú
û
ù
ê
ê
ë
é
÷
÷
ø
ö
ç
ç
è
æ
-
-
-
pfrf
pf
ll
ll
3.01
2
9.0
l
cEk
2
63000
l
For l > lr Fcr =
=
for slender web sections
Prof. Dr. Zahid Ahmad Siddiqi
Plate Girder Bending Strength
Reduction Factor (Rpg)
This reduction factor takes care of reduction in
bending strength due to thin or slender web.
A thin web attached to a flange may reduce the
strength provided by it and also that provided by
the flange indirectly.
Rpg = 1 -
÷
÷
ø
ö
ç
ç
è
æ
-
+ yw
c
w
w
F
E
t
h
a
a
70.5
3001200
£ 1.0
Prof. Dr. Zahid Ahmad Siddiqi
where aw = ratio of web area to
compression flange area
=
fcfc
wc
tb
th
hc = twice the distance from the centroid
to the nearest line of fasteners at the
compression flange or the inside
faces of the compression flange
when welds are used.
Nominal Flexural Strength (Mn)
If h / tw £
yFE /70.5 , find Mn as for a regular
beam with compact web.
Prof. Dr. Zahid Ahmad Siddiqi
If above condition is not satisfied, the nominal
flexural strength (Mn) is the lower value obtained
from limit states of tension flange yielding and
compression flange buckling, as follows:
For yielding of the tension flange,
Mn = Sxt Fy / 106
For buckling of the compression flange,
Mn = Sxc Rpg Fcr / 106
where Fcr is taken as the smaller value for LTB
and FLB limit states.
Sxt = Sxc = Sx for doubly symmetrical I-sections
Prof. Dr. Zahid Ahmad Siddiqi
Cutting-Off Cover Plates In Riveted Girders
Or Reducing Flange Area In Welded Girders
In case of riveted plate girders, 2 or 3 flange
plates (called cover plates) along with a pair of
angles are selected for the flanges. Two of the
cover plates may be cut off at locations where
the bending moment is sufficiently low. Each of
the plate separately must satisfy bf / 2tf ratio
limits.
In case of welded plate girder, the flange plate
can be reduced in size where moment is lesser.
The reduced plate must separately satisfy the bf /
2tf ratio limits.
Prof. Dr. Zahid Ahmad Siddiqi
Theoretical cut-off locations
M
M1
M2
B.M.D.
Theoretical Cut-Off
Points
M = full moment capacity
M1 = moment capacity after 1st reduction
in flange area
M2 = moment capacity after 2nd reduction
in flange area
Prof. Dr. Zahid Ahmad Siddiqi
Example 6.1:
Proportion a plate girder with a span of 20m to
support a factored UDL of 70 kN/m in addition to
self-load and two factored concentrated loads of
750 kN each located 7 m from the roller and
hinge supports at both ends. The compression
flange is laterally supported at ends and at the
points of concentrated loads. The girder is
unsheltered.
Prof. Dr. Zahid Ahmad Siddiqi
Solution:
Self Weight, S.F. And B.M. Diagrams
(Mu)max = 750´7 +
8
2070 2
´
= 8750 kN-m
Self weight » 0.013 (Mu)0.67 = 5.7 kN/m
Factored self weight = 1.2 ´ 5.7 = 6.9 kN/m
Total factored UDL = 70 + 6.9 = 76.9 kN/m
(Mu)max = 9095 kN-m : (Vu)max = 1519 kN
Prof. Dr. Zahid Ahmad Siddiqi
750 kN 750 kN 76.9 kN/m
DA
B DC
1519 kN 1519 kN
7m 7m6m
1519
1519
980.7
230.7
980.7
230.7
S.F.D. (kN)
9095
87498749
B.M.D. (kN-m)
Prof. Dr. Zahid Ahmad Siddiqi
a) Depth Of Web:
h = 110 ( )3
1
uM
= 110 ( )3
1
9095
= 2296 say 2300
(multiples of 25 mm)
b) Thickness Of Web With
Intermediate Stiffeners:
i) (tw)min= 10 mm for corrosion control of
unsheltered girders.
Prof. Dr. Zahid Ahmad Siddiqi
331
h
331
2300ii) (tw)min= = = 6.95 mm
2506.09.06.0
1000
´´´ h
Vu
2300
1519
iii) (tw)min=
= 12.4 = 8.2 mm
tw = maximum out of the above values
rounded according to the available sizes.
 tw = 10 mm
(tw)max =
2.161
h
= 14.27 mm > tw OK
Prof. Dr. Zahid Ahmad Siddiqi
Trial Size Of Web = 2300´10 mm
c) Flange Dimensions:
Af » 4900
6
wu A
h
M
-
= 4900
6
102300
2300
9095 ´
-
= 15,543 mm2
bf = ( )reqfp Al2
= 155438.102 ´´ = 580
say 600 mm (multiples of 50 mm)
Prof. Dr. Zahid Ahmad Siddiqi
5
h
5
2300
= = 460 bf > h/5
f
f
b
A
600
15543
tf = = = 25.9 say 28 mm
f
f
t
b
2 282
600
´
l = = = 10.71
£ lr = 19 OK
Two Trial Flanges: 600´28 mm Plates
Prof. Dr. Zahid Ahmad Siddiqi
Calculation Of rt
6
A
A
12
bt
w
f
3
f
f
+ 6
10230060028
12
60028
3
´+´
´
rt = =
= 156 mm
Moment Of Inertia And Section Modulus
( )2
2
f
f
th
A
+ 12
3
hIx = + tw
( )2
282300
2
286
+
´
12
23003
= + 10´
= 5,566,367 ´ 104 mm4
Prof. Dr. Zahid Ahmad Siddiqi
Sxt = Sxc =
f
x
th
I
2
2
+
´
= 47,253 ´ 103 mm3
Critical Compression Flange Stress (Fcr)
LTB – Portion AB And CD
Lb = 7.00 m
Lp = 0.0311 rt = 4.85 m
Lr = 0.1062 rt = 16.57 m
Mx = 1519 x – 76.9 x2 / 2
Mmax = 8749.0
MA = 2540.5
MB = 4845.5
MC = 6915.0
Prof. Dr. Zahid Ahmad Siddiqi
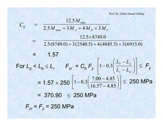
Cb =
CBA MMMM
M
3435.2
5.12
max
max
+++
= )0.6915(3)5.4845(4)5.2540(3)0.8749(5.2
0.87495.12
+++
´
= 1.57
For Lp < Lb £ Lr Fcr = Cb Fy
ú
ú
û
ù
ê
ê
ë
é
÷
÷
ø
ö
ç
ç
è
æ
-
-
-
pr
pb
LL
LL
3.01 £ Fy
= 1.57 ´ 250 ú
û
ù
ê
ë
é
÷
ø
ö
ç
è
æ
-
-
-
85.457.16
85.400.7
3.01 £ 250 MPa
= 370.90 £ 250 MPa
Fcr = Fy = 250 MPa
Prof. Dr. Zahid Ahmad Siddiqi
LTB – Portion BC
Lb = 6.00 m
Lp = 4.85 m
Lr = 16.57 m
Mx = 5250 + 769 x – 76.9 x2 / 2
Mmax = 9095.0
MA = 9008.5
MB = 9095.0
MC = 9008.0
Cb =
CBA MMMM
M
3435.2
5.12
max
max
+++
= 1.00
Prof. Dr. Zahid Ahmad Siddiqi
For Lp < Lb £ Lr Fcr = Cb Fy
ú
ú
û
ù
ê
ê
ë
é
÷
÷
ø
ö
ç
ç
è
æ
-
-
-
pr
pb
LL
LL
3.01 £ Fy
= 1.00 ´ 250 ú
û
ù
ê
ë
é
÷
ø
ö
ç
è
æ
-
-
-
85.457.16
85.400.6
3.01 £ 250 MPa
= 242.6 £ 250 MPa
Fcr = 242.6 MPa
FLB
l = 10.71
lp = 10.8
lr = 19
l < lp  Fcr = 250 MPa
Prof. Dr. Zahid Ahmad Siddiqi
Plate Girder Bending Strength
Reduction Factor (Rpg):
flangecompoftb
th
ff
w
.
28600
102300
´
´
aw =
= = 1.37
Rpg = 1 - ÷
÷
ø
ö
ç
ç
è
æ
-
+ yww
w
F
E
t
h
a
a
7.5
3001200
£ 1.0
37.13001200
37.1
´+ ÷÷
ø
ö
çç
è
æ
-
250
2550
10
2300
= 1 -
for A36 steel= 0.942
Prof. Dr. Zahid Ahmad Siddiqi
Check For Strength:
fbMn =fb Sxc Rpg Fcr / 106
=0.9 ´ 47,253 ´ 103 ´ 0.942 ´ 242.6 / 106
=9718.8 kN-m
> (Mu)max = 9095 kN-m OK
Note:Up to 15% difference on safe side is OK,
otherwise, revise by reducing flange size. Less
than 1% difference may be allowed on unsafe
side, otherwise, revise by selecting larger flanges.
Prof. Dr. Zahid Ahmad Siddiqi
Theoretical Location Where Half
Flange Area May Be Curtailed
Note: Reduced flange area is expected only in
end panels for this simply supported girder.
Half Flange Size
Reduced Af=
2
28600´
Let bf » h/5 = 500 mm
= 8,400 mm2
tf =
500
400,8
» 16.8 mm say 18 mm
l =
182
500
´
= 13.9 < lr = 19 OK
Prof. Dr. Zahid Ahmad Siddiqi
Trial Reduced Flange Size = 500´18 mm
Calculation of rt (Reduced Flange)
6
12
3
w
f
f
f
A
A
b
t
+ 6
10230050018
12
50018
3
´+´
´
rt = = = 121 mm
Calculation Of Fcr (Reduced Flange)
LTB
Note: Only the exterior unbraced length has the
reduced flange for some part its length.
Prof. Dr. Zahid Ahmad Siddiqi
Lb = 7.00 m
Lp = 0.0311 rt = 3.76 m
Lr = 0.1062 rt = 12.85 m
Cb = 1.57
For Lp < Lb £ Lr Fcr = Cb Fy
ú
ú
û
ù
ê
ê
ë
é
÷
÷
ø
ö
ç
ç
è
æ
-
-
-
pr
pb
LL
LL
3.01 £ Fy
= 1.57 ´ 250 ú
û
ù
ê
ë
é
÷
ø
ö
ç
è
æ
-
-
-
76.385.12
76.300.7
3.01 £ 250 MPa
= 350.53 MPa £ 250 MPa
 Fcr = 250 MPa
Prof. Dr. Zahid Ahmad Siddiqi
FLB
l = 13.9
lp = 10.8
lr = 19
lp < l £ lr Þ Fcr = 250 ú
û
ù
ê
ë
é
÷
ø
ö
ç
è
æ
-
-
-
8.1019
8.109.13
3.01
£ 250 MPa
= 221.65 MPa £ 250 MPa
Hence Fcr = 221.65 MPa
Prof. Dr. Zahid Ahmad Siddiqi
Determination Of Rpg (Reduced Flange)
aw =
18500
102300
´
´
=
ff
w
tb
ht
= 2.56
Rpg = 1 -
÷
÷
ø
ö
ç
ç
è
æ
-
+ yww
w
Ft
h
a
a 2550
3001200
£ 1.0 (for A36 steel)
56.23001200
56.2
´+ ÷÷
ø
ö
çç
è
æ
-
250
2550
10
2300
= 1 -
= 0.91
Prof. Dr. Zahid Ahmad Siddiqi
M.O.I. And Section Modulus (Reduced Flange)
Ix = ( )
122
3
2 ht
th
A w
f
f
++
= ( )
12
230010
182300
2
18500 3
2 ´
++
´
= 3,431,823´104 mm4
Sxc = )2(
2
f
x
th
I
+
´
= 29,382 ´ 103 mm3
Prof. Dr. Zahid Ahmad Siddiqi
Flexural Strength (Reduced Flange)
fbMn = fbSxcRpgFcr/106
= 0.9´29382´103´0.91´221.65/106
= 5333.8 kN-m
Distance (x) Of Theoretical Cut-Off Point From End
Assuming that cut-off point lies within the end panel,
1519 x -
2
9.76 2
x
= 5333.8
38.45 x2 – 1519 x + 5333.8 = 0
x =
45.382
4.12191519
´
±
= 3.9 m
Prof. Dr. Zahid Ahmad Siddiqi
(Mu = 5333.8 kN-m, Vu = 1219.1 kN)
Flange-To-Web Weld
At the end Q = Af ÷÷
ø
ö
çç
è
æ +
2
fth
= 500´18 ÷
ø
ö
ç
è
æ +
2
182300
= 10,431´103 mm3
Ix = 3,431,823 ´ 104 mm4
Vu = 1519 kN
Shear flow =
x
u
I
QV
= 0.462 kN/mm for welds on both faces
= 0.231 kN/mm for weld on one side
Prof. Dr. Zahid Ahmad Siddiqi
Weld Size
tp1 = thickness of web = 10 mm
tp2 = 18 or 28 mm
(tw)min = 5 mm
(tw)max = tp1 – 2 = 8 mm
(tw)opt = 8 mm
 tw = 8 mm
Weld Value Using E 70 Electrode
1) 0.75´8´0.707´1´0.6´495/1000 = 1.26 kN/mm
2) 0.75´10´1´0.6´400/1000 = 1.8 kN/mmRw = smaller of
 Rw = 1.26 kN/mm
Prof. Dr. Zahid Ahmad Siddiqi
lw
lw
lw
x
Figure 6.12. Intermittent
Flange-To-Web Weld.
Note: Rw is
significantly greater than the
calculated shear flow.
This means that
intermittent weld is to be used
in place of continuous weld.
(lw)min = 4tw = 32 mm
Let,
lw = 50 mm
x = c/c spacing of
these welds
Prof. Dr. Zahid Ahmad Siddiqi
Average weld strength per unit length =
x
Rww ´l
= required strength per unit length
x =
231.0
26.150´
= 272 mm
Use 8´50 welds 250 mm c/c

Steel strucure lec # (11)

  • 1.
    Prof. Dr. ZahidAhmad Siddiqi PLATE GIRDER A plate girder is a beam built-up from separate plate elements welded or riveted together. Simplest plate girder is a combination of two flanges and one web plates properly connected together, while stiffener plates may be added in some girders to improve the stability. Moment is taken by the flanges and shear is resisted by the web. Flange plates may be made compact or non- compact but the web is made slender in majority of the large plate girders.
  • 2.
    Prof. Dr. ZahidAhmad Siddiqi Hence, the depth over thickness ratio of the web is always greater than 161.2 but it should not be more than 336, when A36 steel is employed. This arrangement of plates in which the flanges are designed for moment and web is designed for shear help to achieve efficient cross-section than is possible with rolled sections. The other most important component of plate girders is stiffeners used to provide indirect stability to non-compact web.
  • 3.
    Prof. Dr. ZahidAhmad Siddiqi Plate girders are economical where spans are long enough to permit saving in cost by proportioning for the particular requirements. Labour cost for assembling such a girder is generally higher than that by using hot rolled sections, which may offset the saving in material cost for short span beams. Plate girders may be of riveted, bolted, or welded type, as shown in Figures 6.1 and 6.2, depending upon economy, construction time and field conditions.
  • 4.
    Prof. Dr. ZahidAhmad Siddiqi Cover Plates End Stiffener Angles Flange Angles Flange Angles Intermediate Stiffener Angles Flange Angles Figure 6.1. A Typical Riveted Plate Girder. Web Bearing Plate
  • 5.
    Prof. Dr. ZahidAhmad Siddiqi tf tf h tw Web Plate bf Figure 6.2. A Typical Welded Plate Girder. a Web Intermediate Stiffener Plate Bearing Stiffener Plates Flange Plate Weld
  • 6.
    Prof. Dr. ZahidAhmad Siddiqi SPAN LENGTHS Plate girders are economical for railroad bridges, which are subjected to heavy loads, for spans in the range of 14 to 40 m. For highway bridges, this economical range is 24 to 46m. They are often very competitive for much longer spans, particularly when continuous. Plate girders are common for 60 m spans and have been used for many spans in excess of 120 m.
  • 7.
    Prof. Dr. ZahidAhmad Siddiqi Trusses become more economical for spans larger than the economical span range of the plate girders. These are also used in buildings for larger spans and heavy loads, for example, in case of heavy crane runway girders. DIFFERENCES FROM AN ORDINARY BEAM 1. Girder is a special type of beam. 2. Spans are bigger. 3. Loads are heavy.
  • 8.
    Prof. Dr. ZahidAhmad Siddiqi 4. Plate girder usually consists of built-up sections. 5. Main difference is that girder is actually a deep beam. The web is usually very thin as compared to its depth. Plate girders may be distinguished from beams on the basis of the web slenderness ratio h/tw. That is, for plate girders, h/tw is generally greater than which is equal to 161.2 for A36 steel. yFE /70.5
  • 9.
    Prof. Dr. ZahidAhmad Siddiqi However, according to AISC F13.2, h/tw should not exceed 0.42 E / Fy for a/h > 1.5 (336 for A36 steel) and h/tw should not exceed for a/h £ 1.5 (331 for A36 steel). yFE /7.11 6. Girder is a non-compact or slender section. Buckling in webs due to diagonal compression caused by shear may be allowed in such girders. Post-buckling strength is available in the presence of web stiffeners.
  • 10.
    Prof. Dr. ZahidAhmad Siddiqi TYPES OF PLATE GIRDERS Welded and riveted plate girder as shown earlier in Figures 6.1 and 6.2. Box girders used for heavy loads that can also resist torsion to a large extent (Figure 6.3).
  • 11.
    Prof. Dr. ZahidAhmad Siddiqi Hybrid girders are shown in Figure 6.4 in which the flanges are made up of high strength steel (A514 having Fy = 350 MPa) while the web may be made of ordinary steel (A36 having Fy = 250 MPa). A36 A514 Figure 6.4. Hybrid Girder.
  • 12.
    Prof. Dr. ZahidAhmad Siddiqi Crane bridge girder is a special type of plate girder used to support the crane loads, as shown in Figure 6.5. Crane runway girders provided in a perpendicular direction to the crane bridge at the ends may also be plate girders. Crane Bridge
  • 13.
    Prof. Dr. ZahidAhmad Siddiqi N-Type girder, as in Figure 6.6, may also be used for special field requirements having stiffeners just like vertical and diagonal members of a truss. Prestressed girder is a plate girder in which prestressing tendons are placed to apply moments opposite to the expected moments due to loads (Figure 6.7). Load carrying capacity increases and the deflections reduce by using prestressing.
  • 14.
    Prof. Dr. ZahidAhmad Siddiqi Prestressing Tendon Delta girder, shown in Figure 6.8, may be used for more stability of the compression flange
  • 15.
    Prof. Dr. ZahidAhmad Siddiqi Varying cross section girder having more depth in regions of greater moment may be economical in certain cases. PLATE GIRDERS COMPARED TO TRUSSES a. The fabrication cost is lower than for trusses but higher than for rolled beam sections. b. Due to their relatively stronger axis stiffness, vibrations and impact are not serious problems for plate girders. c. Plate girders require smaller vertical clearance than trusses.
  • 16.
    Prof. Dr. ZahidAhmad Siddiqi d. Detailing for a truss and construction according to these details, especially for connections, is quite involved as compared with plate girders. e. In case of accident, such as striking of a truck to bridge side fence, the plate girder may only bend without serious consequences. However, a similar occasion for a truss may break few members making the structure unstable. Collapse of the structure may result under such conditions.
  • 17.
    Prof. Dr. ZahidAhmad Siddiqi f. Maintenance including painting is easier in case of plate girders than in trusses. g. Material cost for plate girders is usually higher than the material cost for the corresponding trusses. However, the labour cost may be lesser in plate girders. PROPORTIONING OF THE SECTION Proportioning the section means to decide the flange and web sizes and to check that these sizes provide the required strength.
  • 18.
    Prof. Dr. ZahidAhmad Siddiqi According to AISC, the ratio of web area to the compression flange area must not be more than 10. The important requirements of proportioning may be summarized as under:- 1. Section modulus must be sufficient to resist the applied bending moments at various sections of the girder. 2. The web with or without the help of the stiffeners must provide adequate shear strength.
  • 19.
    Prof. Dr. ZahidAhmad Siddiqi 3. Moment of inertia must be sufficient to keep the deflections within limits. 4. Lateral bending stiffness of the girder must be sufficiently large to prevent lateral- torsional buckling. 5. Stability must be provided to the non- compact web through the use of bearing and intermediate stiffeners. Depth The height between inner ends of flanges for welded plate girders is the web height denoted (or depth) denoted by h, which varies between L/6 to L/15 with most common values of L/10 to L/12.
  • 20.
    Prof. Dr. ZahidAhmad Siddiqi For no depth restriction, economic design is obtained using the following: h = 110 (mm) where Mu = maximum factored moment in kN-m. ( ) 3 1 uM The depth must be selected in multiples of 25 mm. Self Weight Approximate self-weight in kN/m is given by the following expressions: self weight » 0.013 where Mu is in the kN-m units. ( ) 67.0 uM
  • 21.
    Prof. Dr. ZahidAhmad Siddiqi Web Thickness With Intermediate Stiffeners Plate girder design with slender webs is valid when h / tw ³ = 161.2 for A36 steel. (tw)max = h /161.2 yFE /70.5 The minimum web thickness, (tw)min, should be maximum out of the following tw1, tw2 and tw3:
  • 22.
    Prof. Dr. ZahidAhmad Siddiqi 1- For corrosion resistance tw1 = 10 mm is a common minimum for unsheltered girders while 6 or 8 mm are minimum values for more sheltered building girders. 2- For vertical buckling of the compression flange If the web of a plate-girder is too slender, the two sides of the compression flange may buckle together in a vertical plane at a stress less than yield stress. This behaviour is different from ordinary local flange buckling.
  • 23.
    Prof. Dr. ZahidAhmad Siddiqi Denoting the clear stiffener spacing by a, following limitations of the web sizing may be listed that keeps the flange buckling effect within limits: max ÷÷ ø ö çç è æ wt h y w FE t h /70.11 max =÷÷ ø ö çç è æ For a / h > 1.5 = 0.42 E / Fy (336 for A36 steel) For a / h £ 1.5 (331 for A36 steel) The second value is more critical and may be used in cases where the value of a/h is not exactly known.
  • 24.
    Prof. Dr. ZahidAhmad Siddiqi tw2 = 331 h 3- To provide the required shear strength, considering 60% of yield shear strength for slender web, tw3 = h V hF V u yv u 2506.09.06.0 1000 6.06.0 ´´´ ´ = ´´f h Vu = 12.4 for A36 steel The web thickness close to the minimum is selected, but is rounded to the higher whole number millimetres up to 10 mm and then 12, 15, 18, 20, etc. mm.
  • 25.
    Prof. Dr. ZahidAhmad Siddiqi Flange Dimensions Flange dimensions may be decided using the following Flange Area Formula: Af = 6 w crpg bu A hFR M - f where Mu is in N-mm and Rpg is the plate girder flexural strength reduction coefficient, defined as under: Rpg = 1 - ÷ ÷ ø ö ç ç è æ - + crw c w w F E t h a a 70.5 3001200 £ 1.0
  • 26.
    Prof. Dr. ZahidAhmad Siddiqi aw = fcfc wc tb th Where, hc is equal to twice the distance from the centroid to the nearest line of fasteners at the compression flange or the inside faces of the compression flange when welds are used, bfc is the width of the compression flange and tfc is the thickness of the compression flange.
  • 27.
    Prof. Dr. ZahidAhmad Siddiqi Assuming RpgFcr » 225 MPa, the required flange area becomes: Af » 4900 6 wu A h M - for A36 steel and Mu in kN-m Flange width Flange width and thickness are decided from the calculated flange area such that the flange has width/thickness ratio (l) preferably less than or equal to lr.
  • 28.
    Prof. Dr. ZahidAhmad Siddiqi l = bf / 2tf ; can be either kept equal to lp for compact flange or even greater than lp, however, it may be kept lesser than lr. lp = 10.8 for A36 steel lr = y c F Ek 7.0 95.0 for doubly symmetric sections = 19 for A36 steel For l = lp : bf = reqfp A )(2l kc = wth / 4 between 0.35 and 0.76 (0.35 for slender webs)
  • 29.
    Prof. Dr. ZahidAhmad Siddiqi The flange width (bf) normally varies between h/3 to h/5 at maximum moment section. If the above calculated flange width is lesser than h/5, then use bf = h/5 may be used. Greater width of the flange with lesser thickness creates problems associated with FLB and smaller width with larger thickness reduces the lateral strength of the girder, making LTB more critical. A balance should be made between the two dimensions to achieve nearly same strengths for both FLB and LTB limit states.
  • 30.
    Prof. Dr. ZahidAhmad Siddiqi The decided bf should be rounded to the nearest multiples of 50 mm. Further the ratio area to the compression flange area should not be more than 10. Flange Thickness tf = selectedf reqf b A )( )( Check: l = f f t b 2 £ lr
  • 31.
    Prof. Dr. ZahidAhmad Siddiqi The increments in flange plate thickness should be as follows: tf £ 10 mm 2 mm 10 mm £ tf £ 40 mm 12,15,18,20,…,38,40 mm tf > 40 mm 5 mm Related Definitions 1. Radius of Gyration (rt) The exact value of rt is as under:
  • 32.
    Prof. Dr. ZahidAhmad Siddiqi rt = ÷÷ ø ö çç è æ + dh h a d h b o w o fc 2 6 1 12 Where, aw = fcfc wc tb th and ho is the distance between the flange centroids.
  • 33.
    Prof. Dr. ZahidAhmad Siddiqi The approximate value may be determined as follows: bf tf h/6 tw Axis about which rT is to be determined Figure 6.9. Section For Calculation of rT.
  • 34.
    Prof. Dr. ZahidAhmad Siddiqi rt = radius of gyration of a section comprising of the compression flange plus 1/3rd of the compression web area, taken about an axis in the plane of the web (Figure 6.9). » 6/ 12/3 wfc fcfc AA bt + where Aw = h tw and Afc = bfc ´ tfc 2. Compression Flange Slenderness Ratio For LTB =Lb / rt = )6/1(12 w fc a b +
  • 35.
    Prof. Dr. ZahidAhmad Siddiqi 3. Bending Coefficient (Cb) defined earlier for beams. 4. Elastic Section Modulus Sxc = Sx with respect to the outside fibre of the compression flange. Sxt= Sx with respect to the outside fibre of the tension flange. 5. Plate Girder Flexural Strength Reduction Factor (Rpg): This factor takes care of effect of the web instability on the local stability of the flange.
  • 36.
    Prof. Dr. ZahidAhmad Siddiqi Values Of Important Parameters For LTB Limit State Lb = unbraced length for the compression flange Lp = yt FEr /1.1 = 31.1 rt / 1000 (m) for A36 steel Lr = yt FEr 7.0/p = 106.2 rt / 1000 (m) for A36 steel
  • 37.
    Prof. Dr. ZahidAhmad Siddiqi For FLB Limit State l = f f t b 2 kc = wth / 4 (0.35 for slender webs) between 0.35 and 0.76 lp = yF E 38.0 = 10.8 for A36 steel lr = L c F Ek 95.0 = 19 for A36 steel where FL = 0.7 Fy for major axis bending of slender web built-up section.
  • 38.
    Prof. Dr. ZahidAhmad Siddiqi WLB Limit StateThis limit state is considered during the stiffener design. Critical Compression Flange Stress For LTB (Fcr) For Lb £ Lp Fcr = Fy For Lp < Lb £ Lr Fcr = Cb Fy ú ú û ù ê ê ë é ÷ ÷ ø ö ç ç è æ - - - pr pb LL LL 3.01 £ Fy For Lb > Lr Fcr = 2 2 ÷÷ ø ö çç è æ t b b r L EC p £ Fy
  • 39.
    Prof. Dr. ZahidAhmad Siddiqi Critical Compression Flange Stress For FLB (Fcr) For l £ lp Fcr = Fy For lp < l £ lr Fcr = Fy ú ú û ù ê ê ë é ÷ ÷ ø ö ç ç è æ - - - pfrf pf ll ll 3.01 2 9.0 l cEk 2 63000 l For l > lr Fcr = = for slender web sections
  • 40.
    Prof. Dr. ZahidAhmad Siddiqi Plate Girder Bending Strength Reduction Factor (Rpg) This reduction factor takes care of reduction in bending strength due to thin or slender web. A thin web attached to a flange may reduce the strength provided by it and also that provided by the flange indirectly. Rpg = 1 - ÷ ÷ ø ö ç ç è æ - + yw c w w F E t h a a 70.5 3001200 £ 1.0
  • 41.
    Prof. Dr. ZahidAhmad Siddiqi where aw = ratio of web area to compression flange area = fcfc wc tb th hc = twice the distance from the centroid to the nearest line of fasteners at the compression flange or the inside faces of the compression flange when welds are used. Nominal Flexural Strength (Mn) If h / tw £ yFE /70.5 , find Mn as for a regular beam with compact web.
  • 42.
    Prof. Dr. ZahidAhmad Siddiqi If above condition is not satisfied, the nominal flexural strength (Mn) is the lower value obtained from limit states of tension flange yielding and compression flange buckling, as follows: For yielding of the tension flange, Mn = Sxt Fy / 106 For buckling of the compression flange, Mn = Sxc Rpg Fcr / 106 where Fcr is taken as the smaller value for LTB and FLB limit states. Sxt = Sxc = Sx for doubly symmetrical I-sections
  • 43.
    Prof. Dr. ZahidAhmad Siddiqi Cutting-Off Cover Plates In Riveted Girders Or Reducing Flange Area In Welded Girders In case of riveted plate girders, 2 or 3 flange plates (called cover plates) along with a pair of angles are selected for the flanges. Two of the cover plates may be cut off at locations where the bending moment is sufficiently low. Each of the plate separately must satisfy bf / 2tf ratio limits. In case of welded plate girder, the flange plate can be reduced in size where moment is lesser. The reduced plate must separately satisfy the bf / 2tf ratio limits.
  • 44.
    Prof. Dr. ZahidAhmad Siddiqi Theoretical cut-off locations M M1 M2 B.M.D. Theoretical Cut-Off Points M = full moment capacity M1 = moment capacity after 1st reduction in flange area M2 = moment capacity after 2nd reduction in flange area
  • 45.
    Prof. Dr. ZahidAhmad Siddiqi Example 6.1: Proportion a plate girder with a span of 20m to support a factored UDL of 70 kN/m in addition to self-load and two factored concentrated loads of 750 kN each located 7 m from the roller and hinge supports at both ends. The compression flange is laterally supported at ends and at the points of concentrated loads. The girder is unsheltered.
  • 46.
    Prof. Dr. ZahidAhmad Siddiqi Solution: Self Weight, S.F. And B.M. Diagrams (Mu)max = 750´7 + 8 2070 2 ´ = 8750 kN-m Self weight » 0.013 (Mu)0.67 = 5.7 kN/m Factored self weight = 1.2 ´ 5.7 = 6.9 kN/m Total factored UDL = 70 + 6.9 = 76.9 kN/m (Mu)max = 9095 kN-m : (Vu)max = 1519 kN
  • 47.
    Prof. Dr. ZahidAhmad Siddiqi 750 kN 750 kN 76.9 kN/m DA B DC 1519 kN 1519 kN 7m 7m6m 1519 1519 980.7 230.7 980.7 230.7 S.F.D. (kN) 9095 87498749 B.M.D. (kN-m)
  • 48.
    Prof. Dr. ZahidAhmad Siddiqi a) Depth Of Web: h = 110 ( )3 1 uM = 110 ( )3 1 9095 = 2296 say 2300 (multiples of 25 mm) b) Thickness Of Web With Intermediate Stiffeners: i) (tw)min= 10 mm for corrosion control of unsheltered girders.
  • 49.
    Prof. Dr. ZahidAhmad Siddiqi 331 h 331 2300ii) (tw)min= = = 6.95 mm 2506.09.06.0 1000 ´´´ h Vu 2300 1519 iii) (tw)min= = 12.4 = 8.2 mm tw = maximum out of the above values rounded according to the available sizes. tw = 10 mm (tw)max = 2.161 h = 14.27 mm > tw OK
  • 50.
    Prof. Dr. ZahidAhmad Siddiqi Trial Size Of Web = 2300´10 mm c) Flange Dimensions: Af » 4900 6 wu A h M - = 4900 6 102300 2300 9095 ´ - = 15,543 mm2 bf = ( )reqfp Al2 = 155438.102 ´´ = 580 say 600 mm (multiples of 50 mm)
  • 51.
    Prof. Dr. ZahidAhmad Siddiqi 5 h 5 2300 = = 460 bf > h/5 f f b A 600 15543 tf = = = 25.9 say 28 mm f f t b 2 282 600 ´ l = = = 10.71 £ lr = 19 OK Two Trial Flanges: 600´28 mm Plates
  • 52.
    Prof. Dr. ZahidAhmad Siddiqi Calculation Of rt 6 A A 12 bt w f 3 f f + 6 10230060028 12 60028 3 ´+´ ´ rt = = = 156 mm Moment Of Inertia And Section Modulus ( )2 2 f f th A + 12 3 hIx = + tw ( )2 282300 2 286 + ´ 12 23003 = + 10´ = 5,566,367 ´ 104 mm4
  • 53.
    Prof. Dr. ZahidAhmad Siddiqi Sxt = Sxc = f x th I 2 2 + ´ = 47,253 ´ 103 mm3 Critical Compression Flange Stress (Fcr) LTB – Portion AB And CD Lb = 7.00 m Lp = 0.0311 rt = 4.85 m Lr = 0.1062 rt = 16.57 m Mx = 1519 x – 76.9 x2 / 2 Mmax = 8749.0 MA = 2540.5 MB = 4845.5 MC = 6915.0
  • 54.
    Prof. Dr. ZahidAhmad Siddiqi Cb = CBA MMMM M 3435.2 5.12 max max +++ = )0.6915(3)5.4845(4)5.2540(3)0.8749(5.2 0.87495.12 +++ ´ = 1.57 For Lp < Lb £ Lr Fcr = Cb Fy ú ú û ù ê ê ë é ÷ ÷ ø ö ç ç è æ - - - pr pb LL LL 3.01 £ Fy = 1.57 ´ 250 ú û ù ê ë é ÷ ø ö ç è æ - - - 85.457.16 85.400.7 3.01 £ 250 MPa = 370.90 £ 250 MPa Fcr = Fy = 250 MPa
  • 55.
    Prof. Dr. ZahidAhmad Siddiqi LTB – Portion BC Lb = 6.00 m Lp = 4.85 m Lr = 16.57 m Mx = 5250 + 769 x – 76.9 x2 / 2 Mmax = 9095.0 MA = 9008.5 MB = 9095.0 MC = 9008.0 Cb = CBA MMMM M 3435.2 5.12 max max +++ = 1.00
  • 56.
    Prof. Dr. ZahidAhmad Siddiqi For Lp < Lb £ Lr Fcr = Cb Fy ú ú û ù ê ê ë é ÷ ÷ ø ö ç ç è æ - - - pr pb LL LL 3.01 £ Fy = 1.00 ´ 250 ú û ù ê ë é ÷ ø ö ç è æ - - - 85.457.16 85.400.6 3.01 £ 250 MPa = 242.6 £ 250 MPa Fcr = 242.6 MPa FLB l = 10.71 lp = 10.8 lr = 19 l < lp Fcr = 250 MPa
  • 57.
    Prof. Dr. ZahidAhmad Siddiqi Plate Girder Bending Strength Reduction Factor (Rpg): flangecompoftb th ff w . 28600 102300 ´ ´ aw = = = 1.37 Rpg = 1 - ÷ ÷ ø ö ç ç è æ - + yww w F E t h a a 7.5 3001200 £ 1.0 37.13001200 37.1 ´+ ÷÷ ø ö çç è æ - 250 2550 10 2300 = 1 - for A36 steel= 0.942
  • 58.
    Prof. Dr. ZahidAhmad Siddiqi Check For Strength: fbMn =fb Sxc Rpg Fcr / 106 =0.9 ´ 47,253 ´ 103 ´ 0.942 ´ 242.6 / 106 =9718.8 kN-m > (Mu)max = 9095 kN-m OK Note:Up to 15% difference on safe side is OK, otherwise, revise by reducing flange size. Less than 1% difference may be allowed on unsafe side, otherwise, revise by selecting larger flanges.
  • 59.
    Prof. Dr. ZahidAhmad Siddiqi Theoretical Location Where Half Flange Area May Be Curtailed Note: Reduced flange area is expected only in end panels for this simply supported girder. Half Flange Size Reduced Af= 2 28600´ Let bf » h/5 = 500 mm = 8,400 mm2 tf = 500 400,8 » 16.8 mm say 18 mm l = 182 500 ´ = 13.9 < lr = 19 OK
  • 60.
    Prof. Dr. ZahidAhmad Siddiqi Trial Reduced Flange Size = 500´18 mm Calculation of rt (Reduced Flange) 6 12 3 w f f f A A b t + 6 10230050018 12 50018 3 ´+´ ´ rt = = = 121 mm Calculation Of Fcr (Reduced Flange) LTB Note: Only the exterior unbraced length has the reduced flange for some part its length.
  • 61.
    Prof. Dr. ZahidAhmad Siddiqi Lb = 7.00 m Lp = 0.0311 rt = 3.76 m Lr = 0.1062 rt = 12.85 m Cb = 1.57 For Lp < Lb £ Lr Fcr = Cb Fy ú ú û ù ê ê ë é ÷ ÷ ø ö ç ç è æ - - - pr pb LL LL 3.01 £ Fy = 1.57 ´ 250 ú û ù ê ë é ÷ ø ö ç è æ - - - 76.385.12 76.300.7 3.01 £ 250 MPa = 350.53 MPa £ 250 MPa Fcr = 250 MPa
  • 62.
    Prof. Dr. ZahidAhmad Siddiqi FLB l = 13.9 lp = 10.8 lr = 19 lp < l £ lr Þ Fcr = 250 ú û ù ê ë é ÷ ø ö ç è æ - - - 8.1019 8.109.13 3.01 £ 250 MPa = 221.65 MPa £ 250 MPa Hence Fcr = 221.65 MPa
  • 63.
    Prof. Dr. ZahidAhmad Siddiqi Determination Of Rpg (Reduced Flange) aw = 18500 102300 ´ ´ = ff w tb ht = 2.56 Rpg = 1 - ÷ ÷ ø ö ç ç è æ - + yww w Ft h a a 2550 3001200 £ 1.0 (for A36 steel) 56.23001200 56.2 ´+ ÷÷ ø ö çç è æ - 250 2550 10 2300 = 1 - = 0.91
  • 64.
    Prof. Dr. ZahidAhmad Siddiqi M.O.I. And Section Modulus (Reduced Flange) Ix = ( ) 122 3 2 ht th A w f f ++ = ( ) 12 230010 182300 2 18500 3 2 ´ ++ ´ = 3,431,823´104 mm4 Sxc = )2( 2 f x th I + ´ = 29,382 ´ 103 mm3
  • 65.
    Prof. Dr. ZahidAhmad Siddiqi Flexural Strength (Reduced Flange) fbMn = fbSxcRpgFcr/106 = 0.9´29382´103´0.91´221.65/106 = 5333.8 kN-m Distance (x) Of Theoretical Cut-Off Point From End Assuming that cut-off point lies within the end panel, 1519 x - 2 9.76 2 x = 5333.8 38.45 x2 – 1519 x + 5333.8 = 0 x = 45.382 4.12191519 ´ ± = 3.9 m
  • 66.
    Prof. Dr. ZahidAhmad Siddiqi (Mu = 5333.8 kN-m, Vu = 1219.1 kN) Flange-To-Web Weld At the end Q = Af ÷÷ ø ö çç è æ + 2 fth = 500´18 ÷ ø ö ç è æ + 2 182300 = 10,431´103 mm3 Ix = 3,431,823 ´ 104 mm4 Vu = 1519 kN Shear flow = x u I QV = 0.462 kN/mm for welds on both faces = 0.231 kN/mm for weld on one side
  • 67.
    Prof. Dr. ZahidAhmad Siddiqi Weld Size tp1 = thickness of web = 10 mm tp2 = 18 or 28 mm (tw)min = 5 mm (tw)max = tp1 – 2 = 8 mm (tw)opt = 8 mm tw = 8 mm Weld Value Using E 70 Electrode 1) 0.75´8´0.707´1´0.6´495/1000 = 1.26 kN/mm 2) 0.75´10´1´0.6´400/1000 = 1.8 kN/mmRw = smaller of Rw = 1.26 kN/mm
  • 68.
    Prof. Dr. ZahidAhmad Siddiqi lw lw lw x Figure 6.12. Intermittent Flange-To-Web Weld. Note: Rw is significantly greater than the calculated shear flow. This means that intermittent weld is to be used in place of continuous weld. (lw)min = 4tw = 32 mm Let, lw = 50 mm x = c/c spacing of these welds
  • 69.
    Prof. Dr. ZahidAhmad Siddiqi Average weld strength per unit length = x Rww ´l = required strength per unit length x = 231.0 26.150´ = 272 mm Use 8´50 welds 250 mm c/c