Prof. Dr. Zahid Ahmad Siddiqi
Notes, Formulas And Definitions
Regarding Design Of Stiffeners
Note 1
At the junction of intermediate stiffener and flange,
equilibrium requires an axial tension to develop in
the flange of the adjacent panel.
When no such flange is available, as in an end
panel, the tension-field cannot adequately develop.
AISC Specification, therefore, consider that only
buckling strength (no tension-field action) is
available in that end panel.
Prof. Dr. Zahid Ahmad Siddiqi
Eq. 1
Eq. 2
Vn = Cv (0.6 Fy) Aw/1000 (kN)
fv = 0.9 (LRFD)
Wv = 1.67 (ASD)
For
y
v
w F
Ek
t
h
10.1£ Cv = 1.0
For
y
v
wy
v
F
Ek
t
h
F
Ek
37.110.1 ££
Cv =
w
yv
th
FEk
/
/10.1
inelastic buckling
Eq. 3
Prof. Dr. Zahid Ahmad Siddiqi
y
v
w F
Ek
t
h
37.1>
( ) yw
v
Fth
Ek
2
/
51.1
For Cv =
elastic buckling Eq. 4
( )2
/
5
ha
Eq. 5
Definition 2 kv = web plate buckling coefficient
kv = 5 +
Except k = 5.0, if, for unstiffened webs,
a/h > 3.0 or a/h >
2
260
ú
û
ù
ê
ë
é
wth
Prof. Dr. Zahid Ahmad Siddiqi
( )2
115.1
1
ha
Cv
+
-
Eq. 6Cv¢ =
bst
tst
Axis to determine Ist
Sectional Plan of Girder at Intermediate Stiffener Position
Prof. Dr. Zahid Ahmad Siddiqi
( )
5.02
5.2
2
³-
ha
Eq. 7
Definition 4
Ist = moment of inertia of the cross-
sectional area of a transverse stiffener taken
about the center of the web thickness when the
stiffener consists of a pair of plates
j =
Prof. Dr. Zahid Ahmad Siddiqi
Note 2: Stiffness Requirement For
Intermediate Stiffeners
Intermediate stiffeners must be sufficiently rigid to
keep the web at the stiffener from deflecting out-
of-plane when buckling of the web occurs.
Eq. 8Ist ³ j a tw
3 (AISC G 2.2)
( ) 018115.0 2
³÷÷
ø
ö
çç
è
æ
-- w
c
r
vw
yst
y
t
V
V
CthD
F
F
(Ast)min =
Eq. 9
Prof. Dr. Zahid Ahmad Siddiqi
Ds = factor to account for eccentric loading
on stiffeners
= 1.0 for stiffeners in pairs on each side of
web
= 1.8 for single angle stiffeners
= 2.4 for single plate stiffeners
Vr = required shear strength at the location
of the stiffener
Vs = available shear strength
= fv Vn (LRFD) or Vn / Wv (ASD)
Prof. Dr. Zahid Ahmad Siddiqi
Flow Chart For Design Of
Intermediate Stiffeners
Provide bearing stiffeners under
concentrated loads and over reactions
which will also act as intermediate stiffeners
h/tw £ yFE /46.2 (69.6 for A36 steel) AISC G2.2
Prof. Dr. Zahid Ahmad Siddiqi
No Yes
First interior stiffener in
end panels (See Note 1):
Intermediate stiffeners are
not required
If h/tw £ yFE /24.2
(63.4 for A36 steel) Cv = 1.0
Vu = ?
Required Cv =
wyv
u
AF0.6
1000V
´
´
f
where fv = 0.9
Assuming h/tw > 1.37
y
v
F
Ek
, from Eq. 4,
Prof. Dr. Zahid Ahmad Siddiqi
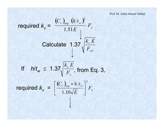
required kv =
( ) ( )
y
wreqv
F
E
thC
51.1
2
Calculate 1.37
yw
v
F
Ek
If h/tw £ 1.37
y
v
F
Ek
, from Eq. 3,
required kv =
( )
y
wreqv
F
E
thC
2
10.1
ú
û
ù
ê
ë
é ´
Prof. Dr. Zahid Ahmad Siddiqi
If kreq = 5 , select max. a / h smaller
out of 3.0 and
2
260
ú
û
ù
ê
ë
é
wth
Otherwise, From Eq. 5: max. a/h = 5
5
-reqk
Calculate amax amax = h
th w
´ú
û
ù
ê
ë
é
2
260
Decide a £ amax Select a rounded value.
Calculate Vn = 0.6 Aw Fy Cv/1000
Prof. Dr. Zahid Ahmad Siddiqi
Other Intermediate Stiffeners
A
Calculate (Vu)max within the portion between
already designed intermediate/bearing stiffeners.
Check whether intermediate stiffeners are required
or not ?
For this, calculate Cv without stiffeners and then
check the given conditions.
Prof. Dr. Zahid Ahmad Siddiqi
yF
1370
w
y
th
F1100
If h/tw £ Cv =
(For unstiffened webs with kv = 5.0)
yF
1370
( ) yw Fth
2
000,510,1
If h/tw > Cv =
(For unstiffened webs with kv = 5.0)
Check two Conditions:
1) Vu £ 0.6 fv Aw Fy Cv/1000 (fv = 0.9)
2) h/tw £ 260
Prof. Dr. Zahid Ahmad Siddiqi
Not to any one Yes to both
2
260
ú
û
ù
ê
ë
é
wth
( ) w
w
ht
th
´2
4.815
0.6,0.6,5.2
2
£££
+ ftfcftfc
w
b
h
b
h
AA
A
A
1. a £ If Vu £
3.
Decide stiffener trial spacing such that: No intermediate stiffeners are required.
´ h/1000
& a £ 3.0 ´ h/1000
Goto for other portions.
2. The selected ‘a’ should equally
divide the available distance.
for A36 steel considering k=5 and
finding Cv from Eq.4, amax =3h/1000
but Cv¢ = 0.
Where,
Afc= area of the compression flange
Aft = area of the tension flange
Prof. Dr. Zahid Ahmad Siddiqi
bfc = width of the compression flange
bft = width of the tension flange
Calculate a/h ratio and then calculate kv using Eq. 5.
Calculate the factor 1.37
y
v
F
Ek
Evaluate Cv from Eq. 3 or Eq. 4,
whichever is applicable.
If T.F.A. is to be considered, calculate Cv¢ using Eq. 6.
If T.F.A. is not present, Cv¢ = 0
Prof. Dr. Zahid Ahmad Siddiqi
Vn = 0.6 Aw Fy (Cv + Cv¢ )/1000 : fv Vn = ?
Vu £ fv Vn ?
Yes No
Spacing for all the
portions is decided.
Reduce ‘a’ and goto B
Size of Intermediate Stiffeners:
Calculate (Ast)min from Eq. 9 for T.F.A.
Prof. Dr. Zahid Ahmad Siddiqi
Figure
Gap between flange-to-
web weld and stiffener-to
web weld < 4 tw and > 6
tw, where tw = web
thickness
For stiffener plates on both
sides of web (pair of
stiffeners)
(b / t)st ≤ 0.56
yF
E
bst » ( )7 9. min.
Ast
and tst = bst/15.8
Case I
Prof. Dr. Zahid Ahmad Siddiqi
Check
b
t
st
st
£ 15.8, Otherwise revise.
Calculate “j” using Eq. 7 and (Ist)min using Eq. 8
Ist » 2 tst
3
3
stb
for plate stiffeners on both sides
( )[ ]41
.minstI
8.15
stb
bst = 2.21 and tst = Case II
Select bigger values of bst and tst for
(Ast)min [Case I] and (Ist)min [Case II]
Prof. Dr. Zahid Ahmad Siddiqi
If T.F.A. is considered, find total shear transfer for
intermediate stiffeners as follows:
fnv = ÷
ø
ö
ç
è
æ
mm
kN
1000
045.0
3
E
F
h
y
= 0.0004 h
kN
mm
æ
è
ç
ö
ø
÷ for A36 steel
Bolts connecting stiffeners to the girder web should
have a maximum spacing of 305 mm on centers.
The clear distance between intermittent fillet welds
should not be more than 16 times the web thickness
and 250 mm.
Prof. Dr. Zahid Ahmad Siddiqi
Design intermittent weld for this shear.
END
Prof. Dr. Zahid Ahmad Siddiqi
Flow Chart For Design
Of Bearing Stiffeners
Check Whether Bearing Stiffener Is Required Or
Not
Following four conditions are to be satisfied to avoid
the provision of bearing stiffeners.
If any one condition is not satisfied, design and
provide a bearing stiffener.
Prof. Dr. Zahid Ahmad Siddiqi
1. Local Web Yielding
Pu = factored concentrated load or
reaction, kN
N = length of bearing, not less than k for
end beam reactions, mm
k = distance from outer face of flange
to web toe of fillet, mm
Rn = nominal strength
f = 1.0
Prof. Dr. Zahid Ahmad Siddiqi
2.5k 2.5kN
Pu
k
Interior loads:
Rn = (5k + N) Fy tw/1000 (kN)
For load at a distance greater than the depth of
member from the end.
Prof. Dr. Zahid Ahmad Siddiqi
End reactions:
Rn = (2.5k + N) Fy tw/1000 (kN)
Transverse stiffeners are not required when
Pu £ f Rn with f = 1.0
The weld connecting transverse stiffener to the
web shall be designed for the unbalanced force
in the stiffener to the web.
2. Web Crippling
Single stiffener or a pair of transverse stiffeners, is
not required where:
Pu £ f Rn with f = 0.75
Prof. Dr. Zahid Ahmad Siddiqi
a) When Pu is applied at a distance from the
member end that is greater than or equal to
d / 2,
Rn =
w
fy
f
w
w
t
tFE
t
t
d
N
t
ú
ú
û
ù
ê
ê
ë
é
÷
÷
ø
ö
ç
ç
è
æ
÷
ø
ö
ç
è
æ
+
5.1
2
3180.0
b) When Pu is applied at a distance from the
member end that is less than d/2,
For N / d £ 0.2, Rn = half of the above value
For N / d > 0.2, Rn =
w
fy
f
w
w
t
tFE
t
t
d
N
t
ú
ú
û
ù
ê
ê
ë
é
÷
÷
ø
ö
ç
ç
è
æ
÷
ø
ö
ç
è
æ
-+
5.1
2
2.0
4
140.0
Prof. Dr. Zahid Ahmad Siddiqi
3. Web Sidesway Buckling
A pair of transverse stiffeners extending at least
one-half the depth of the web is to be provided if
the following condition is not satisfied:
Pu ≤ f Rn
with f = 0.85 (LRFD) and W = 1.76 (ASD)
Where Rn is evaluated as follows:
Prof. Dr. Zahid Ahmad Siddiqi
f
w
b
th
/
/
l
f
w
b
th
/
/
l ú
ú
û
ù
ê
ê
ë
é
÷
÷
ø
ö
ç
ç
è
æ
3
2
3
/
/
4.0
f
wfwr
b
th
h
ttC
l
f
w
b
th
/
/
l
a) The compression flange is not restrained
against rotation.
i) > 1.7, the bearing stiffener is not required.
ii) ≤ 1.7, Rn =
b) The compression flange is restrained against
rotation.
i) > 2.3, the bearing stiffener is not required.
Prof. Dr. Zahid Ahmad Siddiqi
l = largest laterally unbraced length along
either flange at the point of load, mm
Cr = 6.62 ´ 106 MPa when Mu < My at the
location of Pu
= 3.31 ´ 106 MPa when Mu ³ My at the
location of Pu
f
w
b
th
/
/
l
ii) ≤ 2.3, Rn =
ú
ú
û
ù
ê
ê
ë
é
÷
÷
ø
ö
ç
ç
è
æ
+
3
2
3
/
/
4.01
f
wfwr
b
th
h
ttC
l
Prof. Dr. Zahid Ahmad Siddiqi
4. Fourth Condition
When the section for provision of the stiffener is
restrained against rotation about the longitudinal
axis of the beam in case of unframed ends of
beams and girders, transverse stiffener is not
required to be provided.
Are all the four conditions satisfied?
Yes. No bearing stiffeners are required; provide
only intermediate stiffener. However, it is
better to use a minimum size bearing
stiffener.
Prof. Dr. Zahid Ahmad Siddiqi
No. 2
wf tb -
15
stb
Let bst = & tst =
Note: For transverse and diagonal stiffeners, the
following requirements must be satisfied:
bst ³ bf / 3 - ½ tw
tst ³ tf / 2
tst ³ bst / 15
Prof. Dr. Zahid Ahmad Siddiqi
Check Bearing Strength
f = 0.75
Rbn = nominal bearing strength
= 1.8 Fy Apb / 1000 (kN)
Apb = contact area of stiffener bearing against
the flange
= area of stiffener leaving the web and the
web-to-flange weld
Prof. Dr. Zahid Ahmad Siddiqi
Yes No
Pu £ f Rbn
Increase tst and revise
Check Column Action
Equivalent length le ³ 3/4 lst
or le = 3/4 h
Ae = total area of x-section
= (25 tw or 12 tw) (tw) + 2 bst tst
Prof. Dr. Zahid Ahmad Siddiqi
12
3
wt
12
3
stb
I = M.O.I about web center-line
= (25 tw or 12 tw) + 2 tst
+ 1/2 tst bst (bst + tw)2
Bending/buckling
axis
Stiffener
25 tw for interior stiffener
& 12 tw for end stiffener
Web
2bst + tw
Figure 6.21. Equivalent Column
Cross-Section.
Prof. Dr. Zahid Ahmad Siddiqi
r =
eA
I
Slenderness ratio =
r
el
Find fc Fcr against slenderness ratio from tables.
fc Pn = fc Fcr Ae/1000
Prof. Dr. Zahid Ahmad Siddiqi
Pu £ fc Pn
NoYes
Provide continuous weld
but check the shear
transfer
Increase tst and again check
column action.
END

Steel strucure lec # (13)

  • 1.
    Prof. Dr. ZahidAhmad Siddiqi Notes, Formulas And Definitions Regarding Design Of Stiffeners Note 1 At the junction of intermediate stiffener and flange, equilibrium requires an axial tension to develop in the flange of the adjacent panel. When no such flange is available, as in an end panel, the tension-field cannot adequately develop. AISC Specification, therefore, consider that only buckling strength (no tension-field action) is available in that end panel.
  • 2.
    Prof. Dr. ZahidAhmad Siddiqi Eq. 1 Eq. 2 Vn = Cv (0.6 Fy) Aw/1000 (kN) fv = 0.9 (LRFD) Wv = 1.67 (ASD) For y v w F Ek t h 10.1£ Cv = 1.0 For y v wy v F Ek t h F Ek 37.110.1 ££ Cv = w yv th FEk / /10.1 inelastic buckling Eq. 3
  • 3.
    Prof. Dr. ZahidAhmad Siddiqi y v w F Ek t h 37.1> ( ) yw v Fth Ek 2 / 51.1 For Cv = elastic buckling Eq. 4 ( )2 / 5 ha Eq. 5 Definition 2 kv = web plate buckling coefficient kv = 5 + Except k = 5.0, if, for unstiffened webs, a/h > 3.0 or a/h > 2 260 ú û ù ê ë é wth
  • 4.
    Prof. Dr. ZahidAhmad Siddiqi ( )2 115.1 1 ha Cv + - Eq. 6Cv¢ = bst tst Axis to determine Ist Sectional Plan of Girder at Intermediate Stiffener Position
  • 5.
    Prof. Dr. ZahidAhmad Siddiqi ( ) 5.02 5.2 2 ³- ha Eq. 7 Definition 4 Ist = moment of inertia of the cross- sectional area of a transverse stiffener taken about the center of the web thickness when the stiffener consists of a pair of plates j =
  • 6.
    Prof. Dr. ZahidAhmad Siddiqi Note 2: Stiffness Requirement For Intermediate Stiffeners Intermediate stiffeners must be sufficiently rigid to keep the web at the stiffener from deflecting out- of-plane when buckling of the web occurs. Eq. 8Ist ³ j a tw 3 (AISC G 2.2) ( ) 018115.0 2 ³÷÷ ø ö çç è æ -- w c r vw yst y t V V CthD F F (Ast)min = Eq. 9
  • 7.
    Prof. Dr. ZahidAhmad Siddiqi Ds = factor to account for eccentric loading on stiffeners = 1.0 for stiffeners in pairs on each side of web = 1.8 for single angle stiffeners = 2.4 for single plate stiffeners Vr = required shear strength at the location of the stiffener Vs = available shear strength = fv Vn (LRFD) or Vn / Wv (ASD)
  • 8.
    Prof. Dr. ZahidAhmad Siddiqi Flow Chart For Design Of Intermediate Stiffeners Provide bearing stiffeners under concentrated loads and over reactions which will also act as intermediate stiffeners h/tw £ yFE /46.2 (69.6 for A36 steel) AISC G2.2
  • 9.
    Prof. Dr. ZahidAhmad Siddiqi No Yes First interior stiffener in end panels (See Note 1): Intermediate stiffeners are not required If h/tw £ yFE /24.2 (63.4 for A36 steel) Cv = 1.0 Vu = ? Required Cv = wyv u AF0.6 1000V ´ ´ f where fv = 0.9 Assuming h/tw > 1.37 y v F Ek , from Eq. 4,
  • 10.
    Prof. Dr. ZahidAhmad Siddiqi required kv = ( ) ( ) y wreqv F E thC 51.1 2 Calculate 1.37 yw v F Ek If h/tw £ 1.37 y v F Ek , from Eq. 3, required kv = ( ) y wreqv F E thC 2 10.1 ú û ù ê ë é ´
  • 11.
    Prof. Dr. ZahidAhmad Siddiqi If kreq = 5 , select max. a / h smaller out of 3.0 and 2 260 ú û ù ê ë é wth Otherwise, From Eq. 5: max. a/h = 5 5 -reqk Calculate amax amax = h th w ´ú û ù ê ë é 2 260 Decide a £ amax Select a rounded value. Calculate Vn = 0.6 Aw Fy Cv/1000
  • 12.
    Prof. Dr. ZahidAhmad Siddiqi Other Intermediate Stiffeners A Calculate (Vu)max within the portion between already designed intermediate/bearing stiffeners. Check whether intermediate stiffeners are required or not ? For this, calculate Cv without stiffeners and then check the given conditions.
  • 13.
    Prof. Dr. ZahidAhmad Siddiqi yF 1370 w y th F1100 If h/tw £ Cv = (For unstiffened webs with kv = 5.0) yF 1370 ( ) yw Fth 2 000,510,1 If h/tw > Cv = (For unstiffened webs with kv = 5.0) Check two Conditions: 1) Vu £ 0.6 fv Aw Fy Cv/1000 (fv = 0.9) 2) h/tw £ 260
  • 14.
    Prof. Dr. ZahidAhmad Siddiqi Not to any one Yes to both 2 260 ú û ù ê ë é wth ( ) w w ht th ´2 4.815 0.6,0.6,5.2 2 £££ + ftfcftfc w b h b h AA A A 1. a £ If Vu £ 3. Decide stiffener trial spacing such that: No intermediate stiffeners are required. ´ h/1000 & a £ 3.0 ´ h/1000 Goto for other portions. 2. The selected ‘a’ should equally divide the available distance. for A36 steel considering k=5 and finding Cv from Eq.4, amax =3h/1000 but Cv¢ = 0. Where, Afc= area of the compression flange Aft = area of the tension flange
  • 15.
    Prof. Dr. ZahidAhmad Siddiqi bfc = width of the compression flange bft = width of the tension flange Calculate a/h ratio and then calculate kv using Eq. 5. Calculate the factor 1.37 y v F Ek Evaluate Cv from Eq. 3 or Eq. 4, whichever is applicable. If T.F.A. is to be considered, calculate Cv¢ using Eq. 6. If T.F.A. is not present, Cv¢ = 0
  • 16.
    Prof. Dr. ZahidAhmad Siddiqi Vn = 0.6 Aw Fy (Cv + Cv¢ )/1000 : fv Vn = ? Vu £ fv Vn ? Yes No Spacing for all the portions is decided. Reduce ‘a’ and goto B Size of Intermediate Stiffeners: Calculate (Ast)min from Eq. 9 for T.F.A.
  • 17.
    Prof. Dr. ZahidAhmad Siddiqi Figure Gap between flange-to- web weld and stiffener-to web weld < 4 tw and > 6 tw, where tw = web thickness For stiffener plates on both sides of web (pair of stiffeners) (b / t)st ≤ 0.56 yF E bst » ( )7 9. min. Ast and tst = bst/15.8 Case I
  • 18.
    Prof. Dr. ZahidAhmad Siddiqi Check b t st st £ 15.8, Otherwise revise. Calculate “j” using Eq. 7 and (Ist)min using Eq. 8 Ist » 2 tst 3 3 stb for plate stiffeners on both sides ( )[ ]41 .minstI 8.15 stb bst = 2.21 and tst = Case II Select bigger values of bst and tst for (Ast)min [Case I] and (Ist)min [Case II]
  • 19.
    Prof. Dr. ZahidAhmad Siddiqi If T.F.A. is considered, find total shear transfer for intermediate stiffeners as follows: fnv = ÷ ø ö ç è æ mm kN 1000 045.0 3 E F h y = 0.0004 h kN mm æ è ç ö ø ÷ for A36 steel Bolts connecting stiffeners to the girder web should have a maximum spacing of 305 mm on centers. The clear distance between intermittent fillet welds should not be more than 16 times the web thickness and 250 mm.
  • 20.
    Prof. Dr. ZahidAhmad Siddiqi Design intermittent weld for this shear. END
  • 21.
    Prof. Dr. ZahidAhmad Siddiqi Flow Chart For Design Of Bearing Stiffeners Check Whether Bearing Stiffener Is Required Or Not Following four conditions are to be satisfied to avoid the provision of bearing stiffeners. If any one condition is not satisfied, design and provide a bearing stiffener.
  • 22.
    Prof. Dr. ZahidAhmad Siddiqi 1. Local Web Yielding Pu = factored concentrated load or reaction, kN N = length of bearing, not less than k for end beam reactions, mm k = distance from outer face of flange to web toe of fillet, mm Rn = nominal strength f = 1.0
  • 23.
    Prof. Dr. ZahidAhmad Siddiqi 2.5k 2.5kN Pu k Interior loads: Rn = (5k + N) Fy tw/1000 (kN) For load at a distance greater than the depth of member from the end.
  • 24.
    Prof. Dr. ZahidAhmad Siddiqi End reactions: Rn = (2.5k + N) Fy tw/1000 (kN) Transverse stiffeners are not required when Pu £ f Rn with f = 1.0 The weld connecting transverse stiffener to the web shall be designed for the unbalanced force in the stiffener to the web. 2. Web Crippling Single stiffener or a pair of transverse stiffeners, is not required where: Pu £ f Rn with f = 0.75
  • 25.
    Prof. Dr. ZahidAhmad Siddiqi a) When Pu is applied at a distance from the member end that is greater than or equal to d / 2, Rn = w fy f w w t tFE t t d N t ú ú û ù ê ê ë é ÷ ÷ ø ö ç ç è æ ÷ ø ö ç è æ + 5.1 2 3180.0 b) When Pu is applied at a distance from the member end that is less than d/2, For N / d £ 0.2, Rn = half of the above value For N / d > 0.2, Rn = w fy f w w t tFE t t d N t ú ú û ù ê ê ë é ÷ ÷ ø ö ç ç è æ ÷ ø ö ç è æ -+ 5.1 2 2.0 4 140.0
  • 26.
    Prof. Dr. ZahidAhmad Siddiqi 3. Web Sidesway Buckling A pair of transverse stiffeners extending at least one-half the depth of the web is to be provided if the following condition is not satisfied: Pu ≤ f Rn with f = 0.85 (LRFD) and W = 1.76 (ASD) Where Rn is evaluated as follows:
  • 27.
    Prof. Dr. ZahidAhmad Siddiqi f w b th / / l f w b th / / l ú ú û ù ê ê ë é ÷ ÷ ø ö ç ç è æ 3 2 3 / / 4.0 f wfwr b th h ttC l f w b th / / l a) The compression flange is not restrained against rotation. i) > 1.7, the bearing stiffener is not required. ii) ≤ 1.7, Rn = b) The compression flange is restrained against rotation. i) > 2.3, the bearing stiffener is not required.
  • 28.
    Prof. Dr. ZahidAhmad Siddiqi l = largest laterally unbraced length along either flange at the point of load, mm Cr = 6.62 ´ 106 MPa when Mu < My at the location of Pu = 3.31 ´ 106 MPa when Mu ³ My at the location of Pu f w b th / / l ii) ≤ 2.3, Rn = ú ú û ù ê ê ë é ÷ ÷ ø ö ç ç è æ + 3 2 3 / / 4.01 f wfwr b th h ttC l
  • 29.
    Prof. Dr. ZahidAhmad Siddiqi 4. Fourth Condition When the section for provision of the stiffener is restrained against rotation about the longitudinal axis of the beam in case of unframed ends of beams and girders, transverse stiffener is not required to be provided. Are all the four conditions satisfied? Yes. No bearing stiffeners are required; provide only intermediate stiffener. However, it is better to use a minimum size bearing stiffener.
  • 30.
    Prof. Dr. ZahidAhmad Siddiqi No. 2 wf tb - 15 stb Let bst = & tst = Note: For transverse and diagonal stiffeners, the following requirements must be satisfied: bst ³ bf / 3 - ½ tw tst ³ tf / 2 tst ³ bst / 15
  • 31.
    Prof. Dr. ZahidAhmad Siddiqi Check Bearing Strength f = 0.75 Rbn = nominal bearing strength = 1.8 Fy Apb / 1000 (kN) Apb = contact area of stiffener bearing against the flange = area of stiffener leaving the web and the web-to-flange weld
  • 32.
    Prof. Dr. ZahidAhmad Siddiqi Yes No Pu £ f Rbn Increase tst and revise Check Column Action Equivalent length le ³ 3/4 lst or le = 3/4 h Ae = total area of x-section = (25 tw or 12 tw) (tw) + 2 bst tst
  • 33.
    Prof. Dr. ZahidAhmad Siddiqi 12 3 wt 12 3 stb I = M.O.I about web center-line = (25 tw or 12 tw) + 2 tst + 1/2 tst bst (bst + tw)2 Bending/buckling axis Stiffener 25 tw for interior stiffener & 12 tw for end stiffener Web 2bst + tw Figure 6.21. Equivalent Column Cross-Section.
  • 34.
    Prof. Dr. ZahidAhmad Siddiqi r = eA I Slenderness ratio = r el Find fc Fcr against slenderness ratio from tables. fc Pn = fc Fcr Ae/1000
  • 35.
    Prof. Dr. ZahidAhmad Siddiqi Pu £ fc Pn NoYes Provide continuous weld but check the shear transfer Increase tst and again check column action. END