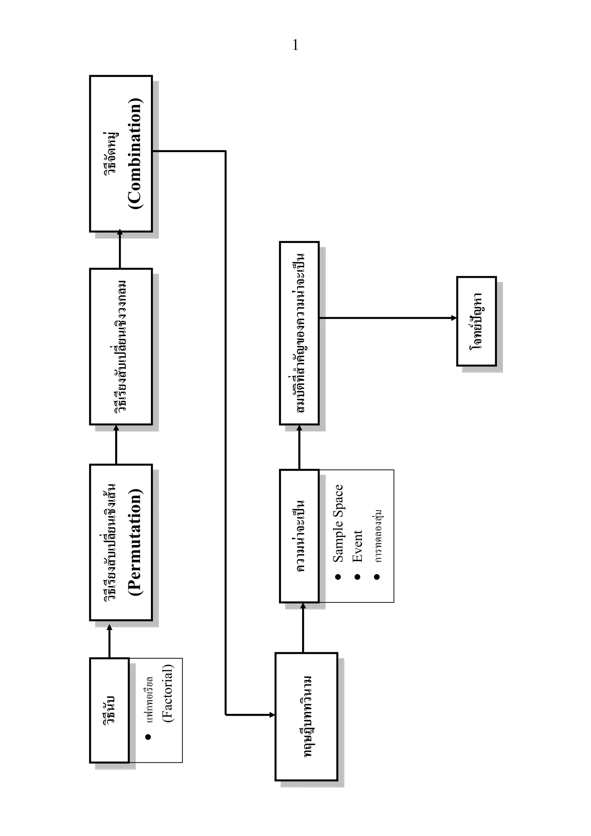
1
วิธีนับ
•แฟกทอเรียล
(Factorial)
วิธีเรียงสับเปลี่ยนเชิงเสน
(Permutation)
วิธีเรียงสับเปลี่ยนเชิงวงกลม
วิธีจัดหมู
(Combination)
ทฤษฎีบททวินามความนาจะเปน
•SampleSpace
•Event
•การทดลองสุม
สมบัติที่สําคัญของความนาจะเปน
โจทยปญหา
2
ความนาจะเปน
1. กฎเกณฑเบื้องตนเกี่ยวกับการนับ
จํานวนวิธีที่เราใชในการนับ แบงออกเปนหลักการคูณ และ หลักการบวก ในการนับจํานวน
วิธีที่ตองมีขั้นตอนการนับ หลายขั้นตอน และมีการทํางานที่ตอเนื่องกันได เราสามารถใชหลักการ
คูณการทํางานแตละขั้นตอน ออกมาเปนจํานวนวิธีนับรวมได เชน การนับจํานวนวิธีใสเสื้อและ
กางเกง กอนออกจากบาน ถามีเสื้อ 3 ตัว 3 สี และมีกางเกง 3 ตัว 3 สี เชนเดียวกัน เราสามารถ
นับจํานวนวิธีการแตงตัวกอนออกจากบานได โดยมีการทํางานตามขั้นตอนตางๆดังนี้
ขั้นตอน 1 ขั้นตอนการใสเสื้อ -สามารถเลือกใสเสื้อได 3 แบบ
ขั้นตอน 2 ขั้นตอนการใสกางเกง –สามารถเลือกใสกางเกงได 3 แบบ เชนเดียวกัน
รวมจํานวนวิธีที่จะเลือกทั้งเสื้อและกางเกงได 3x3 = 9 แบบ
ถาการทํางานมี r ขั้นตอน คือ ขั้นตอน 1 สามารถทํางานได n1 วิธี
ขั้นตอนที่ 2 สามารถทํางานได n2 วิธี,
ขั้นตอนที่ 3 สามารถทํางานได n3 วิธี,…
ขั้นตอนที่ r สามารถทํางานได nr วิธี⇒ สามารถนับจํานวนวิธีการทํางานรวมได
1 2 3 4 ... rn n n n n⋅ ⋅ ⋅ ⋅ ⋅
ตัวอยาง เชน
1. มีหีบอยู 5 ใบ ถาเรานําลูกบอล 3 ลูกใสลงในหีบจะมีวิธีการใสไดกี่วิธี
วิธีทํา
1) นําลูกบอลลูกแรก เลือกใสหีบ สามารถเลือกได 5 แบบ คือ
2) นําลูกบอลลูกที่ 2 เลือกใสหีบ สามารถเลือกได 5 วิธี เชนกัน
1 2 3 4 5
3
3) นําลูกบอลลูกที่ 3 เลือกใสหีบ สามารถเลือกได 5 วิธี เชนกัน
รวมจํานวนวิธีทั้งหมด เทากับ 5x5x5=125 วิธี
2. กําหนดใหใชตัวเลข 0,1,2,3,4 และ 5 สรางจํานวนที่มี 3 หลัก (ตั้งแต 100 ถึง
999) โดยมีเงื่อนไขตอไปนี้
ก. ตัวเลขที่ใชในแตละหลักตองไมซ้ํากัน
ข. ตัวเลขที่ใชในแตละหลักตองไมซ้ํากันและเปนจํานวนคี่
ค. ตัวเลขที่ใชในแตละหลักตองไมซ้ํากันและมีคามากกวา 300
ง. ตัวเลขที่ใชในแตละหลักตองไมซ้ํากัน และเปนจํานวนที่ 10 หารลงตัว
วิธีทํา
ก. สรางจํานวนที่มี 3 หลัก (100-999) ไมซ้ํา
-ตัวเลขหลักรอย สามารถเลือกตัวเลขได จํานวน 5 ตัว คือ 1,2,3,4,5
-ตัวเลขหลักสิบ สามารถเลือกตัวเลขไดจํานวน 5 ตัว คือ ตัวเลขที่เหลือจากการเลือกหลักรอยไป
แลว(ทั้งหมดมี 6 ตัว คือ 0,1,2,3,4,5 …. เลือกไปแลว 1 เหลือ 5)
-ตัวเลขหลักหนวย สามารถเลือกตัวเลขไดจํานวน 4 ตัว คือ ตัวเลขที่เหลือจากการเลือกหลักรอย
และหลักสิบไปแลว(ทั้งหมดมี 6 ตัว คือ 0,1,2,3,4,5 …. เลือกไปแลว 2 เหลือ 4)
∴สามารถสรางได 5x5x4=100 จํานวน
ข. สรางจํานวน 3 หลักไมซ้ํากัน และเปนจํานวนคี่
-ตัวเลขหลักหนวย สามารถเลือกตัวเลขได จํานวน 3 ตัว คือ 1,3,5
-ตัวเลขหลักรอย สามารถเลือกตัวเลขได จํานวน 4 ตัว คือ ตัวเลขที่เหลือจากการเลือกหลักหนวย
ไปแลว และหามเปนศูนย(ทั้งหมดมี 6 ตัว คือ 0,1,2,3,4,5……เลือกไปแลว 1 และหาม
เปนศูนย เหลือ 4)
5 5 4
(1,2,3,4,5)
× ×
4 4 3
(1,3,5)
× ×
4
-ตัวเลขหลักสิบ สามารถเลือกตัวเลขได จํานวน 4 ตัว คือ ตัวเลขที่เหลือจากการเลือกหลักหนวย
และหลักรอยไปแลว(ทั้งหมดมี 6 ตัว คือ 0,1,2,3,4,5……เลือกไปแลว 2 เหลือ 4)
∴สามารถสรางได 4x4x3=48 จํานวน
ค. สรางจํานวน 3 หลักไมซ้ํากัน และมีคามากกวา 300
-ตัวเลขหลักรอย สามารถเลือกตัวเลขได จํานวน 3 ตัว คือ 3,4,5
-ตัวเลขหลักสิบ สามารถเลือกตัวเลขได จํานวน 5 ตัว คือ ตัวเลขที่เหลือจากการเลือกหลักรอยไป
แลวจากทั้งหมด 6 ตัว
-ตัวเลขหลักหนวย สามารถเลือกตัวเลขได จํานวน 4 ตัว คือ ตัวเลขที่เหลือจากการเลือกหลักรอย
และหลักสิบไปแลว
∴สามารถสรางได 3x5x4=60 จํานวน
ง. สรางจํานวน 3 หลักไมซ้ํากัน และเปนตัวเลขที่ 10 หารลงตัว
-ตัวเลขหลักหนวย สามารถเลือกตัวเลขได จํานวน 1 ตัว คือ 0 (ตัวเลขที่ 10 หารลงตัว ตองลง
ทายดวย 0)
-ตัวเลขหลักสิบ สามารถเลือกตัวเลขได จํานวน 5 ตัว คือ ตัวเลขที่เหลือจากการเลือกหลักหนวยไป
แลวจากทั้งหมด 6 ตัว
- ตัวเลขหลักรอย สามารถเลือกตัวเลขได จํานวน 4 ตัว คือ ตัวเลขที่เหลือจากการเลือกหลักหนวย
และหลักสิบไปแลว 2 ตัวจากทั้งหมด 6 ตัว
∴สามารถสรางได 4x5x1=20 จํานวน
3 5 4
(3,4,5)
× ×
4 5 1
(0)
× ×
5
กรณีการนับ แบบใชวิธี หลักการบวก คือจะออกแบบวิธีนับแยกเปนกรณี วามีทั้งหมดกี่กรณี
และนับจํานวนวิธีในแตละกรณี วามีจํานวนแบบวิธีเทาใด แลวนํามาบวกกัน เชน จากตัวอยางขอที่
แลว
จงหาจํานวนวิธีสรางตัวเลข 3 หลัก ที่แตละหลักไมซ้ํากัน และมีคามากกวา 350 แบงเปน
กรณีที่ 1 –ตัวเลขในหลักรอย เปน 3 มีจํานวนวิธีในการสรางดังนี้
-ตัวเลขหลักรอยเปน 3 สามารถเลือกได 1 วิธี
-ตัวเลขหลักสิบเปน 5 สามารถเลือกได 1 วิธี
-ตัวเลขหลักหนวย สามารถเลือกได 4 ตัว คือ 0,1,2,4
∴สามารถสรางได 1x1x4= 4 จํานวน
กรณีที่ 2 –ตัวเลขในหลักรอย เปน 4,5 มีจํานวนวิธีในการสรางดังนี้
-ตัวเลขหลักรอยเปน 4,5 สามารถเลือกได 2 วิธี
-ตัวเลขหลักสิบ สามารถเลือกได 5 วิธี คือ ตัวเลขที่เหลือจากการเลือกหลักรอยไป 1 ตัวจาก
ทั้งหมด 6 ตัว
-ตัวเลขหลักหนวย สามารถเลือกได 4 วิธี คือ ตัวเลขที่เหลือจากการเลือกหลักรอยและหลักสิบไป
2 ตัวจากทั้งหมด 6 ตัว
∴สามารถสรางได 2x5x4= 40 จํานวน
รวมจํานวนวิธีทั้งหมดโดยใชหลักการบวกทั้ง 2 กรณี คือ 4+40= 44 จํานวน
2. แฟกทอเรียล (Factorial)
เราใชสัญลักษณ !n แทนแฟคทอเรียล มีความหมายดังนี้
! ( 1)( 2)( 3)...(2)(1)n n n n n= − − −
1 1 4
(5)
× ×
(3) (0,1,2,4)
2 5 4× ×
(4,5)
6
ตัวอยาง เชน
1. จงหาคาของ 5!
5!=5x4x3x2x1
2. จงหาคาของ
5!
3!2!
5!
3!2!
=
5 4 3 2 1
3 2 1 2 1
× × × ×
× × × ×
3. วิธีเรียงสับเปลี่ยนเชิงเสน (Permutation)
3.1 วิธีเรียงสับเปลี่ยนเชิงเสนของสิ่งที่แตกตางกันทั้งหมด
เราใชสูตร r
!
P
( )!
n n
n r
=
− หมายถึง มีของ n สิ่ง เลือกมา r อยางแลวจัดเรียงสับเปลี่ยน
เปนเสนตรง
และในการวางสิ่งของ n สิ่ง เรียงเปนเสนตรง เราสามารถทําได n! วิธี
ตัวอยาง เชน
1. ในการแขงขันวิ่งระยะทาง 100 ม. มีผูเขาแขงขัน 8 คน จะมีกี่วิธีที่ผูเขาแขงขันไดรับ
เหรียญทอง เหรียญเงิน และเหรียญทองแดง ถาผูเขาแขงขันมีโอกาสที่จะชนะเทาๆกันทุก
คน
วิธีทํา จากจํานวนผูเขาแขงขัน 8 คน จะมีเพียง 3 คน ที่จะไดรับรางวัล 3 รางวัลที่แตกตางกันคือ
เหรียญทอง เหรียญเงิน และเหรียญทองแดง
ใชสูตร r
!
P
( )!
n n
n r
=
−
8
3
8!
P
(8 3)!
=
−
8
3
8!
P 8 7 6 336
5!
= = × × =
3.1 วิธีเรียงสับเปลี่ยนเชิงเสนของสิ่งที่มีบางสวนซ้ํากัน
เราใชสูตร
1 2 3
!
! ! !... !r
n
n n n n โดยของ n สิ่งมีของซ้ํากัน n1,n2,…,nr สิ่ง
ตัวอยาง เชน
7
1. จะมีวิธีนําตัวอักษรในคําวา MISSISSIPPI มาเรียงสับเปลี่ยนกันใหมทั้งหมดไดกี่วิธี
โดยไมจําเปนตองมีความหมาย(ตัวอักษรในคําวา MISSISSIPPI มีทั้งหมด 11
ตัว)
วิธีทํา
มีอักษรทั้งหมด 11 ตัว
มี m 1 ตัว
มี I 4 ตัว
มี S 4 ตัว
มี P 2 ตัว
4. วิธีเรียงสับเปลี่ยนเชิงวงกลม
ใชสูตร ( 1)!n − เมื่อ n คือ สิ่งของที่นํามาเรียงเปนวงกลมทั้งหมด
ตัวอยาง เชน
1. จงหาจํานวนวิธีที่สามารถจัดคน 6 คน นั่งรอบโตะกลม
วิธีทํา ( 1)! (6 1)! 5!n⇒ − = − =
2. จงหาจํานวนวิธีในการจัดคน 6 คน นั่งเปนวงกลม โดยที่ นาย ก. และ นาย ข.
ก. ตองนั่งติดกัน
ข. หามนั่งติดกัน
วิธีทํา ก. นั่งติดกัน วาดรูป
⇒ นําคน 5 คน มานั่งเรียงกันเปนวงกลม (5 1)! 4! 24⇒ − = = วิธี
⇒ สลับที่ ก และ ข ได 2! วิธี
⇒ รวมจํานวนวิธี 24(2!)= วิธี
11!
34,650
1!4!4!2!
⇒ = วิธี
ก ข
นํา นาย ก และนาย ข มาผูก
ติดกันนับเปน 1 คน จะเหลือ
คนทั้งหมด 5 คน (จาก
ทั้งหมด 6 คน)
8
ข. หามนั่งติดกัน
(จํานวนวิธีที่ ก และ ข หามนั่งติดกัน) = (จํานวนวิธีทั้งหมด)-(จํานวนวิธีที่ ก และ ข นั่งติดกัน)
(6 1)! 24(2!)
5! (24)(2!)
120 48
72
= − −
= −
= −
=
5. วิธีจัดหมู(Combination)
หมายถึง วิธีการเลือกสงของจํานวน r สิ่ง จากของทั้งหมด n สิ่ง จะสามารถเลือกไดดังนี้
r
!
!( )!
n n
C
r n r
=
−
ตัวอยาง เชน
1. มีนักเรียนอยูในหองทั้งหมด 30 คน ตองการเลือกนักเรียนมา 2 คน จะมีวิธีการเลือกกี่
แบบ
วิธีทํา
1) พิจารณาโจทย เปนการเลือกของ 2 สิ่ง จากสิ่งของทั้งหมด 30 สิ่ง โดยไมสนใจลําดับ
2) จะมีวิธีการเลือกได
30
2
30!
2!(30 2)!
C =
−
30!
2!(28)!
30 29
2
435
=
×
=
=
2. เสนขนานชุดหนึ่งมี 4 เสน ตัดกับเสนขนานอีกชุดหนึ่งซึ่งมี 3 เสน ทําใหเกิดรูปสี่เหลี่ยม
ดานขนานกี่รูป
วิธีทํา
1) พิจารณาวาสี่เหลี่ยมดานขนาน 1 รูป เกิดจากเสนขนานในแนวตั้ง 2 เสน ตัดกับเสนขนาน
ในแนวนอน 2 เสน
2) ออกแบบการทํางานโดย
แบบ
9
2.1) เลือกเสนขนานในแนวตั้งจํานวน 2 เสน จากทั้งหมด 4 เสน
4
2
4 3 2!
6
2!2!
C
× ×
⇒ = = วิธี
2.2) เลือกเสนขนานในแนวนอนจํานวน 2 เสน จากทั้งหมด 3 เสน
3
2
3 2!
3
2!1!
C
×
⇒ = = วิธี
2.3) รวมวิธีการทํางาน 6 3 18⇒ × = วิธี
3) เสนขนาน 4 เสน ตัดกับเสนขนาน 3 เสน สามารถทําใหเกิดรูปสี่เหลี่ยมดานขนานจํานวน
ทั้งหมด 18 รูป
3. มีลูกตุมขนาดตางๆกัน คือ ขนาด 2,6,10,11,15 และ 19 กิโลกรัม จะใชตุมน้ําหนัก
เหลานี้ชั่งของไดทั้งหมดกี่วิธี
วิธีทํา
1) ออกแบบการทํางาน โดยแบงเปนกรณีการทํางาน ไดดังนี้
1.1) เลือกลูกตุมน้ําหนักมาใชเพียง 1 ลูก
6
1C⇒ วิธี
1.2) เลือกลูกตุมน้ําหนักมาใช 2 ลูก
6
2C⇒ วิธี
1.3) เลือกลูกตุมน้ําหนักมาใช 3 ลูก
6
3C⇒ วิธี
1.4) เลือกลูกตุมน้ําหนักมาใช 4 ลูก
6
4C⇒ วิธี
1.5) เลือกลูกตุมน้ําหนักมาใช 5 ลูก
6
5C⇒ วิธี
1.6) เลือกลูกตุมน้ําหนักมาใช 6 ลูก
6
6C⇒ วิธี
2) จะมีวิธีการใชตุมน้ําหนักเหลานี้ชั่งของได
6 6 6 6 6 6
1 2 3 4 5 6
6 15 20 15 6 1
63
C C C C C C= + + + + +
= + + + + +
=
4. มีคน 10 คน ตองเดินทางไปตางจังหวัดดวยรถยนต 3 คัน ซึ่งจุคนได 2,4 และ 5 คน
ตามลําดับ จะมีกี่วิธีที่จะจัดคนทั้ง 10 คน ขึ้นรถ 3 คันนี้
วิธีทํา
1) พิจารณาวา รถยนตทั้ง 3 คัน จุคนรวมกันได 2+4+5=11 คน เมื่อนําคน 10 คน ให
ขึ้นรถทั้ง 3 คัน จะตองมีที่วาง 1 ที่เหลืออยู
2) ออกแบบการทํางานดังนี้
วิธี
10
2.1) เลือกที่วาง 1 ที่ที่เหลืออยู ใหอยูบนรถคันที่จุคนได 2 คน นั่นคือ
รถยนตที่จุคนได 2 คน จะมีคนนั่ง 1 คน
รถยนตที่จุคนได 4 คน จะมีคนนั่ง 4 คน
รถยนตที่จุคนได 5 คน จะมีคนนั่ง 5 คน
10 9 5
1 4 5 10 126 1 1,260C C C⇒ × × = × × =
2.2) เลือกที่วาง 1 ที่ที่เหลืออยู ใหอยูบนรถคันที่จุคนได 4 คน นั่นคือ
รถยนตที่จุคนได 2 คน จะมีคนนั่ง 2 คน
รถยนตที่จุคนได 4 คน จะมีคนนั่ง 3 คน
รถยนตที่จุคนได 5 คน จะมีคนนั่ง 5 คน
10 8 5
2 3 5 45 56 1 2,520C C C⇒ × × = × × =
2.3) เลือกที่วาง 1 ที่ที่เหลืออยู ใหอยูบนรถคันที่จุคนได 5 คน นั่นคือ
รถยนตที่จุคนได 2 คน จะมีคนนั่ง 1 คน
รถยนตที่จุคนได 4 คน จะมีคนนั่ง 4 คน
รถยนตที่จุคนได 5 คน จะมีคนนั่ง 4 คน
10 8 4
2 4 4 45 70 1 3,150C C C⇒ × × = × × =
3) รวมจํานวนวิธี = 1,260+2,520+3,150=6,930 วิธี
5. มีนักเรียน 12 คน จะมีกี่วิธีที่จะแบงนักเรียนเพื่อทําแบบทดสอบ 3 ชุด ที่ไมเหมือนกัน
โดยใหทําชุดละ 4 คน
วิธีทํา
1) ออกแบบการทํางาน
1.1) เลือกนักเรียน 4 คน มาทําแบบทดสอบชุดที่ 1
12
4C⇒ วิธี
1.2) เลือกนักเรียน 4 คน มาทําแบบทดสอบชุดที่ 2
8
4C⇒ วิธี
1.3) เลือกนักเรียน 4 คน มาทําแบบทดสอบชุดที่ 3
4
4C⇒ วิธี
2) รวมจํานวนวิธี
12 8 4
4 4 4 34,650C C C⇒ × × = วิธี
10 คน
วิธี
10 คน
วิธี
10 คน
วิธี
11
6. ทฤษฎีบททวินาม
ถา n เปนจํานวนเต็มบวก
( ) ( ) ( ) ( ) ( )0 ( 1) 1 ( 2) 2 ( 1) 0
0 1 2 1( ) ...n n n n n n n n n n n
n na b a b a b a b ab a b− − −
−+ = + + + + +
หรือถาใช 1rT + แทนพจนที่ r+1 ของการกระจาย ( )n
a b+ จะไดวา
( ) ( )
1
n n r r
r rT a b−
+ =
ตัวอยาง เชน
1. จงกระจาย
5
(1 )x+
วิธีทํา
( ) ( ) ( ) ( ) ( ) ( )5 5 5 0 5 4 1 5 3 2 5 2 3 5 1 4 5 0 5
0 1 2 3 4 5(1 ) (1) (1) (1) (1) (1) (1)x x x x x x x+ = + + + + +
2 3 4 5
1 5 10 10 5x x x x x= + + + + +
2. จงหา ส.ป.ส. ของ
2
x ในการกระจาย
101
( )x
x
+
วิธีทํา ใชสูตร ( ) ( )
1
n n r r
r rT a b−
+ =
โดยที่ a x= และ
1
b
x
= และ n=10
( )
( )
( )
( )
10 (10 )
1
10 (10 ) ( )
1
10 (10 )
1
10 (10 2 )
1
1
r
r
r r
r r
r r
r r
r r
r
r r
T x
x
T x x
T x
T x
−
+
− −
+
− −
+
−
+
⎛ ⎞
= ⎜ ⎟
⎝ ⎠
=
=
=
แสดงวา
(10 2 ) 2r
x x−
= ⇒ สามารถหาคา r ไดคือ
12
10 2 2
8 2
4
r
r
r
− =
=
∴ =
( )10 (10 2 )
1
r
r rT x −
+⇒ = เมื่อ r=4
( )
( )
10 (10 2(4))
4 1 4
10 2
5 4
2
5 210
T x
T x
T x
−
+ =
=
=
∴ พจนที่ 5 มีสัมประสิทธของ
2
x เทากับ 210
3. จงหา ส.ป.ส. ของ
2
x ในการกระจาย
3 10
( )
a
x
x
+
วิธีทํา ใชสูตร ( ) ( )
1
n n r r
r rT a b−
+ =
โดยที่
3
a x= และ
a
b
x
= และ n=10
( )( )
( )
( )
( )
(10 )10 3
1
10 (30 3 ) ( )
1
10 (30 3 ) ( )
1
10 (30 4 )
1
r
r
r r
r r r
r r
r r r
r r
r r
r r
a
T x
x
T x a x
T a x x
T a x
−
+
− −
+
− −
+
−
+
⎛ ⎞
= ⎜ ⎟
⎝ ⎠
=
=
=
เทียบ
(30 4 ) 2r
x x−
=
30 4 2r⇒ − =
28 4
7
r
r
=
∴ =
( )10 (30 4 )
1
r r
r rT a x −
+⇒ = เมื่อ r=7
13
( )
( )
( )
10 7 (30 4(7))
7 1 7
10 7 2
8 7
7 2
8 120
T a x
T a x
T a x
−
+ =
=
=
∴ สัมประสิทธของ
2
x ในการกระจาย
3 10
( )
a
x
x
+ เทากับ
7
120a
4. จงหาพจนที่ 5 จากการกระจาย
2 6
( 2 )x y−
วิธีทํา ใชสูตร ( ) ( )
1
n n r r
r rT a b−
+ =
โดยที่
2
a x= และ 2b y= − และ n=6 และ r+1=5 นั่นคือ r=4
( )( ) ( )
( )( ) ( )
( )( )
(6 4) 46 2
4 1 4
2 46 2
5 4
46 4 4
5 4
4 4
5
4 4
5
2
2
2
(15)(16)
240
T x y
T x y
T x y
T x y
T x y
−
+ = −
= −
= −
=
=
5. จากการกระจาย
2 8
( 2 )x x+ จงหาส.ป.ส.ของพจนที่มี 4
x
วิธีทํา ใชสูตร ( ) ( )
1
n n r r
r rT a b−
+ =
โดยที่
2
a x= และ 2b x= และ n=8
( )( ) ( )
( ) ( )
( )
( )
(8 )8 2
1
8 (16 2 )
1
(16 2 )
8 2
1
3
(16 )
8 2
1
2
2
2
2
rr
r r
r
r r
r r
r
r
r
r r
r
r
r r
T x x
T x x
T x
T x
−
+
−
+
− +
+
−
+
=
=
=
=
14
เทียบ
3
(16 )
42
r
x x
−
=
3
16 4
2
r
⇒ − =
3
12
2
8
r
r
=
∴ =
( )
3
(16 )
8 2
1 2
r
r
r rT x
−
+⇒ = เมื่อ r=8
( )
( )
3(8)
(16 )
8 8 2
8 1 8
8 8 4
9 8
4
9
2
2
256
T x
T x
T x
−
+ =
=
=
∴ส.ป.ส. ของพจนที่มี 4
x เทากับ 256
7. ความนาจะเปน
การทดลองสุม คือ การทดลองที่ผลลัพธจะสามารถเกิดขึ้นไดแตกตางกันหลายอยาง แตเราไม
ทราบวาผลลัพธใดจะเกิดขึ้น
ผลลัพธ คือ ผลที่เกิดขึ้นหลังจากการทดลองสุมไดเสร็จสิ้นเรียบรอยแลว
ปริภูมิตัวอยาง(Sample Space) คือ เซตของผลลัพธที่อาจจะเกิดขึ้นไดทั้งหมดจาก
การทดลองสุม และเปนสิ่งที่เราสนใจจะนําไปศึกษา เขียนแทนดวยสัญลักษณ S
15
เหตุการณ(Event) คือ สับเซตของปริภูมิตัวอยาง เขียนแทนดวยสัญลักษณ E
การหาความนาจะเปนของเหตุการณใดๆ คือ การหาวาโอกาสที่จะเกิดเหตุการณดังกลาวนั้นมี
มากนอยเพียงใด ซึ่งก็คือ
ความนาจะเปนของเหตุการณ A เขียนแทนดวย P(A) มีคาเทากับ
( )P A = =
( )
( )
n A
n S
ตัวอยาง เชน
1) ทอดลูกเตา 2 ลูก จงหาปริภูมิตัวอยาง(Sample Space) ของลูกเตาที่หงายขึ้น
วิธีทํา
{(1,1),(1,2),(1,3),(1,4),(1,5),(1,6),
(2,1),(2,2),(2,3),(2,4),(2,5),(2,6),
(3,1),(3,2),(3,3),(3,4),(3,5),(3,6),
(4,1),(4,2),(4,3),(4,4),(4,5),(4,6),
(5,1),(5,2),(5,3),(5,
S =
4),(5,5),(5,6),
(6,1),(6,2),(6,3),(6,4),(6,5),(6,6)}
2) ทอดลูกเตา 2 ลูก จงหาปริภูมิตัวอยาง(Sample Space) ของผลรวมของแตมบน
ลูกเตาทั้งสองลูก
วิธีทํา {2,3,4,5,6,7,8,9,10,11,12}S =
3) ในการทอดลูกเตา 2 ลูก จงหาเซตของเหตุการณที่ผลรวมของแตมบนลูกเตามีคานอยกวา
5
วิธีทํา
E(ผลรวมของแตมนอยกวา 5)={(1,1),(1,2),(1,3),(2,1),(2,2),(3,1)}
จํานวนสมาชิกใน A
จํานวนสมาชิกในปริภูมิตัวอยาง
16
4) ในการทอดลูกเตาที่สมดุล 2 ลูก จงหาความนาจะเปนที่ผลรวมของแตมบนลูกเตาทั้ง 2
ลูก มีคามากกวา 3
วิธีทํา
1) หาเซตของเหตุการณที่ผลรวมของแตมบนลูกเตามีคามากกวา 3
E(ผลรวมของแตมมากกวา 3) = {(1,3),(1,4),(1,5),(1,6),(2,2),(2,3),
(2,4),(2,5),(2,6),(3,1),(3,2),(3,3),
(3,4),(3,5),(3,6),(4,1),(4,2),(4,3),
(4,4),(4,5),(4,6),(5,1),(5,2),(5,3),
(5,4),(5,5),(5,6),(6,1),(6,2),(6,3),
(6,4),(6,5),(6,6)}
n(E)=33
2) หา Sample Space ของการทอดลูกเตา 2 ลูก ได
n(S)=36
3) หาความนาจะเปนของเหตุการณผลรวมของแตมมีคามากกวา 3
( ) 33 11
( ) 36 12
n E
P
n S
= = =
5. ถาเราเลือกหลอดไฟ 3 หลอด จากหลอดไฟ 15 หลอด ซึ่งในหลอดไฟ 15 หลอดนี้ มี
หลอดไฟเสียอยู 5 หลอด จงหา
ก. ความนาจะเปนที่หลอดไฟทั้ง 3 หลอด ไมเสียเลย
ข. ความนาจะเปนที่หลอดไฟเสียเพียง 1 หลอด
ค. ความนาจะเปนที่หลอดไฟเสียทั้ง 3 หลอด
วิธีทํา
ก. ความนาจะเปนที่หลอดไฟทั้ง 3 หลอดไมเสียเลย
( )
( )
10
3
15
3
( ) 120 24
( ) 455 91
n E
P
n S
= = = =
17
ข. ความนาจะเปนที่หลอดไฟเสียเพียง 1 หลอด
( )( )
( )
5 10
1 2
15
3
( ) 5 45 225 45
( ) 455 455 91
n E
P
n S
×
= = = = =
ค. ความนาจะเปนที่หลอดไฟเสียทั้ง 3 หลอด
( )
( )
5
3
15
3
( ) 10 2
( ) 455 91
n E
P
n S
= = = =
6. ถาจัดสามี- ภรรยา 4 คู นั่งเกาอี้รอบโตะกลมแลว จงหาความนาจะเปนที่สามีคนหนึ่งนั่ง
ติดกับภรรยาของเขา
วิธีทํา
1) หาจํานวนสมาชิกของเหตุการณที่สามีคนหนึ่งนั่งติดกับภรรยาของเขา(n(E))
2) หาจํานวนวิธี(Sample Space) ของการจัดสามี-ภรรยา 4 คู นั่งรอบโตะกลม
(n(S))
3)
( ) 6!2! 2
( ) 7! 7
n E
P
n S
= = =
สามี-ภรรยา
(7-1)!2!
=6!2!
แทนคน1คน
(8-1)!
=7!
18
สมบัติที่สําคัญของความนาจะเปน
ให A เปนเหตุการณใดๆ(Event) และ S เปนปริภูมิตัวอยาง(Sample Space) โดยที่
A S⊂
1) 0 ( ) 1P A≤ ≤
2) ถา A = ∅ แลว ( ) 0P A =
3) ถา A S= แลว ( ) 1P A =
4) ( ) 1 ( )P A P A′= −
5) ( ) ( ) ( ) ( )P A B P A P B P A B∪ = + − ∩ หรือ
( ) ( ) ( )P A B P A P B∪ = + เมื่อ A B∩ = ∅
เรียก A และ B วาเปนเหตุการณที่ไมเกิดรวมกัน(Mutually exclusive
events)
6) ( ) ( ) ( )P A B P A P A B− = − ∩
ตัวอยาง เชน
1. ความนาจะเปนที่นักเรียนคนหนึ่งจะชนะในการแขงขันวายน้ําแบบฟรีสไตลเทากับ
1
5
ความนาจะเปนที่นักเรียนผูนี้จะชนะในการแขงขันวายน้ําแบบผีเสื้อเทากับ
3
7
ความนาจะ
เปนที่เขาจะชนะทั้ง 2 ประเภท เทากับ
2
5
จงหาความนาจะเปนที่นักเรียนผูนี้จะชนะการ
แขงขันวายน้ําอยางนอย 1 ประเภท จาก 2 ประเภทดังกลาว
วิธีทํา
ให A = ความนาจะเปนที่นักเรียนคนนี้จะชนะในการแขงขันวายน้ําแบบฟรีสไตล
B = ความนาจะเปนที่นักเรียนคนนี้จะชนะในการแขงขันวายน้ําแบบผีเสื้อ
∴ความนาจะเปนที่นักเรียนคนนี้จะชนะการแขงขันวายน้ําอยางนอย 1 ประเภท คือ
( )P A B∪
จาก ( ) ( ) ( ) ( )P A B P A P B P A B∪ = + − ∩
1 3 2
( )
5 7 5
8
( )
35
P A B
P A B
∪ = + −
∴ ∪ =
19
แบบฝกหัด
1. นางสาวอั้มมีเสื้อ 10 แบบ มีกระโปรง 8 แบบ และมีรองเทา 5 คู นางสาวอั้มจะมีวิธีการ
แตงตัวกี่แบบ
2. โยนลูกเตา 3 ลูก และโยนเหรียญ 5 เหรียญพรอมกัน จะมีวิธีการออกแตมของลูกเตาและ
การออกหนาของเหรียญกี่วิธี
20
3. จงหาจํานวนวิธีจะสรางจํานวน 3 หลักจากเลขโดด 4 ตัว คือ 4,7,8,9 โดย
3.1) ไมมีเงื่อนไข
3.2) เลขตองไมซ้ํากัน
3.3) เลขตองไมซ้ํากัน และจํานวนนั้นตองไมเกิน 800
21
4. จํานวนเต็ม 4 หลัก ที่มีคาระหวาง 2000 ถึง 5000 โดยแตละหลักไมมีตัวเลขใดซ้ํากัน
เลย จะมีกี่จํานวน
5. จากตัวเลข 0,1,2,3,4,5 ถานํามาสรางตัวเลข 3 หลัก จะไดกี่วิธี ถา
5.1) ถาตัวเลขใชซ้ํากันได
5.2) ถาตัวเลขใชซ้ํากันไมได
22
5.3) ถาตัวเลขใชซ้ํากันไมได และเปนเลขคี่
5.4) ถาตัวเลขใชซ้ํากันไมได และเปนเลขคู
23
5.5) ถาตัวเลขใชซ้ํากันไมได และเปนเลขที่มากกวา 300
5.6) ถาตัวเลขใชซ้ํากันไมได และเปนเลขที่นอยกวา 250
24
5.7) ถาตัวเลขใชซ้ํากันไมได และเปนเลขที่มากกวา 150 แตนอยกวา 450
6. ในการแจกขนม 3 ชิ้นใหกับเด็ก 6 คน จะแจกไดกี่วิธี เมื่อ
6.1) แจกอยางไรก็ได
6.2) ไมแจกซ้ําคน
25
6.3) มีการแจกซ้ําคน
7. ในการโยนลูกเตา 2 ลูก 1 ครั้ง จงหาจํานวนวิธีที่ลูกเตาจะขึ้นแตมตามเงื่อนไขดังนี้
7.1) ผลรวมของแตมเปนเลขคู
7.2) ผลรวมของแตมเปนเลขคี่
26
7.3) ผลรวมของแตมนอยกวา 10
8. คน 3 คน ตองการขึ้นลิฟทซึ่งมีอยู 5 ตัว จะมีวิธีการขึ้นลิฟทกี่วิธี เมื่อ
8.1) ไมมีเงื่อนไขเพิ่มเติม
8.2) แตละคนขึ้นลิฟทไมซ้ํากัน
27
8.3) มีอยางนอย 2 คน ขึ้นลิฟทตัวเดียวกัน
8.4) ไมขึ้นลิฟทตัวเดียวกันทั้ง 3 คน
28
9. ขอสอบชุดหนึ่งเปนขอสอบกาถูกกาผิด จํานวน 10 ขอ จะมีวิธีการทํากี่วิธี เมื่อ
9.1) ไมมีเงื่อนไขเพิ่มเติม และตองตอบทุกขอ
9.2) กาถูก 1 ขอ และกาผิด 9 ขอ
9.3) ตองตอบทุกขอ และ กาถูกและกาผิดอยางนอย 1 ขอ
29
10. ในการสรางจํานวน 3 หลัก จากตัวเลข 0,1,2,5,6,7 จะมีวิธีการสรางกี่วิธี เมื่อ
10.1) ใชเลขซ้ํากันได
10.2) หามใชเลขซ้ําและเปนเลขคู
30
10.3) หามใชเลขซ้ํา และเปนเลขคี่ที่มีคาอยูระหวาง 200-600
11. ในการสรางคําที่ประกอบดวยตัวอักษร 3 ตัว โดยไมคํานึงถึงความหมายโดยใช
ตัวอักษรจากคําวา AMOUNT โดยไมใชอักษรซ้ํากัน จะสามารถสรางคําไดกี่คํา เมื่อ
11.1) ไมมีเงื่อนไขเพิ่มเติม
31
11.2) มีสระอยางนอย 1 ตัว
11.3) ขึ้นตนดวยสระและลงทายดวยพยัญชนะ
32
12. ในการเลือกหัวหนาหองและรองหัวหนาหองอยางนอย 1 คน (เด็ก 1คนเปนได
แคตําแหนงเดียวเทานั้น) จากนักเรียนชั้น ป.1/1 ซึ่งมีเด็กนักเรียนชาย 4 คน เด็กนักเรียน
หญิง 6 คน จะมีวิธีเลือกกี่วิธี เมื่อ
12.1) ไมมีเงื่อนไขเพิ่มเติม
12.2) ใหหัวหนาหองเปนผูชาย
12.3) มีผูหญิงไดรับตําแหนงอยางนอย 1 คน
33
13. ครูพัฒนาตองการสงจดหมาย 5 ฉบับ ลงตู 3 ตู จะทําไดกี่วิธี
14. ในการเดินทางจากจังหวัดบุรีรัมยไปจังหวัดเชียงใหม มีถนนจากจังหวัดบุรีรัมยไป
ยังจังหวัดพิษณุโลกจํานวน 3 สาย และมีถนนจากจังหวัดพิษณุโลกไปยังจังหวัดเชียงใหม
จํานวน 2 สาย ถาผูปกครองนักเรียนขับรถยนตจากจังหวัดบุรีรัมยไปยังจังหวัดเชียงใหม
โดยผานจังหวัดพิษณุโลก ผูปกครองจะสามารถเดินทางไดกี่วิธี
34
15. รถยนตมีที่นั่งขางหนา 2 ที่ ขางหลัง 3 ที่ ชาย 5 คนที่ขับรถเปน 2 คน ตองการ
ขึ้นรถคันนี้ อยากทราบวาพวกเขามีวิธีการนั่งไดกี่วิธี
16. ชาย 2 คน ตองการเขาและออกสวนสนุกที่มีประตูทั้งหมด 8 ประตู อยากทราบ
วาชายทั้ง 2 คน จะทําไดกี่วิธี เมื่อ
16.1) ไมมีเงื่อนไขใดๆ
35
16.2) ทั้ง 2 คน เขาออกดวยวิธีเหมือนกันได แตเขาประตูใดแลวออกประตูนั้นไมได
16.3) ทั้ง 2 คนเขาออกดวยวิธีที่ตางกัน โดยที่เขาปรนะตูใดแลวสามารถออกประตูนั้นได
36
17. ถาตองการสรางคําที่ประกอบดวยตัวอักษรที่ตางกัน 4 ตัว โดยสรางตัวอักษร
เหลานี้มาจากคําวา PROBABILITY จะสรางไดทั้งหมดกี่คํา โดยไมคํานึงถึง
ความหมายของคําเหลานี้
17.1) อักษรทั้ง 4 ตัว เปนตัวใดก็ได
17.2) คํานั้นจะตองขึ้นตนและลงทายดวยพยัญชนะ
37
18. จงเขียนจํานวนตอไปนี้ในรูปแฟคทอเรียล
18.1) 7 6 5 4 3 2 1⋅ ⋅ ⋅ ⋅ ⋅ ⋅
18.2) 6 7 8⋅ ⋅
18.3) ( 3) ( 2) ...n n n+ ⋅ + ⋅ ⋅
18.4)
2 2 2
(3 5) (3 4) (3 3)n n n+ ⋅ + ⋅ +
19. จงหาคา n จากสมการตอไปนี้
19.1) ! 720n =
38
19.2)
( 2)!
120
( 1)!
n
n
+
=
−
19.3)
! ( 1)!
( 3)! ( 5)!
n n
n n
−
=
− −
19.4) ( 1)! 8( 2)!( 1)! !n n n n− − − − =
39
20. 149!มี 0 ลงทายทั้งหมดกี่ตัว
21. มีคน 8 คน จะมีวิธีการจัดคนเขาแถวกี่วิธี เมื่อ
21.1) นําคนมาจัดแถวเพียง 5 คน
21.2) ใชคนทั้ง 8 คนในการจัดแถว
40
21.3) จัดคนทั้งหมดเปน 2 แถว แถวละ 4 คน
22. จากอักษรคําวา “Mississippi”
22.1) ถานํามาเรียงสลับกันทั้งหมดไดกี่วิธี
22.3) ถานํามาเรียงกันทีละ 4 ตัวไดกี่วิธี
41
23. มีดินสอสีที่แตกตางกัน 5 แทง นํามาเรียงสับเปลี่ยนทีละ 3 แทง จะมีวิธีเรียง
สับเปลี่ยนไดกี่วิธี
24. มีตําแหนงงานวางอยู 5 ตําแหนง สําหรับชาย 3 ตําแหนง สําหรับหญิง 2
ตําแหนง ถามีผูสมัครที่เปนชาย 7 คน และเปนหญิง 4 คน จะมีวิธีบรรจุคนเหลานี้เขา
ทํางานไดกี่วิธี
42
25. มีชาย 3 คน และหญิง 2 คน จะมีวิธีที่จะจัดใหคนทั้ง 5 มายืนเปนแถว โดยที่
ชายทั้ง 3 คน ตองยืนติดกัน และหญิง 2 คนยืนติดกันดวย
26. มีอักษร E 3 ตัว F 4 ตัว และ G 5 ตัว จะมีวิธีเรียงสับเปลี่ยนตัวอักษรเหลานี้
ไดกี่วิธี
43
27. มีหนังสือเลข 2 เลม เคมี 3 เลม และฟสิกส 4 เลม จะมีวิธีจัดเรียงหนังสือกี่วิธี
เมื่อ
27.1) จัดอยางไรก็ได
27.2) หนังสือฟสิกสอยูติดกันเสมอ
27.3) วิชาเดียวกันอยูติดกัน
27.4) หนังสือเคมีไมอยูติดกัน
44
27.5) หนังสือเลขอยูริม 2 ขาง
27.6) หนังสือเลขติดกัน แตหนังสือเคมีอยูติดกันทั้ง 4 เลมไมได
28. ชาย 6 คน หญิง 6 คน ตอคิวเขาซื้ออาหาร จะมีวิธีตอคิวกี่วิธี เมื่อ
28.1) เพศเดียวกันยืนติดกัน
45
28.2) หญิงทุกคนยืนติดกัน
28.3) ชาย-หญิงยืนสลับกันทีละ 1 คน
28.4) ชาย-หญิงยืนสลับกันทีละ 2 คน
46
28.5) ชาย-หญิงยืนสลับกันทีละ 3 คน
28.6) หญิงยืนเปนหัวแถวและชายยืนเปนทายแถว
29. คน 7 คน มีนาย ก,ข และ ค รวมอยูดวย จงหาวิธีในการจัดเรียงคนทั้ง 7 เมื่อ
29.1) นาย ก,ข และ ค อยูแยกกัน
47
29.2) นาย ก อยูติดกับ นาย ข แตนาย ค ไมติดกับ นาย ก และ ข
29.3) นาย ก อยูติดกับนาย ข แตไมติดกับ นาย ค
29.4) นาย ข อยูติดกับ นาย ค และ นาย ก
48
29.5) นาย ก,ข และ ค หามอยูติดกัน 3 คน
30. สามี-ภรรยา 5 คู นั่งรอบโตะกลม จะมีวิธีการจัดกี่วิธี เมื่อ
30.1) สามี-ภรรยานั่งติดกัน
30.2) สามี-ภรรยาทุกคู นั่งตรงขามกัน
49
31. ชาย 6 คน หญิง 6 คน นั่งรอบโตะกลม จะมีวิธีการจัดกี่วิธี เมื่อ
31.1) สลับ ชาย-หญิง ทีละ 1 คน
31.2) สลับ ชาย-หญิง ทีละ 2 คน
50
31.3) สลับ ชาย-หญิง ทีละ 3 คน
32. ในการประชุมครั้งหนึ่งมีผูแทนจาก 3 ประเทศ เขารวมประชุมโดยมี ผูแทน
ประเทศละ 3 คน จํานวนวิธีทั้งหมดที่จะจัดใหผูแทนแตละประเทศนั่งติดกันในการ
ประชุมโตะกลม คือเทาใด
51
33. ในการรอยพวงมาลัยเปนวงกลมพวงหนึ่ง มีดอกไมทั้งหมด 14 ดอก เปนดอก
มะลิที่แตกตางกัน 4 ดอก และดอกดาวเรืองที่แตกตางกัน 2 ดอก จะมีวิธีรอยพวงมาลัย
ทั้งหมดกี่วิธี เมื่อ
33.1) ไมมีเงื่อนไขเพิ่มเติม
33.2) ดอกมะลิอยูติดกัน และดอกดาวเรืองอยูติดกัน
52
34. ตองการคัดเลือกคณะกรรมการ 3 คน จากคนทั้งหมด 5 คน จะไดกี่วิธี
35. โรงเรียนแหงหนึ่งมีผูสมัครเปนกรรมการนักเรียนจํานวน 8 คน โดยเปนนักเรียน
หญิงจํานวน 3 คน ชาย 5 คน จงหาจํานวนวิธีที่จะจัดผูสมัครใหเปนกรรมการนักเรียน
โดยคณะกรรมการชุดนี้มีจํานวน 5 คน ประกอบดวยหญิง 2 คน และชาย 3 คน
53
36. มหาวิทยาลัยแหงหนึ่ง จัดหลักสูตรอบรมบัณฑิตวางงาน 3 หลักสูตร โดย
หลักสูตรที่หนึ่งรับได 7 คน หลักสูตรที่สองรับได 3 คน และหลักสูตรที่สามรับได 2 คน
ในการจัดบัณฑิตวางงาน 12 คน เขาอบรมใน 3 หลักสูตร ดังกลาว จะไดทั้งหมดกี่วิธี
37. นักเรียนหองหนึ่งมีจํานวน 10 คน ครูประจําชั้นตองการเลือกนักเรียนจํานวน 3
คน ใหมาชวยทํางาน 2 อยาง คือ ลบกระดาน 1 คน และทําความสะอาดหองเรียน 2 คน
ครูประจําชั้นจะเลือกนักเรียนใหทํางานดังกลาวไดทั้งหมดกี่วิธีที่แตกตางกัน
54
38. ในการคัดเลือกนักศึกษาเพื่อเปนตัวแทนมหาวิทยาลัยไปประกวดการพูดสุนทร
พจนครั้งหนึ่ง มีผูสอบผานรอบแรกจํานวน 10 คน ในจํานวนนี้เปนนักศึกษาคณะ
มนุษยศาสตรจํานวน 6 คน ที่เหลือเปนนักศึกษาคณะอื่นๆ ถาสุมนักศึกษาที่ผานการ
คัดเลือกในรอบแรกจํานวน 3 คน เพื่อเขารับการสัมภาษณ จํานวนวิธีที่จะสุมไดนักศึกษา
คณะมนุษยศาสตรอยางนอย 1 คน เทากับเทาใด
39. ในถุงใบหนึ่งมีลูกบอล 12 ลูก เปนสีแดง 4 ลูก สีเขียว 3 ลูก และสีฟา 5 ลูก ถา
ตองการหยิบลูกบอลมา 6 ลูก จะมีวิธีการหยิบกี่วิธี เมื่อ
39.1) ไดสีเขียว 2 ลูก และสีฟา 4 ลูก
55
39.2) ไดสีแดง 2 ลูก
39.3) ไดสีเขียวอยางนอย 1 ลูก
39.4) ไมไดสีเขียวเลย
56
40. ขอสอบฉบับหนึ่งมี 2 ตอน ตอนแรกมี 5 ขอ ตอนที่สองมี 7 ขอ นักเรียนตอง
เลือกทํา 8 ขอ จะมีวิธีการทําขอสอบกี่วิธี เมื่อ
40.1) ตองทําตอนแรก 3 ขอ
40.2) ตองทําตอนแรกอยางนอย 2 ขอ
41. ในการเลือกตั้ง สส. ครั้งหนึ่ง ซึ่งมีผูแทนได 3 คน มีพรรคการเมืองสงผูสมัคร 5
พรรค พรรคละ 3 คน จะมีวิธีเลือกผูแทนทั้ง 3 คนไดกี่วิธี เมื่อ
41.1) อยูพรรคเดียวกันทั้ง 3 คน
57
41.2) อยูตางพรรคกันทั้ง 3 คน
41.3) อยูพรรคเดียวกัน 2 คน
42. ตองการหยิบไพ 5 ใบจากไพสํารับหนึ่งซึ่งมี 52 ใบ จะมีวิธีหยิบไดกี่วิธี เมื่อ
42.1) หยิบไดไพตางชนิดกันทั้งหมด
58
42.2) หยิบไดไพโพธิ์ดํา 3 ใบ และโพธิ์แดง 2 ใบ
42.3) หยิบไดไพดอกเดียวกัน 4 ใบ
42.4) หยิบไดคูสองและตองหา
59
42.5) หยิบไดคูสอง ที่เหลือไมเปนคูหรือตอง
43. ในงานเลี้ยงแหงหนึ่ง มีคูสามี-ภรรยา รวม 6 คู ถาตองการเลือกคนเหลานั้นมา 4
คน เปนชาย 2 คน และหญิง 2 คน เพื่อจับคูเตนรํา จะมีวิธีเลือกกี่วิธี เมื่อ
43.1) ทั้ง 4 คนไมมีใครเปนสามี-ภรรยากัน
43.2) ทั้ง 4 คน นี้ มีสามี-ภรรยาอยางนอย 1 คู
60
44. จงหาพจนที่ 4 จากการกระจาย
62 1
( )
3 3
+
45. ส.ป.ส. ของ 12
x จากการกระจาย
3 81
( )
2
x
x
+ มีคาเทากับเทาใด
61
46. จงหาพจนที่ 3 จากการกระจาย
9
( )x y+
47. จงหาพจนที่ 10 จากการกระจาย
2 13
( 2 )x y−
62
48. ในการกระจาย
2 10
( 3 )a b− จงหาส.ป.ส.ของพจนที่มีตัวแปร 12
b
49. ในการกระจาย
10
2
1
( )x
x
+ จงหาส.ป.ส.ของพจนที่มีตัวแปร
5
2
x
−
63
50. ในการกระจาย
5
(3 2 )x y− จงหาส.ป.ส.ของพจนที่มีตัวแปร 3
x
51. ถา a และ b เปนส.ป.ส. ของ 2
x−
และ 4
x ของการกระจาย
4 10
2
1
( )
2
x
x
− ตามลําดับแลว
a
b
มีคาเทากับเทาใด
64
52. ในการกระจาย
3 8
( 2 )xy y−
− พจนที่มีผลบวกของกําลังของ x กับกําลัง
ของ y เทากับ -4 มีสัมประสิทธิ์เทากับเทาใด
53. พจนที่เปนคาคงตัวที่เกิดจากการกระจาย
8
(tan 2 cot )x x− มีคาเทากับ
เทาใด
65
54. จงหาส.ป.ส.ของพจนที่มีตัวแปร 3
x จากการกระจาย
2 4
( 2 1)x x+ −
55. มีจุด 7 จุด เรียงอยูบนวงกลมวงหนึ่ง จงหาจํานวนรูปเหลี่ยมทั้งหมดที่มีจุดเหลานี้
เปนจุดยอด
66
56. โยนเหรียญบาทที่เที่ยงตรง 3 เหรียญ พรอมกัน 1 ครั้ง จงหาความนาจะเปนของ
เหตุการณดังตอไปนี้
56.1) เหรียญออกหัวอยางนอย 1 เหรียญ
56.2) เหรียญออกหัวและกอยอยางนอย 1 เหรียญ
56.3) เหรียญออกหัวมากกวาออกกอย
67
57. มีหนังสือเลขที่เหมือนกัน 3 เลม หนังสือเคมีที่เหมือนกัน 2 เลม และหนังสือ
ฟสิกสที่เหมือนกัน 4 เลม ถาตองการจัดหนังสือทั้งหมดบนชั้นหนังสือ จงหาคาความ
นาจะเปนของเหตุการณดังตอไปนี้
57.1) วิชาเดียวกันอยูติดกัน
57.2) หนังสือเคมีไมอยูติดกัน
57.3) หนังสือเลขอยูริม 2 ขาง
57.4) หนังสือฟสิกสอยูติดกัน
68
58. ในกลองใบหนึ่งมีหลอดไฟอยู 5 หลอด ในจํานวนนี้มีหลอดดีอยู 3 หลอด หลอด
เสียอยู 2 หลอด ถาหยิบหลอดไฟขึ้นมาโดยสุมจํานวน 2 หลอด จงหาความนาจะเปนที่จะ
ไดหลอดเสีย 1 หลอด และหลอดดีจํานวน 1 หลอด
59. รานจําหนายผาไหมไทยแหงหนึ่ง พบวาจากการสั่งซื้อผาไหมมารุนหนึ่งจํานวน
10 ผืน มี 2 ผืน ที่มีรอยตําหนิ ถาสุมหยิบผาไหมไทยในรุนนี้มา 5 ผืน จงหาความนาจะ
เปนที่จะไดผาไหมไทยที่มีรอยตําหนิเพียงผืนเดียว
69
60. ครอบครัวหนึ่งมีเด็ก 1 คน ผูหญิง 3 คน และผูชาย 3 คน นั่งรับประทานอาหาร
รอบโตะกลม ดังนั้นความนาจะเปนที่จะไดผูหญิงนั่งประกบเด็กเทากับเทาใด
61. สมบัติและสมชาติเลนเกมโดยแตละครั้งโยนลูกเตาคนละลูก ถาแตมที่เกิดขึ้น
รวมกันได 4 หรือ 7 สมบัติจะเปนผูชนะ แตถาแตมที่เกิดขึ้นรวมกันได 6 หรือ 11
สมชาติจะเปนผูชนะ ผลนอกจากนี้ถือวาเสมอกัน ถามีการโยนทั้งหมด 72 ครั้ง คาดวาจะ
เสมอกันกี่ครั้ง
70
62. กําหนดความนาจะเปนของเหตุการณ ,A B และ A B∩ ดังนี้
( ) 0.5
( ) 0.3
( ) 0.1
P A
P B
P A B
=
=
∩ =
แลว ( )P A B′ ′∪ มีคาเทากับเทาใด
63. กําหนดให A และ B เปนเหตุการณใดๆในปริภูมิตัวอยาง ให
1
( )
2
P A = ,
3
( )
5
P B = และ
3
( )
4
P A B∪ = จงหาคาของ ( )P A B′ ′∪
71
64. กําหนดให A และ B เปนเหตุการณใดๆ จงหา ( )P A B′ ∩ เมื่อ
( ) 0.6, ( ) 0.15P A B P A B∪ = ∩ = และ ( ) 0.75P A B′∪ =

ความน่าจะเป็นและวิธีนับ(Probability)

  • 1.
  • 2.
    2 ความนาจะเปน 1. กฎเกณฑเบื้องตนเกี่ยวกับการนับ จํานวนวิธีที่เราใชในการนับ แบงออกเปนหลักการคูณและ หลักการบวก ในการนับจํานวน วิธีที่ตองมีขั้นตอนการนับ หลายขั้นตอน และมีการทํางานที่ตอเนื่องกันได เราสามารถใชหลักการ คูณการทํางานแตละขั้นตอน ออกมาเปนจํานวนวิธีนับรวมได เชน การนับจํานวนวิธีใสเสื้อและ กางเกง กอนออกจากบาน ถามีเสื้อ 3 ตัว 3 สี และมีกางเกง 3 ตัว 3 สี เชนเดียวกัน เราสามารถ นับจํานวนวิธีการแตงตัวกอนออกจากบานได โดยมีการทํางานตามขั้นตอนตางๆดังนี้ ขั้นตอน 1 ขั้นตอนการใสเสื้อ -สามารถเลือกใสเสื้อได 3 แบบ ขั้นตอน 2 ขั้นตอนการใสกางเกง –สามารถเลือกใสกางเกงได 3 แบบ เชนเดียวกัน รวมจํานวนวิธีที่จะเลือกทั้งเสื้อและกางเกงได 3x3 = 9 แบบ ถาการทํางานมี r ขั้นตอน คือ ขั้นตอน 1 สามารถทํางานได n1 วิธี ขั้นตอนที่ 2 สามารถทํางานได n2 วิธี, ขั้นตอนที่ 3 สามารถทํางานได n3 วิธี,… ขั้นตอนที่ r สามารถทํางานได nr วิธี⇒ สามารถนับจํานวนวิธีการทํางานรวมได 1 2 3 4 ... rn n n n n⋅ ⋅ ⋅ ⋅ ⋅ ตัวอยาง เชน 1. มีหีบอยู 5 ใบ ถาเรานําลูกบอล 3 ลูกใสลงในหีบจะมีวิธีการใสไดกี่วิธี วิธีทํา 1) นําลูกบอลลูกแรก เลือกใสหีบ สามารถเลือกได 5 แบบ คือ 2) นําลูกบอลลูกที่ 2 เลือกใสหีบ สามารถเลือกได 5 วิธี เชนกัน 1 2 3 4 5
  • 3.
    3 3) นําลูกบอลลูกที่ 3เลือกใสหีบ สามารถเลือกได 5 วิธี เชนกัน รวมจํานวนวิธีทั้งหมด เทากับ 5x5x5=125 วิธี 2. กําหนดใหใชตัวเลข 0,1,2,3,4 และ 5 สรางจํานวนที่มี 3 หลัก (ตั้งแต 100 ถึง 999) โดยมีเงื่อนไขตอไปนี้ ก. ตัวเลขที่ใชในแตละหลักตองไมซ้ํากัน ข. ตัวเลขที่ใชในแตละหลักตองไมซ้ํากันและเปนจํานวนคี่ ค. ตัวเลขที่ใชในแตละหลักตองไมซ้ํากันและมีคามากกวา 300 ง. ตัวเลขที่ใชในแตละหลักตองไมซ้ํากัน และเปนจํานวนที่ 10 หารลงตัว วิธีทํา ก. สรางจํานวนที่มี 3 หลัก (100-999) ไมซ้ํา -ตัวเลขหลักรอย สามารถเลือกตัวเลขได จํานวน 5 ตัว คือ 1,2,3,4,5 -ตัวเลขหลักสิบ สามารถเลือกตัวเลขไดจํานวน 5 ตัว คือ ตัวเลขที่เหลือจากการเลือกหลักรอยไป แลว(ทั้งหมดมี 6 ตัว คือ 0,1,2,3,4,5 …. เลือกไปแลว 1 เหลือ 5) -ตัวเลขหลักหนวย สามารถเลือกตัวเลขไดจํานวน 4 ตัว คือ ตัวเลขที่เหลือจากการเลือกหลักรอย และหลักสิบไปแลว(ทั้งหมดมี 6 ตัว คือ 0,1,2,3,4,5 …. เลือกไปแลว 2 เหลือ 4) ∴สามารถสรางได 5x5x4=100 จํานวน ข. สรางจํานวน 3 หลักไมซ้ํากัน และเปนจํานวนคี่ -ตัวเลขหลักหนวย สามารถเลือกตัวเลขได จํานวน 3 ตัว คือ 1,3,5 -ตัวเลขหลักรอย สามารถเลือกตัวเลขได จํานวน 4 ตัว คือ ตัวเลขที่เหลือจากการเลือกหลักหนวย ไปแลว และหามเปนศูนย(ทั้งหมดมี 6 ตัว คือ 0,1,2,3,4,5……เลือกไปแลว 1 และหาม เปนศูนย เหลือ 4) 5 5 4 (1,2,3,4,5) × × 4 4 3 (1,3,5) × ×
  • 4.
    4 -ตัวเลขหลักสิบ สามารถเลือกตัวเลขได จํานวน4 ตัว คือ ตัวเลขที่เหลือจากการเลือกหลักหนวย และหลักรอยไปแลว(ทั้งหมดมี 6 ตัว คือ 0,1,2,3,4,5……เลือกไปแลว 2 เหลือ 4) ∴สามารถสรางได 4x4x3=48 จํานวน ค. สรางจํานวน 3 หลักไมซ้ํากัน และมีคามากกวา 300 -ตัวเลขหลักรอย สามารถเลือกตัวเลขได จํานวน 3 ตัว คือ 3,4,5 -ตัวเลขหลักสิบ สามารถเลือกตัวเลขได จํานวน 5 ตัว คือ ตัวเลขที่เหลือจากการเลือกหลักรอยไป แลวจากทั้งหมด 6 ตัว -ตัวเลขหลักหนวย สามารถเลือกตัวเลขได จํานวน 4 ตัว คือ ตัวเลขที่เหลือจากการเลือกหลักรอย และหลักสิบไปแลว ∴สามารถสรางได 3x5x4=60 จํานวน ง. สรางจํานวน 3 หลักไมซ้ํากัน และเปนตัวเลขที่ 10 หารลงตัว -ตัวเลขหลักหนวย สามารถเลือกตัวเลขได จํานวน 1 ตัว คือ 0 (ตัวเลขที่ 10 หารลงตัว ตองลง ทายดวย 0) -ตัวเลขหลักสิบ สามารถเลือกตัวเลขได จํานวน 5 ตัว คือ ตัวเลขที่เหลือจากการเลือกหลักหนวยไป แลวจากทั้งหมด 6 ตัว - ตัวเลขหลักรอย สามารถเลือกตัวเลขได จํานวน 4 ตัว คือ ตัวเลขที่เหลือจากการเลือกหลักหนวย และหลักสิบไปแลว 2 ตัวจากทั้งหมด 6 ตัว ∴สามารถสรางได 4x5x1=20 จํานวน 3 5 4 (3,4,5) × × 4 5 1 (0) × ×
  • 5.
    5 กรณีการนับ แบบใชวิธี หลักการบวกคือจะออกแบบวิธีนับแยกเปนกรณี วามีทั้งหมดกี่กรณี และนับจํานวนวิธีในแตละกรณี วามีจํานวนแบบวิธีเทาใด แลวนํามาบวกกัน เชน จากตัวอยางขอที่ แลว จงหาจํานวนวิธีสรางตัวเลข 3 หลัก ที่แตละหลักไมซ้ํากัน และมีคามากกวา 350 แบงเปน กรณีที่ 1 –ตัวเลขในหลักรอย เปน 3 มีจํานวนวิธีในการสรางดังนี้ -ตัวเลขหลักรอยเปน 3 สามารถเลือกได 1 วิธี -ตัวเลขหลักสิบเปน 5 สามารถเลือกได 1 วิธี -ตัวเลขหลักหนวย สามารถเลือกได 4 ตัว คือ 0,1,2,4 ∴สามารถสรางได 1x1x4= 4 จํานวน กรณีที่ 2 –ตัวเลขในหลักรอย เปน 4,5 มีจํานวนวิธีในการสรางดังนี้ -ตัวเลขหลักรอยเปน 4,5 สามารถเลือกได 2 วิธี -ตัวเลขหลักสิบ สามารถเลือกได 5 วิธี คือ ตัวเลขที่เหลือจากการเลือกหลักรอยไป 1 ตัวจาก ทั้งหมด 6 ตัว -ตัวเลขหลักหนวย สามารถเลือกได 4 วิธี คือ ตัวเลขที่เหลือจากการเลือกหลักรอยและหลักสิบไป 2 ตัวจากทั้งหมด 6 ตัว ∴สามารถสรางได 2x5x4= 40 จํานวน รวมจํานวนวิธีทั้งหมดโดยใชหลักการบวกทั้ง 2 กรณี คือ 4+40= 44 จํานวน 2. แฟกทอเรียล (Factorial) เราใชสัญลักษณ !n แทนแฟคทอเรียล มีความหมายดังนี้ ! ( 1)( 2)( 3)...(2)(1)n n n n n= − − − 1 1 4 (5) × × (3) (0,1,2,4) 2 5 4× × (4,5)
  • 6.
    6 ตัวอยาง เชน 1. จงหาคาของ5! 5!=5x4x3x2x1 2. จงหาคาของ 5! 3!2! 5! 3!2! = 5 4 3 2 1 3 2 1 2 1 × × × × × × × × 3. วิธีเรียงสับเปลี่ยนเชิงเสน (Permutation) 3.1 วิธีเรียงสับเปลี่ยนเชิงเสนของสิ่งที่แตกตางกันทั้งหมด เราใชสูตร r ! P ( )! n n n r = − หมายถึง มีของ n สิ่ง เลือกมา r อยางแลวจัดเรียงสับเปลี่ยน เปนเสนตรง และในการวางสิ่งของ n สิ่ง เรียงเปนเสนตรง เราสามารถทําได n! วิธี ตัวอยาง เชน 1. ในการแขงขันวิ่งระยะทาง 100 ม. มีผูเขาแขงขัน 8 คน จะมีกี่วิธีที่ผูเขาแขงขันไดรับ เหรียญทอง เหรียญเงิน และเหรียญทองแดง ถาผูเขาแขงขันมีโอกาสที่จะชนะเทาๆกันทุก คน วิธีทํา จากจํานวนผูเขาแขงขัน 8 คน จะมีเพียง 3 คน ที่จะไดรับรางวัล 3 รางวัลที่แตกตางกันคือ เหรียญทอง เหรียญเงิน และเหรียญทองแดง ใชสูตร r ! P ( )! n n n r = − 8 3 8! P (8 3)! = − 8 3 8! P 8 7 6 336 5! = = × × = 3.1 วิธีเรียงสับเปลี่ยนเชิงเสนของสิ่งที่มีบางสวนซ้ํากัน เราใชสูตร 1 2 3 ! ! ! !... !r n n n n n โดยของ n สิ่งมีของซ้ํากัน n1,n2,…,nr สิ่ง ตัวอยาง เชน
  • 7.
    7 1. จะมีวิธีนําตัวอักษรในคําวา MISSISSIPPIมาเรียงสับเปลี่ยนกันใหมทั้งหมดไดกี่วิธี โดยไมจําเปนตองมีความหมาย(ตัวอักษรในคําวา MISSISSIPPI มีทั้งหมด 11 ตัว) วิธีทํา มีอักษรทั้งหมด 11 ตัว มี m 1 ตัว มี I 4 ตัว มี S 4 ตัว มี P 2 ตัว 4. วิธีเรียงสับเปลี่ยนเชิงวงกลม ใชสูตร ( 1)!n − เมื่อ n คือ สิ่งของที่นํามาเรียงเปนวงกลมทั้งหมด ตัวอยาง เชน 1. จงหาจํานวนวิธีที่สามารถจัดคน 6 คน นั่งรอบโตะกลม วิธีทํา ( 1)! (6 1)! 5!n⇒ − = − = 2. จงหาจํานวนวิธีในการจัดคน 6 คน นั่งเปนวงกลม โดยที่ นาย ก. และ นาย ข. ก. ตองนั่งติดกัน ข. หามนั่งติดกัน วิธีทํา ก. นั่งติดกัน วาดรูป ⇒ นําคน 5 คน มานั่งเรียงกันเปนวงกลม (5 1)! 4! 24⇒ − = = วิธี ⇒ สลับที่ ก และ ข ได 2! วิธี ⇒ รวมจํานวนวิธี 24(2!)= วิธี 11! 34,650 1!4!4!2! ⇒ = วิธี ก ข นํา นาย ก และนาย ข มาผูก ติดกันนับเปน 1 คน จะเหลือ คนทั้งหมด 5 คน (จาก ทั้งหมด 6 คน)
  • 8.
    8 ข. หามนั่งติดกัน (จํานวนวิธีที่ กและ ข หามนั่งติดกัน) = (จํานวนวิธีทั้งหมด)-(จํานวนวิธีที่ ก และ ข นั่งติดกัน) (6 1)! 24(2!) 5! (24)(2!) 120 48 72 = − − = − = − = 5. วิธีจัดหมู(Combination) หมายถึง วิธีการเลือกสงของจํานวน r สิ่ง จากของทั้งหมด n สิ่ง จะสามารถเลือกไดดังนี้ r ! !( )! n n C r n r = − ตัวอยาง เชน 1. มีนักเรียนอยูในหองทั้งหมด 30 คน ตองการเลือกนักเรียนมา 2 คน จะมีวิธีการเลือกกี่ แบบ วิธีทํา 1) พิจารณาโจทย เปนการเลือกของ 2 สิ่ง จากสิ่งของทั้งหมด 30 สิ่ง โดยไมสนใจลําดับ 2) จะมีวิธีการเลือกได 30 2 30! 2!(30 2)! C = − 30! 2!(28)! 30 29 2 435 = × = = 2. เสนขนานชุดหนึ่งมี 4 เสน ตัดกับเสนขนานอีกชุดหนึ่งซึ่งมี 3 เสน ทําใหเกิดรูปสี่เหลี่ยม ดานขนานกี่รูป วิธีทํา 1) พิจารณาวาสี่เหลี่ยมดานขนาน 1 รูป เกิดจากเสนขนานในแนวตั้ง 2 เสน ตัดกับเสนขนาน ในแนวนอน 2 เสน 2) ออกแบบการทํางานโดย แบบ
  • 9.
    9 2.1) เลือกเสนขนานในแนวตั้งจํานวน 2เสน จากทั้งหมด 4 เสน 4 2 4 3 2! 6 2!2! C × × ⇒ = = วิธี 2.2) เลือกเสนขนานในแนวนอนจํานวน 2 เสน จากทั้งหมด 3 เสน 3 2 3 2! 3 2!1! C × ⇒ = = วิธี 2.3) รวมวิธีการทํางาน 6 3 18⇒ × = วิธี 3) เสนขนาน 4 เสน ตัดกับเสนขนาน 3 เสน สามารถทําใหเกิดรูปสี่เหลี่ยมดานขนานจํานวน ทั้งหมด 18 รูป 3. มีลูกตุมขนาดตางๆกัน คือ ขนาด 2,6,10,11,15 และ 19 กิโลกรัม จะใชตุมน้ําหนัก เหลานี้ชั่งของไดทั้งหมดกี่วิธี วิธีทํา 1) ออกแบบการทํางาน โดยแบงเปนกรณีการทํางาน ไดดังนี้ 1.1) เลือกลูกตุมน้ําหนักมาใชเพียง 1 ลูก 6 1C⇒ วิธี 1.2) เลือกลูกตุมน้ําหนักมาใช 2 ลูก 6 2C⇒ วิธี 1.3) เลือกลูกตุมน้ําหนักมาใช 3 ลูก 6 3C⇒ วิธี 1.4) เลือกลูกตุมน้ําหนักมาใช 4 ลูก 6 4C⇒ วิธี 1.5) เลือกลูกตุมน้ําหนักมาใช 5 ลูก 6 5C⇒ วิธี 1.6) เลือกลูกตุมน้ําหนักมาใช 6 ลูก 6 6C⇒ วิธี 2) จะมีวิธีการใชตุมน้ําหนักเหลานี้ชั่งของได 6 6 6 6 6 6 1 2 3 4 5 6 6 15 20 15 6 1 63 C C C C C C= + + + + + = + + + + + = 4. มีคน 10 คน ตองเดินทางไปตางจังหวัดดวยรถยนต 3 คัน ซึ่งจุคนได 2,4 และ 5 คน ตามลําดับ จะมีกี่วิธีที่จะจัดคนทั้ง 10 คน ขึ้นรถ 3 คันนี้ วิธีทํา 1) พิจารณาวา รถยนตทั้ง 3 คัน จุคนรวมกันได 2+4+5=11 คน เมื่อนําคน 10 คน ให ขึ้นรถทั้ง 3 คัน จะตองมีที่วาง 1 ที่เหลืออยู 2) ออกแบบการทํางานดังนี้ วิธี
  • 10.
    10 2.1) เลือกที่วาง 1ที่ที่เหลืออยู ใหอยูบนรถคันที่จุคนได 2 คน นั่นคือ รถยนตที่จุคนได 2 คน จะมีคนนั่ง 1 คน รถยนตที่จุคนได 4 คน จะมีคนนั่ง 4 คน รถยนตที่จุคนได 5 คน จะมีคนนั่ง 5 คน 10 9 5 1 4 5 10 126 1 1,260C C C⇒ × × = × × = 2.2) เลือกที่วาง 1 ที่ที่เหลืออยู ใหอยูบนรถคันที่จุคนได 4 คน นั่นคือ รถยนตที่จุคนได 2 คน จะมีคนนั่ง 2 คน รถยนตที่จุคนได 4 คน จะมีคนนั่ง 3 คน รถยนตที่จุคนได 5 คน จะมีคนนั่ง 5 คน 10 8 5 2 3 5 45 56 1 2,520C C C⇒ × × = × × = 2.3) เลือกที่วาง 1 ที่ที่เหลืออยู ใหอยูบนรถคันที่จุคนได 5 คน นั่นคือ รถยนตที่จุคนได 2 คน จะมีคนนั่ง 1 คน รถยนตที่จุคนได 4 คน จะมีคนนั่ง 4 คน รถยนตที่จุคนได 5 คน จะมีคนนั่ง 4 คน 10 8 4 2 4 4 45 70 1 3,150C C C⇒ × × = × × = 3) รวมจํานวนวิธี = 1,260+2,520+3,150=6,930 วิธี 5. มีนักเรียน 12 คน จะมีกี่วิธีที่จะแบงนักเรียนเพื่อทําแบบทดสอบ 3 ชุด ที่ไมเหมือนกัน โดยใหทําชุดละ 4 คน วิธีทํา 1) ออกแบบการทํางาน 1.1) เลือกนักเรียน 4 คน มาทําแบบทดสอบชุดที่ 1 12 4C⇒ วิธี 1.2) เลือกนักเรียน 4 คน มาทําแบบทดสอบชุดที่ 2 8 4C⇒ วิธี 1.3) เลือกนักเรียน 4 คน มาทําแบบทดสอบชุดที่ 3 4 4C⇒ วิธี 2) รวมจํานวนวิธี 12 8 4 4 4 4 34,650C C C⇒ × × = วิธี 10 คน วิธี 10 คน วิธี 10 คน วิธี
  • 11.
    11 6. ทฤษฎีบททวินาม ถา nเปนจํานวนเต็มบวก ( ) ( ) ( ) ( ) ( )0 ( 1) 1 ( 2) 2 ( 1) 0 0 1 2 1( ) ...n n n n n n n n n n n n na b a b a b a b ab a b− − − −+ = + + + + + หรือถาใช 1rT + แทนพจนที่ r+1 ของการกระจาย ( )n a b+ จะไดวา ( ) ( ) 1 n n r r r rT a b− + = ตัวอยาง เชน 1. จงกระจาย 5 (1 )x+ วิธีทํา ( ) ( ) ( ) ( ) ( ) ( )5 5 5 0 5 4 1 5 3 2 5 2 3 5 1 4 5 0 5 0 1 2 3 4 5(1 ) (1) (1) (1) (1) (1) (1)x x x x x x x+ = + + + + + 2 3 4 5 1 5 10 10 5x x x x x= + + + + + 2. จงหา ส.ป.ส. ของ 2 x ในการกระจาย 101 ( )x x + วิธีทํา ใชสูตร ( ) ( ) 1 n n r r r rT a b− + = โดยที่ a x= และ 1 b x = และ n=10 ( ) ( ) ( ) ( ) 10 (10 ) 1 10 (10 ) ( ) 1 10 (10 ) 1 10 (10 2 ) 1 1 r r r r r r r r r r r r r r r T x x T x x T x T x − + − − + − − + − + ⎛ ⎞ = ⎜ ⎟ ⎝ ⎠ = = = แสดงวา (10 2 ) 2r x x− = ⇒ สามารถหาคา r ไดคือ
  • 12.
    12 10 2 2 82 4 r r r − = = ∴ = ( )10 (10 2 ) 1 r r rT x − +⇒ = เมื่อ r=4 ( ) ( ) 10 (10 2(4)) 4 1 4 10 2 5 4 2 5 210 T x T x T x − + = = = ∴ พจนที่ 5 มีสัมประสิทธของ 2 x เทากับ 210 3. จงหา ส.ป.ส. ของ 2 x ในการกระจาย 3 10 ( ) a x x + วิธีทํา ใชสูตร ( ) ( ) 1 n n r r r rT a b− + = โดยที่ 3 a x= และ a b x = และ n=10 ( )( ) ( ) ( ) ( ) (10 )10 3 1 10 (30 3 ) ( ) 1 10 (30 3 ) ( ) 1 10 (30 4 ) 1 r r r r r r r r r r r r r r r r r r a T x x T x a x T a x x T a x − + − − + − − + − + ⎛ ⎞ = ⎜ ⎟ ⎝ ⎠ = = = เทียบ (30 4 ) 2r x x− = 30 4 2r⇒ − = 28 4 7 r r = ∴ = ( )10 (30 4 ) 1 r r r rT a x − +⇒ = เมื่อ r=7
  • 13.
    13 ( ) ( ) () 10 7 (30 4(7)) 7 1 7 10 7 2 8 7 7 2 8 120 T a x T a x T a x − + = = = ∴ สัมประสิทธของ 2 x ในการกระจาย 3 10 ( ) a x x + เทากับ 7 120a 4. จงหาพจนที่ 5 จากการกระจาย 2 6 ( 2 )x y− วิธีทํา ใชสูตร ( ) ( ) 1 n n r r r rT a b− + = โดยที่ 2 a x= และ 2b y= − และ n=6 และ r+1=5 นั่นคือ r=4 ( )( ) ( ) ( )( ) ( ) ( )( ) (6 4) 46 2 4 1 4 2 46 2 5 4 46 4 4 5 4 4 4 5 4 4 5 2 2 2 (15)(16) 240 T x y T x y T x y T x y T x y − + = − = − = − = = 5. จากการกระจาย 2 8 ( 2 )x x+ จงหาส.ป.ส.ของพจนที่มี 4 x วิธีทํา ใชสูตร ( ) ( ) 1 n n r r r rT a b− + = โดยที่ 2 a x= และ 2b x= และ n=8 ( )( ) ( ) ( ) ( ) ( ) ( ) (8 )8 2 1 8 (16 2 ) 1 (16 2 ) 8 2 1 3 (16 ) 8 2 1 2 2 2 2 rr r r r r r r r r r r r r r r r r T x x T x x T x T x − + − + − + + − + = = = =
  • 14.
    14 เทียบ 3 (16 ) 42 r x x − = 3 164 2 r ⇒ − = 3 12 2 8 r r = ∴ = ( ) 3 (16 ) 8 2 1 2 r r r rT x − +⇒ = เมื่อ r=8 ( ) ( ) 3(8) (16 ) 8 8 2 8 1 8 8 8 4 9 8 4 9 2 2 256 T x T x T x − + = = = ∴ส.ป.ส. ของพจนที่มี 4 x เทากับ 256 7. ความนาจะเปน การทดลองสุม คือ การทดลองที่ผลลัพธจะสามารถเกิดขึ้นไดแตกตางกันหลายอยาง แตเราไม ทราบวาผลลัพธใดจะเกิดขึ้น ผลลัพธ คือ ผลที่เกิดขึ้นหลังจากการทดลองสุมไดเสร็จสิ้นเรียบรอยแลว ปริภูมิตัวอยาง(Sample Space) คือ เซตของผลลัพธที่อาจจะเกิดขึ้นไดทั้งหมดจาก การทดลองสุม และเปนสิ่งที่เราสนใจจะนําไปศึกษา เขียนแทนดวยสัญลักษณ S
  • 15.
    15 เหตุการณ(Event) คือ สับเซตของปริภูมิตัวอยางเขียนแทนดวยสัญลักษณ E การหาความนาจะเปนของเหตุการณใดๆ คือ การหาวาโอกาสที่จะเกิดเหตุการณดังกลาวนั้นมี มากนอยเพียงใด ซึ่งก็คือ ความนาจะเปนของเหตุการณ A เขียนแทนดวย P(A) มีคาเทากับ ( )P A = = ( ) ( ) n A n S ตัวอยาง เชน 1) ทอดลูกเตา 2 ลูก จงหาปริภูมิตัวอยาง(Sample Space) ของลูกเตาที่หงายขึ้น วิธีทํา {(1,1),(1,2),(1,3),(1,4),(1,5),(1,6), (2,1),(2,2),(2,3),(2,4),(2,5),(2,6), (3,1),(3,2),(3,3),(3,4),(3,5),(3,6), (4,1),(4,2),(4,3),(4,4),(4,5),(4,6), (5,1),(5,2),(5,3),(5, S = 4),(5,5),(5,6), (6,1),(6,2),(6,3),(6,4),(6,5),(6,6)} 2) ทอดลูกเตา 2 ลูก จงหาปริภูมิตัวอยาง(Sample Space) ของผลรวมของแตมบน ลูกเตาทั้งสองลูก วิธีทํา {2,3,4,5,6,7,8,9,10,11,12}S = 3) ในการทอดลูกเตา 2 ลูก จงหาเซตของเหตุการณที่ผลรวมของแตมบนลูกเตามีคานอยกวา 5 วิธีทํา E(ผลรวมของแตมนอยกวา 5)={(1,1),(1,2),(1,3),(2,1),(2,2),(3,1)} จํานวนสมาชิกใน A จํานวนสมาชิกในปริภูมิตัวอยาง
  • 16.
    16 4) ในการทอดลูกเตาที่สมดุล 2ลูก จงหาความนาจะเปนที่ผลรวมของแตมบนลูกเตาทั้ง 2 ลูก มีคามากกวา 3 วิธีทํา 1) หาเซตของเหตุการณที่ผลรวมของแตมบนลูกเตามีคามากกวา 3 E(ผลรวมของแตมมากกวา 3) = {(1,3),(1,4),(1,5),(1,6),(2,2),(2,3), (2,4),(2,5),(2,6),(3,1),(3,2),(3,3), (3,4),(3,5),(3,6),(4,1),(4,2),(4,3), (4,4),(4,5),(4,6),(5,1),(5,2),(5,3), (5,4),(5,5),(5,6),(6,1),(6,2),(6,3), (6,4),(6,5),(6,6)} n(E)=33 2) หา Sample Space ของการทอดลูกเตา 2 ลูก ได n(S)=36 3) หาความนาจะเปนของเหตุการณผลรวมของแตมมีคามากกวา 3 ( ) 33 11 ( ) 36 12 n E P n S = = = 5. ถาเราเลือกหลอดไฟ 3 หลอด จากหลอดไฟ 15 หลอด ซึ่งในหลอดไฟ 15 หลอดนี้ มี หลอดไฟเสียอยู 5 หลอด จงหา ก. ความนาจะเปนที่หลอดไฟทั้ง 3 หลอด ไมเสียเลย ข. ความนาจะเปนที่หลอดไฟเสียเพียง 1 หลอด ค. ความนาจะเปนที่หลอดไฟเสียทั้ง 3 หลอด วิธีทํา ก. ความนาจะเปนที่หลอดไฟทั้ง 3 หลอดไมเสียเลย ( ) ( ) 10 3 15 3 ( ) 120 24 ( ) 455 91 n E P n S = = = =
  • 17.
    17 ข. ความนาจะเปนที่หลอดไฟเสียเพียง 1หลอด ( )( ) ( ) 5 10 1 2 15 3 ( ) 5 45 225 45 ( ) 455 455 91 n E P n S × = = = = = ค. ความนาจะเปนที่หลอดไฟเสียทั้ง 3 หลอด ( ) ( ) 5 3 15 3 ( ) 10 2 ( ) 455 91 n E P n S = = = = 6. ถาจัดสามี- ภรรยา 4 คู นั่งเกาอี้รอบโตะกลมแลว จงหาความนาจะเปนที่สามีคนหนึ่งนั่ง ติดกับภรรยาของเขา วิธีทํา 1) หาจํานวนสมาชิกของเหตุการณที่สามีคนหนึ่งนั่งติดกับภรรยาของเขา(n(E)) 2) หาจํานวนวิธี(Sample Space) ของการจัดสามี-ภรรยา 4 คู นั่งรอบโตะกลม (n(S)) 3) ( ) 6!2! 2 ( ) 7! 7 n E P n S = = = สามี-ภรรยา (7-1)!2! =6!2! แทนคน1คน (8-1)! =7!
  • 18.
    18 สมบัติที่สําคัญของความนาจะเปน ให A เปนเหตุการณใดๆ(Event)และ S เปนปริภูมิตัวอยาง(Sample Space) โดยที่ A S⊂ 1) 0 ( ) 1P A≤ ≤ 2) ถา A = ∅ แลว ( ) 0P A = 3) ถา A S= แลว ( ) 1P A = 4) ( ) 1 ( )P A P A′= − 5) ( ) ( ) ( ) ( )P A B P A P B P A B∪ = + − ∩ หรือ ( ) ( ) ( )P A B P A P B∪ = + เมื่อ A B∩ = ∅ เรียก A และ B วาเปนเหตุการณที่ไมเกิดรวมกัน(Mutually exclusive events) 6) ( ) ( ) ( )P A B P A P A B− = − ∩ ตัวอยาง เชน 1. ความนาจะเปนที่นักเรียนคนหนึ่งจะชนะในการแขงขันวายน้ําแบบฟรีสไตลเทากับ 1 5 ความนาจะเปนที่นักเรียนผูนี้จะชนะในการแขงขันวายน้ําแบบผีเสื้อเทากับ 3 7 ความนาจะ เปนที่เขาจะชนะทั้ง 2 ประเภท เทากับ 2 5 จงหาความนาจะเปนที่นักเรียนผูนี้จะชนะการ แขงขันวายน้ําอยางนอย 1 ประเภท จาก 2 ประเภทดังกลาว วิธีทํา ให A = ความนาจะเปนที่นักเรียนคนนี้จะชนะในการแขงขันวายน้ําแบบฟรีสไตล B = ความนาจะเปนที่นักเรียนคนนี้จะชนะในการแขงขันวายน้ําแบบผีเสื้อ ∴ความนาจะเปนที่นักเรียนคนนี้จะชนะการแขงขันวายน้ําอยางนอย 1 ประเภท คือ ( )P A B∪ จาก ( ) ( ) ( ) ( )P A B P A P B P A B∪ = + − ∩ 1 3 2 ( ) 5 7 5 8 ( ) 35 P A B P A B ∪ = + − ∴ ∪ =
  • 19.
    19 แบบฝกหัด 1. นางสาวอั้มมีเสื้อ 10แบบ มีกระโปรง 8 แบบ และมีรองเทา 5 คู นางสาวอั้มจะมีวิธีการ แตงตัวกี่แบบ 2. โยนลูกเตา 3 ลูก และโยนเหรียญ 5 เหรียญพรอมกัน จะมีวิธีการออกแตมของลูกเตาและ การออกหนาของเหรียญกี่วิธี
  • 20.
    20 3. จงหาจํานวนวิธีจะสรางจํานวน 3หลักจากเลขโดด 4 ตัว คือ 4,7,8,9 โดย 3.1) ไมมีเงื่อนไข 3.2) เลขตองไมซ้ํากัน 3.3) เลขตองไมซ้ํากัน และจํานวนนั้นตองไมเกิน 800
  • 21.
    21 4. จํานวนเต็ม 4หลัก ที่มีคาระหวาง 2000 ถึง 5000 โดยแตละหลักไมมีตัวเลขใดซ้ํากัน เลย จะมีกี่จํานวน 5. จากตัวเลข 0,1,2,3,4,5 ถานํามาสรางตัวเลข 3 หลัก จะไดกี่วิธี ถา 5.1) ถาตัวเลขใชซ้ํากันได 5.2) ถาตัวเลขใชซ้ํากันไมได
  • 22.
    22 5.3) ถาตัวเลขใชซ้ํากันไมได และเปนเลขคี่ 5.4)ถาตัวเลขใชซ้ํากันไมได และเปนเลขคู
  • 23.
    23 5.5) ถาตัวเลขใชซ้ํากันไมได และเปนเลขที่มากกวา300 5.6) ถาตัวเลขใชซ้ํากันไมได และเปนเลขที่นอยกวา 250
  • 24.
    24 5.7) ถาตัวเลขใชซ้ํากันไมได และเปนเลขที่มากกวา150 แตนอยกวา 450 6. ในการแจกขนม 3 ชิ้นใหกับเด็ก 6 คน จะแจกไดกี่วิธี เมื่อ 6.1) แจกอยางไรก็ได 6.2) ไมแจกซ้ําคน
  • 25.
    25 6.3) มีการแจกซ้ําคน 7. ในการโยนลูกเตา2 ลูก 1 ครั้ง จงหาจํานวนวิธีที่ลูกเตาจะขึ้นแตมตามเงื่อนไขดังนี้ 7.1) ผลรวมของแตมเปนเลขคู 7.2) ผลรวมของแตมเปนเลขคี่
  • 26.
    26 7.3) ผลรวมของแตมนอยกวา 10 8.คน 3 คน ตองการขึ้นลิฟทซึ่งมีอยู 5 ตัว จะมีวิธีการขึ้นลิฟทกี่วิธี เมื่อ 8.1) ไมมีเงื่อนไขเพิ่มเติม 8.2) แตละคนขึ้นลิฟทไมซ้ํากัน
  • 27.
    27 8.3) มีอยางนอย 2คน ขึ้นลิฟทตัวเดียวกัน 8.4) ไมขึ้นลิฟทตัวเดียวกันทั้ง 3 คน
  • 28.
    28 9. ขอสอบชุดหนึ่งเปนขอสอบกาถูกกาผิด จํานวน10 ขอ จะมีวิธีการทํากี่วิธี เมื่อ 9.1) ไมมีเงื่อนไขเพิ่มเติม และตองตอบทุกขอ 9.2) กาถูก 1 ขอ และกาผิด 9 ขอ 9.3) ตองตอบทุกขอ และ กาถูกและกาผิดอยางนอย 1 ขอ
  • 29.
    29 10. ในการสรางจํานวน 3หลัก จากตัวเลข 0,1,2,5,6,7 จะมีวิธีการสรางกี่วิธี เมื่อ 10.1) ใชเลขซ้ํากันได 10.2) หามใชเลขซ้ําและเปนเลขคู
  • 30.
    30 10.3) หามใชเลขซ้ํา และเปนเลขคี่ที่มีคาอยูระหวาง200-600 11. ในการสรางคําที่ประกอบดวยตัวอักษร 3 ตัว โดยไมคํานึงถึงความหมายโดยใช ตัวอักษรจากคําวา AMOUNT โดยไมใชอักษรซ้ํากัน จะสามารถสรางคําไดกี่คํา เมื่อ 11.1) ไมมีเงื่อนไขเพิ่มเติม
  • 31.
    31 11.2) มีสระอยางนอย 1ตัว 11.3) ขึ้นตนดวยสระและลงทายดวยพยัญชนะ
  • 32.
    32 12. ในการเลือกหัวหนาหองและรองหัวหนาหองอยางนอย 1คน (เด็ก 1คนเปนได แคตําแหนงเดียวเทานั้น) จากนักเรียนชั้น ป.1/1 ซึ่งมีเด็กนักเรียนชาย 4 คน เด็กนักเรียน หญิง 6 คน จะมีวิธีเลือกกี่วิธี เมื่อ 12.1) ไมมีเงื่อนไขเพิ่มเติม 12.2) ใหหัวหนาหองเปนผูชาย 12.3) มีผูหญิงไดรับตําแหนงอยางนอย 1 คน
  • 33.
    33 13. ครูพัฒนาตองการสงจดหมาย 5ฉบับ ลงตู 3 ตู จะทําไดกี่วิธี 14. ในการเดินทางจากจังหวัดบุรีรัมยไปจังหวัดเชียงใหม มีถนนจากจังหวัดบุรีรัมยไป ยังจังหวัดพิษณุโลกจํานวน 3 สาย และมีถนนจากจังหวัดพิษณุโลกไปยังจังหวัดเชียงใหม จํานวน 2 สาย ถาผูปกครองนักเรียนขับรถยนตจากจังหวัดบุรีรัมยไปยังจังหวัดเชียงใหม โดยผานจังหวัดพิษณุโลก ผูปกครองจะสามารถเดินทางไดกี่วิธี
  • 34.
    34 15. รถยนตมีที่นั่งขางหนา 2ที่ ขางหลัง 3 ที่ ชาย 5 คนที่ขับรถเปน 2 คน ตองการ ขึ้นรถคันนี้ อยากทราบวาพวกเขามีวิธีการนั่งไดกี่วิธี 16. ชาย 2 คน ตองการเขาและออกสวนสนุกที่มีประตูทั้งหมด 8 ประตู อยากทราบ วาชายทั้ง 2 คน จะทําไดกี่วิธี เมื่อ 16.1) ไมมีเงื่อนไขใดๆ
  • 35.
    35 16.2) ทั้ง 2คน เขาออกดวยวิธีเหมือนกันได แตเขาประตูใดแลวออกประตูนั้นไมได 16.3) ทั้ง 2 คนเขาออกดวยวิธีที่ตางกัน โดยที่เขาปรนะตูใดแลวสามารถออกประตูนั้นได
  • 36.
    36 17. ถาตองการสรางคําที่ประกอบดวยตัวอักษรที่ตางกัน 4ตัว โดยสรางตัวอักษร เหลานี้มาจากคําวา PROBABILITY จะสรางไดทั้งหมดกี่คํา โดยไมคํานึงถึง ความหมายของคําเหลานี้ 17.1) อักษรทั้ง 4 ตัว เปนตัวใดก็ได 17.2) คํานั้นจะตองขึ้นตนและลงทายดวยพยัญชนะ
  • 37.
    37 18. จงเขียนจํานวนตอไปนี้ในรูปแฟคทอเรียล 18.1) 76 5 4 3 2 1⋅ ⋅ ⋅ ⋅ ⋅ ⋅ 18.2) 6 7 8⋅ ⋅ 18.3) ( 3) ( 2) ...n n n+ ⋅ + ⋅ ⋅ 18.4) 2 2 2 (3 5) (3 4) (3 3)n n n+ ⋅ + ⋅ + 19. จงหาคา n จากสมการตอไปนี้ 19.1) ! 720n =
  • 38.
    38 19.2) ( 2)! 120 ( 1)! n n + = − 19.3) !( 1)! ( 3)! ( 5)! n n n n − = − − 19.4) ( 1)! 8( 2)!( 1)! !n n n n− − − − =
  • 39.
    39 20. 149!มี 0ลงทายทั้งหมดกี่ตัว 21. มีคน 8 คน จะมีวิธีการจัดคนเขาแถวกี่วิธี เมื่อ 21.1) นําคนมาจัดแถวเพียง 5 คน 21.2) ใชคนทั้ง 8 คนในการจัดแถว
  • 40.
    40 21.3) จัดคนทั้งหมดเปน 2แถว แถวละ 4 คน 22. จากอักษรคําวา “Mississippi” 22.1) ถานํามาเรียงสลับกันทั้งหมดไดกี่วิธี 22.3) ถานํามาเรียงกันทีละ 4 ตัวไดกี่วิธี
  • 41.
    41 23. มีดินสอสีที่แตกตางกัน 5แทง นํามาเรียงสับเปลี่ยนทีละ 3 แทง จะมีวิธีเรียง สับเปลี่ยนไดกี่วิธี 24. มีตําแหนงงานวางอยู 5 ตําแหนง สําหรับชาย 3 ตําแหนง สําหรับหญิง 2 ตําแหนง ถามีผูสมัครที่เปนชาย 7 คน และเปนหญิง 4 คน จะมีวิธีบรรจุคนเหลานี้เขา ทํางานไดกี่วิธี
  • 42.
    42 25. มีชาย 3คน และหญิง 2 คน จะมีวิธีที่จะจัดใหคนทั้ง 5 มายืนเปนแถว โดยที่ ชายทั้ง 3 คน ตองยืนติดกัน และหญิง 2 คนยืนติดกันดวย 26. มีอักษร E 3 ตัว F 4 ตัว และ G 5 ตัว จะมีวิธีเรียงสับเปลี่ยนตัวอักษรเหลานี้ ไดกี่วิธี
  • 43.
    43 27. มีหนังสือเลข 2เลม เคมี 3 เลม และฟสิกส 4 เลม จะมีวิธีจัดเรียงหนังสือกี่วิธี เมื่อ 27.1) จัดอยางไรก็ได 27.2) หนังสือฟสิกสอยูติดกันเสมอ 27.3) วิชาเดียวกันอยูติดกัน 27.4) หนังสือเคมีไมอยูติดกัน
  • 44.
    44 27.5) หนังสือเลขอยูริม 2ขาง 27.6) หนังสือเลขติดกัน แตหนังสือเคมีอยูติดกันทั้ง 4 เลมไมได 28. ชาย 6 คน หญิง 6 คน ตอคิวเขาซื้ออาหาร จะมีวิธีตอคิวกี่วิธี เมื่อ 28.1) เพศเดียวกันยืนติดกัน
  • 45.
  • 46.
    46 28.5) ชาย-หญิงยืนสลับกันทีละ 3คน 28.6) หญิงยืนเปนหัวแถวและชายยืนเปนทายแถว 29. คน 7 คน มีนาย ก,ข และ ค รวมอยูดวย จงหาวิธีในการจัดเรียงคนทั้ง 7 เมื่อ 29.1) นาย ก,ข และ ค อยูแยกกัน
  • 47.
    47 29.2) นาย กอยูติดกับ นาย ข แตนาย ค ไมติดกับ นาย ก และ ข 29.3) นาย ก อยูติดกับนาย ข แตไมติดกับ นาย ค 29.4) นาย ข อยูติดกับ นาย ค และ นาย ก
  • 48.
    48 29.5) นาย ก,ขและ ค หามอยูติดกัน 3 คน 30. สามี-ภรรยา 5 คู นั่งรอบโตะกลม จะมีวิธีการจัดกี่วิธี เมื่อ 30.1) สามี-ภรรยานั่งติดกัน 30.2) สามี-ภรรยาทุกคู นั่งตรงขามกัน
  • 49.
    49 31. ชาย 6คน หญิง 6 คน นั่งรอบโตะกลม จะมีวิธีการจัดกี่วิธี เมื่อ 31.1) สลับ ชาย-หญิง ทีละ 1 คน 31.2) สลับ ชาย-หญิง ทีละ 2 คน
  • 50.
    50 31.3) สลับ ชาย-หญิงทีละ 3 คน 32. ในการประชุมครั้งหนึ่งมีผูแทนจาก 3 ประเทศ เขารวมประชุมโดยมี ผูแทน ประเทศละ 3 คน จํานวนวิธีทั้งหมดที่จะจัดใหผูแทนแตละประเทศนั่งติดกันในการ ประชุมโตะกลม คือเทาใด
  • 51.
    51 33. ในการรอยพวงมาลัยเปนวงกลมพวงหนึ่ง มีดอกไมทั้งหมด14 ดอก เปนดอก มะลิที่แตกตางกัน 4 ดอก และดอกดาวเรืองที่แตกตางกัน 2 ดอก จะมีวิธีรอยพวงมาลัย ทั้งหมดกี่วิธี เมื่อ 33.1) ไมมีเงื่อนไขเพิ่มเติม 33.2) ดอกมะลิอยูติดกัน และดอกดาวเรืองอยูติดกัน
  • 52.
    52 34. ตองการคัดเลือกคณะกรรมการ 3คน จากคนทั้งหมด 5 คน จะไดกี่วิธี 35. โรงเรียนแหงหนึ่งมีผูสมัครเปนกรรมการนักเรียนจํานวน 8 คน โดยเปนนักเรียน หญิงจํานวน 3 คน ชาย 5 คน จงหาจํานวนวิธีที่จะจัดผูสมัครใหเปนกรรมการนักเรียน โดยคณะกรรมการชุดนี้มีจํานวน 5 คน ประกอบดวยหญิง 2 คน และชาย 3 คน
  • 53.
    53 36. มหาวิทยาลัยแหงหนึ่ง จัดหลักสูตรอบรมบัณฑิตวางงาน3 หลักสูตร โดย หลักสูตรที่หนึ่งรับได 7 คน หลักสูตรที่สองรับได 3 คน และหลักสูตรที่สามรับได 2 คน ในการจัดบัณฑิตวางงาน 12 คน เขาอบรมใน 3 หลักสูตร ดังกลาว จะไดทั้งหมดกี่วิธี 37. นักเรียนหองหนึ่งมีจํานวน 10 คน ครูประจําชั้นตองการเลือกนักเรียนจํานวน 3 คน ใหมาชวยทํางาน 2 อยาง คือ ลบกระดาน 1 คน และทําความสะอาดหองเรียน 2 คน ครูประจําชั้นจะเลือกนักเรียนใหทํางานดังกลาวไดทั้งหมดกี่วิธีที่แตกตางกัน
  • 54.
    54 38. ในการคัดเลือกนักศึกษาเพื่อเปนตัวแทนมหาวิทยาลัยไปประกวดการพูดสุนทร พจนครั้งหนึ่ง มีผูสอบผานรอบแรกจํานวน10 คน ในจํานวนนี้เปนนักศึกษาคณะ มนุษยศาสตรจํานวน 6 คน ที่เหลือเปนนักศึกษาคณะอื่นๆ ถาสุมนักศึกษาที่ผานการ คัดเลือกในรอบแรกจํานวน 3 คน เพื่อเขารับการสัมภาษณ จํานวนวิธีที่จะสุมไดนักศึกษา คณะมนุษยศาสตรอยางนอย 1 คน เทากับเทาใด 39. ในถุงใบหนึ่งมีลูกบอล 12 ลูก เปนสีแดง 4 ลูก สีเขียว 3 ลูก และสีฟา 5 ลูก ถา ตองการหยิบลูกบอลมา 6 ลูก จะมีวิธีการหยิบกี่วิธี เมื่อ 39.1) ไดสีเขียว 2 ลูก และสีฟา 4 ลูก
  • 55.
    55 39.2) ไดสีแดง 2ลูก 39.3) ไดสีเขียวอยางนอย 1 ลูก 39.4) ไมไดสีเขียวเลย
  • 56.
    56 40. ขอสอบฉบับหนึ่งมี 2ตอน ตอนแรกมี 5 ขอ ตอนที่สองมี 7 ขอ นักเรียนตอง เลือกทํา 8 ขอ จะมีวิธีการทําขอสอบกี่วิธี เมื่อ 40.1) ตองทําตอนแรก 3 ขอ 40.2) ตองทําตอนแรกอยางนอย 2 ขอ 41. ในการเลือกตั้ง สส. ครั้งหนึ่ง ซึ่งมีผูแทนได 3 คน มีพรรคการเมืองสงผูสมัคร 5 พรรค พรรคละ 3 คน จะมีวิธีเลือกผูแทนทั้ง 3 คนไดกี่วิธี เมื่อ 41.1) อยูพรรคเดียวกันทั้ง 3 คน
  • 57.
    57 41.2) อยูตางพรรคกันทั้ง 3คน 41.3) อยูพรรคเดียวกัน 2 คน 42. ตองการหยิบไพ 5 ใบจากไพสํารับหนึ่งซึ่งมี 52 ใบ จะมีวิธีหยิบไดกี่วิธี เมื่อ 42.1) หยิบไดไพตางชนิดกันทั้งหมด
  • 58.
    58 42.2) หยิบไดไพโพธิ์ดํา 3ใบ และโพธิ์แดง 2 ใบ 42.3) หยิบไดไพดอกเดียวกัน 4 ใบ 42.4) หยิบไดคูสองและตองหา
  • 59.
    59 42.5) หยิบไดคูสอง ที่เหลือไมเปนคูหรือตอง 43.ในงานเลี้ยงแหงหนึ่ง มีคูสามี-ภรรยา รวม 6 คู ถาตองการเลือกคนเหลานั้นมา 4 คน เปนชาย 2 คน และหญิง 2 คน เพื่อจับคูเตนรํา จะมีวิธีเลือกกี่วิธี เมื่อ 43.1) ทั้ง 4 คนไมมีใครเปนสามี-ภรรยากัน 43.2) ทั้ง 4 คน นี้ มีสามี-ภรรยาอยางนอย 1 คู
  • 60.
    60 44. จงหาพจนที่ 4จากการกระจาย 62 1 ( ) 3 3 + 45. ส.ป.ส. ของ 12 x จากการกระจาย 3 81 ( ) 2 x x + มีคาเทากับเทาใด
  • 61.
    61 46. จงหาพจนที่ 3จากการกระจาย 9 ( )x y+ 47. จงหาพจนที่ 10 จากการกระจาย 2 13 ( 2 )x y−
  • 62.
    62 48. ในการกระจาย 2 10 (3 )a b− จงหาส.ป.ส.ของพจนที่มีตัวแปร 12 b 49. ในการกระจาย 10 2 1 ( )x x + จงหาส.ป.ส.ของพจนที่มีตัวแปร 5 2 x −
  • 63.
    63 50. ในการกระจาย 5 (3 2)x y− จงหาส.ป.ส.ของพจนที่มีตัวแปร 3 x 51. ถา a และ b เปนส.ป.ส. ของ 2 x− และ 4 x ของการกระจาย 4 10 2 1 ( ) 2 x x − ตามลําดับแลว a b มีคาเทากับเทาใด
  • 64.
    64 52. ในการกระจาย 3 8 (2 )xy y− − พจนที่มีผลบวกของกําลังของ x กับกําลัง ของ y เทากับ -4 มีสัมประสิทธิ์เทากับเทาใด 53. พจนที่เปนคาคงตัวที่เกิดจากการกระจาย 8 (tan 2 cot )x x− มีคาเทากับ เทาใด
  • 65.
    65 54. จงหาส.ป.ส.ของพจนที่มีตัวแปร 3 xจากการกระจาย 2 4 ( 2 1)x x+ − 55. มีจุด 7 จุด เรียงอยูบนวงกลมวงหนึ่ง จงหาจํานวนรูปเหลี่ยมทั้งหมดที่มีจุดเหลานี้ เปนจุดยอด
  • 66.
    66 56. โยนเหรียญบาทที่เที่ยงตรง 3เหรียญ พรอมกัน 1 ครั้ง จงหาความนาจะเปนของ เหตุการณดังตอไปนี้ 56.1) เหรียญออกหัวอยางนอย 1 เหรียญ 56.2) เหรียญออกหัวและกอยอยางนอย 1 เหรียญ 56.3) เหรียญออกหัวมากกวาออกกอย
  • 67.
    67 57. มีหนังสือเลขที่เหมือนกัน 3เลม หนังสือเคมีที่เหมือนกัน 2 เลม และหนังสือ ฟสิกสที่เหมือนกัน 4 เลม ถาตองการจัดหนังสือทั้งหมดบนชั้นหนังสือ จงหาคาความ นาจะเปนของเหตุการณดังตอไปนี้ 57.1) วิชาเดียวกันอยูติดกัน 57.2) หนังสือเคมีไมอยูติดกัน 57.3) หนังสือเลขอยูริม 2 ขาง 57.4) หนังสือฟสิกสอยูติดกัน
  • 68.
    68 58. ในกลองใบหนึ่งมีหลอดไฟอยู 5หลอด ในจํานวนนี้มีหลอดดีอยู 3 หลอด หลอด เสียอยู 2 หลอด ถาหยิบหลอดไฟขึ้นมาโดยสุมจํานวน 2 หลอด จงหาความนาจะเปนที่จะ ไดหลอดเสีย 1 หลอด และหลอดดีจํานวน 1 หลอด 59. รานจําหนายผาไหมไทยแหงหนึ่ง พบวาจากการสั่งซื้อผาไหมมารุนหนึ่งจํานวน 10 ผืน มี 2 ผืน ที่มีรอยตําหนิ ถาสุมหยิบผาไหมไทยในรุนนี้มา 5 ผืน จงหาความนาจะ เปนที่จะไดผาไหมไทยที่มีรอยตําหนิเพียงผืนเดียว
  • 69.
    69 60. ครอบครัวหนึ่งมีเด็ก 1คน ผูหญิง 3 คน และผูชาย 3 คน นั่งรับประทานอาหาร รอบโตะกลม ดังนั้นความนาจะเปนที่จะไดผูหญิงนั่งประกบเด็กเทากับเทาใด 61. สมบัติและสมชาติเลนเกมโดยแตละครั้งโยนลูกเตาคนละลูก ถาแตมที่เกิดขึ้น รวมกันได 4 หรือ 7 สมบัติจะเปนผูชนะ แตถาแตมที่เกิดขึ้นรวมกันได 6 หรือ 11 สมชาติจะเปนผูชนะ ผลนอกจากนี้ถือวาเสมอกัน ถามีการโยนทั้งหมด 72 ครั้ง คาดวาจะ เสมอกันกี่ครั้ง
  • 70.
    70 62. กําหนดความนาจะเปนของเหตุการณ ,AB และ A B∩ ดังนี้ ( ) 0.5 ( ) 0.3 ( ) 0.1 P A P B P A B = = ∩ = แลว ( )P A B′ ′∪ มีคาเทากับเทาใด 63. กําหนดให A และ B เปนเหตุการณใดๆในปริภูมิตัวอยาง ให 1 ( ) 2 P A = , 3 ( ) 5 P B = และ 3 ( ) 4 P A B∪ = จงหาคาของ ( )P A B′ ′∪
  • 71.
    71 64. กําหนดให Aและ B เปนเหตุการณใดๆ จงหา ( )P A B′ ∩ เมื่อ ( ) 0.6, ( ) 0.15P A B P A B∪ = ∩ = และ ( ) 0.75P A B′∪ =