เวกเตอร์ใน R2 และ R3
โดย...นางสาวจารุวรรณ บุญชลาลัย
โรงเรียนวิทยาศาสตร์จุฬาภรณราชวิทยาลัย ตรัง
ปริมาณมีสองประเภท คือ ปริมาณสเกลาร์ใช้บอกขนาด เช่น
ปริมาตร น้้าหนัก อุณหภูมิ พื้นที่ และปริมาณเวกเตอร์ หรือ
เรียกสั้นๆ ว่า เวกเตอร์ เป็นปริมาณที่มีทั้งขนาดและทิศทาง
เช่น ชายคนหนึ่งเดินทางไปทิศเหนือเป็นระยะทาง 5
กิโลเมตร
ความรู้เบื้องต้นเกี่ยวกับเวกเตอร์
2
สัญลักษณ์ของเวกเตอร์
ในทางเรขาคณิตจะก้าหนดเวกเตอร์โดยใช้ส่วนของ
เส้นตรงที่มีหัวลูกศรแทนเวกเตอร์ โดยที่ความยาวของส่วนของ
เส้นตรงจะบอกขนาด และหัวลูกศรจะบอกถึงทิศทางของเวกเตอร์
สัญลักษณ์ ใช้แทนส่วนของเส้นตรงที่ระบุทิศทางจาก A
(จุดเริ่มต้น) ไป B(จุดสิ้นสุด)
A
B
AB
การเขียนเวกเตอร์ นอกจากจะใช้จุดเริ่มต้นและจุดสิ้นสุด
แล้ว อาจใช้ แทน ดังรูป
ขนาดของเวกเตอร์ AB คือ ความยาวของเส้นตรง AB เขียนแทน
ด้วยสัญลักษณ์ 𝐴𝐵 ในท้านองเดียวกัน ขนาดของเวกเตอร์ u จะ
เขียนแทนด้วยสัญลักษณ์ 𝒖
u
u
การบวกเวกเตอร์
14
บทนิยาม ถ้า ത
uและ ഥ
wเป็นเวกเตอร์แล้ว ผลบวก ത
u+ഥ
wจะเป็น
เวกเตอร์ที่ก้าหนดทางเรขาคณิตได้ดังนี้ ให้ ഥ
w เป็นเวกเตอร์ที่มี
จุดเริ่มต้นที่จุดสิ้นสุดของ ത
u เวกเตอร์ ത
u+ഥ
w จะมีจุดเริ่มต้นที่จุดเริ่มต้น
ของ ത
u และมีจุดสิ้นสุดที่จุดสิ้นสุดของ ഥ
w
ดังนั้น ถ้าก้าหนดให้ ത
u = และ ഥ
w = แล้ว ത
u+ഥ
w =
AB BC AC
A
B
C
ത
u
ഥ
w
ത
u+ഥ
w
A
B
C
ത
u
ഥ
w
ത
u+ഥ
w
D
ത
u
ഥ
w
และถ้าสร้างสี่เหลี่ยมด้านขนาน ABCD จะได้ว่าഥ
w = =
และ ത
u = = ดังนั้น ഥ
w+ ത
u = + =
แสดงว่า ത
u+ഥ
w = ഥ
w+ ത
u
เพราะฉะนั้น การบวกของเวกเตอร์จึงมีสมบัติการสลับที่
BC AD
AB DC AD DC AC
A
B
C
ത
u
ഥ
w
ത
u+ഥ
w
D
ത
u
ഥ
w
หา ത
u+ഥ
w โดยให้จุดเริ่มต้นของഥ
w อยู่ที่จุดสิ้นสุดของ ത
u แล้ว เรายัง
สามารถหา ത
u+ഥ
w ได้อีกวิธีหนึ่ง โดยให้จุดเริ่มต้นของทั้งสองเวกเตอร์
อยู่ที่จุดเดียวกัน กล่าวคือ สมมติให้
ത
u = และ ഥ
w =
จะได้ว่า ത
u+ഥ
w เป็นเวกเตอร์ที่มีจุดเริ่มต้นที่ A และจุดสิ้นสุดที่ D เมื่อ
D เป็นจุดมุมของรูปสี่เหลี่ยมด้านขนาน ABCD (เป็นรูปสี่เหลี่ยมด้าน
ขนานที่มี ത
u และ ഥ
w เป็นด้านประชิดมุม)
AB AC
A
B
C
ത
u
ഥ
w
ത
u+ഥ
w
D
ത
u
ഥ
w
เวกเตอร์ศูนย์
เวกเตอร์ที่มีความยาวเป็นศูนย์ หรือเวกเตอร์ที่มีจุดเริ่มต้นและ
จุดสิ้นสุดเป็นจุดเดียวกัน เราเรียกว่า เวกเตอร์ศูนย์(Zero vector)
และเขียนแทนด้วยสัญลักษณ์ ത
0
เวกเตอร์ศูนย์ มีสมบัติเป็นเอกลักษณ์ส้าหรับการบวกของ
เวกเตอร์ กล่าวคือ ถ้า ത
v เป็นเวกเตอร์ใด ๆ แล้ว
ത
0+ത
v = ത
v+ത
0 = ത
v
การลบเวกเตอร์
18
บทนิยาม ถ้า ത
uและ ഥ
wเป็นเวกเตอร์แล้ว ผลต่าง ത
u-ഥ
wจะเป็นเวกเตอร์
ที่นิยาม ดังนี้
ത
u-ഥ
w = ത
u+(-ഥ
w)
หรือกล่าวได้ว่า ถ้า ത
uและ ഥ
wเป็นเวกเตอร์ ที่มีจุดเริ่มต้นเป็นจุดเดียวกัน
แล้ว ത
u-ഥ
w จะเป็นเวกเตอร์ที่มีจุดเริ่มต้นอยู่ที่จุดสิ้นสุดของ ഥ
w(ตัวลบ)
และมีจุดสิ้นสุดอยู่ที่จุดสิ้นสุดของ ത
u (ตัวตั้ง) ดังรูป
ത
u
ഥ
w
−ഥ
w
ത
u
ഥ
w
การคูณเวกเตอร์ด้วยสเกลาร์
บทนิยาม ก้าหนดให้ ത
v ไม่เป็นเวกเตอร์ศูนย์ และ k เป็นจ้านวนจริง ที่
ไม่เป็นศูนย์(สเกลาร์) ผลคูณ kത
v จะเป็นเวกเตอร์ที่มีความยาวเท่ากับ
𝑘 เท่าของความยาวของ ത
v และมีทิศทางเดียวกับ ത
v เมื่อ k > 0 และ
มีทิศทางตรงข้ามกับ ത
v เมื่อ k < 0 นอกจากนั้น จะนิยามว่า kത
v = ത
0
เมื่อ ത
v = ത
0 หรือ k = 0
ത
v 2ത
v
(−𝟏)ത
v
𝟏/𝟐ത
v (−𝟑)ത
v
เวกเตอร์ในระบบพิกัดฉาก
บทนิยาม ก้าหนดให้ ത
v เป็นเวกเตอร์ใดๆ ในระนาบ และสมมติให้
จุดเริ่มต้นของ ത
v อยู่ที่จุดก้าเนิด และจุดสิ้นสุดของ ത
v อยู่ที่จุด
𝑣1, 𝑣2 เราจะเขียนว่า ത
v= 𝑣1, 𝑣2
และเรียก 𝑣1, 𝑣2 ว่าส่วนประกอบของ ത
v โดยเรียก 𝑣1และ 𝑣2
ว่าส่วนประกอบตัวแรก และส่วนประกอบตัวที่สอง ตามล้าดับ
21
x
y
ത
v
𝑣1, 𝑣2
- เวกเตอร์ ത
v = 𝑣1, 𝑣2 และ ഥ
w = 𝑤1, 𝑤2 จะเป็นเวกเตอร
ที่สมมูลกัน หรือเท่ากันก็ต่อเมื่อ 𝑣1 = 𝑤1และ 𝑣2 = 𝑤2
- เวกเตอร์ศูนย์ และนิเสธของเวกเตอร์ในระบบพิกัดฉาก 2 มิติ เป็นดังนี้
ത
0 = (0 , 0)
- ถ้า ത
v = 𝑣1, 𝑣2 แล้วนิเสธของ ത
v เป็นดังนี้
−ത
v = −𝑣1, −𝑣2
22
- การบวก การลบ และการคูณเวกเตอร์ด้วยสเกลาร์ในระบบพิกัดฉาก 2
มิติ นิยามดังนี้
ถ้า ത
v = 𝑣1, 𝑣2 และ ഥ
w = 𝑤1, 𝑤2 และ k เป็น
จ้านวนจริง แล้ว
1) การบวกเวกเตอร์
ത
v + ഥ
w = 𝑣1 + 𝑤1 ,(𝑣2+ 𝑤2)
23
2) การคูณเวกเตอร์ด้วยสเกลาร์
kത
v= k𝑣1, k𝑣2
3) การลบเวกเตอร์
ത
v-ഥ
w = ത
v+(-ഥ
w)= (𝑣1- 𝑤1, 𝑣2- 𝑤2)
ตัวอย่าง ก้าหนดเวกเตอร์
ത
u = (4 , -5) , ത
v=(-2 , 6) และ ഥ
w=(9 , 1) จะได้ว่า
1. ത
u + ത
v =
2. ത
u - ത
v =
3. 3ത
v =
4.
2
3
ҧ
𝑣=
เวกเตอร์ใน 𝑅3
ระบบมือขวา - เวกเตอร์ ത
v เป็นเวกเตอร์ใดๆ
ใน 𝑅3 ซึ่งมีจุดเริ่มต้นที่จุดก้าเนิด และ
มีจุดสิ้นสุดที่จุด = 𝑣1, 𝑣2, 𝑣3
เราเขียนว่า ത
v = 𝑣1, 𝑣2, 𝑣3 และ
เรียก 𝑣1, 𝑣2, 𝑣3 ว่าส่วนประกอบ
ของ ത
v และเรียก 𝑣1, 𝑣2, 𝑣3ว่า
ส่วนประกอบที่หนึ่ง ที่สอง และที่สาม
ตามล้าดับ
26
y
z
ത
v
𝑣1, 𝑣2, 𝑣𝟑
x 1. ത
v = ഥ
w ก็ต่อเมื่อ 𝑣1 = 𝑤1 , 𝑣2 = 𝑤2 และ 𝑣3 = 𝑤3
2. ത
v + ഥ
w = (𝑣1 + 𝑤1 , 𝑣2 + 𝑤2 , 𝑣3 + 𝑤3)
3. ത
v - ഥ
w = (𝑣1 - 𝑤1 , 𝑣2 - 𝑤2 , 𝑣3 - 𝑤3)
4. k ҧ
𝑣= 𝑘𝑣1, 𝑘𝑣2, 𝑘𝑣3
5. ത
0 = 0,0,0
6. −ത
v = −𝑣1, −𝑣2, −𝑣3
ก้าหนดให้ ത
v = 𝑣1, 𝑣2, 𝑣3 และ
ഥ
w= 𝑤1, 𝑤2, 𝑤3 เป็นเวกเตอร์ใน 𝑅3
และ k เป็นจ้านวนจริง
ตัวอย่าง ก้าหนดเวกเตอร์
ത
v=(2 , 5 , -6) และ ഥ
w=(4 , 3 , 8) จะได้ว่า
1. ത
v + ഥ
w =
2. ത
v - ഥ
w =
3. 3ത
v =
4.
−1
2
ഥ
𝑤=
28
y
z
𝑣1, 𝑣2, 𝑣𝟑
x
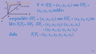
จากรูปจะได้ว่า 𝑂𝑃1 = 𝑥1, 𝑦1, 𝑧1 และ 𝑂𝑃2 = 𝑥2, 𝑦2, 𝑧2 จะ
ได้ว่า 𝑃1𝑃2= 𝑂𝑃2 - 𝑂𝑃1 = 𝑥2, 𝑦2, 𝑧2 - 𝑥1, 𝑦1, 𝑧1
= 𝑥2−𝑥1, 𝑦2−𝑦1, 𝑧2−𝑧1
นั่นคือ 𝑃1𝑃2 = 𝑥2−𝑥1, 𝑦2−𝑦1, 𝑧2−𝑧1
P1 𝑥1, 𝑦1, 𝑧1
P2 𝑥2, 𝑦2, 𝑧2
o
𝑂𝑃1 𝑂𝑃2
𝑃1𝑃2
ത
v = 𝑃
1𝑃
2 = 𝑥1, 𝑦1, 𝑧1 และ 𝑂𝑃2 =
𝑥2, 𝑦2, 𝑧2 จะได้ว่า
ตัวอย่าง ก้าหนดจุด 𝑝1(8 , −5) และ 𝑝2 −4 , 7 จะได้ว่า
𝑃1𝑃2 = ((-4)-8 , 7-(-5)) = (-12 , 12)
𝑃2𝑃1 = (8 - (-4) , -5 - 7) = (12 , -12)
ตัวอย่าง ก้าหนดจุด 𝑝1(8 , −5 , 4) และ 𝑝2 4 , −7,6 จะได้ว่า
𝑃1𝑃2 = (4-8 , (-7)-(-5) , 6-4) = (-4 , -2 , 2)
𝑃2𝑃1 = (8 -4 , (-5) – (-7) , 4-6) = (4 , 2 , -2)
ตัวอย่าง ก้าหนดเวกเตอร์ ത
u = (1 , 2 , 1) ,ത
v = (1 , 0 , 2)
, ഥ
w = (1 , 1 , 0)และ ത
x = (2 , 1 , 5) จงหาสเกลาร์ 𝑐1,
𝑐2, 𝑐3ที่ท้าให้ 𝑐1ത
u +𝑐2ത
v +𝑐3 ഥ
w = ത
x
สมบัติของการด้าเนินการของเวกเตอร์และนอร์มของเวกเตอร์
ทฤษฎีบท
1. ถ้า ത
u , ത
v  𝑅𝟐
แล้ว ത
u + ത
v  𝑅𝟐
2. ถ้า ത
u , ത
v  𝑅𝟐 แล้ว ത
u + ത
v = ത
v + ത
u
3. ถ้า ത
u , ത
v , ഥ
w  𝑅𝟐 แล้ว (ത
u + ത
v) + ഥ
w = ത
v +( ത
u + ഥ
w)
4. เวกเตอร์ ที่ท้าให้ ส้าหรับทุก
5. ส้าหรับแต่ละ จะมี ซึ่งท้าให้
2
0 R
 0 0
u u u
+ = + =
2
R
u 
2
R
u  2
R
u
−  ( ( 0
)
u u u u
+ − = − + =
สมบัติของการด้าเนินการของเวกเตอร์และนอร์มของเวกเตอร์
ทฤษฎีบท
6. ถ้า และ k เป็นสเกลาร์ แล้ว
7. ถ้า และ k เป็นสเกลาร์ แล้ว
8. ถ้า และ k , m เป็นสเกลาร์ แล้ว
9. ถ้า และ k , m เป็นสเกลาร์ แล้ว
10. ถ้า แล้ว
2
R
u  2
R
ku 
2
, R
u v  ( )
k u v ku kv
+ = +
2
R
u  ( )
k m u ku mu
+ = +
2
R
u  ( ) ( )
k mu km u
=
2
R
u  1u u
=
P
ത
u
S
R
Q ത
v
ഥ
w
รูปต่อไปนี้ แสดงให้เห็นว่า ( ) ( )
u v w u v w
+ + = + +
บทนิยาม ก้าหนดเวกเตอร์ ใน หรือใน นอร์มของ หมายถึง
ความยาวของ เขียนแทนด้วยสัญลักษณ์
u 2
R 3
R u
u u
2 2
1 2
u u
u = +
x
y
𝒖1, 𝒖2
ดังรูป
u
𝒖2
𝒖𝟏
ในกรณีที่ เป็นเวกเตอร์ใน โดยอาศัยทฤษฎีบท
ของพีทาโกรัส จะได้ว่า
1 2
, )
(
u u u
= 2
R
ในกรณีที่ เป็นเวกเตอร์ใน โดยอาศัย
ทฤษฎีบทของพีทาโกรัส จะได้ว่า
1 2 3
, , )
(
u u u u
= 3
R
2 2 2
2 2 2
2 2 2
2 2 2
1 2 3
( ) ( )
( ) ( ) ( )
( ) ( ) ( )
OR RP
OQ QR RP
OQ OS RP
u u u
u = +
= + +
= + +
= + +
y
z P 𝒖1, 𝒖2, 𝒖𝟑
u
x
o
R
S
Q
2 2 2
1 2 3
u u u
u = + +
ตัวอย่าง ก้าหนดให้
เป็นเวกเตอร์ใน
จงหา , ,
1 3
), ), 3 5)
2 2
(3, 4 ( , (2,
u v w
−
= = =
2
R
u w
v
ตัวอย่าง ก้าหนดให้
เป็นเวกเตอร์ใน จงหา , ,
), 2), 3 3 2 , 3)
(2, 3 , 4 (4,5,2 (5 ,
u v w
−
= = =
3
R u w
v
2 2 2
2 4 4 9 16 29
( 3)
u = + + =
= + − +
2 2 2
4 2) 16 25 8 49 7
5 (2
v = + + = =
= + +
2 2 2
(5 3) 2) 3) 75 18 3 4 6
(3 (
w = + + =
= + +
ถ้า เป็นเวกเตอร์ใน โดยที่ และ
เป็นจุดเริ่มต้น และจุดสิ้นสุด ตามล้าดับ แล้ว
1 1 1
, )
(
P x y
=
1 2 2 1 2 1
, )
(
PP x x y y
− −
=
1 2
PP
2
R 2 2 2
, )
(
P x y
=
ดังนั้น
1 2 2 1 2 1
2 2
) ( )
(
PP x x y y
− + −
=
1 2 1 2 1 2
2 2
) ( )
(
PP x x y y
− + −
=
ถ้า เป็นเวกเตอร์ใน โดยที่ และ
เป็นจุดเริ่มต้น และจุดสิ้นสุด ตามล้าดับ แล้ว
1 1 1 1
, , )
( z
P x y
=
1 2 2 1 2 1 2 1
, , )
(
PP x x y y z z
− − −
=
1 2
PP
3
R 2 2 2 2
, , )
( z
P x y
=
ดังนั้น 1 2 2 1 2 1 2 1
2 2 2
) ( ) ( )
(
PP x x y y z z
− + − + −
=
1 2 1 2 1 2 1 2
2 2 2
) ( ) ( )
(
PP x x y y z z
− + − + −
=
ตัวอย่าง ก้าหนดให้ และ ใน
จงหา
3
R
1 1,3,4)
(
P −
= 2 5,2, 6)
(
P − −
=
1 2
PP
ถ้า เป็นเวกเตอร์ และ k เป็นสเกลาร์ แล้ว จะเป็นเวกเตอร์ที่มี
ขนาดเท่ากับ เท่าของขนาดของ และเนื่องจากนอร์มของเวกเตอร์
คือความยาวหรือขนาดของเวกเตอร์ ดังนั้น อาจเขียนได้ว่า
u ku
k u
k u
ku =
ให้ และ k เป็นจ้านวนจริง แล้ว
3
1 2 3
, , )
( u u R
u u 
=
2 2 2
1 2 3
( ) ( ) ( )
ku ku ku
ku = +
+
2 2 2 2 3 2
1 2 3
k u k u k u
= +
+
2 2 2 2
1 2 3
( )
k u u u
= +
+
2 2 2 2
1 2 3
k u u u
= +
+
k u
ku =
k u
=
ก้าหนดให้ และ เป็นเวกเตอร์ใน จะได้ว่า
2
R
1 1)
( ,
u a b
= 2 2 )
( ,
v a b
=
1 2 1 2 )
( ,
a b
u v a b
+ + +
=
ซึ่งเป็นเวกเตอร์ในแนวเส้นทแยงมุมของรูปสี่เหลี่ยมด้านขนาน โดยมี
และ เป็นด้านประชิดมุม
u v
x
y
O
2 2 )
( ,
a b 1 2 1 2 )
( ,
a a b b
+ +
1 1)
( ,
a b
u
u
v v
u v
+
เนื่องจากระยะทางที่น้อยที่สุดระหว่างจุดสองจุด เท่ากับความยาวของ
ส่วนของเส้นตรงมาเชื่อมระหว่างจุดสองจุดนั้น ดังนั้น
อสมการนี้รู้จักกันในนาม อสมการเชิงสามเหลี่ยม
u v u v

+ +

เวกเตอร์(สอน)