Prodrugs
Basic concept, Prodrugs of functional group, Prodrugs to
improve patient acceptability, Drug solubility, Drug
absorption and distribution, site specific drug delivery and
sustained drug action. Rationale of prodrug design and
practical consideration of prodrug design.
BARRIERS TO THE THERAPEUTIC UTILITY OF A DRUG
Drug
Drug in sol. at
admin site
Dosage form
Manufacture
Release
Pharmaceutical phase
Pharmacokinetic phase
Elimination
Drug in target
organ
Drug in blood
Drug in various
body
compartments
Absorption
Elimination
Distribution
Elimination
Transport
Pharmacodynamic phase
History and the Present of Prodrug
Design
1899
Methenamine
First
intentional
Prodrug
1935
Protonsil
Antibiotic
1958
Adrien Albert
First
introduced
the term
“pro-drug”
1960
An explosive
increase in
the use of
prodrugs in
drug
discovery and
development.
2009
15% of the
100 best
selling drugs
were
Prodrugs
3
VARIOUS APPROACHES TO ENHANCE THE EFFICACY OF A DRUG:
The therapeutic efficacy can be improved by minimizing or eliminating the
undesirable properties while retaining the desirable ones.
 Physical approach
 Chemical approach
CHEMICAL MEANS OF OPTIMIZING THE DRUG THERAPEUTICS
1. Design and development of new drugs.
2. Design of hard and soft drugs.
3. Design of prodrugs.
HARD DRUGS
 Resistant to biotransformation
 Has a long half life
 Design of hard drug involves metabolic stabilization
ADVANTAGES:
 Enhanced duration of action
 Avoids generation of potentially active harmful metabolites
HOWEVER, less readily eliminated due to lack of metabolism
Ex: Conversion of tolbutamide to chlorpropamide (Hypoglycemic urea's)
SOFT DRUGS
A soft drug is a biologically active compound that is biotransformed in vivo in a
rapid and predictable manner in to non toxic metabolites.
Design of synthetic soft drug involves introduction of a group or a bond
susceptible to rapid metabolic action.
Ex: Natural endogenous compounds such as adrenalin and insulin.
SOFT DRUGS
• Short duration of action prevents possibility of toxicity and increases
therapeutic index
N
NO
O
N
NHO
O
N+
O
O
O
O
N+
Cl-
Cl-
COOH
COOH
Etomidate (hypnotic) metabolite
Succinylcholine (neuromuscular blocking agent)
HO +N(CH3)3
+
Prodrugs
Prodrugs are pharmacologically inactive derivatives of active drugs that are
designed to maximize the amount of active drug that reaches its site of action,
through manipulation of physicochemical, biopharmaceutical and
pharmacokinetic properties of drug.
They are converted into active drug within the body through enzymatic or non-
enzymatic reactions. Also called drug latentiation.
“Drug Latentiation”
Process of purposely designing and synthesizing a
molecule that specifically requires “bioactivation”
to a pharmacologically active substance
Classification of Prodrugs
Prodrugs
Carrier linked
prodrug
Bipartite
prodrug
Tripartite
prodrug
Mutual
Prodrugs
Bioprecursors
11
CLASSIFICATION OF PRODRUGS:
1.Carrier linked prodrugs:
Active drug is covalently linked to an inert carrier or transporter
moiety. They have enhanced lipophilicity due to attached carrier. The active
drug is released by hydrolytic cleavage, either chemically or enzymatically.
2.Bioprecursors:
These are inert molecules obtained by chemical modification of
the drug but do not contain a carrier. Such a molecule has the same
lipophilicity as the parent drug and is bioactivated generally by redox
biotransformation, only enzymatically. Ex: NSAID – nabumetone (relafen) -
arthritis.
CH3
O
CH3
O
OH
CH3O
O
Series of oxidative
decarboxylation
Active form of the drug
that inhibits Prostaglandin
biosynthesis by
cyclooxygenase
3. Mutual prodrugs:
The prodrug comprises of two pharmacologically active agents coupled
together to form a single molecule such that each acts as the carrier for the
other.
Ex: Benorylate is mutual prodrug of NSAIDs aspirin and
paracetamol.
Ex: Emcyt is a mutual prodrug containing estramustine and
nornitrogen mustard linked to each other.
Actual alkylating species
CH3
OH
OH
NH
Cl
Cl
NH+Cl-
Cl
Nornitrogen mustard
Aziridine
Sodium phosphate
and
Carbon dioxide
CH3
OPO3
Na2
ON
O
Cl
Cl Estermustine Sodium Phosphate
Emcyt® - Pharmacia & Upjohn
1. Bipartite prodrug
• It is composed of one carrier (group) attached to the drugs.
• Such prodrugs have greatly modified lipophilicity due to the
attached carrier. The active drug is released by hydrolytic
cleavage either chemically or enzymatically.
• E.g. Tolmetin-glycine prodrug (NSAID).
It can be further subdivided into
TolmetinGlycine
14
2. Tripartite prodrug-
Drug Linking
Structure Carrier
The carrier group is attached via linker to drug.
15
3. Mutual Prodrugs
• A mutual prodrug consists of two pharmacologically active
agents coupled together so that each acts as a promoiety for
the other agent and vice versa.
• A mutual prodrug is a bipartite or tripartite prodrug in which
the carrier is a synergistic drug with the drug to which it is
linked.
• Benorylate is a mutual prodrug aspirin and paracetamol.
• Sultamicillin, which on hydrolysis by an esterase produces
ampicillin & sulbactum.
16
AspirinParacetamol
Sulbactum
Ampicillin
Benorylate/Benorilate Sultamicillin
17
B) Bioprecursors
• Bio- precursor prodrugs produce their effects after in vivo chemical
modification of their inactive form.
• Bioprecursor prodrugs rely on oxidative or reductive activation reactions
unlike the hydrolytic activation of carrier-linked prodrugs.
• They metabolized into a new compound that may itself be active or further
metabolized to an active metabolite
18
Strategies for the design of prodrugs:
1. Carriers:
 Carrier is an inert molecule or the promoiety attached to the active drug
moiety through a metabolically labile linkage.
 The carrier imparts some desirable property to the drug such as
increased lipid or water solubility.
 Carriers that help in directing the active moiety to the target site is called
as specifier.
Specifiers:
Targeting unit part of the prodrug which directs the active moiety to the target
site.
 Antibody Directed Enzyme Prodrug Therapy
 Gene Directed Enzyme Prodrug Therapy
 Polymer Directed Enzyme Prodrug Therapy/ Macromolecule Directed
Prodrug Therapy
linkers:
A releasable linker or spacer is incorporated between the specifier/carrier and the
parent drug.
Reasons for the application of linkers:
1. Incorporation of appropriate linkage between the promoiety and the active drug.
2. Facilitation of enzymatic action on carrier linked prodrugs.
Classification of linkers:
• Electronic cascade linkers (Cleavage occurs by mesomeric effect)
• Cyclization linkers (cleavage occurs by cyclisation)
Doxorubicin (anticancer) attached with β-glucuronide was inert towards clevage
by β-glucuronidase
Multiple drug release:
Simple Drug-Linker-specifier:
Functional groups amenable to prodrug design
Prodrug linkage and enzymes involved in the hydrolysis of linkage:
Prodrug linkage Hydrolyzing enzymes
Ester Esterase
Short and medium chain Cholinesterases
Aliphatic Ester hydrolase , Lipase, Cholesterol
Esterase, Acetylcholinesterase,
Aldehyde oxidase, Carboxypeptidase
Long chain aliphatic carbonate Pancreatic lipase,Pancreatin,Lipase,
Carboxypeptidase, Cholinesterase
Phosphate, Organic Acid phosphatase, Alkaline
Phosphatase
Sulfate, organic Steroid sulfatase
Prodrug Linkage Hydrolyzing Enzyme
Amide Amidase
Amino acid Proteolytic enzymes, Trypsin,
Carboxypeptidase A and B,
Azo Azo reductase
Carbamate Carbamidase
Phosphamide Phosphoramidases
β-Glucuronide β-Glucuronidase
N-Acetylglucosaminide α- N-Acetylglucosaminidase
β-Glucoside β-Glucosidase
APPLICATIONS OF PRODRUGS:
1.Prodrugs to improve patient acceptability
2.Enhancing Drug solubility
3. Enhancing Drug absorption and distribution
4.Site specific drug delivery
5. Sustained drug action
1. Pharmaceutical applications/Prodrugs to improve patient acceptability :
a).Improvement of taste:
 Bitter taste of the drug
 Unsuitable for preparation of suspension.
 Reduce the solubility of the drug in the saliva.
PARENT DRUG PRODRUG WITH IMPROVED TASTE
chloramphenicol Palmitate ester
clindamycin Palmitate ester
sulfisoxazole Diacetate ester
Lipase
O2N CH
CH3
CH
NH
O
CHCl2
CH2 OHO2N CH
CH3
CH
NH
O
CH3
CH2OC
O
(CH2)14CH3
Chloramphenicol palmitate chloramphenicol
b) Improvement of odour:
•The odor of the compound depends upon its vapor pressure.
Ex: ethyl mercaptan is a foul smelling liquid of b.p. 35 C. It is converted into
its phthalate ester, diethyldithio-isophthalate ester which is odorless and
has higher boiling point.(Used in the treatment ofTuberculosis)
thioesterase
Diethyldithio-isophthalate ethyl mercaptan
CO SC2H5
C
O
SC2H5
CH3CH2SH
c). Reduction of gastric irritation:
• Increased stimulation of acid secretion.
• Interference with the protective mucosal layer.
parent drug prodrugs
Salicylic acid Aspirin
Diethyl stilbestrol Fosfestrol
Phenyl butazone N-methyl piperazine salt
Oleandrin Oleandrine acetate
d). Reduction of pain on injection
• Drug precipitates or penetrates into the surrounding tissues.
• The solution is strongly acidic, alkaline or alcoholic.
Clindamycin-2’-phosphate ester Phosphatase Clindamycin
2.Enhancement of solubility and dissolution rate:
 Dissolution is the rate limiting step in the absorption of drug.
 Parenteral and ophthalmic formulations of such agents required.
Parent drug Prodrugs with enhanced
hydrophilicity
Chloramphenicol Sodium succinate ester
Tocopherols Sodium succinate ester
Testosterone Phosphate ester
Diazepam L-lysine ester
1. Prodrugs for Increased Water Solubility
O
HO OH
O
O
OHO
O
methylprednisolone
succinate ester
esterases
O
HO OH
O
OH
H H
H
R
R = H prednisolone (corticosteroid)
R = CH3 methyl prednisolone
a.
b.
N
H
O
OR
H3N+
O
amidases
H2N
O
O
amino acid amide of benzocaine Benzocaine (local anesthetic)
• 3. Prodrugs for improved Absorption and Distribution
• Ampicillin when administered orally only about 40% of
dose is absorbed. Therefore, ampicillin when presented
in the form of its esters has increased absorption.
• Eg: Pivampicilline and Becampicillin
S
N
O
N
H
O
NH2
COOH
N
S
O
O
H
HN
O
NH2
O O
O
O
becampicillin
Prodrugs for improved Absorption and Distribution
a.
HO
HO
OH
H
N
NH
OH
O
O
O
O
Epinephrine (anti-glaucoma)Dipivefrin (with better corneal penetration
esterase
4. Prodrugs for Site Specificity
2-O3PO
OPO3
2-
HO
OH
phosphatase
a.
diethlystilbestrol diphosphate
Diethlystilbestrol
(breast cancer treatment)
N
ODRUG
O
CH3
N
ODRUG
O
CH3
N+
ODRUG
O
CH3
N+
HO
O
CH3
+DRUG
b.
N
S
O
O
HH
N
R
O
O
N
O
O
CH3
-lactam antibiotic delivery to brain
In the treatment of meningitis
BBB
oxidation
hydrolysis
O NH
OH
O NH
O O
O
OH
O
O
-
O
O
DRUG
O
O
O
4. Prodrugs for Stability (first-pass metabolism)
propranolol (antihypertensive)
glucuronidation
propranolol O-glucuronide
propranolol hemisuccinate
Drug OH
+
a. O NH
O
HOOC
OH
OH
OH
O
O
N
O
F
Cl
O
OH
N
O
F
Cl
S
N
N
N
O
F
F
F
(CH2)5CH3
O
S
N
N
N
OH
F
F
F
5. Prodrugs for Slow and Prolonged Release
haloperidol decanoate (activity ~ 1 month i.m.)
haloperidol (tranquilizer)
(peak plasma ~ 2-6 hr oral)
fluphenazine enanthate
(duration of activity ~ 1 month)
fluphenazine (antipsychotic)
(duration of activity 6-8 hrs)
a.
b.
O O
OHO
O
O
O
O
NR1R2
6. Prodrugs to minimize toxicity
aspirin (anti-inflammatory)ester derivative of aspirin (without gastric irritation)
a.
clindamycin (R = H)
clindamycin phosphate (R = PO3H2)
clindamycin palmitate (R = CO(CH2)14CH3)
Antibody-directed enzyme prodrug therapy (ADEPT)
• The principle of ADEPT is to use an antibody directed at a tumor-associated
antigen which localizes the enzyme in the vicinity of the tumor.
• A non-toxic prodrug, a substrate for the enzyme, is then given intravenously
and converted to a cytotoxic drug only at the tumor site where the enzyme is
localized, resulting in tumor cell death.
Antibody Prodrug Drug Tumor target
L6 Mitomycin C
phosphate
Mitomycin C Lung
adenocarcinoma
BW413 Etoposide
phosphate
Etoposide Colon carcinoma
L6 Doxorubicin
phosphate
Doxorubicin Lung
adenocarcinoma
38
TRIPARTATE PRODRUGS
• The carrier is not linked directly to the drug but instead through a linker
• Allows for decreased steric hindrance during enzymatic cleavage that may
occur with bipartate prodrugs
• Carrier is enzymatically cleaved from Linker
• Linker spontaneously cleaves from Drug
CARRIER DRUG CARRIER
Inactive Prodrug inactiveNontoxic
+
Enzyme
Linker DRUGLinker
DRUGLinker + spontaneous
DRUG
O
O O CARRIER
O
DRUG
O
O O-
CARRIER
O
HO
+esterases
DRUG
O
OH
+
H2CO
TRI PARTATE PRODRUGS - Doubl e Pr odr ugs
N
S
O
O
H
HN
O
NH2
O
O
O
N
S
O
O
H
HN
O
NH2
O O
O
O
N
S
O
OH
H
HN
O
NH2
O
ampicillin (antibiotic)
bacampicillin pivampicillin
a.
Examples of Carrier-linked Tripartate Prodrugs
MUTUAL PRODRUGS
• Useful when 2 synergistic drugs need to be administered at the same site
at the same time
• Mutual prodrug is bipartate or tripartate where a synergistic drug acts as
the carrier
O
O
N
OH
Cl
Cl
NH
Cl
Cl
HO
OH
estramustine (prostatic cancer treatment)
normustard
estradiol
• Used for metastatic carcinoma of the prostate
• Promoiety also a drug!
• 17-alphaestradiol slow prostate cell growth
• Nornitrogen mustard is a weak alkylating agent
BIOPRECURSOR PRODRUGS
Bioprecursor prodrugs rely on oxidative or reductive activation reaction
unlike the hydrolytic activation of carrier-linked prodrugs
Metabolic Activation of Bioprecursor Prodrugs:
1. Oxidative Activation
• N- and O-Dealkylation
• Oxidative Deamination
• N-Oxidation
• Epoxidation
2. Reductive Activation
• Azo Reduction
• Sulfoxide Reduction
• Disulfide Reduction
• Bioreductive Alkylation
• Nitro Reduction
3. Nucleotide Activation
4. Phosphorylation Activation
5. Decarboxylation Activation
1. Oxidative Activation
a. N- Dealkylation
O
N
Cl
N
N
X
N
CH3
CH3
O
N
Cl
N
N
X
NH2
N
N
X
NN
X
b. O- Dealkylation
OHN
O
C2H5
HN
O
OH
phenacetin
acetaminophen
benzodiazepine (anxiolytic & sedative)
P450
P450
alprazolam (x = H)
triazolam (x = Cl)
N
P O
N
H
O
Cl
Cl
HO
N
P O
H2N
O
Cl
Cl
O
H
H
O
H
N
P O
H2N
OH
Cl
Cl
HN
Cl
Cl
H3PO4+NH3
N
P O
N
H
O
Cl
Cl
P450
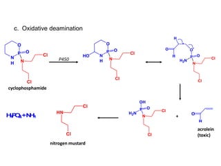
c. Oxidative deamination
+
cyclophosphamide
acrolein
(toxic)
nitrogen mustard
N
N
OH
H
H
N+
N
OH
Cl-
5, 6 dihydropyridine
bioprecursor
d. N-Oxidation
pralidoxime
(acetylcholine esterase activator)
e. Epoxidation
N
O NH2
N
O NH2
O
carbamazepine (anticonvulsant) carbamazepine 10, 11-oxide
2. Reductive Activation
a. Azo reduction
N S NH2
O
O
N
NH2
H2N H2N S NH2
O
O
prontosil sulfanilamide
OH
O
F
S
OH
O
F
S
O
b. Sulfoxide reduction
Sulindac (NSAID) sulfide derivative
N
N
N
S
NH2
O
S
O
OH
c. Disulfide reduction
thiamine tetrahydrofurfuryl disulfide
Thiamine B1
3. Nucleotide Activation
SH
N
N
N
N
H
SH
N
N
N
N
O
HO OH
2-O3PO
6-mercaptopurine
inhibits purine synthesis
HO
H2N
N+
S
N
N
Cl-
NH2HO
HO
COOH
HN
N N
N
H2N
O
O
OH
HO
HN
N N
N
H2N
O
O
4-
O9P3O
OH
4. Phosphorylation Activation
ganciclovir
substrate for DNA polymerase
5. Decarboxylation Activation
+ CO2
levodopa dopamine
NH2HO
HO

Prodrug

  • 1.
    Prodrugs Basic concept, Prodrugsof functional group, Prodrugs to improve patient acceptability, Drug solubility, Drug absorption and distribution, site specific drug delivery and sustained drug action. Rationale of prodrug design and practical consideration of prodrug design.
  • 2.
    BARRIERS TO THETHERAPEUTIC UTILITY OF A DRUG Drug Drug in sol. at admin site Dosage form Manufacture Release Pharmaceutical phase Pharmacokinetic phase Elimination Drug in target organ Drug in blood Drug in various body compartments Absorption Elimination Distribution Elimination Transport Pharmacodynamic phase
  • 3.
    History and thePresent of Prodrug Design 1899 Methenamine First intentional Prodrug 1935 Protonsil Antibiotic 1958 Adrien Albert First introduced the term “pro-drug” 1960 An explosive increase in the use of prodrugs in drug discovery and development. 2009 15% of the 100 best selling drugs were Prodrugs 3
  • 4.
    VARIOUS APPROACHES TOENHANCE THE EFFICACY OF A DRUG: The therapeutic efficacy can be improved by minimizing or eliminating the undesirable properties while retaining the desirable ones.  Physical approach  Chemical approach
  • 5.
    CHEMICAL MEANS OFOPTIMIZING THE DRUG THERAPEUTICS 1. Design and development of new drugs. 2. Design of hard and soft drugs. 3. Design of prodrugs.
  • 6.
    HARD DRUGS  Resistantto biotransformation  Has a long half life  Design of hard drug involves metabolic stabilization ADVANTAGES:  Enhanced duration of action  Avoids generation of potentially active harmful metabolites HOWEVER, less readily eliminated due to lack of metabolism Ex: Conversion of tolbutamide to chlorpropamide (Hypoglycemic urea's)
  • 7.
    SOFT DRUGS A softdrug is a biologically active compound that is biotransformed in vivo in a rapid and predictable manner in to non toxic metabolites. Design of synthetic soft drug involves introduction of a group or a bond susceptible to rapid metabolic action. Ex: Natural endogenous compounds such as adrenalin and insulin.
  • 8.
    SOFT DRUGS • Shortduration of action prevents possibility of toxicity and increases therapeutic index N NO O N NHO O N+ O O O O N+ Cl- Cl- COOH COOH Etomidate (hypnotic) metabolite Succinylcholine (neuromuscular blocking agent) HO +N(CH3)3 +
  • 9.
    Prodrugs Prodrugs are pharmacologicallyinactive derivatives of active drugs that are designed to maximize the amount of active drug that reaches its site of action, through manipulation of physicochemical, biopharmaceutical and pharmacokinetic properties of drug. They are converted into active drug within the body through enzymatic or non- enzymatic reactions. Also called drug latentiation.
  • 10.
    “Drug Latentiation” Process ofpurposely designing and synthesizing a molecule that specifically requires “bioactivation” to a pharmacologically active substance
  • 11.
    Classification of Prodrugs Prodrugs Carrierlinked prodrug Bipartite prodrug Tripartite prodrug Mutual Prodrugs Bioprecursors 11
  • 12.
    CLASSIFICATION OF PRODRUGS: 1.Carrierlinked prodrugs: Active drug is covalently linked to an inert carrier or transporter moiety. They have enhanced lipophilicity due to attached carrier. The active drug is released by hydrolytic cleavage, either chemically or enzymatically. 2.Bioprecursors: These are inert molecules obtained by chemical modification of the drug but do not contain a carrier. Such a molecule has the same lipophilicity as the parent drug and is bioactivated generally by redox biotransformation, only enzymatically. Ex: NSAID – nabumetone (relafen) - arthritis. CH3 O CH3 O OH CH3O O Series of oxidative decarboxylation Active form of the drug that inhibits Prostaglandin biosynthesis by cyclooxygenase
  • 13.
    3. Mutual prodrugs: Theprodrug comprises of two pharmacologically active agents coupled together to form a single molecule such that each acts as the carrier for the other. Ex: Benorylate is mutual prodrug of NSAIDs aspirin and paracetamol. Ex: Emcyt is a mutual prodrug containing estramustine and nornitrogen mustard linked to each other. Actual alkylating species CH3 OH OH NH Cl Cl NH+Cl- Cl Nornitrogen mustard Aziridine Sodium phosphate and Carbon dioxide CH3 OPO3 Na2 ON O Cl Cl Estermustine Sodium Phosphate Emcyt® - Pharmacia & Upjohn
  • 14.
    1. Bipartite prodrug •It is composed of one carrier (group) attached to the drugs. • Such prodrugs have greatly modified lipophilicity due to the attached carrier. The active drug is released by hydrolytic cleavage either chemically or enzymatically. • E.g. Tolmetin-glycine prodrug (NSAID). It can be further subdivided into TolmetinGlycine 14
  • 15.
    2. Tripartite prodrug- DrugLinking Structure Carrier The carrier group is attached via linker to drug. 15
  • 16.
    3. Mutual Prodrugs •A mutual prodrug consists of two pharmacologically active agents coupled together so that each acts as a promoiety for the other agent and vice versa. • A mutual prodrug is a bipartite or tripartite prodrug in which the carrier is a synergistic drug with the drug to which it is linked. • Benorylate is a mutual prodrug aspirin and paracetamol. • Sultamicillin, which on hydrolysis by an esterase produces ampicillin & sulbactum. 16
  • 17.
  • 18.
    B) Bioprecursors • Bio-precursor prodrugs produce their effects after in vivo chemical modification of their inactive form. • Bioprecursor prodrugs rely on oxidative or reductive activation reactions unlike the hydrolytic activation of carrier-linked prodrugs. • They metabolized into a new compound that may itself be active or further metabolized to an active metabolite 18
  • 19.
    Strategies for thedesign of prodrugs: 1. Carriers:  Carrier is an inert molecule or the promoiety attached to the active drug moiety through a metabolically labile linkage.  The carrier imparts some desirable property to the drug such as increased lipid or water solubility.  Carriers that help in directing the active moiety to the target site is called as specifier. Specifiers: Targeting unit part of the prodrug which directs the active moiety to the target site.  Antibody Directed Enzyme Prodrug Therapy  Gene Directed Enzyme Prodrug Therapy  Polymer Directed Enzyme Prodrug Therapy/ Macromolecule Directed Prodrug Therapy
  • 20.
    linkers: A releasable linkeror spacer is incorporated between the specifier/carrier and the parent drug. Reasons for the application of linkers: 1. Incorporation of appropriate linkage between the promoiety and the active drug. 2. Facilitation of enzymatic action on carrier linked prodrugs. Classification of linkers: • Electronic cascade linkers (Cleavage occurs by mesomeric effect) • Cyclization linkers (cleavage occurs by cyclisation) Doxorubicin (anticancer) attached with β-glucuronide was inert towards clevage by β-glucuronidase
  • 22.
    Multiple drug release: SimpleDrug-Linker-specifier:
  • 23.
    Functional groups amenableto prodrug design
  • 24.
    Prodrug linkage andenzymes involved in the hydrolysis of linkage: Prodrug linkage Hydrolyzing enzymes Ester Esterase Short and medium chain Cholinesterases Aliphatic Ester hydrolase , Lipase, Cholesterol Esterase, Acetylcholinesterase, Aldehyde oxidase, Carboxypeptidase Long chain aliphatic carbonate Pancreatic lipase,Pancreatin,Lipase, Carboxypeptidase, Cholinesterase Phosphate, Organic Acid phosphatase, Alkaline Phosphatase Sulfate, organic Steroid sulfatase
  • 25.
    Prodrug Linkage HydrolyzingEnzyme Amide Amidase Amino acid Proteolytic enzymes, Trypsin, Carboxypeptidase A and B, Azo Azo reductase Carbamate Carbamidase Phosphamide Phosphoramidases β-Glucuronide β-Glucuronidase N-Acetylglucosaminide α- N-Acetylglucosaminidase β-Glucoside β-Glucosidase
  • 26.
    APPLICATIONS OF PRODRUGS: 1.Prodrugsto improve patient acceptability 2.Enhancing Drug solubility 3. Enhancing Drug absorption and distribution 4.Site specific drug delivery 5. Sustained drug action
  • 27.
    1. Pharmaceutical applications/Prodrugsto improve patient acceptability : a).Improvement of taste:  Bitter taste of the drug  Unsuitable for preparation of suspension.  Reduce the solubility of the drug in the saliva. PARENT DRUG PRODRUG WITH IMPROVED TASTE chloramphenicol Palmitate ester clindamycin Palmitate ester sulfisoxazole Diacetate ester Lipase O2N CH CH3 CH NH O CHCl2 CH2 OHO2N CH CH3 CH NH O CH3 CH2OC O (CH2)14CH3 Chloramphenicol palmitate chloramphenicol
  • 28.
    b) Improvement ofodour: •The odor of the compound depends upon its vapor pressure. Ex: ethyl mercaptan is a foul smelling liquid of b.p. 35 C. It is converted into its phthalate ester, diethyldithio-isophthalate ester which is odorless and has higher boiling point.(Used in the treatment ofTuberculosis) thioesterase Diethyldithio-isophthalate ethyl mercaptan CO SC2H5 C O SC2H5 CH3CH2SH
  • 29.
    c). Reduction ofgastric irritation: • Increased stimulation of acid secretion. • Interference with the protective mucosal layer. parent drug prodrugs Salicylic acid Aspirin Diethyl stilbestrol Fosfestrol Phenyl butazone N-methyl piperazine salt Oleandrin Oleandrine acetate d). Reduction of pain on injection • Drug precipitates or penetrates into the surrounding tissues. • The solution is strongly acidic, alkaline or alcoholic. Clindamycin-2’-phosphate ester Phosphatase Clindamycin
  • 30.
    2.Enhancement of solubilityand dissolution rate:  Dissolution is the rate limiting step in the absorption of drug.  Parenteral and ophthalmic formulations of such agents required. Parent drug Prodrugs with enhanced hydrophilicity Chloramphenicol Sodium succinate ester Tocopherols Sodium succinate ester Testosterone Phosphate ester Diazepam L-lysine ester
  • 31.
    1. Prodrugs forIncreased Water Solubility O HO OH O O OHO O methylprednisolone succinate ester esterases O HO OH O OH H H H R R = H prednisolone (corticosteroid) R = CH3 methyl prednisolone a. b. N H O OR H3N+ O amidases H2N O O amino acid amide of benzocaine Benzocaine (local anesthetic)
  • 32.
    • 3. Prodrugsfor improved Absorption and Distribution • Ampicillin when administered orally only about 40% of dose is absorbed. Therefore, ampicillin when presented in the form of its esters has increased absorption. • Eg: Pivampicilline and Becampicillin S N O N H O NH2 COOH N S O O H HN O NH2 O O O O becampicillin
  • 33.
    Prodrugs for improvedAbsorption and Distribution a. HO HO OH H N NH OH O O O O Epinephrine (anti-glaucoma)Dipivefrin (with better corneal penetration esterase 4. Prodrugs for Site Specificity 2-O3PO OPO3 2- HO OH phosphatase a. diethlystilbestrol diphosphate Diethlystilbestrol (breast cancer treatment)
  • 34.
  • 35.
    O NH OH O NH OO O OH O O - O O DRUG O O O 4. Prodrugs for Stability (first-pass metabolism) propranolol (antihypertensive) glucuronidation propranolol O-glucuronide propranolol hemisuccinate Drug OH + a. O NH O HOOC OH OH OH O
  • 36.
    O N O F Cl O OH N O F Cl S N N N O F F F (CH2)5CH3 O S N N N OH F F F 5. Prodrugs forSlow and Prolonged Release haloperidol decanoate (activity ~ 1 month i.m.) haloperidol (tranquilizer) (peak plasma ~ 2-6 hr oral) fluphenazine enanthate (duration of activity ~ 1 month) fluphenazine (antipsychotic) (duration of activity 6-8 hrs) a. b.
  • 37.
    O O OHO O O O O NR1R2 6. Prodrugsto minimize toxicity aspirin (anti-inflammatory)ester derivative of aspirin (without gastric irritation) a. clindamycin (R = H) clindamycin phosphate (R = PO3H2) clindamycin palmitate (R = CO(CH2)14CH3)
  • 38.
    Antibody-directed enzyme prodrugtherapy (ADEPT) • The principle of ADEPT is to use an antibody directed at a tumor-associated antigen which localizes the enzyme in the vicinity of the tumor. • A non-toxic prodrug, a substrate for the enzyme, is then given intravenously and converted to a cytotoxic drug only at the tumor site where the enzyme is localized, resulting in tumor cell death. Antibody Prodrug Drug Tumor target L6 Mitomycin C phosphate Mitomycin C Lung adenocarcinoma BW413 Etoposide phosphate Etoposide Colon carcinoma L6 Doxorubicin phosphate Doxorubicin Lung adenocarcinoma 38
  • 39.
    TRIPARTATE PRODRUGS • Thecarrier is not linked directly to the drug but instead through a linker • Allows for decreased steric hindrance during enzymatic cleavage that may occur with bipartate prodrugs • Carrier is enzymatically cleaved from Linker • Linker spontaneously cleaves from Drug CARRIER DRUG CARRIER Inactive Prodrug inactiveNontoxic + Enzyme Linker DRUGLinker DRUGLinker + spontaneous
  • 40.
    DRUG O O O CARRIER O DRUG O OO- CARRIER O HO +esterases DRUG O OH + H2CO TRI PARTATE PRODRUGS - Doubl e Pr odr ugs
  • 41.
  • 42.
    MUTUAL PRODRUGS • Usefulwhen 2 synergistic drugs need to be administered at the same site at the same time • Mutual prodrug is bipartate or tripartate where a synergistic drug acts as the carrier O O N OH Cl Cl NH Cl Cl HO OH estramustine (prostatic cancer treatment) normustard estradiol
  • 43.
    • Used formetastatic carcinoma of the prostate • Promoiety also a drug! • 17-alphaestradiol slow prostate cell growth • Nornitrogen mustard is a weak alkylating agent
  • 44.
    BIOPRECURSOR PRODRUGS Bioprecursor prodrugsrely on oxidative or reductive activation reaction unlike the hydrolytic activation of carrier-linked prodrugs Metabolic Activation of Bioprecursor Prodrugs: 1. Oxidative Activation • N- and O-Dealkylation • Oxidative Deamination • N-Oxidation • Epoxidation 2. Reductive Activation • Azo Reduction • Sulfoxide Reduction • Disulfide Reduction • Bioreductive Alkylation • Nitro Reduction 3. Nucleotide Activation 4. Phosphorylation Activation 5. Decarboxylation Activation
  • 45.
    1. Oxidative Activation a.N- Dealkylation O N Cl N N X N CH3 CH3 O N Cl N N X NH2 N N X NN X b. O- Dealkylation OHN O C2H5 HN O OH phenacetin acetaminophen benzodiazepine (anxiolytic & sedative) P450 P450 alprazolam (x = H) triazolam (x = Cl)
  • 46.
    N P O N H O Cl Cl HO N P O H2N O Cl Cl O H H O H N PO H2N OH Cl Cl HN Cl Cl H3PO4+NH3 N P O N H O Cl Cl P450 c. Oxidative deamination + cyclophosphamide acrolein (toxic) nitrogen mustard
  • 47.
    N N OH H H N+ N OH Cl- 5, 6 dihydropyridine bioprecursor d.N-Oxidation pralidoxime (acetylcholine esterase activator) e. Epoxidation N O NH2 N O NH2 O carbamazepine (anticonvulsant) carbamazepine 10, 11-oxide
  • 48.
    2. Reductive Activation a.Azo reduction N S NH2 O O N NH2 H2N H2N S NH2 O O prontosil sulfanilamide OH O F S OH O F S O b. Sulfoxide reduction Sulindac (NSAID) sulfide derivative
  • 49.
    N N N S NH2 O S O OH c. Disulfide reduction thiaminetetrahydrofurfuryl disulfide Thiamine B1 3. Nucleotide Activation SH N N N N H SH N N N N O HO OH 2-O3PO 6-mercaptopurine inhibits purine synthesis HO H2N N+ S N N Cl-
  • 50.
    NH2HO HO COOH HN N N N H2N O O OH HO HN N N N H2N O O 4- O9P3O OH 4.Phosphorylation Activation ganciclovir substrate for DNA polymerase 5. Decarboxylation Activation + CO2 levodopa dopamine NH2HO HO