Synthesis of Alkylating Agents
SAKSHAM PALAWAT
1
INTRODUCTION
Cancer:
It is defined as a disease characterized by uncontrolled proliferation
of cell division and multiplication of own body’s cell.
2
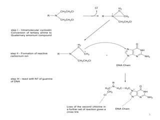
Alkylating agents
• Alkylating agents are the compounds that have groups which form
covalent bond with the cell substituents.
• A carbonium ion is a reactive intermediate.
• Most have two alkylating groups and can cross link two nucleophilic sites
(mainly at N7 position of guanine) in the DNA.
• Cross linking prevents DNA replication through pairing of alkyl guanine
• Can also cause excision of guanine and chain breakage.
Adverse effects: it includes –
• Myelosuppression
• Sterility
• increased risk of acute non lymphocytic leukemia
3
Alkylating Agents
4
5
Nitrogen Mustard
6
Mechlorethamine
Synthesis:
7
Ifosfamide
Synthesis:
8
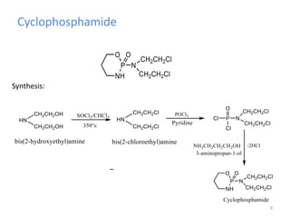
Cyclophosphamide
Synthesis:
9
Metabolism of Cyclophosphamide
10
Chlorambucil
11
Prodrug Approach of Chlorambucil
12
Melphalan
13
Mechanism
If aromatic ring is attached to alkylating side chain
14
Nitrosoureas
• Mainly lipid soluble and can cross blood brain barrier
• Mostly used in the treatment of tumor in brain and in meninges
• Cause bone marrow depression
• Act as alkylating agent via formation of Aziridinium ring formation
15
Carmustine
Synthesis:
16
Lomustine
Synthesis:
17
Semustine
Synthesis:
18
Estramustine
Synthesis:
19
Alkyl Sulfonates
• Esters of alkane sulfonic acids with the general formula R-SO2-O-R‘
• leads to the misreading of the DNA codes, single-strand breaks, and cross-
-linking of DNA.
• Used to treat chronic myelogenous leukemia (CML).
• Also lead to discoloration of the skin, especially of the hands and nails,
rashes and itching.
20
Busulfan
Synthesis:
21
Ethylenimines
• used as an adjuvant to radiation therapy of retinoblastoma and injected
into the carotid artery
• used in the palliative treatment of malignant neoplasm's
• Also used in the treatment of carcinoma of breast, ovaries, colon-rectum
and rectum.
• It is found useful in the treatment of malignant lymphomas and
bronchogenic carcinomas.
• The ‘drug’ also crosses the blood-brain barrier (BBB).
• It has been observed that it undergoes absorption through serous
membranes, bladder and pleura, to a certain degree.
22
Dacarbazine
Synthesis:
23
Limitation – cause Photolysis
24
Temozolomide
25
• It is an imidazotetrazine derivatives
• It is antitumor drug that is capable of entering the central nervous system and
used to treat malignant brain tumor.
• Act as a as a second-line treatment for astrocytoma and a first-line treatment
for Glioblastoma multiforme.
Synthesis of Temozolomide
26
Altretamine
Synthesis:
27
Thiotepa
Synthesis:
28
References
(1) Robert A. Weinberg. How Cancer Arises ,An Explosion of Research is Uncovering the Long- Hidden
Molecular Underpinnings of Cancer-and Suggesting New Therapies. Sci. Am. 1996, 62–68.
(2) Beale, J. M.; John H. Block. Wilson and Gisvold’s Textbook of Organic Medicinal and Pharmaceutical
Chemistry, 12th Editi.; David B. Troy, Ed.; Wolters Kluwer health, 2011.
(3) Myles, A.; Penselau, C.; Friedman, O. M. Synthesis of Aldophosphamide, A Key Cyclophosphamide
Metabolites. Tetrahedron Lett. 1977, No. 29, 2475–2478.
(4) Alagarsamy, V. Textbook of Medicinal Chemistry, Volume II; 2010.
(5) Singh, R. K.; Prasad, D. N.; Bhardwaj, T. R. Design, Synthesis, Chemical and Biological Evaluation of
Brain Targeted Alkylating Agent Using Reversible Redox Prodrug Approach. Arab. J. Chem. 2017, 10
(3), 420–429.
(6) Ashutosh Kar. Medicinal Chemistry, fourth.; New Age International (P) Ltd.: New Delhi- 110002,
2007.
(7) Iradyan, M. A.; Iradyan, N. S.; Stepanyan, G. M.; Arsenyan, F. G.; Garibdzhanyan, B. T. Antitumor
Activity of Imidazole Derivatives: Dacarbazine and the New Alkylating Agent Imidazene (Review).
Pharm. Chem. J. 2010, 44 (4), 175–182.
(8) Wanner, M. J.; Koomen, G.-J. A New Synthesis of Temozolomide. J. Chem. Soc. Perkin Trans. 1 2002,
4 (16), 1877–1880.
(9) Chand, M.; Shukla, A. Novel Synthesis of Altretamine and Their Process Impurities Using
Imidazolium Type of Ionic Liquids. 1–9.
(10) https://www.cancer.gov/about-cancer/understanding/what-is-cancer/types of cancer
29
Thank You!
30

Synthesis of Alkylating agents

  • 1.
    Synthesis of AlkylatingAgents SAKSHAM PALAWAT 1
  • 2.
    INTRODUCTION Cancer: It is definedas a disease characterized by uncontrolled proliferation of cell division and multiplication of own body’s cell. 2
  • 3.
    Alkylating agents • Alkylatingagents are the compounds that have groups which form covalent bond with the cell substituents. • A carbonium ion is a reactive intermediate. • Most have two alkylating groups and can cross link two nucleophilic sites (mainly at N7 position of guanine) in the DNA. • Cross linking prevents DNA replication through pairing of alkyl guanine • Can also cause excision of guanine and chain breakage. Adverse effects: it includes – • Myelosuppression • Sterility • increased risk of acute non lymphocytic leukemia 3
  • 4.
  • 5.
  • 6.
  • 7.
  • 8.
  • 9.
  • 10.
  • 11.
  • 12.
    Prodrug Approach ofChlorambucil 12
  • 13.
  • 14.
    Mechanism If aromatic ringis attached to alkylating side chain 14
  • 15.
    Nitrosoureas • Mainly lipidsoluble and can cross blood brain barrier • Mostly used in the treatment of tumor in brain and in meninges • Cause bone marrow depression • Act as alkylating agent via formation of Aziridinium ring formation 15
  • 16.
  • 17.
  • 18.
  • 19.
  • 20.
    Alkyl Sulfonates • Estersof alkane sulfonic acids with the general formula R-SO2-O-R‘ • leads to the misreading of the DNA codes, single-strand breaks, and cross- -linking of DNA. • Used to treat chronic myelogenous leukemia (CML). • Also lead to discoloration of the skin, especially of the hands and nails, rashes and itching. 20
  • 21.
  • 22.
    Ethylenimines • used asan adjuvant to radiation therapy of retinoblastoma and injected into the carotid artery • used in the palliative treatment of malignant neoplasm's • Also used in the treatment of carcinoma of breast, ovaries, colon-rectum and rectum. • It is found useful in the treatment of malignant lymphomas and bronchogenic carcinomas. • The ‘drug’ also crosses the blood-brain barrier (BBB). • It has been observed that it undergoes absorption through serous membranes, bladder and pleura, to a certain degree. 22
  • 23.
  • 24.
    Limitation – causePhotolysis 24
  • 25.
    Temozolomide 25 • It isan imidazotetrazine derivatives • It is antitumor drug that is capable of entering the central nervous system and used to treat malignant brain tumor. • Act as a as a second-line treatment for astrocytoma and a first-line treatment for Glioblastoma multiforme.
  • 26.
  • 27.
  • 28.
  • 29.
    References (1) Robert A.Weinberg. How Cancer Arises ,An Explosion of Research is Uncovering the Long- Hidden Molecular Underpinnings of Cancer-and Suggesting New Therapies. Sci. Am. 1996, 62–68. (2) Beale, J. M.; John H. Block. Wilson and Gisvold’s Textbook of Organic Medicinal and Pharmaceutical Chemistry, 12th Editi.; David B. Troy, Ed.; Wolters Kluwer health, 2011. (3) Myles, A.; Penselau, C.; Friedman, O. M. Synthesis of Aldophosphamide, A Key Cyclophosphamide Metabolites. Tetrahedron Lett. 1977, No. 29, 2475–2478. (4) Alagarsamy, V. Textbook of Medicinal Chemistry, Volume II; 2010. (5) Singh, R. K.; Prasad, D. N.; Bhardwaj, T. R. Design, Synthesis, Chemical and Biological Evaluation of Brain Targeted Alkylating Agent Using Reversible Redox Prodrug Approach. Arab. J. Chem. 2017, 10 (3), 420–429. (6) Ashutosh Kar. Medicinal Chemistry, fourth.; New Age International (P) Ltd.: New Delhi- 110002, 2007. (7) Iradyan, M. A.; Iradyan, N. S.; Stepanyan, G. M.; Arsenyan, F. G.; Garibdzhanyan, B. T. Antitumor Activity of Imidazole Derivatives: Dacarbazine and the New Alkylating Agent Imidazene (Review). Pharm. Chem. J. 2010, 44 (4), 175–182. (8) Wanner, M. J.; Koomen, G.-J. A New Synthesis of Temozolomide. J. Chem. Soc. Perkin Trans. 1 2002, 4 (16), 1877–1880. (9) Chand, M.; Shukla, A. Novel Synthesis of Altretamine and Their Process Impurities Using Imidazolium Type of Ionic Liquids. 1–9. (10) https://www.cancer.gov/about-cancer/understanding/what-is-cancer/types of cancer 29
  • 30.