Embed presentation
Downloaded 103 times












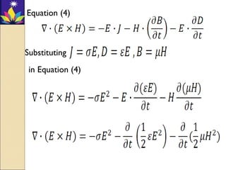
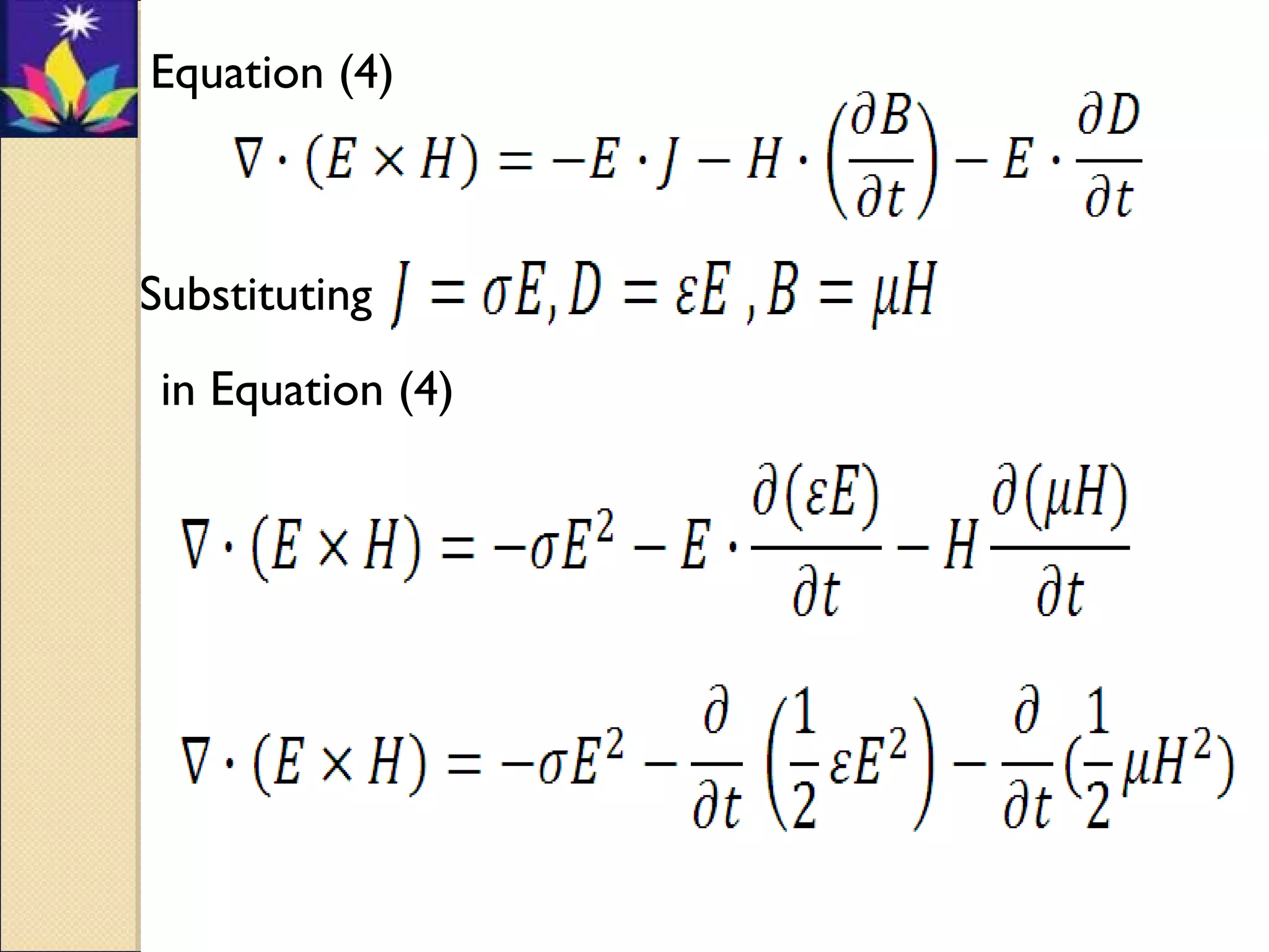
The Poynting vector S is defined as the cross product of the electric field E and magnetic field H, and represents the direction of power flow per unit area. It has units of watts per square meter. Maxwell's equations relate the Poynting vector to energy storage and dissipation within a volume. For a coaxial cable carrying a steady current I with a voltage V between conductors, the power flow along the cable equals the product of the voltage and current.










