BIODEGRADATION OF OIL SPILLS
Dr. Esther Shoba R
Assistant Professor
Kristu Jayanti College
Bangalore
INTRODUCTION
• Oil spills are the exit of liquid petroleum to human activity, and is a form of
pollution.
• Oil Spills can harm living things because its chemical
constituents are poisonous.
• This can Trace organisms both from internal exposure to oil through
ingestion or inhalation and from external exposure through eye and skin
irritation.
• Oil can also smother some small species of fish or invertebrates and fur and
coat feathers, reducing birds, and mammals, ability to maintain their body
temperatures.
• A tarball is a blob of petroleum and remnants of oil pollution which has
been weathered after floating in the ocean.
• Tarballs are an aquatic pollutant in further environments, although they
can happen naturally and as such are not always associated with oil spills
some small
• Petroleum-based products are the major source of energy for industry and
daily life.
• Leaks and accidental spills occur regularly during the exploration,
production, refining, transport, and storage of petroleum and petroleum
products.
• The amount of natural crude oil seepage was estimated to be 600,000
metric tons per year with a range of uncertainty of 200,000 metric tons
per year
• Release of hydrocarbons into the environment whether accidentally or
due to human activities is a main cause of water and soil pollution
• Soil contamination with hydrocarbons causes extensive damage of local
system since accumulation of pollutants in animals and plant tissue may
cause death or mutations
• The technology commonly used for the soil remediation includes
mechanical, burying, evaporation, dispersion, and washing.
• However, these technologies are expensive and can lead to incomplete
decomposition of contaminants.
• Biodegradation by natural populations of microorganisms represents
one of the primary mechanisms by which petroleum and other
hydrocarbon pollutants can be removed from the environment and is
cheaper than other remediation technologies
• The success of oil spill bioremediation depends on one’s ability to
establish and maintain conditions that favor enhanced oil
biodegradation rates in the contaminated environment.
• One important requirement is the presence of microorganisms with the
appropriate metabolic capabilities.
• If these microorganisms are present, then optimal rates of growth and
hydrocarbon biodegradation can be sustained by ensuring that adequate
concentrations of nutrients and oxygen are present and that the pH is
between 6 and 9.
• The physical and chemical characteristics of the oil and oil surface area
are also important determinants of bioremediation success.
• There are the two main approaches to oil spill bioremediation: (a)
bioaugmentation, in which known oil-degrading bacteria are added to
supplement the existing microbial population, and (b) biostimulation, in
which the growth of indigenous oil degraders is stimulated by the
addition of nutrients or other growth-limiting cosubstrates.
Composition of oil
• Crude oil is made up of four main elements.
• It usually contains 84% to 87% carbon, 11% to 14% hydrogen, 0.1% to
8% sulfur, 0.1% to 1.8% nitrogen, and 1% to 1.5% oxygen
• Although there are sodium, nitrogen, and oxygen compounds in oil, the
most common molecules are hydrocarbons.
• There are three main groups of hydrocarbon molecules in crude oil;
aromatics, naphthenes, and alkanes
AROMATIC HYDROCARBONS
• The most difficult hydrocarbons for bacteria to biodegrade are
aromatic compounds.
• Aromatic compounds are double-bonded carbon rings. Some of them
also have attached chains of hydrocarbons.
• Very small (one or two ring) aromatics evaporate off of a spill or can be
biodegraded.
• Larger aromatics, however, resist biodegradation, and can persist in
the area of a spill for a long time
• The only way that they can be broken down is by photo oxidation, or
degradation by U.V. light.
• Aromatics are also the most toxic compounds in crude oil
NAPTHALENES and ALKANES
• Naphthenes are single-bonded, saturated hydrocarbon rings.
• Naphthenes can be biodegraded more easily than aromatics, but not
as quickly as alkanes because they contain more bonds
• Alkanes are straight or branched saturated hydrocarbons.
• They only contain single bonds, which is ideal for microbial degradation
because it does not take much energy to break apart the molecules,
compared to double-bonded molecules.
• They can be solids, liquids, or gases, depending on the number of carbon
atoms they contain.
• Alkanes with one to four carbon atoms are gases, also called volatile
compounds.
• During an oil spill, these compounds evaporate off of the slick and into the
air.
• Alkanes with five to sixteen carbon atoms are liquids. These form most of
the oil slick.
• They can be degraded relatively quickly by bacteria.
• The smaller the chain, the easier it is for bacteria to break it down.
• Alkanes with more that sixteen carbon atoms are solids, and are difficult for
bacteria to break down.
• The saturates, the aromatics, the asphaltenes (phenols, fatty acids,
ketones, esters, and porphyrins), and the resins (pyridines, quinolines,
carbazoles, sulfoxides, and amides)
• The susceptibility of hydrocarbons to microbial degradation can be
generally ranked as follows: linear alkanes >branched alkanes > small
aromatics >cyclic alkanes
MICROORGANISMS USED IN BIODEGRADATION
• Hydrocarbons in the environment are biodegraded primarily by
bacteria, yeast, and fungi.
• The reported efficiency of biodegradation ranged from 6% to 82% for
soil fungi, 0.13% to 50% for soil bacteria, and 0.003% to 100% for
marine bacteria.
• Many scientists reported that mixed populations with overall broad
enzymatic capacities are required to degrade complex mixtures of
hydrocarbons such as crude oil in soil, fresh water, and marine
environments.
BACTERIA
• Bacteria are the most active agents in petroleum degradation, and they
work as primary degraders of spilled oil in environment.
• Several bacteria are even known to feed exclusively on hydrocarbons
• Acinetobacter sp. was found to be capable of utilizing n-alkanes of
chain length C10–C40 as a sole source of carbon.
• Bacterial genera, namely, Gordonia, Brevibacterium, Aeromicrobium,
Dietzia, Burkholderia, and Mycobacterium isolated from petroleum
contaminated soil proved to be the potential organisms for
hydrocarbon degradation.
• The degradation of poly-aromatic hydrocarbons by Sphingomonas is
reported
FUNGI
• Fungal genera,
namely, Amorphoteca, Neosartorya, Talaromyces, and Graphium and
yeast genera, namely, Candida, Yarrowia, and Pichia were isolated from
petroleum-contaminated soil and proved to be the potential organisms
for hydrocarbon degradation.
• terrestrial fungi,
namely, Aspergillus, Cephalosporium, and Pencillium which were also
found to be the potential degrader of crude oil hydrocarbons.
• The yeast species, namely, Candida lipolytica, Rhodotorula
mucilaginosa, Geotrichum sp, and Trichosporon mucoides isolated from
contaminated water were noted to degrade petroleum compounds
• Alga, Prototheca zopfi which was capable of utilizing crude oil and a
mixed hydrocarbon substrate and exhibited extensive degradation of n-
alkanes and isoalkanes as well as aromatic hydrocarbons.
• It is observed that nine cyanobacteria, five green algae, one red alga,
one brown alga, and two diatoms could oxidize naphthalene.
Factors Influencing Petroleum Hydrocarbon
Degradation
NUTRIENTS
• Nutrients are very important ingredients for successful biodegradation
of hydrocarbon pollutants especially nitrogen, phosphorus, and in
some cases iron.
• Some of these nutrients could become limiting factor thus affecting
the biodegradation processes.
• Atlas reported that when a major oil spill occurred in marine and
freshwater environments, the supply of carbon was significantly
increased and the availability of nitrogen and phosphorus generally
became the limiting factor for oil degradation.
• In marine environments, it was found to be more pronounced due to
low levels of nitrogen and phosphorous in seawater
Mechanism of Petroleum Hydrocarbon Degradation
• The most rapid and complete degradation of the majority of organic
pollutants is brought about under aerobic conditions.
• The initial intracellular attack of organic pollutants is an oxidative
process and the activation as well as incorporation of oxygen is the
enzymatic key reaction catalyzed by oxygenases and peroxidases.
• Peripheral degradation pathways convert organic pollutants step by
step into intermediates of the central intermediary metabolism, for
example, the tricarboxylic acid cycle.
• Biosynthesis of cell biomass occurs from the central precursor
metabolites, for example, acetyl-CoA, succinate, pyruvate.
• Sugars required for various biosyntheses and growth are synthesized
by gluconeogenesis.
• The key step of hydrocarbon degradation is the addition of one oxygen
atom, in some cases, two oxygen atoms, to the hydrocarbon molecule,
which is then converted to an alkanol (in the case of aliphatic
hydrocarbons) or to a phenol (in the case of aromatic molecules).
• In some species, an epoxide is the first intermediate.
• This activation makes the hydrocarbon more soluble in water, marks a
reactive site, and introduces a reactive site for the next reactions.
• The reaction requires energy, which is typically generated via the
oxidation of a reduced biological intermediate such as NADH, which
itself is reoxidized by an electron acceptor.
• The main intermediates of the alkane degradation are fatty acids, which
are produced from the alkanols via aldehydes.
• These acids can be further decomposed by the pathway typical of
physiologica carboxylic acid degradation, in which the molecule is
shortened stepwise.
• However, fatty acids can also be excreted by the cells and accumulate in
the environment.
• Once released, they can produce ambiguous effects. On the one hand,
fatty acids can serve as a carbon source for bacteria of a community, thus
enhancing the hydrocarbon degradation.
• On the other hand, fatty acids (chain length 14 C) can inhibit growth and
hydrocarbon metabolism because they interfere with the cell membrane
Biodegradation of n-alkanes: metabolism begins with the activity of a monooxygenase which introduces a hydroxyl group into
the aliphatic chain. [A]-monoterminal oxidation, [B]-biterminal oxidation, [C]- subterminal oxidation);
Biodegradation of aromatic hydrocarbons: metabolism begins with the activity of a monooxygenase [1] or a dioxygenase [2] which introduce one or
two atoms of oxygen; it can also begin with unspecific reactions [3]
Complete mineralization or the dioxygenase pathway
• This pathway is taken mainly by bacteria.
• The monoaromatic molecule or one ring of the polyaromatic system is
attacked by a dioxygenase, and the molecule is oxidized stepwise via
formation of a diol and subsequent ring cleavage.
• Pyruvate is one of the main intermediates of the pathway.
• The main products are biomass and carbon dioxide.
• An accumulation of dead-end products is rare and occurs mostly when
cells are deficient in their degradation pathway.
• The disadvantage of this pathway is that only ring systems of up to
four rings are mineralized.
• Systems with a higher number of rings seem to be recalcitrant
Unspecific oxidation via radical reactions
• It includes the attack of phenolic molecule structure by a nonspecific
action, thus also attacking other aromatic structures such as PAH.
• The type of cleavage product is not predictable.
• Frequent metabolites of PAHs are quinones, quinoles, and ring systems
with a ring number lower than that of the original substance.
• These compounds may be incorporated into sediments and alter the
sediment structure.
• The wood-destroying white rot fungi, e.g., have been shown to destroy
the structure of lignin via the activity of extracellular peroxidases and
phenol oxidases.
Anaerobic hydrocarbon degradation
• The metabolic routes of alkane degradation seem to function differently and
are not completely understood yet.
• However it includes terminal or sub terminal addition of a one-carbon
moiety or a fumarate molecule to the alkane as an activation mechanism.
• For aromatic molecules, it has been demonstrated that alkyl benzenes which
have a methyl group as a side chain undergo an enzymes addition of
fumarate, most likely via a radical mechanism.
• This was demonstrated for toluene.
• Alkyl benzenes with side chains of two or more carbon atoms are activated
by dehydrogenation of the side chain.
• This has been shown for ethyl- and propylbenzene
Proposed pathway for anaerobic degradation of n-alkanes; activation via addition of a C1-moiety
(subterminal carboxylation at C3).
Proposed pathways of anaerobic degradation of aromatic hydrocarbons; activation via addition of fumarate,
[1]—succinate.
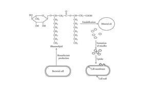
BIOSURFACTANTS
• Biosurfactants are surface-active substances synthesized by living cells.
•
• Interest in microbial surfactants has been steadily increasing in recent
years due to their diversity, environmentally friendly nature, possibility of
large-scale production, selectivity, performance under extreme conditions,
and potential applications in environmental protection.
• Biosurfactants enhance the emulsification of hydrocarbons, have the
potential to solubilize hydrocarbon contaminants, and increase their
availability for microbial degradation.
BIOSURFACTANTS
• The use of chemicals for the treatment of a hydrocarbon polluted site may
contaminate the environment with their by-products, whereas biological
treatment may efficiently destroy pollutants, while being biodegradable
themselves.
• Therefore, biosurfactant-producing microorganisms may play an important
role in the accelerated bioremediation of hydrocarbon-contaminated sites.
• When grown on hydrocarbon substrate as the carbon source, these
microorganisms synthesize a wide range of chemicals with surface activity,
such as glycolipid, phospholipid, and others.
• These chemicals are synthesized to emulsify the hydrocarbon substrate
and facilitate its transport into the cells.
• In some bacterial species such as Pseudomonas aeruginosa,
biosurfactants are also involved in a group motility behavior called
swarming motility
• Pseudomonads are the best known bacteria capable of utilizing
hydrocarbons as carbon and energy sources and producing
biosurfactants.
• Among Pseudomonas, P. aeruginosa is widely studied for the
production of glycolipid type biosurfactants.
• However, glycolipid type biosurfactants are also reported from some
other species like P. putida and P. chlororaphis.
• Biosurfactants increase the oil surface area and that amount of oil is
actually available for bacteria to utilize it.
• Biosurfactants can act as emulsifying agents by decreasing the surface
tension and forming micelles.
• The microdroplets encapsulated in the hydrophobic microbial cell
surface are taken inside and degraded.
Alcanivorax borkumensis
• Alcanivorax borkumensis is a marine bacteria that can absorb and digest
linear and branched alkanes that are found in crude oil and its products
• A. borkumensis is a gram-negative bacteria, meaning that the bacteria
has an outer membrane of lipopolysaccharides, unlike gram positive
bacteria who do not possess this layer.
• It is also a rod-shaped bacterium that is aerobic (oxygen reliant)
• A. borkumensis is included in the genus Bacillus, which is a genus for
rod-shaped bacterium and is in the class Gammaproteobacteria,
meaning that it is a scientifically important bacteria
• Since A. borkumensis occurs naturally in unpolluted waters all over the
world (including freshwater), it has to have a source of energy.
• A particular study has found that strains of two of the most abundant
cyanobacteria in the ocean (Prochlorococcus and Synechococcus)
produce and accumulate hydrocarbons, particularly alkanes C15 and
C17.
• These alkanes are the energy source for A. borkumensis in unpolluted
water.
• A. borkumensis naturally flourishes after an oil spill because there is a
more abundant source of energy that can sustain a larger population.
• A. borkumensis also participates in wastewater treatment by being
foamed by Nocardia spp.
• A borkumensis breaks apart the bonds in hydrocarbons in oil that
have been exposed to the sea, using enzymes and oxygen found in
the seawater
• A. borkumensis creates enzymes AlkB1 and AlkB2.
• AlkB1 is involved with the direct reversal of alkylation damage,
specifically in single-stranded DNA.
• AlkB1 hydroxylases alkanes with 5 to 12 carbons, and AlkB2
hydroxylases alkanes with 8 to 16 carbons .
• The chain lengths with the most A. borkumensis growth are 14 to 19
carbon chains.
• A. borkumensis is able to outcompete other hydrocarbonoclastic
species of bacteria because it can break down such a wide range of
alkane chains
BIOFILMS
• A biofilm may be defined as an assemblage of microorganisms comprising
of microbial species attached to a biological or inert surface and encased
in a self-synthesized matrix comprising of water, proteins, carbohydrates
and extracellular DNA.
• It may be anticipated that different microbial species present in consortia
of biofilms each with different metabolic degradation pathway are
capable of degrading several pollutants either individually or collectively.
• Biofilm forming bacteria are adapted to survive and suited for
bioremediation as they compete with nutrients and oxygen and
observations of tolerance of biofilms towards harsh environment found
way in the process of bioremediation.
• Biofilm mediated remediation is environment friendly and cost effective
option for cleaning up environmental pollutants.
• Use of biofilms is efficient for bioremediation as biofilms absorb,
immobilize and degrade various environmental pollutants.
• Bacterial biofilms exist within indigenous populations near the heavily
contaminated sites to better persist, survive and manage the harsh
environment.

Oil spills

  • 1.
    BIODEGRADATION OF OILSPILLS Dr. Esther Shoba R Assistant Professor Kristu Jayanti College Bangalore
  • 2.
    INTRODUCTION • Oil spillsare the exit of liquid petroleum to human activity, and is a form of pollution. • Oil Spills can harm living things because its chemical constituents are poisonous. • This can Trace organisms both from internal exposure to oil through ingestion or inhalation and from external exposure through eye and skin irritation. • Oil can also smother some small species of fish or invertebrates and fur and coat feathers, reducing birds, and mammals, ability to maintain their body temperatures. • A tarball is a blob of petroleum and remnants of oil pollution which has been weathered after floating in the ocean. • Tarballs are an aquatic pollutant in further environments, although they can happen naturally and as such are not always associated with oil spills some small
  • 3.
    • Petroleum-based productsare the major source of energy for industry and daily life. • Leaks and accidental spills occur regularly during the exploration, production, refining, transport, and storage of petroleum and petroleum products. • The amount of natural crude oil seepage was estimated to be 600,000 metric tons per year with a range of uncertainty of 200,000 metric tons per year • Release of hydrocarbons into the environment whether accidentally or due to human activities is a main cause of water and soil pollution • Soil contamination with hydrocarbons causes extensive damage of local system since accumulation of pollutants in animals and plant tissue may cause death or mutations
  • 4.
    • The technologycommonly used for the soil remediation includes mechanical, burying, evaporation, dispersion, and washing. • However, these technologies are expensive and can lead to incomplete decomposition of contaminants. • Biodegradation by natural populations of microorganisms represents one of the primary mechanisms by which petroleum and other hydrocarbon pollutants can be removed from the environment and is cheaper than other remediation technologies • The success of oil spill bioremediation depends on one’s ability to establish and maintain conditions that favor enhanced oil biodegradation rates in the contaminated environment.
  • 5.
    • One importantrequirement is the presence of microorganisms with the appropriate metabolic capabilities. • If these microorganisms are present, then optimal rates of growth and hydrocarbon biodegradation can be sustained by ensuring that adequate concentrations of nutrients and oxygen are present and that the pH is between 6 and 9. • The physical and chemical characteristics of the oil and oil surface area are also important determinants of bioremediation success. • There are the two main approaches to oil spill bioremediation: (a) bioaugmentation, in which known oil-degrading bacteria are added to supplement the existing microbial population, and (b) biostimulation, in which the growth of indigenous oil degraders is stimulated by the addition of nutrients or other growth-limiting cosubstrates.
  • 6.
    Composition of oil •Crude oil is made up of four main elements. • It usually contains 84% to 87% carbon, 11% to 14% hydrogen, 0.1% to 8% sulfur, 0.1% to 1.8% nitrogen, and 1% to 1.5% oxygen • Although there are sodium, nitrogen, and oxygen compounds in oil, the most common molecules are hydrocarbons. • There are three main groups of hydrocarbon molecules in crude oil; aromatics, naphthenes, and alkanes
  • 7.
    AROMATIC HYDROCARBONS • Themost difficult hydrocarbons for bacteria to biodegrade are aromatic compounds. • Aromatic compounds are double-bonded carbon rings. Some of them also have attached chains of hydrocarbons. • Very small (one or two ring) aromatics evaporate off of a spill or can be biodegraded. • Larger aromatics, however, resist biodegradation, and can persist in the area of a spill for a long time • The only way that they can be broken down is by photo oxidation, or degradation by U.V. light. • Aromatics are also the most toxic compounds in crude oil
  • 8.
    NAPTHALENES and ALKANES •Naphthenes are single-bonded, saturated hydrocarbon rings. • Naphthenes can be biodegraded more easily than aromatics, but not as quickly as alkanes because they contain more bonds • Alkanes are straight or branched saturated hydrocarbons. • They only contain single bonds, which is ideal for microbial degradation because it does not take much energy to break apart the molecules, compared to double-bonded molecules.
  • 9.
    • They canbe solids, liquids, or gases, depending on the number of carbon atoms they contain. • Alkanes with one to four carbon atoms are gases, also called volatile compounds. • During an oil spill, these compounds evaporate off of the slick and into the air. • Alkanes with five to sixteen carbon atoms are liquids. These form most of the oil slick. • They can be degraded relatively quickly by bacteria. • The smaller the chain, the easier it is for bacteria to break it down. • Alkanes with more that sixteen carbon atoms are solids, and are difficult for bacteria to break down.
  • 10.
    • The saturates,the aromatics, the asphaltenes (phenols, fatty acids, ketones, esters, and porphyrins), and the resins (pyridines, quinolines, carbazoles, sulfoxides, and amides) • The susceptibility of hydrocarbons to microbial degradation can be generally ranked as follows: linear alkanes >branched alkanes > small aromatics >cyclic alkanes
  • 12.
    MICROORGANISMS USED INBIODEGRADATION • Hydrocarbons in the environment are biodegraded primarily by bacteria, yeast, and fungi. • The reported efficiency of biodegradation ranged from 6% to 82% for soil fungi, 0.13% to 50% for soil bacteria, and 0.003% to 100% for marine bacteria. • Many scientists reported that mixed populations with overall broad enzymatic capacities are required to degrade complex mixtures of hydrocarbons such as crude oil in soil, fresh water, and marine environments.
  • 13.
    BACTERIA • Bacteria arethe most active agents in petroleum degradation, and they work as primary degraders of spilled oil in environment. • Several bacteria are even known to feed exclusively on hydrocarbons • Acinetobacter sp. was found to be capable of utilizing n-alkanes of chain length C10–C40 as a sole source of carbon. • Bacterial genera, namely, Gordonia, Brevibacterium, Aeromicrobium, Dietzia, Burkholderia, and Mycobacterium isolated from petroleum contaminated soil proved to be the potential organisms for hydrocarbon degradation. • The degradation of poly-aromatic hydrocarbons by Sphingomonas is reported
  • 14.
    FUNGI • Fungal genera, namely,Amorphoteca, Neosartorya, Talaromyces, and Graphium and yeast genera, namely, Candida, Yarrowia, and Pichia were isolated from petroleum-contaminated soil and proved to be the potential organisms for hydrocarbon degradation. • terrestrial fungi, namely, Aspergillus, Cephalosporium, and Pencillium which were also found to be the potential degrader of crude oil hydrocarbons. • The yeast species, namely, Candida lipolytica, Rhodotorula mucilaginosa, Geotrichum sp, and Trichosporon mucoides isolated from contaminated water were noted to degrade petroleum compounds
  • 15.
    • Alga, Protothecazopfi which was capable of utilizing crude oil and a mixed hydrocarbon substrate and exhibited extensive degradation of n- alkanes and isoalkanes as well as aromatic hydrocarbons. • It is observed that nine cyanobacteria, five green algae, one red alga, one brown alga, and two diatoms could oxidize naphthalene.
  • 16.
    Factors Influencing PetroleumHydrocarbon Degradation
  • 17.
    NUTRIENTS • Nutrients arevery important ingredients for successful biodegradation of hydrocarbon pollutants especially nitrogen, phosphorus, and in some cases iron. • Some of these nutrients could become limiting factor thus affecting the biodegradation processes. • Atlas reported that when a major oil spill occurred in marine and freshwater environments, the supply of carbon was significantly increased and the availability of nitrogen and phosphorus generally became the limiting factor for oil degradation. • In marine environments, it was found to be more pronounced due to low levels of nitrogen and phosphorous in seawater
  • 18.
    Mechanism of PetroleumHydrocarbon Degradation • The most rapid and complete degradation of the majority of organic pollutants is brought about under aerobic conditions. • The initial intracellular attack of organic pollutants is an oxidative process and the activation as well as incorporation of oxygen is the enzymatic key reaction catalyzed by oxygenases and peroxidases. • Peripheral degradation pathways convert organic pollutants step by step into intermediates of the central intermediary metabolism, for example, the tricarboxylic acid cycle. • Biosynthesis of cell biomass occurs from the central precursor metabolites, for example, acetyl-CoA, succinate, pyruvate. • Sugars required for various biosyntheses and growth are synthesized by gluconeogenesis.
  • 20.
    • The keystep of hydrocarbon degradation is the addition of one oxygen atom, in some cases, two oxygen atoms, to the hydrocarbon molecule, which is then converted to an alkanol (in the case of aliphatic hydrocarbons) or to a phenol (in the case of aromatic molecules). • In some species, an epoxide is the first intermediate. • This activation makes the hydrocarbon more soluble in water, marks a reactive site, and introduces a reactive site for the next reactions. • The reaction requires energy, which is typically generated via the oxidation of a reduced biological intermediate such as NADH, which itself is reoxidized by an electron acceptor.
  • 21.
    • The mainintermediates of the alkane degradation are fatty acids, which are produced from the alkanols via aldehydes. • These acids can be further decomposed by the pathway typical of physiologica carboxylic acid degradation, in which the molecule is shortened stepwise. • However, fatty acids can also be excreted by the cells and accumulate in the environment. • Once released, they can produce ambiguous effects. On the one hand, fatty acids can serve as a carbon source for bacteria of a community, thus enhancing the hydrocarbon degradation. • On the other hand, fatty acids (chain length 14 C) can inhibit growth and hydrocarbon metabolism because they interfere with the cell membrane
  • 23.
    Biodegradation of n-alkanes:metabolism begins with the activity of a monooxygenase which introduces a hydroxyl group into the aliphatic chain. [A]-monoterminal oxidation, [B]-biterminal oxidation, [C]- subterminal oxidation);
  • 24.
    Biodegradation of aromatichydrocarbons: metabolism begins with the activity of a monooxygenase [1] or a dioxygenase [2] which introduce one or two atoms of oxygen; it can also begin with unspecific reactions [3]
  • 25.
    Complete mineralization orthe dioxygenase pathway • This pathway is taken mainly by bacteria. • The monoaromatic molecule or one ring of the polyaromatic system is attacked by a dioxygenase, and the molecule is oxidized stepwise via formation of a diol and subsequent ring cleavage. • Pyruvate is one of the main intermediates of the pathway. • The main products are biomass and carbon dioxide. • An accumulation of dead-end products is rare and occurs mostly when cells are deficient in their degradation pathway. • The disadvantage of this pathway is that only ring systems of up to four rings are mineralized. • Systems with a higher number of rings seem to be recalcitrant
  • 26.
    Unspecific oxidation viaradical reactions • It includes the attack of phenolic molecule structure by a nonspecific action, thus also attacking other aromatic structures such as PAH. • The type of cleavage product is not predictable. • Frequent metabolites of PAHs are quinones, quinoles, and ring systems with a ring number lower than that of the original substance. • These compounds may be incorporated into sediments and alter the sediment structure. • The wood-destroying white rot fungi, e.g., have been shown to destroy the structure of lignin via the activity of extracellular peroxidases and phenol oxidases.
  • 27.
    Anaerobic hydrocarbon degradation •The metabolic routes of alkane degradation seem to function differently and are not completely understood yet. • However it includes terminal or sub terminal addition of a one-carbon moiety or a fumarate molecule to the alkane as an activation mechanism. • For aromatic molecules, it has been demonstrated that alkyl benzenes which have a methyl group as a side chain undergo an enzymes addition of fumarate, most likely via a radical mechanism. • This was demonstrated for toluene. • Alkyl benzenes with side chains of two or more carbon atoms are activated by dehydrogenation of the side chain. • This has been shown for ethyl- and propylbenzene
  • 28.
    Proposed pathway foranaerobic degradation of n-alkanes; activation via addition of a C1-moiety (subterminal carboxylation at C3).
  • 29.
    Proposed pathways ofanaerobic degradation of aromatic hydrocarbons; activation via addition of fumarate, [1]—succinate.
  • 31.
    BIOSURFACTANTS • Biosurfactants aresurface-active substances synthesized by living cells. • • Interest in microbial surfactants has been steadily increasing in recent years due to their diversity, environmentally friendly nature, possibility of large-scale production, selectivity, performance under extreme conditions, and potential applications in environmental protection. • Biosurfactants enhance the emulsification of hydrocarbons, have the potential to solubilize hydrocarbon contaminants, and increase their availability for microbial degradation.
  • 32.
    BIOSURFACTANTS • The useof chemicals for the treatment of a hydrocarbon polluted site may contaminate the environment with their by-products, whereas biological treatment may efficiently destroy pollutants, while being biodegradable themselves. • Therefore, biosurfactant-producing microorganisms may play an important role in the accelerated bioremediation of hydrocarbon-contaminated sites. • When grown on hydrocarbon substrate as the carbon source, these microorganisms synthesize a wide range of chemicals with surface activity, such as glycolipid, phospholipid, and others. • These chemicals are synthesized to emulsify the hydrocarbon substrate and facilitate its transport into the cells. • In some bacterial species such as Pseudomonas aeruginosa, biosurfactants are also involved in a group motility behavior called swarming motility
  • 33.
    • Pseudomonads arethe best known bacteria capable of utilizing hydrocarbons as carbon and energy sources and producing biosurfactants. • Among Pseudomonas, P. aeruginosa is widely studied for the production of glycolipid type biosurfactants. • However, glycolipid type biosurfactants are also reported from some other species like P. putida and P. chlororaphis. • Biosurfactants increase the oil surface area and that amount of oil is actually available for bacteria to utilize it. • Biosurfactants can act as emulsifying agents by decreasing the surface tension and forming micelles. • The microdroplets encapsulated in the hydrophobic microbial cell surface are taken inside and degraded.
  • 35.
    Alcanivorax borkumensis • Alcanivoraxborkumensis is a marine bacteria that can absorb and digest linear and branched alkanes that are found in crude oil and its products • A. borkumensis is a gram-negative bacteria, meaning that the bacteria has an outer membrane of lipopolysaccharides, unlike gram positive bacteria who do not possess this layer. • It is also a rod-shaped bacterium that is aerobic (oxygen reliant) • A. borkumensis is included in the genus Bacillus, which is a genus for rod-shaped bacterium and is in the class Gammaproteobacteria, meaning that it is a scientifically important bacteria • Since A. borkumensis occurs naturally in unpolluted waters all over the world (including freshwater), it has to have a source of energy.
  • 36.
    • A particularstudy has found that strains of two of the most abundant cyanobacteria in the ocean (Prochlorococcus and Synechococcus) produce and accumulate hydrocarbons, particularly alkanes C15 and C17. • These alkanes are the energy source for A. borkumensis in unpolluted water. • A. borkumensis naturally flourishes after an oil spill because there is a more abundant source of energy that can sustain a larger population. • A. borkumensis also participates in wastewater treatment by being foamed by Nocardia spp. • A borkumensis breaks apart the bonds in hydrocarbons in oil that have been exposed to the sea, using enzymes and oxygen found in the seawater
  • 37.
    • A. borkumensiscreates enzymes AlkB1 and AlkB2. • AlkB1 is involved with the direct reversal of alkylation damage, specifically in single-stranded DNA. • AlkB1 hydroxylases alkanes with 5 to 12 carbons, and AlkB2 hydroxylases alkanes with 8 to 16 carbons . • The chain lengths with the most A. borkumensis growth are 14 to 19 carbon chains. • A. borkumensis is able to outcompete other hydrocarbonoclastic species of bacteria because it can break down such a wide range of alkane chains
  • 38.
    BIOFILMS • A biofilmmay be defined as an assemblage of microorganisms comprising of microbial species attached to a biological or inert surface and encased in a self-synthesized matrix comprising of water, proteins, carbohydrates and extracellular DNA. • It may be anticipated that different microbial species present in consortia of biofilms each with different metabolic degradation pathway are capable of degrading several pollutants either individually or collectively. • Biofilm forming bacteria are adapted to survive and suited for bioremediation as they compete with nutrients and oxygen and observations of tolerance of biofilms towards harsh environment found way in the process of bioremediation. • Biofilm mediated remediation is environment friendly and cost effective option for cleaning up environmental pollutants.
  • 39.
    • Use ofbiofilms is efficient for bioremediation as biofilms absorb, immobilize and degrade various environmental pollutants. • Bacterial biofilms exist within indigenous populations near the heavily contaminated sites to better persist, survive and manage the harsh environment.