http://medchem.nuph.edu.ua/
КАФЕДРА МЕДИЧНОЇ ХІМІЇ
КАФЕДРА ФАРМАЦЕВТИЧНОЇ ХІМІЇ
http://pharmchem.nuph.edu.ua/
доц. Абу Шарк А.І.
ас. Гріневич Л.О.
Інформаційні джерела:
1. Державна фармакопея України. – 1-е вид. – Х.: РІРЕГ, 2001. – 556 с.
2. Державна фармакопея України. – 1-е вид. Доповнення 1. – Х.: РІРЕГ, 2004. – 494 с.
3. Государственная фармакопея СССР. XI издание. Выпуск I. – М.: Медицина, 1987. – 334 с.
2. Государственная фармакопея СССР. XI издание. Выпуск II. – М.: Медицина, 1989. – 398 с.
3. Государственная фармакопея СССР. X издание. – М.: Медицина, 1968. – 1079 с.
4. Руководство к лабораторным занятиям по фармацевтической химии. /Под ред. А.П.
Арзамасцева. – М.: Медицина, 1987. – 303 с. 7. Н. П. Максютина, Ф. Е. Каган, Л. А.
Кириченко и Ф. А. Митченко. Методы анализа лекарств. – К.: Здоров’я, 1984. – 224 с.
5. От субстанции к лекарству: Учеб. пособие/ П. А. Безуглый, В. В. Болотов, И. С. Грищенко и
др.; Под ред. В. П. Черных. – Харьков: Изд-во НФаУ: Под ред. В. П. Черных. – Харьков: Изд-
во НФаУ:
Золотые страницы, 2005 – 1244.
6. Функциональный анализ органических лекарственных веществ /А. И. Сливкин, Н. П.
Садчикова: под. ред. академика РАМН, проф. А. П. Арзамасцева. – Воронеж: Воронежский
государственный университет, 2007. – 426 с.
7. Фармацевтичний аналіз: Навч посіб. для студ. вищ. фармац. навч. закл. ІІІ–IV рівнів
акредитації / П. О. Безуглий, В. О. Грудько, С. Г. Леонова та ін.; За ред. П. О. Безуглого. – Х.:
Вид-во НФаУ; Золоті сторінки, 2001. – 240 с.
2
ПЛАН ЛЕКЦІЇ.
1. Аналіз лікарських засобів, які містять нітроген; способи
добування, методи дослідження та медичне застосування:
1.1. Натрію нітрит
1.2. Амоніаку розчин концентрований
2. Аналіз лікарських засобів, які містять бісмут; способи
добування, методи дослідження та медичне застосування:
2.1. Бісмуту нітрат основний
4
1. Аналіз лікарських засобів, які містять нітроген;
способи добування, методи дослідження та медичне
застосування:
1.1. Натрію нітрит (Natrii nitris)(НТД_Х ДФ СРСР)
SODIUM NITRITE (Natrii nitris)
NaNO2 М.м. 69.00
Натрію нітриту в препараті повинно бути не менше 98 %.
ДОБУВАННЯ.
ВЛАСТИВОСТІ.
Білий з ледь жовтуватим відтінком кристалічний
порошок, гігроскопічний. Водний розчин має
слабколужну реакцію.
Легкорозчинний у воді, важкорозчинний у спирті.
5
NaNO3 + Pb PbO + NaNO2
натрію нітрат свинець Натрію нітрит
(Natrii nitris)
ІДЕНТИФІКАЦІЯ.
1. Катіон натрію:
a)
b)
c)
6
Na+ + K[Sb(OH)6] → Na[Sb(OH)6]↓ + K+
Na+
+ C6H5 C
H
COO
[N+
(CH3)4]
OCH3
C6H5 C
H
COONa + [N+
(CH3)4]
OCH3
реактив
метоксифенілоцтової кислоти
калію піроантимонат
a)
b)
c) 2NaNO2 + H2SO4  NO2↑ + NO↑ + Na2SO4 + H2O
7
NO2

+ 2 к. H2SO4
HSO4

N
H
N NH
+
дифеніламін
N
N
O
CH3
CH3
N
N
O
CH3
CH3
NaNO2
HCl
ON
феназон (антипірин)
2. Нітрит-іон:
8
3. Утворення азобарвника:
4.
N
SO3H
NNH2
SO3H
HO
N
SO3H
N
NaO
NaNO2, HCl
+
NaOH
Cl
2MnSO4 + K2SO4 + 5NaNO3 + 3H2O
5NaNO2 + 2KMnO4 + 3H2SO45NaNO2 + 2KMnO4 + 3H2SO4
КІЛЬКІСНЕ ВИЗНАЧЕННЯ
1. Цериметрія(E.Ph.)
9
s = 1/2
    


Na S O к.д. Na S O о.д. м
N O
к
п
aN
(V V ) K T V
X(%)
m V
2 2 3 2 2 3
2
100
 

Ce( SO ) NaNO
Ce( SO ) / NaNO
См s М.м.
T г / мл4 2 2
4 2 2
1000
NaNO2 + 2Ce(SO4)2 + H2O → NaNO3 + Ce2(SO4)3 + H2SO4
2KI + 2Ce(SO4)2 → I2 + Ce2(SO4)3 + K2SO4
I2 + 2Na2S2O3 → 2NaI + Na2S4O6
крохмальInd
Нефармакопейний метод
2. Перманганатометрія (зворотне титрування)(НТД_Х ДФ СРСР)
5NaNO2 + 2KMnO4 + 3H2SO4 →
→ K2SO4 + 2MnSO4 + 5NaNO3 + 3H2O
2KMnO4 + 10KI + 8H2SO4 →
→ 6K2SO4 + 5I2 + 2MnSO4 + 8H2O
I2 + 2Na2S2O3 → 2NaI + Na2S4O6
10
s = 2,5 крохмальInd
 

KMnO NaNO
KMnO / NaNO
См s М.м.
T г / мл4 2
4 2
1000
    


Na S O к.д. Na S O о.д. м
N O
к
п
aN
(V V ) K T V
X(%)
m V
2 2 3 2 2 3
2
100
ЗБЕРІГАННЯ.
У щільно закупорених склянках темного скла в
захищеному від світла місці.
ЗАСТОСУВАННЯ.
Спазмолітичний засіб, антидот при отруєнні
ціанідами та метгемоглобін утворюючими
препаратами (похідні аніліну, амінофеноли і
амінофенони, хлорати, деякі місцеві анестетики
(наприклад, бензокаїн), нітрити та нітрати,
нітробензол і його похідні, окис азоту,
феназопіридин, антималярійні препарати і деякі
сульфаніламіди).
11
1.2. АМІАКУ РОЗЧИН КОНЦЕНТРОВАНИЙ (ДФУ)
Ammoniae solutio concentrata
AMMONIA SOLUTION, CONCENTRATED
NH3 М.м. 17,03
Вміст: не менше 25.0 % (м/м) і не більше 30.0 % (м/м).
12
ВЛАСТИВОСТІ.
Опис. Прозора, безбарвна, дуже лужна рідина.
Розчинність. Змішується з водою і 96% спиртом.
рН Індикатор Колір
Сильнолужна
(> 10)
Фенолфталеїновий папір
Тимоловий синій
13
ДОБУВАННЯ.
ІДЕНТИФІКАЦІЯ.
1. Відносна густина (2.2.25)
2. Субстанція повинна мати сильнолужну реакцію
(2.2.4): до 10 мл випробовуваного розчину
додають 0.1 мл розчину індикатора.
N2 + 3H2 → 2NH3
нітроген водень
Від 0,892 до 0,910
3. Іон амонію:
НЕФАРМАКОПЕЙНА РЕАКЦІЯ.
14
NH3 + HCl NH4Cl
метиловий
червоний
MgO + 2NH4
+
Mg2+
+ 2NH3+ H2O
2NH4Cl + Na3[Co(NO2)6]  (NH4)2Na[Co(NO2)6] + 2NaCl
натрію
кобальтинітрит
NH3 + НCl → NH4Cl
дим
1. КІЛЬКІСНЕ ВИЗНАЧЕННЯ.
Ацидиметрія, зворотне титрування.
15
s=1
 

HCl NH
HCl / NH
См М.м. s
Т 3
3
1000
    
 HCl HCl NaOH NaOH
NH
(V К V К ) T
X(%)
m3
100
NH4OH + HCl  NH4Cl + H2O
HCl + NaOH  NaCl + H2O
метиловий
червонийInd
16
ЗБЕРІГАННЯ.
У закупореній тарі при температурі не вище 20℃.
ЗАСТОСУВАННЯ.
10% розчин амоніаку застосовують як засіб швидкої
допомоги для збудження дихання і виведення хворого
зі стану непритомності.
17
2. Аналіз лікарських засобів, які містять бісмут.
2.1. БІСМУТУ НІТРАТ ОСНОВНИЙ(НТД_Х ДФ СРСР)
(Bismuthi subnitras)
Bi OH
HO
O3N
Bi
O OH
Bi
O NO3
Bi
O
NO3
Bi
O
OH
, ,,
Хімічний склад бісмуту нітрату основного непостійний.
Це суміш речовин:
ВЛАСТИВОСТІ.
Білий аморфний або дрібнокристалічний порошок; практично
нерозчинний у воді, спирті, розчинний у розчинах кислот
хлористоводневої та нітратної.
Змочений у воді порошок забарвлює синій лакмусовий папір у
червоний колір (pH<7).
Bi
O
OH
ONO2
Bi
O
+ H2O HNO3 + 2Bi
O
OH
18
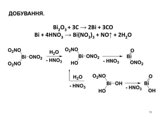
ДОБУВАННЯ.
Bi2O3 + 3C → 2Bi + 3CO
Bi + 4HNO3 → Bi(NO3)3 + NO↑ + 2H2O
- HNO3 - HNO3
- HNO3 - HNO3
H2O
H2O
Bi ONO2
O2NO
O2NO
Bi ONO2
O2NO
HO
Bi
O
ONO2
Bi OH
O2NO
HO
Bi
O
OH
1.
2. Іон вісмуту:
a)
b)
3.
19
Bi(NO3)3+ 3KI BiI3 + 3KNO3
BiI3+ KI K[BiI4]
Bi(NO3)3  3(NH2)2CS  [Bi((NH2)2CS)3](NO3)3
тіосечовина
або
O
Bi
O
Bi
OH
ONO2
2
t°
2Bi2O3 + 2NO + O2 + H2O1
2
2Bi(NO3)3 + 3Na2S Bi2S3 + 6NaNO3
SO3
H
OHCH3
CH2
O
CH2
CH3
N
N
CH2
CH2
CH2
CH2
COOH
COOH
COOH
COOH
SO3
H
OCH3
CH2
O
CH2
CH3
N
N
CH2
CH2
CH2
CH2
COOH
COO
COO
COOH
Bi
HNO3
+ Bi3+
КІЛЬКІСНЕ ВИЗНАЧЕННЯ
Комплексонометрія:
20
H3Ind
ксиленоловий
оранжевий
21
CH2
CH2
N
CH2
COOH
CH2
COOH
N
CH2
COONa
CH2
COONa
CH2
CH2
N
CH2
COO
CH2
COO
N
CH2
COO
CH2
COONa
Bi
CH2
CH2
N
CH2
COOH
CH2
COOH
N
CH2
COONa
CH2
COONa
CH2
CH2
N
CH2
COO
CH2
COO
N
CH2
COO
CH2
COONa
Bi
H+
+ H3Ind + Na+
+ Bi3+
HNO3
+ Bi . Ind
+ 2H+ + Na+
натрію едетат
  

Na едетату
н
V К Т
X(%)
m
100


 
 
 
 
Bi
Na едетату/Bi
Bi О
Na едетату/Bi О
Cм s А.м.
T ; s
Cм s М.м.
T ; s
3
3
2 3
2 3
1
1000
1
21000
ЗБЕРІГАННЯ.
У щільно закупореній тарі, яка захищає від дії світла.
ЗАСТОСУВАННЯ.
В’яжучий, антисептичний засіб.
22
Висновки
1. Ознайомились з методами добування,
особливостями реакцій ідентифікації та кількісного
визначення лікарських засобів, які містять нітроген;
способи добування, методи дослідження та медичне
застосування: Натрію нітриту та розчину Амоніаку .
2. Ознайомились з методами добування,
особливостями реакцій ідентифікації та кількісного
визначення лікарських засобів, які містять бісмут;
способи добування, методи дослідження та медичне
застосування: Бісмуту нітрату основниого.
Дякую за увагу! 24

Лікарські речовини, похідні елементів V групи періодичної системи Д.І. Менделєєва.

  • 1.
    http://medchem.nuph.edu.ua/ КАФЕДРА МЕДИЧНОЇ ХІМІЇ КАФЕДРАФАРМАЦЕВТИЧНОЇ ХІМІЇ http://pharmchem.nuph.edu.ua/ доц. Абу Шарк А.І. ас. Гріневич Л.О.
  • 2.
    Інформаційні джерела: 1. Державнафармакопея України. – 1-е вид. – Х.: РІРЕГ, 2001. – 556 с. 2. Державна фармакопея України. – 1-е вид. Доповнення 1. – Х.: РІРЕГ, 2004. – 494 с. 3. Государственная фармакопея СССР. XI издание. Выпуск I. – М.: Медицина, 1987. – 334 с. 2. Государственная фармакопея СССР. XI издание. Выпуск II. – М.: Медицина, 1989. – 398 с. 3. Государственная фармакопея СССР. X издание. – М.: Медицина, 1968. – 1079 с. 4. Руководство к лабораторным занятиям по фармацевтической химии. /Под ред. А.П. Арзамасцева. – М.: Медицина, 1987. – 303 с. 7. Н. П. Максютина, Ф. Е. Каган, Л. А. Кириченко и Ф. А. Митченко. Методы анализа лекарств. – К.: Здоров’я, 1984. – 224 с. 5. От субстанции к лекарству: Учеб. пособие/ П. А. Безуглый, В. В. Болотов, И. С. Грищенко и др.; Под ред. В. П. Черных. – Харьков: Изд-во НФаУ: Под ред. В. П. Черных. – Харьков: Изд- во НФаУ: Золотые страницы, 2005 – 1244. 6. Функциональный анализ органических лекарственных веществ /А. И. Сливкин, Н. П. Садчикова: под. ред. академика РАМН, проф. А. П. Арзамасцева. – Воронеж: Воронежский государственный университет, 2007. – 426 с. 7. Фармацевтичний аналіз: Навч посіб. для студ. вищ. фармац. навч. закл. ІІІ–IV рівнів акредитації / П. О. Безуглий, В. О. Грудько, С. Г. Леонова та ін.; За ред. П. О. Безуглого. – Х.: Вид-во НФаУ; Золоті сторінки, 2001. – 240 с. 2
  • 3.
    ПЛАН ЛЕКЦІЇ. 1. Аналізлікарських засобів, які містять нітроген; способи добування, методи дослідження та медичне застосування: 1.1. Натрію нітрит 1.2. Амоніаку розчин концентрований 2. Аналіз лікарських засобів, які містять бісмут; способи добування, методи дослідження та медичне застосування: 2.1. Бісмуту нітрат основний
  • 4.
    4 1. Аналіз лікарськихзасобів, які містять нітроген; способи добування, методи дослідження та медичне застосування: 1.1. Натрію нітрит (Natrii nitris)(НТД_Х ДФ СРСР) SODIUM NITRITE (Natrii nitris) NaNO2 М.м. 69.00 Натрію нітриту в препараті повинно бути не менше 98 %.
  • 5.
    ДОБУВАННЯ. ВЛАСТИВОСТІ. Білий з ледьжовтуватим відтінком кристалічний порошок, гігроскопічний. Водний розчин має слабколужну реакцію. Легкорозчинний у воді, важкорозчинний у спирті. 5 NaNO3 + Pb PbO + NaNO2 натрію нітрат свинець Натрію нітрит (Natrii nitris)
  • 6.
    ІДЕНТИФІКАЦІЯ. 1. Катіон натрію: a) b) c) 6 Na++ K[Sb(OH)6] → Na[Sb(OH)6]↓ + K+ Na+ + C6H5 C H COO [N+ (CH3)4] OCH3 C6H5 C H COONa + [N+ (CH3)4] OCH3 реактив метоксифенілоцтової кислоти калію піроантимонат
  • 7.
    a) b) c) 2NaNO2 +H2SO4  NO2↑ + NO↑ + Na2SO4 + H2O 7 NO2  + 2 к. H2SO4 HSO4  N H N NH + дифеніламін N N O CH3 CH3 N N O CH3 CH3 NaNO2 HCl ON феназон (антипірин) 2. Нітрит-іон:
  • 8.
    8 3. Утворення азобарвника: 4. N SO3H NNH2 SO3H HO N SO3H N NaO NaNO2,HCl + NaOH Cl 2MnSO4 + K2SO4 + 5NaNO3 + 3H2O 5NaNO2 + 2KMnO4 + 3H2SO45NaNO2 + 2KMnO4 + 3H2SO4
  • 9.
    КІЛЬКІСНЕ ВИЗНАЧЕННЯ 1. Цериметрія(E.Ph.) 9 s= 1/2        Na S O к.д. Na S O о.д. м N O к п aN (V V ) K T V X(%) m V 2 2 3 2 2 3 2 100    Ce( SO ) NaNO Ce( SO ) / NaNO См s М.м. T г / мл4 2 2 4 2 2 1000 NaNO2 + 2Ce(SO4)2 + H2O → NaNO3 + Ce2(SO4)3 + H2SO4 2KI + 2Ce(SO4)2 → I2 + Ce2(SO4)3 + K2SO4 I2 + 2Na2S2O3 → 2NaI + Na2S4O6 крохмальInd
  • 10.
    Нефармакопейний метод 2. Перманганатометрія(зворотне титрування)(НТД_Х ДФ СРСР) 5NaNO2 + 2KMnO4 + 3H2SO4 → → K2SO4 + 2MnSO4 + 5NaNO3 + 3H2O 2KMnO4 + 10KI + 8H2SO4 → → 6K2SO4 + 5I2 + 2MnSO4 + 8H2O I2 + 2Na2S2O3 → 2NaI + Na2S4O6 10 s = 2,5 крохмальInd    KMnO NaNO KMnO / NaNO См s М.м. T г / мл4 2 4 2 1000        Na S O к.д. Na S O о.д. м N O к п aN (V V ) K T V X(%) m V 2 2 3 2 2 3 2 100
  • 11.
    ЗБЕРІГАННЯ. У щільно закупоренихсклянках темного скла в захищеному від світла місці. ЗАСТОСУВАННЯ. Спазмолітичний засіб, антидот при отруєнні ціанідами та метгемоглобін утворюючими препаратами (похідні аніліну, амінофеноли і амінофенони, хлорати, деякі місцеві анестетики (наприклад, бензокаїн), нітрити та нітрати, нітробензол і його похідні, окис азоту, феназопіридин, антималярійні препарати і деякі сульфаніламіди). 11
  • 12.
    1.2. АМІАКУ РОЗЧИНКОНЦЕНТРОВАНИЙ (ДФУ) Ammoniae solutio concentrata AMMONIA SOLUTION, CONCENTRATED NH3 М.м. 17,03 Вміст: не менше 25.0 % (м/м) і не більше 30.0 % (м/м). 12 ВЛАСТИВОСТІ. Опис. Прозора, безбарвна, дуже лужна рідина. Розчинність. Змішується з водою і 96% спиртом.
  • 13.
    рН Індикатор Колір Сильнолужна (>10) Фенолфталеїновий папір Тимоловий синій 13 ДОБУВАННЯ. ІДЕНТИФІКАЦІЯ. 1. Відносна густина (2.2.25) 2. Субстанція повинна мати сильнолужну реакцію (2.2.4): до 10 мл випробовуваного розчину додають 0.1 мл розчину індикатора. N2 + 3H2 → 2NH3 нітроген водень Від 0,892 до 0,910
  • 14.
    3. Іон амонію: НЕФАРМАКОПЕЙНАРЕАКЦІЯ. 14 NH3 + HCl NH4Cl метиловий червоний MgO + 2NH4 + Mg2+ + 2NH3+ H2O 2NH4Cl + Na3[Co(NO2)6]  (NH4)2Na[Co(NO2)6] + 2NaCl натрію кобальтинітрит NH3 + НCl → NH4Cl дим
  • 15.
    1. КІЛЬКІСНЕ ВИЗНАЧЕННЯ. Ацидиметрія,зворотне титрування. 15 s=1    HCl NH HCl / NH См М.м. s Т 3 3 1000       HCl HCl NaOH NaOH NH (V К V К ) T X(%) m3 100 NH4OH + HCl  NH4Cl + H2O HCl + NaOH  NaCl + H2O метиловий червонийInd
  • 16.
    16 ЗБЕРІГАННЯ. У закупореній таріпри температурі не вище 20℃. ЗАСТОСУВАННЯ. 10% розчин амоніаку застосовують як засіб швидкої допомоги для збудження дихання і виведення хворого зі стану непритомності.
  • 17.
    17 2. Аналіз лікарськихзасобів, які містять бісмут. 2.1. БІСМУТУ НІТРАТ ОСНОВНИЙ(НТД_Х ДФ СРСР) (Bismuthi subnitras) Bi OH HO O3N Bi O OH Bi O NO3 Bi O NO3 Bi O OH , ,, Хімічний склад бісмуту нітрату основного непостійний. Це суміш речовин: ВЛАСТИВОСТІ. Білий аморфний або дрібнокристалічний порошок; практично нерозчинний у воді, спирті, розчинний у розчинах кислот хлористоводневої та нітратної. Змочений у воді порошок забарвлює синій лакмусовий папір у червоний колір (pH<7). Bi O OH ONO2 Bi O + H2O HNO3 + 2Bi O OH
  • 18.
    18 ДОБУВАННЯ. Bi2O3 + 3C→ 2Bi + 3CO Bi + 4HNO3 → Bi(NO3)3 + NO↑ + 2H2O - HNO3 - HNO3 - HNO3 - HNO3 H2O H2O Bi ONO2 O2NO O2NO Bi ONO2 O2NO HO Bi O ONO2 Bi OH O2NO HO Bi O OH
  • 19.
    1. 2. Іон вісмуту: a) b) 3. 19 Bi(NO3)3+3KI BiI3 + 3KNO3 BiI3+ KI K[BiI4] Bi(NO3)3  3(NH2)2CS  [Bi((NH2)2CS)3](NO3)3 тіосечовина або O Bi O Bi OH ONO2 2 t° 2Bi2O3 + 2NO + O2 + H2O1 2 2Bi(NO3)3 + 3Na2S Bi2S3 + 6NaNO3
  • 20.
  • 21.
    21 CH2 CH2 N CH2 COOH CH2 COOH N CH2 COONa CH2 COONa CH2 CH2 N CH2 COO CH2 COO N CH2 COO CH2 COONa Bi CH2 CH2 N CH2 COOH CH2 COOH N CH2 COONa CH2 COONa CH2 CH2 N CH2 COO CH2 COO N CH2 COO CH2 COONa Bi H+ + H3Ind +Na+ + Bi3+ HNO3 + Bi . Ind + 2H+ + Na+ натрію едетат     Na едетату н V К Т X(%) m 100           Bi Na едетату/Bi Bi О Na едетату/Bi О Cм s А.м. T ; s Cм s М.м. T ; s 3 3 2 3 2 3 1 1000 1 21000
  • 22.
    ЗБЕРІГАННЯ. У щільно закупоренійтарі, яка захищає від дії світла. ЗАСТОСУВАННЯ. В’яжучий, антисептичний засіб. 22
  • 23.
    Висновки 1. Ознайомились зметодами добування, особливостями реакцій ідентифікації та кількісного визначення лікарських засобів, які містять нітроген; способи добування, методи дослідження та медичне застосування: Натрію нітриту та розчину Амоніаку . 2. Ознайомились з методами добування, особливостями реакцій ідентифікації та кількісного визначення лікарських засобів, які містять бісмут; способи добування, методи дослідження та медичне застосування: Бісмуту нітрату основниого.
  • 24.