Structural Analysis - II
Slope deflection methodSlope deflection method
Moment distribution method
Dr. Rajesh K. N.
Assistant Professor in Civil EngineeringAssistant Professor in Civil Engineering
Govt. College of Engineering, Kannur
Dept. of CE, GCE Kannur Dr.RajeshKNDept. of CE, GCE Kannur Dr.RajeshKN
1
Module IIModule II
Displacement method of analysis
• Slope deflection method-Analysis of continuous beams and
Displacement method of analysis
Slope deflection method Analysis of continuous beams and
frames (with and without sway)
• Moment distribution method- Analysis of continuous beams
and frames (with and without sway)and frames (with and without sway).
Dept. of CE, GCE Kannur Dr.RajeshKN
2
Displacement method
Example 1: Propped cantilever (Kinematically indeterminate to first
degree)
p
degree)
• Required to get Bθ
•degrees of freedom: one
• Kinematically determinate structure is obtained by restraining allKinematically determinate structure is obtained by restraining all
displacements (all displacement components made zero - restrained
structure)
Dept. of CE, GCE Kannur Dr.RajeshKN
3
Restraint at B causes a reaction of MB as shown.
2
12
B
wL
M =
12
The actual rotation at B is Bθ
To induce a rotation of at B, it is required to
apply a moment of MB anticlockwise.
Bθ
Bθ
4
B B
EI
M θ=
pp y
B BM
L
θ
2
4 J i ilib i i
3
wL
2
4
12
B
wL EI
L
θ=
Joint equilibrium equation
(or equation of action superposition)
Dept. of CE, GCE Kannur Dr.RajeshKN
448
B
wL
EI
θ∴ =
•A general approach (applying consistent sign convention
for loads and displacements):
• Restrained structure: Restraint at B causes a reaction of MB
2
L (N t th i ti
Restrained structure: Restraint at B causes a reaction of MB.
2
12
B
wL
M =
(Note the sign convention:
clockwise positive)
Bθ•Apply unit rotation corresponding to
4EI
BmLet the moment required for this unit rotation be
4
B
EI
m
L
= −
anticlockwise
Dept. of CE, GCE Kannur Dr.RajeshKN
Bθ B Bm θ• Moment required to induce a rotation of is
0B B BM m θ+ = (Joint equilibrium equation)
2
4
0
wL EI
θ
3
B
B
wLM
θ∴ = − =
B B B (Joint equilibrium equation)
0
12
B
L
θ− = 48
B
B EIm
θ∴
m (Moment required for unit rotation) is the stiffness coefficient hereBm (Moment required for unit rotation) is the stiffness coefficient here.
Dept. of CE, GCE Kannur Dr.RajeshKN
66
Sign convention for momentsSign convention for moments
(for Slope Deflection and Moment Distribution methods)
• A support moment acting in the anticlockwise direction will
be taken as positive (reactive moment is clockwise)
• A support moment acting in the clockwise direction will be
taken as negative (reactive moment is anticlockwise)
+ve
A B
ve+ve−
A B
support moments
reactive
moment
reactive
moment
Dept. of CE, GCE Kannur Dr.RajeshKN
support moments
anticlockwise support
moment (reactive
moment is clockwise)
anticlockwise support
moment (reactive
moment is clockwise)moment is clockwise) moment is clockwise)
ve+ ve+
A B
Moment distribution
distribution/slope
deflection signdeflection sign
convention
veve+
A B
ve−ve+
Usual sign convention
for drawing BMD
A B
Dept. of CE, GCE Kannur Dr.RajeshKN
clockwise support
moment (reactive
moment is
anticlockwise support
moment (reactive
moment is clockwise)moment is
anticlockwise)
moment is clockwise)
ve+ve−
A B
Moment
distribution/slope
deflection signdeflection sign
convention
ve− ve−
A B
ve ve
Usual sign convention
for drawing BMD
A B
Dept. of CE, GCE Kannur Dr.RajeshKN
clockwise support
moment (reactive
moment is
clockwise support
moment (reactive
moment ismoment is
anticlockwise)
moment is
anticlockwise)
ve− ve−
A B
Moment distribution
distribution/slope
deflection signdeflection sign
convention
ve− ve+
A B
ve ve+
Usual sign convention
for drawing BMD
A B
Dept. of CE, GCE Kannur Dr.RajeshKN
Sign convention for slopes and deflections
A l k i t ti i t k iti d ti l k i
g p
(for Slope Deflection and Moment Distribution methods)
• A clockwise rotation is taken as positive and anticlockwise
rotation as negative
ve−
Aθ
ve+
Bθ
•If one end of a beam settles, the rotation at both ends are taken as
positive if the beam as a whole rotates clockwise, and negative if the
beam as a whole rotates anticlockwise
Bθ
beam as a whole rotates anticlockwise
Aθ
ve+
δ ve+
B
ve−δ ve−
Dept. of CE, GCE Kannur Dr.RajeshKN
Bθ
ve+ Aθ ve−
Sl d fl ti th dSlope deflection method
Dept. of CE, GCE Kannur Dr.RajeshKN
Introduction
• This method is based on the relationships of end moments with
slopes and deflections (called slope-deflection equations) for eachp ( p q )
member.
Approach to solve problems
• The slope-deflection equations are written for each member.
pp p
• Joint equilibrium conditions are written.
• Solving the joint equilibrium conditions, unknown displacements
are found out.
• Substituting these unknown displacements back in the slope-
deflection equations, we get the unknown end moments.
Dept. of CE, GCE Kannur Dr.RajeshKN
13
Derivation of fundamental equations
BAM
M
=BA
ABM
Aθ Bθ
AFEM( )1
+
ABFEM BAFEM( )1
( )2
ABM′
Aθ′ Bθ′
+
( )2
BAM′
A
M ′′ M ′′
+
( )3
Dept. of CE, GCE Kannur Dr.RajeshKN
ABM BAM
( ) Ends assumed as fixed (zero rotation) This requires restraining( )1 Ends assumed as fixed (zero rotation). This requires restraining
moments (fixed end moments) FEMAB and FEMBA. External
loads are acting.
( )2 Rotations are forced at ends. This requires moments M’AB and
M’BA
( )3 If there is a support settlement, moments M’’AB and M’’BA will
be induced.
Dept. of CE, GCE Kannur Dr.RajeshKN
( )2
M′ BAM′
Aθ′ Bθ′
ABM BA
=
BAM′2Bθ′2Aθ′
M′
1Aθ′ 1Bθ′
+
BA
ABM′
BAM′
+ABM′
+
BAM l
θ
′−
′
EI
+AB
EI
1
3
AB
A
M l
EI
θ
′
′ =
2
6
BA
A
EI
θ′ =
l′ M l′
Conjugate beams
Dept. of CE, GCE Kannur Dr.RajeshKN
1
6
AB
B
M l
EI
θ
′−
′ = 2
3
BA
B
M l
EI
θ′ =
AB BAM l M l
θ θ θ
′ ′
′ ′ ′ AB BAM l M l
θ θ θ
′ ′
′ ′ ′1 2
3 6
AB BA
A A A
EI EI
θ θ θ′ ′ ′= + = − 1 2
6 3
AB BA
B B B
EI EI
θ θ θ′ ′ ′= + = − +
( )3 Rotation at the end A due to
support settlement
δABM′′
BAM′′
support settlement
= Rotation at the end B due to
support settlement
BA
=
l
δl
Total rotations at the ends are:
3 6
AB BA
A A
M l M l
l EI EI l
δ δ
θ θ
′ ′
′= + = − +
3 6
BA AB
B B
M l M l
l EI EI l
δ δ
θ θ
′ ′
′= + = − +
Dept. of CE, GCE Kannur Dr.RajeshKN
17
3 6l EI EI l 3 6l EI EI l
2 3
2
EI
M
δ
θ θ
⎛ ⎞′ ⎜ ⎟
Solving the above two equations, we get:
2 3
2
EI
M
δ
θ θ
⎛ ⎞′ = +⎜ ⎟2AB A BM
l l
θ θ
⎛ ⎞′ = + −⎜ ⎟
⎝ ⎠
2BA B AM
l l
θ θ= + −⎜ ⎟
⎝ ⎠
Hence the final moments at the supports are:
2 3
2
EI
M FEM
δ
θ θ
⎛ ⎞
= + +⎜ ⎟
Hence the final moments at the supports are:
2AB A B ABM FEM
l l
θ θ= + − +⎜ ⎟
⎝ ⎠
2 3EI δ⎛ ⎞2 3
2BA B A BA
EI
M FEM
l l
δ
θ θ
⎛ ⎞
= + − +⎜ ⎟
⎝ ⎠
These are the slope deflection equations
Dept. of CE, GCE Kannur Dr.RajeshKN
18
Fixed end moments
8
PL−
8
PL
+
2L 2L2L 2L
Dept. of CE, GCE Kannur Dr.RajeshKN
19
Dept. of CE, GCE Kannur Dr.RajeshKN
Illustration of the method
B3
5kN 8kN
2 5
Example 1
A
B
C
3m 2.5m
5m 5m
Problem structure
A B CB
Problem structure
A B
2 4kN 3 6kN
C
5kNm 5kNm
B
2.4kNm 3.6kNm 5kNm 5kNm
Dept. of CE, GCE Kannur Dr.RajeshKN
Fixed end moments (reactive)
Fixed end moments
2 2
2 2
5 3 2
2.4
5
AB
Pab
FEM kNm
l
− − × ×
= = = −
2 2
2 2
5 3 2
3.6
5
BA
Pa b
FEM kNm
l
× ×
= = =
8 5
5
8 8
BC
Pl
FEM kNm
− − ×
= = = −
8 5
5
8 8
CB
Pl
FEM kNm
×
= = =
8 8
Known displacements
0A Cθ θ= = 0A B Cδ δ δ= = =
Dept. of CE, GCE Kannur Dr.RajeshKN
22
Slope deflection equations
2 3
2AB A B AB
EI
M FEM
l l
δ
θ θ
⎛ ⎞
= + − +⎜ ⎟
⎝ ⎠
( )
2
2.4
5
AB B
EI
M θ⇒ = −
2 3
2
EI
M FEM
δ
θ θ
⎛ ⎞
= + +⎜ ⎟ ( )
2
2 3 6
EI
M θ⇒ +2BA B A BAM FEM
l l
θ θ= + − +⎜ ⎟
⎝ ⎠
( )2 3.6
5
BA BM θ⇒ = +
( )
2
2 5
5
BC B
EI
M θ⇒ = −
2 3
2BC B C BC
EI
M FEM
l l
δ
θ θ
⎛ ⎞
= + − +⎜ ⎟
⎝ ⎠ 5l l⎝ ⎠
2 3
2CB C B CB
EI
M FEM
l l
δ
θ θ
⎛ ⎞
= + − +⎜ ⎟
⎝ ⎠
( )
2
5
5
CB B
EI
M θ⇒ = +
Dept. of CE, GCE Kannur Dr.RajeshKN
23
Joint equilibrium condition
0BA BCM M+ =
( ) ( )
2 2
2 3.6 2 5 0B B
EI EI
θ θ
⎛ ⎞ ⎛ ⎞
⇒ + + − =⎜ ⎟ ⎜ ⎟
⎝ ⎠ ⎝ ⎠
( ) ( )2 3.6 2 5 0
5 5
B Bθ θ⇒ + +⎜ ⎟ ⎜ ⎟
⎝ ⎠ ⎝ ⎠
1.6 1.4 0BEIθ − =
0.875
B
EI
θ⇒ =
( )
2 2 0.875
2.4 2.4 2.05
5 5
AB B
EI EI
M kNm
EI
θ
⎛ ⎞
= − = − = −⎜ ⎟
⎝ ⎠
( )
5 5
AB B
EI
⎜ ⎟
⎝ ⎠
Dept. of CE, GCE Kannur Dr.RajeshKN
24
⎛ ⎞2 0.875
2 3.6 4.3
5
BA
EI
M kNm
EI
⎛ ⎞
= × + =⎜ ⎟
⎝ ⎠
2 0.875
2 5 4.3BC
EI
M kNm
⎛ ⎞
= × − = −⎜ ⎟
⎝ ⎠
2 5 4.3
5
BCM kNm
EI
×⎜ ⎟
⎝ ⎠
2 0.875
5 5.35
5
CB
EI
M kNm
EI
⎛ ⎞
= + =⎜ ⎟
⎝ ⎠
A B C4.3kNm2.05kNm 4.3kNm 5.35kNm
Dept. of CE, GCE Kannur Dr.RajeshKN
25
A B C4 3kNm2 05kNm 4 3kNm 5.35kNm
A B C4.3kNm2.05kNm 4.3kNm
A
B
C
2 05
2.6 5.175
4.3
2.05
5.35
Dept. of CE, GCE Kannur Dr.RajeshKN
26
Procedure to solve problems
• The slope-deflection equations are written for each member.
l b d• Joint equilibrium conditions are written.
• Solving the joint equilibrium conditions, unknown displacementsg j
are found out.
• Substituting these unknown displacements back in the slope-g p p
deflection equations, we get the unknown end moments.
Dept. of CE, GCE Kannur Dr.RajeshKN
27
Example 2
40kN
80kN60kN
20kN m
A B C
D
3m 3m 3m 3m 3m 3m
Dept. of CE, GCE Kannur Dr.RajeshKN
Fixed end moments
2 2
20 6 40 6
90
12 8 12 8
AB BA
wl Pl
FEM FEM kNm
× ×
− = = + = + =
2
20 6 60 6
105
12 8
BC CBFEM FEM kNm
× ×
− = = + =
12 8
80 6
60FEM FEM kNm
×
= = =
K di l t
60
8
CD DCFEM FEM kNm− = = =
Known displacements
0A B C Dδ δ δ δ= = = =A B C D
Dept. of CE, GCE Kannur Dr.RajeshKN
Slope deflection equations
2 3
2AB A B AB
EI
M FEM
l l
δ
θ θ
⎛ ⎞
= + − +⎜ ⎟
⎝ ⎠
( )
2
2 90
6
AB A B
EI
M θ θ⇒ = + −
2 3
2BA B A BA
EI
M FEM
l l
δ
θ θ
⎛ ⎞
= + − +⎜ ⎟
⎝ ⎠
( )
2
2 90
6
BA B A
EI
M θ θ⇒ = + +
( )
2
2 105
6
BC B C
EI
M θ θ⇒ = + −
2 3
2BC B C BC
EI
M FEM
l l
δ
θ θ
⎛ ⎞
= + − +⎜ ⎟
⎝ ⎠
( )
6
2 3
2
EI
M FEM
δ
θ θ
⎛ ⎞
⎜ ⎟
BC B C BC
l l
⎜ ⎟
⎝ ⎠
( )
2
2 105
EI
M θ θ
3
2CB C B CBM FEM
l l
δ
θ θ
⎛ ⎞
= + − +⎜ ⎟
⎝ ⎠
( )2 105
6
CB C BM θ θ⇒ = + +
2EI2 3EI δ⎛ ⎞
( )
2
2 60
6
CD C D
EI
M θ θ⇒ = + −
2 3EI δ⎛ ⎞
2 3
2CD C D CD
EI
M FEM
l l
δ
θ θ
⎛ ⎞
= + − +⎜ ⎟
⎝ ⎠
2EI
Dept. of CE, GCE Kannur Dr.RajeshKN
30
2 3
2DC D C DC
EI
M FEM
l l
δ
θ θ
⎛ ⎞
= + − +⎜ ⎟
⎝ ⎠
( )
2
2 60
6
DC D C
EI
M θ θ⇒ = + +
Joint equilibrium conditions
0ABM = ( )
2
2 90 0
6
A B
EI
θ θ⇒ + − =
6
0.667 0.333 90A BEI EIθ θ+ =
( )1
90 0.333
135 0.5
0.667
B
A B
EI
EI EI
θ
θ θ
−
= = −
( )
2
2 60 0
EI
θ θ0DCM = ( )2 60 0
6
D Cθ θ⇒ + + =
0 667 0 333 60EI EIθ θ
( )2
0.667 0.333 60D CEI EIθ θ+ = −
60 0.333
90 0 5CEI
EI EI
θ
θ θ
− −
= =
Dept. of CE, GCE Kannur Dr.RajeshKN
31
( )290 0.5
0.667
D CEI EIθ θ= = − −
0BA BCM M+ = 0BA BCM M+
( ) ( )
22
2 105 02 90
EIEI
θ θθ θ
⎛ ⎞⎛ ⎞⇒ + + =+ +⎜ ⎟ ⎜ ⎟( ) ( )2 105 02 90
66
B CB A
θ θθ θ⇒ + + − =+ +⎜ ⎟ ⎜ ⎟
⎝ ⎠ ⎝ ⎠
0 333 1 333 0 333 15EI EI EIθ θ θ+ +0.333 1.333 0.333 15A B CEI EI EIθ θ θ+ + =
( )0 333 1 333 0 333 15135 0 5 EI EIEI θ θθ + + =( )1
( )
( )0.333 1.333 0.333 15135 0.5 B CB EI EIEI θ θθ + + =−( )1
( )31.166 0.333 30B CEI EIθ θ+ = −
Dept. of CE, GCE Kannur Dr.RajeshKN
32
0CB CDM M+ = 0CB CDM M+
( ) ( )
22
2 60 02 105
EIEI
θ θθ θ
⎛ ⎞⎛ ⎞
⎜ ⎟ ⎜ ⎟( ) ( )2 60 02 105
66
C DC B
θ θθ θ
⎛ ⎞⎛ ⎞⇒ + + − =+ +⎜ ⎟ ⎜ ⎟
⎝ ⎠ ⎝ ⎠
0.333 1.333 0.333 45B C DEI EI EIθ θ θ+ + = −
( )0 333 1 333 0 333 90 0 5 45EI EI EIθ θ θ+ + − − = −( )2
( )40.333 1.167 15B CEI EIθ θ+ = −
( )0.333 1.333 0.333 90 0.5 45B C CEI EI EIθ θ θ+ + − − = −( )2
( )4B C
( ) 0 333 0 388 0 111 103 EI EIθ θ ( )5( ) 0.333 0.388 0.111 103 B CEI EIθ θ× ⇒ + = − ( )5
( ) 1.167 0.388 1.362 17.54 B CEI EIθ θ× ⇒ + = − ( )6
Dept. of CE, GCE Kannur Dr.RajeshKN
C
7 5
( ) ( ) 1.251 7.56 5 CEIθ− ⇒ = −
7.5
6.0
1.251
CEIθ
−
⇒ = = −
0.333 1.167 6.0 15 24B BEI EIθ θ+ ×− = − ⇒ = −( )4
( )135 0.5 14724AEIθ = − =−
90 0.5 6.0 87DEIθ = − − ×− = −D
4 2
90EI EIθ θ
⎛ ⎞
⎜ ⎟( )
2
2 90
EI
M θ θ 90
6 6
B AEI EIθ θ
⎛ ⎞
= + +⎜ ⎟
⎝ ⎠
( )2 90
6
BA B AM θ θ⇒ = + +
⎛ ⎞4 2
24 147 90
6 6
⎛ ⎞
= ×− + × +⎜ ⎟
⎝ ⎠
Dept. of CE, GCE Kannur Dr.RajeshKN
123=
( )
2EI 4 2⎛ ⎞
( )
2
2 105
6
BC B C
EI
M θ θ⇒ = + −
4 2
105 123
6 6
B CEI EIθ θ
⎛ ⎞
= + − = −⎜ ⎟
⎝ ⎠
( )
2
2 105
6
CB C B
EI
M θ θ⇒ = + +
4 2
105 93
6 6
C BEI EIθ θ
⎛ ⎞
= + + =⎜ ⎟
⎝ ⎠
( )
2
2 60
6
CD C D
EI
M θ θ⇒ = + −
4 2
60 93
6 6
C DEI EIθ θ
⎛ ⎞
= + − = −⎜ ⎟
⎝ ⎠
Dept. of CE, GCE Kannur Dr.RajeshKN
Example 3
Dept. of CE, GCE Kannur Dr.RajeshKN
Fixed end moments
10 8
10
8 8
AB BA
Pl
FEM FEM kNm
×
− = = = =
2 2
5 8
26.667
12 12
BC CB CD DC
wl
FEM FEM FEM FEM kNm
×
− = = − = = = =
12 12
Known displacements
0A B C Dδ δ δ δ= = = =
Dept. of CE, GCE Kannur Dr.RajeshKN
37
Slope deflection equations
2 3
2AB A B AB
EI
M FEM
l l
δ
θ θ
⎛ ⎞
= + − +⎜ ⎟
⎝ ⎠
( )
4
2 10
8
AB A B
EI
M θ θ⇒ = + −
2 3
2BA B A BA
EI
M FEM
l l
δ
θ θ
⎛ ⎞
= + − +⎜ ⎟
⎝ ⎠
( )
4
2 10
8
BA B A
EI
M θ θ⇒ = + +
( )
6
2 26 667
EI
M θ θ⇒ = + −
2 3
2BC B C BC
EI
M FEM
δ
θ θ
⎛ ⎞
= + − +⎜ ⎟ ( )2 26.667
8
BC B CM θ θ⇒ = + −
2 3
2
EI
M FEM
δ
θ θ
⎛ ⎞
= + +⎜ ⎟
2BC B C BCM FEM
l l
θ θ+ +⎜ ⎟
⎝ ⎠
( )
6
2 26 667
EI
M θ θ2CB C B CBM FEM
l l
θ θ= + − +⎜ ⎟
⎝ ⎠
( )2 26.667
8
CB C BM θ θ⇒ = + +
6EI2 3EI δ⎛ ⎞
( )
6
2 26.667
8
CD C D
EI
M θ θ⇒ = + −
2 3EI δ⎛ ⎞
2 3
2CD C D CD
EI
M FEM
l l
δ
θ θ
⎛ ⎞
= + − +⎜ ⎟
⎝ ⎠
Dept. of CE, GCE Kannur Dr.RajeshKN
38
2 3
2DC D C DC
EI
M FEM
l l
δ
θ θ
⎛ ⎞
= + − +⎜ ⎟
⎝ ⎠
( )
6
2 26.667
8
DC D C
EI
M θ θ⇒ = + +
Joint equilibrium conditions
0ABM = ( )
4
2 10 0
8
A B
EI
θ θ⇒ + − = 10 0.5A BEI EIθ θ⇒ = −
0DCM = 17.778 0.5D CEI EIθ θ⇒ = − −( )
6
2 26.667 0
8
D C
EI
θ θ⇒ + + =
50 0M M+ − = ( ) ( )
4 6
2 10 2 26.667 50B A B C
EI EI
θ θ θ θ
⎛ ⎞ ⎛ ⎞
⇒ + + + + − =⎜ ⎟ ⎜ ⎟50 0BA BCM M+ = ( ) ( )2 10 2 26.667 50
8 8
B A B Cθ θ θ θ⇒ + + + +⎜ ⎟ ⎜ ⎟
⎝ ⎠ ⎝ ⎠
2 5 0 5 0 75 66 667EI EI EIθ θ θ⇒ + +2.5 0.5 0.75 66.667B A CEI EI EIθ θ θ⇒ + + =
( )2.5 0.5 0.75 66.66710 0.5B CBEI EIEIθ θθ⇒ + + =−
( )1
( )2.5 0.5 0.75 66.66710 0.5B CBEI EIEIθ θθ⇒ + +
2.25 0.75 61.667B CEI EIθ θ⇒ + =
Dept. of CE, GCE Kannur Dr.RajeshKN
2.25 0.75 61.667B CEI EIθ θ⇒ +
0CB CDM M+ = ( ) ( )
6 6
2 26 667 2 26 667 0
EI EI
θ θ θ θ⎛ ⎞ ⎛ ⎞
⇒ + + + + − =⎜ ⎟ ⎜ ⎟0CB CDM M+ ( ) ( )2 26.667 2 26.667 0
8 8
C B C Dθ θ θ θ⇒ + + + + − =⎜ ⎟ ⎜ ⎟
⎝ ⎠ ⎝ ⎠
3 0 75 0 75 0EI EI EIθ θ θ⇒ + + =3 0.75 0.75 0C B DEI EI EIθ θ θ⇒ + + =
( )3 0.75 0.75 17.778 0.5 0C B CEI EIθ θ θ⇒ + + − − =
2.625 0.75 13.333C BEIθ θ⇒ + = ( )2
( )12.25 0.75 61.667B CEI EIθ θ⇒ + =
28.421BEIθ =
3 041EIθ = −
( )10 0.5 10 0.5 28.421A BEI EIθ θ= − = −
3.041CEIθ = −
4.211AEIθ⇒ = −
17.778 0.5 17.778 0.5 3.041D CEI EIθ θ= − − = − − ×−
Dept. of CE, GCE Kannur Dr.RajeshKN
C
16.258DEIθ⇒ = −
( )
4
2 10 0 5 10
EI
M EI EIθ θ θ θ+ + + +( )2 10 0.5 10
8
BA B A B AM EI EIθ θ θ θ= + + = + +
28.421 0.5 4.211 10 36.32kNm= + ×− + =
( )
6
2 26.667 1.5 0.75 26.667
8
BC B C B C
EI
M EI EIθ θ θ θ= + − = + −
8
1.5 28.421 0.75 3.041 26.667 13.68kNm= × + ×− − =
( )
6
2 26.667 1.5 0.75 26.667
8
CB C B C B
EI
M EI EIθ θ θ θ= + + = + +
( )
6
2 26 667 1 5 0 75 26 667
EI
M EI EIθ θ θ θ
1.5 3.041 0.75 28.421 26.667 43.42kNm= ×− + × + =
( )2 26.667 1.5 0.75 26.667
8
CD C D C DM EI EIθ θ θ θ= + − = + −
1.5 3.041 0.75 16.258 26.667 43.42kNm= ×− + ×− − = −
Dept. of CE, GCE Kannur Dr.RajeshKN
41
Dept. of CE, GCE Kannur Dr.RajeshKN
Example 4
90kN
20kN30kN m
90kN
A B C D
2.5m 2.5m
E2I I 2.4I
7.5m 5m 5m 3m
20 3 60DEM kNm= − × = −
Dept. of CE, GCE Kannur Dr.RajeshKN
Slope deflection equations
2 3
2AB A B AB
EI
M FEM
l l
δ
θ θ
⎛ ⎞
= + − +⎜ ⎟
⎝ ⎠
( )
4
150
7.5
AB B
EI
M θ⇒ = −
2 3
2BA B A BA
EI
M FEM
l l
δ
θ θ
⎛ ⎞
= + − +⎜ ⎟
⎝ ⎠
( )
4
2 150
7 5
BA B
EI
M θ⇒ = +
l l⎝ ⎠ 7.5
( )
2
2 62.5BC B C
EI
M θ θ⇒ = + −
2 3
2BC B C BC
EI
M FEM
δ
θ θ
⎛ ⎞
= + − +⎜ ⎟ ( )
5
BC B C
2 3
2
EI
M FEM
δ
θ θ
⎛ ⎞
⎜ ⎟
2BC B C BCM FEM
l l
θ θ+ +⎜ ⎟
⎝ ⎠
( )
2
2 62 5
EI
M θ θ
3
2CB C B CBM FEM
l l
δ
θ θ
⎛ ⎞
= + − +⎜ ⎟
⎝ ⎠
( )2 62.5
5
CB B CM θ θ⇒ = + +
( )
4.8
2
EI
M θ θ
2 3
2
EI
M FEM
δ
θ θ
⎛ ⎞
⎜ ⎟
2 3EI δ
θ θ⎛ ⎞
( )
4.8
2
EI
M θ θ
( )2
5
CD C DM θ θ⇒ = +
2 3
2CD C D CD
EI
M FEM
l l
δ
θ θ
⎛ ⎞
= + − +⎜ ⎟
⎝ ⎠
Dept. of CE, GCE Kannur Dr.RajeshKN
44
2 3
2DC D C DC
EI
M FEM
l l
δ
θ θ⎛ ⎞
= + − +⎜ ⎟
⎝ ⎠
( )2
5
DC D CM θ θ⇒ = +
Fixed end moments
2 2 2 2
2 2 2 2
90 2.5 5 90 2.5 5
150
7.5 7.5
AB BA
Pab Pa b
FEM FEM kNm
l l
× × × ×
− = = + = + =
2 2
30 5
62.5BC CB
wl
FEM FEM kNm
×
− = = = =
12 12
BC CB
0FEM FEM= =
Known displacements
0CD DCFEM FEM= =
0A B C Dδ δ δ δ= = = =
Known displacements
0Aθ =
Dept. of CE, GCE Kannur Dr.RajeshKN
45
Joint equilibrium conditions
0BA BCM M+ =
( ) ( )
4 2
2 150 2 62.5 0
7.5 5
B B C
EI EI
θ θ θ
⎛ ⎞ ⎛ ⎞
⇒ + + + − =⎜ ⎟ ⎜ ⎟
⎝ ⎠ ⎝ ⎠
1.867 0.4 87.5B CEI EIθ θ⇒ + = − ( )1
0CB CDM M+ =
2 4 8EI EI⎛ ⎞ ⎛ ⎞
( ) ( )
2 4.8
2 62.5 2 0
5 5
B C C D
EI EI
θ θ θ θ
⎛ ⎞ ⎛ ⎞
⇒ + + + + =⎜ ⎟ ⎜ ⎟
⎝ ⎠ ⎝ ⎠
0.4 2.72 0.96 62.5B C DEI EI EIθ θ θ⇒ + + = − ( )2
Dept. of CE, GCE Kannur Dr.RajeshKN
( )
4.8
2 60 0
EI
θ θ⎛ ⎞
⇒ + − =⎜ ⎟0M M+ = ( )2 60 0
5
D Cθ θ⇒ + − =⎜ ⎟
⎝ ⎠
0DC DEM M+ =
1 92 0 96 60EI EIθ θ⇒ + =1.92 0.96 60D CEI EIθ θ⇒ + =
31.25 0.5D CEI EIθ θ⇒ = −
( ) ( )0.4 2.72 0.96 31.25 0.5 62.52 B C CEI EI EIθ θ θ⇒ + + − = −
( )30.4 2.24 92.5B CEI EIθ θ⇒ + = −
39.532BEIθ = − 34.235CEIθ = −
( )31.25 0.5 31.25 0.5 48.36834.235D CEI EIθ θ= − = − =−
Dept. of CE, GCE Kannur Dr.RajeshKN
4 4EI
( ) ( )
4 4
150 39.532 150 171.084
7.5 7.5
AB B
EI
M kNmθ∴ = − = − − = −
( ) ( )
4 4
2 150 2 39.532 150 107.833
7.5 7.5
BA B
EI
M kNmθ= + = ×− + =
( ) ( )
2 2
2 62.5 2 39.532 34.235 62.5 107.82
5 5
BC B C
EI
M kNmθ θ= + − = ×− − − =
5 5
( ) ( )
2 2
2 62 5 39 532 2 34 235 62 5 19 3
EI
M kNmθ θ= + + = − + ×− + =( ) ( )2 62.5 39.532 2 34.235 62.5 19.3
5 5
CB B CM kNmθ θ= + + = − + ×− + =
( ) ( )
4.8 4.8
2 2 34 235 48 368 19 3
EI
M kNθ θ
4 8 4 8EI
( ) ( )2 2 34.235 48.368 19.3
5 5
CD C DM kNmθ θ= + = ×− + = −
Dept. of CE, GCE Kannur Dr.RajeshKN
( ) ( )
4.8 4.8
2 2 48.368 34.235 60
5 5
DC D C
EI
M kNmθ θ= + = × − =
Example 5
Support B settles by 10 mm.
6 4
200 , 50 10E GPa I mm= = ×
kN6 6 4 4 2
2
200 10 50 10 10
kN
EI m kNm
m
−
= × × × =
Dept. of CE, GCE Kannur Dr.RajeshKN
Fixed end moments
20
8
AB BA
Pl
FEM FEM kNm− = = =
2
16
12
BC CB
wl
FEM FEM kNm− = = =
12
C C
K di l t
0A Cδ δ= =
Known displacements
10B mmδ =
0Cθ =
Dept. of CE, GCE Kannur Dr.RajeshKN
Slope deflection equations
2 3
2AB A B AB
EI
M FEM
l l
δ
θ θ
⎛ ⎞
= + − +⎜ ⎟
⎝ ⎠
2
4 3 10
2 20
8 8
AB A B
EI
M θ θ
−
⎛ ⎞×
⇒ = + − −⎜ ⎟
⎝ ⎠
2 3
2BA B A BA
EI
M FEM
l l
δ
θ θ
⎛ ⎞
= + − +⎜ ⎟
⎝ ⎠
2
4 3 10
2 20
8 8
BA B A
EI
M θ θ
−
⎛ ⎞×
⇒ = + − +⎜ ⎟
⎝ ⎠l l⎝ ⎠ 8 8⎝ ⎠
2
6 3 10
2 16
EI
M θ
−
⎛ ⎞×
⇒ = + −⎜ ⎟
2 3
2BC B C BC
EI
M FEM
δ
θ θ
⎛ ⎞
= + − +⎜ ⎟ 2 16
8 8
BC BM θ⇒ = +⎜ ⎟
⎝ ⎠
2 3EI δ⎛ ⎞
2BC B C BCM FEM
l l
θ θ+ +⎜ ⎟
⎝ ⎠
2
6 3 10EI −
⎛ ⎞×2 3
2CB C B CB
EI
M FEM
l l
δ
θ θ
⎛ ⎞
= + − +⎜ ⎟
⎝ ⎠
6 3 10
16
8 8
CB B
EI
M θ
⎛ ⎞×
⇒ = + +⎜ ⎟
⎝ ⎠
Dept. of CE, GCE Kannur Dr.RajeshKN
51
Joint equilibrium conditions
0ABM =
2
4 3 10
2 20 0
8 8
A B
EI
θ θ
−
⎛ ⎞×
⇒ + − − =⎜ ⎟
⎝ ⎠⎝ ⎠
2
6 10
0.5 20 0
32
A B
EI
EI EIθ θ
−
×
⇒ + − − =
32
2
3
4
20 6 10
0.5 3.875 10
10 32
A Bθ θ
−
−×
⇒ + = + = × ( )1
0BA BCM M+ =
2 2
4 3 10 6 3 10
2 20 2 16 0
8 8 8 8
B A B
EI EI
θ θ θ
− −
⎛ ⎞ ⎛ ⎞⎛ ⎞ ⎛ ⎞× ×
⇒ + − + + + − =⎜ ⎟ ⎜ ⎟⎜ ⎟ ⎜ ⎟
⎝ ⎠ ⎝ ⎠⎝ ⎠ ⎝ ⎠
420 16
9.375 100.5 1.5B A B
EI EI
θ θ θ −⎛ ⎞ ⎛ ⎞⇒ + = − ×+ + −⎜ ⎟ ⎜ ⎟
⎝ ⎠ ⎝ ⎠
Dept. of CE, GCE Kannur Dr.RajeshKN
B A B
EI EI
⎜ ⎟ ⎜ ⎟
⎝ ⎠ ⎝ ⎠
20 16 4
4 4
20 16
2.5 0.5 9.375 10
10 10
B Aθ θ −
⇒ + + − = − ×
4 44 4
2.5 0.5 9.375 10 4 10B Aθ θ − −
⇒ + = − × − ×
( )24
2.5 0.5 13.375 10B Aθ θ −
+ = − ×
3
0.5 3.875 10A Bθ θ −
+ = × ( )1
3
1.456 10Bθ −
= − ×3
4.603 10Aθ −
= ×
Dept. of CE, GCE Kannur Dr.RajeshKN
2
4 3 10EI −
⎛ ⎞×4 3 10
2 20
8 8
BA B A
EI
M θ θ
⎛ ⎞×
= + − +⎜ ⎟
⎝ ⎠
4 2
4 10 3 10⎛ ⎞
( )
4 2
3 34 10 3 10
2 1.456 10 4.603 10 20
8 8
−
− −⎛ ⎞× ×
= − × + × − +⎜ ⎟
⎝ ⎠
9.705 kNm=
2
6 3 10
2 16
8 8
BC B
EI
M θ
−
⎛ ⎞×−
= − −⎜ ⎟
⎝ ⎠
4 2
36 10 3 10
2 1.456 10 16
8 8
−
−⎛ ⎞× ×−
= ×− × − −⎜ ⎟
⎝ ⎠
9.705 kNm= −
2
6 3 10
16
8 8
CB B
EI
M θ
−
⎛ ⎞×−
= − +⎜ ⎟
⎝ ⎠
⎝ ⎠
8 8
⎜ ⎟
⎝ ⎠
4 2
36 10 3 10
1 456 10 16
−
−⎛ ⎞× ×−
= − × − +⎜ ⎟ 33 21 kNm=
Dept. of CE, GCE Kannur Dr.RajeshKN
54
1.456 10 16
8 8
= − × − +⎜ ⎟
⎝ ⎠
33.21 kNm=
Slope Deflection for frames:
No sideswayy
Dept. of CE, GCE Kannur Dr.RajeshKN
Example 6Example 6
B
10kN 2kN m
A
B C
2
2I I
332m
3m I
3m3m
D
I
D
Dept. of CE, GCE Kannur Dr.RajeshKN
Fixed end moments
2 2
2 2
10 2 3
7.2
5
AB
Pab
FEM kNm
l
− − × ×
= = = −
2 2
2 2
10 2 3
4.8
5
BA
Pa b
FEM kNm
l
× ×
= = =
2 2
2 3
1 5
wl
FEM FEM kN
×
2 2
5l
3
1.5
12 12
BC CB
wl
FEM FEM kNm− = = = = 0BD DBFEM FEM= =
Known displacements
0A B C Dδ δ δ δ= = = =
0A Dθ θ= =
Dept. of CE, GCE Kannur Dr.RajeshKN
Slope deflection equations
2 3
2AB A B AB
EI
M FEM
l l
δ
θ θ
⎛ ⎞
= + − +⎜ ⎟
⎝ ⎠
( )
4
7.2
5
AB B
EI
M θ⇒ = −
2 3
2BA B A BA
EI
M FEM
l l
δ
θ θ
⎛ ⎞
= + − +⎜ ⎟
⎝ ⎠
( )
4
2 4.8
5
BA B
EI
M θ⇒ = +
l l⎝ ⎠ 5
( )
2
2 1 5
EI
M θ θ⇒ = + −
2 3
2BC B C BC
EI
M FEM
δ
θ θ
⎛ ⎞
= + − +⎜ ⎟ ( )2 1.5
3
BC B CM θ θ⇒ = + −
2 3EI δ⎛ ⎞
2BC B C BCM FEM
l l
θ θ+ +⎜ ⎟
⎝ ⎠
2EI2 3
2CB C B CB
EI
M FEM
l l
δ
θ θ
⎛ ⎞
= + − +⎜ ⎟
⎝ ⎠
( )
2
2 1.5
3
CB C B
EI
M θ θ⇒ = + +
⎛ ⎞2 3
2BD B D BD
EI
M FEM
l l
δ
θ θ
⎛ ⎞
= + − +⎜ ⎟
⎝ ⎠
( )
2
2
3
BD B
EI
M θ⇒ =
Dept. of CE, GCE Kannur Dr.RajeshKN
58
2 3
2DB D B DB
EI
M FEM
l l
δ
θ θ
⎛ ⎞
= + − +⎜ ⎟
⎝ ⎠
( )
2
3
DB B
EI
M θ⇒ =
Joint equilibrium conditions
0CBM = ( )
2
2 1.5 0
3
C B
EI
θ θ⇒ + + =
1.333 0.667 1.5C BEI EIθ θ⇒ + = − ( )1
0BA BC BDM M M+ + =
( ) ( ) ( )
4 2 2
02 4.8 2 1.5 2
5 3 3
B B C B
EI EI EI
θ θ θ θ⎛ ⎞ ⎛ ⎞ ⎛ ⎞⇒ + + =+ + −⎜ ⎟ ⎜ ⎟ ⎜ ⎟
⎝ ⎠ ⎝ ⎠ ⎝ ⎠5 3 3⎝ ⎠ ⎝ ⎠ ⎝ ⎠
4.267 0.667 3.3B CEI EIθ θ⇒ + = − ( )2
0.6481BEIθ = − 0.801CEIθ = −
Dept. of CE, GCE Kannur Dr.RajeshKN
( )
4EI
( )
4
( )
4
7.2
5
AB B
EI
M θ= − ( )
4
0.6481 7.2 7.718
5
kNm= − − = −
( )
4
2 4.8
5
BA B
EI
M θ= + ( )
4
2 0.6481 4.8 3.763
5
kNm= ×− + =
( )
2
2 1.5
3
BC B C
EI
M θ θ= + − ( )
2
2 0.6481 0.801 1.5 2.898
3
kNm= ×− − − = −
( )
2
2
3
BD B
EI
M θ= ( )
2
2 0.6481 0.864
3
kNm= ×− = −( )
3
BD B
2EI
( )
3
2
Dept. of CE, GCE Kannur Dr.RajeshKN
60
( )
2
3
DB B
EI
M θ= ( )
2
0.6481 0.432
3
kNm= − = −
Slope Deflection for frames:
S dSidesway
Dept. of CE, GCE Kannur Dr.RajeshKN
P BAM CDMP
B
C
BA CD
2l
DH D1l
DCM
AH
A
ABMAB
AB BA
A
M M
H
+
= CD DCM M
H
+
= 0H H P
Dept. of CE, GCE Kannur Dr.RajeshKN
1
AH
l
2
DH
l
= 0A DH H P+ + =
M CDM
B
CBAM CDM
a
P
l
2l
DH D
1l
DCM
AH
A
ABMAB
CD DCM M
H
+
= 0H H P
AB BA
A
M M Pa
H
+ −
=
Dept. of CE, GCE Kannur Dr.RajeshKN
63
2
DH
l
= 0A DH H P+ + =
1
AH
l
CCDM
B
C
BAM
CDM
l
2l
w
DH
D
1l
D
DCM
AH
A
ABM
2
2 2CD DC
D
M M wl
H
+ +
= 2 0A DH H wl+ − =AB BA
A
M M
H
l
+
=
ABM
Dept. of CE, GCE Kannur Dr.RajeshKN
64
2
D
l1
A
l
Example 7
Dept. of CE, GCE Kannur Dr.RajeshKN
Fixed end moments
2 2
16 1 4
10.24BC
Pab
FEM kNm
− − × ×
= = = −
Fixed end moments
2 2
10.24
5
BCFEM kNm
l
2 2
16 1 4
2 56
Pa b
FEM kN
× ×
2 2
16 1 4
2.56
5
CB
Pa b
FEM kNm
l
= = =
Known displacements
0A Dθ θ= =
δ=Let horizontal movement (sidesway)
Dept. of CE, GCE Kannur Dr.RajeshKN
66
Slope deflection equations
2 3
2AB A B AB
EI
M FEM
l l
δ
θ θ
⎛ ⎞
= + − +⎜ ⎟
⎝ ⎠
2 3
5 5
B
EI δ
θ
⎛ ⎞
= −⎜ ⎟
⎝ ⎠
2 3
2BA B A BA
EI
M FEM
l l
δ
θ θ
⎛ ⎞
= + − +⎜ ⎟
⎝ ⎠
2 3
2
5 5
B
EI δ
θ
⎛ ⎞
= −⎜ ⎟
⎝ ⎠
2 3
2BC B C BC
EI
M FEM
l l
δ
θ θ
⎛ ⎞
= + − +⎜ ⎟
⎝ ⎠
( )
2
2 10.24B C
EI
θ θ= + −
2 3
2
EI
M FEM
δ
θ θ
⎛ ⎞
⎜ ⎟
BC B C BC
l l
⎜ ⎟
⎝ ⎠
( )
2EI
( )
5
B C
3
2CB C B CBM FEM
l l
δ
θ θ
⎛ ⎞
= + − +⎜ ⎟
⎝ ⎠
2 3EI δ⎛ ⎞
( )
2
2 2.56
5
C B
EI
θ θ= + +
2 3EI δ⎛ ⎞
2 3EI δ⎛ ⎞
2 3
2CD C D CD
EI
M FEM
l l
δ
θ θ
⎛ ⎞
= + − +⎜ ⎟
⎝ ⎠
2 3EI δ⎛ ⎞
2 3
2
5 5
C
EI δ
θ
⎛ ⎞
= −⎜ ⎟
⎝ ⎠
Dept. of CE, GCE Kannur Dr.RajeshKN
67
2 3
2DC D C DC
EI
M FEM
l l
δ
θ θ
⎛ ⎞
= + − +⎜ ⎟
⎝ ⎠
2 3
5 5
C
EI δ
θ
⎛ ⎞
= −⎜ ⎟
⎝ ⎠
Joint equilibrium conditions
0BA BCM M+ = ( )
2 3 2
2 02 10.24B B C
EI EIδ
θ θ θ
⎡ ⎤⎛ ⎞ ⎡ ⎤⇒ − + =+ −⎜ ⎟⎢ ⎥ ⎢ ⎥⎣ ⎦⎝ ⎠⎣ ⎦
BA BC ( )5 5 5
B B C⎜ ⎟⎢ ⎥ ⎢ ⎥⎣ ⎦⎝ ⎠⎣ ⎦
( )1( )1.6 0.4 0.24 10.24B CEI θ θ δ+ − = ( )
0M M+ ( )
2 32
2 02 2 56
EIEI δ
θθ θ
⎡ ⎤⎛ ⎞⎡ ⎤⇒ ++ + ⎜ ⎟⎢ ⎥⎢ ⎥
( )1.6 0.4 0.24 10.24B CEI θ θ δ+
0CB CDM M+ = ( ) 2 02 2.56
5 55
CC B
θθ θ
⎡ ⎤⇒ + − =+ + ⎜ ⎟⎢ ⎥⎢ ⎥⎣ ⎦ ⎝ ⎠⎣ ⎦
( )2( )1.6 0.4 0.24 2.56C BEI θ θ δ+ − = −
Dept. of CE, GCE Kannur Dr.RajeshKN
0H H+ = 0AB BA CD DCM M M M+ +
⇒ + 5l l0A DH H+ =
1 2
0AB BA CD DC
l l
⇒ + = 1 2 5l l= =
2 3 2 3 2 3 2 3
2 2 0
5 5 5 5 5 5 5 5
B B C C
EI EI EI EIδ δ δ δ
θ θ θ θ⎛ ⎞ ⎛ ⎞ ⎛ ⎞ ⎛ ⎞
⇒ − + − + − + − =⎜ ⎟ ⎜ ⎟ ⎜ ⎟ ⎜ ⎟
⎝ ⎠ ⎝ ⎠ ⎝ ⎠ ⎝ ⎠
3 3 3 3
2 2 0
5 5 5 5
B B C C
δ δ δ δ
θ θ θ θ⎛ ⎞ ⎛ ⎞ ⎛ ⎞ ⎛ ⎞
⇒ − + − + − + − =⎜ ⎟ ⎜ ⎟ ⎜ ⎟ ⎜ ⎟
⎝ ⎠ ⎝ ⎠ ⎝ ⎠ ⎝ ⎠
0.8 0B Cθ θ δ⇒ + − = ( )3
845
BEIθ =
272
CEIθ
−
=
48
7
EIδ =
105
BEIθ
105
CEIθ 7
Dept. of CE, GCE Kannur Dr.RajeshKN
69
2 3EI
M
δ
θ
⎛ ⎞
= ⎜ ⎟
2 845 3 48
1 5733 kNm
⎛ ⎞
= − =⎜ ⎟
5 5
AB BM θ= −⎜ ⎟
⎝ ⎠
2 3EI δ⎛ ⎞
1.5733
5 105 5 7
kNm= − =⎜ ⎟
⎝ ⎠
2 845 3 48⎛ ⎞2 3
2
5 5
BA B
EI
M
δ
θ
⎛ ⎞
= −⎜ ⎟
⎝ ⎠
2 845 3 48
2 4.838
5 105 5 7
kNm
⎛ ⎞
= × − =⎜ ⎟
⎝ ⎠
( )
2
2 10.24
5
BC B C
EI
M θ θ= + −
2 845 272
2 10.24 4.838
5 105 105
kNm
⎛ ⎞
= × − − = −⎜ ⎟
⎝ ⎠
( )
2
2 2.56
5
CB C B
EI
M θ θ= + +
2 272 845
2 2.56 3.707
5 105 105
kNm
−⎛ ⎞
= × + + =⎜ ⎟
⎝ ⎠
( )
5
2 3
2
5 5
CD C
EI
M
δ
θ
⎛ ⎞
= −⎜ ⎟
⎝ ⎠
5 105 105⎝ ⎠
2 272 3 48
2 3.707
5 105 5 7
kNm
−⎛ ⎞
= × − × = −⎜ ⎟
⎝ ⎠
2 3EI
M
δ
θ
⎛ ⎞
= −⎜ ⎟
5 5
CD C⎜ ⎟
⎝ ⎠ 5 105 5 7
⎜ ⎟
⎝ ⎠
2 272 3 48
2.682 kNm
−⎛ ⎞
= − × = −⎜ ⎟
Dept. of CE, GCE Kannur Dr.RajeshKN
5 5
DC CM θ= ⎜ ⎟
⎝ ⎠
2.682
5 105 5 7
kNm×⎜ ⎟
⎝ ⎠
Example 8
10 kN B C
p
4m
4m
4m
EI
A D
4m 4m
EI EI
• No fixed end moments
• Known displacements: 0θ =• Known displacements: 0Aθ =
δ=• Let horizontal movement (sidesway)
Dept. of CE, GCE Kannur Dr.RajeshKN
0DCM =
Slope deflection equations
2 3
2AB A B AB
EI
M FEM
l l
δ
θ θ
⎛ ⎞
= + − +⎜ ⎟
⎝ ⎠
2 3
4 4
AB B
EI
M
δ
θ
⎛ ⎞
⇒ = −⎜ ⎟
⎝ ⎠
2 3
2BA B A BA
EI
M FEM
l l
δ
θ θ
⎛ ⎞
= + − +⎜ ⎟
⎝ ⎠
2 3
2
4 4
BA B
EI
M
δ
θ
⎛ ⎞
⇒ = −⎜ ⎟
⎝ ⎠
( )
2
2
4
BC B C
EI
M θ θ⇒ = +
2 3
2BC B C BC
EI
M FEM
l l
δ
θ θ
⎛ ⎞
= + − +⎜ ⎟
⎝ ⎠
( )
4
2 3
2
EI
M FEM
δ
θ θ
⎛ ⎞
⎜ ⎟
BC B C BC
l l
⎜ ⎟
⎝ ⎠
( )
2
2
EI
M θ θ
3
2CB C B CBM FEM
l l
δ
θ θ
⎛ ⎞
= + − +⎜ ⎟
⎝ ⎠
( )2
4
CB C BM θ θ⇒ = +
2 3EI δ⎛ ⎞2 3EI δ⎛ ⎞ 2 3
2
4 4
CD C D
EI
M
δ
θ θ
⎛ ⎞
⇒ = + −⎜ ⎟
⎝ ⎠
2 3EI δ⎛ ⎞
2 3
2CD C D CD
EI
M FEM
l l
δ
θ θ
⎛ ⎞
= + − +⎜ ⎟
⎝ ⎠
2 3EI δ⎛ ⎞
Dept. of CE, GCE Kannur Dr.RajeshKN
72
2 3
2DC D C DC
EI
M FEM
l l
δ
θ θ
⎛ ⎞
= + − +⎜ ⎟
⎝ ⎠
2 3
2
4 4
DC D C
EI
M
δ
θ θ
⎛ ⎞
⇒ = + −⎜ ⎟
⎝ ⎠
Joint equilibrium conditions
0DCM = 2 3
2 0
4 4
D C
EI δ
θ θ
⎛ ⎞
⇒ + − =⎜ ⎟
⎝ ⎠
3
2
4
D C
δ
θ θ⇒ + =
4 4⎝ ⎠
( )1
4
3
8 2
C
D
δ θ
θ⇒ = −
0BA BCM M+ = ( )
2 3 2
2 02
4 4 4
B B C
EI EIδ
θ θ θ
⎡ ⎤⎛ ⎞ ⎡ ⎤⇒ − + =+⎜ ⎟⎢ ⎥ ⎢ ⎥⎣ ⎦⎝ ⎠⎣ ⎦4 4 4⎣ ⎦⎝ ⎠⎣ ⎦
( )2
3
4
4
B C
δ
θ θ⇒ + =
3
16 4
C
B
δ θ
θ⇒ = −
0CB CDM M+ = ( )
2 32
2 02
4 4
C DC B
EIEI δ
θ θθ θ
⎡ ⎤⎛ ⎞⎡ ⎤⇒ + + − =+ ⎜ ⎟⎢ ⎥⎢ ⎥⎣ ⎦ ⎝ ⎠⎣ ⎦
4 16 4
CB CD ( )
4 44
C DC B ⎜ ⎟⎢ ⎥⎢ ⎥⎣ ⎦ ⎝ ⎠⎣ ⎦
3 3 3
4 C Cδ θ δ θ δ
θ
⎡ ⎤
⇒ + + =⎢ ⎥ 3 25 0 1875 0θ δ =
Dept. of CE, GCE Kannur Dr.RajeshKN
( )3
4
16 4 8 2 4
Cθ⇒ + − + − =⎢ ⎥⎣ ⎦
3.25 0.1875 0Cθ δ− =
0H H P 0AB BA CD DCM M M M
P
+ +
⇒ + +0A DH H P+ + =
1 2
0AB BA CD DC
P
l l
⇒ + + =
M M M
10 0
4 4
AB BA CDM M M+
⇒ + + = 40AB BA CDM M M⇒ + + = −
2 3 2 3 2 3
2 2 40
4 4 4 4 4 4
B B C D
EI EI EIδ δ δ
θ θ θ θ
⎡ ⎤ ⎡ ⎤ ⎡ ⎤⎛ ⎞ ⎛ ⎞ ⎛ ⎞
⇒ − + − + + − = −⎜ ⎟ ⎜ ⎟ ⎜ ⎟⎢ ⎥ ⎢ ⎥ ⎢ ⎥
⎝ ⎠ ⎝ ⎠ ⎝ ⎠⎣ ⎦ ⎣ ⎦ ⎣ ⎦⎝ ⎠ ⎝ ⎠ ⎝ ⎠⎣ ⎦ ⎣ ⎦ ⎣ ⎦
80 9
3 2
4
B C D
EI
δ
θ θ θ
−
⇒ + + = +
4EI
3 3 80 9
3 2
16 4 8 2 4
C C
C
EI
δ θ δ θ δ
θ
−⎡ ⎤ ⎡ ⎤
⇒ − + + − = +⎢ ⎥ ⎢ ⎥⎣ ⎦ ⎣ ⎦
( )4
16 4 8 2 4
C
EI⎢ ⎥ ⎢ ⎥⎣ ⎦ ⎣ ⎦
80
0.75 1.3125Cθ δ
−
− =
Dept. of CE, GCE Kannur Dr.RajeshKN
74
( )40.75 1.3125C
EI
θ δ
( )3.25 0.1875 0CEI θ δ− =( )3 ( )C
( )0.75 1.3125 80CEI θ δ− = −
3.636
63.03
CEI
EI
θ
δ
=
=
( )
( )4
3 C
DEI EI
δ θ
θ
⎛ ⎞
= −⎜ ⎟
⎝ ⎠
3 63.03 3.636
21 818EIθ
×
= − =
8 2
DEI EIθ ⎜ ⎟
⎝ ⎠
3 C
EI EI
δ θ
θ
⎛ ⎞
= ⎜ ⎟
21.818
8 2
DEIθ = − =
3 63.03 3.636
10 909EIθ
×
16 4
BEI EIθ = −⎜ ⎟
⎝ ⎠
10.909
16 4
BEIθ = − =
( )
2 3
0.5 10.909 0.75 63.03 18.182
4 4
AB B
EI
M kNm
δ
θ
⎛ ⎞
= − = − × = −⎜ ⎟
⎝ ⎠
( )
2 3
2 0.5 2 10.909 0.75 63.03 12.727BA B
EI
M kNm
δ
θ
⎛ ⎞
= − = × − × = −⎜ ⎟
Dept. of CE, GCE Kannur Dr.RajeshKN
75
( )2 0.5 2 10.909 0.75 63.03 12.727
4 4
BA BM kNmθ × ×⎜ ⎟
⎝ ⎠
( ) ( )
2EI
( ) ( )
2
2 0.5 2 10.909 3.636 12.727
4
BC B C
EI
M kNmθ θ= + = × + =
( ) ( )
2
2 0.5 2 3.636 10.909 9.091
4
CB C B
EI
M kNmθ θ= + = × + =
( )
2 3
2 0.5 2 3.636 21.818 0.75 63.03 9.091CD C D
EI
M kNm
δ
θ θ
⎛ ⎞
= + − = × + − × = −⎜ ⎟ ( )2 0.5 2 3.636 21.818 0.75 63.03 9.091
4 4
CD C DM kNmθ θ+ × + ×⎜ ⎟
⎝ ⎠
Dept. of CE, GCE Kannur Dr.RajeshKN
76
M t di t ib ti th dMoment distribution method
Dept. of CE, GCE Kannur Dr.RajeshKN
Stiffness, Carry-over factor and Distribution factor
Beam hinged at both ends
A
B
M
ABθ
BAθ
(Applied
moment)
M
( )
2
2
EI
M θ θ
( )
2
2 0BA BA AB
EI
M
L
θ θ= + =
)
( )2AB AB BAM
L
θ θ= +
( )
L
1
θ θ⇒ = −
2
BA ABθ θ⇒ = −
2 1 3
2
EI EI
M θ θ θ
⎛ ⎞
⎜ ⎟
Dept. of CE, GCE Kannur Dr.RajeshKN
78
2
2
AB AB AB ABM
L L
θ θ θ
⎛ ⎞
∴ = − =⎜ ⎟
⎝ ⎠
3M EI3AB
AB
M EI
Lθ
=
3EI
i.e., the moment required at A to induce a unit rotation at A is
(when the far end B is free to rotate)
3EI
L
This moment, i.e., moment required to induce a unit rotation,
is called stiffness (denoted by k).is called stiffness (denoted by k).
Dept. of CE, GCE Kannur Dr.RajeshKN
Beam hinged at near end and fixed at far end
A B
ABθ
0BAθ =
A B
M
(Applied
2EI
moment)
4M EI
( )
2
2 0AB AB
EI
M
L
θ= +
4AB
AB
M EI
Lθ
⇒ =
i.e., the moment required at A to induce a unit rotation at A is
(when the far end B is fixed against rotation)
4EI
L
(when the far end B is fixed against rotation)
Dept. of CE, GCE Kannur Dr.RajeshKN
80
( )
2EI 2 AB ABEI M M
M L
⎛ ⎞
⎜ ⎟( )
2
0BA AB
EI
M
L
θ= +
2
4 2
AB AB
BA
EI M M
M L
L EI
⎛ ⎞
= =⎜ ⎟
⎝ ⎠
A moment applied at the near end induces at a fixed far end a
moment equal to half its magnitude, in the same direction.
Half of moment applied at the near end is carried over to the fixed
far end.
Carry over factor is 1/2.
Dept. of CE, GCE Kannur Dr.RajeshKN
Several members meeting at a joint
1 13E I
M kθ θ= =1 1
1
M k
L
θ θ= =
2 24E I2 2
2 2
2
4E I
M k
L
θ θ= =
3 3
3 3
3
3E I
M k
L
θ θ= =
4 4
4 4
4E I
M k
L
θ θ= =
4L
1 2 3 4 1 2 3 4: : : :: : : :M M M M k k k k
Dept. of CE, GCE Kannur Dr.RajeshKN
1 2 3 4 1 2 3 4: : : :: : : :k k k k
1
1
1 2 3 4
k
M M
k k k k
=
+ + +
1k
M
k
=
∑
i
i
k
M M
k
=
∑
A moment applied at a joint, where several members meet, will be
distributed amongst the members in proportion to their stiffnessdistributed amongst the members in proportion to their stiffness.
i
i
k
M M
k
=
∑
distribution factordistribution factor
Dept. of CE, GCE Kannur Dr.RajeshKN
Illustration of the method
B3
5kN 8kN
2 5
Example 1
A
B
C
3m 2.5m
5m 5m
Problem structure
A B CB
Problem structure
A B C
5kNm 5kNm2.4kNm 3.6kNm 5kNm 5kNm
Dept. of CE, GCE Kannur Dr.RajeshKN
Fixed end moments (reactive)
A
B
C1.4kNm
Unbalanced moment
A
B
C0.7kNm0.7kNm Unbalanced moment
distributed amongst
members
B 0 35kNm
A
B
C
0.35kNm0.35kNm
Distributed moments
carried over to far
Dept. of CE, GCE Kannur Dr.RajeshKN
ends of members
A B C
0 5 0 5 di t ib ti f t0.5 0.5
-2.4 +3.6 -5.0 +5.0 Fixed End Moments
0 0 distribution factors
+0.7 +0.7
+0 35 +0 35
Distribution
Carry over+0.35 +0.35 Carry over
Distribution
-2.05 +4.3 -4.3 +5.35 Final Moments
Dept. of CE, GCE Kannur Dr.RajeshKN
5 35kN
A B C4.3kNm2.05kNm 4.3kNm 5.35kNm
A
B
CA C
2.05
5 35
4.3
5.35
Dept. of CE, GCE Kannur Dr.RajeshKN
Example 2
40kN
80kN60kN
20kN m
A B C
D
3m 3m 3m 3m 3m 3m
Fi d d t
2
wl Pl
Fixed end moments
2
20 6 40 6× ×
12 8
AB BA
wl Pl
FEM FEM− = = +
2
wl Pl
20 6 40 6
60 30 90
12 8
kNm
× ×
= + = + =
2
20 6 60 6× ×
80 6Pl ×
12 8
BC CB
wl Pl
FEM FEM− = = +
20 6 60 6
60 45 105
12 8
kNm
× ×
= + = + =
Dept. of CE, GCE Kannur Dr.RajeshKN
80 6
60
8 8
CD DC
Pl
FEM FEM kNm
×
− = = = =
A B C D
0 5 0 5 0 5 0 51 1 Di t ib ti f t0.5 0.5
-90 +90 -105 +105 -60 +60 Fixed End Moments
0.5 0.51 1 Distribution factors
+90 +7.5 +7.5 -22.5 -22.5 -60
+3.5 +45 -11.25 +3.5 -30 -11.25
Distribution
Carry over
-3.5 -16.875 -16.875 +13.25 +13.25 +11.25
8 434 1 75 +6 625 8 434 +5 625 +6 625
Distribution
Carry over-8.434 -1.75 +6.625 -8.434 +5.625 +6.625
+8.434 -2.438 -2.438 +1.405 +1.405 -6.625
Carry over
Distribution
0 +121.48 -121.44 +92.221 - 92.22 0 Final Moments
Dept. of CE, GCE Kannur Dr.RajeshKN
A B C D
-90 +90 -105 +105 -60 +60 Fixed End Moments
0.571 0.429 Distribution factors0.429 0.571
90 +90 105 +105 60 +60
+90 +45 -30 -60
Release A& D,
and carry over
0 +135 -105 +105 -90 0
-12.87 -17.13 -8.565 -6.435
Initial moments
Distribution
-4.283 -8.565
+1 837 +2 445 4 89 3 674
Carry over
Di t ib ti+1.837 +2.445 4.89 3.674
+2.445 1.223
Distribution
Carry over
-1.049 -1.396 -0.698 -0.524
0 +122.92 -122.92 +93.29 - 93.29 0 Final Moments
Distribution
Dept. of CE, GCE Kannur Dr.RajeshKN
Example 3
Dept. of CE, GCE Kannur Dr.RajeshKN
91
A B C DA B C D
Distrib.
factors
1 0.2727 0.7273 0.6667 0.3333 0
Fixed-end
moments
-14.700 +6.300 -8.333 +8.333 -12.500 +12.500
Release A andRelease A and
Carry over
+14.700 +7.350
Initial
moments
0.00 13.65 -8.333 +8.333 -12.500 +12.500
moments
Dist 1 -1.450 -3.867 +2.779 +1.388
CO 1 1.39 -1.934 +0.694
Dist 2 -0.379 -1.011 1.29 0.644
CO 2 0.645 -0.506 0.322
Dist 3 -0.176 -0.469 0.338 0.168
Final
moments
0 +11.645 -11.645 +10.3 -10.3 +13.516
Dept. of CE, GCE Kannur Dr.RajeshKN
92
Dept. of CE, GCE Kannur Dr.RajeshKN
93
Example 3
2 2
5 8l2 2
5 8
26.667
12 12
wl
kNm
×
= =
10 8
10
8 8
Pl
kNm
×
= =
Dept. of CE, GCE Kannur Dr.RajeshKN
Distribution factors
( )
( ) ( )
1
3 2 8
3 42 8 3 8
BA
EIK
DF
K K EI EI
= =
+ +
0.333=
( ) ( )1 2 3 42 8 3 8K K EI EI+ +
( )2
4 3 8
0 667
EIK
DF = = =
( )
( ) ( )1 2
0.667
3 42 8 3 8
BCDF
K K EI EI
= = =
+ +
( )
( ) ( )
4 3 8
3 43 8 3 8
CB
EI
DF
EI EI
=
+
0.571=
0.429=
( )
( ) ( )
3 3 8
3 43 8 3 8
CD
EI
DF
EI EI
=
+( ) ( )
Dept. of CE, GCE Kannur Dr.RajeshKN
A B C D
0.333 0.667 0.571 0.4291 1 Distribution factors
Joint couple dist.16.65 33.35
Fixed End Moments
Carry over16.675
-10 +10 -26.667 +26.667 -26.667 +26.667
Release A& D,
and carry over
Initial moments
+10 +5.0 -13.333 -26.667
0.0 +15.0 -26.667 +43.342 -40.0 0.0
Carry over
Distribution3.885 7.782 -1.905 -1.437
-0.953 +3.891
Carry over
Distribution0.317 0.636 -2.218 -1.673
-1.109 0.318
Distribution
Final Moments
0.369 0.74 -0.181 -0.137
0 +36.22 13.78 +43.28 -43.25 0
Dept. of CE, GCE Kannur Dr.RajeshKN
Dept. of CE, GCE Kannur Dr.RajeshKN
90kN
20kN30kN m
90kN
Example 4
A B C D
2.5m 2.5m
E2I I 2.4I
7.5m 5m 5m 3m
2 2
30 5
62.5
12 12
wl
kNm
×
= =
2 2
2 2
90 2.5 5
100
7.5
Pab
kNm
l
× ×
= =
2 2
2 2
90 2.5 5
50
7.5
Pa b
kNm
l
× ×
= =
20 3 60kNm× =
( )
( ) ( )
4 2 7.5
4 42 7 5 5
BA
EI
DF
EI EI
=
+
( )
( ) ( )
4 5
4 42 7.5 5
BC
EI
DF
EI EI
=
+0.571=
0.429=
7.5l
( ) ( )4 42 7.5 5EI EI+
( ) ( )
( )4 5EI
DF 0 357 ( )3 2.4 5EI
Dept. of CE, GCE Kannur Dr.RajeshKN
( )
( ) ( )4 35 2.4 5
CBDF
EI EI
=
+ 0.643=0.357= ( )
( ) ( )
3 2.4 5
4 35 2.4 5
CD
EI
DF
EI EI
=
+
A B C D
0.571 0.429
-150.0 150.0 -62.5 62.5 0.0 0.0 -60.0 FEM
0.357 0.6430 DFs1 0
30.0 60.0
-150.0 150.0 -62.5 62.5 30.0 60.0 -60.0
Balance D, and
carry over
Initial moments
-49.96 -37.54 -33.02 -59.48
-24.98 -16.51 -18.77 CO
Dist
9.43 7.08 6.7 12.07
4.72 3.35 3.54 CO
Dist
-1.91 -1.44 -1.26 -2.28
-0.96 -0.63 -0.72
Dist
CO
0.36 0.27 0.26 0.46
-171.2 107.92 -107.92 +19.23 -19.23 60.0 -60.0 Final Moments
Dist
Dept. of CE, GCE Kannur Dr.RajeshKN
Example 5
Support B settles by 10 mm.
6 4
200 , 50 10E GPa I mm= = ×
( )3 2 8EI
DF
( )4 3 8EI
DF0 333 0 667
( )
( ) ( )3 42 8 3 8
BADF
EI EI
=
+
( )
( ) ( )3 42 8 3 8
BCDF
EI EI
=
+
0.333= 0.667=
Dept. of CE, GCE Kannur Dr.RajeshKN
2 2
3 8l20 8Pl × 2 2
3 8
16
12 12
wl
kNm
×
= =
20 8
20
8 8
Pl
kNm
×
= =
2
6
8
AB
Pl EI
FEM
L
δ−
= −
8 L
6 6 12 3
2
6 2 200 10 50 10 10 10 10
20
− −
× × × × × × × ×
= − − 2
20
8
20 18.75 38.75 kNm= − − = −
2
6
8
BA
Pl EI
FEM
L
δ
= −
8 L
6 6 12 3
2
6 2 200 10 50 10 10 10 10
20
8
− −
× × × × × × × ×
= −
Dept. of CE, GCE Kannur Dr.RajeshKN
2
8
20 18.75 1.25 kNm= − =
22
2
6
12
BC
wl EI
FEM
L
δ−
= +
6 6 12 3
2
6 3 200 10 50 10 10 10 10
16
8
− −
× × × × × × × ×
= − +
8
16 28.125 12.125 kNm= − + =
2
2
6
12
CB
wl EI
FEM
L
δ
= + 2
12
CB
L
6 6 12 3
6 3 200 10 50 10 10 10 10
16
− −
× × × × × × × ×
= + 2
16
8
= +
16 28 125 44 125 kNm= + =
Dept. of CE, GCE Kannur Dr.RajeshKN
16 28.125 44.125 kNm= + =
A B C
0 333 0 6670.333 0.667
-38.75 +1.25 12.125 44.125 Fixed End Moments
1 0
Release A and
38.75 19.375
0 0 20 625 12 125 44 125
Release A, and
carry over
Initial Moments0.0 20.625 12.125 44.125
-10.906 -21.844 0 Distribution
-10.922 Carry over
Distribution
0.0 + 9.719 -9.719 +33.203 Final Moments
Dept. of CE, GCE Kannur Dr.RajeshKN
Example 6
Support B settles by 10 mm.
6 4
200 , 50 10E GPa I mm= = ×
Dept. of CE, GCE Kannur Dr.RajeshKN
( )3 2 8EI
DF =
( )4 3 8EI
DF =0 333= 0 667=
( ) ( )3 42 8 3 8
BADF
EI EI
=
+ ( ) ( )3 42 8 3 8
BCDF
EI EI
=
+
0.333 0.667=
2 2
3 8
16
wl
kN
×20 8
20
Pl
kN
×
16
12 12
kNm= =20
8 8
kNm= =
6Pl EIδ
2
6
8
AB
Pl EI
FEM
L
δ
= − −
6 6 12 3
6 2 200 10 50 10 10 10 106 6 12 3
2
6 2 200 10 50 10 10 10 10
20
8
− −
× × × × × × × ×
= − −
20 18 75 38 75 kN20 18.75 38.75 kNm= − − = −
6Pl EI
FEM
δ
= − 2
8
BAFEM
L
6 6 12 3
6 2 200 10 50 10 10 10 10
20
− −
× × × × × × × ×
=
Dept. of CE, GCE Kannur Dr.RajeshKN
2
20
8
= −
20 18.75 1.25 kNm= − =
2
2
6
12
BC
wl EI
FEM
L
δ−
= + 2
12 L
6 6 12 3
2
6 3 200 10 50 10 10 10 10
16
− −
× × × × × × × ×
= − + 2
8
16 28.125 12.125 kNm= − + =
2
2
6
12
CB
wl EI
FEM
L
δ
= + 2
12
CB
L
6 6 12 3
6 3 200 10 50 10 10 10 10
16
− −
× × × × × × × ×
= + 2
16
8
= +
16 28 125 44 125 kNm= + =
Dept. of CE, GCE Kannur Dr.RajeshKN
16 28.125 44.125 kNm= + =
A B C
0.333 0.667
12 -5.0 -10
1 0
Joint couple dist.
6 -5
-38 75 +1 25 12 125 44 125 Fixed End Moments
Carry over
-38.75 +1.25 12.125 44.125
38.75 19.375
Fixed End Moments
Release A, and
carry over
-0.0 26.625 12.125 39.125
-12.904 -25.834 0
Initial Moments
Distribution
-12.917 Carry over
Di t ib ti
12.0 + 8.721 -23.709 +26.208
Distribution
Final Moments
Dept. of CE, GCE Kannur Dr.RajeshKN
Dept. of CE, GCE Kannur Dr.RajeshKN
Moment Distribution for frames:
No sideswayy
Dept. of CE, GCE Kannur Dr.RajeshKN
Example 7Example 7
B
10kN 2kN m
A
B C
2
2I I
332m
3m I
3m3m
D
I
D
Dept. of CE, GCE Kannur Dr.RajeshKN
Fixed end moments
2 2
2 2
10 2 3
7.2AB
Pab
FEM kNm
− − × ×
= = = −2 2
7.
5
AB kNm
l
2 2
10 2 3
4 8
Pa b
FEM kN
× ×
2 2
4.8
5
BAFEM kNm
l
= = =
2 2
2 3
1.5
12 12
BC CB
wl
FEM FEM kNm
×
− = = = = 0BD DBFEM FEM= =
Dept. of CE, GCE Kannur Dr.RajeshKN
Distribution factors
( )
( ) ( ) ( )
4 2 5
4 3 42 5 3 3
BA
EI
DF
EI EI EI
=
+ +
( )
( ) ( ) ( )
3 3
4 3 42 5 3 3
BC
EI
DF
EI EI EI
=
+ +
Distribution factors
( ) ( ) ( )4 3 42 5 3 3EI EI EI+ +
( ) ( ) ( )
0.407= 0.254=
( )
( ) ( ) ( )
4 3
4 3 42 5 3 3
BD
EI
DF
EI EI EI
=
+ +( ) ( ) ( )4 3 42 5 3 3EI EI EI+ +
0.339=
Dept. of CE, GCE Kannur Dr.RajeshKN
AB BA BD BC CB
0.407 0.339 0.254
-7.2 4.8 0.0 -1.5 1.5 Fixed End Moments
0 1 Distribution factors
-0.75 -1.5
-7.2 4.8 0.0 -2.25 0.0
Release C, and
carry over
Initial moments
-1.04 -0.864 -0.648
-0.52 Carry over
Distribution
Initial moments
-7.72 3.72 -0.864 -2.9 0.0
y
Final Moments
Distribution
0.864
0.432
2
DBM kNm
−
= = −
Dept. of CE, GCE Kannur Dr.RajeshKN
Moment Distribution for frames:Moment Distribution for frames:
sidesway
Dept. of CE, GCE Kannur Dr.RajeshKN
• Assume sway is prevented by giving a support at CAssume sway is prevented by giving a support at C.
• This causes a reaction R at C, along with end-moments M.
• This reaction R has to be cancelled out, since actually sway is not
prevented.
M
RR
Dept. of CE, GCE Kannur Dr.RajeshKN
• It is required to find out what member-end-moments cause this
reaction R, in the absence of actual external loads (Let this unknown
moment be MBA)
MBA M’BA
R’R’
• Let us assume that a moment of M’ ( = 100kNm say) is causing a
Dept. of CE, GCE Kannur Dr.RajeshKN
• Let us assume that a moment of M BA ( = 100kNm, say) is causing a
reaction of R’.
• If M’BA= MBA R+R’ must be zeroIf M BA MBA , R+R must be zero.
And the total moment will be M + M’BA .
• But since M’BA≠ MBA , R+ R’ ×(MBA /M’BA) =0
• Therefore, MBA /M’BA= – R / R’ = C1 i.e., MBA = C1 × M’BA
• Hence the total moment is
M M M C M’ M M’ R / R’M + MBA = M+ C1 ×M’BA = M – M’BA × R / R’
Dept. of CE, GCE Kannur Dr.RajeshKN
R
R’
1 0R C R′+ =
Dept. of CE, GCE Kannur Dr.RajeshKN
• When a moment of M’BA ( = 100kNm, say) is applied, what will be theBA ( , y) pp ,
value of M’CD?
Ratio of sway moments at column heads
2
1 1
2
2 2
BA
CD
M I L
M I L
′
=
′
Both column bases hinged:
2
1 1
2
2 2
BA
CD
M I L
M I L
′
=
′
Both column bases fixed:
2
1 1
2
2BAM I L
M I L
′
=
′One column base hinged and the other fixed:
2 2CDM I Lg
Dept. of CE, GCE Kannur Dr.RajeshKN
Both column bases hinged
3 3
1 1 2 2
3 3
P P
EI EI
δ = =
δδP
C
g
1 23 3EI EIB C
3 3EI EIδ δ
1 2 1 2
1 23 3
1 2
3 3
,
EI EI
P P
δ δ
= =
1 1 2 2,BA CDM P M P′ ′= =A
D
2P
2
M P I′
1P
1 1 1 1
2
2 2 2 2
BA
CD
M P I
M P I
= =
′
Dept. of CE, GCE Kannur Dr.RajeshKN
, 0, 0AB DCAlso M M′ ′= =
Both column bases fixed
P
C
δδ
1 2
2 2
1 2
6 6
,BA CD
EI EI
M M
δ δ
′ ′= =
B C
1 2
1 2
2
1 1
2
2 2
BA
CD
M I
M I
′
=
′A
D
2P
1P
, ,BA AB CD DCAlso M M M M′ ′ ′ ′= =
Dept. of CE, GCE Kannur Dr.RajeshKN
One column base fixed and the other hinged
3
2 2
3
P
EI
δ =
g
δδP
C 23EI
23EI δ
B C
2
2 3
2
3EI
P
δ
=1 2
1 2
2 22 2
1 2
6 3
,BA CD
EI EI
M M P
δ δ
′ ′= = =A
D
2P
1 2
2
1 1
2
2BAM I′
=
1P
2
2 2CDM I′
0Al M M M′ ′ ′
Dept. of CE, GCE Kannur Dr.RajeshKN
, , 0BA AB DCAlso M M M′ ′ ′= =
Example 8
1 0R C R′+ =
R R’
Dept. of CE, GCE Kannur Dr.RajeshKN
( )4 5EI( )
( ) ( )
4 5
4 45 5
BA BC CB CD
EI
DF DF DF DF
EI EI
= = = =
+
0.5=
2 2
2 2
16 1 4
10.24
5
BC
Pab
FEM kNm
l
− − × ×
= = = −
5l
2 2
16 1 4
2 56
Pa b
FEM kN
× ×
2 2
2.56
5
CBFEM kNm
l
= = =
Dept. of CE, GCE Kannur Dr.RajeshKN
To find M values
A B C D
0 5 0 5 0 5 0 50 DF00.5 0.5
-10.24 2.56
5.12 5.12 -1.28 -1.28
FEM
Di t
0.5 0.50 DFs0
2.56 -0.64 2.56 -0.64
0.32 0.32 -1.28 -1.28
CO
Dist
Dist
0.16 -0.64 0.16 -0.64
0.32 0.32 -0.08 -0.08 Dist
CO
Dist
0.16 -0.04 0.16 -0.04
0.02 0.02 -0.08 -0.08
2.88 5.78 -5.78 +2.72 -2.72 -1.32 Final Moments
Dept. of CE, GCE Kannur Dr.RajeshKN
2.88 5 5.78xA− × = −
( )1.73xA⇒ = →
R
( )x →
1.32 5 2.72xD− + × =
( )0.81xD⇒ = ←
1.73 0.81 0R− − =
( )0 92R ( )0.92R = ←
Assume M’BA= -100 kNm
2
1 1
2
BAM I L
M I L
′
=
′
Ratio of sway moments at column heads for both
column bases fixed:
Dept. of CE, GCE Kannur Dr.RajeshKN
2 2CDM I L
Hence M’CD= -100 kNm
Also, M’AB= M’DC= -100 kNm
To find M’BA values
A B C DA B C D
0.5 0.5
-100.0 -100.0 -100.0 -100.0 FEM
0.5 0.50 DFs0
50.0 50.0 50.0 50.0
25.0 25.0 25.0 25.0
FEM
CO
Dist
-12.5 -12.5 -12.5 -12.5
-6.25 -6.25 -6.25 -6.25
CO
CO
Dist
6.25 6.25 6.25 6.25
3.125 3.125 3.125 3.125
1.563 1.563 1.563 1.563
Dist
CO
CO
-0.781 -0.781 -0.781 -0.781
-79.687 -60.156 60.157 60.156 -60.157 -79.687 Final Moments
Dist
Dept. of CE, GCE Kannur Dr.RajeshKN
80 5 60xA− + × =
( )28xA⇒ = ←
R′
80 5 60xD− + × =
( )28D⇒ = ←( )28xD⇒ = ←
28 28 0R− − + =
( )56R′ = →
0 92
1 0R C R′+ = 10.92 56 0C⇒− + = 1
0.92
0.0164
56
C∴ = =
Dept. of CE, GCE Kannur Dr.RajeshKN
All the end-moments are to be found as:
1FINAL BAM M C M′= +
All the end moments are to be found as:
R=0.92 R’=56R =56
Dept. of CE, GCE Kannur Dr.RajeshKN
13.01 2.99
Dept. of CE, GCE Kannur Dr.RajeshKN
Example 9 Δ Δ
20 kN B C
4m
B C
4m
4m
4m
EI
A D
EI EI
DA
( )4 4EI
DF DF= =
( )4 4EI
DF =
( )
( ) ( )4 44 4
BA BCDF DF
EI EI
= =
+
0.5=
( )
( ) ( )4 34 4
CBDF
EI EI
=
+
0.571= 0.57
( )
( ) ( )
3 4
4 34 4
CD
EI
DF
EI EI
=
+
Dept. of CE, GCE Kannur Dr.RajeshKN
( ) ( )
0.429=
To find M values
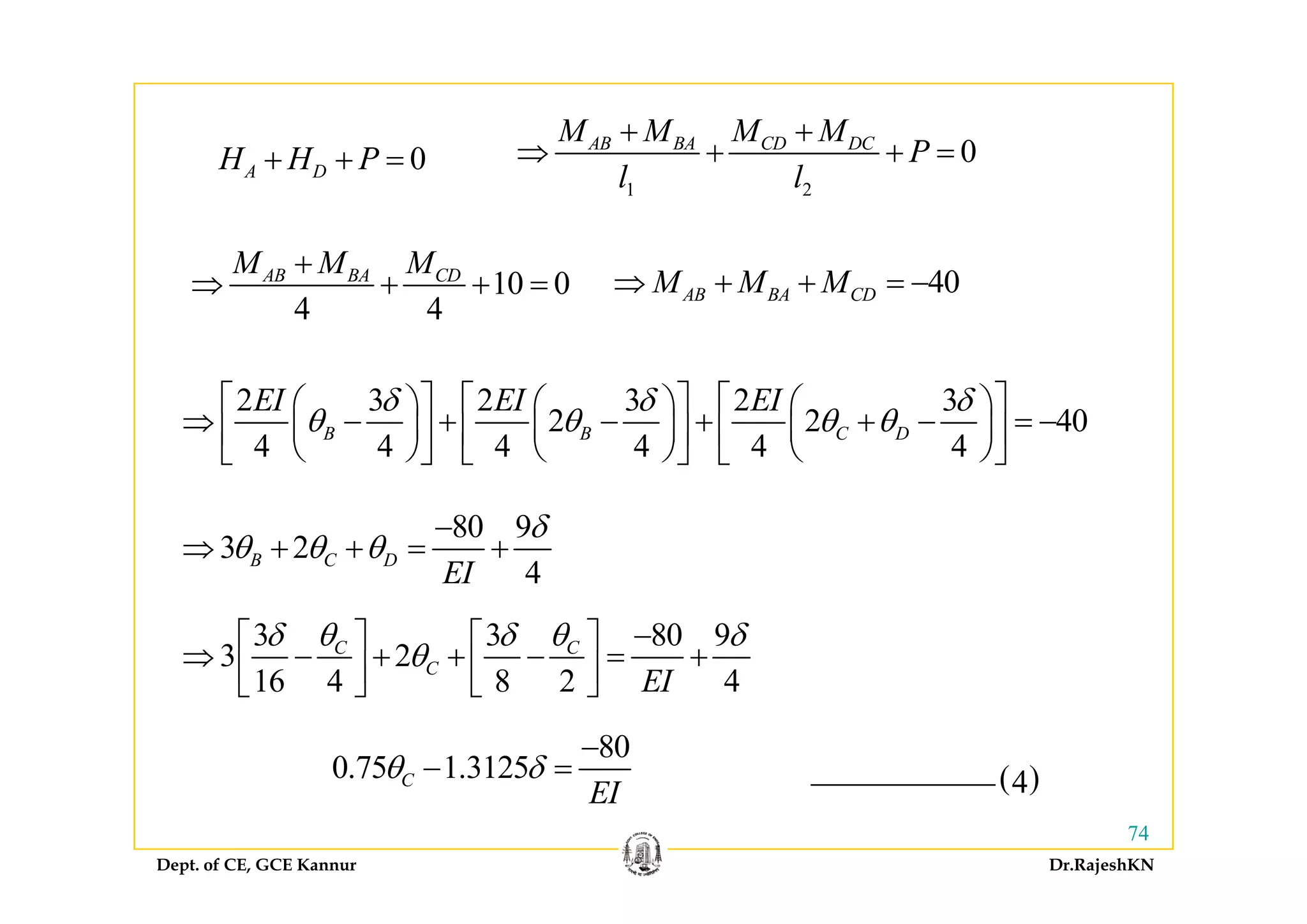
No fixed end moment since there is no member force
(only a joint force of 20 kN).
To find M values
(o y a jo t o ce o 0 N).
R= -20 kN
Assume fixed end moment due to sway M’BA as -10 kNm.
Ratio of sway moments at column heads for One column base hinged
and the other fixed: 2
1 12BAM I L′ 1 1
2
2 2
BA
CDM I L
=
′
2=
5CDM kNm′∴ = −
Dept. of CE, GCE Kannur Dr.RajeshKN
Also, M’AB= -10 kNm, M’DC= 0
To find M’BA values
A B C D
0.5 0.5 0.571 0.4290 DFs0.5 0.5
-10 -10 -5
5 5 2.86 2.14
FEM
Dist
0.571 0.429 DFs
2.5 1.43 2.5
-0.72 -0.71 -1.43 -1.07
CO
Dist
Dist
-0.36 -0.72 -0.36
0.36 0.36 0.21 0.15 Dist
CO
0.18 0.1 0.18
-0.05 -0.05 -0.1 -0.08 Dist
CO
-7.68 -5.41 5.41 3.86 -3.86 Final Moments
Dept. of CE, GCE Kannur Dr.RajeshKN
( )7.68 4 5.41xA− + × = ( )3.27xA⇒ = ←
4 3 86D × = ( )0 965D⇒ = ←4 3.86xD × = ( )0.965xD⇒ = ←
3 27 0 965 0R′+ ( )4 235R′⇒ = →3.27 0.965 0R− − + = ( )4.235R⇒ = →
20
1 0R C R′+ = 120 4.235 0C⇒− + = 1
20
4.723
4.235
C∴ = =
All the end-moments are to be found as:
1 1FINAL BA BAM M C M C M′ ′= + =
Dept. of CE, GCE Kannur Dr.RajeshKN
4 723 7 68M × 36 273 kNm=4.723 7.68ABM = ×−
4 723 5 41M = ×−
36.273 kNm= −
25 551 kNm= −4.723 5.41BAM = ×
4 723 5 41M = ×
25.551 kNm
25 551 kNm=4.723 5.41BCM = ×
4.723 3.86CBM = ×
25.551 kNm=
18.231 kNm=.7 3 3.86CB
4.723 3.86CDM = ×− 18.231 kNm= −4.723 3.86CDM
0DCM = 0DCM
Dept. of CE, GCE Kannur Dr.RajeshKN
SummarySummary
Displacement method of analysis
• Slope deflection method-Analysis of continuous beams and
Displacement method of analysis
Slope deflection method Analysis of continuous beams and
frames (with and without sway)
• Moment distribution method- Analysis of continuous beams
and frames (with and without sway)and frames (with and without sway).
Dept. of CE, GCE Kannur Dr.RajeshKN
136

Module2 rajesh sir

  • 1.
    Structural Analysis -II Slope deflection methodSlope deflection method Moment distribution method Dr. Rajesh K. N. Assistant Professor in Civil EngineeringAssistant Professor in Civil Engineering Govt. College of Engineering, Kannur Dept. of CE, GCE Kannur Dr.RajeshKNDept. of CE, GCE Kannur Dr.RajeshKN 1
  • 2.
    Module IIModule II Displacementmethod of analysis • Slope deflection method-Analysis of continuous beams and Displacement method of analysis Slope deflection method Analysis of continuous beams and frames (with and without sway) • Moment distribution method- Analysis of continuous beams and frames (with and without sway)and frames (with and without sway). Dept. of CE, GCE Kannur Dr.RajeshKN 2
  • 3.
    Displacement method Example 1:Propped cantilever (Kinematically indeterminate to first degree) p degree) • Required to get Bθ •degrees of freedom: one • Kinematically determinate structure is obtained by restraining allKinematically determinate structure is obtained by restraining all displacements (all displacement components made zero - restrained structure) Dept. of CE, GCE Kannur Dr.RajeshKN 3
  • 4.
    Restraint at Bcauses a reaction of MB as shown. 2 12 B wL M = 12 The actual rotation at B is Bθ To induce a rotation of at B, it is required to apply a moment of MB anticlockwise. Bθ Bθ 4 B B EI M θ= pp y B BM L θ 2 4 J i ilib i i 3 wL 2 4 12 B wL EI L θ= Joint equilibrium equation (or equation of action superposition) Dept. of CE, GCE Kannur Dr.RajeshKN 448 B wL EI θ∴ =
  • 5.
    •A general approach(applying consistent sign convention for loads and displacements): • Restrained structure: Restraint at B causes a reaction of MB 2 L (N t th i ti Restrained structure: Restraint at B causes a reaction of MB. 2 12 B wL M = (Note the sign convention: clockwise positive) Bθ•Apply unit rotation corresponding to 4EI BmLet the moment required for this unit rotation be 4 B EI m L = − anticlockwise Dept. of CE, GCE Kannur Dr.RajeshKN Bθ B Bm θ• Moment required to induce a rotation of is
  • 6.
    0B B BMm θ+ = (Joint equilibrium equation) 2 4 0 wL EI θ 3 B B wLM θ∴ = − = B B B (Joint equilibrium equation) 0 12 B L θ− = 48 B B EIm θ∴ m (Moment required for unit rotation) is the stiffness coefficient hereBm (Moment required for unit rotation) is the stiffness coefficient here. Dept. of CE, GCE Kannur Dr.RajeshKN 66
  • 7.
    Sign convention formomentsSign convention for moments (for Slope Deflection and Moment Distribution methods) • A support moment acting in the anticlockwise direction will be taken as positive (reactive moment is clockwise) • A support moment acting in the clockwise direction will be taken as negative (reactive moment is anticlockwise) +ve A B ve+ve− A B support moments reactive moment reactive moment Dept. of CE, GCE Kannur Dr.RajeshKN support moments
  • 8.
    anticlockwise support moment (reactive momentis clockwise) anticlockwise support moment (reactive moment is clockwise)moment is clockwise) moment is clockwise) ve+ ve+ A B Moment distribution distribution/slope deflection signdeflection sign convention veve+ A B ve−ve+ Usual sign convention for drawing BMD A B Dept. of CE, GCE Kannur Dr.RajeshKN
  • 9.
    clockwise support moment (reactive momentis anticlockwise support moment (reactive moment is clockwise)moment is anticlockwise) moment is clockwise) ve+ve− A B Moment distribution/slope deflection signdeflection sign convention ve− ve− A B ve ve Usual sign convention for drawing BMD A B Dept. of CE, GCE Kannur Dr.RajeshKN
  • 10.
    clockwise support moment (reactive momentis clockwise support moment (reactive moment ismoment is anticlockwise) moment is anticlockwise) ve− ve− A B Moment distribution distribution/slope deflection signdeflection sign convention ve− ve+ A B ve ve+ Usual sign convention for drawing BMD A B Dept. of CE, GCE Kannur Dr.RajeshKN
  • 11.
    Sign convention forslopes and deflections A l k i t ti i t k iti d ti l k i g p (for Slope Deflection and Moment Distribution methods) • A clockwise rotation is taken as positive and anticlockwise rotation as negative ve− Aθ ve+ Bθ •If one end of a beam settles, the rotation at both ends are taken as positive if the beam as a whole rotates clockwise, and negative if the beam as a whole rotates anticlockwise Bθ beam as a whole rotates anticlockwise Aθ ve+ δ ve+ B ve−δ ve− Dept. of CE, GCE Kannur Dr.RajeshKN Bθ ve+ Aθ ve−
  • 12.
    Sl d flti th dSlope deflection method Dept. of CE, GCE Kannur Dr.RajeshKN
  • 13.
    Introduction • This methodis based on the relationships of end moments with slopes and deflections (called slope-deflection equations) for eachp ( p q ) member. Approach to solve problems • The slope-deflection equations are written for each member. pp p • Joint equilibrium conditions are written. • Solving the joint equilibrium conditions, unknown displacements are found out. • Substituting these unknown displacements back in the slope- deflection equations, we get the unknown end moments. Dept. of CE, GCE Kannur Dr.RajeshKN 13
  • 14.
    Derivation of fundamentalequations BAM M =BA ABM Aθ Bθ AFEM( )1 + ABFEM BAFEM( )1 ( )2 ABM′ Aθ′ Bθ′ + ( )2 BAM′ A M ′′ M ′′ + ( )3 Dept. of CE, GCE Kannur Dr.RajeshKN ABM BAM
  • 15.
    ( ) Endsassumed as fixed (zero rotation) This requires restraining( )1 Ends assumed as fixed (zero rotation). This requires restraining moments (fixed end moments) FEMAB and FEMBA. External loads are acting. ( )2 Rotations are forced at ends. This requires moments M’AB and M’BA ( )3 If there is a support settlement, moments M’’AB and M’’BA will be induced. Dept. of CE, GCE Kannur Dr.RajeshKN
  • 16.
    ( )2 M′ BAM′ Aθ′Bθ′ ABM BA = BAM′2Bθ′2Aθ′ M′ 1Aθ′ 1Bθ′ + BA ABM′ BAM′ +ABM′ + BAM l θ ′− ′ EI +AB EI 1 3 AB A M l EI θ ′ ′ = 2 6 BA A EI θ′ = l′ M l′ Conjugate beams Dept. of CE, GCE Kannur Dr.RajeshKN 1 6 AB B M l EI θ ′− ′ = 2 3 BA B M l EI θ′ =
  • 17.
    AB BAM lM l θ θ θ ′ ′ ′ ′ ′ AB BAM l M l θ θ θ ′ ′ ′ ′ ′1 2 3 6 AB BA A A A EI EI θ θ θ′ ′ ′= + = − 1 2 6 3 AB BA B B B EI EI θ θ θ′ ′ ′= + = − + ( )3 Rotation at the end A due to support settlement δABM′′ BAM′′ support settlement = Rotation at the end B due to support settlement BA = l δl Total rotations at the ends are: 3 6 AB BA A A M l M l l EI EI l δ δ θ θ ′ ′ ′= + = − + 3 6 BA AB B B M l M l l EI EI l δ δ θ θ ′ ′ ′= + = − + Dept. of CE, GCE Kannur Dr.RajeshKN 17 3 6l EI EI l 3 6l EI EI l
  • 18.
    2 3 2 EI M δ θ θ ⎛⎞′ ⎜ ⎟ Solving the above two equations, we get: 2 3 2 EI M δ θ θ ⎛ ⎞′ = +⎜ ⎟2AB A BM l l θ θ ⎛ ⎞′ = + −⎜ ⎟ ⎝ ⎠ 2BA B AM l l θ θ= + −⎜ ⎟ ⎝ ⎠ Hence the final moments at the supports are: 2 3 2 EI M FEM δ θ θ ⎛ ⎞ = + +⎜ ⎟ Hence the final moments at the supports are: 2AB A B ABM FEM l l θ θ= + − +⎜ ⎟ ⎝ ⎠ 2 3EI δ⎛ ⎞2 3 2BA B A BA EI M FEM l l δ θ θ ⎛ ⎞ = + − +⎜ ⎟ ⎝ ⎠ These are the slope deflection equations Dept. of CE, GCE Kannur Dr.RajeshKN 18
  • 19.
    Fixed end moments 8 PL− 8 PL + 2L2L2L 2L Dept. of CE, GCE Kannur Dr.RajeshKN 19
  • 20.
    Dept. of CE,GCE Kannur Dr.RajeshKN
  • 21.
    Illustration of themethod B3 5kN 8kN 2 5 Example 1 A B C 3m 2.5m 5m 5m Problem structure A B CB Problem structure A B 2 4kN 3 6kN C 5kNm 5kNm B 2.4kNm 3.6kNm 5kNm 5kNm Dept. of CE, GCE Kannur Dr.RajeshKN Fixed end moments (reactive)
  • 22.
    Fixed end moments 22 2 2 5 3 2 2.4 5 AB Pab FEM kNm l − − × × = = = − 2 2 2 2 5 3 2 3.6 5 BA Pa b FEM kNm l × × = = = 8 5 5 8 8 BC Pl FEM kNm − − × = = = − 8 5 5 8 8 CB Pl FEM kNm × = = = 8 8 Known displacements 0A Cθ θ= = 0A B Cδ δ δ= = = Dept. of CE, GCE Kannur Dr.RajeshKN 22
  • 23.
    Slope deflection equations 23 2AB A B AB EI M FEM l l δ θ θ ⎛ ⎞ = + − +⎜ ⎟ ⎝ ⎠ ( ) 2 2.4 5 AB B EI M θ⇒ = − 2 3 2 EI M FEM δ θ θ ⎛ ⎞ = + +⎜ ⎟ ( ) 2 2 3 6 EI M θ⇒ +2BA B A BAM FEM l l θ θ= + − +⎜ ⎟ ⎝ ⎠ ( )2 3.6 5 BA BM θ⇒ = + ( ) 2 2 5 5 BC B EI M θ⇒ = − 2 3 2BC B C BC EI M FEM l l δ θ θ ⎛ ⎞ = + − +⎜ ⎟ ⎝ ⎠ 5l l⎝ ⎠ 2 3 2CB C B CB EI M FEM l l δ θ θ ⎛ ⎞ = + − +⎜ ⎟ ⎝ ⎠ ( ) 2 5 5 CB B EI M θ⇒ = + Dept. of CE, GCE Kannur Dr.RajeshKN 23
  • 24.
    Joint equilibrium condition 0BABCM M+ = ( ) ( ) 2 2 2 3.6 2 5 0B B EI EI θ θ ⎛ ⎞ ⎛ ⎞ ⇒ + + − =⎜ ⎟ ⎜ ⎟ ⎝ ⎠ ⎝ ⎠ ( ) ( )2 3.6 2 5 0 5 5 B Bθ θ⇒ + +⎜ ⎟ ⎜ ⎟ ⎝ ⎠ ⎝ ⎠ 1.6 1.4 0BEIθ − = 0.875 B EI θ⇒ = ( ) 2 2 0.875 2.4 2.4 2.05 5 5 AB B EI EI M kNm EI θ ⎛ ⎞ = − = − = −⎜ ⎟ ⎝ ⎠ ( ) 5 5 AB B EI ⎜ ⎟ ⎝ ⎠ Dept. of CE, GCE Kannur Dr.RajeshKN 24
  • 25.
    ⎛ ⎞2 0.875 23.6 4.3 5 BA EI M kNm EI ⎛ ⎞ = × + =⎜ ⎟ ⎝ ⎠ 2 0.875 2 5 4.3BC EI M kNm ⎛ ⎞ = × − = −⎜ ⎟ ⎝ ⎠ 2 5 4.3 5 BCM kNm EI ×⎜ ⎟ ⎝ ⎠ 2 0.875 5 5.35 5 CB EI M kNm EI ⎛ ⎞ = + =⎜ ⎟ ⎝ ⎠ A B C4.3kNm2.05kNm 4.3kNm 5.35kNm Dept. of CE, GCE Kannur Dr.RajeshKN 25
  • 26.
    A B C43kNm2 05kNm 4 3kNm 5.35kNm A B C4.3kNm2.05kNm 4.3kNm A B C 2 05 2.6 5.175 4.3 2.05 5.35 Dept. of CE, GCE Kannur Dr.RajeshKN 26
  • 27.
    Procedure to solveproblems • The slope-deflection equations are written for each member. l b d• Joint equilibrium conditions are written. • Solving the joint equilibrium conditions, unknown displacementsg j are found out. • Substituting these unknown displacements back in the slope-g p p deflection equations, we get the unknown end moments. Dept. of CE, GCE Kannur Dr.RajeshKN 27
  • 28.
    Example 2 40kN 80kN60kN 20kN m AB C D 3m 3m 3m 3m 3m 3m Dept. of CE, GCE Kannur Dr.RajeshKN
  • 29.
    Fixed end moments 22 20 6 40 6 90 12 8 12 8 AB BA wl Pl FEM FEM kNm × × − = = + = + = 2 20 6 60 6 105 12 8 BC CBFEM FEM kNm × × − = = + = 12 8 80 6 60FEM FEM kNm × = = = K di l t 60 8 CD DCFEM FEM kNm− = = = Known displacements 0A B C Dδ δ δ δ= = = =A B C D Dept. of CE, GCE Kannur Dr.RajeshKN
  • 30.
    Slope deflection equations 23 2AB A B AB EI M FEM l l δ θ θ ⎛ ⎞ = + − +⎜ ⎟ ⎝ ⎠ ( ) 2 2 90 6 AB A B EI M θ θ⇒ = + − 2 3 2BA B A BA EI M FEM l l δ θ θ ⎛ ⎞ = + − +⎜ ⎟ ⎝ ⎠ ( ) 2 2 90 6 BA B A EI M θ θ⇒ = + + ( ) 2 2 105 6 BC B C EI M θ θ⇒ = + − 2 3 2BC B C BC EI M FEM l l δ θ θ ⎛ ⎞ = + − +⎜ ⎟ ⎝ ⎠ ( ) 6 2 3 2 EI M FEM δ θ θ ⎛ ⎞ ⎜ ⎟ BC B C BC l l ⎜ ⎟ ⎝ ⎠ ( ) 2 2 105 EI M θ θ 3 2CB C B CBM FEM l l δ θ θ ⎛ ⎞ = + − +⎜ ⎟ ⎝ ⎠ ( )2 105 6 CB C BM θ θ⇒ = + + 2EI2 3EI δ⎛ ⎞ ( ) 2 2 60 6 CD C D EI M θ θ⇒ = + − 2 3EI δ⎛ ⎞ 2 3 2CD C D CD EI M FEM l l δ θ θ ⎛ ⎞ = + − +⎜ ⎟ ⎝ ⎠ 2EI Dept. of CE, GCE Kannur Dr.RajeshKN 30 2 3 2DC D C DC EI M FEM l l δ θ θ ⎛ ⎞ = + − +⎜ ⎟ ⎝ ⎠ ( ) 2 2 60 6 DC D C EI M θ θ⇒ = + +
  • 31.
    Joint equilibrium conditions 0ABM= ( ) 2 2 90 0 6 A B EI θ θ⇒ + − = 6 0.667 0.333 90A BEI EIθ θ+ = ( )1 90 0.333 135 0.5 0.667 B A B EI EI EI θ θ θ − = = − ( ) 2 2 60 0 EI θ θ0DCM = ( )2 60 0 6 D Cθ θ⇒ + + = 0 667 0 333 60EI EIθ θ ( )2 0.667 0.333 60D CEI EIθ θ+ = − 60 0.333 90 0 5CEI EI EI θ θ θ − − = = Dept. of CE, GCE Kannur Dr.RajeshKN 31 ( )290 0.5 0.667 D CEI EIθ θ= = − −
  • 32.
    0BA BCM M+= 0BA BCM M+ ( ) ( ) 22 2 105 02 90 EIEI θ θθ θ ⎛ ⎞⎛ ⎞⇒ + + =+ +⎜ ⎟ ⎜ ⎟( ) ( )2 105 02 90 66 B CB A θ θθ θ⇒ + + − =+ +⎜ ⎟ ⎜ ⎟ ⎝ ⎠ ⎝ ⎠ 0 333 1 333 0 333 15EI EI EIθ θ θ+ +0.333 1.333 0.333 15A B CEI EI EIθ θ θ+ + = ( )0 333 1 333 0 333 15135 0 5 EI EIEI θ θθ + + =( )1 ( ) ( )0.333 1.333 0.333 15135 0.5 B CB EI EIEI θ θθ + + =−( )1 ( )31.166 0.333 30B CEI EIθ θ+ = − Dept. of CE, GCE Kannur Dr.RajeshKN 32
  • 33.
    0CB CDM M+= 0CB CDM M+ ( ) ( ) 22 2 60 02 105 EIEI θ θθ θ ⎛ ⎞⎛ ⎞ ⎜ ⎟ ⎜ ⎟( ) ( )2 60 02 105 66 C DC B θ θθ θ ⎛ ⎞⎛ ⎞⇒ + + − =+ +⎜ ⎟ ⎜ ⎟ ⎝ ⎠ ⎝ ⎠ 0.333 1.333 0.333 45B C DEI EI EIθ θ θ+ + = − ( )0 333 1 333 0 333 90 0 5 45EI EI EIθ θ θ+ + − − = −( )2 ( )40.333 1.167 15B CEI EIθ θ+ = − ( )0.333 1.333 0.333 90 0.5 45B C CEI EI EIθ θ θ+ + − − = −( )2 ( )4B C ( ) 0 333 0 388 0 111 103 EI EIθ θ ( )5( ) 0.333 0.388 0.111 103 B CEI EIθ θ× ⇒ + = − ( )5 ( ) 1.167 0.388 1.362 17.54 B CEI EIθ θ× ⇒ + = − ( )6 Dept. of CE, GCE Kannur Dr.RajeshKN C
  • 34.
    7 5 ( )( ) 1.251 7.56 5 CEIθ− ⇒ = − 7.5 6.0 1.251 CEIθ − ⇒ = = − 0.333 1.167 6.0 15 24B BEI EIθ θ+ ×− = − ⇒ = −( )4 ( )135 0.5 14724AEIθ = − =− 90 0.5 6.0 87DEIθ = − − ×− = −D 4 2 90EI EIθ θ ⎛ ⎞ ⎜ ⎟( ) 2 2 90 EI M θ θ 90 6 6 B AEI EIθ θ ⎛ ⎞ = + +⎜ ⎟ ⎝ ⎠ ( )2 90 6 BA B AM θ θ⇒ = + + ⎛ ⎞4 2 24 147 90 6 6 ⎛ ⎞ = ×− + × +⎜ ⎟ ⎝ ⎠ Dept. of CE, GCE Kannur Dr.RajeshKN 123=
  • 35.
    ( ) 2EI 42⎛ ⎞ ( ) 2 2 105 6 BC B C EI M θ θ⇒ = + − 4 2 105 123 6 6 B CEI EIθ θ ⎛ ⎞ = + − = −⎜ ⎟ ⎝ ⎠ ( ) 2 2 105 6 CB C B EI M θ θ⇒ = + + 4 2 105 93 6 6 C BEI EIθ θ ⎛ ⎞ = + + =⎜ ⎟ ⎝ ⎠ ( ) 2 2 60 6 CD C D EI M θ θ⇒ = + − 4 2 60 93 6 6 C DEI EIθ θ ⎛ ⎞ = + − = −⎜ ⎟ ⎝ ⎠ Dept. of CE, GCE Kannur Dr.RajeshKN
  • 36.
    Example 3 Dept. ofCE, GCE Kannur Dr.RajeshKN
  • 37.
    Fixed end moments 108 10 8 8 AB BA Pl FEM FEM kNm × − = = = = 2 2 5 8 26.667 12 12 BC CB CD DC wl FEM FEM FEM FEM kNm × − = = − = = = = 12 12 Known displacements 0A B C Dδ δ δ δ= = = = Dept. of CE, GCE Kannur Dr.RajeshKN 37
  • 38.
    Slope deflection equations 23 2AB A B AB EI M FEM l l δ θ θ ⎛ ⎞ = + − +⎜ ⎟ ⎝ ⎠ ( ) 4 2 10 8 AB A B EI M θ θ⇒ = + − 2 3 2BA B A BA EI M FEM l l δ θ θ ⎛ ⎞ = + − +⎜ ⎟ ⎝ ⎠ ( ) 4 2 10 8 BA B A EI M θ θ⇒ = + + ( ) 6 2 26 667 EI M θ θ⇒ = + − 2 3 2BC B C BC EI M FEM δ θ θ ⎛ ⎞ = + − +⎜ ⎟ ( )2 26.667 8 BC B CM θ θ⇒ = + − 2 3 2 EI M FEM δ θ θ ⎛ ⎞ = + +⎜ ⎟ 2BC B C BCM FEM l l θ θ+ +⎜ ⎟ ⎝ ⎠ ( ) 6 2 26 667 EI M θ θ2CB C B CBM FEM l l θ θ= + − +⎜ ⎟ ⎝ ⎠ ( )2 26.667 8 CB C BM θ θ⇒ = + + 6EI2 3EI δ⎛ ⎞ ( ) 6 2 26.667 8 CD C D EI M θ θ⇒ = + − 2 3EI δ⎛ ⎞ 2 3 2CD C D CD EI M FEM l l δ θ θ ⎛ ⎞ = + − +⎜ ⎟ ⎝ ⎠ Dept. of CE, GCE Kannur Dr.RajeshKN 38 2 3 2DC D C DC EI M FEM l l δ θ θ ⎛ ⎞ = + − +⎜ ⎟ ⎝ ⎠ ( ) 6 2 26.667 8 DC D C EI M θ θ⇒ = + +
  • 39.
    Joint equilibrium conditions 0ABM= ( ) 4 2 10 0 8 A B EI θ θ⇒ + − = 10 0.5A BEI EIθ θ⇒ = − 0DCM = 17.778 0.5D CEI EIθ θ⇒ = − −( ) 6 2 26.667 0 8 D C EI θ θ⇒ + + = 50 0M M+ − = ( ) ( ) 4 6 2 10 2 26.667 50B A B C EI EI θ θ θ θ ⎛ ⎞ ⎛ ⎞ ⇒ + + + + − =⎜ ⎟ ⎜ ⎟50 0BA BCM M+ = ( ) ( )2 10 2 26.667 50 8 8 B A B Cθ θ θ θ⇒ + + + +⎜ ⎟ ⎜ ⎟ ⎝ ⎠ ⎝ ⎠ 2 5 0 5 0 75 66 667EI EI EIθ θ θ⇒ + +2.5 0.5 0.75 66.667B A CEI EI EIθ θ θ⇒ + + = ( )2.5 0.5 0.75 66.66710 0.5B CBEI EIEIθ θθ⇒ + + =− ( )1 ( )2.5 0.5 0.75 66.66710 0.5B CBEI EIEIθ θθ⇒ + + 2.25 0.75 61.667B CEI EIθ θ⇒ + = Dept. of CE, GCE Kannur Dr.RajeshKN 2.25 0.75 61.667B CEI EIθ θ⇒ +
  • 40.
    0CB CDM M+= ( ) ( ) 6 6 2 26 667 2 26 667 0 EI EI θ θ θ θ⎛ ⎞ ⎛ ⎞ ⇒ + + + + − =⎜ ⎟ ⎜ ⎟0CB CDM M+ ( ) ( )2 26.667 2 26.667 0 8 8 C B C Dθ θ θ θ⇒ + + + + − =⎜ ⎟ ⎜ ⎟ ⎝ ⎠ ⎝ ⎠ 3 0 75 0 75 0EI EI EIθ θ θ⇒ + + =3 0.75 0.75 0C B DEI EI EIθ θ θ⇒ + + = ( )3 0.75 0.75 17.778 0.5 0C B CEI EIθ θ θ⇒ + + − − = 2.625 0.75 13.333C BEIθ θ⇒ + = ( )2 ( )12.25 0.75 61.667B CEI EIθ θ⇒ + = 28.421BEIθ = 3 041EIθ = − ( )10 0.5 10 0.5 28.421A BEI EIθ θ= − = − 3.041CEIθ = − 4.211AEIθ⇒ = − 17.778 0.5 17.778 0.5 3.041D CEI EIθ θ= − − = − − ×− Dept. of CE, GCE Kannur Dr.RajeshKN C 16.258DEIθ⇒ = −
  • 41.
    ( ) 4 2 100 5 10 EI M EI EIθ θ θ θ+ + + +( )2 10 0.5 10 8 BA B A B AM EI EIθ θ θ θ= + + = + + 28.421 0.5 4.211 10 36.32kNm= + ×− + = ( ) 6 2 26.667 1.5 0.75 26.667 8 BC B C B C EI M EI EIθ θ θ θ= + − = + − 8 1.5 28.421 0.75 3.041 26.667 13.68kNm= × + ×− − = ( ) 6 2 26.667 1.5 0.75 26.667 8 CB C B C B EI M EI EIθ θ θ θ= + + = + + ( ) 6 2 26 667 1 5 0 75 26 667 EI M EI EIθ θ θ θ 1.5 3.041 0.75 28.421 26.667 43.42kNm= ×− + × + = ( )2 26.667 1.5 0.75 26.667 8 CD C D C DM EI EIθ θ θ θ= + − = + − 1.5 3.041 0.75 16.258 26.667 43.42kNm= ×− + ×− − = − Dept. of CE, GCE Kannur Dr.RajeshKN 41
  • 42.
    Dept. of CE,GCE Kannur Dr.RajeshKN
  • 43.
    Example 4 90kN 20kN30kN m 90kN AB C D 2.5m 2.5m E2I I 2.4I 7.5m 5m 5m 3m 20 3 60DEM kNm= − × = − Dept. of CE, GCE Kannur Dr.RajeshKN
  • 44.
    Slope deflection equations 23 2AB A B AB EI M FEM l l δ θ θ ⎛ ⎞ = + − +⎜ ⎟ ⎝ ⎠ ( ) 4 150 7.5 AB B EI M θ⇒ = − 2 3 2BA B A BA EI M FEM l l δ θ θ ⎛ ⎞ = + − +⎜ ⎟ ⎝ ⎠ ( ) 4 2 150 7 5 BA B EI M θ⇒ = + l l⎝ ⎠ 7.5 ( ) 2 2 62.5BC B C EI M θ θ⇒ = + − 2 3 2BC B C BC EI M FEM δ θ θ ⎛ ⎞ = + − +⎜ ⎟ ( ) 5 BC B C 2 3 2 EI M FEM δ θ θ ⎛ ⎞ ⎜ ⎟ 2BC B C BCM FEM l l θ θ+ +⎜ ⎟ ⎝ ⎠ ( ) 2 2 62 5 EI M θ θ 3 2CB C B CBM FEM l l δ θ θ ⎛ ⎞ = + − +⎜ ⎟ ⎝ ⎠ ( )2 62.5 5 CB B CM θ θ⇒ = + + ( ) 4.8 2 EI M θ θ 2 3 2 EI M FEM δ θ θ ⎛ ⎞ ⎜ ⎟ 2 3EI δ θ θ⎛ ⎞ ( ) 4.8 2 EI M θ θ ( )2 5 CD C DM θ θ⇒ = + 2 3 2CD C D CD EI M FEM l l δ θ θ ⎛ ⎞ = + − +⎜ ⎟ ⎝ ⎠ Dept. of CE, GCE Kannur Dr.RajeshKN 44 2 3 2DC D C DC EI M FEM l l δ θ θ⎛ ⎞ = + − +⎜ ⎟ ⎝ ⎠ ( )2 5 DC D CM θ θ⇒ = +
  • 45.
    Fixed end moments 22 2 2 2 2 2 2 90 2.5 5 90 2.5 5 150 7.5 7.5 AB BA Pab Pa b FEM FEM kNm l l × × × × − = = + = + = 2 2 30 5 62.5BC CB wl FEM FEM kNm × − = = = = 12 12 BC CB 0FEM FEM= = Known displacements 0CD DCFEM FEM= = 0A B C Dδ δ δ δ= = = = Known displacements 0Aθ = Dept. of CE, GCE Kannur Dr.RajeshKN 45
  • 46.
    Joint equilibrium conditions 0BABCM M+ = ( ) ( ) 4 2 2 150 2 62.5 0 7.5 5 B B C EI EI θ θ θ ⎛ ⎞ ⎛ ⎞ ⇒ + + + − =⎜ ⎟ ⎜ ⎟ ⎝ ⎠ ⎝ ⎠ 1.867 0.4 87.5B CEI EIθ θ⇒ + = − ( )1 0CB CDM M+ = 2 4 8EI EI⎛ ⎞ ⎛ ⎞ ( ) ( ) 2 4.8 2 62.5 2 0 5 5 B C C D EI EI θ θ θ θ ⎛ ⎞ ⎛ ⎞ ⇒ + + + + =⎜ ⎟ ⎜ ⎟ ⎝ ⎠ ⎝ ⎠ 0.4 2.72 0.96 62.5B C DEI EI EIθ θ θ⇒ + + = − ( )2 Dept. of CE, GCE Kannur Dr.RajeshKN
  • 47.
    ( ) 4.8 2 600 EI θ θ⎛ ⎞ ⇒ + − =⎜ ⎟0M M+ = ( )2 60 0 5 D Cθ θ⇒ + − =⎜ ⎟ ⎝ ⎠ 0DC DEM M+ = 1 92 0 96 60EI EIθ θ⇒ + =1.92 0.96 60D CEI EIθ θ⇒ + = 31.25 0.5D CEI EIθ θ⇒ = − ( ) ( )0.4 2.72 0.96 31.25 0.5 62.52 B C CEI EI EIθ θ θ⇒ + + − = − ( )30.4 2.24 92.5B CEI EIθ θ⇒ + = − 39.532BEIθ = − 34.235CEIθ = − ( )31.25 0.5 31.25 0.5 48.36834.235D CEI EIθ θ= − = − =− Dept. of CE, GCE Kannur Dr.RajeshKN
  • 48.
    4 4EI ( )( ) 4 4 150 39.532 150 171.084 7.5 7.5 AB B EI M kNmθ∴ = − = − − = − ( ) ( ) 4 4 2 150 2 39.532 150 107.833 7.5 7.5 BA B EI M kNmθ= + = ×− + = ( ) ( ) 2 2 2 62.5 2 39.532 34.235 62.5 107.82 5 5 BC B C EI M kNmθ θ= + − = ×− − − = 5 5 ( ) ( ) 2 2 2 62 5 39 532 2 34 235 62 5 19 3 EI M kNmθ θ= + + = − + ×− + =( ) ( )2 62.5 39.532 2 34.235 62.5 19.3 5 5 CB B CM kNmθ θ= + + = − + ×− + = ( ) ( ) 4.8 4.8 2 2 34 235 48 368 19 3 EI M kNθ θ 4 8 4 8EI ( ) ( )2 2 34.235 48.368 19.3 5 5 CD C DM kNmθ θ= + = ×− + = − Dept. of CE, GCE Kannur Dr.RajeshKN ( ) ( ) 4.8 4.8 2 2 48.368 34.235 60 5 5 DC D C EI M kNmθ θ= + = × − =
  • 49.
    Example 5 Support Bsettles by 10 mm. 6 4 200 , 50 10E GPa I mm= = × kN6 6 4 4 2 2 200 10 50 10 10 kN EI m kNm m − = × × × = Dept. of CE, GCE Kannur Dr.RajeshKN
  • 50.
    Fixed end moments 20 8 ABBA Pl FEM FEM kNm− = = = 2 16 12 BC CB wl FEM FEM kNm− = = = 12 C C K di l t 0A Cδ δ= = Known displacements 10B mmδ = 0Cθ = Dept. of CE, GCE Kannur Dr.RajeshKN
  • 51.
    Slope deflection equations 23 2AB A B AB EI M FEM l l δ θ θ ⎛ ⎞ = + − +⎜ ⎟ ⎝ ⎠ 2 4 3 10 2 20 8 8 AB A B EI M θ θ − ⎛ ⎞× ⇒ = + − −⎜ ⎟ ⎝ ⎠ 2 3 2BA B A BA EI M FEM l l δ θ θ ⎛ ⎞ = + − +⎜ ⎟ ⎝ ⎠ 2 4 3 10 2 20 8 8 BA B A EI M θ θ − ⎛ ⎞× ⇒ = + − +⎜ ⎟ ⎝ ⎠l l⎝ ⎠ 8 8⎝ ⎠ 2 6 3 10 2 16 EI M θ − ⎛ ⎞× ⇒ = + −⎜ ⎟ 2 3 2BC B C BC EI M FEM δ θ θ ⎛ ⎞ = + − +⎜ ⎟ 2 16 8 8 BC BM θ⇒ = +⎜ ⎟ ⎝ ⎠ 2 3EI δ⎛ ⎞ 2BC B C BCM FEM l l θ θ+ +⎜ ⎟ ⎝ ⎠ 2 6 3 10EI − ⎛ ⎞×2 3 2CB C B CB EI M FEM l l δ θ θ ⎛ ⎞ = + − +⎜ ⎟ ⎝ ⎠ 6 3 10 16 8 8 CB B EI M θ ⎛ ⎞× ⇒ = + +⎜ ⎟ ⎝ ⎠ Dept. of CE, GCE Kannur Dr.RajeshKN 51
  • 52.
    Joint equilibrium conditions 0ABM= 2 4 3 10 2 20 0 8 8 A B EI θ θ − ⎛ ⎞× ⇒ + − − =⎜ ⎟ ⎝ ⎠⎝ ⎠ 2 6 10 0.5 20 0 32 A B EI EI EIθ θ − × ⇒ + − − = 32 2 3 4 20 6 10 0.5 3.875 10 10 32 A Bθ θ − −× ⇒ + = + = × ( )1 0BA BCM M+ = 2 2 4 3 10 6 3 10 2 20 2 16 0 8 8 8 8 B A B EI EI θ θ θ − − ⎛ ⎞ ⎛ ⎞⎛ ⎞ ⎛ ⎞× × ⇒ + − + + + − =⎜ ⎟ ⎜ ⎟⎜ ⎟ ⎜ ⎟ ⎝ ⎠ ⎝ ⎠⎝ ⎠ ⎝ ⎠ 420 16 9.375 100.5 1.5B A B EI EI θ θ θ −⎛ ⎞ ⎛ ⎞⇒ + = − ×+ + −⎜ ⎟ ⎜ ⎟ ⎝ ⎠ ⎝ ⎠ Dept. of CE, GCE Kannur Dr.RajeshKN B A B EI EI ⎜ ⎟ ⎜ ⎟ ⎝ ⎠ ⎝ ⎠
  • 53.
    20 16 4 44 20 16 2.5 0.5 9.375 10 10 10 B Aθ θ − ⇒ + + − = − × 4 44 4 2.5 0.5 9.375 10 4 10B Aθ θ − − ⇒ + = − × − × ( )24 2.5 0.5 13.375 10B Aθ θ − + = − × 3 0.5 3.875 10A Bθ θ − + = × ( )1 3 1.456 10Bθ − = − ×3 4.603 10Aθ − = × Dept. of CE, GCE Kannur Dr.RajeshKN
  • 54.
    2 4 3 10EI− ⎛ ⎞×4 3 10 2 20 8 8 BA B A EI M θ θ ⎛ ⎞× = + − +⎜ ⎟ ⎝ ⎠ 4 2 4 10 3 10⎛ ⎞ ( ) 4 2 3 34 10 3 10 2 1.456 10 4.603 10 20 8 8 − − −⎛ ⎞× × = − × + × − +⎜ ⎟ ⎝ ⎠ 9.705 kNm= 2 6 3 10 2 16 8 8 BC B EI M θ − ⎛ ⎞×− = − −⎜ ⎟ ⎝ ⎠ 4 2 36 10 3 10 2 1.456 10 16 8 8 − −⎛ ⎞× ×− = ×− × − −⎜ ⎟ ⎝ ⎠ 9.705 kNm= − 2 6 3 10 16 8 8 CB B EI M θ − ⎛ ⎞×− = − +⎜ ⎟ ⎝ ⎠ ⎝ ⎠ 8 8 ⎜ ⎟ ⎝ ⎠ 4 2 36 10 3 10 1 456 10 16 − −⎛ ⎞× ×− = − × − +⎜ ⎟ 33 21 kNm= Dept. of CE, GCE Kannur Dr.RajeshKN 54 1.456 10 16 8 8 = − × − +⎜ ⎟ ⎝ ⎠ 33.21 kNm=
  • 55.
    Slope Deflection forframes: No sideswayy Dept. of CE, GCE Kannur Dr.RajeshKN
  • 56.
    Example 6Example 6 B 10kN2kN m A B C 2 2I I 332m 3m I 3m3m D I D Dept. of CE, GCE Kannur Dr.RajeshKN
  • 57.
    Fixed end moments 22 2 2 10 2 3 7.2 5 AB Pab FEM kNm l − − × × = = = − 2 2 2 2 10 2 3 4.8 5 BA Pa b FEM kNm l × × = = = 2 2 2 3 1 5 wl FEM FEM kN × 2 2 5l 3 1.5 12 12 BC CB wl FEM FEM kNm− = = = = 0BD DBFEM FEM= = Known displacements 0A B C Dδ δ δ δ= = = = 0A Dθ θ= = Dept. of CE, GCE Kannur Dr.RajeshKN
  • 58.
    Slope deflection equations 23 2AB A B AB EI M FEM l l δ θ θ ⎛ ⎞ = + − +⎜ ⎟ ⎝ ⎠ ( ) 4 7.2 5 AB B EI M θ⇒ = − 2 3 2BA B A BA EI M FEM l l δ θ θ ⎛ ⎞ = + − +⎜ ⎟ ⎝ ⎠ ( ) 4 2 4.8 5 BA B EI M θ⇒ = + l l⎝ ⎠ 5 ( ) 2 2 1 5 EI M θ θ⇒ = + − 2 3 2BC B C BC EI M FEM δ θ θ ⎛ ⎞ = + − +⎜ ⎟ ( )2 1.5 3 BC B CM θ θ⇒ = + − 2 3EI δ⎛ ⎞ 2BC B C BCM FEM l l θ θ+ +⎜ ⎟ ⎝ ⎠ 2EI2 3 2CB C B CB EI M FEM l l δ θ θ ⎛ ⎞ = + − +⎜ ⎟ ⎝ ⎠ ( ) 2 2 1.5 3 CB C B EI M θ θ⇒ = + + ⎛ ⎞2 3 2BD B D BD EI M FEM l l δ θ θ ⎛ ⎞ = + − +⎜ ⎟ ⎝ ⎠ ( ) 2 2 3 BD B EI M θ⇒ = Dept. of CE, GCE Kannur Dr.RajeshKN 58 2 3 2DB D B DB EI M FEM l l δ θ θ ⎛ ⎞ = + − +⎜ ⎟ ⎝ ⎠ ( ) 2 3 DB B EI M θ⇒ =
  • 59.
    Joint equilibrium conditions 0CBM= ( ) 2 2 1.5 0 3 C B EI θ θ⇒ + + = 1.333 0.667 1.5C BEI EIθ θ⇒ + = − ( )1 0BA BC BDM M M+ + = ( ) ( ) ( ) 4 2 2 02 4.8 2 1.5 2 5 3 3 B B C B EI EI EI θ θ θ θ⎛ ⎞ ⎛ ⎞ ⎛ ⎞⇒ + + =+ + −⎜ ⎟ ⎜ ⎟ ⎜ ⎟ ⎝ ⎠ ⎝ ⎠ ⎝ ⎠5 3 3⎝ ⎠ ⎝ ⎠ ⎝ ⎠ 4.267 0.667 3.3B CEI EIθ θ⇒ + = − ( )2 0.6481BEIθ = − 0.801CEIθ = − Dept. of CE, GCE Kannur Dr.RajeshKN
  • 60.
    ( ) 4EI ( ) 4 () 4 7.2 5 AB B EI M θ= − ( ) 4 0.6481 7.2 7.718 5 kNm= − − = − ( ) 4 2 4.8 5 BA B EI M θ= + ( ) 4 2 0.6481 4.8 3.763 5 kNm= ×− + = ( ) 2 2 1.5 3 BC B C EI M θ θ= + − ( ) 2 2 0.6481 0.801 1.5 2.898 3 kNm= ×− − − = − ( ) 2 2 3 BD B EI M θ= ( ) 2 2 0.6481 0.864 3 kNm= ×− = −( ) 3 BD B 2EI ( ) 3 2 Dept. of CE, GCE Kannur Dr.RajeshKN 60 ( ) 2 3 DB B EI M θ= ( ) 2 0.6481 0.432 3 kNm= − = −
  • 61.
    Slope Deflection forframes: S dSidesway Dept. of CE, GCE Kannur Dr.RajeshKN
  • 62.
    P BAM CDMP B C BACD 2l DH D1l DCM AH A ABMAB AB BA A M M H + = CD DCM M H + = 0H H P Dept. of CE, GCE Kannur Dr.RajeshKN 1 AH l 2 DH l = 0A DH H P+ + =
  • 63.
    M CDM B CBAM CDM a P l 2l DHD 1l DCM AH A ABMAB CD DCM M H + = 0H H P AB BA A M M Pa H + − = Dept. of CE, GCE Kannur Dr.RajeshKN 63 2 DH l = 0A DH H P+ + = 1 AH l
  • 64.
    CCDM B C BAM CDM l 2l w DH D 1l D DCM AH A ABM 2 2 2CD DC D MM wl H + + = 2 0A DH H wl+ − =AB BA A M M H l + = ABM Dept. of CE, GCE Kannur Dr.RajeshKN 64 2 D l1 A l
  • 65.
    Example 7 Dept. ofCE, GCE Kannur Dr.RajeshKN
  • 66.
    Fixed end moments 22 16 1 4 10.24BC Pab FEM kNm − − × × = = = − Fixed end moments 2 2 10.24 5 BCFEM kNm l 2 2 16 1 4 2 56 Pa b FEM kN × × 2 2 16 1 4 2.56 5 CB Pa b FEM kNm l = = = Known displacements 0A Dθ θ= = δ=Let horizontal movement (sidesway) Dept. of CE, GCE Kannur Dr.RajeshKN 66
  • 67.
    Slope deflection equations 23 2AB A B AB EI M FEM l l δ θ θ ⎛ ⎞ = + − +⎜ ⎟ ⎝ ⎠ 2 3 5 5 B EI δ θ ⎛ ⎞ = −⎜ ⎟ ⎝ ⎠ 2 3 2BA B A BA EI M FEM l l δ θ θ ⎛ ⎞ = + − +⎜ ⎟ ⎝ ⎠ 2 3 2 5 5 B EI δ θ ⎛ ⎞ = −⎜ ⎟ ⎝ ⎠ 2 3 2BC B C BC EI M FEM l l δ θ θ ⎛ ⎞ = + − +⎜ ⎟ ⎝ ⎠ ( ) 2 2 10.24B C EI θ θ= + − 2 3 2 EI M FEM δ θ θ ⎛ ⎞ ⎜ ⎟ BC B C BC l l ⎜ ⎟ ⎝ ⎠ ( ) 2EI ( ) 5 B C 3 2CB C B CBM FEM l l δ θ θ ⎛ ⎞ = + − +⎜ ⎟ ⎝ ⎠ 2 3EI δ⎛ ⎞ ( ) 2 2 2.56 5 C B EI θ θ= + + 2 3EI δ⎛ ⎞ 2 3EI δ⎛ ⎞ 2 3 2CD C D CD EI M FEM l l δ θ θ ⎛ ⎞ = + − +⎜ ⎟ ⎝ ⎠ 2 3EI δ⎛ ⎞ 2 3 2 5 5 C EI δ θ ⎛ ⎞ = −⎜ ⎟ ⎝ ⎠ Dept. of CE, GCE Kannur Dr.RajeshKN 67 2 3 2DC D C DC EI M FEM l l δ θ θ ⎛ ⎞ = + − +⎜ ⎟ ⎝ ⎠ 2 3 5 5 C EI δ θ ⎛ ⎞ = −⎜ ⎟ ⎝ ⎠
  • 68.
    Joint equilibrium conditions 0BABCM M+ = ( ) 2 3 2 2 02 10.24B B C EI EIδ θ θ θ ⎡ ⎤⎛ ⎞ ⎡ ⎤⇒ − + =+ −⎜ ⎟⎢ ⎥ ⎢ ⎥⎣ ⎦⎝ ⎠⎣ ⎦ BA BC ( )5 5 5 B B C⎜ ⎟⎢ ⎥ ⎢ ⎥⎣ ⎦⎝ ⎠⎣ ⎦ ( )1( )1.6 0.4 0.24 10.24B CEI θ θ δ+ − = ( ) 0M M+ ( ) 2 32 2 02 2 56 EIEI δ θθ θ ⎡ ⎤⎛ ⎞⎡ ⎤⇒ ++ + ⎜ ⎟⎢ ⎥⎢ ⎥ ( )1.6 0.4 0.24 10.24B CEI θ θ δ+ 0CB CDM M+ = ( ) 2 02 2.56 5 55 CC B θθ θ ⎡ ⎤⇒ + − =+ + ⎜ ⎟⎢ ⎥⎢ ⎥⎣ ⎦ ⎝ ⎠⎣ ⎦ ( )2( )1.6 0.4 0.24 2.56C BEI θ θ δ+ − = − Dept. of CE, GCE Kannur Dr.RajeshKN
  • 69.
    0H H+ =0AB BA CD DCM M M M+ + ⇒ + 5l l0A DH H+ = 1 2 0AB BA CD DC l l ⇒ + = 1 2 5l l= = 2 3 2 3 2 3 2 3 2 2 0 5 5 5 5 5 5 5 5 B B C C EI EI EI EIδ δ δ δ θ θ θ θ⎛ ⎞ ⎛ ⎞ ⎛ ⎞ ⎛ ⎞ ⇒ − + − + − + − =⎜ ⎟ ⎜ ⎟ ⎜ ⎟ ⎜ ⎟ ⎝ ⎠ ⎝ ⎠ ⎝ ⎠ ⎝ ⎠ 3 3 3 3 2 2 0 5 5 5 5 B B C C δ δ δ δ θ θ θ θ⎛ ⎞ ⎛ ⎞ ⎛ ⎞ ⎛ ⎞ ⇒ − + − + − + − =⎜ ⎟ ⎜ ⎟ ⎜ ⎟ ⎜ ⎟ ⎝ ⎠ ⎝ ⎠ ⎝ ⎠ ⎝ ⎠ 0.8 0B Cθ θ δ⇒ + − = ( )3 845 BEIθ = 272 CEIθ − = 48 7 EIδ = 105 BEIθ 105 CEIθ 7 Dept. of CE, GCE Kannur Dr.RajeshKN 69
  • 70.
    2 3EI M δ θ ⎛ ⎞ =⎜ ⎟ 2 845 3 48 1 5733 kNm ⎛ ⎞ = − =⎜ ⎟ 5 5 AB BM θ= −⎜ ⎟ ⎝ ⎠ 2 3EI δ⎛ ⎞ 1.5733 5 105 5 7 kNm= − =⎜ ⎟ ⎝ ⎠ 2 845 3 48⎛ ⎞2 3 2 5 5 BA B EI M δ θ ⎛ ⎞ = −⎜ ⎟ ⎝ ⎠ 2 845 3 48 2 4.838 5 105 5 7 kNm ⎛ ⎞ = × − =⎜ ⎟ ⎝ ⎠ ( ) 2 2 10.24 5 BC B C EI M θ θ= + − 2 845 272 2 10.24 4.838 5 105 105 kNm ⎛ ⎞ = × − − = −⎜ ⎟ ⎝ ⎠ ( ) 2 2 2.56 5 CB C B EI M θ θ= + + 2 272 845 2 2.56 3.707 5 105 105 kNm −⎛ ⎞ = × + + =⎜ ⎟ ⎝ ⎠ ( ) 5 2 3 2 5 5 CD C EI M δ θ ⎛ ⎞ = −⎜ ⎟ ⎝ ⎠ 5 105 105⎝ ⎠ 2 272 3 48 2 3.707 5 105 5 7 kNm −⎛ ⎞ = × − × = −⎜ ⎟ ⎝ ⎠ 2 3EI M δ θ ⎛ ⎞ = −⎜ ⎟ 5 5 CD C⎜ ⎟ ⎝ ⎠ 5 105 5 7 ⎜ ⎟ ⎝ ⎠ 2 272 3 48 2.682 kNm −⎛ ⎞ = − × = −⎜ ⎟ Dept. of CE, GCE Kannur Dr.RajeshKN 5 5 DC CM θ= ⎜ ⎟ ⎝ ⎠ 2.682 5 105 5 7 kNm×⎜ ⎟ ⎝ ⎠
  • 71.
    Example 8 10 kNB C p 4m 4m 4m EI A D 4m 4m EI EI • No fixed end moments • Known displacements: 0θ =• Known displacements: 0Aθ = δ=• Let horizontal movement (sidesway) Dept. of CE, GCE Kannur Dr.RajeshKN 0DCM =
  • 72.
    Slope deflection equations 23 2AB A B AB EI M FEM l l δ θ θ ⎛ ⎞ = + − +⎜ ⎟ ⎝ ⎠ 2 3 4 4 AB B EI M δ θ ⎛ ⎞ ⇒ = −⎜ ⎟ ⎝ ⎠ 2 3 2BA B A BA EI M FEM l l δ θ θ ⎛ ⎞ = + − +⎜ ⎟ ⎝ ⎠ 2 3 2 4 4 BA B EI M δ θ ⎛ ⎞ ⇒ = −⎜ ⎟ ⎝ ⎠ ( ) 2 2 4 BC B C EI M θ θ⇒ = + 2 3 2BC B C BC EI M FEM l l δ θ θ ⎛ ⎞ = + − +⎜ ⎟ ⎝ ⎠ ( ) 4 2 3 2 EI M FEM δ θ θ ⎛ ⎞ ⎜ ⎟ BC B C BC l l ⎜ ⎟ ⎝ ⎠ ( ) 2 2 EI M θ θ 3 2CB C B CBM FEM l l δ θ θ ⎛ ⎞ = + − +⎜ ⎟ ⎝ ⎠ ( )2 4 CB C BM θ θ⇒ = + 2 3EI δ⎛ ⎞2 3EI δ⎛ ⎞ 2 3 2 4 4 CD C D EI M δ θ θ ⎛ ⎞ ⇒ = + −⎜ ⎟ ⎝ ⎠ 2 3EI δ⎛ ⎞ 2 3 2CD C D CD EI M FEM l l δ θ θ ⎛ ⎞ = + − +⎜ ⎟ ⎝ ⎠ 2 3EI δ⎛ ⎞ Dept. of CE, GCE Kannur Dr.RajeshKN 72 2 3 2DC D C DC EI M FEM l l δ θ θ ⎛ ⎞ = + − +⎜ ⎟ ⎝ ⎠ 2 3 2 4 4 DC D C EI M δ θ θ ⎛ ⎞ ⇒ = + −⎜ ⎟ ⎝ ⎠
  • 73.
    Joint equilibrium conditions 0DCM= 2 3 2 0 4 4 D C EI δ θ θ ⎛ ⎞ ⇒ + − =⎜ ⎟ ⎝ ⎠ 3 2 4 D C δ θ θ⇒ + = 4 4⎝ ⎠ ( )1 4 3 8 2 C D δ θ θ⇒ = − 0BA BCM M+ = ( ) 2 3 2 2 02 4 4 4 B B C EI EIδ θ θ θ ⎡ ⎤⎛ ⎞ ⎡ ⎤⇒ − + =+⎜ ⎟⎢ ⎥ ⎢ ⎥⎣ ⎦⎝ ⎠⎣ ⎦4 4 4⎣ ⎦⎝ ⎠⎣ ⎦ ( )2 3 4 4 B C δ θ θ⇒ + = 3 16 4 C B δ θ θ⇒ = − 0CB CDM M+ = ( ) 2 32 2 02 4 4 C DC B EIEI δ θ θθ θ ⎡ ⎤⎛ ⎞⎡ ⎤⇒ + + − =+ ⎜ ⎟⎢ ⎥⎢ ⎥⎣ ⎦ ⎝ ⎠⎣ ⎦ 4 16 4 CB CD ( ) 4 44 C DC B ⎜ ⎟⎢ ⎥⎢ ⎥⎣ ⎦ ⎝ ⎠⎣ ⎦ 3 3 3 4 C Cδ θ δ θ δ θ ⎡ ⎤ ⇒ + + =⎢ ⎥ 3 25 0 1875 0θ δ = Dept. of CE, GCE Kannur Dr.RajeshKN ( )3 4 16 4 8 2 4 Cθ⇒ + − + − =⎢ ⎥⎣ ⎦ 3.25 0.1875 0Cθ δ− =
  • 74.
    0H H P0AB BA CD DCM M M M P + + ⇒ + +0A DH H P+ + = 1 2 0AB BA CD DC P l l ⇒ + + = M M M 10 0 4 4 AB BA CDM M M+ ⇒ + + = 40AB BA CDM M M⇒ + + = − 2 3 2 3 2 3 2 2 40 4 4 4 4 4 4 B B C D EI EI EIδ δ δ θ θ θ θ ⎡ ⎤ ⎡ ⎤ ⎡ ⎤⎛ ⎞ ⎛ ⎞ ⎛ ⎞ ⇒ − + − + + − = −⎜ ⎟ ⎜ ⎟ ⎜ ⎟⎢ ⎥ ⎢ ⎥ ⎢ ⎥ ⎝ ⎠ ⎝ ⎠ ⎝ ⎠⎣ ⎦ ⎣ ⎦ ⎣ ⎦⎝ ⎠ ⎝ ⎠ ⎝ ⎠⎣ ⎦ ⎣ ⎦ ⎣ ⎦ 80 9 3 2 4 B C D EI δ θ θ θ − ⇒ + + = + 4EI 3 3 80 9 3 2 16 4 8 2 4 C C C EI δ θ δ θ δ θ −⎡ ⎤ ⎡ ⎤ ⇒ − + + − = +⎢ ⎥ ⎢ ⎥⎣ ⎦ ⎣ ⎦ ( )4 16 4 8 2 4 C EI⎢ ⎥ ⎢ ⎥⎣ ⎦ ⎣ ⎦ 80 0.75 1.3125Cθ δ − − = Dept. of CE, GCE Kannur Dr.RajeshKN 74 ( )40.75 1.3125C EI θ δ
  • 75.
    ( )3.25 0.18750CEI θ δ− =( )3 ( )C ( )0.75 1.3125 80CEI θ δ− = − 3.636 63.03 CEI EI θ δ = = ( ) ( )4 3 C DEI EI δ θ θ ⎛ ⎞ = −⎜ ⎟ ⎝ ⎠ 3 63.03 3.636 21 818EIθ × = − = 8 2 DEI EIθ ⎜ ⎟ ⎝ ⎠ 3 C EI EI δ θ θ ⎛ ⎞ = ⎜ ⎟ 21.818 8 2 DEIθ = − = 3 63.03 3.636 10 909EIθ × 16 4 BEI EIθ = −⎜ ⎟ ⎝ ⎠ 10.909 16 4 BEIθ = − = ( ) 2 3 0.5 10.909 0.75 63.03 18.182 4 4 AB B EI M kNm δ θ ⎛ ⎞ = − = − × = −⎜ ⎟ ⎝ ⎠ ( ) 2 3 2 0.5 2 10.909 0.75 63.03 12.727BA B EI M kNm δ θ ⎛ ⎞ = − = × − × = −⎜ ⎟ Dept. of CE, GCE Kannur Dr.RajeshKN 75 ( )2 0.5 2 10.909 0.75 63.03 12.727 4 4 BA BM kNmθ × ×⎜ ⎟ ⎝ ⎠
  • 76.
    ( ) () 2EI ( ) ( ) 2 2 0.5 2 10.909 3.636 12.727 4 BC B C EI M kNmθ θ= + = × + = ( ) ( ) 2 2 0.5 2 3.636 10.909 9.091 4 CB C B EI M kNmθ θ= + = × + = ( ) 2 3 2 0.5 2 3.636 21.818 0.75 63.03 9.091CD C D EI M kNm δ θ θ ⎛ ⎞ = + − = × + − × = −⎜ ⎟ ( )2 0.5 2 3.636 21.818 0.75 63.03 9.091 4 4 CD C DM kNmθ θ+ × + ×⎜ ⎟ ⎝ ⎠ Dept. of CE, GCE Kannur Dr.RajeshKN 76
  • 77.
    M t dit ib ti th dMoment distribution method Dept. of CE, GCE Kannur Dr.RajeshKN
  • 78.
    Stiffness, Carry-over factorand Distribution factor Beam hinged at both ends A B M ABθ BAθ (Applied moment) M ( ) 2 2 EI M θ θ ( ) 2 2 0BA BA AB EI M L θ θ= + = ) ( )2AB AB BAM L θ θ= + ( ) L 1 θ θ⇒ = − 2 BA ABθ θ⇒ = − 2 1 3 2 EI EI M θ θ θ ⎛ ⎞ ⎜ ⎟ Dept. of CE, GCE Kannur Dr.RajeshKN 78 2 2 AB AB AB ABM L L θ θ θ ⎛ ⎞ ∴ = − =⎜ ⎟ ⎝ ⎠
  • 79.
    3M EI3AB AB M EI Lθ = 3EI i.e.,the moment required at A to induce a unit rotation at A is (when the far end B is free to rotate) 3EI L This moment, i.e., moment required to induce a unit rotation, is called stiffness (denoted by k).is called stiffness (denoted by k). Dept. of CE, GCE Kannur Dr.RajeshKN
  • 80.
    Beam hinged atnear end and fixed at far end A B ABθ 0BAθ = A B M (Applied 2EI moment) 4M EI ( ) 2 2 0AB AB EI M L θ= + 4AB AB M EI Lθ ⇒ = i.e., the moment required at A to induce a unit rotation at A is (when the far end B is fixed against rotation) 4EI L (when the far end B is fixed against rotation) Dept. of CE, GCE Kannur Dr.RajeshKN 80
  • 81.
    ( ) 2EI 2AB ABEI M M M L ⎛ ⎞ ⎜ ⎟( ) 2 0BA AB EI M L θ= + 2 4 2 AB AB BA EI M M M L L EI ⎛ ⎞ = =⎜ ⎟ ⎝ ⎠ A moment applied at the near end induces at a fixed far end a moment equal to half its magnitude, in the same direction. Half of moment applied at the near end is carried over to the fixed far end. Carry over factor is 1/2. Dept. of CE, GCE Kannur Dr.RajeshKN
  • 82.
    Several members meetingat a joint 1 13E I M kθ θ= =1 1 1 M k L θ θ= = 2 24E I2 2 2 2 2 4E I M k L θ θ= = 3 3 3 3 3 3E I M k L θ θ= = 4 4 4 4 4E I M k L θ θ= = 4L 1 2 3 4 1 2 3 4: : : :: : : :M M M M k k k k Dept. of CE, GCE Kannur Dr.RajeshKN 1 2 3 4 1 2 3 4: : : :: : : :k k k k
  • 83.
    1 1 1 2 34 k M M k k k k = + + + 1k M k = ∑ i i k M M k = ∑ A moment applied at a joint, where several members meet, will be distributed amongst the members in proportion to their stiffnessdistributed amongst the members in proportion to their stiffness. i i k M M k = ∑ distribution factordistribution factor Dept. of CE, GCE Kannur Dr.RajeshKN
  • 84.
    Illustration of themethod B3 5kN 8kN 2 5 Example 1 A B C 3m 2.5m 5m 5m Problem structure A B CB Problem structure A B C 5kNm 5kNm2.4kNm 3.6kNm 5kNm 5kNm Dept. of CE, GCE Kannur Dr.RajeshKN Fixed end moments (reactive)
  • 85.
    A B C1.4kNm Unbalanced moment A B C0.7kNm0.7kNm Unbalancedmoment distributed amongst members B 0 35kNm A B C 0.35kNm0.35kNm Distributed moments carried over to far Dept. of CE, GCE Kannur Dr.RajeshKN ends of members
  • 86.
    A B C 05 0 5 di t ib ti f t0.5 0.5 -2.4 +3.6 -5.0 +5.0 Fixed End Moments 0 0 distribution factors +0.7 +0.7 +0 35 +0 35 Distribution Carry over+0.35 +0.35 Carry over Distribution -2.05 +4.3 -4.3 +5.35 Final Moments Dept. of CE, GCE Kannur Dr.RajeshKN
  • 87.
    5 35kN A BC4.3kNm2.05kNm 4.3kNm 5.35kNm A B CA C 2.05 5 35 4.3 5.35 Dept. of CE, GCE Kannur Dr.RajeshKN
  • 88.
    Example 2 40kN 80kN60kN 20kN m AB C D 3m 3m 3m 3m 3m 3m Fi d d t 2 wl Pl Fixed end moments 2 20 6 40 6× × 12 8 AB BA wl Pl FEM FEM− = = + 2 wl Pl 20 6 40 6 60 30 90 12 8 kNm × × = + = + = 2 20 6 60 6× × 80 6Pl × 12 8 BC CB wl Pl FEM FEM− = = + 20 6 60 6 60 45 105 12 8 kNm × × = + = + = Dept. of CE, GCE Kannur Dr.RajeshKN 80 6 60 8 8 CD DC Pl FEM FEM kNm × − = = = =
  • 89.
    A B CD 0 5 0 5 0 5 0 51 1 Di t ib ti f t0.5 0.5 -90 +90 -105 +105 -60 +60 Fixed End Moments 0.5 0.51 1 Distribution factors +90 +7.5 +7.5 -22.5 -22.5 -60 +3.5 +45 -11.25 +3.5 -30 -11.25 Distribution Carry over -3.5 -16.875 -16.875 +13.25 +13.25 +11.25 8 434 1 75 +6 625 8 434 +5 625 +6 625 Distribution Carry over-8.434 -1.75 +6.625 -8.434 +5.625 +6.625 +8.434 -2.438 -2.438 +1.405 +1.405 -6.625 Carry over Distribution 0 +121.48 -121.44 +92.221 - 92.22 0 Final Moments Dept. of CE, GCE Kannur Dr.RajeshKN
  • 90.
    A B CD -90 +90 -105 +105 -60 +60 Fixed End Moments 0.571 0.429 Distribution factors0.429 0.571 90 +90 105 +105 60 +60 +90 +45 -30 -60 Release A& D, and carry over 0 +135 -105 +105 -90 0 -12.87 -17.13 -8.565 -6.435 Initial moments Distribution -4.283 -8.565 +1 837 +2 445 4 89 3 674 Carry over Di t ib ti+1.837 +2.445 4.89 3.674 +2.445 1.223 Distribution Carry over -1.049 -1.396 -0.698 -0.524 0 +122.92 -122.92 +93.29 - 93.29 0 Final Moments Distribution Dept. of CE, GCE Kannur Dr.RajeshKN
  • 91.
    Example 3 Dept. ofCE, GCE Kannur Dr.RajeshKN 91
  • 92.
    A B CDA B C D Distrib. factors 1 0.2727 0.7273 0.6667 0.3333 0 Fixed-end moments -14.700 +6.300 -8.333 +8.333 -12.500 +12.500 Release A andRelease A and Carry over +14.700 +7.350 Initial moments 0.00 13.65 -8.333 +8.333 -12.500 +12.500 moments Dist 1 -1.450 -3.867 +2.779 +1.388 CO 1 1.39 -1.934 +0.694 Dist 2 -0.379 -1.011 1.29 0.644 CO 2 0.645 -0.506 0.322 Dist 3 -0.176 -0.469 0.338 0.168 Final moments 0 +11.645 -11.645 +10.3 -10.3 +13.516 Dept. of CE, GCE Kannur Dr.RajeshKN 92
  • 93.
    Dept. of CE,GCE Kannur Dr.RajeshKN 93
  • 94.
    Example 3 2 2 58l2 2 5 8 26.667 12 12 wl kNm × = = 10 8 10 8 8 Pl kNm × = = Dept. of CE, GCE Kannur Dr.RajeshKN
  • 95.
    Distribution factors ( ) () ( ) 1 3 2 8 3 42 8 3 8 BA EIK DF K K EI EI = = + + 0.333= ( ) ( )1 2 3 42 8 3 8K K EI EI+ + ( )2 4 3 8 0 667 EIK DF = = = ( ) ( ) ( )1 2 0.667 3 42 8 3 8 BCDF K K EI EI = = = + + ( ) ( ) ( ) 4 3 8 3 43 8 3 8 CB EI DF EI EI = + 0.571= 0.429= ( ) ( ) ( ) 3 3 8 3 43 8 3 8 CD EI DF EI EI = +( ) ( ) Dept. of CE, GCE Kannur Dr.RajeshKN
  • 96.
    A B CD 0.333 0.667 0.571 0.4291 1 Distribution factors Joint couple dist.16.65 33.35 Fixed End Moments Carry over16.675 -10 +10 -26.667 +26.667 -26.667 +26.667 Release A& D, and carry over Initial moments +10 +5.0 -13.333 -26.667 0.0 +15.0 -26.667 +43.342 -40.0 0.0 Carry over Distribution3.885 7.782 -1.905 -1.437 -0.953 +3.891 Carry over Distribution0.317 0.636 -2.218 -1.673 -1.109 0.318 Distribution Final Moments 0.369 0.74 -0.181 -0.137 0 +36.22 13.78 +43.28 -43.25 0 Dept. of CE, GCE Kannur Dr.RajeshKN
  • 97.
    Dept. of CE,GCE Kannur Dr.RajeshKN
  • 98.
    90kN 20kN30kN m 90kN Example 4 AB C D 2.5m 2.5m E2I I 2.4I 7.5m 5m 5m 3m 2 2 30 5 62.5 12 12 wl kNm × = = 2 2 2 2 90 2.5 5 100 7.5 Pab kNm l × × = = 2 2 2 2 90 2.5 5 50 7.5 Pa b kNm l × × = = 20 3 60kNm× = ( ) ( ) ( ) 4 2 7.5 4 42 7 5 5 BA EI DF EI EI = + ( ) ( ) ( ) 4 5 4 42 7.5 5 BC EI DF EI EI = +0.571= 0.429= 7.5l ( ) ( )4 42 7.5 5EI EI+ ( ) ( ) ( )4 5EI DF 0 357 ( )3 2.4 5EI Dept. of CE, GCE Kannur Dr.RajeshKN ( ) ( ) ( )4 35 2.4 5 CBDF EI EI = + 0.643=0.357= ( ) ( ) ( ) 3 2.4 5 4 35 2.4 5 CD EI DF EI EI = +
  • 99.
    A B CD 0.571 0.429 -150.0 150.0 -62.5 62.5 0.0 0.0 -60.0 FEM 0.357 0.6430 DFs1 0 30.0 60.0 -150.0 150.0 -62.5 62.5 30.0 60.0 -60.0 Balance D, and carry over Initial moments -49.96 -37.54 -33.02 -59.48 -24.98 -16.51 -18.77 CO Dist 9.43 7.08 6.7 12.07 4.72 3.35 3.54 CO Dist -1.91 -1.44 -1.26 -2.28 -0.96 -0.63 -0.72 Dist CO 0.36 0.27 0.26 0.46 -171.2 107.92 -107.92 +19.23 -19.23 60.0 -60.0 Final Moments Dist Dept. of CE, GCE Kannur Dr.RajeshKN
  • 100.
    Example 5 Support Bsettles by 10 mm. 6 4 200 , 50 10E GPa I mm= = × ( )3 2 8EI DF ( )4 3 8EI DF0 333 0 667 ( ) ( ) ( )3 42 8 3 8 BADF EI EI = + ( ) ( ) ( )3 42 8 3 8 BCDF EI EI = + 0.333= 0.667= Dept. of CE, GCE Kannur Dr.RajeshKN
  • 101.
    2 2 3 8l208Pl × 2 2 3 8 16 12 12 wl kNm × = = 20 8 20 8 8 Pl kNm × = = 2 6 8 AB Pl EI FEM L δ− = − 8 L 6 6 12 3 2 6 2 200 10 50 10 10 10 10 20 − − × × × × × × × × = − − 2 20 8 20 18.75 38.75 kNm= − − = − 2 6 8 BA Pl EI FEM L δ = − 8 L 6 6 12 3 2 6 2 200 10 50 10 10 10 10 20 8 − − × × × × × × × × = − Dept. of CE, GCE Kannur Dr.RajeshKN 2 8 20 18.75 1.25 kNm= − =
  • 102.
    22 2 6 12 BC wl EI FEM L δ− = + 66 12 3 2 6 3 200 10 50 10 10 10 10 16 8 − − × × × × × × × × = − + 8 16 28.125 12.125 kNm= − + = 2 2 6 12 CB wl EI FEM L δ = + 2 12 CB L 6 6 12 3 6 3 200 10 50 10 10 10 10 16 − − × × × × × × × × = + 2 16 8 = + 16 28 125 44 125 kNm= + = Dept. of CE, GCE Kannur Dr.RajeshKN 16 28.125 44.125 kNm= + =
  • 103.
    A B C 0333 0 6670.333 0.667 -38.75 +1.25 12.125 44.125 Fixed End Moments 1 0 Release A and 38.75 19.375 0 0 20 625 12 125 44 125 Release A, and carry over Initial Moments0.0 20.625 12.125 44.125 -10.906 -21.844 0 Distribution -10.922 Carry over Distribution 0.0 + 9.719 -9.719 +33.203 Final Moments Dept. of CE, GCE Kannur Dr.RajeshKN
  • 104.
    Example 6 Support Bsettles by 10 mm. 6 4 200 , 50 10E GPa I mm= = × Dept. of CE, GCE Kannur Dr.RajeshKN
  • 105.
    ( )3 28EI DF = ( )4 3 8EI DF =0 333= 0 667= ( ) ( )3 42 8 3 8 BADF EI EI = + ( ) ( )3 42 8 3 8 BCDF EI EI = + 0.333 0.667= 2 2 3 8 16 wl kN ×20 8 20 Pl kN × 16 12 12 kNm= =20 8 8 kNm= = 6Pl EIδ 2 6 8 AB Pl EI FEM L δ = − − 6 6 12 3 6 2 200 10 50 10 10 10 106 6 12 3 2 6 2 200 10 50 10 10 10 10 20 8 − − × × × × × × × × = − − 20 18 75 38 75 kN20 18.75 38.75 kNm= − − = − 6Pl EI FEM δ = − 2 8 BAFEM L 6 6 12 3 6 2 200 10 50 10 10 10 10 20 − − × × × × × × × × = Dept. of CE, GCE Kannur Dr.RajeshKN 2 20 8 = − 20 18.75 1.25 kNm= − =
  • 106.
    2 2 6 12 BC wl EI FEM L δ− = +2 12 L 6 6 12 3 2 6 3 200 10 50 10 10 10 10 16 − − × × × × × × × × = − + 2 8 16 28.125 12.125 kNm= − + = 2 2 6 12 CB wl EI FEM L δ = + 2 12 CB L 6 6 12 3 6 3 200 10 50 10 10 10 10 16 − − × × × × × × × × = + 2 16 8 = + 16 28 125 44 125 kNm= + = Dept. of CE, GCE Kannur Dr.RajeshKN 16 28.125 44.125 kNm= + =
  • 107.
    A B C 0.3330.667 12 -5.0 -10 1 0 Joint couple dist. 6 -5 -38 75 +1 25 12 125 44 125 Fixed End Moments Carry over -38.75 +1.25 12.125 44.125 38.75 19.375 Fixed End Moments Release A, and carry over -0.0 26.625 12.125 39.125 -12.904 -25.834 0 Initial Moments Distribution -12.917 Carry over Di t ib ti 12.0 + 8.721 -23.709 +26.208 Distribution Final Moments Dept. of CE, GCE Kannur Dr.RajeshKN
  • 108.
    Dept. of CE,GCE Kannur Dr.RajeshKN
  • 109.
    Moment Distribution forframes: No sideswayy Dept. of CE, GCE Kannur Dr.RajeshKN
  • 110.
    Example 7Example 7 B 10kN2kN m A B C 2 2I I 332m 3m I 3m3m D I D Dept. of CE, GCE Kannur Dr.RajeshKN
  • 111.
    Fixed end moments 22 2 2 10 2 3 7.2AB Pab FEM kNm − − × × = = = −2 2 7. 5 AB kNm l 2 2 10 2 3 4 8 Pa b FEM kN × × 2 2 4.8 5 BAFEM kNm l = = = 2 2 2 3 1.5 12 12 BC CB wl FEM FEM kNm × − = = = = 0BD DBFEM FEM= = Dept. of CE, GCE Kannur Dr.RajeshKN
  • 112.
    Distribution factors ( ) () ( ) ( ) 4 2 5 4 3 42 5 3 3 BA EI DF EI EI EI = + + ( ) ( ) ( ) ( ) 3 3 4 3 42 5 3 3 BC EI DF EI EI EI = + + Distribution factors ( ) ( ) ( )4 3 42 5 3 3EI EI EI+ + ( ) ( ) ( ) 0.407= 0.254= ( ) ( ) ( ) ( ) 4 3 4 3 42 5 3 3 BD EI DF EI EI EI = + +( ) ( ) ( )4 3 42 5 3 3EI EI EI+ + 0.339= Dept. of CE, GCE Kannur Dr.RajeshKN
  • 113.
    AB BA BDBC CB 0.407 0.339 0.254 -7.2 4.8 0.0 -1.5 1.5 Fixed End Moments 0 1 Distribution factors -0.75 -1.5 -7.2 4.8 0.0 -2.25 0.0 Release C, and carry over Initial moments -1.04 -0.864 -0.648 -0.52 Carry over Distribution Initial moments -7.72 3.72 -0.864 -2.9 0.0 y Final Moments Distribution 0.864 0.432 2 DBM kNm − = = − Dept. of CE, GCE Kannur Dr.RajeshKN
  • 114.
    Moment Distribution forframes:Moment Distribution for frames: sidesway Dept. of CE, GCE Kannur Dr.RajeshKN
  • 115.
    • Assume swayis prevented by giving a support at CAssume sway is prevented by giving a support at C. • This causes a reaction R at C, along with end-moments M. • This reaction R has to be cancelled out, since actually sway is not prevented. M RR Dept. of CE, GCE Kannur Dr.RajeshKN
  • 116.
    • It isrequired to find out what member-end-moments cause this reaction R, in the absence of actual external loads (Let this unknown moment be MBA) MBA M’BA R’R’ • Let us assume that a moment of M’ ( = 100kNm say) is causing a Dept. of CE, GCE Kannur Dr.RajeshKN • Let us assume that a moment of M BA ( = 100kNm, say) is causing a reaction of R’.
  • 117.
    • If M’BA=MBA R+R’ must be zeroIf M BA MBA , R+R must be zero. And the total moment will be M + M’BA . • But since M’BA≠ MBA , R+ R’ ×(MBA /M’BA) =0 • Therefore, MBA /M’BA= – R / R’ = C1 i.e., MBA = C1 × M’BA • Hence the total moment is M M M C M’ M M’ R / R’M + MBA = M+ C1 ×M’BA = M – M’BA × R / R’ Dept. of CE, GCE Kannur Dr.RajeshKN
  • 118.
    R R’ 1 0R CR′+ = Dept. of CE, GCE Kannur Dr.RajeshKN
  • 119.
    • When amoment of M’BA ( = 100kNm, say) is applied, what will be theBA ( , y) pp , value of M’CD? Ratio of sway moments at column heads 2 1 1 2 2 2 BA CD M I L M I L ′ = ′ Both column bases hinged: 2 1 1 2 2 2 BA CD M I L M I L ′ = ′ Both column bases fixed: 2 1 1 2 2BAM I L M I L ′ = ′One column base hinged and the other fixed: 2 2CDM I Lg Dept. of CE, GCE Kannur Dr.RajeshKN
  • 120.
    Both column baseshinged 3 3 1 1 2 2 3 3 P P EI EI δ = = δδP C g 1 23 3EI EIB C 3 3EI EIδ δ 1 2 1 2 1 23 3 1 2 3 3 , EI EI P P δ δ = = 1 1 2 2,BA CDM P M P′ ′= =A D 2P 2 M P I′ 1P 1 1 1 1 2 2 2 2 2 BA CD M P I M P I = = ′ Dept. of CE, GCE Kannur Dr.RajeshKN , 0, 0AB DCAlso M M′ ′= =
  • 121.
    Both column basesfixed P C δδ 1 2 2 2 1 2 6 6 ,BA CD EI EI M M δ δ ′ ′= = B C 1 2 1 2 2 1 1 2 2 2 BA CD M I M I ′ = ′A D 2P 1P , ,BA AB CD DCAlso M M M M′ ′ ′ ′= = Dept. of CE, GCE Kannur Dr.RajeshKN
  • 122.
    One column basefixed and the other hinged 3 2 2 3 P EI δ = g δδP C 23EI 23EI δ B C 2 2 3 2 3EI P δ =1 2 1 2 2 22 2 1 2 6 3 ,BA CD EI EI M M P δ δ ′ ′= = =A D 2P 1 2 2 1 1 2 2BAM I′ = 1P 2 2 2CDM I′ 0Al M M M′ ′ ′ Dept. of CE, GCE Kannur Dr.RajeshKN , , 0BA AB DCAlso M M M′ ′ ′= =
  • 123.
    Example 8 1 0RC R′+ = R R’ Dept. of CE, GCE Kannur Dr.RajeshKN
  • 124.
    ( )4 5EI() ( ) ( ) 4 5 4 45 5 BA BC CB CD EI DF DF DF DF EI EI = = = = + 0.5= 2 2 2 2 16 1 4 10.24 5 BC Pab FEM kNm l − − × × = = = − 5l 2 2 16 1 4 2 56 Pa b FEM kN × × 2 2 2.56 5 CBFEM kNm l = = = Dept. of CE, GCE Kannur Dr.RajeshKN
  • 125.
    To find Mvalues A B C D 0 5 0 5 0 5 0 50 DF00.5 0.5 -10.24 2.56 5.12 5.12 -1.28 -1.28 FEM Di t 0.5 0.50 DFs0 2.56 -0.64 2.56 -0.64 0.32 0.32 -1.28 -1.28 CO Dist Dist 0.16 -0.64 0.16 -0.64 0.32 0.32 -0.08 -0.08 Dist CO Dist 0.16 -0.04 0.16 -0.04 0.02 0.02 -0.08 -0.08 2.88 5.78 -5.78 +2.72 -2.72 -1.32 Final Moments Dept. of CE, GCE Kannur Dr.RajeshKN
  • 126.
    2.88 5 5.78xA−× = − ( )1.73xA⇒ = → R ( )x → 1.32 5 2.72xD− + × = ( )0.81xD⇒ = ← 1.73 0.81 0R− − = ( )0 92R ( )0.92R = ← Assume M’BA= -100 kNm 2 1 1 2 BAM I L M I L ′ = ′ Ratio of sway moments at column heads for both column bases fixed: Dept. of CE, GCE Kannur Dr.RajeshKN 2 2CDM I L Hence M’CD= -100 kNm Also, M’AB= M’DC= -100 kNm
  • 127.
    To find M’BAvalues A B C DA B C D 0.5 0.5 -100.0 -100.0 -100.0 -100.0 FEM 0.5 0.50 DFs0 50.0 50.0 50.0 50.0 25.0 25.0 25.0 25.0 FEM CO Dist -12.5 -12.5 -12.5 -12.5 -6.25 -6.25 -6.25 -6.25 CO CO Dist 6.25 6.25 6.25 6.25 3.125 3.125 3.125 3.125 1.563 1.563 1.563 1.563 Dist CO CO -0.781 -0.781 -0.781 -0.781 -79.687 -60.156 60.157 60.156 -60.157 -79.687 Final Moments Dist Dept. of CE, GCE Kannur Dr.RajeshKN
  • 128.
    80 5 60xA−+ × = ( )28xA⇒ = ← R′ 80 5 60xD− + × = ( )28D⇒ = ←( )28xD⇒ = ← 28 28 0R− − + = ( )56R′ = → 0 92 1 0R C R′+ = 10.92 56 0C⇒− + = 1 0.92 0.0164 56 C∴ = = Dept. of CE, GCE Kannur Dr.RajeshKN
  • 129.
    All the end-momentsare to be found as: 1FINAL BAM M C M′= + All the end moments are to be found as: R=0.92 R’=56R =56 Dept. of CE, GCE Kannur Dr.RajeshKN
  • 130.
    13.01 2.99 Dept. ofCE, GCE Kannur Dr.RajeshKN
  • 131.
    Example 9 ΔΔ 20 kN B C 4m B C 4m 4m 4m EI A D EI EI DA ( )4 4EI DF DF= = ( )4 4EI DF = ( ) ( ) ( )4 44 4 BA BCDF DF EI EI = = + 0.5= ( ) ( ) ( )4 34 4 CBDF EI EI = + 0.571= 0.57 ( ) ( ) ( ) 3 4 4 34 4 CD EI DF EI EI = + Dept. of CE, GCE Kannur Dr.RajeshKN ( ) ( ) 0.429=
  • 132.
    To find Mvalues No fixed end moment since there is no member force (only a joint force of 20 kN). To find M values (o y a jo t o ce o 0 N). R= -20 kN Assume fixed end moment due to sway M’BA as -10 kNm. Ratio of sway moments at column heads for One column base hinged and the other fixed: 2 1 12BAM I L′ 1 1 2 2 2 BA CDM I L = ′ 2= 5CDM kNm′∴ = − Dept. of CE, GCE Kannur Dr.RajeshKN Also, M’AB= -10 kNm, M’DC= 0
  • 133.
    To find M’BAvalues A B C D 0.5 0.5 0.571 0.4290 DFs0.5 0.5 -10 -10 -5 5 5 2.86 2.14 FEM Dist 0.571 0.429 DFs 2.5 1.43 2.5 -0.72 -0.71 -1.43 -1.07 CO Dist Dist -0.36 -0.72 -0.36 0.36 0.36 0.21 0.15 Dist CO 0.18 0.1 0.18 -0.05 -0.05 -0.1 -0.08 Dist CO -7.68 -5.41 5.41 3.86 -3.86 Final Moments Dept. of CE, GCE Kannur Dr.RajeshKN
  • 134.
    ( )7.68 45.41xA− + × = ( )3.27xA⇒ = ← 4 3 86D × = ( )0 965D⇒ = ←4 3.86xD × = ( )0.965xD⇒ = ← 3 27 0 965 0R′+ ( )4 235R′⇒ = →3.27 0.965 0R− − + = ( )4.235R⇒ = → 20 1 0R C R′+ = 120 4.235 0C⇒− + = 1 20 4.723 4.235 C∴ = = All the end-moments are to be found as: 1 1FINAL BA BAM M C M C M′ ′= + = Dept. of CE, GCE Kannur Dr.RajeshKN
  • 135.
    4 723 768M × 36 273 kNm=4.723 7.68ABM = ×− 4 723 5 41M = ×− 36.273 kNm= − 25 551 kNm= −4.723 5.41BAM = × 4 723 5 41M = × 25.551 kNm 25 551 kNm=4.723 5.41BCM = × 4.723 3.86CBM = × 25.551 kNm= 18.231 kNm=.7 3 3.86CB 4.723 3.86CDM = ×− 18.231 kNm= −4.723 3.86CDM 0DCM = 0DCM Dept. of CE, GCE Kannur Dr.RajeshKN
  • 136.
    SummarySummary Displacement method ofanalysis • Slope deflection method-Analysis of continuous beams and Displacement method of analysis Slope deflection method Analysis of continuous beams and frames (with and without sway) • Moment distribution method- Analysis of continuous beams and frames (with and without sway)and frames (with and without sway). Dept. of CE, GCE Kannur Dr.RajeshKN 136