C h a p t e r 1 D e s c r i b i n g D a t a – L e s s o n 6 Page 1
Chapter 1:
Describing Data
Lesson 6: More on the Mean
TIME FRAME: 1 hour session
OVERVIEW OF LESSON
The lesson discusses further the importance of the mean as a measure of central tendency.
Students are provided examples of how to determine values to be expected when a particular
value of the mean is being targeted. Other kinds of means, such as weighted means, trimmed
means, geometric means, and harmonic means, are also discussed.
LEARNING OUTCOME(S): At the end of the lesson, the learner is able to
 recognize the importance of the mean as a summary measure of the center of a
distribution,
 determine what values to be expected in a data series, if the mean is targeted to take on
certain value
 describe and compute other kinds of means
LESSON OUTLINE:
1. Introduction: What the Mean means
2. Calculating values expected to yield a targeted value for the mean
3. Advanced Lesson (for Enrichment) Other means
DEVELOPMENT OF THE LESSON
(A)Introduction : What the Mean means
Ask students to recall the definition of a mean
The mean of a data set is the sum of the data values divided by
the number of data values.
The mean is a rather straightforward measure of central tendency to calculate.
When a list of data does not vary, i.e. the values are constant, then the mean of the data set is
is the constant.
C h a p t e r 1 D e s c r i b i n g D a t a – L e s s o n 6 Page 2
TECHNICAL NOTES
(i) By convention, we represent a list of N data as 1x , 2x , …, Nx and
denote its sum through the summation notation 
N
i
ix
1
or when there is
no confusion in the values of the indices as  ix so that the mean is
written as
N
x
N
i
i1
or
N
xi
or
N
x
. By convention, the
(population) mean is denoted by the Greek letter µ (read “mu”).
(ii) One interesting property of the mean is that the sum of the squares of
the differences of data from the mean is smaller than it is for any other
number. That is, the function


N
i
i bxbQ
1
2
)()(
has its smallest value when b is the mean.
If we add a number to all entries in a data set, the mean adjusts accordingly by the number
added. Consider grades in a quiz. If everyone were to be given 10 bonus points, then the
average grade of students would also go up by 10 points.
If we re-scale the entries in a data set, the mean of the new data also is re-scaled
correspondingly. Consider taking hourly readings of one’s body temperature in degrees
Fahrenheit. Suppose we had instead taken the temperature in Celsius. Since there is an exact
linear relationship relating the Celsius and Fahrenheit scales:
Celsius = 5/9 * (Fahrenheit -32),
then the temperatures (in Fahrenheit) would just be rescaled by 5/9 (with 160/9 subtracted
from the resulting data), and thus the new average would similarly adjust.
(B) Lesson Proper: Calculating values expected for a given targeted mean
Another interesting property of the mean is that if one wishes to target hitting a certain value
for the mean given a past record of data, we can determine what the required future data
entry should be as the following two examples illustrate.
Example 1
Suppose that Jennifer practiced piano four times for the number of minutes listed below this
week:
C h a p t e r 1 D e s c r i b i n g D a t a – L e s s o n 6 Page 3
35, 40, 30, 25,
And we wish to determine how many more minutes does Jennifer need to practice this week
to have practiced an average of 35 minutes?
Since she needs a total of 175 minutes = 35*5, and has already put in 130 minutes =
35+40+30+35, thus she needs 45 more minutes on her fifth session.
Actual Minutes Desired Mean
Example 2
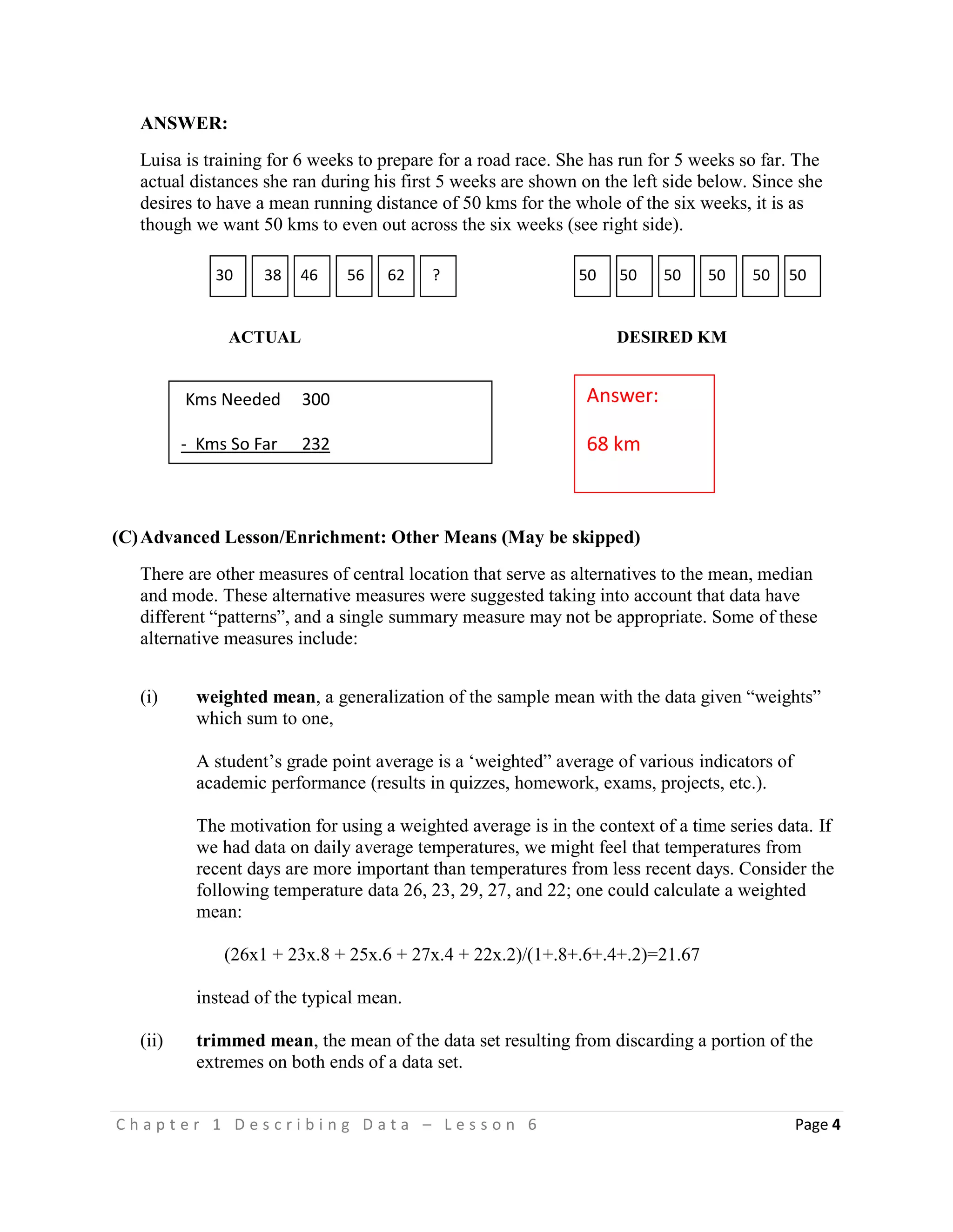
Luisa is training for 6 weeks to prepare for a race. She has run for 5 weeks so far. The
distances she ran during her first 5 weeks are shown in the following table.
Luisa’s Running Distance
WeekDistance (in km)
1 30
2 38
3 46
4 56
5 62
6 ?
What distance must Luisa run in her 6th week in order to have a mean running distance of 50
kms for her 6 weeks of running?
Answer:
45 min
35 40 30 25 ? 35 35 35 35 35
Minutes Needed 175
- Minute So Far 130
Run #6 34
C h a p t e r 1 D e s c r i b i n g D a t a – L e s s o n 6 Page 4
ANSWER:
Luisa is training for 6 weeks to prepare for a road race. She has run for 5 weeks so far. The
actual distances she ran during his first 5 weeks are shown on the left side below. Since she
desires to have a mean running distance of 50 kms for the whole of the six weeks, it is as
though we want 50 kms to even out across the six weeks (see right side).
ACTUAL DESIRED KM
(C)Advanced Lesson/Enrichment: Other Means (May be skipped)
There are other measures of central location that serve as alternatives to the mean, median
and mode. These alternative measures were suggested taking into account that data have
different “patterns”, and a single summary measure may not be appropriate. Some of these
alternative measures include:
(i) weighted mean, a generalization of the sample mean with the data given “weights”
which sum to one,
A student’s grade point average is a ‘weighted” average of various indicators of
academic performance (results in quizzes, homework, exams, projects, etc.).
The motivation for using a weighted average is in the context of a time series data. If
we had data on daily average temperatures, we might feel that temperatures from
recent days are more important than temperatures from less recent days. Consider the
following temperature data 26, 23, 29, 27, and 22; one could calculate a weighted
mean:
(26x1 + 23x.8 + 25x.6 + 27x.4 + 22x.2)/(1+.8+.6+.4+.2)=21.67
instead of the typical mean.
(ii) trimmed mean, the mean of the data set resulting from discarding a portion of the
extremes on both ends of a data set.
Answer:
68 km
30 38 46 56 62 ? 50 50 50 50 50 50
Kms Needed 300
- Kms So Far 232
Run #6 34
C h a p t e r 1 D e s c r i b i n g D a t a – L e s s o n 6 Page 5
This may be thought of as a down weighting of the extremes with the weights at the
extremes set to zero. When the trimming proportion is 10 percent, the biggest 5
percent and the smallest 5 percent of the data are removed, and the mean calculated
for the remaining data. The median can be viewed as a trimmed mean with a
trimming proportion of 100% while the regular arithmetic mean is a trimmed mean
with a trimming proportion of 0%. When the trimming proportion is bigger than 0%,
the trimmed mean results in a measure that is also not grossly affected by extreme
observations. Trimmed means are often used in Olympic scoring to minimize the
effects of extreme ratings possibly caused by biased judges.
Note for Teacher: A trimmed mean may also be viewed as weighted mean with
weights of zero on the extreme tails.
(iii) geometric mean, the nth root of the product of the data
Consider the following datasets:
Data Set A: 1, 2, 3, 4, 5
Data Set B: 1, 0.1, 0.01, 0.001, 0.0001
Data Set A is an example of an arithmetic progression, where the mean 3 is the center
of the data. But for Data Set B, the mean 0.22222 is not a useful measure. Instead the
geometric mean, the fifth root of ( 1 x 0.1 x 0.01 x 0.001 x 0.0001 ) = 0.01 is a more
useful measure of the center
Note: The geometric mean will always be less than or equal to the arithmetic mean.
(iv) harmonic mean, the reciprocal of the mean of the reciprocals of the data
If a car drives 50 miles at 30 kph, 50 miles at 50 kph, and 50 miles at 60 kph, what is
its average speed? The total distance is 150 kms, the total time is
(50/30)+(50/50)+(50/60)=3.5; hence the average speed is 150/3.5=42.86 kph.
This can be concisely calculated as:
1/((1/3)((1/30)+(1/50)+(1/60)))=42.86
Note: The harmonic mean is always less than or equal to the geometric mean.
C h a p t e r 1 D e s c r i b i n g D a t a – L e s s o n 6 Page 6
KEY POINTS
 The mean is a helpful summary measure of central tendency; easy to compute (sum of
data divided by how many data) but it can be sensitive to extreme data.
 We can determine future data values for a data set given a targeted value for the mean
 (Advanced lesson) Other means: weighted mean, trimmed mean, geometric mean,
harmonic mean can be used to measure central tendency.
C h a p t e r 1 D e s c r i b i n g D a t a – L e s s o n 6 Page 7
REFERENCES
Many materials here adapted from
“Using the Mean as a Measure of Center” http://www.sharemylesson.com/teaching-
resource/using-the-mean-as-a-measure-of-center-50009361/
Albert, J. R. G. (2008).Basic Statistics for the Tertiary Level (ed. Roberto Padua, Welfredo
Patungan, Nelia Marquez), published by Rex Bookstore.
C h a p t e r 1 D e s c r i b i n g D a t a – L e s s o n 6 Page 8
ASSESSMENT
1) Below is a chart that shows Celso’s four past quiz scores in his English class. Suppose that
there is an upcoming fifth quiz.
Name Quiz 1 Quiz 2 Quiz 3 Quiz 4 Quiz 5 Desired Mean
Celso 91 81 98 100 ? 90
Without doing any calculations, predict what score Celso must get on his next quiz to meet his
goal of a 90 overall average for the five quizzes. Explain your reasoning.
ANSWER:
Out of Celso’s four quizzes, three quizzes are slightly above his desired mean of 90 points and one quiz is
slightly below the desired mean. Therefore Celso is currently above his desired mean. If he were at his
desired mean, he would need a 90 to maintain her grade. Since he is above his desired mean, we could
estimate that he would need about an 85 to meet his goal. Actual answer is 80.
2. Raul keeps track of his test scores in Science class. The table below shows his data.
 Use the data to find the mean number of points scored. Show your work.
ANSWER: The mean is 87 points.
435 points  5 tests = 87 points per test
Science Scores
Test Score
1 83
2 81
3 89
4 88
5 94
C h a p t e r 1 D e s c r i b i n g D a t a – L e s s o n 6 Page 9
 Suppose that Raul does not study for his 6th
test. His score on Test #6 is 30 points. Without
doing any calculations, how will this test score affect his mean score from the past five tests?
Explain your reasoning.
ANSWER: Test #6 will lower the mean score, since it is much lower than all of the other tests.
Thinking of the mean as a way of balancing the other data, to balance all of the scores with the
new score, points would need to be taken away from the other scores and added to the score of
20 points.
 Raul has four more science tests this year. His goal, after taking all 10 tests, is to have a mean
score close to the mean of the first five tests. Without doing any calculations, provide possible
scores for Raul’s last four tests that should allow him to reach his goal. Explain your reasoning.
ANSWER: Raul would need to obtain very high grades, for instance 100 in all tests. If Raul
hadn’t performed poorly on Test #6, all he would need to maintain his 87 average would be an
87 on every test for the remainder of the year. However, with a score of 20 on Test #6, he is
going to need to do much better than an 87 on the rest of the tests.
Explanatory Note:
 Teachers have the option to just ask this assessment orally to the entire class, or to group
students and ask them to identify answers, or to give this as homework, or to use some
questions/items here for a chapter examination.

Lesson 1 06 using the mean to measure central tendency

  • 1.
    C h ap t e r 1 D e s c r i b i n g D a t a – L e s s o n 6 Page 1 Chapter 1: Describing Data Lesson 6: More on the Mean TIME FRAME: 1 hour session OVERVIEW OF LESSON The lesson discusses further the importance of the mean as a measure of central tendency. Students are provided examples of how to determine values to be expected when a particular value of the mean is being targeted. Other kinds of means, such as weighted means, trimmed means, geometric means, and harmonic means, are also discussed. LEARNING OUTCOME(S): At the end of the lesson, the learner is able to  recognize the importance of the mean as a summary measure of the center of a distribution,  determine what values to be expected in a data series, if the mean is targeted to take on certain value  describe and compute other kinds of means LESSON OUTLINE: 1. Introduction: What the Mean means 2. Calculating values expected to yield a targeted value for the mean 3. Advanced Lesson (for Enrichment) Other means DEVELOPMENT OF THE LESSON (A)Introduction : What the Mean means Ask students to recall the definition of a mean The mean of a data set is the sum of the data values divided by the number of data values. The mean is a rather straightforward measure of central tendency to calculate. When a list of data does not vary, i.e. the values are constant, then the mean of the data set is is the constant.
  • 2.
    C h ap t e r 1 D e s c r i b i n g D a t a – L e s s o n 6 Page 2 TECHNICAL NOTES (i) By convention, we represent a list of N data as 1x , 2x , …, Nx and denote its sum through the summation notation  N i ix 1 or when there is no confusion in the values of the indices as  ix so that the mean is written as N x N i i1 or N xi or N x . By convention, the (population) mean is denoted by the Greek letter µ (read “mu”). (ii) One interesting property of the mean is that the sum of the squares of the differences of data from the mean is smaller than it is for any other number. That is, the function   N i i bxbQ 1 2 )()( has its smallest value when b is the mean. If we add a number to all entries in a data set, the mean adjusts accordingly by the number added. Consider grades in a quiz. If everyone were to be given 10 bonus points, then the average grade of students would also go up by 10 points. If we re-scale the entries in a data set, the mean of the new data also is re-scaled correspondingly. Consider taking hourly readings of one’s body temperature in degrees Fahrenheit. Suppose we had instead taken the temperature in Celsius. Since there is an exact linear relationship relating the Celsius and Fahrenheit scales: Celsius = 5/9 * (Fahrenheit -32), then the temperatures (in Fahrenheit) would just be rescaled by 5/9 (with 160/9 subtracted from the resulting data), and thus the new average would similarly adjust. (B) Lesson Proper: Calculating values expected for a given targeted mean Another interesting property of the mean is that if one wishes to target hitting a certain value for the mean given a past record of data, we can determine what the required future data entry should be as the following two examples illustrate. Example 1 Suppose that Jennifer practiced piano four times for the number of minutes listed below this week:
  • 3.
    C h ap t e r 1 D e s c r i b i n g D a t a – L e s s o n 6 Page 3 35, 40, 30, 25, And we wish to determine how many more minutes does Jennifer need to practice this week to have practiced an average of 35 minutes? Since she needs a total of 175 minutes = 35*5, and has already put in 130 minutes = 35+40+30+35, thus she needs 45 more minutes on her fifth session. Actual Minutes Desired Mean Example 2 Luisa is training for 6 weeks to prepare for a race. She has run for 5 weeks so far. The distances she ran during her first 5 weeks are shown in the following table. Luisa’s Running Distance WeekDistance (in km) 1 30 2 38 3 46 4 56 5 62 6 ? What distance must Luisa run in her 6th week in order to have a mean running distance of 50 kms for her 6 weeks of running? Answer: 45 min 35 40 30 25 ? 35 35 35 35 35 Minutes Needed 175 - Minute So Far 130 Run #6 34
  • 4.
    C h ap t e r 1 D e s c r i b i n g D a t a – L e s s o n 6 Page 4 ANSWER: Luisa is training for 6 weeks to prepare for a road race. She has run for 5 weeks so far. The actual distances she ran during his first 5 weeks are shown on the left side below. Since she desires to have a mean running distance of 50 kms for the whole of the six weeks, it is as though we want 50 kms to even out across the six weeks (see right side). ACTUAL DESIRED KM (C)Advanced Lesson/Enrichment: Other Means (May be skipped) There are other measures of central location that serve as alternatives to the mean, median and mode. These alternative measures were suggested taking into account that data have different “patterns”, and a single summary measure may not be appropriate. Some of these alternative measures include: (i) weighted mean, a generalization of the sample mean with the data given “weights” which sum to one, A student’s grade point average is a ‘weighted” average of various indicators of academic performance (results in quizzes, homework, exams, projects, etc.). The motivation for using a weighted average is in the context of a time series data. If we had data on daily average temperatures, we might feel that temperatures from recent days are more important than temperatures from less recent days. Consider the following temperature data 26, 23, 29, 27, and 22; one could calculate a weighted mean: (26x1 + 23x.8 + 25x.6 + 27x.4 + 22x.2)/(1+.8+.6+.4+.2)=21.67 instead of the typical mean. (ii) trimmed mean, the mean of the data set resulting from discarding a portion of the extremes on both ends of a data set. Answer: 68 km 30 38 46 56 62 ? 50 50 50 50 50 50 Kms Needed 300 - Kms So Far 232 Run #6 34
  • 5.
    C h ap t e r 1 D e s c r i b i n g D a t a – L e s s o n 6 Page 5 This may be thought of as a down weighting of the extremes with the weights at the extremes set to zero. When the trimming proportion is 10 percent, the biggest 5 percent and the smallest 5 percent of the data are removed, and the mean calculated for the remaining data. The median can be viewed as a trimmed mean with a trimming proportion of 100% while the regular arithmetic mean is a trimmed mean with a trimming proportion of 0%. When the trimming proportion is bigger than 0%, the trimmed mean results in a measure that is also not grossly affected by extreme observations. Trimmed means are often used in Olympic scoring to minimize the effects of extreme ratings possibly caused by biased judges. Note for Teacher: A trimmed mean may also be viewed as weighted mean with weights of zero on the extreme tails. (iii) geometric mean, the nth root of the product of the data Consider the following datasets: Data Set A: 1, 2, 3, 4, 5 Data Set B: 1, 0.1, 0.01, 0.001, 0.0001 Data Set A is an example of an arithmetic progression, where the mean 3 is the center of the data. But for Data Set B, the mean 0.22222 is not a useful measure. Instead the geometric mean, the fifth root of ( 1 x 0.1 x 0.01 x 0.001 x 0.0001 ) = 0.01 is a more useful measure of the center Note: The geometric mean will always be less than or equal to the arithmetic mean. (iv) harmonic mean, the reciprocal of the mean of the reciprocals of the data If a car drives 50 miles at 30 kph, 50 miles at 50 kph, and 50 miles at 60 kph, what is its average speed? The total distance is 150 kms, the total time is (50/30)+(50/50)+(50/60)=3.5; hence the average speed is 150/3.5=42.86 kph. This can be concisely calculated as: 1/((1/3)((1/30)+(1/50)+(1/60)))=42.86 Note: The harmonic mean is always less than or equal to the geometric mean.
  • 6.
    C h ap t e r 1 D e s c r i b i n g D a t a – L e s s o n 6 Page 6 KEY POINTS  The mean is a helpful summary measure of central tendency; easy to compute (sum of data divided by how many data) but it can be sensitive to extreme data.  We can determine future data values for a data set given a targeted value for the mean  (Advanced lesson) Other means: weighted mean, trimmed mean, geometric mean, harmonic mean can be used to measure central tendency.
  • 7.
    C h ap t e r 1 D e s c r i b i n g D a t a – L e s s o n 6 Page 7 REFERENCES Many materials here adapted from “Using the Mean as a Measure of Center” http://www.sharemylesson.com/teaching- resource/using-the-mean-as-a-measure-of-center-50009361/ Albert, J. R. G. (2008).Basic Statistics for the Tertiary Level (ed. Roberto Padua, Welfredo Patungan, Nelia Marquez), published by Rex Bookstore.
  • 8.
    C h ap t e r 1 D e s c r i b i n g D a t a – L e s s o n 6 Page 8 ASSESSMENT 1) Below is a chart that shows Celso’s four past quiz scores in his English class. Suppose that there is an upcoming fifth quiz. Name Quiz 1 Quiz 2 Quiz 3 Quiz 4 Quiz 5 Desired Mean Celso 91 81 98 100 ? 90 Without doing any calculations, predict what score Celso must get on his next quiz to meet his goal of a 90 overall average for the five quizzes. Explain your reasoning. ANSWER: Out of Celso’s four quizzes, three quizzes are slightly above his desired mean of 90 points and one quiz is slightly below the desired mean. Therefore Celso is currently above his desired mean. If he were at his desired mean, he would need a 90 to maintain her grade. Since he is above his desired mean, we could estimate that he would need about an 85 to meet his goal. Actual answer is 80. 2. Raul keeps track of his test scores in Science class. The table below shows his data.  Use the data to find the mean number of points scored. Show your work. ANSWER: The mean is 87 points. 435 points  5 tests = 87 points per test Science Scores Test Score 1 83 2 81 3 89 4 88 5 94
  • 9.
    C h ap t e r 1 D e s c r i b i n g D a t a – L e s s o n 6 Page 9  Suppose that Raul does not study for his 6th test. His score on Test #6 is 30 points. Without doing any calculations, how will this test score affect his mean score from the past five tests? Explain your reasoning. ANSWER: Test #6 will lower the mean score, since it is much lower than all of the other tests. Thinking of the mean as a way of balancing the other data, to balance all of the scores with the new score, points would need to be taken away from the other scores and added to the score of 20 points.  Raul has four more science tests this year. His goal, after taking all 10 tests, is to have a mean score close to the mean of the first five tests. Without doing any calculations, provide possible scores for Raul’s last four tests that should allow him to reach his goal. Explain your reasoning. ANSWER: Raul would need to obtain very high grades, for instance 100 in all tests. If Raul hadn’t performed poorly on Test #6, all he would need to maintain his 87 average would be an 87 on every test for the remainder of the year. However, with a score of 20 on Test #6, he is going to need to do much better than an 87 on the rest of the tests. Explanatory Note:  Teachers have the option to just ask this assessment orally to the entire class, or to group students and ask them to identify answers, or to give this as homework, or to use some questions/items here for a chapter examination.