Isomers
ไอโซเมอริซึมของสารประกอบอินทรีย์
                                        ไอโซเมอร์


                   ไอโซเมอร์เชิงโครงสร้าง                   ไอโซเมอร์เชิงสเตอริ โอ



ไอโซเมอร์เชิงสายโซ่คาร์บอน        ไอโซเมอร์เชิงชนิดของหมู่ฟังก์ชน
                                                                ั


             ไอโซเมอร์เชิงตําแหน่งของหมู่ฟังก์ชน
                                               ั


                                            ไอโซเมอร์เชิงเรขาคณิ ต        ไอโซเมอร์เชิงแสง
1.   ไอโซเมอร์เชิงโครงสร้าง (Structural isomer) สารอินทรียทมีสตรโมเลกุล
                                                            ์ ี ู
     เหมือนกันแต่มสตรโครงสร้างต่างกัน แบ่งได้เป็ น
                   ีู
     1.1 ไอโซเมอร์เชิงสายโซ่คาร์บอน (skeleton isomer)
                                    ่ ั ั
     1.2 ไอโซเมอร์เชิงตําแหน่งของหมูฟงก์ชน (positional isomer)
                                ่ ั ั
     1.3 ไอโซเมอร์เชิงชนิดของหมูฟงก์ชน (functional isomer)

2.   ไอโซเมอร์เชิงสเตอริ (Stereo isomer) เป็ นไอโซเมอร์ทมีโครงแบบ
                                                            ี
     (configuration) ต่างกันคือมีการจัดเรียงอะตอมในทีว่างต่างกัน (การจัด
     ตําแหน่งของอะตอมใน 3 มิตแตกต่างกัน) แบ่งได้เป็ น 2 ชนิด คือ
                                  ิ
     2.1 ไอโซเมอร์เชิงเรขาคณิต (geometrical isomer)
     2.2 ไอโซเมอร์เชิงแสง (optical isomer)
1. ไอโซเมอร์เชิงโครงสร้าง (Structural isomer)
1.1 ไอโซเมอร์เชิงสายโซ่คาร์บอน (skeleton isomer)
   –    ไอโซเมอร์ทมีการจัดเรียงตัวของคาร์บอนในโครงสร้างหลักต่างกัน
                  ี
   –    คาร์บอนอะตอมอาจต่อกันเป็ นเส้นตรงหรือเป็ นแบบกิงสาขา
   –    จํานวนไอโซเมอร์จะเพิมขึนเมือจํานวนคาร์บอนเพิมขึน เช่น
                               E                       E
   C5H12 มี 3 ไอโซเมอร์                       C6H14 มี 5 ไอโซเมอร์
   C7H16 มี 9 ไอโซเมอร์                       C8H18 มี 18 ไอโซเมอร์
   C9H20 มี 35 ไอโซเมอร์                      C10H22 มี 75 ไอโซเมอร์
   –    สารทีเป็ นไอโซเมอร์เชิงโครงสร้างกันจะมีสมบัตทางกายภาพและทางเคมีต่างกัน
                                                    ิ
Structural Isomers
1. a)                    b) CH3
 CH3 CH2 CH2 CH3        CH3 CH CH3
    Butane (C4H10)   2-methylpropane (C4H10)


        จงเขียนไอโซเมอร์ของ C7H16
hexane       2-methylpentane   3-methylpentane




2,2-dimethylbutane       2,3-dimethylbutane
ไอโซเมอร์ ชนิดโครงสร้ างของ C5H12 และจุดเดือด
1.2 ไอโซเมอร์เชิงตําแหน่ งของหมู่ฟังก์ชน (positional isomer)
                                       ั
                             ่ ั ั
   – ไอโซเมอร์ทเกิดจากหมูฟงก์ชนนัลมาเกาะกับอะตอมของคาร์บอนใน
                   ี
        โครงสร้างหลักทีตําแหน่งต่างกัน
   – เช่น C3H8O มี positional isomer ทีเป็ นแอลกอฮอล์ 2 ไอโซเมอร์

                                             OH
               H2
               C                            CH
       H3C           C     OH        H3C          CH3
                     H2
1.3 ไอโซเมอร์เชิงชนิดของหมู่ฟังก์ชน (functional isomer)
                                   ั
               ี ่ ั ั
• ไอโซเมอร์ทมีหมูฟงก์ชนนัลต่างกัน เป็ นสารอินทรียต่างชนิดกันทีมีสตรโมเลกุล
                                                   ์               ู
    เหมือนกันแต่สตรโครงสร้างต่างกัน
                 ู
• ตัวอย่าง เช่น แอลกอฮอล์ กับ อีเทอร์ ทีมีสตรโมเลกุล C2H6O เป็ น functional
                                           ู
    isomer กัน
                                                         H2
                          O                              C
                  H3 C          CH3               H3 C            OH

•    แอลดีไฮด์ กับ คีโตน ทีมีสตรโมเลกุล C3H6O เป็ น functional isomer กัน
                              ู
                  O                                  O

            H     C      CH2     CH3        H3C      C      CH3

                  propanal                      propanone
Structural Isomers
1. a)                           b) CH3
  CH3 CH2 CH2 CH3              CH3 CH CH3
     Butane (C4H10)         2-methylpropane (C4H10)
2.
        CH2 CH CH2 CH3         CH3 CH CH CH3
              1-butene             2-butene
                                        CH2
        CH3              CH2 CH2
                                      CH2 CH
 CH2 C    CH3            CH2 CH2
                                              CH3
2-methylpropene      cyclobutane methylcyclopropane
3. a) C4H8 has more isomers because the
   position of the double affects the name and
   because ring structures can be drawn.
4.

aldehyde                        ketone                                   ether
    H       H       O           H    O   H           H               H                H
H   C       C   C           H   C    C   C   H H         C       C       CH3 H        C   O    C   C   H

    H       H       H           H        H                   O                        H        H   H

                                           alcohols                           H       H
                H       H       OH           H   OH H
                                                                                  C
        H       C       C       C    H H     C   C       C       H H          C       C       OH
                                H                        H                H               H
2. ไอโซเมอร์เชิงสเตอริ (Stereo isomer)
2.1 ไอโซเมอร์เชิงเรขาคณิต (geometrical isomer)
• เป็ นไอโซเมอร์ทมีการจัดเรียงของหมูแทนทีในโครงสร้างทีเป็ นวงหรือในพันธะคู่
                  ี                 ่
    ต่างกัน
• เช่น ไอโซเมอร์แบบ ซิส-ทรานส์ (cis-trans isomer) ซึงเป็ นการพิจารณาว่า H
    หรือหมูทเหมือนกันอยูในระนาบเดียวกันหรือต่างระนาบกัน (ล่างและบนระนาบ
            ่ ี         ่
    ของพันธะคู) ่


            H3C                   CH3   H3C                    H
                    C      C                     C     C
              H                   H      H                     CH3

                  cis- 2-butene               trans-2-butene
CH3            C2H5              สารอินทรีย์นีมี Geometrical isomer
                                              !
     C=C                         เป็ นอะไร และมีชื#อว่ าอะไร
H                Cl
         ในการพิจารณา Geometrical isomer ต้ องดูที# C=C
               พบว่าพันธะเดี'ยวทั)ง 4 มีหมู่ที'ไม่เหมือนกันเลย
    ในกรณี น) ีจะเรี ยกเป็ น cis หรื อ trans ไม่ได้ ต้ องเรียกเป็ น E หรือ Z
    ในการพิจารณาว่าเป็ น E หรื อ Z ต้องมีความรู ้เรื' องSequence rules
                เพื'อที'จะจัดลําดับอะตอมหรื อหมู่ตาม priority
Sequence rules

1      เรียงตามเลขอะตอม ใครมากกว่ าจะมี priority สู งกว่ า
       เช่ น      35Br > 17Cl > 8O > 7N > 6C > 1H
               (ส่ วนใหญ่ จะสอดคล้ องกับนําหนักอะตอม)
                                          !

2      ถ้ าข้ อ 1 ยังไม่ ได้ ให้ พจารณาอะตอมถัดไปทีละอะตอม
                                  ิ
       สํ าหรับหมู่ทเี# ป็ น multiple bond เช่ น พันธะคู่หรือพันธะสาม
3      ให้ คดแยกแต่ ละพันธะเป็ นพันธะเดียวหมดทุกพันธะ เช่ น
            ิ                                #

H                          H                   H H                    H H
-C=O                      -C-O                                        -C-C-
         คิดแยกเป็ น
                                              -C=C-
                                                        คิดแยกเป็ น    C C
                           O C
Hi      CH3         C2H5 L
                            C=C
           L           H            Cl         Hi
                          ่
       ในกรณี น) ีพบว่าอยูคนละด้านกันจึงเป็ น E-isomer
                       E-3-chloro-2-pentene
                     เมื'อเข้าใจ Sequence rules แล้ว
    ให้พิจารณาที' C=C โดยแบ่งโมเลกุลเป็ น 2 ข้างซ้าย-ขวา
แล้วแยกเปรี ยบเทียบหมู่ท) งสองว่าหมู่ใดมี priority สู งกว่าจะเป็ น Hi
                               ั
                  และหมู่ที'มี priority ตํ'ากว่าจะเป็ น L
                      แล้วพิจารณารวมดูท) งสองข้างว่า
                                             ั
     ถ้าหมู่ที'มี priority เป็ น Hi หรื อ L อยูขางเดียวกันเรี ยกว่า Z
                                                  ่ ้
    ถ้าหมู่ที'มี priority เป็ น Hi หรื อ L อยูคนละข้างกันเรี ยกว่า E
                                                ่
L      CH3    CH2OH                      L
               C=C
Hi       CH3CH2    Cl  Hi

                         Z
อ้Hi อ Z ?
  อ หรื Z-
E ..เป็ น CH
             3 CH2OH                          Hi
isomer C=C
     L     H                CH(CH3)2           L
              ่ ้
           อยูดานเดียวกัน จึงเป็ น Z-isomer
                          Z
2.2 ไอโซเมอร์เชิงแสง (optical isomer)
• เป็ นไอโซเมอร์ทมีความไวต่อการบิดระนาบแสงโพลาไรซ์ (polarized light) ทังนีE
                 ี                                                     E
    เนืองจากความไม่สมมาตรหรืออสมมาตร (asymmetry) ในโมเลกุล
• ถ้า C อะตอมใดต่อกับอะตอมหรือหมูอะตอมทีแตกต่างกันทัง 4 หมู่ เรียกว่า
                                    ่                E
    คาร์บอนไครัล (chiral carbon)
• ถ้า C อะตอมใดต่อกับอะตอมหรือหมูอะตอมทีไม่แตกต่างกันทัง 4 หมู่ เรียกว่า
                                      ่                 E
    คาร์บอนอะไครัล (achiral carbon)
                        Br                              Br

                        C*                              C
                Cl             H               H3C              H
                  H3C                             H3C
                คาร์บอนไครัล                   คาร์บอนอะไครัล
โมเลกุลอะไครัล (Achiral molecule)
• เมือฉายแสงโพลาไรซ์ผานสารละลายของโมเลกุลอะไครัล ระนาบของแสง
                          ่
     โพลาไรซ์ (plane of polarized light) จะไม่มการเปลียนแปลง เพราะว่า
                                               ี
     โมเลกุลอะไครัลไม่ได้หมุนระนาบของแสงโพลาไรซ์
• โมเลกุลอะไครัลเป็ นสารทีไม่มอนตรกิรยากับแสง (optically inactive)
                                 ีั       ิ
โมเลกุลไครัล (Chiral molecule)
• แต่เมือฉายแสงโพลาไรซ์ผานสารละลายของโมเลกุลไครัล โมเลกุลเอไครัลจะมี
                            ่
     การหมุนระนาบของแสงโพลาไรซ์ ซึงอาจจะหมุนระนาบของแสงตามเข็มนาฬิกา
     หรือทวนเข็มนาฬิกา
• โมเลกุลไครัลเป็ นสารทีเกิดอันตรกิรยากับแสงได้ (optically active)
                                    ิ
โมเลกุลอะไครัล (Achiral carbon)
•      เมื'อหมุนโมเลกุลที'เป็ นภาพในกระจกเงาแล้วได้เป็ นตัวเดิม จึงสามารถซ้อนทับกันได้
       (superimposible)
โมเลกุลไครัล (Chiral carbon)
•      เมื'อหมุนแล้วโมเลกุลที'เป็ นภาพในกระจกเงา ไม่ได้เป็ นตัวเดิม จึงไม่สามารถซ้อนทับกันได้
       (non-superimposible)
           Br                       Br                      Br                         Br

           C                        C                       C                          C
    H            H            H             H       Cl           H             Cl               H
    H3 C                                 CH3         H3 C                                   CH3




           โมเลกุลอะไครัล (ซ้อนทับกันได้)                   โมเลกุลไครัล (ซ้อนทับกันไม่ได้)
Chirality Center
Carbon has four different groups attached
2
                COOH                                 COOH
                                              1              3
       HO             H                      OH             CH3
              CH3
                                                     H 4
      -(-)-Lactic acid                       ตามเข็มนาฬิ กาเป็ น R

                     สําหรับคนที'เข้าใจยากเพราะดูสามมิติไม่เก่ง
R   หรื อ Sให้?ริ' มจากการแปลงเป็รีนงลําดับหมู่ตาม priority ก่อน
               เ
                         จากนั)นให้เ ย
                                             fischer projection
                      ตาม Sequence rules เป็ น 1, 2, 3 และ 4
                           โดยพิจารณาหมู่ที'ช) ีเข้า OH
                   ถ้าหมู่ที# 4 อยู่ทนแนวดิ#งแล้วให้นบ 1, 2 และ 3
                          และหมู ่ ใ ี'ช) ีออกจากจอ ั CH3
                      ดึงให้อยูหมุนตามเข็มนาฬิกาเป็อน R
                              ถ้าในแนวชี)ออกจากจอคื แนวนอน
                                 ่
                          สํา ถ้หรับอีก 2 หมู่จะอยูกาเป็ น S ง
                                าหมุนทวนเข็มนาฬิ ในแนวดิ
                                                    ่        '
1
          Br                                       Br
                                           2                  4
                                           NC                H
 NC             CH3
      H                                          3 CH
                                                     3



ตามเข็มนาฬิ กาเป็ น R                  ทวนเข็มนาฬิ กาเป็ น S
           เมื'อแปลงเป็ น fischer projection แล้ว
          เรี ยงลําดับหมู่ตาม priority เป็ น 1, 2, 3 และ 4
                 นับได้เป็ นทวนเข็มนาฬิกา ควรเป็ น S
                                   ่
          แต่ ลําดับที' 4 ยังไม่อยูในแนวดิ'ง (ยังไม่ไกลตาเรา)
                  ดังนั)นจึงต้องตอบตรงข้ามคือเป็ น R
2
           CH=CH2                                     CH=CH2
                                             4                    3
                                             H                CH2CH3
    H             CO2H
        CH2CH3                                     1 CO H
                                                       2



ทวนเข็มนาฬิ กาเป็ น S                    ตามเข็มนาฬิ กาเป็ น R
            ลองหยิบกระดาษมาทําเองก่อนนะค่ะ
           เมื'อแปลงเป็ น fischerก็projection แล้ว
                        ทบทวนให้นิด ได้
          1.ยงลําดับหมู่ตาม priority เป็ น 1, 2, 3 และ 4
          เรี แปลงเป็ น fischer projection
    2. เรี ยงลําดับได้เป็่ตนตามเข็มนาฬิกน ควรเป็3นและ 4
                นับ หมู าม priority เป็ า 1, 2, R
3. อย่าลืแต่าลําดับี' 4' 4ไม่งไไม่ออยูในแนวดิง'ง (ยังไม่ไกลตาเรา)
         มถ้ หมู่ท ที ยั ด้ ยูใ่ นแนวดิ' จะตอบเลยได้ ไหม?
                                    ่
                 ดังนั)นจึงต้องตอบตรงข้ามคือเป็ น S
สรุ ป
ถ้าใครดู 3 มิติเป็ นก็ไม่ตองแปลงเป็ น Fischer projection ตอบได้เลย
                          ้
แต่ถาใครดูไม่คล่องควรจะเปลี'ยนเป็ น Fischer projection จะช่วยได้
     ้
                                      ่
         อย่าลืมว่าลําดับที' 4 ต้องอยูในแนวดิ'ง (ไกลตาเรา) จึงตอบได้
                            ่
         ถ้าลําดับที' 4 อยูในแนวนอน (ยังไม่ไกลตาเรา) ตอบตรงข้าม
Diastereomers
• stereoisomers ทีไม่ เป็ น mirror images กันและกัน
                   #
• มีสมบัตทางกายภาพต่ างกัน
            ิ
• เป็ นสารต่ างชนิดกัน
• โมเลกุลทีมมากกว่ าหนึ#ง chiral centers
              # ี
                                         n
• สารทีมี n chiral center มีได้ ท!งหมด 2
        #                         ั
  stereoisomers
• สารทีมี 2 chiral center มีได้ ท!งหมด 4
          #                         ั
  stereoisomers                                       26
Enantiomer
                   CH3                           CH3


               H   C      Br                Br   C      H


               H   C      Br                Br   C      H


                   C2H5                          C2H5


                   1                             2           Diastereomer
Diastereomer
                   CH3                           CH3

           Br      C      H                  H   C      Br

               H   C      Br                Br   C      H

                   C2H5                          C2H5
                               Enantiomer
                   3                             4
                                                                    27
Meso compounds
• โมเลกุลทีมี 2 chiral centers อาจจะมีไม่ ครบ 4
           #
  stereoisomers
• เช่ น 2,3-dibromobutane มีได้ท!งหมด 3 stereoisomers
                   * *
                CH3CHCHCH3       ั
                      Br Br
      CH3             CH3            CH3             CH3

 Br   C     H     H   C     Br   H   C     Br   Br   C     H

  H   C     Br   Br   C     H    H   C     Br   Br   C     H

      CH3             CH3            CH3             CH3
      A               B              C               D         28
CH3                              CH3


Br   C     H
                  Enantiomer      H   C     Br


 H   C     Br                    Br   C     H


     CH3                              CH3

    A                                  B
Diastereomer                     Diastereomer
                      CH3

                  H   C     Br

                  H   C     Br

                      CH3
                      C
                Moso compound
                                                 29
การเรียกชื#อสารทีมีมากกว่ าหนึ#ง chiral centers
                 #
• พิจารณา configuration ทีละ chiral center ว่าเป็ น (S) หรือ
  (R) แล้ วระบุตาแหน่ งลงในชื#อเรียกสารนั!น
                 ํ
• Stereoisomer A ของ 2,3-dibromobutane มี C-2 และ C-3
  เป็ น chiral centers มี configuration เป็ นแบบ (R) ทั!งคู่
                CH3
          (R)
     Br         C     H
                           (2R, 3R)-2,3-dibromobutane
      H         C     Br
       (R)
                CH3
                                                          30
(R)
       HO    C         H                 (S)
                                H       C          OH
                 (S)
     CH3NH   C         H                 (R)
                                H       C          NHCH3

             CH3                        CH3

 (1R,2S)-(-)-Ephedrine       (1S,2R)-(+)-Ephedrine


              (S)                            (R)
        H    C         OH       HO          C       H

              (S)                            (R)
    CH3NH    C         H            H       C       NHCH3

             CH3                            CH3

(1S,2S)-(+)-Pseudophedrine   (1R,2R)-(-)-Pseudophedrine     31
eg. cis-2-butene   trans-2-butene

H3C   CH3              H3C   H
   C C                    C C
  H   H                  H   CH3
configuration – the arrangement in space of the four different
groups about a chiral center.


How do we show configurations?


“wedge” formulas             Fischer projections
                             “cross structures”
                             use only for chiral centers!

        Br                             Br
             H                  Cl          H
    F       Cl                         F
CH3                          CH3
Br   Cl                      Br   Cl
   H                            H
         1                          1

         Br                        OH
2   Cl        H   4          4   H   CH3   3
         F                         CH2Br
         3                          2
                      3
                       CH2CH3
                  1 Br   CH=CH2 2
                       H
                      4
With group #4 rotated away:




      1       2               2       1

          3                       3


          R                       S
2
                                                    2
                     rotate #4 away
        Cl                                     Cl
4                3                    3 F
    H        F
        Br                                     Br
                                                    1
        1



                                      (S)-configuration
Angew. Chem. Int. Ed. Engl. 36, 1057 (1997).
absolute configuration for bromochlorofluoromethane:


               Br                  Br

        Cl          H        H              Cl

               F                    F


             (R)-(-)-            (S)-(+)-
* * * *
aldohexose     CH2-CH-CH-CH-CH-CH=O
               OH OH OH OH OH

n chiral centers   2n maximum stereoisomers

n=4       24 = 16 stereoisomers


                                * *
2,3-dichloropentane          CH3CHCHCH2CH3
                                Cl Cl

n=2       22 = 4 stereoisomers
CH3               CH3                   CH3             CH3
H   Cl           Cl   H                 H   Cl         Cl   H
H   Cl           Cl   H                Cl   H           H   Cl
  CH2               CH2                   CH2             CH2
  CH3               CH3                   CH3             CH3

     I                  II                   III                IV
I & II are enantiomers; III & IV are enantiomers; I & III are
diastereomers; I & IV are diastereomers…




diastereomers – non-mirror image stereoisomers.
(the physical and chemical properties of diastereomers are
different.)
3
                              H,H,H
                          C                  3
                    4 H       Cl 1     1
                          C Cl,C,H            2
    CH3
                          2
  H   Cl                                   (S)-
  H   Cl
    CH2                   2
                              Cl,C,H
    CH3                   C                  2
                    4 H       Cl 1     1
                           C C,H,H           3
                            3              (R)-
(2S,3R)-2,3-dichloropentane
CH3         CH3        CH3        CH3
H   Cl     Cl   H      H   Cl    Cl   H
H   Cl     Cl   H     Cl   H      H   Cl
  CH2         CH2        CH2        CH2
  CH3         CH3        CH3        CH3


(2S,3R)-   (2R,3S)-     (S,S)-     (R,R)-
* *
2,3-dichlorobutane     CH3CHCHCH3
                          Cl Cl


   CH3           CH3             CH3         CH3
 H   Cl       Cl   H           H   Cl     Cl   H
 H   Cl       Cl   H          Cl   H       H   Cl
   CH3           CH3             CH3         CH3

    I                             II          III

meso-compound – a compound that has chiral centers but
is not chiral (optically inactive).

Isomers [compatibility mode]

  • 1.
  • 2.
    ไอโซเมอริซึมของสารประกอบอินทรีย์ ไอโซเมอร์ ไอโซเมอร์เชิงโครงสร้าง ไอโซเมอร์เชิงสเตอริ โอ ไอโซเมอร์เชิงสายโซ่คาร์บอน ไอโซเมอร์เชิงชนิดของหมู่ฟังก์ชน ั ไอโซเมอร์เชิงตําแหน่งของหมู่ฟังก์ชน ั ไอโซเมอร์เชิงเรขาคณิ ต ไอโซเมอร์เชิงแสง
  • 3.
    1. ไอโซเมอร์เชิงโครงสร้าง (Structural isomer) สารอินทรียทมีสตรโมเลกุล ์ ี ู เหมือนกันแต่มสตรโครงสร้างต่างกัน แบ่งได้เป็ น ีู 1.1 ไอโซเมอร์เชิงสายโซ่คาร์บอน (skeleton isomer) ่ ั ั 1.2 ไอโซเมอร์เชิงตําแหน่งของหมูฟงก์ชน (positional isomer) ่ ั ั 1.3 ไอโซเมอร์เชิงชนิดของหมูฟงก์ชน (functional isomer) 2. ไอโซเมอร์เชิงสเตอริ (Stereo isomer) เป็ นไอโซเมอร์ทมีโครงแบบ ี (configuration) ต่างกันคือมีการจัดเรียงอะตอมในทีว่างต่างกัน (การจัด ตําแหน่งของอะตอมใน 3 มิตแตกต่างกัน) แบ่งได้เป็ น 2 ชนิด คือ ิ 2.1 ไอโซเมอร์เชิงเรขาคณิต (geometrical isomer) 2.2 ไอโซเมอร์เชิงแสง (optical isomer)
  • 4.
    1. ไอโซเมอร์เชิงโครงสร้าง (Structuralisomer) 1.1 ไอโซเมอร์เชิงสายโซ่คาร์บอน (skeleton isomer) – ไอโซเมอร์ทมีการจัดเรียงตัวของคาร์บอนในโครงสร้างหลักต่างกัน ี – คาร์บอนอะตอมอาจต่อกันเป็ นเส้นตรงหรือเป็ นแบบกิงสาขา – จํานวนไอโซเมอร์จะเพิมขึนเมือจํานวนคาร์บอนเพิมขึน เช่น E E C5H12 มี 3 ไอโซเมอร์ C6H14 มี 5 ไอโซเมอร์ C7H16 มี 9 ไอโซเมอร์ C8H18 มี 18 ไอโซเมอร์ C9H20 มี 35 ไอโซเมอร์ C10H22 มี 75 ไอโซเมอร์ – สารทีเป็ นไอโซเมอร์เชิงโครงสร้างกันจะมีสมบัตทางกายภาพและทางเคมีต่างกัน ิ
  • 5.
    Structural Isomers 1. a) b) CH3 CH3 CH2 CH2 CH3 CH3 CH CH3 Butane (C4H10) 2-methylpropane (C4H10) จงเขียนไอโซเมอร์ของ C7H16
  • 6.
    hexane 2-methylpentane 3-methylpentane 2,2-dimethylbutane 2,3-dimethylbutane
  • 7.
  • 8.
    1.2 ไอโซเมอร์เชิงตําแหน่ งของหมู่ฟังก์ชน(positional isomer) ั ่ ั ั – ไอโซเมอร์ทเกิดจากหมูฟงก์ชนนัลมาเกาะกับอะตอมของคาร์บอนใน ี โครงสร้างหลักทีตําแหน่งต่างกัน – เช่น C3H8O มี positional isomer ทีเป็ นแอลกอฮอล์ 2 ไอโซเมอร์ OH H2 C CH H3C C OH H3C CH3 H2
  • 9.
    1.3 ไอโซเมอร์เชิงชนิดของหมู่ฟังก์ชน (functionalisomer) ั ี ่ ั ั • ไอโซเมอร์ทมีหมูฟงก์ชนนัลต่างกัน เป็ นสารอินทรียต่างชนิดกันทีมีสตรโมเลกุล ์ ู เหมือนกันแต่สตรโครงสร้างต่างกัน ู • ตัวอย่าง เช่น แอลกอฮอล์ กับ อีเทอร์ ทีมีสตรโมเลกุล C2H6O เป็ น functional ู isomer กัน H2 O C H3 C CH3 H3 C OH • แอลดีไฮด์ กับ คีโตน ทีมีสตรโมเลกุล C3H6O เป็ น functional isomer กัน ู O O H C CH2 CH3 H3C C CH3 propanal propanone
  • 10.
    Structural Isomers 1. a) b) CH3 CH3 CH2 CH2 CH3 CH3 CH CH3 Butane (C4H10) 2-methylpropane (C4H10) 2. CH2 CH CH2 CH3 CH3 CH CH CH3 1-butene 2-butene CH2 CH3 CH2 CH2 CH2 CH CH2 C CH3 CH2 CH2 CH3 2-methylpropene cyclobutane methylcyclopropane
  • 11.
    3. a) C4H8has more isomers because the position of the double affects the name and because ring structures can be drawn. 4. aldehyde ketone ether H H O H O H H H H H C C C H C C C H H C C CH3 H C O C C H H H H H H O H H H alcohols H H H H OH H OH H C H C C C H H C C C H H C C OH H H H H
  • 12.
    2. ไอโซเมอร์เชิงสเตอริ (Stereoisomer) 2.1 ไอโซเมอร์เชิงเรขาคณิต (geometrical isomer) • เป็ นไอโซเมอร์ทมีการจัดเรียงของหมูแทนทีในโครงสร้างทีเป็ นวงหรือในพันธะคู่ ี ่ ต่างกัน • เช่น ไอโซเมอร์แบบ ซิส-ทรานส์ (cis-trans isomer) ซึงเป็ นการพิจารณาว่า H หรือหมูทเหมือนกันอยูในระนาบเดียวกันหรือต่างระนาบกัน (ล่างและบนระนาบ ่ ี ่ ของพันธะคู) ่ H3C CH3 H3C H C C C C H H H CH3 cis- 2-butene trans-2-butene
  • 13.
    CH3 C2H5 สารอินทรีย์นีมี Geometrical isomer ! C=C เป็ นอะไร และมีชื#อว่ าอะไร H Cl ในการพิจารณา Geometrical isomer ต้ องดูที# C=C พบว่าพันธะเดี'ยวทั)ง 4 มีหมู่ที'ไม่เหมือนกันเลย ในกรณี น) ีจะเรี ยกเป็ น cis หรื อ trans ไม่ได้ ต้ องเรียกเป็ น E หรือ Z ในการพิจารณาว่าเป็ น E หรื อ Z ต้องมีความรู ้เรื' องSequence rules เพื'อที'จะจัดลําดับอะตอมหรื อหมู่ตาม priority
  • 14.
    Sequence rules 1 เรียงตามเลขอะตอม ใครมากกว่ าจะมี priority สู งกว่ า เช่ น 35Br > 17Cl > 8O > 7N > 6C > 1H (ส่ วนใหญ่ จะสอดคล้ องกับนําหนักอะตอม) ! 2 ถ้ าข้ อ 1 ยังไม่ ได้ ให้ พจารณาอะตอมถัดไปทีละอะตอม ิ สํ าหรับหมู่ทเี# ป็ น multiple bond เช่ น พันธะคู่หรือพันธะสาม 3 ให้ คดแยกแต่ ละพันธะเป็ นพันธะเดียวหมดทุกพันธะ เช่ น ิ # H H H H H H -C=O -C-O -C-C- คิดแยกเป็ น -C=C- คิดแยกเป็ น C C O C
  • 15.
    Hi CH3 C2H5 L C=C L H Cl Hi ่ ในกรณี น) ีพบว่าอยูคนละด้านกันจึงเป็ น E-isomer E-3-chloro-2-pentene เมื'อเข้าใจ Sequence rules แล้ว ให้พิจารณาที' C=C โดยแบ่งโมเลกุลเป็ น 2 ข้างซ้าย-ขวา แล้วแยกเปรี ยบเทียบหมู่ท) งสองว่าหมู่ใดมี priority สู งกว่าจะเป็ น Hi ั และหมู่ที'มี priority ตํ'ากว่าจะเป็ น L แล้วพิจารณารวมดูท) งสองข้างว่า ั ถ้าหมู่ที'มี priority เป็ น Hi หรื อ L อยูขางเดียวกันเรี ยกว่า Z ่ ้ ถ้าหมู่ที'มี priority เป็ น Hi หรื อ L อยูคนละข้างกันเรี ยกว่า E ่
  • 16.
    L CH3 CH2OH L C=C Hi CH3CH2 Cl Hi Z อ้Hi อ Z ? อ หรื Z- E ..เป็ น CH 3 CH2OH Hi isomer C=C L H CH(CH3)2 L ่ ้ อยูดานเดียวกัน จึงเป็ น Z-isomer Z
  • 17.
    2.2 ไอโซเมอร์เชิงแสง (opticalisomer) • เป็ นไอโซเมอร์ทมีความไวต่อการบิดระนาบแสงโพลาไรซ์ (polarized light) ทังนีE ี E เนืองจากความไม่สมมาตรหรืออสมมาตร (asymmetry) ในโมเลกุล • ถ้า C อะตอมใดต่อกับอะตอมหรือหมูอะตอมทีแตกต่างกันทัง 4 หมู่ เรียกว่า ่ E คาร์บอนไครัล (chiral carbon) • ถ้า C อะตอมใดต่อกับอะตอมหรือหมูอะตอมทีไม่แตกต่างกันทัง 4 หมู่ เรียกว่า ่ E คาร์บอนอะไครัล (achiral carbon) Br Br C* C Cl H H3C H H3C H3C คาร์บอนไครัล คาร์บอนอะไครัล
  • 18.
    โมเลกุลอะไครัล (Achiral molecule) •เมือฉายแสงโพลาไรซ์ผานสารละลายของโมเลกุลอะไครัล ระนาบของแสง ่ โพลาไรซ์ (plane of polarized light) จะไม่มการเปลียนแปลง เพราะว่า ี โมเลกุลอะไครัลไม่ได้หมุนระนาบของแสงโพลาไรซ์ • โมเลกุลอะไครัลเป็ นสารทีไม่มอนตรกิรยากับแสง (optically inactive) ีั ิ
  • 19.
    โมเลกุลไครัล (Chiral molecule) •แต่เมือฉายแสงโพลาไรซ์ผานสารละลายของโมเลกุลไครัล โมเลกุลเอไครัลจะมี ่ การหมุนระนาบของแสงโพลาไรซ์ ซึงอาจจะหมุนระนาบของแสงตามเข็มนาฬิกา หรือทวนเข็มนาฬิกา • โมเลกุลไครัลเป็ นสารทีเกิดอันตรกิรยากับแสงได้ (optically active) ิ
  • 20.
    โมเลกุลอะไครัล (Achiral carbon) • เมื'อหมุนโมเลกุลที'เป็ นภาพในกระจกเงาแล้วได้เป็ นตัวเดิม จึงสามารถซ้อนทับกันได้ (superimposible) โมเลกุลไครัล (Chiral carbon) • เมื'อหมุนแล้วโมเลกุลที'เป็ นภาพในกระจกเงา ไม่ได้เป็ นตัวเดิม จึงไม่สามารถซ้อนทับกันได้ (non-superimposible) Br Br Br Br C C C C H H H H Cl H Cl H H3 C CH3 H3 C CH3 โมเลกุลอะไครัล (ซ้อนทับกันได้) โมเลกุลไครัล (ซ้อนทับกันไม่ได้)
  • 21.
    Chirality Center Carbon hasfour different groups attached
  • 22.
    2 COOH COOH 1 3 HO H OH CH3 CH3 H 4 -(-)-Lactic acid ตามเข็มนาฬิ กาเป็ น R สําหรับคนที'เข้าใจยากเพราะดูสามมิติไม่เก่ง R หรื อ Sให้?ริ' มจากการแปลงเป็รีนงลําดับหมู่ตาม priority ก่อน เ จากนั)นให้เ ย fischer projection ตาม Sequence rules เป็ น 1, 2, 3 และ 4 โดยพิจารณาหมู่ที'ช) ีเข้า OH ถ้าหมู่ที# 4 อยู่ทนแนวดิ#งแล้วให้นบ 1, 2 และ 3 และหมู ่ ใ ี'ช) ีออกจากจอ ั CH3 ดึงให้อยูหมุนตามเข็มนาฬิกาเป็อน R ถ้าในแนวชี)ออกจากจอคื แนวนอน ่ สํา ถ้หรับอีก 2 หมู่จะอยูกาเป็ น S ง าหมุนทวนเข็มนาฬิ ในแนวดิ ่ '
  • 23.
    1 Br Br 2 4 NC H NC CH3 H 3 CH 3 ตามเข็มนาฬิ กาเป็ น R ทวนเข็มนาฬิ กาเป็ น S เมื'อแปลงเป็ น fischer projection แล้ว เรี ยงลําดับหมู่ตาม priority เป็ น 1, 2, 3 และ 4 นับได้เป็ นทวนเข็มนาฬิกา ควรเป็ น S ่ แต่ ลําดับที' 4 ยังไม่อยูในแนวดิ'ง (ยังไม่ไกลตาเรา) ดังนั)นจึงต้องตอบตรงข้ามคือเป็ น R
  • 24.
    2 CH=CH2 CH=CH2 4 3 H CH2CH3 H CO2H CH2CH3 1 CO H 2 ทวนเข็มนาฬิ กาเป็ น S ตามเข็มนาฬิ กาเป็ น R ลองหยิบกระดาษมาทําเองก่อนนะค่ะ เมื'อแปลงเป็ น fischerก็projection แล้ว ทบทวนให้นิด ได้ 1.ยงลําดับหมู่ตาม priority เป็ น 1, 2, 3 และ 4 เรี แปลงเป็ น fischer projection 2. เรี ยงลําดับได้เป็่ตนตามเข็มนาฬิกน ควรเป็3นและ 4 นับ หมู าม priority เป็ า 1, 2, R 3. อย่าลืแต่าลําดับี' 4' 4ไม่งไไม่ออยูในแนวดิง'ง (ยังไม่ไกลตาเรา) มถ้ หมู่ท ที ยั ด้ ยูใ่ นแนวดิ' จะตอบเลยได้ ไหม? ่ ดังนั)นจึงต้องตอบตรงข้ามคือเป็ น S
  • 25.
    สรุ ป ถ้าใครดู 3มิติเป็ นก็ไม่ตองแปลงเป็ น Fischer projection ตอบได้เลย ้ แต่ถาใครดูไม่คล่องควรจะเปลี'ยนเป็ น Fischer projection จะช่วยได้ ้ ่ อย่าลืมว่าลําดับที' 4 ต้องอยูในแนวดิ'ง (ไกลตาเรา) จึงตอบได้ ่ ถ้าลําดับที' 4 อยูในแนวนอน (ยังไม่ไกลตาเรา) ตอบตรงข้าม
  • 26.
    Diastereomers • stereoisomers ทีไม่เป็ น mirror images กันและกัน # • มีสมบัตทางกายภาพต่ างกัน ิ • เป็ นสารต่ างชนิดกัน • โมเลกุลทีมมากกว่ าหนึ#ง chiral centers # ี n • สารทีมี n chiral center มีได้ ท!งหมด 2 # ั stereoisomers • สารทีมี 2 chiral center มีได้ ท!งหมด 4 # ั stereoisomers 26
  • 27.
    Enantiomer CH3 CH3 H C Br Br C H H C Br Br C H C2H5 C2H5 1 2 Diastereomer Diastereomer CH3 CH3 Br C H H C Br H C Br Br C H C2H5 C2H5 Enantiomer 3 4 27
  • 28.
    Meso compounds • โมเลกุลทีมี2 chiral centers อาจจะมีไม่ ครบ 4 # stereoisomers • เช่ น 2,3-dibromobutane มีได้ท!งหมด 3 stereoisomers * * CH3CHCHCH3 ั Br Br CH3 CH3 CH3 CH3 Br C H H C Br H C Br Br C H H C Br Br C H H C Br Br C H CH3 CH3 CH3 CH3 A B C D 28
  • 29.
    CH3 CH3 Br C H Enantiomer H C Br H C Br Br C H CH3 CH3 A B Diastereomer Diastereomer CH3 H C Br H C Br CH3 C Moso compound 29
  • 30.
    การเรียกชื#อสารทีมีมากกว่ าหนึ#ง chiralcenters # • พิจารณา configuration ทีละ chiral center ว่าเป็ น (S) หรือ (R) แล้ วระบุตาแหน่ งลงในชื#อเรียกสารนั!น ํ • Stereoisomer A ของ 2,3-dibromobutane มี C-2 และ C-3 เป็ น chiral centers มี configuration เป็ นแบบ (R) ทั!งคู่ CH3 (R) Br C H (2R, 3R)-2,3-dibromobutane H C Br (R) CH3 30
  • 31.
    (R) HO C H (S) H C OH (S) CH3NH C H (R) H C NHCH3 CH3 CH3 (1R,2S)-(-)-Ephedrine (1S,2R)-(+)-Ephedrine (S) (R) H C OH HO C H (S) (R) CH3NH C H H C NHCH3 CH3 CH3 (1S,2S)-(+)-Pseudophedrine (1R,2R)-(-)-Pseudophedrine 31
  • 32.
    eg. cis-2-butene trans-2-butene H3C CH3 H3C H C C C C H H H CH3
  • 33.
    configuration – thearrangement in space of the four different groups about a chiral center. How do we show configurations? “wedge” formulas Fischer projections “cross structures” use only for chiral centers! Br Br H Cl H F Cl F
  • 34.
    CH3 CH3 Br Cl Br Cl H H 1 1 Br OH 2 Cl H 4 4 H CH3 3 F CH2Br 3 2 3 CH2CH3 1 Br CH=CH2 2 H 4
  • 35.
    With group #4rotated away: 1 2 2 1 3 3 R S
  • 36.
    2 2 rotate #4 away Cl Cl 4 3 3 F H F Br Br 1 1 (S)-configuration
  • 37.
    Angew. Chem. Int.Ed. Engl. 36, 1057 (1997). absolute configuration for bromochlorofluoromethane: Br Br Cl H H Cl F F (R)-(-)- (S)-(+)-
  • 38.
    * * ** aldohexose CH2-CH-CH-CH-CH-CH=O OH OH OH OH OH n chiral centers 2n maximum stereoisomers n=4 24 = 16 stereoisomers * * 2,3-dichloropentane CH3CHCHCH2CH3 Cl Cl n=2 22 = 4 stereoisomers
  • 39.
    CH3 CH3 CH3 CH3 H Cl Cl H H Cl Cl H H Cl Cl H Cl H H Cl CH2 CH2 CH2 CH2 CH3 CH3 CH3 CH3 I II III IV I & II are enantiomers; III & IV are enantiomers; I & III are diastereomers; I & IV are diastereomers… diastereomers – non-mirror image stereoisomers. (the physical and chemical properties of diastereomers are different.)
  • 40.
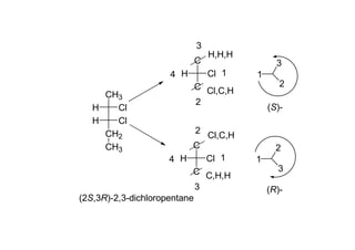
    3 H,H,H C 3 4 H Cl 1 1 C Cl,C,H 2 CH3 2 H Cl (S)- H Cl CH2 2 Cl,C,H CH3 C 2 4 H Cl 1 1 C C,H,H 3 3 (R)- (2S,3R)-2,3-dichloropentane
  • 41.
    CH3 CH3 CH3 CH3 H Cl Cl H H Cl Cl H H Cl Cl H Cl H H Cl CH2 CH2 CH2 CH2 CH3 CH3 CH3 CH3 (2S,3R)- (2R,3S)- (S,S)- (R,R)-
  • 42.
    * * 2,3-dichlorobutane CH3CHCHCH3 Cl Cl CH3 CH3 CH3 CH3 H Cl Cl H H Cl Cl H H Cl Cl H Cl H H Cl CH3 CH3 CH3 CH3 I II III meso-compound – a compound that has chiral centers but is not chiral (optically inactive).