สารประกอบไฮโดรคาร์บ อน
ผศ.วิจ ิต ร อุด
อ้า ย
Functional Group

สามารถจัด แบ่ง หมวดหมู่ข อง
สารประกอบอิน ทรีย ์ต ามโครงสร้า ง
(Structure) ซึ่ง สัม พัน ธ์ก ับ ความว่อ งไวใน
ional Group (หมุฟ ัง ก์ช น , หมู(reactivity)
่
การเกิด ปฏิก ิร ิย ั าเคมี ่ท ำา หน้า ที่)
กลุ่มของอะตอมภายในโมเลกุลซึ่งมีลักษณะเฉพาะที่
แสดงถึงสมบัติทางเคมี
โดยหลักการแล้วโมเลกุลทีมหมูฟงก์ชันประเภทเดียวกัน
่ ี ่ ั
จะสามารถเกิดปฏิกิริยาเคมี
ในลักษณะเดียวกันโดยไม่ข ึ้น กับ ขนาดหรือ ความซับ
ซ้อ นของโมเลกุล
ทังนีไม่ได้หมายรวมถึงความว่องไวในการเกิดปฏิกิริยา
้ ้
สารประกอบไฮโดรคาร์บ อน
Hydrocarbon :
สารประกอบที่ม ี C และ H เป็น
องค์ป ระกอบ ั
อาจจำา แนกได้ด ง นี้
• สารประกอบไฮโดรคาร์บ อนอิ่ม ตัว
(Saturated hydrocarbon) :
สารประกอบไฮโดรคาร์บ อนที่ม พ ัน ธะ
ี
เดี่ย วทั้ง หมด
• สารประกอบไฮโดรคาร์บ อนไม่อ ิ่ม ตัว
(Unsaturated hydrocarbon) :
• อัล ลิฟ าติก ไฮโดรคาร์บ อน
(Aliphatic hydrocarbon) :
สารประกอบไฮโดรคาร์บ อนที่
อาจเป็น สายโซ่ เป็น วงอิ่ม
หรือ ไม่อ ิ่ม ตัว แต่ไ ม่ม ีส มบัต ิอ ะโร
มาติก
• อัล เคน (Alkane) : สารประกอบ
• อะโรมาติก ไฮโดรคาร์บ อน
ไฮโดรคาร์บ อนอิ่ม ตัว
(Aromatic hydrocarbon) :
• อัล คีน (Alkene) : สารประกอบ ี
สารประกอบไฮโดรคาร์บ อนที่ม
ไฮโดรคาร์บ อนที่ม ีพ ัน ธะคู่
สมบัต ิอ ะโรมาติก
อัล เคนและไซโคล
อัล เคน
(Alkane and
Cychoalkane)
โครงสร้า งของอัล เคน
• สารประกอบไฮโดรคาร์บอนอิ่มตัว
• สูตรทั่วไป CnH2n+2 โดย n เป็นเลขจำานวนเต็ม 1,
2, 3
• คาร์บอนทุกอะตอม เป็น sp3-C
• โครงสร้างแบบโซ่ตรง (straight chain) และโซ่
กิ่ง (branched chain)
• โครงสร้างของสายโซ่คาร์บอนเป็นแบบ zigzag
• ตัว อย่า งสารประกอบแอลเคน
• constitutional isomer (structural
isomer)
C4H10

: CH3CH2CH2CH3

CH3CHCH3
CH3
CH3

C5H12 : CH3CH2CH2CH2CH3

CH3CHCH2CH3
CH3

CH3CCH3
CH3
Table 1 Common Alkyl Groups
(Nomenclature)
2
แหล่ง กำำ เนิด และประโยชน์
จุ อด (oC
ดเดื
)

จำำ
นวน
คำร์
บอน

ตำ่ำ ำ 2
กว่ 0
C -C
1 4
2 -6
0 0
C -C
5 6
6 -10
0 0
C -C
6 7
4-20
0 0
C - C0
5 1
1 5- 3 5
7 2
C2- C8
1
1
2 0- 4 0
5 0
C2ขึ้น ไป
1
ของเหลวไ
ม่ระเหย C0ขึ้น ไป
2
ข งไ
องแข็ ม่ระเหย C0ขึ้น ไป
2

กำรใ ประโ น์
ช้ ยช
ก๊ำ ซธรรมชำติ ง ต้ม
ก๊ำ ซหุ
ปิโ ตรเลีย มอีตัทอร์ ละลำย
เ ว ทำำ
ลิ กรอิน(lig in ตั ำ
โ
ro ) วทำ ละลำย
ก๊ำ ซโซ
ลี
น
เคโ ซี (k ro e e เชื้ งเครื่ น
ร น e s n ) อเพลิ องบิ
นำ้ำ มัน เชื้อ เพลิมัน ดีเ ซล
นำ้ำ ง
นำ้ำ มัน หล่อ ลื่น น (m ea o
นำ้ำ มั แร่ r l il)
in
ไขพำรำฟิน ตอย
ยำงมะ
สมบัต ิท ำงกำยภำพ
• สถำนะ ที่อุณหภูมิห้อง และควำมดัน
1 บรรยำกำศ
– อัลเคนโซ่ตรงที่มีคำร์บอน 1-4 อะตอม
ก๊ำ ซ
– อัลเคนที่มีคำร์บอน 5-17 อะตอม
ของเหลว
– อัลเคนที่มีคำร์บอนมำกกว่ำ 18 อะตอม
ของแข็ง

• ควำมหนำแน่น
• จุด เดือ ด
– เพิ่มขึ้นตามจำานวนคาร์บอน
• เพราะโมเลกุลขนาดใหญ่จะมีแรงยึดเหนียว
่
ระหว่างโมเลกุลมากกว่าโมเลกุลขนาดเล็ก

– อัลเคนโซ่กิ่งมีจุดเดือดตำ่ากว่าอัลเคนโซ่
ตรงที่มีคาร์บอนเท่ากัน
• โมเลกุลของอัลเคนโซ่กิ่งจะมีขนาดโมเลกุล
กระทัดรัดกว่าโซ่ตรง ทำาให้พื้นทีผิวสัมผัส
่
ระหว่างโมเลกุลน้อยลง แรง van de Waals
ซึงเป็นแรงระหว่างโมเลกุลจึงน้อยลงด้วย
่
อัล
แอลเคน
เคน

จำา
นวน จุ
ดหลอม- จุ อด ความหนาแน่
ดเดื
น
คาร์
บอน เหลว (oC
)
(oC
)
(gcm)
/ 3
5

-10
3

3
6

.6 6
2

6

-9
5

6
9

.6 9
5

6

-14
5

6
0

.6 3
5

6

-19
2

5
8

.6 2
6

6

-9
8

5
0

.6 9
4
• จุด หลอมเหลว
– มีแนวโน้มเพิ่มขึ้นตามจำานวนอะตอม
คาร์บอน

• การละลาย
– อัลเคนเป็นสารประกอบไม่มขั้วจึงไม่
ี
ละลายนำ้า
– ละลายในตัวทำาละลายไม่มีขั้วเช่น
ether, benzene
C4H10 : CH3CH2CH2CH3

but
ane

C5H12 : CH3CH2CH2CH2CH3

pentane

• อัลเคนที่มีหมู่ -CH2- เพิ่มขึ้นหรือลดลงทีละหมู่
เรียกว่า homologous series
CH3CHCH3

CH3

• อัลเคนที่เป็น CH3
CH3CHCH2CH3 ใน CH3CCH3
สมาชิก
CH3
homologous CH3
series เรียกว่า
homologs
Conformations ของอัล เคน
• การจัดเรียงตัวของอะตอมหรือหมูที่ต่างกัน
่
เนื่องจากการหมุนรอบพันธะเดี่ยว
• Stagger conformation เป็น
conformation ทีเ สถีย รที่ส ุด
่

θ = dihedral

angle
มุมระหว่าง
พันธะ C-H
ของ C อะตอม
หน้ากับ C
อะตอมหลัง

H
H

θ=60o
H

H

H
H

Saw horse
Newman Projection
•E
clipsed conformation

HH

H
H

θ=0o

H
H

Saw horse
Newman Projection
Newm projection
an
แทนอะตอมหน้า ที่อ ยู่ใ กล้ต า
แทนอะตอมหลัง ที่อ ยู่ไ กลตา
Conformations ของอัล เคน
การเตรีย มอัล เคน
1. H
ydrogenation ของอัล คีน
C
C

+

CH3CH=CH2
CH3 C CH2

H
H

Pd or Pt or Ni

H2

Ni
C2H5OH

+

H2

Ni
C2H5OH

+

H2

+

CH3

Pd
C2H5OH

C H
C H

CH3CH2CH3
CH3 CH CH3
CH3
2. Reduction ของอัล คิล เฮไลด์
2.1 reduce ด้วยโลหะ และ กรด
C X

+

H

Zn

CH3CH2 CH CH3
Br
CH3CH2 CH CH2 Br
CH3

Zn
H

+

Zn
H

+

+

C H

CH3CH2 CH2CH3

CH3CH2 CH CH3
CH3
2.2 hydrolysis ของ Grignard
reagent
C X

+

ether

Mg

C Mg X

H2O

C H

Grignard reagent

CH3CH2 CH CH2 Br
CH3

Zn
H

+

CH3CH2 CH CH2 Mg Br
CH3

H2O

CH3CH2 CH CH3
CH3
3. Corey-H
ouse synthesis ใช้
lithium dialkylcuprate

R'

X

ควร มูแอลคิลช ดm y 1 หรือoเท่านั้น
มีห ่
นิ eth l, o 2

RX

มีห แอลคิลเป็น นิ ดก็ ด้
มู่
ช ดใ ไ
I
Li
CH3 I

ether

CH3Li

CuI

(CH3)2CuLi

CH3CH2CH2CH2Br
CH3CH2CH2CH2CH3

จำานวน C ในผลิตภัณฑ์
มากกว่าสารตั้งต้น

CH3
4. ปฏิก ิร ิย า W
urtz

CH3CH2 Br
CH3
CH3CH2 CH Br

Na

Na

CH3CH2 CH2CH3
CH3 CH3
CH3CH2 CH CH CH2CH3

จำานวน C ในผลิตภัณฑ์เป็น 2
เท่าของสารตั้งต้น
ปฏิก ิร ิย าของอัล เคน
1. H
alogenation
C H

+

X2

CH3CH3

+

Cl2

CH3 CH2CH3

+

Cl2

แสงหรือค มร้อน
วา

แสง
hν

CH3CH2 Cl

C X

+

CH3 CH2CH2 Cl
45%

+

H X

H Cl

+

CH3 CH CH3
Cl
55%

ถ้าอัลเคนมี H มากกว่า 1 ชนิดจะได้
ผลิตภัณฑ์มากกว่า 1 ชนิดด้วย

+

H Cl
กลไกปฏิกิริยา
ขั้นเริ่มปฏิกิริยา (initiation step)
ขั้นดำาเนินปฏิกิริยา (propagation step)

ขั้นสิ้นสุดปฏิกิริยา (termination step)
•ชนิดของผลิตภัณฑ์แอลคิลเฮไลด์ RX ขึ้นกับชนิดของ alkyl radical ที่เกิด
ในขั้นดำาเนินปฏิกิริยา
•alkyl radical ที่เสถียรเกิดขึ้นมากกว่า
•ลำาดับเสถียรภาพของ alkyl radical
3o > 2o > 1o > •CH3
CH3 CH CH3

+

Br2

แสง

Br
CH3 CH CH2 Br
< 1%

-1o H
CH3 CH CH3
CH3

Br
-3o H

CH3 CH CH2
CH3

Br2

CH3
CH3 C

Br2

CH3

CH3 C CH3
CH3
> 99%

CH3

CH3

+

CH3 CH CH2 Br
CH3
CH3
CH3 C Br
CH3
2. ปฏิก ิร ิย า combustion

C5H12

+

O2

flame

5 CO2 + 6 H2O

∆H = -845 kcal

3. ปฏิก ิร ิย า pyrolysis หรือ cracking

CH3CH3

400-600 oC

H2

+

CH2 =CH2 + CH4
โครงสร้า งของไซโคลอัล เคน
• สารประกอบไฮโดรคาร์บอนอิ่มตัวซึ่งมี
โครงสร้างเป็นวง
• สูตรทั่วไป CnH2n โดย n เป็นเลขจำานวน
เต็ม 1, 2, 3
• คาร์บอนทุกอะตอม เป็น sp3-C
CH2
H2C CH2
สมบัต ิท างกายภาพ
• คล้ายกับอัลเคน
•

ไซโคลแอลเคนที่มีจำานวนอะตอม
คาร์บอนเท่ากับอัลเคน
จะมีจุดเดือดและความหนาแน่นสูง
กว่า
เสถีย รภาพของวง
• พิจารณาจากค่า
heat
of
combustion
• ไซโคลเฮกเซนเสถียรที่สุด
• ไซโคลโปรเปน และไซโคลบิวเทน
มีความเสถียรตำ่า
– โครงสร้างของวงมีค วามเครีย ดวง
(ring strain)
– ความเครีย ดวง
(ring strain)
ประกอบด้วย
angle strain
• คาร์บอน sp3 มีมุมพันธะ
109.5o
• ไซโคลโปรเปนและไซโค
ลบิวเทน
มีมุมพันธะ
ภายในวงเป็น 60o และ
90o
• พลังงานที่สงขึ้น
ู
เนื่องจากความแตกต่าง
ของมุมนี้เรียกว่า มุม

60o

90o
torsional
strain

• พันธะ C-H ในไซโคลโปร
เปน อยู่ในแนวซ้อนทับกัน
(eclipsed)
• ทำาให้ไซโคลโปรเปนมี
พลังงานสูงขึ้นกว่าโมเลกุล
ทั่วไปซึ่งสามารถจัดเรียง
พันธะในลักษณะที่ไม่ซ้อน
กัน (stagger)
• พลังงานที่สงขึ้นนี้เรียกว่า
ู
torsional strain

HH

CH2
HH
Conformations ของไซโคล
เฮกเซน
•ไซโคลเฮกเซนเสถียรที่สดเมื่อเทียบ
ุ
กับสารประกอบไซโคลอัลเคนอื่นๆ
•วงหกเหลี่ยมแบนราบมีมุมพันธะ
ภายในวง 120o
ซึ่งต่างจากมุม 109.5o ของ
คาร์บอน sp3 ค่อนข้างมาก
• โครงสร้างของวงไซโคลเฮกเซน
เป็น non planar
• คาร์บอนทั้ง 6 อะตอมไม่อยู่ใน

120o
•Chair Conformation ของไซ
โคลเฮกเซน

Axial
hydroge
quatorial hydrogen
n
Chair conformation เป็น
conformation เสถียรที่สุด

Newman projection
•B
oat Conformation ของไซ
โคลเฮกเซน

Flagpole
interaction

Newman projection
H

H

H

H
H
H
H

H
H

H
equatorial H

axial H

Chair conformation

flagpole interaction

H

H

H

H

Boat conformation

H

H
Chair conformation เสถียรทีสุดเพราะ
่
• มุมพันธะระหว่างคาร์บอนเป็น 109.5o
• ทุกพันธะอยู่ในตำาแหน่ง stagger

Boat conformation มีพลังงานสูงเพราะ
• มีพันธะอยู่ในลักษณะซ้อนกันแบบ eclipsed ทำาให้
มี torsional strain สูง
• อะตอมไฮโดรเจนบนคาร์บอนอะตอมที่ 1 และ 4
เกิดแรงผลัก van de Waals ซึ่งเรียกว่า flagpole
interaction
ไอโซเมอร์เ ชิง เรขาคณิต
(geometric isomer)
• พันธะในไซโคลอัลเคนเป็นพันธะที่ไม่
สามารถหมุน
ได้อย่างอิสระ
• ถ้ามีหมูแทนที่ในวง 2 หมู่ จะมีไอโซเมอร์
่
เชิงเรขาคณิตได้คอ
ื
– cis- หมู่แทนที่ทั้ง 2 หมู่ชี้ไปด้านเดียวกัน
ของระนาบวง
– trans- หมู่แทนที่ทั้ง 2 หมู่ชไปคนละด้าน
ี้
CH3

H3C
H

H

H3C

H

cis -1,2dimethylcyclopentane

H

CH3

trans- 1,2-dimethylcyclopentane
การเตรีย มไซโคลอัล เคน
• วิธที่ดัดแปลงจากปฏิกิริยา Wurtz
ี
reaction
BrCH2CH2CH2Br +

Zn

+ ZnBr2

BrCH2CH2CH2CH2Br +

Zn

+

ZnBr2
• hydrogenation ของไซโคลอัลคีน

+ H2

Pt
• การสังเคราะห์ Simmons-Smith
– วิธีนี้ใช้ในการเตรียมไซโคลโปรเปนจา
กอัลคีน
C

H2C

C

+

CH2

+

CH3CH CH2

CH2I2

CH2I2

+

Zn(Cu)
ether

Zn(Cu)
ether

CH2I2

Zn(Cu)
ether

C

C
C
H2

H2C

CH2
C
H2

CH3CH CH2
C
H2
ปฏิก ิร ิย าของไซโคลอัล เคน
• ไซโคลอัล เคน วงขนาดใหญ่ท ำา
ปฏิก ิร ิย าเหมือ นอัล เคน
• ไซโคลโปรเปน ไซโคลบิว เทนทำา
ปฏิก ิร ิย าแตกต่า งจากอัล เคน เพราะไม่
เสถีย ร มีค วามเครีย ดวงสูง
ปฏิก ร ิย าของไซโคลอัล เคน
ิ
• Halogenation
• ปฏิกิริยาเปิดวงของไซโคลโปรเปน ไซ
โคลบิวเทน
H2C

CH2

H2C

CH2

+

CH2
H2C

+
CH

Cl2

Cl2

FeCl3

FeCl3

ClCH2CH2CH2CH2Cl

ClCH2CH2CH2Cl

2

+

Pd
H2

CH3CH2CH3

256121 ch2 hc 1-alkane & cycloalkane

  • 1.
  • 2.
    Functional Group สามารถจัด แบ่งหมวดหมู่ข อง สารประกอบอิน ทรีย ์ต ามโครงสร้า ง (Structure) ซึ่ง สัม พัน ธ์ก ับ ความว่อ งไวใน ional Group (หมุฟ ัง ก์ช น , หมู(reactivity) ่ การเกิด ปฏิก ิร ิย ั าเคมี ่ท ำา หน้า ที่) กลุ่มของอะตอมภายในโมเลกุลซึ่งมีลักษณะเฉพาะที่ แสดงถึงสมบัติทางเคมี โดยหลักการแล้วโมเลกุลทีมหมูฟงก์ชันประเภทเดียวกัน ่ ี ่ ั จะสามารถเกิดปฏิกิริยาเคมี ในลักษณะเดียวกันโดยไม่ข ึ้น กับ ขนาดหรือ ความซับ ซ้อ นของโมเลกุล ทังนีไม่ได้หมายรวมถึงความว่องไวในการเกิดปฏิกิริยา ้ ้
  • 8.
    สารประกอบไฮโดรคาร์บ อน Hydrocarbon : สารประกอบที่มี C และ H เป็น องค์ป ระกอบ ั อาจจำา แนกได้ด ง นี้ • สารประกอบไฮโดรคาร์บ อนอิ่ม ตัว (Saturated hydrocarbon) : สารประกอบไฮโดรคาร์บ อนที่ม พ ัน ธะ ี เดี่ย วทั้ง หมด • สารประกอบไฮโดรคาร์บ อนไม่อ ิ่ม ตัว (Unsaturated hydrocarbon) :
  • 9.
    • อัล ลิฟาติก ไฮโดรคาร์บ อน (Aliphatic hydrocarbon) : สารประกอบไฮโดรคาร์บ อนที่ อาจเป็น สายโซ่ เป็น วงอิ่ม หรือ ไม่อ ิ่ม ตัว แต่ไ ม่ม ีส มบัต ิอ ะโร มาติก • อัล เคน (Alkane) : สารประกอบ • อะโรมาติก ไฮโดรคาร์บ อน ไฮโดรคาร์บ อนอิ่ม ตัว (Aromatic hydrocarbon) : • อัล คีน (Alkene) : สารประกอบ ี สารประกอบไฮโดรคาร์บ อนที่ม ไฮโดรคาร์บ อนที่ม ีพ ัน ธะคู่ สมบัต ิอ ะโรมาติก
  • 10.
  • 11.
    โครงสร้า งของอัล เคน •สารประกอบไฮโดรคาร์บอนอิ่มตัว • สูตรทั่วไป CnH2n+2 โดย n เป็นเลขจำานวนเต็ม 1, 2, 3 • คาร์บอนทุกอะตอม เป็น sp3-C • โครงสร้างแบบโซ่ตรง (straight chain) และโซ่ กิ่ง (branched chain) • โครงสร้างของสายโซ่คาร์บอนเป็นแบบ zigzag
  • 12.
    • ตัว อย่างสารประกอบแอลเคน • constitutional isomer (structural isomer) C4H10 : CH3CH2CH2CH3 CH3CHCH3 CH3 CH3 C5H12 : CH3CH2CH2CH2CH3 CH3CHCH2CH3 CH3 CH3CCH3 CH3
  • 19.
    Table 1 CommonAlkyl Groups
  • 24.
  • 26.
  • 37.
    แหล่ง กำำ เนิดและประโยชน์ จุ อด (oC ดเดื ) จำำ นวน คำร์ บอน ตำ่ำ ำ 2 กว่ 0 C -C 1 4 2 -6 0 0 C -C 5 6 6 -10 0 0 C -C 6 7 4-20 0 0 C - C0 5 1 1 5- 3 5 7 2 C2- C8 1 1 2 0- 4 0 5 0 C2ขึ้น ไป 1 ของเหลวไ ม่ระเหย C0ขึ้น ไป 2 ข งไ องแข็ ม่ระเหย C0ขึ้น ไป 2 กำรใ ประโ น์ ช้ ยช ก๊ำ ซธรรมชำติ ง ต้ม ก๊ำ ซหุ ปิโ ตรเลีย มอีตัทอร์ ละลำย เ ว ทำำ ลิ กรอิน(lig in ตั ำ โ ro ) วทำ ละลำย ก๊ำ ซโซ ลี น เคโ ซี (k ro e e เชื้ งเครื่ น ร น e s n ) อเพลิ องบิ นำ้ำ มัน เชื้อ เพลิมัน ดีเ ซล นำ้ำ ง นำ้ำ มัน หล่อ ลื่น น (m ea o นำ้ำ มั แร่ r l il) in ไขพำรำฟิน ตอย ยำงมะ
  • 38.
    สมบัต ิท ำงกำยภำพ •สถำนะ ที่อุณหภูมิห้อง และควำมดัน 1 บรรยำกำศ – อัลเคนโซ่ตรงที่มีคำร์บอน 1-4 อะตอม ก๊ำ ซ – อัลเคนที่มีคำร์บอน 5-17 อะตอม ของเหลว – อัลเคนที่มีคำร์บอนมำกกว่ำ 18 อะตอม ของแข็ง • ควำมหนำแน่น
  • 39.
    • จุด เดือด – เพิ่มขึ้นตามจำานวนคาร์บอน • เพราะโมเลกุลขนาดใหญ่จะมีแรงยึดเหนียว ่ ระหว่างโมเลกุลมากกว่าโมเลกุลขนาดเล็ก – อัลเคนโซ่กิ่งมีจุดเดือดตำ่ากว่าอัลเคนโซ่ ตรงที่มีคาร์บอนเท่ากัน • โมเลกุลของอัลเคนโซ่กิ่งจะมีขนาดโมเลกุล กระทัดรัดกว่าโซ่ตรง ทำาให้พื้นทีผิวสัมผัส ่ ระหว่างโมเลกุลน้อยลง แรง van de Waals ซึงเป็นแรงระหว่างโมเลกุลจึงน้อยลงด้วย ่
  • 40.
    อัล แอลเคน เคน จำา นวน จุ ดหลอม- จุอด ความหนาแน่ ดเดื น คาร์ บอน เหลว (oC ) (oC ) (gcm) / 3 5 -10 3 3 6 .6 6 2 6 -9 5 6 9 .6 9 5 6 -14 5 6 0 .6 3 5 6 -19 2 5 8 .6 2 6 6 -9 8 5 0 .6 9 4
  • 41.
    • จุด หลอมเหลว –มีแนวโน้มเพิ่มขึ้นตามจำานวนอะตอม คาร์บอน • การละลาย – อัลเคนเป็นสารประกอบไม่มขั้วจึงไม่ ี ละลายนำ้า – ละลายในตัวทำาละลายไม่มีขั้วเช่น ether, benzene
  • 42.
    C4H10 : CH3CH2CH2CH3 but ane C5H12: CH3CH2CH2CH2CH3 pentane • อัลเคนที่มีหมู่ -CH2- เพิ่มขึ้นหรือลดลงทีละหมู่ เรียกว่า homologous series CH3CHCH3 CH3 • อัลเคนที่เป็น CH3 CH3CHCH2CH3 ใน CH3CCH3 สมาชิก CH3 homologous CH3 series เรียกว่า homologs
  • 43.
    Conformations ของอัล เคน •การจัดเรียงตัวของอะตอมหรือหมูที่ต่างกัน ่ เนื่องจากการหมุนรอบพันธะเดี่ยว
  • 44.
    • Stagger conformationเป็น conformation ทีเ สถีย รที่ส ุด ่ θ = dihedral angle มุมระหว่าง พันธะ C-H ของ C อะตอม หน้ากับ C อะตอมหลัง H H θ=60o H H H H Saw horse Newman Projection
  • 45.
  • 46.
    Newm projection an แทนอะตอมหน้า ที่อยู่ใ กล้ต า แทนอะตอมหลัง ที่อ ยู่ไ กลตา
  • 47.
  • 48.
    การเตรีย มอัล เคน 1.H ydrogenation ของอัล คีน C C + CH3CH=CH2 CH3 C CH2 H H Pd or Pt or Ni H2 Ni C2H5OH + H2 Ni C2H5OH + H2 + CH3 Pd C2H5OH C H C H CH3CH2CH3 CH3 CH CH3 CH3
  • 49.
    2. Reduction ของอัลคิล เฮไลด์ 2.1 reduce ด้วยโลหะ และ กรด C X + H Zn CH3CH2 CH CH3 Br CH3CH2 CH CH2 Br CH3 Zn H + Zn H + + C H CH3CH2 CH2CH3 CH3CH2 CH CH3 CH3
  • 50.
    2.2 hydrolysis ของGrignard reagent C X + ether Mg C Mg X H2O C H Grignard reagent CH3CH2 CH CH2 Br CH3 Zn H + CH3CH2 CH CH2 Mg Br CH3 H2O CH3CH2 CH CH3 CH3
  • 51.
    3. Corey-H ouse synthesisใช้ lithium dialkylcuprate R' X ควร มูแอลคิลช ดm y 1 หรือoเท่านั้น มีห ่ นิ eth l, o 2 RX มีห แอลคิลเป็น นิ ดก็ ด้ มู่ ช ดใ ไ
  • 52.
    I Li CH3 I ether CH3Li CuI (CH3)2CuLi CH3CH2CH2CH2Br CH3CH2CH2CH2CH3 จำานวน Cในผลิตภัณฑ์ มากกว่าสารตั้งต้น CH3
  • 53.
    4. ปฏิก ิริย า W urtz CH3CH2 Br CH3 CH3CH2 CH Br Na Na CH3CH2 CH2CH3 CH3 CH3 CH3CH2 CH CH CH2CH3 จำานวน C ในผลิตภัณฑ์เป็น 2 เท่าของสารตั้งต้น
  • 54.
    ปฏิก ิร ิยาของอัล เคน 1. H alogenation C H + X2 CH3CH3 + Cl2 CH3 CH2CH3 + Cl2 แสงหรือค มร้อน วา แสง hν CH3CH2 Cl C X + CH3 CH2CH2 Cl 45% + H X H Cl + CH3 CH CH3 Cl 55% ถ้าอัลเคนมี H มากกว่า 1 ชนิดจะได้ ผลิตภัณฑ์มากกว่า 1 ชนิดด้วย + H Cl
  • 55.
  • 56.
    •ชนิดของผลิตภัณฑ์แอลคิลเฮไลด์ RX ขึ้นกับชนิดของalkyl radical ที่เกิด ในขั้นดำาเนินปฏิกิริยา •alkyl radical ที่เสถียรเกิดขึ้นมากกว่า •ลำาดับเสถียรภาพของ alkyl radical 3o > 2o > 1o > •CH3
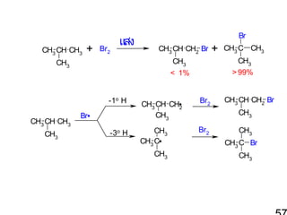
  • 57.
    CH3 CH CH3 + Br2 แสง Br CH3CH CH2 Br < 1% -1o H CH3 CH CH3 CH3 Br -3o H CH3 CH CH2 CH3 Br2 CH3 CH3 C Br2 CH3 CH3 C CH3 CH3 > 99% CH3 CH3 + CH3 CH CH2 Br CH3 CH3 CH3 C Br CH3
  • 58.
    2. ปฏิก ิริย า combustion C5H12 + O2 flame 5 CO2 + 6 H2O ∆H = -845 kcal 3. ปฏิก ิร ิย า pyrolysis หรือ cracking CH3CH3 400-600 oC H2 + CH2 =CH2 + CH4
  • 59.
    โครงสร้า งของไซโคลอัล เคน •สารประกอบไฮโดรคาร์บอนอิ่มตัวซึ่งมี โครงสร้างเป็นวง • สูตรทั่วไป CnH2n โดย n เป็นเลขจำานวน เต็ม 1, 2, 3 • คาร์บอนทุกอะตอม เป็น sp3-C CH2 H2C CH2
  • 60.
    สมบัต ิท างกายภาพ •คล้ายกับอัลเคน • ไซโคลแอลเคนที่มีจำานวนอะตอม คาร์บอนเท่ากับอัลเคน จะมีจุดเดือดและความหนาแน่นสูง กว่า
  • 61.
    เสถีย รภาพของวง • พิจารณาจากค่า heat of combustion •ไซโคลเฮกเซนเสถียรที่สุด • ไซโคลโปรเปน และไซโคลบิวเทน มีความเสถียรตำ่า – โครงสร้างของวงมีค วามเครีย ดวง (ring strain) – ความเครีย ดวง (ring strain) ประกอบด้วย
  • 62.
    angle strain • คาร์บอนsp3 มีมุมพันธะ 109.5o • ไซโคลโปรเปนและไซโค ลบิวเทน มีมุมพันธะ ภายในวงเป็น 60o และ 90o • พลังงานที่สงขึ้น ู เนื่องจากความแตกต่าง ของมุมนี้เรียกว่า มุม 60o 90o
  • 63.
    torsional strain • พันธะ C-Hในไซโคลโปร เปน อยู่ในแนวซ้อนทับกัน (eclipsed) • ทำาให้ไซโคลโปรเปนมี พลังงานสูงขึ้นกว่าโมเลกุล ทั่วไปซึ่งสามารถจัดเรียง พันธะในลักษณะที่ไม่ซ้อน กัน (stagger) • พลังงานที่สงขึ้นนี้เรียกว่า ู torsional strain HH CH2 HH
  • 64.
    Conformations ของไซโคล เฮกเซน •ไซโคลเฮกเซนเสถียรที่สดเมื่อเทียบ ุ กับสารประกอบไซโคลอัลเคนอื่นๆ •วงหกเหลี่ยมแบนราบมีมุมพันธะ ภายในวง 120o ซึ่งต่างจากมุม109.5o ของ คาร์บอน sp3 ค่อนข้างมาก • โครงสร้างของวงไซโคลเฮกเซน เป็น non planar • คาร์บอนทั้ง 6 อะตอมไม่อยู่ใน 120o
  • 65.
    •Chair Conformation ของไซ โคลเฮกเซน Axial hydroge quatorialhydrogen n Chair conformation เป็น conformation เสถียรที่สุด Newman projection
  • 66.
  • 67.
    H H H H H H H H H H equatorial H axial H Chairconformation flagpole interaction H H H H Boat conformation H H
  • 68.
    Chair conformation เสถียรทีสุดเพราะ ่ •มุมพันธะระหว่างคาร์บอนเป็น 109.5o • ทุกพันธะอยู่ในตำาแหน่ง stagger Boat conformation มีพลังงานสูงเพราะ • มีพันธะอยู่ในลักษณะซ้อนกันแบบ eclipsed ทำาให้ มี torsional strain สูง • อะตอมไฮโดรเจนบนคาร์บอนอะตอมที่ 1 และ 4 เกิดแรงผลัก van de Waals ซึ่งเรียกว่า flagpole interaction
  • 69.
    ไอโซเมอร์เ ชิง เรขาคณิต (geometricisomer) • พันธะในไซโคลอัลเคนเป็นพันธะที่ไม่ สามารถหมุน ได้อย่างอิสระ • ถ้ามีหมูแทนที่ในวง 2 หมู่ จะมีไอโซเมอร์ ่ เชิงเรขาคณิตได้คอ ื – cis- หมู่แทนที่ทั้ง 2 หมู่ชี้ไปด้านเดียวกัน ของระนาบวง – trans- หมู่แทนที่ทั้ง 2 หมู่ชไปคนละด้าน ี้
  • 70.
  • 71.
    การเตรีย มไซโคลอัล เคน •วิธที่ดัดแปลงจากปฏิกิริยา Wurtz ี reaction BrCH2CH2CH2Br + Zn + ZnBr2 BrCH2CH2CH2CH2Br + Zn + ZnBr2
  • 72.
  • 73.
    • การสังเคราะห์ Simmons-Smith –วิธีนี้ใช้ในการเตรียมไซโคลโปรเปนจา กอัลคีน C H2C C + CH2 + CH3CH CH2 CH2I2 CH2I2 + Zn(Cu) ether Zn(Cu) ether CH2I2 Zn(Cu) ether C C C H2 H2C CH2 C H2 CH3CH CH2 C H2
  • 74.
    ปฏิก ิร ิยาของไซโคลอัล เคน • ไซโคลอัล เคน วงขนาดใหญ่ท ำา ปฏิก ิร ิย าเหมือ นอัล เคน • ไซโคลโปรเปน ไซโคลบิว เทนทำา ปฏิก ิร ิย าแตกต่า งจากอัล เคน เพราะไม่ เสถีย ร มีค วามเครีย ดวงสูง
  • 75.
    ปฏิก ร ิยาของไซโคลอัล เคน ิ • Halogenation
  • 76.

Editor's Notes