Enzymes-3

Isoenzymes
Clinical enzymology




           RITTU CHANDEL
           05-02-13
ISOENZYMES
 Isoenzymes or isozymes are mutiple
  forms of same enzyme that catalyse
  the same chemical reaction
 Different chemical and physical
  properties:
 Electrophoretic mobility
 Kinetic properties
 Amino acid sequence
 Amino acid composition

                                       2
S.   Property           E.g.
No
1    Electrophoretic    Isoenzymes of Lactate dehydrogenase have
     mobility           different electrophoretic mobility
2    Heat stability     Alkaline phosphatase isoenzymes are either
                        heat labile or stable
3    Inhibitor          An inhibitor can inhibit only one isoenzyme
                        of an enzyme eg. Acid phosphatase
4    Km                 Glucokinase and hexokinase
5    Cofactors          Mitochondrial isocitrate dehydrogenase
                        requires NAD+ , cytosolic form requires
                        NADP+
6    Tissue localisation LDH 1 is present in heart, LDH 5 in muscle
7    Antibodies         For creatine kinase, each isoenzyme can be
                        bound only by a specific antibody             3
Lactate dehydrogenase (LDH)
 E.C – 1.1.1.27
 L-lactate :NAD+ oxidoreductase:LDH
 Molecular weight- 134 kDa
 tetramer
 M (A) -muscle –chromosome
  11(basic)
 H (B) -heart – chromosome 12(acidic)



                                         4
Lactate dehydrogenase (LDH)




  Normal values
  Serum -100 -200 U/L
  CSF - 7 -30 U/L
  Urine - 40 -100 U/L
                          5
Isoenzyme Composition Electrophore Present in       Elevated in
name                  tic migration

LDH 1         ( H 4)   Fastest      Myocardium,     myocardial
Heat                   moving       RBC,kidney      infarction
resistant
LDH2          (H3M1)                Myocardium,     Kidney
Heat                                RBC,kidney      disease,megalo
resistant                                           blastic anemia


LDH3          (H2M2)                brain           Leukemia,malig
                                                    nancy

LDH4          (H1M3)                Lung,spleen     Pulmonary
Heat labile                                         infarction

LDH5         (M4)      Slowest      Skeletal        Skeletal muscle
Heat labile            moving       muscle, Liver   and liver
Inhibited by                                        diseases
urea                                                              6
Lactate dehydrogenase (LDH)
This is an example in which two duplicated genes have
become specialized to different tissues.

The isozymes are also differentially expressed in
different developmental stages. Before birth the heart
is more anaerobic compared with adulthood. Indeed,
before birth the main isozyme in the heart is the M4,
and with time it switches to HM3 (at birth), to H2M2
and HM3 at 1 year after birth, and to H3M AND H4
after 2 years.
                            My main LDH is HM3. Great!
                             My main LDH is HM3


                                                         7
Atypical forms of LDH
 sixth isoenzyme LDH- X
 Seventh isoenzyme – LDH -6




                               8
Clinical significance of LDH
   Myocardial infarction (LDH 1>LDH2)
   Megaloblastic anemia (50 times upper
    limit of LDH 1 and LDH 2)
   Muscular dystrophy (LDH 5)
   Toxic hepatitis with jaundice (10 times
    more LDH 5)
   Renal disease- tubular necrosis or
    pyelonepheritis
   Pulmonary embolism LDH 3 (massive
    destruction of platelets)

                                              9
 Leukemia (LDH 2 and LDH 3)
 Malignancy (LDH 3)
 Hodgkins disease
 germ cell tumors
 Urinary LDH-3 to 6 times normal:
      chronic glomerulonephritis
      Systemic lupus erythematosus
      Diabetic nephrosclerosis
      Bladder and kidney malignancies
                                        10
 In CSF:
 Bacterial meningitis – LDH 4 and LDH
  5
 Viral meningitis     - LDH 1
 Metastatic tumors - LDH 5
 Neonatal cases of intracranial
  haemorrhage associated with seizures
  and hydrocephalus

                                     11
LDH in starch gel
                    The H(B) monomer
                    is very negatively charged




                                           12
CREATINE
PHOSPHOKINASE
 Adenosine triphosphate:creatine N-
  phosphotransferase
 E.C-2.7.3.2
 Dimeric enzyme (82 kDa)
 4 -60 IU/L




                                       13
14
 Enzyme unstable in serum
 Activity lost due to sulfhydryl group
  oxidation at active site
 Dimer (each of 41000 Da)
      B (brain) – chromosome 14
      M (muscle) –chromosome 19




                                          15
Isoenzy
            Compo
me                 Present in               Elevated in
            sition
name

CK-1                 Brain,prostate,GI
Fast        BB       tract,lung,bladder,uteru CNS diseases
moving               s,placenta

CK-2
                                            Acute myocardial
2% of       MB       Myocardium/ Heart
                                            infarction
total

CK-3
                     Skeletal muscle,
Slow        MM
                     Myocardium
moving

          All 3 in cytosol                                   16
17
atypical forms of CK
 Fourth form - CK-Mt (chromosome 15)
                severe illness
                Malignant tumors
 macroCK
      type 1- CK BB complexed with
  IgG
       type 2-oligomeric CK-Mt


                                    18
Clinical significance of CK
   CK 1 elevated:
       very low birth weight newborns
        brain damage in neonates
        neurological injury –CK 1 rise in
    CSF
           >200 U/L –die
            100 – 200 U/L – survive with
    neurological defecits
            <100 U/L – good chance of
    recovery
                                            19
Elevated CK 1
 Adenocarcinomas of GI tract
 Carcinoma lung
 Ca
  prostate,bladder,testes,kidneys,breast,
  ovaries,uterus,CNS,leukemia,lympho
  ma and sarcoma




                                        20
Elevated CK 2:
       myocardial infarction
       head injuries
       subarachnoid haemorrhage
       exercise
Elevated CK 3:
        muscular dystrophies(DMD-
 10000 IU/L)
        myopathies
        hypothyroidism (5 fold more than
 normal value,also CK 2 is elevated)
                                           21
Alkaline phosphatase (ALP)
 E.C -3.1.3.1.
 Orthophosphoric monoester
  phosphohydrolase
 In mucosa of small intestine, proximal
  convoluted tubule, bone, liver,
  placenta
 Catalyses alkaline hydrolysis of
  naturally occuring and synthetic
  substrates
                                           22
Isoenzymes of ALP
   Alpha 1 ALP-epithelial cells of biliary canaliculi
   Alpha 2 heat labile ALP- hepatic cells
   Alpha 2 heat stable ALP-not destroyed at 65˚C
                          inhibited by phenylalanine
                          placental
   Pre beta ALP – bone,heat labile
   Gamma ALP – intestinal cells
                 inhibited by phenylalanine
   Leukocyte alkaline phosphatase –decreased in CML
                                    increase in lymphoma
       ATYPICAL ISOENZYMES
   Regan isoenzyme-heat stable,inhibited by L-phenylalanine
   Nagao isoenzyme- variant of regan
                     inhibited by L-leucine


                                                               23
Clinical significance
   Hepatobiliary disease
   Hepatic carcinoma
   Hepatic metastases
   Pagets disease (10 – 25 times)
   Bone cancer
   Healing of bone fracture
   Osteomalacia and rickets
   Hyperparathyroidism
   Ca of ovary,uterus-regan isoenzyme
   Metastatic Ca of pleural surfaces –Nagao
    isoenzyme

                                               24
Acid phospatases
acid phosphatses
E.C -3.1.3.2.
Hydrolyse phosphoric acid ester at pH 5 -6
In lysosomes
Extalysosomal-
  prostate,bone,spleen,platelet,
  liver,kidney (pH - 5)
 RBC (pH – 6)


0 – 0.6 U/L
Extremly heat labile
                                         25
   Isoenzyme of ACP     inhibitor
    prostatic          dextrorotatory
                       tartarate ions
Erythrocytic            formaldehyde
                       cupric ions
Majorly the serum contains tartarate
 resistant ACP (originating in
 osteoclasts)

                                        26
Clinical significance
 To detect, monitor Ca prostate
 Tartarate resistant ACP increase in
  pagets disease and bone cancer
 Marker of bone disease-increases in:
    giant cell tumor of bone
    normal growing children
Gauchers disease
In high concentrations in semen

                                         27
SERUM AMYLASE(calcium
metalloenzyme)
 E.C -3.2.1.1.
 Molecular weight -54 -62 kDa
 From salivary gland and pancreas
 Enzymes are products of 2 closely
  linked loci on chromosome 1



   macroamylases

                                      28
29
Serum aldolase
 Tetramer
 Catalyses interconversion of fructose-
  1,6-bi-phosphate and triose phosphate
 5 isoenzymes
 Subunits
    A
     B
1- 7.5 U/L
Skeletal muscle,liver,brain,heart

                                       30
Clinical significance of serum
aldolase
 Elevated in:
 Progressive muscular dystrophy
  particularly high in DMD
 Viral hepatitis
 Advanced cancer of prostate




                                   31
SOURCES


           PLASMA                  CELL
        DERIVED/PLASM         DERIVED/PLASM
          A SPECIFIC          A NON SPECIFIC

 BLOOD COAGULATION
      ENZYMES
    FERROXIDASE
 LIPOPROTEIN LIPASE
PSEUDOCHOLINESTERA
         SE             SECRETOR
                                           METABOLIC
                            Y




                                                       32
Mechanisms responsible for
           abnormal levels

          Increased serum                      decreased serum
                level                                level




  Increased           Impaired     Decreased           Enzyme
    release           excretion    formation          inhibition




 Cell           Increased
necrosi         permeabilit       genetic      acquired
  s                  y
                                                                   33
34
Enzymes in blood

 Cell
 death
         Defects in cellular
         membrane

         Release of cytoplasmic
         enzymes initially

         In infarctions
                                  35
Elevation of enzymes in blood


        No.of cell   Gradient of
         injured     cell/plasma



        Rate of       Rate of
        enzyme       clearance
        entry in        from
        plasma        plasma



                                   36
Serum enzyme assay in clinical
practice
 In diagnosis
 In differential diagnosis
 In prognosis
 Early detection of disease




                                 37
Serum transaminases




                      38
Serum transaminases
 Catalyse interconversion of
  aminoacids to ketoacids by transfer of
  amino group
 AST-aspartate
  aminotransferases(SGOT)
10-30 U/L
 ALT-alanine aminotransferases
  (SGPT)
10-40 U/L
Both present in plasma,bile,CSF,saliva     39
Gamma glutamyl
transpeptidases (GGT)
 E.C -2.3.2.2.
 Γ – glutamyl – peptide:amino acid Γ –
  glutamyl transferases
 In proximal convoluted
  tubule,liver,pancreas,intestine
 Clinical significance
       hepatobiliary disease
       neoplasms
       heavy drinkers

                                          40
cholinesterase
 Hydrolyse acetylcholine
 Types-
     acetylcholinestarase -3.1.1.7
     pseudocholinesterase – 3.1.1.8
Clinical significance
    insecticide poisoning
    atypical form of enzymes who are at
  risk to muscle relaxants
     sensitive indicator of synthetic capacity
  of liver
                                             41
Glucose – 6 –phosphate
dehydrogenase
   Dimer with identical subunits
   In HMP - for production of NADPH

   G-6-P + NADP+       6-PG + NADPH + H+


    hemolytic anemia
    prolonged neonatal jaundice
   conditions are directly related to the inability
    of specific cell types to regenerate reduced
    nicotinamide adenine dinucleotide phosphate
    (NADPH)

                                                   42
Serum lipase
 E.C – 3.1.1.3.
 Molecular weight -48 kDa
 Hydrolyses glycerol esters of long
  chain fatty acids
 Pancreas, intestinal and gastric
  mucosa
 0.2 – 1.0 U/L



                                       43
Serum enzymes in cardiac
diseases
                          Why enzyme diagnosis?
                                Enzyme assays




             Creatine phosphokinase (CPK)
             Aspartate transaminases (SGOT OR
                             AST)

              Lactate dehydrogenase (LDH)

             γ-Glutamyl transpeptidase (GGTP)

                       Histaminase

                  Pseudocholinesterase




                                                  44
Cardiac biomarkers in
myocardial infarction




                        45
Onset peak
     duration
                      3-6 hrs    18-24 hrs    36-72
 CK-MB                hrs
 4.5-20% of total


Troponins           4-10hrs
                    days
                                 18-24        8-14



   LDH                6-12hrs     24-48 hrs    6-8 days
 Flipped pattern

                     24-36 hrs    4-5days      10-12
   AST               d


Myoglobin            1-4hrs      6-7hrs       24hrs



                                                       46
Serum enzymes in GI tract
diseases
Serum amylase

A cute pancreatitis-4 -6 fold increase in 2 -12 hrs ,
maximum level 12 -72 hrs , normal in 3 - 4 day

Urinary amylase - increased on 1st day and remains
elevated till 8- 10 day

Ca pancreas- amylase in ascitic and pleural fluid


Cholecystitis – 4 fold elevation


                                                        47
Serum lipase


Acute pancreatitis:


2 -50 times in 4 -8
hrs,peaks at 24
hrs,decreases in 8 -14 days
                              48
Serum enzymes in liver
disease
                 Severe toxic hepatitis
                 Extrahepatic cholestasis
                 Cirrhosis (AST>ALT)
    Serum
transaminases    Hepatic carcinoma (5 -10 fold rise)



                 Hepatobiliary disease
                 Extrahepatic obstruction (10- 15 times)
Serum alkaline
phosphatases




                                                           49
• Toxic hepatitis with jaundice (10 times more
  Serum LDH
                    LDH 5)



                  Extrahepatic and intrahepatic causes (2 -6 fold incre
 5’nucleotidase   Early infectious hepatitis


                   Alcoholic cirrhosis and alcoholics
Gamma glutamyl
                   Hepatic carcinoma
  transferase




                                                                   50
Serum enzymes in muscle
diseases
Serum aldolase
             Progressive muscular dystrophy


                 muscular dystrophies
CPK

                 myopathies

                 hypothyroidism (5 fold more than
                 normal value,also CK 2 is
                 elevated)
SGOT/SGPT           Muscular dystrophy and dermatomyositis


                                                       51
Serum enzymes in bone
diseases
            •   Pagets disease (10 – 25 times)
            •   Bone cancer
  Alkaline  •   Healing of bone fracture
phosphatase •   Osteomalacia and rickets



            • Marker of bone disease-increases in:
   Acid     • giant cell tumor of bone
phosphatase • normal growing children



                                                     52
As tumor markers
   Aldolase-liver
   ALP – bone,liver,leukemia,sarcoma
   Placental ALP – ovarian,lung,hodgkins
   Amylase – pancreatic
   CPK BB –
    prostate,lung,breast,colon,ovarian
   GGT – liver
   LDH – liver,lymphoma,leukemia
   Neuron specific enolase – tumors of
    neuroendocrine origin                   53
Prostate specific antigen (PSA or
semenogelase)
 From secretory epithelium of prostate
  gland
 32 kDa glycoprotein
 Mild Serine protease activity
 1- 5 μg/L
Levels between 4 -10 μg/L –increased risk
  of prostate cancer
 >10 μg/L - suggestive of Ca prostate
 >20 μg/L - Ca prostate with metastases

                                            54
Enzymes-therapeutic agent
1.Streptokinase
        plasminogen
             streptokinase
         plasmin

  fibrin          soluble product

2.urokinase

                                    55
3. Bacterial asparginase
     in leukemia
4.α- chymotrypsin-extraction of lens
5.Chymotrypsin,papain –anti
  inflammatory
6.Collagenase – debridment of dermal
  ulcers
7.Fibrinolysin – venous thrombosis,
  pulmonary embolism
8.Hyaluronidase – rapid absorption of
  drugs injected subcutaneously
                                        56
9.Lysosome –antibacterial (eye
  infections)
10.Trypsin – clean wounds
      treatment of acute
  thrombophlebitis




                                 57
 Analytical use of enzymes
    as reagents



    as labels




                              58
Alcohol
                Ethanol
dehydrogenase



   Lactate      Lactate
dehydrogenase


   Glucose      Glucose
 oxidase and
 peroxidase



   Uricase      Uric acid


   Urease
                Urea

 Cholesterol
 oxidase and
 peroxidase     cholesterol

                              59
As labels
 In immunoassays
      for determining concentration of
  drugs, hormones
 Glucose -6- phosphate
  dehydrogenase
 Alkaline phosphatase
 Beta galactosidase
 peroxidase


                                          60
BIBLOGRAPHY
   T.B. OF BIOCHEMISTRY:
   SATYANARAYAN
   VASUDEVAN
   PANKAJA NAIK
   RANA SHINDE
   TEITZ
   HARRISON-INTERNAL MEDICINE


         THANK       YOU
                                 61

isoenzymes

  • 1.
  • 2.
    ISOENZYMES  Isoenzymes orisozymes are mutiple forms of same enzyme that catalyse the same chemical reaction  Different chemical and physical properties:  Electrophoretic mobility  Kinetic properties  Amino acid sequence  Amino acid composition 2
  • 3.
    S. Property E.g. No 1 Electrophoretic Isoenzymes of Lactate dehydrogenase have mobility different electrophoretic mobility 2 Heat stability Alkaline phosphatase isoenzymes are either heat labile or stable 3 Inhibitor An inhibitor can inhibit only one isoenzyme of an enzyme eg. Acid phosphatase 4 Km Glucokinase and hexokinase 5 Cofactors Mitochondrial isocitrate dehydrogenase requires NAD+ , cytosolic form requires NADP+ 6 Tissue localisation LDH 1 is present in heart, LDH 5 in muscle 7 Antibodies For creatine kinase, each isoenzyme can be bound only by a specific antibody 3
  • 4.
    Lactate dehydrogenase (LDH) E.C – 1.1.1.27  L-lactate :NAD+ oxidoreductase:LDH  Molecular weight- 134 kDa  tetramer  M (A) -muscle –chromosome 11(basic)  H (B) -heart – chromosome 12(acidic) 4
  • 5.
    Lactate dehydrogenase (LDH) Normal values Serum -100 -200 U/L CSF - 7 -30 U/L Urine - 40 -100 U/L 5
  • 6.
    Isoenzyme Composition ElectrophorePresent in Elevated in name tic migration LDH 1 ( H 4) Fastest Myocardium, myocardial Heat moving RBC,kidney infarction resistant LDH2 (H3M1) Myocardium, Kidney Heat RBC,kidney disease,megalo resistant blastic anemia LDH3 (H2M2) brain Leukemia,malig nancy LDH4 (H1M3) Lung,spleen Pulmonary Heat labile infarction LDH5 (M4) Slowest Skeletal Skeletal muscle Heat labile moving muscle, Liver and liver Inhibited by diseases urea 6
  • 7.
    Lactate dehydrogenase (LDH) Thisis an example in which two duplicated genes have become specialized to different tissues. The isozymes are also differentially expressed in different developmental stages. Before birth the heart is more anaerobic compared with adulthood. Indeed, before birth the main isozyme in the heart is the M4, and with time it switches to HM3 (at birth), to H2M2 and HM3 at 1 year after birth, and to H3M AND H4 after 2 years. My main LDH is HM3. Great! My main LDH is HM3 7
  • 8.
    Atypical forms ofLDH  sixth isoenzyme LDH- X  Seventh isoenzyme – LDH -6 8
  • 9.
    Clinical significance ofLDH  Myocardial infarction (LDH 1>LDH2)  Megaloblastic anemia (50 times upper limit of LDH 1 and LDH 2)  Muscular dystrophy (LDH 5)  Toxic hepatitis with jaundice (10 times more LDH 5)  Renal disease- tubular necrosis or pyelonepheritis  Pulmonary embolism LDH 3 (massive destruction of platelets) 9
  • 10.
     Leukemia (LDH2 and LDH 3)  Malignancy (LDH 3)  Hodgkins disease  germ cell tumors  Urinary LDH-3 to 6 times normal: chronic glomerulonephritis Systemic lupus erythematosus Diabetic nephrosclerosis Bladder and kidney malignancies 10
  • 11.
     In CSF: Bacterial meningitis – LDH 4 and LDH 5  Viral meningitis - LDH 1  Metastatic tumors - LDH 5  Neonatal cases of intracranial haemorrhage associated with seizures and hydrocephalus 11
  • 12.
    LDH in starchgel The H(B) monomer is very negatively charged 12
  • 13.
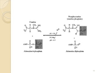
    CREATINE PHOSPHOKINASE  Adenosine triphosphate:creatineN- phosphotransferase  E.C-2.7.3.2  Dimeric enzyme (82 kDa)  4 -60 IU/L 13
  • 14.
  • 15.
     Enzyme unstablein serum  Activity lost due to sulfhydryl group oxidation at active site  Dimer (each of 41000 Da)  B (brain) – chromosome 14  M (muscle) –chromosome 19 15
  • 16.
    Isoenzy Compo me Present in Elevated in sition name CK-1 Brain,prostate,GI Fast BB tract,lung,bladder,uteru CNS diseases moving s,placenta CK-2 Acute myocardial 2% of MB Myocardium/ Heart infarction total CK-3 Skeletal muscle, Slow MM Myocardium moving All 3 in cytosol 16
  • 17.
  • 18.
    atypical forms ofCK  Fourth form - CK-Mt (chromosome 15) severe illness Malignant tumors  macroCK  type 1- CK BB complexed with IgG  type 2-oligomeric CK-Mt 18
  • 19.
    Clinical significance ofCK  CK 1 elevated: very low birth weight newborns brain damage in neonates neurological injury –CK 1 rise in CSF >200 U/L –die 100 – 200 U/L – survive with neurological defecits <100 U/L – good chance of recovery 19
  • 20.
    Elevated CK 1 Adenocarcinomas of GI tract  Carcinoma lung  Ca prostate,bladder,testes,kidneys,breast, ovaries,uterus,CNS,leukemia,lympho ma and sarcoma 20
  • 21.
    Elevated CK 2: myocardial infarction head injuries subarachnoid haemorrhage exercise Elevated CK 3: muscular dystrophies(DMD- 10000 IU/L) myopathies hypothyroidism (5 fold more than normal value,also CK 2 is elevated) 21
  • 22.
    Alkaline phosphatase (ALP) E.C -3.1.3.1.  Orthophosphoric monoester phosphohydrolase  In mucosa of small intestine, proximal convoluted tubule, bone, liver, placenta  Catalyses alkaline hydrolysis of naturally occuring and synthetic substrates 22
  • 23.
    Isoenzymes of ALP  Alpha 1 ALP-epithelial cells of biliary canaliculi  Alpha 2 heat labile ALP- hepatic cells  Alpha 2 heat stable ALP-not destroyed at 65˚C  inhibited by phenylalanine  placental  Pre beta ALP – bone,heat labile  Gamma ALP – intestinal cells  inhibited by phenylalanine  Leukocyte alkaline phosphatase –decreased in CML  increase in lymphoma ATYPICAL ISOENZYMES  Regan isoenzyme-heat stable,inhibited by L-phenylalanine  Nagao isoenzyme- variant of regan  inhibited by L-leucine 23
  • 24.
    Clinical significance  Hepatobiliary disease  Hepatic carcinoma  Hepatic metastases  Pagets disease (10 – 25 times)  Bone cancer  Healing of bone fracture  Osteomalacia and rickets  Hyperparathyroidism  Ca of ovary,uterus-regan isoenzyme  Metastatic Ca of pleural surfaces –Nagao isoenzyme 24
  • 25.
    Acid phospatases acid phosphatses E.C-3.1.3.2. Hydrolyse phosphoric acid ester at pH 5 -6 In lysosomes Extalysosomal- prostate,bone,spleen,platelet, liver,kidney (pH - 5) RBC (pH – 6) 0 – 0.6 U/L Extremly heat labile 25
  • 26.
    Isoenzyme of ACP inhibitor prostatic dextrorotatory tartarate ions Erythrocytic formaldehyde cupric ions Majorly the serum contains tartarate resistant ACP (originating in osteoclasts) 26
  • 27.
    Clinical significance  Todetect, monitor Ca prostate  Tartarate resistant ACP increase in pagets disease and bone cancer  Marker of bone disease-increases in: giant cell tumor of bone normal growing children Gauchers disease In high concentrations in semen 27
  • 28.
    SERUM AMYLASE(calcium metalloenzyme)  E.C-3.2.1.1.  Molecular weight -54 -62 kDa  From salivary gland and pancreas  Enzymes are products of 2 closely linked loci on chromosome 1  macroamylases 28
  • 29.
  • 30.
    Serum aldolase  Tetramer Catalyses interconversion of fructose- 1,6-bi-phosphate and triose phosphate  5 isoenzymes  Subunits A B 1- 7.5 U/L Skeletal muscle,liver,brain,heart 30
  • 31.
    Clinical significance ofserum aldolase  Elevated in:  Progressive muscular dystrophy particularly high in DMD  Viral hepatitis  Advanced cancer of prostate 31
  • 32.
    SOURCES PLASMA CELL DERIVED/PLASM DERIVED/PLASM A SPECIFIC A NON SPECIFIC BLOOD COAGULATION ENZYMES FERROXIDASE LIPOPROTEIN LIPASE PSEUDOCHOLINESTERA SE SECRETOR METABOLIC Y 32
  • 33.
    Mechanisms responsible for abnormal levels Increased serum decreased serum level level Increased Impaired Decreased Enzyme release excretion formation inhibition Cell Increased necrosi permeabilit genetic acquired s y 33
  • 34.
  • 35.
    Enzymes in blood Cell death Defects in cellular membrane Release of cytoplasmic enzymes initially In infarctions 35
  • 36.
    Elevation of enzymesin blood No.of cell Gradient of injured cell/plasma Rate of Rate of enzyme clearance entry in from plasma plasma 36
  • 37.
    Serum enzyme assayin clinical practice  In diagnosis  In differential diagnosis  In prognosis  Early detection of disease 37
  • 38.
  • 39.
    Serum transaminases  Catalyseinterconversion of aminoacids to ketoacids by transfer of amino group  AST-aspartate aminotransferases(SGOT) 10-30 U/L  ALT-alanine aminotransferases (SGPT) 10-40 U/L Both present in plasma,bile,CSF,saliva 39
  • 40.
    Gamma glutamyl transpeptidases (GGT) E.C -2.3.2.2.  Γ – glutamyl – peptide:amino acid Γ – glutamyl transferases  In proximal convoluted tubule,liver,pancreas,intestine  Clinical significance  hepatobiliary disease  neoplasms  heavy drinkers 40
  • 41.
    cholinesterase  Hydrolyse acetylcholine Types-  acetylcholinestarase -3.1.1.7  pseudocholinesterase – 3.1.1.8 Clinical significance insecticide poisoning atypical form of enzymes who are at risk to muscle relaxants sensitive indicator of synthetic capacity of liver 41
  • 42.
    Glucose – 6–phosphate dehydrogenase  Dimer with identical subunits  In HMP - for production of NADPH  G-6-P + NADP+ 6-PG + NADPH + H+  hemolytic anemia  prolonged neonatal jaundice  conditions are directly related to the inability of specific cell types to regenerate reduced nicotinamide adenine dinucleotide phosphate (NADPH) 42
  • 43.
    Serum lipase  E.C– 3.1.1.3.  Molecular weight -48 kDa  Hydrolyses glycerol esters of long chain fatty acids  Pancreas, intestinal and gastric mucosa  0.2 – 1.0 U/L 43
  • 44.
    Serum enzymes incardiac diseases Why enzyme diagnosis? Enzyme assays Creatine phosphokinase (CPK) Aspartate transaminases (SGOT OR AST) Lactate dehydrogenase (LDH) γ-Glutamyl transpeptidase (GGTP) Histaminase Pseudocholinesterase 44
  • 45.
  • 46.
    Onset peak duration 3-6 hrs 18-24 hrs 36-72 CK-MB hrs 4.5-20% of total Troponins 4-10hrs days 18-24 8-14 LDH 6-12hrs 24-48 hrs 6-8 days Flipped pattern 24-36 hrs 4-5days 10-12 AST d Myoglobin 1-4hrs 6-7hrs 24hrs 46
  • 47.
    Serum enzymes inGI tract diseases Serum amylase A cute pancreatitis-4 -6 fold increase in 2 -12 hrs , maximum level 12 -72 hrs , normal in 3 - 4 day Urinary amylase - increased on 1st day and remains elevated till 8- 10 day Ca pancreas- amylase in ascitic and pleural fluid Cholecystitis – 4 fold elevation 47
  • 48.
    Serum lipase Acute pancreatitis: 2-50 times in 4 -8 hrs,peaks at 24 hrs,decreases in 8 -14 days 48
  • 49.
    Serum enzymes inliver disease Severe toxic hepatitis Extrahepatic cholestasis Cirrhosis (AST>ALT) Serum transaminases Hepatic carcinoma (5 -10 fold rise) Hepatobiliary disease Extrahepatic obstruction (10- 15 times) Serum alkaline phosphatases 49
  • 50.
    • Toxic hepatitiswith jaundice (10 times more Serum LDH LDH 5) Extrahepatic and intrahepatic causes (2 -6 fold incre 5’nucleotidase Early infectious hepatitis Alcoholic cirrhosis and alcoholics Gamma glutamyl Hepatic carcinoma transferase 50
  • 51.
    Serum enzymes inmuscle diseases Serum aldolase Progressive muscular dystrophy muscular dystrophies CPK myopathies hypothyroidism (5 fold more than normal value,also CK 2 is elevated) SGOT/SGPT Muscular dystrophy and dermatomyositis 51
  • 52.
    Serum enzymes inbone diseases • Pagets disease (10 – 25 times) • Bone cancer Alkaline • Healing of bone fracture phosphatase • Osteomalacia and rickets • Marker of bone disease-increases in: Acid • giant cell tumor of bone phosphatase • normal growing children 52
  • 53.
    As tumor markers  Aldolase-liver  ALP – bone,liver,leukemia,sarcoma  Placental ALP – ovarian,lung,hodgkins  Amylase – pancreatic  CPK BB – prostate,lung,breast,colon,ovarian  GGT – liver  LDH – liver,lymphoma,leukemia  Neuron specific enolase – tumors of neuroendocrine origin 53
  • 54.
    Prostate specific antigen(PSA or semenogelase)  From secretory epithelium of prostate gland  32 kDa glycoprotein  Mild Serine protease activity  1- 5 μg/L Levels between 4 -10 μg/L –increased risk of prostate cancer >10 μg/L - suggestive of Ca prostate >20 μg/L - Ca prostate with metastases 54
  • 55.
    Enzymes-therapeutic agent 1.Streptokinase plasminogen streptokinase plasmin fibrin soluble product 2.urokinase 55
  • 56.
    3. Bacterial asparginase in leukemia 4.α- chymotrypsin-extraction of lens 5.Chymotrypsin,papain –anti inflammatory 6.Collagenase – debridment of dermal ulcers 7.Fibrinolysin – venous thrombosis, pulmonary embolism 8.Hyaluronidase – rapid absorption of drugs injected subcutaneously 56
  • 57.
    9.Lysosome –antibacterial (eye infections) 10.Trypsin – clean wounds treatment of acute thrombophlebitis 57
  • 58.
     Analytical useof enzymes  as reagents  as labels 58
  • 59.
    Alcohol Ethanol dehydrogenase Lactate Lactate dehydrogenase Glucose Glucose oxidase and peroxidase Uricase Uric acid Urease Urea Cholesterol oxidase and peroxidase cholesterol 59
  • 60.
    As labels  Inimmunoassays  for determining concentration of drugs, hormones  Glucose -6- phosphate dehydrogenase  Alkaline phosphatase  Beta galactosidase  peroxidase 60
  • 61.
    BIBLOGRAPHY  T.B. OF BIOCHEMISTRY:  SATYANARAYAN  VASUDEVAN  PANKAJA NAIK  RANA SHINDE  TEITZ  HARRISON-INTERNAL MEDICINE THANK YOU 61