Isoenzymes
Clinical enzymology
2
ISOENZYMES
 Isoenzymes or isozymes are mutiple
forms of same enzyme that catalyse the
same chemical reaction
 Different chemical and physical properties:
 Electrophoretic mobility
 Kinetic properties
 Amino acid sequence
 Amino acid composition
3
S. No Property E.g.
1 Electrophoretic
mobility
Isoenzymes of Lactate dehydrogenase have
different electrophoretic mobility
2 Heat stability Alkaline phosphatase isoenzymes are either
heat labile or stable
3 Inhibitor An inhibitor can inhibit only one isoenzyme of
an enzyme eg.Acid phosphatase
4 Km Glucokinase and hexokinase
5 Cofactors Mitochondrial isocitrate dehydrogenase requires
NAD+
, cytosolic form requires NADP+
6 Tissue localisation LDH 1 is present in heart, LDH 5 in muscle
7 Antibodies For creatine kinase, each isoenzyme can be
bound only by a specific antibody
4
Lactate dehydrogenase (LDH)
 E.C – 1.1.1.27
 L-lactate :NAD+
oxidoreductase:LDH
 Molecular weight- 134 kDa
 tetramer
 M (A) -muscle –chromosome 11(basic)
 H (B) -heart – chromosome 12(acidic)
5
Lactate dehydrogenase (LDH)
Normal values
Serum -100 -200 U/L
CSF - 7 -30 U/L
Urine - 40 -100 U/L
6
Isoenzyme
name
Composition Electrophore
tic migration
Present in Elevated in
LDH 1
Heat
resistant
( H4) Fastest
moving
Myocardium,
RBC,kidney
myocardial
infarction
LDH2
Heat
resistant
(H3M1) Myocardium,
RBC,kidney
Kidney
disease,megalo
blastic anemia
LDH3 (H2M2) brain Leukemia,malig
nancy
LDH4
Heat labile
(H1M3) Lung,spleen Pulmonary
infarction
LDH5
Heat labile
Inhibited by
urea
(M4) Slowest
moving
Skeletal
muscle, Liver
Skeletal muscle
and liver
diseases
7
Lactate dehydrogenase (LDH)
This is an example in which two duplicated genes have
become specialized to different tissues.
The isozymes are also differentially expressed in different
developmental stages. Before birth the heart is more
anaerobic compared with adulthood. Indeed, before birth
the main isozyme in the heart is the M4, and with time it
switches to HM3 (at birth), to H2M2 and HM3 at 1 year
after birth, and to H3M AND H4 after 2 years.
My main LDH is HM3
My main LDH is HM3. Great!
8
Atypical forms of LDH
 sixth isoenzyme LDH- X
 Seventh isoenzyme – LDH -6
9
Clinical significance of LDH
 Myocardial infarction (LDH 1>LDH2)
 Megaloblastic anemia (50 times upper limit of
LDH 1 and LDH 2)
 Muscular dystrophy (LDH 5)
 Toxic hepatitis with jaundice (10 times more
LDH 5)
 Renal disease- tubular necrosis or
pyelonepheritis
 Pulmonary embolism LDH 3 (massive
destruction of platelets)
10
 Leukemia (LDH 2 and LDH 3)
 Malignancy (LDH 3)
 Hodgkins disease
 germ cell tumors
 Urinary LDH-3 to 6 times normal:
chronic glomerulonephritis
Systemic lupus erythematosus
Diabetic nephrosclerosis
Bladder and kidney malignancies
11
 In CSF:
 Bacterial meningitis – LDH 4 and LDH 5
 Viral meningitis - LDH 1
 Metastatic tumors - LDH 5
 Neonatal cases of intracranial
haemorrhage associated with seizures and
hydrocephalus
12
LDH in starch gel
The H(B) monomer
is very negatively charged
13
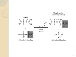
CREATINE PHOSPHOKINASE
 Adenosine triphosphate:creatine N-
phosphotransferase
 E.C-2.7.3.2
 Dimeric enzyme (82 kDa)
 4 -60 IU/L
14
15
 Enzyme unstable in serum
 Activity lost due to sulfhydryl group
oxidation at active site
 Dimer (each of 41000 Da)
 B (brain) – chromosome 14
 M (muscle) –chromosome 19
16
Isoenzy
me
name
Compo
sition
Present in Elevated in
CK-1
Fast
moving
BB
Brain,prostate,GI
tract,lung,bladder,uteru
s,placenta
CNS diseases
CK-2
2% of
total
MB Myocardium/ Heart
Acute myocardial
infarction
CK-3
Slow
moving
MM
Skeletal muscle,
Myocardium
All 3 in cytosol
17
18
atypical forms of CK
 Fourth form - CK-Mt (chromosome 15)
severe illness
Malignant tumors
 macroCK
 type 1- CK BB complexed with IgG
 type 2-oligomeric CK-Mt
19
Clinical significance of CK
 CK 1 elevated:
very low birth weight newborns
brain damage in neonates
neurological injury –CK 1 rise in CSF
>200 U/L –die
100 – 200 U/L – survive with
neurological defecits
<100 U/L – good chance of
recovery
20
Elevated CK 1
 Adenocarcinomas of GI tract
 Carcinoma lung
 Ca
prostate,bladder,testes,kidneys,breast,ova
ries,uterus,CNS,leukemia,lymphoma and
sarcoma
21
 A 66-year-old man sought medical care at
the hospital due to severe chest pain
lasting for 24 hours.The patient was
aware of being hypertensive and was a
smoker.Without any prior symptom, he
started to have severe chest pain and
sought emergency medical care after
about 24 hours, due to pain persistence.
22
ECG- low QRS voltage in the frontal plane, electrical alternan of QRS
complexes, electrically inactive lower wall area and extensive ongoing
myocardial infarction.
23
 Elevated CK 2:
myocardial infarction
head injuries
subarachnoid haemorrhage
exercise
Elevated CK 3:
muscular dystrophies(DMD- 10000 IU/L)
myopathies
hypothyroidism (5 fold more than normal
value,also CK 2 is elevated)
24
Alkaline phosphatase (ALP)
 E.C -3.1.3.1.
 Orthophosphoric monoester
phosphohydrolase
 In mucosa of small intestine, proximal
convoluted tubule, bone, liver, placenta
 Catalyses alkaline hydrolysis of naturally
occuring and synthetic substrates
25
Isoenzymes of ALP
 Alpha 1 ALP-epithelial cells of biliary canaliculi
 Alpha 2 heat labile ALP- hepatic cells
 Alpha 2 heat stable ALP-not destroyed at 65˚C
 inhibited by phenylalanine
 placental
 Pre beta ALP – bone,heat labile
 Gamma ALP – intestinal cells
 inhibited by phenylalanine
 Leukocyte alkaline phosphatase –decreased in CML
 increase in lymphoma
ATYPICAL ISOENZYMES
 Regan isoenzyme-heat stable,inhibited by L-phenylalanine
 Nagao isoenzyme- variant of regan
 inhibited by L-leucine
26
Clinical significance
 Hepatobiliary disease
 Hepatic carcinoma
 Hepatic metastases
 Pagets disease (10 – 25 times)
 Bone cancer
 Healing of bone fracture
 Osteomalacia and rickets
 Hyperparathyroidism
 Ca of ovary,uterus-regan isoenzyme
 Metastatic Ca of pleural surfaces –Nagao isoenzyme

ISO ENZYMES- charteristics and applications

  • 1.
  • 2.
    2 ISOENZYMES  Isoenzymes orisozymes are mutiple forms of same enzyme that catalyse the same chemical reaction  Different chemical and physical properties:  Electrophoretic mobility  Kinetic properties  Amino acid sequence  Amino acid composition
  • 3.
    3 S. No PropertyE.g. 1 Electrophoretic mobility Isoenzymes of Lactate dehydrogenase have different electrophoretic mobility 2 Heat stability Alkaline phosphatase isoenzymes are either heat labile or stable 3 Inhibitor An inhibitor can inhibit only one isoenzyme of an enzyme eg.Acid phosphatase 4 Km Glucokinase and hexokinase 5 Cofactors Mitochondrial isocitrate dehydrogenase requires NAD+ , cytosolic form requires NADP+ 6 Tissue localisation LDH 1 is present in heart, LDH 5 in muscle 7 Antibodies For creatine kinase, each isoenzyme can be bound only by a specific antibody
  • 4.
    4 Lactate dehydrogenase (LDH) E.C – 1.1.1.27  L-lactate :NAD+ oxidoreductase:LDH  Molecular weight- 134 kDa  tetramer  M (A) -muscle –chromosome 11(basic)  H (B) -heart – chromosome 12(acidic)
  • 5.
    5 Lactate dehydrogenase (LDH) Normalvalues Serum -100 -200 U/L CSF - 7 -30 U/L Urine - 40 -100 U/L
  • 6.
    6 Isoenzyme name Composition Electrophore tic migration Presentin Elevated in LDH 1 Heat resistant ( H4) Fastest moving Myocardium, RBC,kidney myocardial infarction LDH2 Heat resistant (H3M1) Myocardium, RBC,kidney Kidney disease,megalo blastic anemia LDH3 (H2M2) brain Leukemia,malig nancy LDH4 Heat labile (H1M3) Lung,spleen Pulmonary infarction LDH5 Heat labile Inhibited by urea (M4) Slowest moving Skeletal muscle, Liver Skeletal muscle and liver diseases
  • 7.
    7 Lactate dehydrogenase (LDH) Thisis an example in which two duplicated genes have become specialized to different tissues. The isozymes are also differentially expressed in different developmental stages. Before birth the heart is more anaerobic compared with adulthood. Indeed, before birth the main isozyme in the heart is the M4, and with time it switches to HM3 (at birth), to H2M2 and HM3 at 1 year after birth, and to H3M AND H4 after 2 years. My main LDH is HM3 My main LDH is HM3. Great!
  • 8.
    8 Atypical forms ofLDH  sixth isoenzyme LDH- X  Seventh isoenzyme – LDH -6
  • 9.
    9 Clinical significance ofLDH  Myocardial infarction (LDH 1>LDH2)  Megaloblastic anemia (50 times upper limit of LDH 1 and LDH 2)  Muscular dystrophy (LDH 5)  Toxic hepatitis with jaundice (10 times more LDH 5)  Renal disease- tubular necrosis or pyelonepheritis  Pulmonary embolism LDH 3 (massive destruction of platelets)
  • 10.
    10  Leukemia (LDH2 and LDH 3)  Malignancy (LDH 3)  Hodgkins disease  germ cell tumors  Urinary LDH-3 to 6 times normal: chronic glomerulonephritis Systemic lupus erythematosus Diabetic nephrosclerosis Bladder and kidney malignancies
  • 11.
    11  In CSF: Bacterial meningitis – LDH 4 and LDH 5  Viral meningitis - LDH 1  Metastatic tumors - LDH 5  Neonatal cases of intracranial haemorrhage associated with seizures and hydrocephalus
  • 12.
    12 LDH in starchgel The H(B) monomer is very negatively charged
  • 13.
    13 CREATINE PHOSPHOKINASE  Adenosinetriphosphate:creatine N- phosphotransferase  E.C-2.7.3.2  Dimeric enzyme (82 kDa)  4 -60 IU/L
  • 14.
  • 15.
    15  Enzyme unstablein serum  Activity lost due to sulfhydryl group oxidation at active site  Dimer (each of 41000 Da)  B (brain) – chromosome 14  M (muscle) –chromosome 19
  • 16.
    16 Isoenzy me name Compo sition Present in Elevatedin CK-1 Fast moving BB Brain,prostate,GI tract,lung,bladder,uteru s,placenta CNS diseases CK-2 2% of total MB Myocardium/ Heart Acute myocardial infarction CK-3 Slow moving MM Skeletal muscle, Myocardium All 3 in cytosol
  • 17.
  • 18.
    18 atypical forms ofCK  Fourth form - CK-Mt (chromosome 15) severe illness Malignant tumors  macroCK  type 1- CK BB complexed with IgG  type 2-oligomeric CK-Mt
  • 19.
    19 Clinical significance ofCK  CK 1 elevated: very low birth weight newborns brain damage in neonates neurological injury –CK 1 rise in CSF >200 U/L –die 100 – 200 U/L – survive with neurological defecits <100 U/L – good chance of recovery
  • 20.
    20 Elevated CK 1 Adenocarcinomas of GI tract  Carcinoma lung  Ca prostate,bladder,testes,kidneys,breast,ova ries,uterus,CNS,leukemia,lymphoma and sarcoma
  • 21.
    21  A 66-year-oldman sought medical care at the hospital due to severe chest pain lasting for 24 hours.The patient was aware of being hypertensive and was a smoker.Without any prior symptom, he started to have severe chest pain and sought emergency medical care after about 24 hours, due to pain persistence.
  • 22.
    22 ECG- low QRSvoltage in the frontal plane, electrical alternan of QRS complexes, electrically inactive lower wall area and extensive ongoing myocardial infarction.
  • 23.
    23  Elevated CK2: myocardial infarction head injuries subarachnoid haemorrhage exercise Elevated CK 3: muscular dystrophies(DMD- 10000 IU/L) myopathies hypothyroidism (5 fold more than normal value,also CK 2 is elevated)
  • 24.
    24 Alkaline phosphatase (ALP) E.C -3.1.3.1.  Orthophosphoric monoester phosphohydrolase  In mucosa of small intestine, proximal convoluted tubule, bone, liver, placenta  Catalyses alkaline hydrolysis of naturally occuring and synthetic substrates
  • 25.
    25 Isoenzymes of ALP Alpha 1 ALP-epithelial cells of biliary canaliculi  Alpha 2 heat labile ALP- hepatic cells  Alpha 2 heat stable ALP-not destroyed at 65˚C  inhibited by phenylalanine  placental  Pre beta ALP – bone,heat labile  Gamma ALP – intestinal cells  inhibited by phenylalanine  Leukocyte alkaline phosphatase –decreased in CML  increase in lymphoma ATYPICAL ISOENZYMES  Regan isoenzyme-heat stable,inhibited by L-phenylalanine  Nagao isoenzyme- variant of regan  inhibited by L-leucine
  • 26.
    26 Clinical significance  Hepatobiliarydisease  Hepatic carcinoma  Hepatic metastases  Pagets disease (10 – 25 times)  Bone cancer  Healing of bone fracture  Osteomalacia and rickets  Hyperparathyroidism  Ca of ovary,uterus-regan isoenzyme  Metastatic Ca of pleural surfaces –Nagao isoenzyme