Tema 4(11): Integrals indefinides
1. Concepte de primitiva i d'integral
2. Integrals de funcions elementals
3. Mètodes d'integració
3.1 Integració per parts
3.2 Integrals de funcions racionals
3.3 Integració per canvi de variable
1. Concepte de primitiva i d'integral
F(x) és primitiva de f(x) si F'(x) = f(x)
∫ f (x)dx=F (x)+ k
f(x)=x2, f(x)=x+4, f(x)=sinx + 1/x, p266 1 i 2
La integral d'una funció és el conjunt de totes les seves primitives
diferencial d'x
constant d'integració
f(x) = 2x F(x) = x2
F(x) = x2
+ k
Propietats: ∫[ f (x)±g (x)]dx=∫ f (x)dx±∫g(x)dx
∫[k · f (x)]dx=k ·∫ f (x)dx p267 3
2. Integrals de funcions elementals
∫c dx=cx+ k
"Truquillu" del factor numèric:
Petits exemples + E7abcd, 5
∫xn
dx=
x
n+ 1
n+ 1
+ k
∫ f (x)n
· f ' (x)dx=
f (x)n+ 1
n+ 1
+ k
E7ef, 6c
∫(3x4
−2)3
x3
dx=
"Em falta un 12!!"
1
12
∫(3x4
−2)3
12x3
dx
E8, 6ab, 7, 8, 51deures
per n=-1
∫ 1
x
dx=ln∣x∣+ k
p270: E9, saber fer, 9, 10
per n=-1
∫ f '(x)
f (x)
dx=ln∣f (x)∣+ k
∫ax
dx=
ax
ln a
+ k
∫ex
dx=ex
+ k
∫a f (x)
· f ' (x)dx=
a f (x)
ln a
+ k
∫e f ( x)
· f ' (x)dx=e f (x)
+ k
p271: E10, 11,12
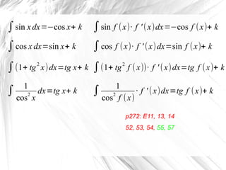
∫sin x dx=−cos x+ k
p272: E11, 13, 14
∫sin f (x)· f ' (x)dx=−cos f (x)+ k
∫cos x dx=sin x+ k ∫cos f (x)· f ' (x)dx=sin f (x)+ k
∫(1+ tg2
x)dx=tg x+ k ∫(1+ tg2
f (x))· f ' (x)dx=tg f (x)+ k
∫ 1
cos2
x
dx=tg x+ k ∫ 1
cos
2
f (x)
· f ' (x)dx=tg f (x)+ k
52, 53, 54, 55, 57
3. Mètodes d'integració
3.1 Integració per parts
∫u(x)·v' (x)dx=
[u(x)·v(x)]'=u' (x)·v(x)+ u(x)·v '(x)
Polinomi
ln
ex
sin x
cos x
(fàcils d'integrar)
u(x)·v(x)−∫v(x)·u' (x)dx
Pels amics,
∫u·dv=u ·v−∫v ·du
Demostració:
u(x)·v(x)=∫u' (x)·v(x)dx+∫u(x)·v '(x)dx
Integro
∫u(x)·v' (x)dx=u(x)·v(x)−∫v(x)·u'(x)dx
∫2x ·ex
dx=
u dv
u=2x
Exemple 1:
d
dv=e
x
dx i
du=2dx
v=e
x
2x·e
x
−∫e
x
·2dx= 2x·ex
−2ex
+ k=
=2ex
(x−1)+ k
int(x2+1)sinx, int x2lnxdx entre tots
∫ln x dx=
u dv
u=ln x
Exemple 4:
d
dv=1dx i
du=
1
x
dx
v=x
x ·ln x−∫x·
1
x
dx= x ·ln x−x+ k
17a entre tots (2), 17b, 18, 69
3. Mètodes d'integració
3.2 Integració de funcions racionals
P(x)
Q(x)
=
A
x−a
+
B
x−b
+ ...+
N
x−n
Grau numerador >= Grau denominador
Grau numerador < Grau denominador
Fer la divisió
1r pas: Factoritzar denominador (Ruffini/Eq 2n g)
Exemple:
∫ 2x+ 1
x
2
−5x+ 4
dx
x
2
−5x+ 4=(x−4)(x−1)
Exemples meus (x3+x2+x+1/x+1, x2+3x-4/x+1)
(només per arrels
simples)
2n pas: Descompondre la fracció en altres fraccions i desenvolupar expressió
2x+ 1
x2
−5x+ 4
=
A
x−4
+
B
x−1
=
A(x−1)+ B(x−4)
(x−4)(x−1)
3r pas: Trobar A i B mitjançant la igualació dels numeradors
2x+ 1=A(x−1)+ B(x−4)=Ax−A+ Bx−4B
2x+ 1=Ax+ Bx−A−4B
2x 1
A+B=2
-A-4B=1
B=-1,A=3
4t pas: Resoldre nova integral
∫ 2x+ 1
x
2
−5x+ 4
dx=∫(
3
x−4
+
−1
x−1
)dx=3·ln∣x−4∣−1·ln∣x−1∣+ k
2x+1/x2-3x+2, 1/x2+2x-3, 19, 80, x2-x+1/x2-3x+2
3. Mètodes d'integració
3.3 Integració per canvi de variable
∫ 1
x·ln x
dx=
29, 30ab, 88, 89
t=ln x d dt=
1
x
dx
∫ 1
ln x
·
1
x
dx=∫1
t
dt= ln∣t∣+ k=ln∣ln x∣+ k
∫ x
√1+ 3x2
dx=
t=1+ 3x2 d dt=6x dx
1
6
∫ 1
√1+ 3x2
·6x dx=
1
6
∫ 1
√t
dt= √t
3
+ k=
=
√1+ 3x2
3
+ k

Integrals indefinides

  • 1.
    Tema 4(11): Integralsindefinides 1. Concepte de primitiva i d'integral 2. Integrals de funcions elementals 3. Mètodes d'integració 3.1 Integració per parts 3.2 Integrals de funcions racionals 3.3 Integració per canvi de variable
  • 2.
    1. Concepte deprimitiva i d'integral F(x) és primitiva de f(x) si F'(x) = f(x) ∫ f (x)dx=F (x)+ k f(x)=x2, f(x)=x+4, f(x)=sinx + 1/x, p266 1 i 2 La integral d'una funció és el conjunt de totes les seves primitives diferencial d'x constant d'integració f(x) = 2x F(x) = x2 F(x) = x2 + k Propietats: ∫[ f (x)±g (x)]dx=∫ f (x)dx±∫g(x)dx ∫[k · f (x)]dx=k ·∫ f (x)dx p267 3
  • 3.
    2. Integrals defuncions elementals ∫c dx=cx+ k "Truquillu" del factor numèric: Petits exemples + E7abcd, 5 ∫xn dx= x n+ 1 n+ 1 + k ∫ f (x)n · f ' (x)dx= f (x)n+ 1 n+ 1 + k E7ef, 6c ∫(3x4 −2)3 x3 dx= "Em falta un 12!!" 1 12 ∫(3x4 −2)3 12x3 dx E8, 6ab, 7, 8, 51deures per n=-1
  • 4.
    ∫ 1 x dx=ln∣x∣+ k p270:E9, saber fer, 9, 10 per n=-1 ∫ f '(x) f (x) dx=ln∣f (x)∣+ k ∫ax dx= ax ln a + k ∫ex dx=ex + k ∫a f (x) · f ' (x)dx= a f (x) ln a + k ∫e f ( x) · f ' (x)dx=e f (x) + k p271: E10, 11,12
  • 5.
    ∫sin x dx=−cosx+ k p272: E11, 13, 14 ∫sin f (x)· f ' (x)dx=−cos f (x)+ k ∫cos x dx=sin x+ k ∫cos f (x)· f ' (x)dx=sin f (x)+ k ∫(1+ tg2 x)dx=tg x+ k ∫(1+ tg2 f (x))· f ' (x)dx=tg f (x)+ k ∫ 1 cos2 x dx=tg x+ k ∫ 1 cos 2 f (x) · f ' (x)dx=tg f (x)+ k 52, 53, 54, 55, 57
  • 6.
    3. Mètodes d'integració 3.1Integració per parts ∫u(x)·v' (x)dx= [u(x)·v(x)]'=u' (x)·v(x)+ u(x)·v '(x) Polinomi ln ex sin x cos x (fàcils d'integrar) u(x)·v(x)−∫v(x)·u' (x)dx Pels amics, ∫u·dv=u ·v−∫v ·du Demostració: u(x)·v(x)=∫u' (x)·v(x)dx+∫u(x)·v '(x)dx Integro ∫u(x)·v' (x)dx=u(x)·v(x)−∫v(x)·u'(x)dx
  • 7.
    ∫2x ·ex dx= u dv u=2x Exemple1: d dv=e x dx i du=2dx v=e x 2x·e x −∫e x ·2dx= 2x·ex −2ex + k= =2ex (x−1)+ k int(x2+1)sinx, int x2lnxdx entre tots ∫ln x dx= u dv u=ln x Exemple 4: d dv=1dx i du= 1 x dx v=x x ·ln x−∫x· 1 x dx= x ·ln x−x+ k 17a entre tots (2), 17b, 18, 69
  • 8.
    3. Mètodes d'integració 3.2Integració de funcions racionals P(x) Q(x) = A x−a + B x−b + ...+ N x−n Grau numerador >= Grau denominador Grau numerador < Grau denominador Fer la divisió 1r pas: Factoritzar denominador (Ruffini/Eq 2n g) Exemple: ∫ 2x+ 1 x 2 −5x+ 4 dx x 2 −5x+ 4=(x−4)(x−1) Exemples meus (x3+x2+x+1/x+1, x2+3x-4/x+1) (només per arrels simples)
  • 9.
    2n pas: Descompondrela fracció en altres fraccions i desenvolupar expressió 2x+ 1 x2 −5x+ 4 = A x−4 + B x−1 = A(x−1)+ B(x−4) (x−4)(x−1) 3r pas: Trobar A i B mitjançant la igualació dels numeradors 2x+ 1=A(x−1)+ B(x−4)=Ax−A+ Bx−4B 2x+ 1=Ax+ Bx−A−4B 2x 1 A+B=2 -A-4B=1 B=-1,A=3 4t pas: Resoldre nova integral ∫ 2x+ 1 x 2 −5x+ 4 dx=∫( 3 x−4 + −1 x−1 )dx=3·ln∣x−4∣−1·ln∣x−1∣+ k 2x+1/x2-3x+2, 1/x2+2x-3, 19, 80, x2-x+1/x2-3x+2
  • 10.
    3. Mètodes d'integració 3.3Integració per canvi de variable ∫ 1 x·ln x dx= 29, 30ab, 88, 89 t=ln x d dt= 1 x dx ∫ 1 ln x · 1 x dx=∫1 t dt= ln∣t∣+ k=ln∣ln x∣+ k ∫ x √1+ 3x2 dx= t=1+ 3x2 d dt=6x dx 1 6 ∫ 1 √1+ 3x2 ·6x dx= 1 6 ∫ 1 √t dt= √t 3 + k= = √1+ 3x2 3 + k