Tema 5(12): Integrals definides
1. Àrea sota una corba
2. La integral definida. Propietats
3. Càlcul d'integrals definides: la Regla de Barrow
4. Càlcul d'àrees planes tancades per una o dues corbes
1. Àrea sota una corba
Aproximació per defecte:
x2/2+1 [0,3], p294 1
a b
y = f(x) contínua i positiva
x0
x1
x2
x3
x4
Àrea
Ad
= f (x0
) · (x1
- x0
) +...+ f (x3
) · (x4
- x3
)
Aproximació per excés:
Ae
= f (x1
) · (x1
- x0
) +...+ f (x4
) · (x4
- x3
)
Ad < Areal < Ae
Com més particions, més aproximació a l'àrea real
Puc fer mitjana
2. La integral definida. Propietats
Areal=lim
n →∞
Ad =lim
n →∞
Ae
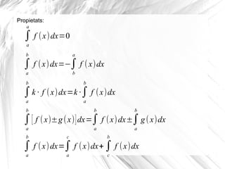
Propietats:
n = número de particions
Areal=lim
n →∞
∑
i=1
n
f (xi)·(xi−xi−1)=∫
a
b
f (x)·dx
“La integral definida de f a l'interval [a, b]”
∫
a
a
f (x)dx=0
∫
a
b
f (x)dx=−∫
b
a
f (x)dx
Propietats:
∫
a
a
f (x)dx=0
∫
a
b
f (x)dx=−∫
b
a
f (x)dx
∫
a
b
k · f (x)dx=k ·∫
a
b
f (x)dx
∫
a
b
[ f (x)±g(x)]dx=∫
a
b
f (x)dx±∫
a
b
g(x)dx
∫
a
b
f (x)dx=∫
a
c
f (x)dx+∫
c
b
f (x)dx
3. Càlcul d'integrals definides: la regla de Barrow
essent F(x) una primitiva de f(x)
∫
a
b
f (x)·dx=[F (x)]a
b
=F (b)−F (a)
∫0
3
(x
2
2
+ 1)dx=
Isaac Barrow, 1630-1677
Teòleg i matemàtic anglès,
mestre de Newton.
Exemple altre dia:
[x
3
6
+ x]0
3
=
=[3
3
6
+ 3]−[0
3
6
+ 0]=
27
6
+ 3=
15
2
=7,5u.a.
14, 15, sf, 16, 17, 61
4. Càlcul d'àrees planes tancades per una o dues corbes
A=∫
a
b
f (x)·dx
4.1 Entre una corba, l'eix x i dues rectes verticals:
18,19,sf,20,21,79
A=
∣∫
a
b
f (x)·dx
∣
A=
∣∫
a
c
f (x)·dx
∣+
∣∫
c
b
f (x)·dx
∣
A
A
A1
A2
ba
f(x)>0
f(x)<0
ba
b
a
c
4. Càlcul d'àrees planes tancades per una o dues corbes
A=∫
a
b
( f (x)−g(x))·dx
4.2 Entre dues corbes o dues funcions:
A
ba
f(x)
g(x)
Passos a seguir:
a) Punts de tall (a i b) mitjançant la resolució de l'equació f(x) = g(x)
b) Càlcul de f(x) - g(x)
c) Planteig de la integral definida de (f – g)(x) en l'interval [a,b]
sf, 22, 23, Ep305, Op sele 10, 24, 25, 116, 118, 120
4. Càlcul d'àrees planes tancades per una o dues corbes
V =π·∫a
b
[ f (x)]2
dx
4.3 Volum d'un cos de revolució:
ba
f(x)
Barres
Calcula el volum generat per la funció f(x)=x3
+1 en girar entorn
l'eix Ox en l'interval [0,2]
Extra!
Cilindres
V =∑
i=1
n
V cilindre
V cilindre=r
2
·π·h
f(x) dx

Integrals definides

  • 1.
    Tema 5(12): Integralsdefinides 1. Àrea sota una corba 2. La integral definida. Propietats 3. Càlcul d'integrals definides: la Regla de Barrow 4. Càlcul d'àrees planes tancades per una o dues corbes
  • 2.
    1. Àrea sotauna corba Aproximació per defecte: x2/2+1 [0,3], p294 1 a b y = f(x) contínua i positiva x0 x1 x2 x3 x4 Àrea Ad = f (x0 ) · (x1 - x0 ) +...+ f (x3 ) · (x4 - x3 ) Aproximació per excés: Ae = f (x1 ) · (x1 - x0 ) +...+ f (x4 ) · (x4 - x3 ) Ad < Areal < Ae Com més particions, més aproximació a l'àrea real Puc fer mitjana
  • 3.
    2. La integraldefinida. Propietats Areal=lim n →∞ Ad =lim n →∞ Ae Propietats: n = número de particions Areal=lim n →∞ ∑ i=1 n f (xi)·(xi−xi−1)=∫ a b f (x)·dx “La integral definida de f a l'interval [a, b]” ∫ a a f (x)dx=0 ∫ a b f (x)dx=−∫ b a f (x)dx
  • 4.
    Propietats: ∫ a a f (x)dx=0 ∫ a b f (x)dx=−∫ b a f(x)dx ∫ a b k · f (x)dx=k ·∫ a b f (x)dx ∫ a b [ f (x)±g(x)]dx=∫ a b f (x)dx±∫ a b g(x)dx ∫ a b f (x)dx=∫ a c f (x)dx+∫ c b f (x)dx
  • 5.
    3. Càlcul d'integralsdefinides: la regla de Barrow essent F(x) una primitiva de f(x) ∫ a b f (x)·dx=[F (x)]a b =F (b)−F (a) ∫0 3 (x 2 2 + 1)dx= Isaac Barrow, 1630-1677 Teòleg i matemàtic anglès, mestre de Newton. Exemple altre dia: [x 3 6 + x]0 3 = =[3 3 6 + 3]−[0 3 6 + 0]= 27 6 + 3= 15 2 =7,5u.a. 14, 15, sf, 16, 17, 61
  • 6.
    4. Càlcul d'àreesplanes tancades per una o dues corbes A=∫ a b f (x)·dx 4.1 Entre una corba, l'eix x i dues rectes verticals: 18,19,sf,20,21,79 A= ∣∫ a b f (x)·dx ∣ A= ∣∫ a c f (x)·dx ∣+ ∣∫ c b f (x)·dx ∣ A A A1 A2 ba f(x)>0 f(x)<0 ba b a c
  • 7.
    4. Càlcul d'àreesplanes tancades per una o dues corbes A=∫ a b ( f (x)−g(x))·dx 4.2 Entre dues corbes o dues funcions: A ba f(x) g(x) Passos a seguir: a) Punts de tall (a i b) mitjançant la resolució de l'equació f(x) = g(x) b) Càlcul de f(x) - g(x) c) Planteig de la integral definida de (f – g)(x) en l'interval [a,b] sf, 22, 23, Ep305, Op sele 10, 24, 25, 116, 118, 120
  • 8.
    4. Càlcul d'àreesplanes tancades per una o dues corbes V =π·∫a b [ f (x)]2 dx 4.3 Volum d'un cos de revolució: ba f(x) Barres Calcula el volum generat per la funció f(x)=x3 +1 en girar entorn l'eix Ox en l'interval [0,2] Extra! Cilindres V =∑ i=1 n V cilindre V cilindre=r 2 ·π·h f(x) dx