Temari matemàtiques 2n de Batxillerat
1. Límits i continuïtat de funcions (7)
2. Derivades (8)
3. Aplicacions de la derivada (9-10)
4. Primitives, integrals indefinides (11)
5. Integrals definides (12)
6. Matrius i determinants (1-2)
7. Sistemes d'equacions lineals (3)
8. Geometria a l'espai (4)
9. Distàncies i angles (5-6)
ANÀLISI
ÀLGEBRA LINEAL
GEOMETRIA
1T
2T
3T
3 grans temes
de la sele:
Tema 1(7): Límits i continuïtat de funcions
1. Concepte de límit
2. Càlcul de límits
3. Indeterminacions
4. Límits en funcions
5. Repàs funcions principals
6. Teoremes a l'entorn dels límits
1. Concepte de límit.
El límit és "el lloc preparat", "la tendència".
lim
x→1
f ( x)=+ ∞
lim
x→3
f ( x)=∃
lim
x→3−
f ( x)=−2
lim
x→3+
f ( x)=1
lim
x→5
f ( x)=3
lim
x→+∞
f ( x)=1
lim
x→0
f ( x)=0
lim
x→−∞
f ( x)=−∞
Pàg.196: E5, 5, E7, E8, 7, 8
2. Càlcul de límits.
a) Límits de potències:
lim
x→+∞
xn
=
Exemples de cada un, Pàg.200: 13,14
+∞ si n > 0
1 si n = 0
0 si n < 0
lim
x→−∞
xn
=
+∞ si n > 0 i parell
-∞ si n > 0 i senar
1 si n = 0
0 si n < 0
lim
x→+∞
ax
=
+∞ si a > 1
0 si 0<a<1
Ø si a < 0
lim
x→−∞
ax
=
0 si a > 1
+∞ si 0<a<1
0 si a < 0
variablealabasevariableal'exponent
2. Càlcul de límits.
b) Límits de polinomis:
lim
x→±∞
(ak
xk
+ ak−1
xk−1
+...+ a1
x+a0
)=
= lim
x→±∞
ak
xk
=ak
· lim
x→±∞
xk
=a k
·(±∞)
Atenció amb els signes!
c) Límits de quocients entre polinomis:
lim
x→±∞(ak x
k
bp xp)=
ak
b p
· lim
x→±∞(x
k
xp)=
Menyspreant
termes de
grau inferior:
±∞ si k > p
0 si p > k
ak/bp si p = k
p201: E12, 15, 16
2. Càlcul de límits.
d) Propietats de les operacions amb límits:
lim
x→+∞
[ f ( x)±g( x)]= lim
x→+ ∞
f ( x)± lim
x→+∞
g( x)
lim
x→+∞
[ f ( x)· g( x)]=lim
x→+∞
f ( x)· lim
x→+ ∞
g( x)
lim
x→+∞
f (x)
g (x)
=
lim
x→+ ∞
f ( x)
lim
x→+ ∞
g( x) (si lim g(x) diferent de 0)
lim
x→+∞
p
√ f (x)=p
√ lim
x→+ ∞
f ( x)
lim
x→+∞
[ f ( x)]p
=[ lim
x→+∞
f ( x)]p
lim
x→+∞
loga f ( x)=loga lim
x→+∞
f ( x)
lim
x→+∞
f ( x)g( x)
=( lim
x→+∞
f ( x))lim x→+∞ g(x)
(si lim f(x) i lim g(x) diferent de 0)
p199: E9, 11, 12, 44 i 45 cap de setmana
3. Indeterminacions
a) ∞/∞
b) ∞ - ∞
c) 1∞
lim
x→+∞
3x2
√ 4x+1
=
∞
∞
Dividir numerador i denominador entre la potència més gran de x
Resoldre la resta de fraccions
Multiplicat pel conjugat (entre arrels)
Novetat!
a) ∞/∞ grau 2
grau 1/2
3. Indeterminacions
lim
x→+∞
3x2
√ 4x+1
=
∞
∞
a) ∞/∞ grau 2
grau 1/2
lim
x→+∞
3x2
x
2
√ 4x+1
x
2
= lim
x→+∞
3
√4x
x4
+
1
x4
=
3
0
=+∞
Altre exemple p202, 17, 18
3. Indeterminacions
lim
x→+∞(x
2
−3
x−5
−
x
3
x2
+ 1)=∞−∞
b1) ∞ - ∞ (resta)
x2
−3
x−5
−
x3
x
2
+1
=
(x2
−3)( x2
+ 1)−x3
( x−5)
(x−5)(x
2
+1)
=
x4
+ x2
−3x2
−3−x4
+ 5x3
x
3
+ x−5x
2
−5
=
5x3
−2x2
−3
x
3
−5x
2
+x−5
lim
x→+∞(5x
3
x3 )=5
3. Indeterminacions
lim
x→−∞
(√ x4
+1−√x2
−1)=∞−∞
b2) ∞ - ∞ (conjugat)
(√ x4
+ 1−√ x2
−1 )·(√ x4
+ 1+ √x2
−1)
√ x4
+ 1+√ x2
−1
=
x
4
+ 1−( x
2
−1)
√ x4
+1+ √x2
−1
lim
x→−∞
x4
−x2
+2
√ x4
+ 1+√ x2
−1
=+ ∞
p203, 19, 20
3. Indeterminacions
lim
x→∞
f (x)g( x)
=elim [ f ( x)−1]·g( x)
c) 1∞
lim
x→+∞(x2
−3
x
2
−5)
3x+ 1
=1
∞
Sempre i quan els límits a l'infinit de f(x) i g(x) per separat siguin 1
i ∞ respectivament.
lim
x→+∞(x2
−3
x
2
−5)
3x+ 1
=1
∞
p204, E2, 21, 22
(x
2
−3
x2
−5
−1
)·(3x+1)=
x
2
−3−(x
2
−5)
x2
−5
·(3x+1)=
=
2·(3x+1)
x2
−5
=
6x+2
x2
−5
lim
x→+∞(x2
−3
x
2
−5)
3x+ 1
=e
0
4. Límits en funcions (tendint a punts concrets)
a) En un punt, per l'esquerra, per la dreta
lim
x→2
(x2
−2x+1)=22
−2·2+1=1
Substituïm valor
f(x) = x2
- 2x + 1
f(x) = 2x - 1 si x<1
-x2
+ 1 si x>1
lim
x→1e
(2x−1)=2·1+1=3
lim
x→1d
(−x2
+1)=−12
+1=0
-Un valor diferent ens indica que hi ha una discontinuïtat de salt finit.
-En aquest cas no existeix el límit tendint a 1.
-No problem.
lim
x→3
x2
+1
x−3
=
32
+1
3−3
=
10
0
=∞
El negatiu per l'esquerra ens indica que la branca va cap avall, el positiu per la dreta
que la branca va cap amunt.
-Ens trobem davant d'una assímptota vertical (salt infinit)
f ( x)=
x2
+1
x−3
lim
x→3e
x2
+ 1
x−3
=
2,92
+1
2,9−3
=
10
−0,1
=−∞
lim
x→3d
x2
+1
x−3
=
3,12
+1
3,1−3
=
10
0,1
=+∞
lim
x→2
x2
−4
x
3
−7x+6
=
22
−4
2
3
−7·2+6
=
0
0
-Ens trobem davant d'una INDETERMINACIÓ 0/0!!
f ( x)=
x2
−4
x
3
−7x+6
Mecanisme: factoritzar i simplificar l'expressió.
x2
−4
x
3
−7x+6
=
( x+2)( x−2)
( x−1)( x−2)(x+3)
=
x+ 2
( x−1)( x+3)
lim
x→2
x+2
(x−1)(x+3)
=
2+ 2
( 2−1)( 2+3)
=
4
5
p205, 23, 24, 25, 27, 28, 29, 63, 64, 65, 67, 71, 72, 73, 74, 75,76,79, 80, 82
b) Interpretació de cara a l'estudi de la continuïtat
Perquè una funció sigui contínua en un punt "a" s'han de
complir 3 condicions: f(a)ᴲ limᴲ a
f(x) f(a)=lima
f(x)
ᴲ f(a) ᴲ lim f(a)=lim Gràfica
Contínua Ok Ok Ok
Disc. evitable Ok Ok
Disc. evitable Ok
De salt finit Ok
De salt finit
De salt infinit Ok
De salt infinit
5. Repàs de les funcions principals
Funcions polinòmiques
Funcions racionals ( / )
Funcions amb radicals
Funcions exponencials
Funcions logarítmiques
Funcions trigonomètriques
Sempre contínues
No contínues quan den=0
Sempre contínues per índex senar. En índex parell,
no contínues quan radicand és negatiu.
Sempre contínues
No contínues quan "a" és 0 o negatiu (logb
a)
Sin i Cos contínues, Tg no en x=π/2 + kπ
"El" problema: -Estudïa la continuïtat de la següent funció:
x+1
x2
+ x
√ x+ 1
f (x) =
si x <= 3
si x > 3
1r: Mirar el panorama i decidir els punts d'estudi.
-A la primera expressió (racional) hi haurà discontinuïtat quan x2
+x=0
x2
+ x = 0; x·(x + 1) = 0; x1
= 0
x2
= -1
-A la segona, tindríem discontinuïtat si x + 1 < 0. Mai serà el cas.
Punts d'estudi: -1, 0, 3 (canvi), -∞, +∞ (sempre ajuden)
2n: Mirar què passa amb l'ajuda dels límits.
No existeix f(-1), però sí existeix lim: DISCONTINUÏTAT EVITABLE
lim
x→−1( x+1
x
2
+x)=
−1+1
(−1)
2
+(−1)
=
0
0
x+1
x2
+ x
=
x+1
x( x+1)
=
1
x
lim
x→−1
1
x
=−1
lim
x→0 (x+1
x
2
+x )=
0+1
0
2
+0
=
1
0
=∞
No existeix f(0), límits tendeixen a infinit: ASÍMPTOTA VERTICAL
lim
x→0 (x+1
x
2
+x )=
0+1
0
2
+0
=
1
0
=∞
lim
x→0e( x+1
x
2
+x)=
−0,1+1
(−0,1)
2
−0,1
=
1
−0,09
=−∞
lim
x→0d ( x+ 1
x
2
+ x)=
0,1+1
(0,1)
2
+0,1
=
1
0,11
=+∞
Límits per esquerra i dreta difereixen: SALT FINIT
lim
x→3e( x+1
x
2
+x)=
3+ 1
3
2
+ 3
=
9
12
=
1
3
lim
x→3d
√x+1=√ 3+1=2
lim
x→−∞( x+1
x
2
+ x)=0 lim
x→+∞
√ x+ 1=+ ∞
ASÍMPTOTA HORITZONTAL Va creixent
3r: Representar esquemàticament la funció.
p209, 31, 94o, 102, 103, 104, 110, 111, 112, 113
6. Teoremes a l'entorn dels límits
Si f(x) és contínua en l'interval [a,b], i els signes de f(a) i f(b) són
diferents, podem afirmar que dins de l'interval hi ha almenys un
punt c pel qual f(c)=0.
Bernhard Bolzano
"per força la funció ha de travessar l'eix x"
a) El Teorema de Bolzano
f ( x)=√ x+1
e
x
+
cos x
x−1
S'anul·la en algun punt de
l'interval [4,6]?
1r: Comprovar que en l'interval sigui contínua:
Cap de les expressions que conformen la funció ens indica
que no sigui contínua, per tant és contínua.
√ x+ 1 ex
x−1cos x
2n: Comprovar que el valor dels extrems té signe oposat:
f ( 4)=√ 4+1
e
4
+
cos 4
4−1
=−0,17 f (6)=√6+ 1
e
6
+
cos6
6−1
=0,19
Cap de les expressions que conformen la funció ens indica
que no sigui contínua, per tant és contínua.
Signe diferent: Segons Bolzano, la funció sí s'anul·la en algun punt de l'interval.
p210: 33, 125, p223:aplic 7 i 8
Si f(x) és contínua en l'interval [a,b], f(x) pren en aquest interval
tots els valors "m" entre f(a) i f(b).
Jean Gaston Darboux
"per força la funció ha de passar per m"
a) El Teorema de Darboux (o dels valors intermedis)
f ( x)=( 1−x2
)·cos πx Existeix f(c)=-2 en algun punt c
de l'interval [1,2]?
1r: Comprovar que en l'interval sigui contínua:
Cap de les expressions que conformen la funció ens indica
que no sigui contínua, per tant és contínua.
1−x2
cosπx
2n: Calcular el valor que pren la funció en els extrems:
Cap de les expressions que conformen la funció ens indica
que no sigui contínua, per tant és contínua.
-2 entre -3 i 0: Segons Darboux, la funció sí passa per -2 en algun punt de l'interval.
p211: 35, 133, 134
f (1)=(1−12
)·cosπ·1=0 f ( 2)=(1−22
)·cos π·2=−3
-3 < -2 < 0

1 Límits i continuïtat de funcions

  • 1.
    Temari matemàtiques 2nde Batxillerat 1. Límits i continuïtat de funcions (7) 2. Derivades (8) 3. Aplicacions de la derivada (9-10) 4. Primitives, integrals indefinides (11) 5. Integrals definides (12) 6. Matrius i determinants (1-2) 7. Sistemes d'equacions lineals (3) 8. Geometria a l'espai (4) 9. Distàncies i angles (5-6) ANÀLISI ÀLGEBRA LINEAL GEOMETRIA 1T 2T 3T 3 grans temes de la sele:
  • 2.
    Tema 1(7): Límitsi continuïtat de funcions 1. Concepte de límit 2. Càlcul de límits 3. Indeterminacions 4. Límits en funcions 5. Repàs funcions principals 6. Teoremes a l'entorn dels límits
  • 3.
    1. Concepte delímit. El límit és "el lloc preparat", "la tendència". lim x→1 f ( x)=+ ∞ lim x→3 f ( x)=∃ lim x→3− f ( x)=−2 lim x→3+ f ( x)=1 lim x→5 f ( x)=3 lim x→+∞ f ( x)=1 lim x→0 f ( x)=0 lim x→−∞ f ( x)=−∞ Pàg.196: E5, 5, E7, E8, 7, 8
  • 4.
    2. Càlcul delímits. a) Límits de potències: lim x→+∞ xn = Exemples de cada un, Pàg.200: 13,14 +∞ si n > 0 1 si n = 0 0 si n < 0 lim x→−∞ xn = +∞ si n > 0 i parell -∞ si n > 0 i senar 1 si n = 0 0 si n < 0 lim x→+∞ ax = +∞ si a > 1 0 si 0<a<1 Ø si a < 0 lim x→−∞ ax = 0 si a > 1 +∞ si 0<a<1 0 si a < 0 variablealabasevariableal'exponent
  • 5.
    2. Càlcul delímits. b) Límits de polinomis: lim x→±∞ (ak xk + ak−1 xk−1 +...+ a1 x+a0 )= = lim x→±∞ ak xk =ak · lim x→±∞ xk =a k ·(±∞) Atenció amb els signes! c) Límits de quocients entre polinomis: lim x→±∞(ak x k bp xp)= ak b p · lim x→±∞(x k xp)= Menyspreant termes de grau inferior: ±∞ si k > p 0 si p > k ak/bp si p = k p201: E12, 15, 16
  • 6.
    2. Càlcul delímits. d) Propietats de les operacions amb límits: lim x→+∞ [ f ( x)±g( x)]= lim x→+ ∞ f ( x)± lim x→+∞ g( x) lim x→+∞ [ f ( x)· g( x)]=lim x→+∞ f ( x)· lim x→+ ∞ g( x) lim x→+∞ f (x) g (x) = lim x→+ ∞ f ( x) lim x→+ ∞ g( x) (si lim g(x) diferent de 0)
  • 7.
    lim x→+∞ p √ f (x)=p √lim x→+ ∞ f ( x) lim x→+∞ [ f ( x)]p =[ lim x→+∞ f ( x)]p lim x→+∞ loga f ( x)=loga lim x→+∞ f ( x) lim x→+∞ f ( x)g( x) =( lim x→+∞ f ( x))lim x→+∞ g(x) (si lim f(x) i lim g(x) diferent de 0) p199: E9, 11, 12, 44 i 45 cap de setmana
  • 8.
    3. Indeterminacions a) ∞/∞ b)∞ - ∞ c) 1∞ lim x→+∞ 3x2 √ 4x+1 = ∞ ∞ Dividir numerador i denominador entre la potència més gran de x Resoldre la resta de fraccions Multiplicat pel conjugat (entre arrels) Novetat! a) ∞/∞ grau 2 grau 1/2
  • 9.
    3. Indeterminacions lim x→+∞ 3x2 √ 4x+1 = ∞ ∞ a)∞/∞ grau 2 grau 1/2 lim x→+∞ 3x2 x 2 √ 4x+1 x 2 = lim x→+∞ 3 √4x x4 + 1 x4 = 3 0 =+∞ Altre exemple p202, 17, 18
  • 10.
    3. Indeterminacions lim x→+∞(x 2 −3 x−5 − x 3 x2 + 1)=∞−∞ b1)∞ - ∞ (resta) x2 −3 x−5 − x3 x 2 +1 = (x2 −3)( x2 + 1)−x3 ( x−5) (x−5)(x 2 +1) = x4 + x2 −3x2 −3−x4 + 5x3 x 3 + x−5x 2 −5 = 5x3 −2x2 −3 x 3 −5x 2 +x−5 lim x→+∞(5x 3 x3 )=5
  • 11.
    3. Indeterminacions lim x→−∞ (√ x4 +1−√x2 −1)=∞−∞ b2)∞ - ∞ (conjugat) (√ x4 + 1−√ x2 −1 )·(√ x4 + 1+ √x2 −1) √ x4 + 1+√ x2 −1 = x 4 + 1−( x 2 −1) √ x4 +1+ √x2 −1 lim x→−∞ x4 −x2 +2 √ x4 + 1+√ x2 −1 =+ ∞ p203, 19, 20
  • 12.
    3. Indeterminacions lim x→∞ f (x)g(x) =elim [ f ( x)−1]·g( x) c) 1∞ lim x→+∞(x2 −3 x 2 −5) 3x+ 1 =1 ∞ Sempre i quan els límits a l'infinit de f(x) i g(x) per separat siguin 1 i ∞ respectivament.
  • 13.
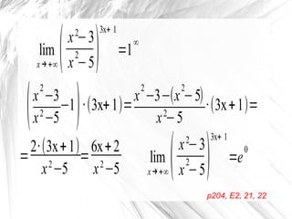
    lim x→+∞(x2 −3 x 2 −5) 3x+ 1 =1 ∞ p204, E2,21, 22 (x 2 −3 x2 −5 −1 )·(3x+1)= x 2 −3−(x 2 −5) x2 −5 ·(3x+1)= = 2·(3x+1) x2 −5 = 6x+2 x2 −5 lim x→+∞(x2 −3 x 2 −5) 3x+ 1 =e 0
  • 14.
    4. Límits enfuncions (tendint a punts concrets) a) En un punt, per l'esquerra, per la dreta lim x→2 (x2 −2x+1)=22 −2·2+1=1 Substituïm valor f(x) = x2 - 2x + 1 f(x) = 2x - 1 si x<1 -x2 + 1 si x>1 lim x→1e (2x−1)=2·1+1=3 lim x→1d (−x2 +1)=−12 +1=0 -Un valor diferent ens indica que hi ha una discontinuïtat de salt finit. -En aquest cas no existeix el límit tendint a 1. -No problem.
  • 15.
    lim x→3 x2 +1 x−3 = 32 +1 3−3 = 10 0 =∞ El negatiu perl'esquerra ens indica que la branca va cap avall, el positiu per la dreta que la branca va cap amunt. -Ens trobem davant d'una assímptota vertical (salt infinit) f ( x)= x2 +1 x−3 lim x→3e x2 + 1 x−3 = 2,92 +1 2,9−3 = 10 −0,1 =−∞ lim x→3d x2 +1 x−3 = 3,12 +1 3,1−3 = 10 0,1 =+∞
  • 16.
    lim x→2 x2 −4 x 3 −7x+6 = 22 −4 2 3 −7·2+6 = 0 0 -Ens trobem davantd'una INDETERMINACIÓ 0/0!! f ( x)= x2 −4 x 3 −7x+6 Mecanisme: factoritzar i simplificar l'expressió. x2 −4 x 3 −7x+6 = ( x+2)( x−2) ( x−1)( x−2)(x+3) = x+ 2 ( x−1)( x+3) lim x→2 x+2 (x−1)(x+3) = 2+ 2 ( 2−1)( 2+3) = 4 5 p205, 23, 24, 25, 27, 28, 29, 63, 64, 65, 67, 71, 72, 73, 74, 75,76,79, 80, 82
  • 17.
    b) Interpretació decara a l'estudi de la continuïtat Perquè una funció sigui contínua en un punt "a" s'han de complir 3 condicions: f(a)ᴲ limᴲ a f(x) f(a)=lima f(x) ᴲ f(a) ᴲ lim f(a)=lim Gràfica Contínua Ok Ok Ok Disc. evitable Ok Ok Disc. evitable Ok De salt finit Ok De salt finit De salt infinit Ok De salt infinit
  • 18.
    5. Repàs deles funcions principals Funcions polinòmiques Funcions racionals ( / ) Funcions amb radicals Funcions exponencials Funcions logarítmiques Funcions trigonomètriques Sempre contínues No contínues quan den=0 Sempre contínues per índex senar. En índex parell, no contínues quan radicand és negatiu. Sempre contínues No contínues quan "a" és 0 o negatiu (logb a) Sin i Cos contínues, Tg no en x=π/2 + kπ
  • 19.
    "El" problema: -Estudïala continuïtat de la següent funció: x+1 x2 + x √ x+ 1 f (x) = si x <= 3 si x > 3 1r: Mirar el panorama i decidir els punts d'estudi. -A la primera expressió (racional) hi haurà discontinuïtat quan x2 +x=0 x2 + x = 0; x·(x + 1) = 0; x1 = 0 x2 = -1 -A la segona, tindríem discontinuïtat si x + 1 < 0. Mai serà el cas. Punts d'estudi: -1, 0, 3 (canvi), -∞, +∞ (sempre ajuden)
  • 20.
    2n: Mirar quèpassa amb l'ajuda dels límits. No existeix f(-1), però sí existeix lim: DISCONTINUÏTAT EVITABLE lim x→−1( x+1 x 2 +x)= −1+1 (−1) 2 +(−1) = 0 0 x+1 x2 + x = x+1 x( x+1) = 1 x lim x→−1 1 x =−1 lim x→0 (x+1 x 2 +x )= 0+1 0 2 +0 = 1 0 =∞
  • 21.
    No existeix f(0),límits tendeixen a infinit: ASÍMPTOTA VERTICAL lim x→0 (x+1 x 2 +x )= 0+1 0 2 +0 = 1 0 =∞ lim x→0e( x+1 x 2 +x)= −0,1+1 (−0,1) 2 −0,1 = 1 −0,09 =−∞ lim x→0d ( x+ 1 x 2 + x)= 0,1+1 (0,1) 2 +0,1 = 1 0,11 =+∞
  • 22.
    Límits per esquerrai dreta difereixen: SALT FINIT lim x→3e( x+1 x 2 +x)= 3+ 1 3 2 + 3 = 9 12 = 1 3 lim x→3d √x+1=√ 3+1=2 lim x→−∞( x+1 x 2 + x)=0 lim x→+∞ √ x+ 1=+ ∞ ASÍMPTOTA HORITZONTAL Va creixent
  • 23.
    3r: Representar esquemàticamentla funció. p209, 31, 94o, 102, 103, 104, 110, 111, 112, 113
  • 24.
    6. Teoremes al'entorn dels límits Si f(x) és contínua en l'interval [a,b], i els signes de f(a) i f(b) són diferents, podem afirmar que dins de l'interval hi ha almenys un punt c pel qual f(c)=0. Bernhard Bolzano "per força la funció ha de travessar l'eix x" a) El Teorema de Bolzano
  • 25.
    f ( x)=√x+1 e x + cos x x−1 S'anul·la en algun punt de l'interval [4,6]? 1r: Comprovar que en l'interval sigui contínua: Cap de les expressions que conformen la funció ens indica que no sigui contínua, per tant és contínua. √ x+ 1 ex x−1cos x 2n: Comprovar que el valor dels extrems té signe oposat: f ( 4)=√ 4+1 e 4 + cos 4 4−1 =−0,17 f (6)=√6+ 1 e 6 + cos6 6−1 =0,19 Cap de les expressions que conformen la funció ens indica que no sigui contínua, per tant és contínua. Signe diferent: Segons Bolzano, la funció sí s'anul·la en algun punt de l'interval. p210: 33, 125, p223:aplic 7 i 8
  • 26.
    Si f(x) éscontínua en l'interval [a,b], f(x) pren en aquest interval tots els valors "m" entre f(a) i f(b). Jean Gaston Darboux "per força la funció ha de passar per m" a) El Teorema de Darboux (o dels valors intermedis)
  • 27.
    f ( x)=(1−x2 )·cos πx Existeix f(c)=-2 en algun punt c de l'interval [1,2]? 1r: Comprovar que en l'interval sigui contínua: Cap de les expressions que conformen la funció ens indica que no sigui contínua, per tant és contínua. 1−x2 cosπx 2n: Calcular el valor que pren la funció en els extrems: Cap de les expressions que conformen la funció ens indica que no sigui contínua, per tant és contínua. -2 entre -3 i 0: Segons Darboux, la funció sí passa per -2 en algun punt de l'interval. p211: 35, 133, 134 f (1)=(1−12 )·cosπ·1=0 f ( 2)=(1−22 )·cos π·2=−3 -3 < -2 < 0