Hybrid Model
https://in.linkedin.com/in/rakeshmandiya
rakesh.yadav1211@gmail.com
10/21/2015
10/21/2015
 At low frequencies, we analyze transistor
using h-parameter. But for high frequency analysis the
h-parameter model is not suitable, because :-
(1) The value of h-parameters are not constant at high
frequencies.
(2)At high frequency h-parameters becomes very complex
in nature.
• Hybrid-  model is used for high frequency
analysis of the transistor.
• This model gives a reasonable compromise
between accuracy and simplicity to do high
frequency analysis of the transistor.
• So we can summaries the merits of hybrid- 
model as; it is simple and accurate.
• The value of all parameters are constant with high
frequency and all the resistive components of this
model can be obtained from low frequency h-
parameters.
In the derivation of trans conductance gm and diffusion
capacitance Cde (≈Ce), it is assumed that Vbe changes so
slowly with time that in the base region, concentration of
minority carrier holes is along straight line from Je to Jc.
Thus the collector current Ie remains equal to the emitter
current IE and the base current is extremely small
compared with Ic.
VALIDITY OF HYBRID-∏ MODEL
Hence under dynamic condition, the hybrid-π model is
valid only when the rate of change of Vbe with time is so
small that the base current increment Ib is small in
comparison with the collector current increment Ie.
Giacoletto proved that the network elements in the
hybrid model are frequency invariant provided that
Since
2πf W2/6 DB<<1
But from previous sections we have Ce and Cde
Ce = gm/2πfT
Cde = W2gm/2DB
Thus we can reduce the previous equatio
f<<6πfT/2π
Or
f<<3fT
Thus we conclude that the hybrid-π model is valid for
frequency up to about fT/3 .
10/21/2015
10/21/2015
 This model gives reasonable compromise b/w
accuracy and simplicity to do high frewuency
analysis of transistor.
 Figure shows the hybrid-  model for transistor in
CE configuration. For this model, All parameters
(resistances and capacitances) are assumed to be
independent of frequency. But they may vary with
the Q point or operating point.
10/21/2015
10/21/2015
10/21/2015
10/21/2015
10/21/2015
The parameter gm is called trans conductance
(or mutual conductance). The trans conductance represents
the small change in collector current about the operating
point produced by the small changes in base emitter voltage .
This effect of change in collector current due to small change
in base-emitter voltage, accounts for the current generator gm Vb’c
at output and it is called as trans conductance.
gm=ΔIc/ΔVb’e
at a constant Vce.
10/21/2015
Capacitance Cc :-
The collector-junction capacitance :-
Cc = Cbe
(The output capacitance measured at CB junction
with the input open, i.e. Ie = 0 and is specified by the
manufactures as Cob.)
Since in the active region the collector,junction is
reverse biased, then Cc is a transition capacitance,
and hence varies as Vcb where n is 1/2 or 1/3 for an
abrupt or gradual junction, respectively.
10/21/2015
10/21/2015
10/21/2015
Hence the charge stored in the base region (QB) is given by
:-
QB =P'(0) *(A*W*q) / 2
Where
W = base width
A = cross-sectional area of base
AW = volume of base
q = electronic charge
Pʹ(0) = Injected charge concentration
Pʹ(0)/2 = Average concentration of carrier
in base region
QB = p’(0)*(v*q)/2
Thus ,
Aq = 2QB/P'(0)*W ………….(1)
Current density (J) = -qDp(dP/dx)
Where
Dp = diffusion constant
dp / dx = Change in concentration w.r.t. distance
Diffusion current :-
I = J.A
= - AqDp (dP'/dx)
= +AqDBP'(0)/W
(where , DB= diffusion constant for minority carrier)
Thus,
Aq = I*W / DB*P'(0) ……………………(2)
Equating both the equations :-
2QB/P'(0)*W = I*W/DB*P(O)
QB = I*W2/2DB ………………………....(3)
Finally,The static diffusion capacitance
Cde=dQB/dV
From above equation:-
Cde = dI*W2/ 2DB*Dv
= [W2/ re *2DB]
Where
re = emitter junction incremental resistance and is given by :-
re=dV/dl = VT/IE
Thus ,
Cde=[W2/2DB].[IE/VT]
Cde=gm.[W2/2DB] = Ce
This indicates that the Cde is proportional to the IE
and inversely proportional with VT. Cde is almost
independent of temperature.
Experimentally, Ce is determined from a
measurement of the frequency flat which the CE
short-circuit current gain drops to unity ;
Ce =gm/2πft
The equation for the trans conductance can be derived as
follows :
Let us consider a P-N-P transistor in the CE Configuration
with Vee bias in the collector circuit a shown in Fig.
T1 !PNPR5 1V1 5TP5TP6
rb'b
Vbe VE
B
C
B'
E
VCC
The trans conductance is defined as the ratio of change in the
collector current due to small changes in the voltage Vb’e
across the emitter junction.
We know that, the Collector current in active region is given
as
For a pnp transistor
Ic=Ico- IE
Also , Isc = gm Vb’e =Ic
or gm = dIc / dVb’e …….(1)
δIc= αδIE
Substituting values of δIC in eq (1) we get :-
gm= αdIE/ dVb’e
The emitter diode resistance is given as :-
1/re = dIE/dV
10/21/2015
For P-N-P transistor Ic is negative and for an N-P-N
transistor Ic is positive, but in the foregoing analysis (with
VE = +VBE) we get
Hence, for either type of transistor gm is positive.
gm = α (IC -ICO) / VT
= α IC / VT
Substituting value of VT we get,
gm = 11600IC/T
Substituting/ the value of re in we get,
gm= αIE/VT = α ( Ico-Ic )/VT
Equation shows that trans conductance gm is inversely
proportional to temperature.
At room temperature, 300k
gm=11600Ic/300
= Ic/26*10-3
=Ic /26
This is for,
Ic=1.3mA, gm=0.05m mho
while for,
Ic=2.6mA, gm=0.1m mho
These values are much larger than the trans
conductance
obtained with FET’s
As discussed earlier, the high frequency analysis takes into
account the capacitive effect of PN Junction in transistor.
We can not assume at high frequency that transistor responds
instantly to changes of input voltage or current because the
mechanism of the transport of charge carrier from emitter to
collector is essentially one of diffusion.
The increase of hfe with temperature has been
determined experimentally, where as the increase with
|VCE| is due to the decrease of the base width and the
reduction in recombination which increase the transistor
‘Alpha’.
10/21/2015
10/21/2015
For calculating the resistance we are conidering the Hybrid ∏-
model in terms of low frequency H parameter aiso neglacting
the capacitance effect.
First consider the hybrid-  model for CE Configuration:-
10/21/2015
We know that hie is the input resistance (in h-parameter
model) when the output terminals i.e. collector terminals
are shorted. Under this condition in Hybrid -  model, rb'c
comes in parallel with rb'e. But since rb'c »rb'e
rb’e || rb’c ≈ rb’e
:. With hybrid-  model input resistance with output shorted
is rbb' + rb'e.
hie = rbb’ + rb’e
rbb’ = hie – rb’e
In h-parameter model, hre is defined as reverse voltage gain:
hre = Vb’e/Vce = rb’e /(rb’e + rb’c)
By applying voltage divider formula
hre rb’e + hre.rb’c = rb’e
rb’e(1-hre) = hre.rb’c
Since ;
hre <<1
rb’e = hre.rb’c
rb’c = rb’e / hre
Feedback Conductance
gb’c = hre*gb’e
10/21/2015
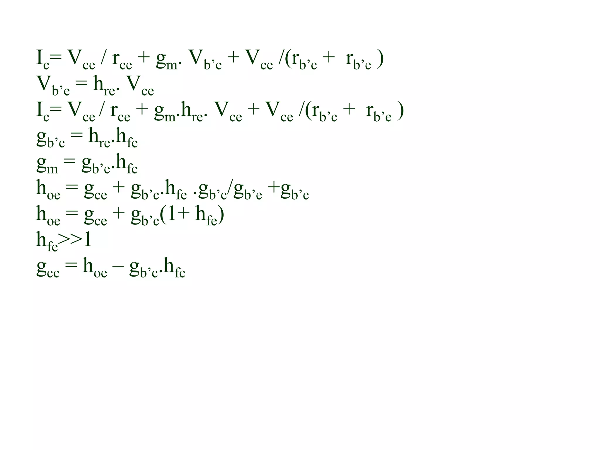
Ic= Vce / rce + gm. Vb’e + Vce /(rb’c + rb’e )
Vb’e = hre. Vce
Ic= Vce / rce + gm.hre. Vce + Vce /(rb’c + rb’e )
gb’c = hre.hfe
gm = gb’e.hfe
hoe = gce + gb’c.hfe .gb’c/gb’e +gb’c
hoe = gce + gb’c(1+ hfe)
hfe>>1
gce = hoe – gb’c.hfe
10/21/2015
10/21/2015
10/21/2015
10/21/2015
Looking at the above fig.we can write
IL= -gmVb’e
And
Ii= Vb’e [ gb’e + jw (Cc+ Ce) ]
Current gain under short circuit condition is
AI = IL/ Ii
, = -gmVb’e / Vb’e [gb’e + jw (Cc+Ce) ]
AI = -hfe/[1 + j2f(Cc+Ce)/ gb’e] ………..Eq.(1)
AI =- hfe/[1 + jf/fβ]
Where
fβ =gb’e/ 2Π(Cc+Ce)
As we know
gb’e= gm/hfe
where
fβ = gm/ hfe 2Π(Cc+Ce) …………….. Eq.(2)
β- Cut-Off Frequency(fβ)
fβ is defined as the frequency at which CE short circuit
current gain falls (1/ 2)1/2 (or 0.707 or falls by 3 dB ) of
its low frequency value i.e. hfe.
So te value of hfe can be neglacted
because hfe >>1
The value of fβ can be
found out using expression
fβ= gm/2(Cc+Ce)
The frequency range up to fβ forms the 3 dB band width
or simply the band width of the circuit.
The Parameter(fT) :
Frequency fT is defined as the frequency at which CE
Short circuit current gain becomes unity.
at f= fT ,
AI becomes :
AI = 1= hfe/[1 +( fT/fβ)2 ] … eq.(3)
The ratio fT/ fβ, is quite large as compared to (fT/
fβ>>1)) hence Equation (1) becomes
1= hfe/ fT/fβ
substituting this value of
fβ= gm/ hfe2f(Cc+Ce)
therefore
fT = gm/2f(Cc+Ce) …. Eq.(4)
since Ce>>Cc we can write
So we can neglacted the value of Cc
fT = gm/ 2f Ce ……. Eq.(5)
fT as CE short circuit current gain bandwidth product:-
We know that,
fT = hfe*fβ
That is fT is the product of low frequency gain (hfe) and 3dB
bandwidth of short circuited CE stage (fβ) .
Hence fT represents the CE short circuit current gain-band
width product.
10/21/2015
α-Cut-Off Frequency, fα
We have already seen β-cut-off frequency for transistor
operating in CE configuration. a cut off frequency is a
similar frequency for transistor operating in CB
configuration.
fα can be defined as the frequency at which the transistor's
short circuit CB current gain drops 3 dB or (1/2) times from
its value at low frequency hfb. The expression for fα is given
as:
fα = hfe*gb'e / 2Π*Ce ………….. Eq.(6)
10/21/2015
10/21/2015
10/21/2015
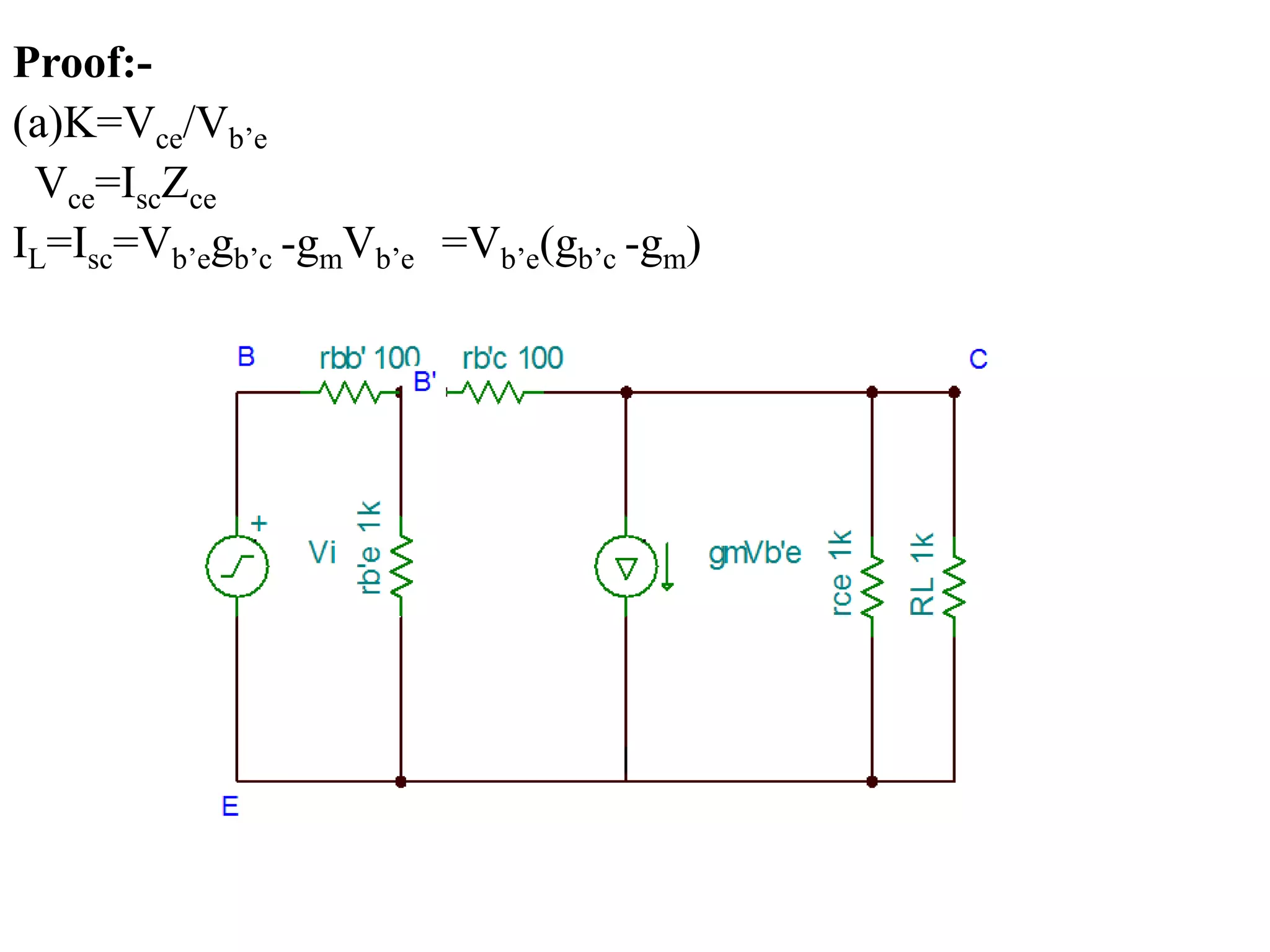
As K = Vce/Vb’e
= ILRL/ Vb’e
= (-gmVb’e)RL/Vb’e
= -gmRL
So ;
1-K=1+ gmRL
Thus, AI = IL/ Ii
AI = -gmVb’e / Vb’e [gb’e + jwCeq ]
As we know
gb’e= gm/hfe
Thus ,
Ai = -gb’ehfe/[gb’e+ jwCeq ]
Ai = -hfe/[1 + j2Πf(Ceq)/ gb’e] ………..Eq.(1)
Ai= - hfe/[1 + jf/fH]
fH= gb’e/ 2 Πceq
=1/ 2Πrb’e[Ce+Cc(1 +gmRL)]
The simplified equivalent circuit is at RL= 0 :-
fH=1/ 2Πrb’e(Ce+Cc)= f
So the current gain = Ai = hfe / [ 1+(f /fh)2]1/2
= hfe / (2)1/2,
= 0.707 hfe
10/21/2015
Rs’=Rs+rbb’=1/Gs’
By applying KCL at B’ & C, we get : -
Gs’Vs=[Gs’+gb’e+s(Ce+Cc)]Vb’e-sCcVo..(1)
0=(gm-sCc)Vb’e+({1/RL}+sCc)Vo……(2)
We know that the voltage gain is
By solving the equation 2 and find the value of
And put I in equation 1
Avs=Vo/Vs
Vb’e
Vb’e = ({1/RL}+sCc)Vo /(sCc-gm)
Vo/Vs= -Gs’RL(gm-sCc)/ s2CeCcRL +s[Ce+Cc+CcRL
(gm+gb’e+Gs’)]+Gs’+gb’e……eqn.(3)
By solving the quadratic equation
We get
Avs=Vo/Vs=K1(s-s0)/[(s-s1)(s-s2)…eqn.(4)
Where
K1=Gs’/Ce,
s0=gm/Cc
s1=Complex value
s2 =Complex value
10/21/2015
10/21/2015
fH =1/ 2ΠReqCeq
Req =(Rs+rbb’)||rb’e
Req=Rs rbb’rb’e/Rs+rbb’+rb’e
hie=rbb’+rb’e
Put the value of Req=(Rs+rbb’)rb’e/(Rs+hie)
fH = (Rs+hie)/2ΠC(Rs+rbb’)rb’e
Avs= Vo/Vs
=-gmVb’eRL/Is(Rs+rbb’+rb’e)
Avs =-gmVb’eRL/Is(Rs+hie)
Vb’e=Ib’erb’e
Avs =-gm(Ib’erb’e)RL/Is(Rs+hie)
Ib=Is
Avs =-gmrb’eRL/Rs+hie
since fH = (Rs+hie)/2ΠC(Rs+rbb’)rb’e
therefore|Avsfh|
={-
gmrb’eRL/Rs+hie}{(Rs+hie)/2ΠC(Rs+rbb’)rb’e}
|Avsfh|=-gmRL/2ΠC(Rs+rbb’)
|Avsfh|=gmRL/2ΠC(Rs+rbb’)
|Avsfh|=gmRL/2ΠCeq(Rs+rbb’)
Ceq=Ce+Cc(1+gmRL)
|Avsfh|=gmRL/2Π{Ce+Cc(1+gmRL) }(Rs+rbb’)
divide both numerator & denominator by
2Π (Ce+Cc)
|Avsfh|={gmRL/2Π(Ce+Cc)}/{[2Π[Ce+Cc(1+gmRL)
](Rs+rbb’)]/2Π(Ce+Cc)}
|Avsfh|={gmRL/2Π(Ce+Cc)}/{[(1+CcgmRL) /(Ce+Cc)
](Rs+rbb’)}
fT = gm/2Π(Ce+Cc)
|Avsfh|= fT RL/{(1+ 2ΠfTCcRL)(Rs+rbb’)}
A
+
Is
Rs1k
rbb' 1k
R11k
C11u
gmVb'e
RL1k
rb'e1k
(b) Applying current dividing rule we get
Vs/(Rs+rbb’+rb’e) =Vb’e/rb’e
IsRsrb’e=(Rs+rbb’+rb’e)Vb’e
Is=(Rs+hie)Vb’e/Rsrb’e
AIS=-gmVb’e/Vb’e (Rs+hie/Rsrb’e)
=-gmrb’eRs/Rs+hie
fH=(Rs+hie)/2ΠC(Rs+rbb’)rb’e
fT=gm/2Π(Ce+Cc)
|AIsfh|=
gmrb’eRs/Rs+hieX(Rs+hie)/2ΠC(Rs+rbb’)rb’e
|AIsfh|=(-gm/2ΠC)X(Rs/Rs+rb’e)
C=Ce+Cc(1+gmRL)
|AIsfh|= -gmRs/2Π(Ce+Cc)
|AIsfh|={gmRs/2Π(Ce+Cc)}/(2ΠCe+Cc(1+gmRL))(Rs+rbb’)/2Π(C
e+Cc)
fT=gm/2Π(Ce+Cc)
|AIsfh|=fTRs /(1+2ΠfTCcRL)(Rs+rbb’)
10/21/2015
10/21/2015
10/21/2015
10/21/2015
10/21/2015
10/21/2015
We know that low freq. gain of emitter follower is almost
unity. Therefore A=1;1-K=0;K-1/K=0, thus we can ignore
Ce(1-K),gb’e(K-1/K)and Ce(K-1/K).
The simplified ckt is: -
Voltage gain
A = Vo/Vi = Ve/Vi….............(1)
Ve=IZ
=I/(1/RL+jwCL)
=gmVb'e/((1+jwCLRL)/RL)
=gmRLVb'e/(1+jwCLRL)
=gmRL(Vi-Ve)/(1+jwCLRL)
Ve = gmRLVi/(1+jwCLRL)– gmRLVe /(1+jwCLRL )
Ve+VegmRL/(1+jwCLRL) =gmRLVi/(1+jwCLRL)
(Ve[(1+jwCLRL +gmRL)]) / (1
+jwCLRL)=gmRLVi/(1+jwCLRL)
Therefore
Av=Vo/Vi
gmRL
1+gmRL+jwCLRL
Upper cut-off frequency fH
Av = gmRL/(1+gmRL)(1/1+[jwCLRL/(1+gmRL)])
gmRL
1+gmRL(1+jf/fH)
Thus ,
Av =AVL/(1+jf/fH)
Where ,
AVL=gmRL/1+gmRL<1
fH=1+gmRL/2ΠCLRL
If f = fH Then
Av = gm RL
√2 (1+gm RL)
Now, since the input impedance between
terminals B' and
C is very large in comparison with (rb'b + Rs).
Hence A,
also represents the over all voltage gain Avs:-
Avs = Ve / Vi
Avs= Ao/1+jf/fH
Numerical
Ques1. The following low frequency parameters are known for given
transistor at Ic =10mA,Vce =10Vand at room temperature,
hie=500Ω,hoe=4*10-5 A/V , hfe=100,hre=10-4 .At same operating
point ft = 50Mhz,Cob=3PF.Compute values of all hybrid parameters.
Ans
Given:-
Ic =10mA,Vce =10V,hie=500Ω, hoe=4*10-5 A/V , hfe=100,
hre=10-4 ft =50Mhz,Cob=3PF
To Find:-
All values of hybrid parameters
Formula Used:-
VT=T/11600,gm =Ic /VT ,rb’e=hfe /gm, rbb’=hie-
rb’e , rb’c = rb’e /hre, gce= hoe-(1+ hfe)gb’c ,rce =1/ gce
,Ce = gm /2ΠfT
gm=Ic /VT
=10x10-3 /0.026
=0.3846A/V
2 rb’e=hfe /gm,
=100/0.3846
=260Ω
3 rb’c = rb’e /hre
=260/10-4
= 260x10+4 Ω
5 gce= hoe-(1+ hfe)gb’c
=4x10-5 –(1+100)/260x104
=0.12x10-5 A/V
6 rce=8.33x105 Ω
7 Ce=gm /2ΠfT
=0.3846/2x3.14x30x106
8 Ce=2.04PF
4 rbb’=hie-rb’e
=500-260
=240 Ω
Solution:-
1 gm =Ic /VT
VT=T/11600
=2.98/11600
VT =0.026V
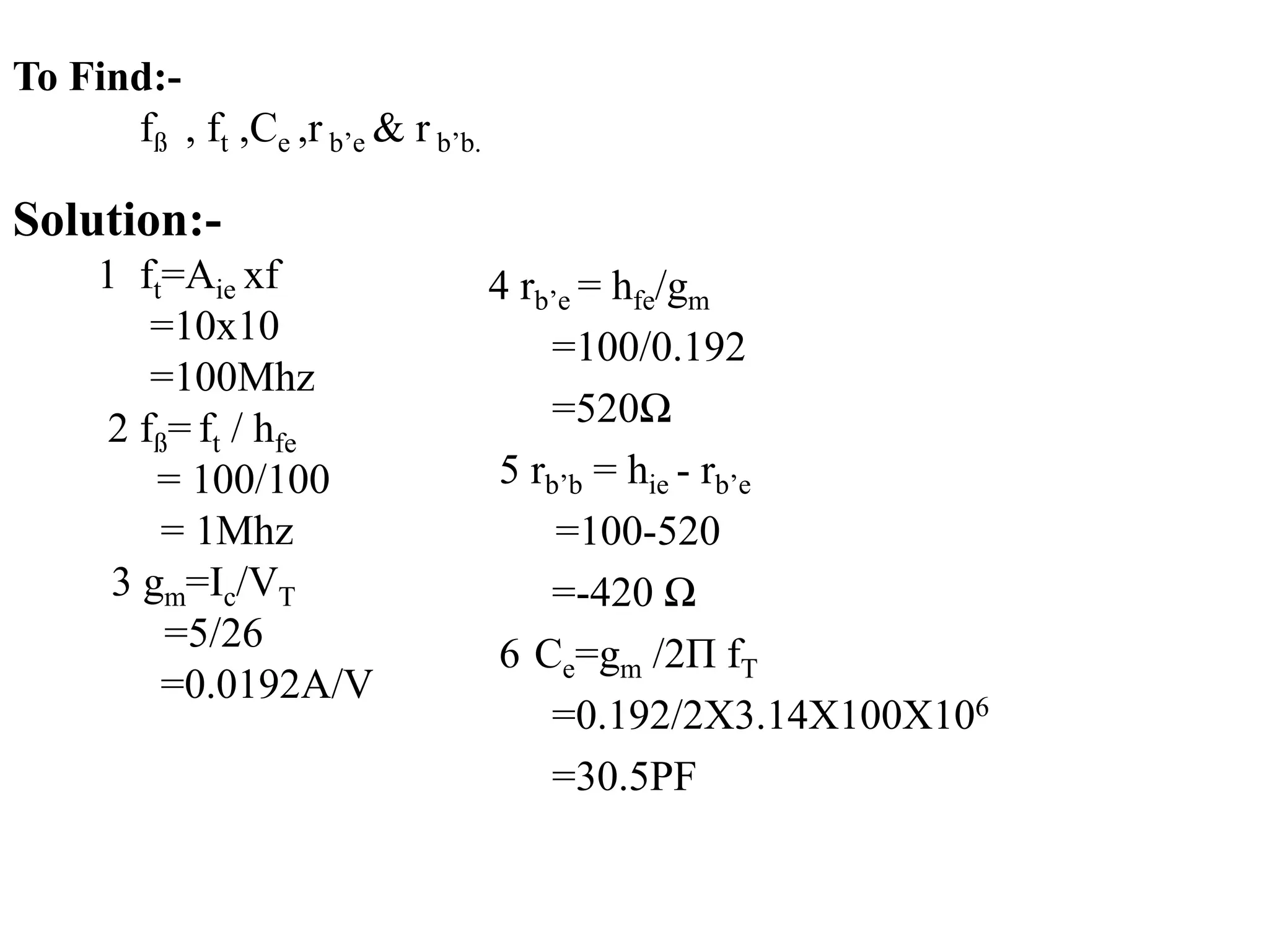
Ques2.Given following transistor measurements made at
Ic=5mA,Vce =10V & at room temperature hfe =100 Ω,
hie=600Ω,Aie =10 at 10 Mhz, Cc =3PF.Find fß , ft ,Ce ,r b’e &
r b’b.
Ans
Given :-
Ic=5mA,Vce =10V, hfe =100 Ω,
hie=600Ω,Aie =10 at 10 Mhz, Cc =3PF
To Find:-
fß , ft ,Ce ,r b’e & r b’b.
Solution:-
1 ft=Aie xf
=10x10
=100Mhz
2 fß= ft / hfe
= 100/100
= 1Mhz
3 gm=Ic/VT
=5/26
=0.0192A/V
4 rb’e = hfe/gm
=100/0.192
=520Ω
5 rb’b = hie - rb’e
=100-520
=-420 Ω
6 Ce=gm /2Π fT
=0.192/2X3.14X100X106
=30.5PF
Ques3.The hybrid parameters of a transistor used in circuit
as shown in fig. gm=50mA/V, rb’e=1KΩ, rb’c=4MΩ,
rb’c=80KΩ, Cc=3PF, Ce=100PF, rbb’=100Ω.
+Vcc
Find:-
(1)Upper 3dB frequency of current gain.
(2) the magnitude of voltage gain at
Avs=Vo/Vs at frequency of part1.
Given:-
gm=50mA/V, rb’e=1KΩ, rb’c=4MΩ, rce=80KΩ, Cc=3PF,
Ce=100PF, rbb’=100Ω.
Solution:-
First draw its h-equivalent diagram
(1)fh=1/2ΠReq Ceq
Req=(Rs+rbb’)||rb’e
=(900+100)||1000
=500Ω
Ceq=Ce+Cc(1+gmRL)
=100X10-12 +(1+50X10-3X1X103)3X10-12
=253PF
fh=1/2ΠReq Ceq
=1/2X3.14X500X253X10-12
fh=1.26Mhz
(2) Voltage Gain
Avs=-gmRL
=-50X103X10-3
Avs =-50dB
Ques4 . Consider a single stage CE transistor
amplifier with a load resistance shunted by load
capacitance.
Prove that
(a)internal voltage gain
K=Vce/Vb’e = gmRL/1+jw(Cc+CL)RL
(b) 3dB frequency is given as
FH =1/2Π(Cc+CL)RL
Ans:-
Proof:-
(a) K=Vce/Vb’e
Vce=I/G
I=gm Vb’e
G=1/RL+jw(CL+CC)
=>Vce= -gm Vb’e/ 1/RL+jw(CL+CC)
= -gm Vb’eRL /1+jw(CL+CC)
K=Vce/Vb’e
=>K= -gm Vb’eRL /(1+jw(CL+CC)) Vb’e
K= -gm RL /1+jw(CL+CC)
Hence Prooved
(b) C=Ce+Cc(1-K)
K= -gm RL /1+jw(CL+CC)
=>C=Ce+Cc(1+gm RL /1+jw(CL+CC))
K= -gm RL /1+j(w/fh)
w=1/ RL(CL+CC)
fh=w/2Π
fh=1/2Π RL(CL+CC)
Hence Prooved
Ques5.(a) From circut diagram assume |K|>>1
Prove that K= -gm Rc +jwCC RL/1+jwRLCC Why may be
the term jwCC RL be neglected in the numerator but not in
the denominator?
(b) the Miller’s admittance in the output circuit is given by
Yo=jwCc(1-1/K)
Prove that this represents a capacitance Co in parallel with a
resistance Ro given by Co= Cc (1+gm RL)/gm RL, Ro= -gm
/w2Cc
circuit diagram
Vce=I/G
I=gm Vb’e
G=1/RL+jwCC (K-1/K)
=>Vce=-gm Vb’e/ 1/RL+jwCC (K-1/K)
Vce = KVb’e (since K= Vce/Vb’e )
=>K= -gmVb’e / {1/RL+jwCC (K-1/K) } Vb’e
-gm =K{1/RL+jwCC (K-1/K)}
-gm ={K/RL+jwCC (K-1)}
-gm =K(1/RL+jwCC)-jwCC
K=(-gm+jwCC)/(1/RL+jwCC)
K=(-gmRL+jwCCRL)/(1+jwCCRL)
Hence prooved
w=gm/Cc
=50X10-3/3X10-12
=16.7X108 radians
wT=gm/Ce
= 50X10-3/100X10-12
=0.5X108 radians
gmRL= 50X10-3 X2X103
=100
in numerator(gmRL+jwCCRL)
jwCCRL=j(16.7X108 X3X10-12X2X103)
=10.02 which is <<100 & can be neglected
But In denominator(1+jwCCRL)
The value of jwCCRL(10.02)>>1 hence it can’t be
Neglected.
(b) Yo=jwCc(1-1/K)
K=(-gmRL)/(1+jwCCRL)(since jwCCRL is
neglected in num.)
Yo=jwCc(1-1+jwCCRL/-gmRL)
=jwCc(-gmRL-1-jwCCRL/-gmRL)
=jwCc(1+gmRL/gmRL)+(jwCCRL)(jwCC)/(gmRL)
Yo =jwCc (1+gmRL/gmRL)-w2Cc
2/gm - (1)
General Equation Yo=jwC0-1/R0
By comparing equation (1) with gen eqn
C0= Ce(1+gmRL/gmRL), R0 =-gm/w2Cc
2 H.P
Ques6. Verify
(a)|Avsfh|=gm /2ΠC{RL /Rs +rbb’}
=(fT/1+ 2ΠfTCcRL)( RL/Rs +rbb’)
(b)|AIsfh|=(fT/1+ 2ΠfTCcRL)( RS/Rs +rbb’)
PROOF:-
(a) fH =1/ 2ΠReqCeq
Req =(Rs+rbb’)||rb’e
Req=Rs rbb’rb’e/Rs+rbb’+rb’e
hie=rbb’+rb’e
Put the value of Req=(Rs+rbb’)rb’e/(Rs+hie)
fH = (Rs+hie)/2ΠC(Rs+rbb’)rb’e
Avs= Vo/Vs
=-gmVb’eRL/Is(Rs+rbb’+rb’e)
Avs =-gmVb’eRL/Is(Rs+hie)
Vb’e=Ib’erb’e
Avs =-gm(Ib’erb’e)RL/Is(Rs+hie)
Ib=Is
Avs =-gmrb’eRL/Rs+hie
since fH = (Rs+hie)/2ΠC(Rs+rbb’)rb’e
therefore|Avsfh|
={-gmrb’eRL/Rs+hie}{(Rs+hie)/2ΠC(Rs+rbb’)rb’e}
|Avsfh|=-gmRL/2ΠC(Rs+rbb’)
|Avsfh|=gmRL/2ΠC(Rs+rbb’)
Hence Prooved
|Avsfh|=gmRL/2ΠCeq(Rs+rbb’)
Ceq=
Ce+Cc(1+gmRL) |Avsfh|=gmRL/2Π{Ce+Cc(1+gmRL) }(Rs+rbb’)
divide both numerator & denominator by
2Π (Ce+Cc)
|Avsfh|={gmRL/2Π(Ce+Cc)}/{[2Π[Ce+Cc(1+gmRL)
](Rs+rbb’)]/2Π(Ce+Cc)}
|Avsfh|={gmRL/2Π(Ce+Cc)}/{[(1+CcgmRL) /(Ce+Cc) ](Rs+rbb’)}
fT = gm/2Π(Ce+Cc)
|Avsfh|= fT RL/{(1+ 2ΠfTCcRL)(Rs+rbb’)}
Hence Prooved
(b) Applying current dividing rule we get
Vs/(Rs+rbb’+rb’e) =Vb’e/rb’e
IsRsrb’e=(Rs+rbb’+rb’e)Vb’e
Is=(Rs+hie)Vb’e/Rsrb’e
AIS=-gmVb’e/Vb’e (Rs+hie/Rsrb’e)
=-gmrb’eRs/Rs+hie
fH=(Rs+hie)/2ΠC(Rs+rbb’)rb’e
fT=gm/2Π(Ce+Cc)
|AIsfh|=
gmrb’eRs/Rs+hieX(Rs+hie)/2ΠC(Rs+rbb’)rb’e
|AIsfh|=(-gm/2ΠC)X(Rs/Rs+rb’e)
C=Ce+Cc(1+gmRL)
|AIsfh|= -gmRs/2Π(Ce+Cc)
|AIsfh|={gmRs/2Π(Ce+Cc)}/(2ΠCe+
Cc(1+gmRL))(Rs+rbb’)/2Π(Ce+Cc)
fT=gm/2Π(Ce+Cc)
|AIsfh|=fTRs /(1+2ΠfTCcRL)(Rs+rbb’)
Hence prooved
Ques7.Consider hybrid –Π circuit at low frequency so
that Ce &Cc may be neglected .omit none of other
elements in circuit. If RL=1/gL.
Prove that
(a) K=Vce/Vb’e =-gm+gb’c/ gce+gb’c +gL
(b)Using Miller’s theorm draw the equivalent circuit
between C& E. Applying KCL to this network , show
that above value of K is Obtained.
(c) Using Miller’s theorm draw the equivalent circuit
between B& E.prove that AI under RL is
AI=gL/ (gb’e+gb’c /K)-gb’c
(d)Using results of part (a) & (c) & relationship between
hybrid h&Π parameters prove that AI=-hfe/(1+hoeRL)
Proof:-
(a)K=Vce/Vb’e
Vce=IscZce
IL=Isc=Vb’egb’c -gmVb’e =Vb’e(gb’c -gm)
Zce=(rb’c||rce||RL)(Z seen between C&E)
=1/ gb’c+gce+gL
Vce= Vb’e(gb’c -gm)/(gb’c+gce+gL)
K=Vce/Vb’e
=>K=(gb’c -gm)/(gb’c+gce+gL)
Hence proved
(b)Applying Miller’s theorm b/w C&E we get
Vce= -gmVb’e/{gce+gL+(K-1/K)gb’c}
Vce= {-gmVb’e K}/{K(gce+gL+gb’c)- gb’c}
Vce/Vb’e= (-gmK)/{K(gce+gL+gb’c)- gb’c}
K = (-gmK)/{K(gce+gL+gb’c)- gb’c}
10/21/2015
K = (-gmK)/{K(gce+gL+gb’c)- gb’c}
Taking common K both sides we get
K(gce+gL+gb’c)- gb’c =-gm
K(gce+gL+gb’c)=-gm + gb’c
K= (-gm + gb’c) /(gce+gL+gb’c)
Hence proved
(c) Applying Miller’s theorm b/w B &E we get
AI=IL/Ii=gmVb’e/Ii
rbb' 1k
rb'e1k
(rb'c/1-K)1k
B
E
IL=VcegL
Vce=Vb’eK (since K=Vce/Vb’e)
=>IL=gLVb’eK
Also IL=K gLIi/(gb’e+(1-K)gb’c)
IL/Ii=K gL/(gb’e+gb’c-Kgb’c)
Dividing by K throughout we get
IL/Ii =gL/{(gb’e+gb’c /K)-gb’c}
Hence proved.
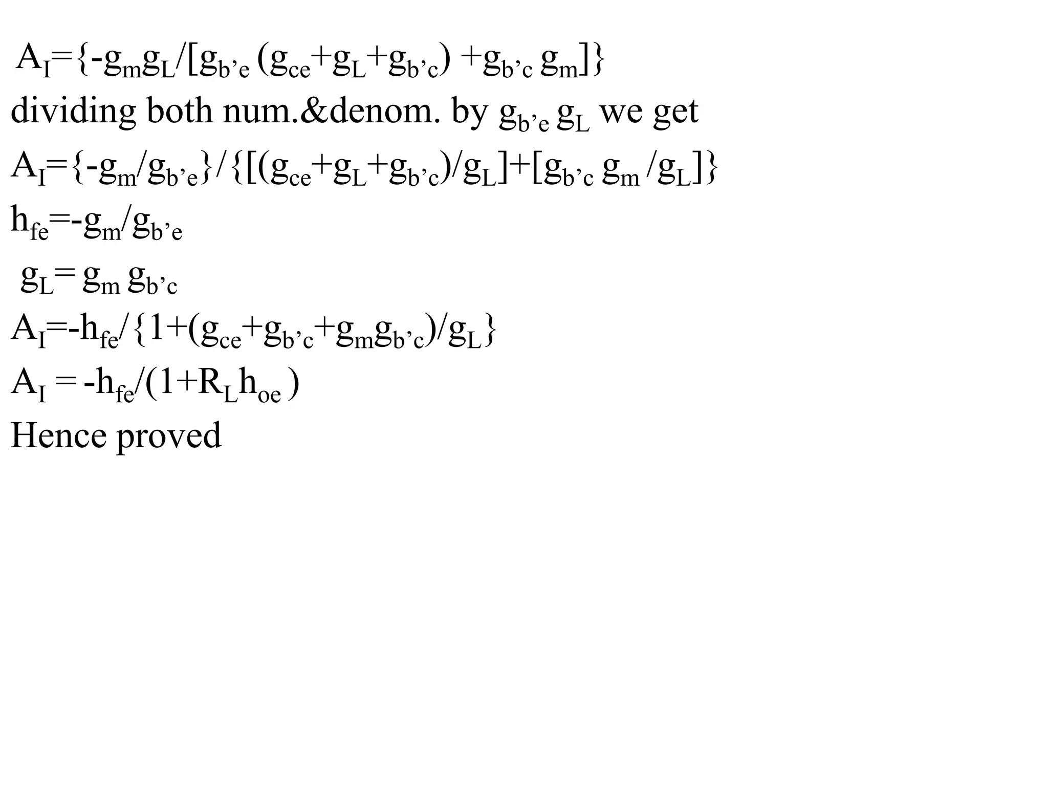
(d)As gm>>gb’c & gb’e>>gb’c
Thus K=-gm/(gce+gL+gb’c) (1)
AI=gLK/gb’e-Kgb’c (2)
from (1)& (2)
AI={gmgL/(gce+gL+gb’c)}/{gb’e+gb’c
gm/(gce+gL+gb’c)}
AI={-gmgL/[gb’e (gce+gL+gb’c) +gb’c gm]}
dividing both num.&denom. by gb’e gL we get
AI={-gm/gb’e}/{[(gce+gL+gb’c)/gL]+[gb’c gm /gL]}
hfe=-gm/gb’e
gL= gm gb’c
AI=-hfe/{1+(gce+gb’c+gmgb’c)/gL}
AI = -hfe/(1+RLhoe )
Hence proved

Hybrid model analog electronics

  • 1.
  • 2.
  • 3.
  • 4.
     At lowfrequencies, we analyze transistor using h-parameter. But for high frequency analysis the h-parameter model is not suitable, because :- (1) The value of h-parameters are not constant at high frequencies. (2)At high frequency h-parameters becomes very complex in nature.
  • 5.
    • Hybrid- model is used for high frequency analysis of the transistor. • This model gives a reasonable compromise between accuracy and simplicity to do high frequency analysis of the transistor. • So we can summaries the merits of hybrid-  model as; it is simple and accurate. • The value of all parameters are constant with high frequency and all the resistive components of this model can be obtained from low frequency h- parameters.
  • 6.
    In the derivationof trans conductance gm and diffusion capacitance Cde (≈Ce), it is assumed that Vbe changes so slowly with time that in the base region, concentration of minority carrier holes is along straight line from Je to Jc. Thus the collector current Ie remains equal to the emitter current IE and the base current is extremely small compared with Ic. VALIDITY OF HYBRID-∏ MODEL
  • 7.
    Hence under dynamiccondition, the hybrid-π model is valid only when the rate of change of Vbe with time is so small that the base current increment Ib is small in comparison with the collector current increment Ie. Giacoletto proved that the network elements in the hybrid model are frequency invariant provided that Since 2πf W2/6 DB<<1 But from previous sections we have Ce and Cde Ce = gm/2πfT Cde = W2gm/2DB
  • 8.
    Thus we canreduce the previous equatio f<<6πfT/2π Or f<<3fT Thus we conclude that the hybrid-π model is valid for frequency up to about fT/3 .
  • 9.
  • 10.
  • 11.
     This modelgives reasonable compromise b/w accuracy and simplicity to do high frewuency analysis of transistor.  Figure shows the hybrid-  model for transistor in CE configuration. For this model, All parameters (resistances and capacitances) are assumed to be independent of frequency. But they may vary with the Q point or operating point.
  • 12.
  • 13.
  • 15.
  • 16.
  • 17.
  • 18.
    The parameter gmis called trans conductance (or mutual conductance). The trans conductance represents the small change in collector current about the operating point produced by the small changes in base emitter voltage . This effect of change in collector current due to small change in base-emitter voltage, accounts for the current generator gm Vb’c at output and it is called as trans conductance. gm=ΔIc/ΔVb’e at a constant Vce.
  • 19.
  • 20.
    Capacitance Cc :- Thecollector-junction capacitance :- Cc = Cbe (The output capacitance measured at CB junction with the input open, i.e. Ie = 0 and is specified by the manufactures as Cob.) Since in the active region the collector,junction is reverse biased, then Cc is a transition capacitance, and hence varies as Vcb where n is 1/2 or 1/3 for an abrupt or gradual junction, respectively.
  • 21.
  • 22.
  • 23.
  • 24.
    Hence the chargestored in the base region (QB) is given by :- QB =P'(0) *(A*W*q) / 2 Where W = base width A = cross-sectional area of base AW = volume of base q = electronic charge Pʹ(0) = Injected charge concentration Pʹ(0)/2 = Average concentration of carrier in base region QB = p’(0)*(v*q)/2
  • 25.
    Thus , Aq =2QB/P'(0)*W ………….(1) Current density (J) = -qDp(dP/dx) Where Dp = diffusion constant dp / dx = Change in concentration w.r.t. distance Diffusion current :- I = J.A = - AqDp (dP'/dx) = +AqDBP'(0)/W (where , DB= diffusion constant for minority carrier)
  • 26.
    Thus, Aq = I*W/ DB*P'(0) ……………………(2) Equating both the equations :- 2QB/P'(0)*W = I*W/DB*P(O) QB = I*W2/2DB ………………………....(3) Finally,The static diffusion capacitance Cde=dQB/dV From above equation:- Cde = dI*W2/ 2DB*Dv = [W2/ re *2DB] Where re = emitter junction incremental resistance and is given by :- re=dV/dl = VT/IE
  • 27.
    Thus , Cde=[W2/2DB].[IE/VT] Cde=gm.[W2/2DB] =Ce This indicates that the Cde is proportional to the IE and inversely proportional with VT. Cde is almost independent of temperature. Experimentally, Ce is determined from a measurement of the frequency flat which the CE short-circuit current gain drops to unity ; Ce =gm/2πft
  • 28.
    The equation forthe trans conductance can be derived as follows : Let us consider a P-N-P transistor in the CE Configuration with Vee bias in the collector circuit a shown in Fig. T1 !PNPR5 1V1 5TP5TP6 rb'b Vbe VE B C B' E VCC
  • 29.
    The trans conductanceis defined as the ratio of change in the collector current due to small changes in the voltage Vb’e across the emitter junction. We know that, the Collector current in active region is given as For a pnp transistor Ic=Ico- IE Also , Isc = gm Vb’e =Ic or gm = dIc / dVb’e …….(1) δIc= αδIE Substituting values of δIC in eq (1) we get :- gm= αdIE/ dVb’e The emitter diode resistance is given as :- 1/re = dIE/dV
  • 30.
  • 31.
    For P-N-P transistorIc is negative and for an N-P-N transistor Ic is positive, but in the foregoing analysis (with VE = +VBE) we get Hence, for either type of transistor gm is positive. gm = α (IC -ICO) / VT = α IC / VT Substituting value of VT we get, gm = 11600IC/T Substituting/ the value of re in we get, gm= αIE/VT = α ( Ico-Ic )/VT
  • 32.
    Equation shows thattrans conductance gm is inversely proportional to temperature. At room temperature, 300k gm=11600Ic/300 = Ic/26*10-3 =Ic /26 This is for, Ic=1.3mA, gm=0.05m mho while for, Ic=2.6mA, gm=0.1m mho These values are much larger than the trans conductance obtained with FET’s
  • 33.
    As discussed earlier,the high frequency analysis takes into account the capacitive effect of PN Junction in transistor. We can not assume at high frequency that transistor responds instantly to changes of input voltage or current because the mechanism of the transport of charge carrier from emitter to collector is essentially one of diffusion. The increase of hfe with temperature has been determined experimentally, where as the increase with |VCE| is due to the decrease of the base width and the reduction in recombination which increase the transistor ‘Alpha’.
  • 34.
  • 35.
  • 36.
    For calculating theresistance we are conidering the Hybrid ∏- model in terms of low frequency H parameter aiso neglacting the capacitance effect. First consider the hybrid-  model for CE Configuration:-
  • 37.
  • 38.
    We know thathie is the input resistance (in h-parameter model) when the output terminals i.e. collector terminals are shorted. Under this condition in Hybrid -  model, rb'c comes in parallel with rb'e. But since rb'c »rb'e rb’e || rb’c ≈ rb’e :. With hybrid-  model input resistance with output shorted is rbb' + rb'e. hie = rbb’ + rb’e rbb’ = hie – rb’e
  • 39.
    In h-parameter model,hre is defined as reverse voltage gain: hre = Vb’e/Vce = rb’e /(rb’e + rb’c) By applying voltage divider formula hre rb’e + hre.rb’c = rb’e rb’e(1-hre) = hre.rb’c Since ; hre <<1 rb’e = hre.rb’c rb’c = rb’e / hre Feedback Conductance gb’c = hre*gb’e
  • 40.
  • 41.
    Ic= Vce /rce + gm. Vb’e + Vce /(rb’c + rb’e ) Vb’e = hre. Vce Ic= Vce / rce + gm.hre. Vce + Vce /(rb’c + rb’e ) gb’c = hre.hfe gm = gb’e.hfe hoe = gce + gb’c.hfe .gb’c/gb’e +gb’c hoe = gce + gb’c(1+ hfe) hfe>>1 gce = hoe – gb’c.hfe
  • 42.
  • 43.
  • 44.
  • 45.
  • 46.
    Looking at theabove fig.we can write IL= -gmVb’e And Ii= Vb’e [ gb’e + jw (Cc+ Ce) ] Current gain under short circuit condition is AI = IL/ Ii , = -gmVb’e / Vb’e [gb’e + jw (Cc+Ce) ] AI = -hfe/[1 + j2f(Cc+Ce)/ gb’e] ………..Eq.(1) AI =- hfe/[1 + jf/fβ]
  • 47.
    Where fβ =gb’e/ 2Π(Cc+Ce) Aswe know gb’e= gm/hfe where fβ = gm/ hfe 2Π(Cc+Ce) …………….. Eq.(2) β- Cut-Off Frequency(fβ) fβ is defined as the frequency at which CE short circuit current gain falls (1/ 2)1/2 (or 0.707 or falls by 3 dB ) of its low frequency value i.e. hfe.
  • 48.
    So te valueof hfe can be neglacted because hfe >>1 The value of fβ can be found out using expression fβ= gm/2(Cc+Ce) The frequency range up to fβ forms the 3 dB band width or simply the band width of the circuit. The Parameter(fT) : Frequency fT is defined as the frequency at which CE Short circuit current gain becomes unity. at f= fT ,
  • 49.
    AI becomes : AI= 1= hfe/[1 +( fT/fβ)2 ] … eq.(3) The ratio fT/ fβ, is quite large as compared to (fT/ fβ>>1)) hence Equation (1) becomes 1= hfe/ fT/fβ substituting this value of fβ= gm/ hfe2f(Cc+Ce) therefore fT = gm/2f(Cc+Ce) …. Eq.(4)
  • 50.
    since Ce>>Cc wecan write So we can neglacted the value of Cc fT = gm/ 2f Ce ……. Eq.(5) fT as CE short circuit current gain bandwidth product:- We know that, fT = hfe*fβ That is fT is the product of low frequency gain (hfe) and 3dB bandwidth of short circuited CE stage (fβ) . Hence fT represents the CE short circuit current gain-band width product.
  • 51.
  • 52.
    α-Cut-Off Frequency, fα Wehave already seen β-cut-off frequency for transistor operating in CE configuration. a cut off frequency is a similar frequency for transistor operating in CB configuration. fα can be defined as the frequency at which the transistor's short circuit CB current gain drops 3 dB or (1/2) times from its value at low frequency hfb. The expression for fα is given as: fα = hfe*gb'e / 2Π*Ce ………….. Eq.(6)
  • 53.
  • 54.
  • 55.
  • 56.
    As K =Vce/Vb’e = ILRL/ Vb’e = (-gmVb’e)RL/Vb’e = -gmRL So ; 1-K=1+ gmRL Thus, AI = IL/ Ii AI = -gmVb’e / Vb’e [gb’e + jwCeq ]
  • 57.
    As we know gb’e=gm/hfe Thus , Ai = -gb’ehfe/[gb’e+ jwCeq ] Ai = -hfe/[1 + j2Πf(Ceq)/ gb’e] ………..Eq.(1) Ai= - hfe/[1 + jf/fH] fH= gb’e/ 2 Πceq =1/ 2Πrb’e[Ce+Cc(1 +gmRL)] The simplified equivalent circuit is at RL= 0 :- fH=1/ 2Πrb’e(Ce+Cc)= f So the current gain = Ai = hfe / [ 1+(f /fh)2]1/2 = hfe / (2)1/2, = 0.707 hfe
  • 58.
  • 59.
    Rs’=Rs+rbb’=1/Gs’ By applying KCLat B’ & C, we get : - Gs’Vs=[Gs’+gb’e+s(Ce+Cc)]Vb’e-sCcVo..(1) 0=(gm-sCc)Vb’e+({1/RL}+sCc)Vo……(2) We know that the voltage gain is By solving the equation 2 and find the value of And put I in equation 1 Avs=Vo/Vs Vb’e Vb’e = ({1/RL}+sCc)Vo /(sCc-gm)
  • 60.
    Vo/Vs= -Gs’RL(gm-sCc)/ s2CeCcRL+s[Ce+Cc+CcRL (gm+gb’e+Gs’)]+Gs’+gb’e……eqn.(3) By solving the quadratic equation We get Avs=Vo/Vs=K1(s-s0)/[(s-s1)(s-s2)…eqn.(4) Where K1=Gs’/Ce, s0=gm/Cc s1=Complex value s2 =Complex value
  • 61.
  • 62.
  • 63.
    fH =1/ 2ΠReqCeq Req=(Rs+rbb’)||rb’e Req=Rs rbb’rb’e/Rs+rbb’+rb’e hie=rbb’+rb’e Put the value of Req=(Rs+rbb’)rb’e/(Rs+hie) fH = (Rs+hie)/2ΠC(Rs+rbb’)rb’e Avs= Vo/Vs =-gmVb’eRL/Is(Rs+rbb’+rb’e)
  • 64.
    Avs =-gmVb’eRL/Is(Rs+hie) Vb’e=Ib’erb’e Avs =-gm(Ib’erb’e)RL/Is(Rs+hie) Ib=Is Avs=-gmrb’eRL/Rs+hie since fH = (Rs+hie)/2ΠC(Rs+rbb’)rb’e therefore|Avsfh| ={- gmrb’eRL/Rs+hie}{(Rs+hie)/2ΠC(Rs+rbb’)rb’e} |Avsfh|=-gmRL/2ΠC(Rs+rbb’) |Avsfh|=gmRL/2ΠC(Rs+rbb’)
  • 65.
    |Avsfh|=gmRL/2ΠCeq(Rs+rbb’) Ceq=Ce+Cc(1+gmRL) |Avsfh|=gmRL/2Π{Ce+Cc(1+gmRL) }(Rs+rbb’) divide bothnumerator & denominator by 2Π (Ce+Cc) |Avsfh|={gmRL/2Π(Ce+Cc)}/{[2Π[Ce+Cc(1+gmRL) ](Rs+rbb’)]/2Π(Ce+Cc)} |Avsfh|={gmRL/2Π(Ce+Cc)}/{[(1+CcgmRL) /(Ce+Cc) ](Rs+rbb’)} fT = gm/2Π(Ce+Cc) |Avsfh|= fT RL/{(1+ 2ΠfTCcRL)(Rs+rbb’)}
  • 66.
    A + Is Rs1k rbb' 1k R11k C11u gmVb'e RL1k rb'e1k (b) Applyingcurrent dividing rule we get Vs/(Rs+rbb’+rb’e) =Vb’e/rb’e IsRsrb’e=(Rs+rbb’+rb’e)Vb’e Is=(Rs+hie)Vb’e/Rsrb’e
  • 67.
  • 68.
  • 69.
  • 70.
  • 71.
  • 72.
  • 73.
  • 74.
    We know thatlow freq. gain of emitter follower is almost unity. Therefore A=1;1-K=0;K-1/K=0, thus we can ignore Ce(1-K),gb’e(K-1/K)and Ce(K-1/K). The simplified ckt is: -
  • 75.
    Voltage gain A =Vo/Vi = Ve/Vi….............(1) Ve=IZ =I/(1/RL+jwCL) =gmVb'e/((1+jwCLRL)/RL) =gmRLVb'e/(1+jwCLRL) =gmRL(Vi-Ve)/(1+jwCLRL) Ve = gmRLVi/(1+jwCLRL)– gmRLVe /(1+jwCLRL ) Ve+VegmRL/(1+jwCLRL) =gmRLVi/(1+jwCLRL) (Ve[(1+jwCLRL +gmRL)]) / (1 +jwCLRL)=gmRLVi/(1+jwCLRL)
  • 76.
    Therefore Av=Vo/Vi gmRL 1+gmRL+jwCLRL Upper cut-off frequencyfH Av = gmRL/(1+gmRL)(1/1+[jwCLRL/(1+gmRL)]) gmRL 1+gmRL(1+jf/fH) Thus , Av =AVL/(1+jf/fH) Where , AVL=gmRL/1+gmRL<1 fH=1+gmRL/2ΠCLRL
  • 77.
    If f =fH Then Av = gm RL √2 (1+gm RL) Now, since the input impedance between terminals B' and C is very large in comparison with (rb'b + Rs). Hence A, also represents the over all voltage gain Avs:- Avs = Ve / Vi Avs= Ao/1+jf/fH
  • 78.
  • 79.
    Ques1. The followinglow frequency parameters are known for given transistor at Ic =10mA,Vce =10Vand at room temperature, hie=500Ω,hoe=4*10-5 A/V , hfe=100,hre=10-4 .At same operating point ft = 50Mhz,Cob=3PF.Compute values of all hybrid parameters. Ans Given:- Ic =10mA,Vce =10V,hie=500Ω, hoe=4*10-5 A/V , hfe=100, hre=10-4 ft =50Mhz,Cob=3PF To Find:- All values of hybrid parameters Formula Used:- VT=T/11600,gm =Ic /VT ,rb’e=hfe /gm, rbb’=hie- rb’e , rb’c = rb’e /hre, gce= hoe-(1+ hfe)gb’c ,rce =1/ gce ,Ce = gm /2ΠfT
  • 80.
    gm=Ic /VT =10x10-3 /0.026 =0.3846A/V 2rb’e=hfe /gm, =100/0.3846 =260Ω 3 rb’c = rb’e /hre =260/10-4 = 260x10+4 Ω 5 gce= hoe-(1+ hfe)gb’c =4x10-5 –(1+100)/260x104 =0.12x10-5 A/V 6 rce=8.33x105 Ω 7 Ce=gm /2ΠfT =0.3846/2x3.14x30x106 8 Ce=2.04PF 4 rbb’=hie-rb’e =500-260 =240 Ω Solution:- 1 gm =Ic /VT VT=T/11600 =2.98/11600 VT =0.026V
  • 81.
    Ques2.Given following transistormeasurements made at Ic=5mA,Vce =10V & at room temperature hfe =100 Ω, hie=600Ω,Aie =10 at 10 Mhz, Cc =3PF.Find fß , ft ,Ce ,r b’e & r b’b. Ans Given :- Ic=5mA,Vce =10V, hfe =100 Ω, hie=600Ω,Aie =10 at 10 Mhz, Cc =3PF
  • 82.
    To Find:- fß ,ft ,Ce ,r b’e & r b’b. Solution:- 1 ft=Aie xf =10x10 =100Mhz 2 fß= ft / hfe = 100/100 = 1Mhz 3 gm=Ic/VT =5/26 =0.0192A/V 4 rb’e = hfe/gm =100/0.192 =520Ω 5 rb’b = hie - rb’e =100-520 =-420 Ω 6 Ce=gm /2Π fT =0.192/2X3.14X100X106 =30.5PF
  • 83.
    Ques3.The hybrid parametersof a transistor used in circuit as shown in fig. gm=50mA/V, rb’e=1KΩ, rb’c=4MΩ, rb’c=80KΩ, Cc=3PF, Ce=100PF, rbb’=100Ω. +Vcc
  • 84.
    Find:- (1)Upper 3dB frequencyof current gain. (2) the magnitude of voltage gain at Avs=Vo/Vs at frequency of part1. Given:- gm=50mA/V, rb’e=1KΩ, rb’c=4MΩ, rce=80KΩ, Cc=3PF, Ce=100PF, rbb’=100Ω.
  • 85.
    Solution:- First draw itsh-equivalent diagram
  • 86.
  • 87.
    Ques4 . Considera single stage CE transistor amplifier with a load resistance shunted by load capacitance. Prove that (a)internal voltage gain K=Vce/Vb’e = gmRL/1+jw(Cc+CL)RL (b) 3dB frequency is given as FH =1/2Π(Cc+CL)RL Ans:-
  • 88.
    Proof:- (a) K=Vce/Vb’e Vce=I/G I=gm Vb’e G=1/RL+jw(CL+CC) =>Vce=-gm Vb’e/ 1/RL+jw(CL+CC) = -gm Vb’eRL /1+jw(CL+CC) K=Vce/Vb’e =>K= -gm Vb’eRL /(1+jw(CL+CC)) Vb’e K= -gm RL /1+jw(CL+CC) Hence Prooved
  • 89.
    (b) C=Ce+Cc(1-K) K= -gmRL /1+jw(CL+CC) =>C=Ce+Cc(1+gm RL /1+jw(CL+CC)) K= -gm RL /1+j(w/fh) w=1/ RL(CL+CC) fh=w/2Π fh=1/2Π RL(CL+CC) Hence Prooved
  • 90.
    Ques5.(a) From circutdiagram assume |K|>>1 Prove that K= -gm Rc +jwCC RL/1+jwRLCC Why may be the term jwCC RL be neglected in the numerator but not in the denominator? (b) the Miller’s admittance in the output circuit is given by Yo=jwCc(1-1/K) Prove that this represents a capacitance Co in parallel with a resistance Ro given by Co= Cc (1+gm RL)/gm RL, Ro= -gm /w2Cc
  • 91.
  • 92.
    Vce=I/G I=gm Vb’e G=1/RL+jwCC (K-1/K) =>Vce=-gmVb’e/ 1/RL+jwCC (K-1/K) Vce = KVb’e (since K= Vce/Vb’e ) =>K= -gmVb’e / {1/RL+jwCC (K-1/K) } Vb’e -gm =K{1/RL+jwCC (K-1/K)} -gm ={K/RL+jwCC (K-1)} -gm =K(1/RL+jwCC)-jwCC K=(-gm+jwCC)/(1/RL+jwCC) K=(-gmRL+jwCCRL)/(1+jwCCRL) Hence prooved
  • 93.
    w=gm/Cc =50X10-3/3X10-12 =16.7X108 radians wT=gm/Ce = 50X10-3/100X10-12 =0.5X108radians gmRL= 50X10-3 X2X103 =100 in numerator(gmRL+jwCCRL) jwCCRL=j(16.7X108 X3X10-12X2X103) =10.02 which is <<100 & can be neglected But In denominator(1+jwCCRL) The value of jwCCRL(10.02)>>1 hence it can’t be
  • 94.
    Neglected. (b) Yo=jwCc(1-1/K) K=(-gmRL)/(1+jwCCRL)(since jwCCRLis neglected in num.) Yo=jwCc(1-1+jwCCRL/-gmRL) =jwCc(-gmRL-1-jwCCRL/-gmRL) =jwCc(1+gmRL/gmRL)+(jwCCRL)(jwCC)/(gmRL) Yo =jwCc (1+gmRL/gmRL)-w2Cc 2/gm - (1) General Equation Yo=jwC0-1/R0 By comparing equation (1) with gen eqn C0= Ce(1+gmRL/gmRL), R0 =-gm/w2Cc 2 H.P
  • 95.
    Ques6. Verify (a)|Avsfh|=gm /2ΠC{RL/Rs +rbb’} =(fT/1+ 2ΠfTCcRL)( RL/Rs +rbb’) (b)|AIsfh|=(fT/1+ 2ΠfTCcRL)( RS/Rs +rbb’)
  • 96.
    PROOF:- (a) fH =1/2ΠReqCeq Req =(Rs+rbb’)||rb’e Req=Rs rbb’rb’e/Rs+rbb’+rb’e hie=rbb’+rb’e Put the value of Req=(Rs+rbb’)rb’e/(Rs+hie) fH = (Rs+hie)/2ΠC(Rs+rbb’)rb’e Avs= Vo/Vs =-gmVb’eRL/Is(Rs+rbb’+rb’e)
  • 97.
    Avs =-gmVb’eRL/Is(Rs+hie) Vb’e=Ib’erb’e Avs =-gm(Ib’erb’e)RL/Is(Rs+hie) Ib=Is Avs=-gmrb’eRL/Rs+hie since fH = (Rs+hie)/2ΠC(Rs+rbb’)rb’e therefore|Avsfh| ={-gmrb’eRL/Rs+hie}{(Rs+hie)/2ΠC(Rs+rbb’)rb’e} |Avsfh|=-gmRL/2ΠC(Rs+rbb’) |Avsfh|=gmRL/2ΠC(Rs+rbb’) Hence Prooved
  • 98.
    |Avsfh|=gmRL/2ΠCeq(Rs+rbb’) Ceq= Ce+Cc(1+gmRL) |Avsfh|=gmRL/2Π{Ce+Cc(1+gmRL) }(Rs+rbb’) divideboth numerator & denominator by 2Π (Ce+Cc) |Avsfh|={gmRL/2Π(Ce+Cc)}/{[2Π[Ce+Cc(1+gmRL) ](Rs+rbb’)]/2Π(Ce+Cc)} |Avsfh|={gmRL/2Π(Ce+Cc)}/{[(1+CcgmRL) /(Ce+Cc) ](Rs+rbb’)} fT = gm/2Π(Ce+Cc) |Avsfh|= fT RL/{(1+ 2ΠfTCcRL)(Rs+rbb’)} Hence Prooved
  • 99.
    (b) Applying currentdividing rule we get Vs/(Rs+rbb’+rb’e) =Vb’e/rb’e IsRsrb’e=(Rs+rbb’+rb’e)Vb’e Is=(Rs+hie)Vb’e/Rsrb’e
  • 100.
  • 101.
    Ques7.Consider hybrid –Πcircuit at low frequency so that Ce &Cc may be neglected .omit none of other elements in circuit. If RL=1/gL. Prove that (a) K=Vce/Vb’e =-gm+gb’c/ gce+gb’c +gL (b)Using Miller’s theorm draw the equivalent circuit between C& E. Applying KCL to this network , show that above value of K is Obtained. (c) Using Miller’s theorm draw the equivalent circuit between B& E.prove that AI under RL is AI=gL/ (gb’e+gb’c /K)-gb’c (d)Using results of part (a) & (c) & relationship between hybrid h&Π parameters prove that AI=-hfe/(1+hoeRL)
  • 102.
  • 103.
    Zce=(rb’c||rce||RL)(Z seen betweenC&E) =1/ gb’c+gce+gL Vce= Vb’e(gb’c -gm)/(gb’c+gce+gL) K=Vce/Vb’e =>K=(gb’c -gm)/(gb’c+gce+gL) Hence proved (b)Applying Miller’s theorm b/w C&E we get Vce= -gmVb’e/{gce+gL+(K-1/K)gb’c} Vce= {-gmVb’e K}/{K(gce+gL+gb’c)- gb’c} Vce/Vb’e= (-gmK)/{K(gce+gL+gb’c)- gb’c} K = (-gmK)/{K(gce+gL+gb’c)- gb’c}
  • 104.
  • 105.
    K = (-gmK)/{K(gce+gL+gb’c)-gb’c} Taking common K both sides we get K(gce+gL+gb’c)- gb’c =-gm K(gce+gL+gb’c)=-gm + gb’c K= (-gm + gb’c) /(gce+gL+gb’c) Hence proved (c) Applying Miller’s theorm b/w B &E we get AI=IL/Ii=gmVb’e/Ii rbb' 1k rb'e1k (rb'c/1-K)1k B E
  • 106.
    IL=VcegL Vce=Vb’eK (since K=Vce/Vb’e) =>IL=gLVb’eK AlsoIL=K gLIi/(gb’e+(1-K)gb’c) IL/Ii=K gL/(gb’e+gb’c-Kgb’c) Dividing by K throughout we get IL/Ii =gL/{(gb’e+gb’c /K)-gb’c} Hence proved. (d)As gm>>gb’c & gb’e>>gb’c Thus K=-gm/(gce+gL+gb’c) (1) AI=gLK/gb’e-Kgb’c (2) from (1)& (2) AI={gmgL/(gce+gL+gb’c)}/{gb’e+gb’c gm/(gce+gL+gb’c)}
  • 107.
    AI={-gmgL/[gb’e (gce+gL+gb’c) +gb’cgm]} dividing both num.&denom. by gb’e gL we get AI={-gm/gb’e}/{[(gce+gL+gb’c)/gL]+[gb’c gm /gL]} hfe=-gm/gb’e gL= gm gb’c AI=-hfe/{1+(gce+gb’c+gmgb’c)/gL} AI = -hfe/(1+RLhoe ) Hence proved