1
Menoufia University
Faculty of Electronic Engineering
Department of Biomedical Engineering
Supervisor: DR/Essam Nabil
Made by: Nourhan Selem Salm
AC/AC
Converters
11/2019
2
What is AC/AC Converter ?01
content
Resistive load02
Inductive load03
Time Proportional Control04
References05
3
4
AC/AC
application
5
Frequencyvoltage
Types AC/AC
convertors
6
𝑉𝑖
𝐼𝑖
𝑉𝑜
𝐼 𝑜
𝑃𝐹 =
𝑃𝑜
𝑃𝑖
77
Resistive Load
Inductive Load
Load
8
Thyristor (SCR)
99
Resistive load Firing angle
10
𝑽 𝒐 = ቊ
𝑉𝑚 sin 𝜔𝑡 , 𝛼 < 𝜔𝑡 < 𝜋 , 𝛼 + 𝜋 < 𝜔𝑡 < 2𝜋
0 , 𝑜𝑡ℎ𝑒𝑟𝑤𝑖𝑠𝑒
𝑽 𝒐,𝒓𝒎𝒔 =
𝑽 𝒎
𝟐
𝟏 −
𝜶
𝝅
+
𝒔𝒊𝒏 𝟐𝜶
𝟐𝝅
sin2
𝑥 =
1
2
1 − cos 2𝑥
𝑽 𝒐,𝒓𝒎𝒔 =
1
𝜋
න
𝛼
𝜋
𝑉𝑚 sin 𝜔𝑡 2 ⅆ𝜔𝑡
=
𝑉𝑚
2
2𝜋
න
𝛼
𝜋
1 − cos(2𝜔𝑡) ⅆ𝜔𝑡
=
𝑉𝑚
2𝜋
ቮ𝜔𝑡 −
sin(2𝜔𝑡)
2
𝛼
𝜋
=
𝑉 𝑚
2𝜋
𝜋 −
sin 2𝜋
2
− 𝛼 +
sin 2𝛼
2
11
𝐹𝑜𝑟 𝜶 = 0 , 𝑽 𝒐 = 𝑽 𝒐,𝒓𝒎𝒔 =
𝑉 𝑚
2
𝜶 = 180° , 𝑽 𝒐 = 0 both thyristors are off
∴ 𝑰 𝒔𝒐𝒖𝒓𝒄𝒆 = 𝑰𝒍𝒐𝒂𝒅
𝑰𝒊,𝒓𝒎𝒔= 𝑰 𝒐,𝒓𝒎𝒔 =
𝑽 𝒐,𝒓𝒎𝒔
𝑹
12
𝑷𝑭 = 𝟏 −
𝜶
𝝅
+
𝒔𝒊𝒏 𝟐𝜶
𝟐𝝅
𝑷𝑭 =
𝑃
𝑆
=
𝑉𝑜,𝑟𝑚𝑠
2
𝑅
𝑉𝑖,𝑟𝑚𝑠
𝑉𝑜,𝑟𝑚𝑠
𝑅
=
𝑉𝑜,𝑟𝑚𝑠
𝑉𝑖,𝑟𝑚𝑠
=
𝑉𝑚
2
1 −
𝛼
𝜋
+
𝑠𝑖𝑛 2𝛼
2𝜋
𝑉𝑚
2
is a measure of how effectively incoming
power is used in your electrical system
𝑷𝑭 =
𝑹𝒆𝒂𝒍 𝑷𝒐𝒘𝒆𝒓 (𝑾)
𝑨𝒑𝒑𝒂𝒓𝒆𝒏𝒕 𝑷𝒐𝒘𝒆𝒓 (𝑽𝑨)
13
𝑰 𝑻𝒉,𝒂𝒗 =
𝟏
𝟐𝝅
න
𝜶
𝝅
𝑽 𝒎
𝑹
𝒔𝒊𝒏 𝝎𝒕 𝒅𝝎𝒕
=
𝑽 𝒎
𝟐𝝅𝑹
ȁ(− 𝒄𝒐𝒔 𝝎𝒕) 𝜶
𝝅
𝑰 𝑻𝒉,𝒂𝒗 =
𝑽 𝒎
𝟐𝝅𝑹
(𝟏 + 𝒄𝒐𝒔 𝜶)
𝑰 𝑻𝒉,𝒓𝒎𝒔 =
𝑰 𝒐,𝒓𝒎𝒔
𝟐
𝑷 𝑫 = 𝑽 𝑯 𝑰 𝑻𝒉,𝒂𝒗 + 𝒓 𝒅 𝑰 𝑻𝒉,𝒓𝒎𝒔
𝟐
14
An AC/AC voltage converter made of two thyristors in anti-parallel
connection and driven by a harmonic 220 V, 50 Hz voltage is loaded by a resistor
RL = 2.2 Ω. The holding voltage of the thyristors is VH = 1 V and the resistance
while conducting rd = 5 mΩ. If firing angle of the thyristors =
𝝅
𝟐
, determine:
(a) the required power of the load (heater),
(b) load power factor,
(c) the rms and average currents of the thyristor current,
(d) power of dissipation in one of the thyristors.
Ans.
(a)
𝑽 𝒐,𝒓𝒎𝒔 =
𝑽 𝒎
𝟐
𝟏 −
𝜶
𝝅
+
𝒔𝒊𝒏 𝟐𝜶
𝟐𝝅
=
𝟐𝟐𝟎 𝟐
𝟐
𝟏 −
𝝅
𝟐𝝅
+
𝒔𝒊𝒏(𝟐
𝝅
𝟐
)
𝟐𝝅
= 𝟏𝟓𝟓. 𝟓𝟔 𝑽 =
𝟐𝟐𝟎
𝟐
𝑽
𝑷 𝑳 =
𝑽 𝑶,𝒓𝒎𝒔
𝟐
𝑹 𝑳
=
𝟐𝟐𝟎
𝟐
𝟐
𝟐. 𝟐
= 𝟏𝟏 𝑲𝑾
15
𝑰 𝑻𝒉,𝒓𝒎𝒔 =
𝑰 𝒐,𝒓𝒎𝒔
𝟐
=
𝑽 𝒐,𝒓𝒎𝒔
𝑹
𝟐
=
𝑽 𝒐,𝒓𝒎𝒔
𝑹
𝟐
=
𝟐𝟐𝟎
𝟐 × 𝟐. 𝟐
𝟐
= 𝟓𝟎 𝑨
𝑰 𝑻𝒉,𝒂𝒗 =
𝑽 𝒎
𝟐𝝅𝑹
𝟏 + 𝒄𝒐𝒔 𝜶 =
𝟐𝟐𝟎 𝟐
𝟐 × 𝟑. 𝟏𝟒 × 𝟐. 𝟐
𝟏 + cos
𝜋
2
= 𝟐𝟐. 𝟓𝟐 𝑨(c)
𝑷 𝑫 = 𝑽 𝑯 𝑰 𝑻𝒉,𝒂𝒗 + 𝒓 𝒅 𝑰 𝑻𝒉,𝒓𝒎𝒔
𝟐
(d)
𝑷 𝑫 = 𝟏 × 𝟐𝟐. 𝟓𝟐 + 𝟓 × 𝟏𝟎−𝟑 × 𝟓𝟎 𝟐 = 𝟑𝟓 𝑾
𝑷𝑭 = 𝟏 −
𝜶
𝝅
+
𝒔𝒊𝒏 𝟐𝜶
𝟐𝝅
= 𝟏 −
𝝅
𝟐𝝅
+
𝒔𝒊𝒏(𝟐
𝝅
𝟐
)
𝟐𝝅
= 𝟎. 𝟓 = 𝟎. 𝟕𝟎𝟕(b)
1616
Inductive load
1717
Inductive load
𝜶 : firing angle
𝜷 : extinction angle
𝜽 : delay angle
𝜸 : conducting angle
𝜸 = 𝜷 − 𝜶
𝜶 𝑪 : critical angle
(at which the highest voltage )
𝜶 𝑪 = 𝜷 − 𝝅 = 𝜽
18
𝑽 𝒐 = ቊ
𝑉𝑚 sin 𝜔𝑡 , 𝛼 < 𝜔𝑡 < 𝛽
0 , 𝑜𝑡ℎ𝑒𝑟𝑤𝑖𝑠𝑒
𝑽 𝒐,𝒓𝒎𝒔 =
1
𝜋
න
𝛼
𝛽
𝑉𝑚 sin 𝜔𝑡 2 ⅆ𝜔𝑡
𝑽 𝒐,𝒓𝒎𝒔 =
𝑽 𝒎
𝟐
𝛽 − 𝛼 −
sin 2𝛽
2
+
sin 2𝛼
2
=
𝑉𝑚
2
2𝜋
න
𝛼
𝛽
1 − cos(2𝜔𝑡) ⅆ𝜔𝑡
=
𝑉𝑚
2𝜋
ቮ𝜔𝑡 −
sin(2𝜔𝑡)
2
𝛼
𝛽
=
𝑉 𝑚
2𝜋
𝛽 −
sin 2𝛽
2
− 𝛼 +
sin 2𝛼
2
19
𝒊 𝒐(𝝎𝒕) = ቐ
𝑽 𝒎
𝒁
𝒔𝒊𝒏 𝝎𝒕 − 𝜽 − 𝒔𝒊𝒏 𝜶 − 𝜽 𝒆
−𝑹
𝝎𝑳(𝝎𝒕−𝜶)
, 𝜶 < 𝝎𝒕 < 𝜷
𝟎 , 𝒐𝒕𝒉𝒆𝒓𝒘𝒊𝒔𝒆
𝑽 𝒎 𝒔𝒊𝒏 𝝎𝒕 = 𝒊𝑹 + 𝑳
𝒅𝒊
𝒅𝒕
Using KVL 𝑽 𝑶 = 𝒊𝑹 + 𝑳
𝒅𝒊
𝒅𝒕
𝒂𝒕 𝑽 𝒔 = 𝟎 𝒊𝑹 = −𝑳
𝒅𝒊
𝒅𝒕
න
𝒅𝒊
𝒊
= −
𝑹
𝑳
න 𝒅𝒕
𝐥𝐧 𝒊 = −
𝑹
𝑳
𝐭 + 𝐜
𝒊 𝝎𝒕 = 𝒊 𝒔𝒔 𝝎𝒕 + 𝒊 𝒕𝒓𝒂𝒏𝒔 𝝎𝒕
20
𝒊 𝒐(𝝎𝒕) = ቐ
𝑽 𝒎
𝒁
𝒔𝒊𝒏 𝝎𝒕 − 𝜽 − 𝒔𝒊𝒏 𝜶 − 𝜽 𝒆
−𝑹
𝝎𝑳
(𝝎𝒕−𝜶)
, 𝜶 < 𝝎𝒕 < 𝜷
𝟎 , 𝒐𝒕𝒉𝒆𝒓𝒘𝒊𝒔𝒆
∵ 𝒊 𝒕𝒓𝒂𝒏𝒔= 𝑨𝒆−
𝑹
𝑳 𝐭
∴ 𝒊 𝒐 (𝝎𝒕) =
𝑽 𝒎
𝒁
𝒔𝒊𝒏 𝝎𝒕 − 𝜽 + 𝑨𝒆−
𝑹
𝑳
𝐭
∵ 𝒊 𝒔𝒔 𝝎𝒕 =
𝑽 𝒎
𝒁
𝒔𝒊𝒏 𝝎𝒕 − 𝜽
𝒂𝒕 𝝎𝒕 = 𝜶 , 𝒊 𝒐 = 𝟎
𝑨 =
𝑽 𝒎
𝒁
𝒔𝒊𝒏 𝜶 − 𝜽 𝒆−
𝑹
𝑳×
𝜶
𝝎
𝒊 𝒐(𝝎𝒕) =
𝑽 𝒎
𝒁
𝒔𝒊𝒏 𝝎𝒕 − 𝜽 − 𝒔𝒊𝒏 𝜶 − 𝜽 𝒆
−𝑹
𝝎𝑳
(𝝎𝒕−𝜶)
, 𝜶 < 𝝎𝒕 < 𝜷
𝒂𝒕 𝒊 𝒕𝒓𝒂𝒏𝒔 , 𝝎𝒕 > 𝜶
21
𝐜𝐨𝐬 𝒙 + 𝐜𝐨𝐬 𝒚
= 𝟐 𝐜𝐨𝐬
𝟏
𝟐
𝒙 + 𝒚 𝐜𝐨𝐬
𝟏
𝟐
𝒙 − 𝒚
22
𝑰 𝑻𝒉,𝒂𝒗 =
𝟏
𝟐𝝅
න
𝜶
𝜷
𝒊 𝒐(𝝎𝒕) 𝒅𝝎𝒕
𝑰 𝑻𝒉,𝒓𝒎𝒔 =
𝑰 𝒐,𝒓𝒎𝒔
𝟐
𝑷 𝑳 = 𝒊 𝒐,𝒓𝒎𝒔
𝟐 𝑹 𝑳
23
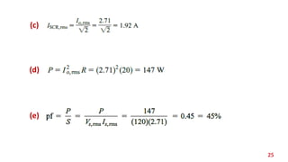
For the single-phase voltage controller , the source is
120 V rms at 60 Hz, and the load is a series RL combination with R = 20 ,
L = 50 mH ,and 𝑰 𝒐,𝒓𝒎𝒔 = 𝟐. 𝟕𝟏 𝑨. The firing angle is 90 and 𝜷 = 𝟐𝟐𝟎° .
Determine :
(a) Critical angle ,
(b) an expression for load current for the first half-period,
(c)the rms SCR current
(d) the power delivered to the load, and
(e) the power factor.
24
Ans.
(a) 𝜶 𝑪 =
(b)
25
(d)
(e)
(c)
2626
Time Proportional Control
𝑷 𝑳,𝒂𝒗 =
𝑻 𝒐𝒏
𝑻 𝒐𝒏 + 𝑻 𝒐𝒇𝒇
𝑷 𝑳𝑴
𝑷 𝑳𝑴 =
𝑽 𝒔,𝒓𝒎𝒔
𝟐
𝑹 𝑳
𝑷 𝑳,𝒂𝒗 : is the maximum load power without
applied control (Toff = 0)
𝑷 𝑳,𝒂𝒗 =
𝑻 𝒐𝒏
𝑻 𝒐𝒏 + 𝑻 𝒐𝒇𝒇
×
𝑽 𝒔,𝒓𝒎𝒔
𝟐
𝑹 𝑳
27
To the control thyristors in the circuit AC/AC voltage
converter which driven by a harmonic 220 V, 50 Hz voltage is loaded
by a resistor 𝑹 𝑳 = 10 Ω. If The TPC technique is applied thyristors
are turned on for m = 25 periods of input voltage and turned off
for n = 75 period ,determine:
(a) the rms value of the output voltage,
(b) the power factor,
(c) the rms and average currents of the thyristor current,
28
(c)
Ans.
(a)
(b)
29
References
[1] Daniel Hart, “AC Voltage Controllers,” in Power Electronics,
McGraw-Hill, 2011.
[2] B. L. Dokić and B. Blanuša, Power Electronics Converters and Regulators, 3rd ed.
Springer US, 2015.
[3] V.k.mehta and Rohit-mehta, “Silicon Controlled Rectifiers,” in principles of electronics,
1st ed., s.chand, 1980.
[4] M. H. Rahid, “AC-AC Converters,” in Power Electronics Handbook, Academic Press,
2001.
30
Thank You
Nourhan Selem Salm

Ac/AC conveter

  • 1.
    1 Menoufia University Faculty ofElectronic Engineering Department of Biomedical Engineering Supervisor: DR/Essam Nabil Made by: Nourhan Selem Salm AC/AC Converters 11/2019
  • 2.
    2 What is AC/ACConverter ?01 content Resistive load02 Inductive load03 Time Proportional Control04 References05
  • 3.
  • 4.
  • 5.
  • 6.
  • 7.
  • 8.
  • 9.
  • 10.
    10 𝑽 𝒐 =ቊ 𝑉𝑚 sin 𝜔𝑡 , 𝛼 < 𝜔𝑡 < 𝜋 , 𝛼 + 𝜋 < 𝜔𝑡 < 2𝜋 0 , 𝑜𝑡ℎ𝑒𝑟𝑤𝑖𝑠𝑒 𝑽 𝒐,𝒓𝒎𝒔 = 𝑽 𝒎 𝟐 𝟏 − 𝜶 𝝅 + 𝒔𝒊𝒏 𝟐𝜶 𝟐𝝅 sin2 𝑥 = 1 2 1 − cos 2𝑥 𝑽 𝒐,𝒓𝒎𝒔 = 1 𝜋 න 𝛼 𝜋 𝑉𝑚 sin 𝜔𝑡 2 ⅆ𝜔𝑡 = 𝑉𝑚 2 2𝜋 න 𝛼 𝜋 1 − cos(2𝜔𝑡) ⅆ𝜔𝑡 = 𝑉𝑚 2𝜋 ቮ𝜔𝑡 − sin(2𝜔𝑡) 2 𝛼 𝜋 = 𝑉 𝑚 2𝜋 𝜋 − sin 2𝜋 2 − 𝛼 + sin 2𝛼 2
  • 11.
    11 𝐹𝑜𝑟 𝜶 =0 , 𝑽 𝒐 = 𝑽 𝒐,𝒓𝒎𝒔 = 𝑉 𝑚 2 𝜶 = 180° , 𝑽 𝒐 = 0 both thyristors are off ∴ 𝑰 𝒔𝒐𝒖𝒓𝒄𝒆 = 𝑰𝒍𝒐𝒂𝒅 𝑰𝒊,𝒓𝒎𝒔= 𝑰 𝒐,𝒓𝒎𝒔 = 𝑽 𝒐,𝒓𝒎𝒔 𝑹
  • 12.
    12 𝑷𝑭 = 𝟏− 𝜶 𝝅 + 𝒔𝒊𝒏 𝟐𝜶 𝟐𝝅 𝑷𝑭 = 𝑃 𝑆 = 𝑉𝑜,𝑟𝑚𝑠 2 𝑅 𝑉𝑖,𝑟𝑚𝑠 𝑉𝑜,𝑟𝑚𝑠 𝑅 = 𝑉𝑜,𝑟𝑚𝑠 𝑉𝑖,𝑟𝑚𝑠 = 𝑉𝑚 2 1 − 𝛼 𝜋 + 𝑠𝑖𝑛 2𝛼 2𝜋 𝑉𝑚 2 is a measure of how effectively incoming power is used in your electrical system 𝑷𝑭 = 𝑹𝒆𝒂𝒍 𝑷𝒐𝒘𝒆𝒓 (𝑾) 𝑨𝒑𝒑𝒂𝒓𝒆𝒏𝒕 𝑷𝒐𝒘𝒆𝒓 (𝑽𝑨)
  • 13.
    13 𝑰 𝑻𝒉,𝒂𝒗 = 𝟏 𝟐𝝅 න 𝜶 𝝅 𝑽𝒎 𝑹 𝒔𝒊𝒏 𝝎𝒕 𝒅𝝎𝒕 = 𝑽 𝒎 𝟐𝝅𝑹 ȁ(− 𝒄𝒐𝒔 𝝎𝒕) 𝜶 𝝅 𝑰 𝑻𝒉,𝒂𝒗 = 𝑽 𝒎 𝟐𝝅𝑹 (𝟏 + 𝒄𝒐𝒔 𝜶) 𝑰 𝑻𝒉,𝒓𝒎𝒔 = 𝑰 𝒐,𝒓𝒎𝒔 𝟐 𝑷 𝑫 = 𝑽 𝑯 𝑰 𝑻𝒉,𝒂𝒗 + 𝒓 𝒅 𝑰 𝑻𝒉,𝒓𝒎𝒔 𝟐
  • 14.
    14 An AC/AC voltageconverter made of two thyristors in anti-parallel connection and driven by a harmonic 220 V, 50 Hz voltage is loaded by a resistor RL = 2.2 Ω. The holding voltage of the thyristors is VH = 1 V and the resistance while conducting rd = 5 mΩ. If firing angle of the thyristors = 𝝅 𝟐 , determine: (a) the required power of the load (heater), (b) load power factor, (c) the rms and average currents of the thyristor current, (d) power of dissipation in one of the thyristors. Ans. (a) 𝑽 𝒐,𝒓𝒎𝒔 = 𝑽 𝒎 𝟐 𝟏 − 𝜶 𝝅 + 𝒔𝒊𝒏 𝟐𝜶 𝟐𝝅 = 𝟐𝟐𝟎 𝟐 𝟐 𝟏 − 𝝅 𝟐𝝅 + 𝒔𝒊𝒏(𝟐 𝝅 𝟐 ) 𝟐𝝅 = 𝟏𝟓𝟓. 𝟓𝟔 𝑽 = 𝟐𝟐𝟎 𝟐 𝑽 𝑷 𝑳 = 𝑽 𝑶,𝒓𝒎𝒔 𝟐 𝑹 𝑳 = 𝟐𝟐𝟎 𝟐 𝟐 𝟐. 𝟐 = 𝟏𝟏 𝑲𝑾
  • 15.
    15 𝑰 𝑻𝒉,𝒓𝒎𝒔 = 𝑰𝒐,𝒓𝒎𝒔 𝟐 = 𝑽 𝒐,𝒓𝒎𝒔 𝑹 𝟐 = 𝑽 𝒐,𝒓𝒎𝒔 𝑹 𝟐 = 𝟐𝟐𝟎 𝟐 × 𝟐. 𝟐 𝟐 = 𝟓𝟎 𝑨 𝑰 𝑻𝒉,𝒂𝒗 = 𝑽 𝒎 𝟐𝝅𝑹 𝟏 + 𝒄𝒐𝒔 𝜶 = 𝟐𝟐𝟎 𝟐 𝟐 × 𝟑. 𝟏𝟒 × 𝟐. 𝟐 𝟏 + cos 𝜋 2 = 𝟐𝟐. 𝟓𝟐 𝑨(c) 𝑷 𝑫 = 𝑽 𝑯 𝑰 𝑻𝒉,𝒂𝒗 + 𝒓 𝒅 𝑰 𝑻𝒉,𝒓𝒎𝒔 𝟐 (d) 𝑷 𝑫 = 𝟏 × 𝟐𝟐. 𝟓𝟐 + 𝟓 × 𝟏𝟎−𝟑 × 𝟓𝟎 𝟐 = 𝟑𝟓 𝑾 𝑷𝑭 = 𝟏 − 𝜶 𝝅 + 𝒔𝒊𝒏 𝟐𝜶 𝟐𝝅 = 𝟏 − 𝝅 𝟐𝝅 + 𝒔𝒊𝒏(𝟐 𝝅 𝟐 ) 𝟐𝝅 = 𝟎. 𝟓 = 𝟎. 𝟕𝟎𝟕(b)
  • 16.
  • 17.
    1717 Inductive load 𝜶 :firing angle 𝜷 : extinction angle 𝜽 : delay angle 𝜸 : conducting angle 𝜸 = 𝜷 − 𝜶 𝜶 𝑪 : critical angle (at which the highest voltage ) 𝜶 𝑪 = 𝜷 − 𝝅 = 𝜽
  • 18.
    18 𝑽 𝒐 =ቊ 𝑉𝑚 sin 𝜔𝑡 , 𝛼 < 𝜔𝑡 < 𝛽 0 , 𝑜𝑡ℎ𝑒𝑟𝑤𝑖𝑠𝑒 𝑽 𝒐,𝒓𝒎𝒔 = 1 𝜋 න 𝛼 𝛽 𝑉𝑚 sin 𝜔𝑡 2 ⅆ𝜔𝑡 𝑽 𝒐,𝒓𝒎𝒔 = 𝑽 𝒎 𝟐 𝛽 − 𝛼 − sin 2𝛽 2 + sin 2𝛼 2 = 𝑉𝑚 2 2𝜋 න 𝛼 𝛽 1 − cos(2𝜔𝑡) ⅆ𝜔𝑡 = 𝑉𝑚 2𝜋 ቮ𝜔𝑡 − sin(2𝜔𝑡) 2 𝛼 𝛽 = 𝑉 𝑚 2𝜋 𝛽 − sin 2𝛽 2 − 𝛼 + sin 2𝛼 2
  • 19.
    19 𝒊 𝒐(𝝎𝒕) =ቐ 𝑽 𝒎 𝒁 𝒔𝒊𝒏 𝝎𝒕 − 𝜽 − 𝒔𝒊𝒏 𝜶 − 𝜽 𝒆 −𝑹 𝝎𝑳(𝝎𝒕−𝜶) , 𝜶 < 𝝎𝒕 < 𝜷 𝟎 , 𝒐𝒕𝒉𝒆𝒓𝒘𝒊𝒔𝒆 𝑽 𝒎 𝒔𝒊𝒏 𝝎𝒕 = 𝒊𝑹 + 𝑳 𝒅𝒊 𝒅𝒕 Using KVL 𝑽 𝑶 = 𝒊𝑹 + 𝑳 𝒅𝒊 𝒅𝒕 𝒂𝒕 𝑽 𝒔 = 𝟎 𝒊𝑹 = −𝑳 𝒅𝒊 𝒅𝒕 න 𝒅𝒊 𝒊 = − 𝑹 𝑳 න 𝒅𝒕 𝐥𝐧 𝒊 = − 𝑹 𝑳 𝐭 + 𝐜 𝒊 𝝎𝒕 = 𝒊 𝒔𝒔 𝝎𝒕 + 𝒊 𝒕𝒓𝒂𝒏𝒔 𝝎𝒕
  • 20.
    20 𝒊 𝒐(𝝎𝒕) =ቐ 𝑽 𝒎 𝒁 𝒔𝒊𝒏 𝝎𝒕 − 𝜽 − 𝒔𝒊𝒏 𝜶 − 𝜽 𝒆 −𝑹 𝝎𝑳 (𝝎𝒕−𝜶) , 𝜶 < 𝝎𝒕 < 𝜷 𝟎 , 𝒐𝒕𝒉𝒆𝒓𝒘𝒊𝒔𝒆 ∵ 𝒊 𝒕𝒓𝒂𝒏𝒔= 𝑨𝒆− 𝑹 𝑳 𝐭 ∴ 𝒊 𝒐 (𝝎𝒕) = 𝑽 𝒎 𝒁 𝒔𝒊𝒏 𝝎𝒕 − 𝜽 + 𝑨𝒆− 𝑹 𝑳 𝐭 ∵ 𝒊 𝒔𝒔 𝝎𝒕 = 𝑽 𝒎 𝒁 𝒔𝒊𝒏 𝝎𝒕 − 𝜽 𝒂𝒕 𝝎𝒕 = 𝜶 , 𝒊 𝒐 = 𝟎 𝑨 = 𝑽 𝒎 𝒁 𝒔𝒊𝒏 𝜶 − 𝜽 𝒆− 𝑹 𝑳× 𝜶 𝝎 𝒊 𝒐(𝝎𝒕) = 𝑽 𝒎 𝒁 𝒔𝒊𝒏 𝝎𝒕 − 𝜽 − 𝒔𝒊𝒏 𝜶 − 𝜽 𝒆 −𝑹 𝝎𝑳 (𝝎𝒕−𝜶) , 𝜶 < 𝝎𝒕 < 𝜷 𝒂𝒕 𝒊 𝒕𝒓𝒂𝒏𝒔 , 𝝎𝒕 > 𝜶
  • 21.
    21 𝐜𝐨𝐬 𝒙 +𝐜𝐨𝐬 𝒚 = 𝟐 𝐜𝐨𝐬 𝟏 𝟐 𝒙 + 𝒚 𝐜𝐨𝐬 𝟏 𝟐 𝒙 − 𝒚
  • 22.
    22 𝑰 𝑻𝒉,𝒂𝒗 = 𝟏 𝟐𝝅 න 𝜶 𝜷 𝒊𝒐(𝝎𝒕) 𝒅𝝎𝒕 𝑰 𝑻𝒉,𝒓𝒎𝒔 = 𝑰 𝒐,𝒓𝒎𝒔 𝟐 𝑷 𝑳 = 𝒊 𝒐,𝒓𝒎𝒔 𝟐 𝑹 𝑳
  • 23.
    23 For the single-phasevoltage controller , the source is 120 V rms at 60 Hz, and the load is a series RL combination with R = 20 , L = 50 mH ,and 𝑰 𝒐,𝒓𝒎𝒔 = 𝟐. 𝟕𝟏 𝑨. The firing angle is 90 and 𝜷 = 𝟐𝟐𝟎° . Determine : (a) Critical angle , (b) an expression for load current for the first half-period, (c)the rms SCR current (d) the power delivered to the load, and (e) the power factor.
  • 24.
  • 25.
  • 26.
    2626 Time Proportional Control 𝑷𝑳,𝒂𝒗 = 𝑻 𝒐𝒏 𝑻 𝒐𝒏 + 𝑻 𝒐𝒇𝒇 𝑷 𝑳𝑴 𝑷 𝑳𝑴 = 𝑽 𝒔,𝒓𝒎𝒔 𝟐 𝑹 𝑳 𝑷 𝑳,𝒂𝒗 : is the maximum load power without applied control (Toff = 0) 𝑷 𝑳,𝒂𝒗 = 𝑻 𝒐𝒏 𝑻 𝒐𝒏 + 𝑻 𝒐𝒇𝒇 × 𝑽 𝒔,𝒓𝒎𝒔 𝟐 𝑹 𝑳
  • 27.
    27 To the controlthyristors in the circuit AC/AC voltage converter which driven by a harmonic 220 V, 50 Hz voltage is loaded by a resistor 𝑹 𝑳 = 10 Ω. If The TPC technique is applied thyristors are turned on for m = 25 periods of input voltage and turned off for n = 75 period ,determine: (a) the rms value of the output voltage, (b) the power factor, (c) the rms and average currents of the thyristor current,
  • 28.
  • 29.
    29 References [1] Daniel Hart,“AC Voltage Controllers,” in Power Electronics, McGraw-Hill, 2011. [2] B. L. Dokić and B. Blanuša, Power Electronics Converters and Regulators, 3rd ed. Springer US, 2015. [3] V.k.mehta and Rohit-mehta, “Silicon Controlled Rectifiers,” in principles of electronics, 1st ed., s.chand, 1980. [4] M. H. Rahid, “AC-AC Converters,” in Power Electronics Handbook, Academic Press, 2001.
  • 30.