FAST FOURIER TRANSFORM
(FFT)
P.ANBARASAN
ASST. PROFESSOR/ EEE DEPT
FFT
 The FFT is an algorithm that efficiently computes the discrete
Fourier transform (DFT)
    N
nk
j
N
n
e
n
x
k
X /
2
1
0






k = 0 to N-1
N
nk
j
nk
N
e
W
/
2


   W
nk
N
N
n
n
x
k
X 



1
0
k = 0 to N-1
Twiddle Factor
FFT
 Radix-2 FFT Algorithm
Basic DFT is of size 2
The N point DFT is decimated into 2 point DFT
1. Decimation in Time (DIT) Algorithm
2. Decimation in Frequency (DIF) Algorithm
L
r
N 
Decimation in Time (DIT-FFT)
Breaking x(n) in to its even and odd numbered values,
   W
nk
N
N
n
n
x
k
X 



1
0
     W
W
nk
N
N
odd
n
n
nk
N
N
even
n
n
n
x
n
x
k
X 









1
,
0
1
,
0
Substitute n=2r for n even and n=2r+1 for n odd, we have
       
W
W
k
r
N
N
r
rk
N
N
r
r
x
r
x
k
X
1
2
1
2
0
2
1
2
0
1
2
2






 


       rk
N
N
r
k
N
rk
N
N
r
W
W
W r
x
r
x
k
X
2
1
2
0
2
1
2
0
1
2
2 








       rk
N
N
r
k
N
rk
N
N
r
W
W
W r
x
r
x
k
X
2
1
2
0
2
1
2
0
1
2
2 








W
W N
N
j
N
j
N
e
e
1
2
2
)
1
(
2
)
2
(
2
2







     W
W
W
rk
N
N
r
k
N
rk
N
N
r
r
x
r
x
k
X
2
1
2
0
2
1
2
0
1
2
2 








  )
(
)
( k
H
k
G
k
X W
k
N


 1
2
.....
2
,
1
,
0
, 

N
k
 



























1
2
)
2
(
)
2
(
1
2
0
)
(
)
(
2 N
k
N
for
N
k
H
N
k
G
N
k
for
k
H
k
G
k
X
W
W
N
k
N
k
N
  )
0
(
)
0
(
0
0
H
G
X W N


   )
1
(
)
1
(
1
1
H
G
X W N



  )
2
(
)
2
(
2
2
H
G
X W N


   )
3
(
)
3
(
3
3
H
G
X W N



  1
2
0
)
(
)
( 





N
k
for
k
H
k
G
k
X W
k
N
  1
2
)
2
(
)
2
( 






 N
k
N
for
N
k
H
N
k
G
k
X W
k
N
)
0
(
)
4
(
)
8
(
,
4 G
G
G
k 


)
(
)
2
(
duty
Periodic k
G
N
k
G 

  )
0
(
)
0
(
4
4
H
G
X W N


   )
1
(
)
1
(
5
5
H
G
X W N



  )
2
(
)
2
(
6
6
H
G
X W N


   )
3
(
)
3
(
7
7
H
G
X W N



Using Symmetry property
W
W
k
N
N
k
N



2
  )
0
(
)
0
(
4
0
H
G
X W N


   )
1
(
)
1
(
5
1
H
G
X W N



  )
2
(
)
2
(
6
2
H
G
X W N


   )
3
(
)
3
(
7
3
H
G
X W N



4 Point DFT
     
k
B
k
A
k
G W
k
N
2


   W
rk
N
N
r
r
g
k
G
2
1
2
0




     W
W
k
l
N
N
l
lk
N
N
l
l
g
l
g
k
G
)
1
2
(
2
1
4
0
2
2
1
4
0
1
2
2






 


     W
W
W
rk
N
N
r
k
N
rk
N
N
r
r
x
r
x
k
X
2
1
2
0
2
1
2
0
1
2
2 








     W
W
W
lk
N
N
l
k
N
lk
N
N
l
l
g
l
g
k
G
4
1
4
0
2
4
1
4
0
1
2
2 








      W
W
W
k
N
lk
N
N
l
lk
N
N
l
l
g
l
g
k
G
2
2
2
1
4
0
2
2
1
4
0
1
2
2 








4 Point DFT
     W
W
W
lk
N
N
l
lk
N
lk
N
N
l
l
h
l
h
k
H
4
1
4
0
2
4
1
4
0
1
2
2 








Similarly,
     
k
D
k
C
k
H W
k
N
2


     
k
B
k
A
k
G W
k
N
2


         
0
0
0
0
0
0
0
2
B
A
B
A
G W
W N
N 



         
1
1
1
1
1
2
1
2
B
A
B
A
G W
W N
N 



             
0
0
2
2
2
2
2
0
4
2
2
B
A
B
A
B
A
G W
W
W N
N
N 





             
1
1
3
3
3
3
3
2
6
3
2
B
A
B
A
B
A
G W
W
W N
N
N 





     
k
D
k
C
k
H W
k
N
2


         
0
0
0
0
0
0
0
2
D
C
D
C
H W
W N
N 



         
1
1
1
1
1
2
1
2
D
C
D
C
H W
W N
N 



             
0
0
2
2
2
2
2
0
4
2
2
D
C
D
C
D
C
H W
W
W N
N
N 





             
1
1
3
3
3
3
3
2
6
3
2
D
C
D
C
D
C
H W
W
W N
N
N 





Two point DFT
         
1
0
1
0
0
0
8
0
8
x
f
x
x
A W
W 



         
1
0
1
0
1
0
8
4
8
x
x
x
x
A W
W 



Flow Graph DIT-FFT N=8
Flow Graph DIT-FFT N=8
Basic Butterfly Structure
Given x(n)={0,1,2,3,4,5,6,7}, find X(k)
using DIT FFT algorithm.
N
nk
j
nk
N
e
W

2


1
0

W N
707
.
0
707
.
0
1
j
W N


j
W N


2
707
.
0
707
.
0
3
j
W N



X(k) = { 28 , -4+j9.656, -4+j4, -4+j1.656, -4, -4-j1.656, -4-j4, -4-j9.656 }
Given x(n)={1,2,3,4,4,3,2,1}, find X(k) using DIT FFT algorithm.
Decimation in Frequency (DIF-FFT)
   W
nk
N
N
n
n
x
k
X 



1
0
     W
W
nk
N
N
N
n
nk
N
N
n
n
x
n
x
k
X 







1
2
1
2
0
    W
W
k
N
n
N
N
n
nk
N
N
n
N
n
x
n
x
k
X












 







 2
1
2
0
1
2
0 2
     
W
W
W
nk
N
N
n
k
N
N
nk
N
N
n
N
n
x
n
x
k
X 














1
2
0
2
1
2
0 2
 k
k
j
k
k
j
N
Nk
j
k
N
N
e
e
W
1
)
sin(
)
cos(
2
2
2
2







 



      W
W
nk
N
N
n
k
nk
N
N
n
N
n
x
n
x
k
X 















1
2
0
1
2
0 2
1
      W
nk
N
N
n
k N
n
x
n
x
k
X 


















1
2
0 2
1
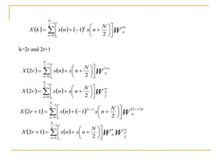
k=2r and 2r+1
    W
rn
N
N
n
N
n
x
n
x
r
X
2
1
2
0 2
2 

















    W
rn
N
N
n
N
n
x
n
x
r
X
2
1
2
0 2
2 

















       
W
n
r
N
N
n
r N
n
x
n
x
r
X
1
2
1
2
0
1
2
2
1
1
2




 
















    W
W
rn
N
n
N
N
n
N
n
x
n
x
r
X
2
1
2
0 2
1
2 


















    W
rn
N
N
n
N
n
x
n
x
r
X
2
1
2
0 2
2 
















     W
W
rn
N
n
N
N
n
N
n
x
n
x
r
X
2
1
2
0 2
1
2 


















    








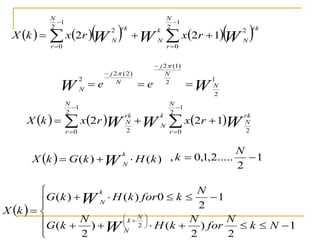
2
N
n
x
n
x
n
g     








2
N
n
x
n
x
n
h
     
4
0
0 x
x
g 

     
5
1
1 x
x
g 

     
6
2
2 x
x
g 

     
7
3
3 x
x
g 

     
4
0
0 x
x
h 

     
5
1
1 x
x
h 

     
6
2
2 x
x
h 

     
7
3
3 x
x
h 

Where
Flow Graph-First Stage DIF-FFT
    W
N
n
x
n
x
r
X rn
N
N
n
2
1
2
0 2
2  
















    








2
N
n
x
n
x
n
g
     W
n
g
W
n
g
r
X rn
N
N
N
n
rn
N
N
n
2
1
2
4
2
1
4
0
2 







   W
n
g
r
X rn
N
N
n
2
1
2
0
2 



Where
    rn
N
N
N
r
N
N
n
W
N
n
g
W
n
g
r
X 2
1
4
0
4
2
1
4
0 2
.
2










 


















1
2 

N
N
W
      rn
N
r
N
n
W
N
n
g
n
g
r
X 2
1
4
0 2
.
1
2























    ln
4
1
4
0 4
4 N
N
n
W
N
n
g
n
g
l
X






















      rn
N
r
N
n
W
N
n
g
n
g
r
X 2
1
4
0 2
.
1
2























     
1
2
2
1
4
0 2
.
2
4 

 



















 l
n
N
N
n
W
N
n
g
n
g
l
X
    ln
4
1
4
0
4 N
N
n
W
n
A
l
X














     
1
2
2
1
4
0
2
4 

 











 l
n
N
N
n
W
n
B
l
X
     
2
0
0 g
g
A 

     
3
1
1 g
g
A 

     
2
0
0 g
g
B 

     
3
1
1 g
g
B 

Flow Graph-First Stage DIT-FFT
Flow Graph-Second Stage DIT-FFT
Fast Fourier Transforms, Butterfly structure, DIT, DIF

Fast Fourier Transforms, Butterfly structure, DIT, DIF

  • 1.
  • 2.
    FFT  The FFTis an algorithm that efficiently computes the discrete Fourier transform (DFT)     N nk j N n e n x k X / 2 1 0       k = 0 to N-1 N nk j nk N e W / 2      W nk N N n n x k X     1 0 k = 0 to N-1 Twiddle Factor
  • 3.
    FFT  Radix-2 FFTAlgorithm Basic DFT is of size 2 The N point DFT is decimated into 2 point DFT 1. Decimation in Time (DIT) Algorithm 2. Decimation in Frequency (DIF) Algorithm L r N 
  • 4.
    Decimation in Time(DIT-FFT) Breaking x(n) in to its even and odd numbered values,    W nk N N n n x k X     1 0      W W nk N N odd n n nk N N even n n n x n x k X           1 , 0 1 , 0 Substitute n=2r for n even and n=2r+1 for n odd, we have         W W k r N N r rk N N r r x r x k X 1 2 1 2 0 2 1 2 0 1 2 2                  rk N N r k N rk N N r W W W r x r x k X 2 1 2 0 2 1 2 0 1 2 2         
  • 5.
          rk N N r k N rk N N r W W W r x r x k X 2 1 2 0 2 1 2 0 1 2 2          W W N N j N j N e e 1 2 2 ) 1 ( 2 ) 2 ( 2 2             W W W rk N N r k N rk N N r r x r x k X 2 1 2 0 2 1 2 0 1 2 2            ) ( ) ( k H k G k X W k N    1 2 ..... 2 , 1 , 0 ,   N k                              1 2 ) 2 ( ) 2 ( 1 2 0 ) ( ) ( 2 N k N for N k H N k G N k for k H k G k X W W N k N k N
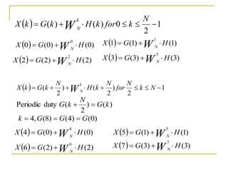
  • 6.
      ) 0 ( ) 0 ( 0 0 H G XW N      ) 1 ( ) 1 ( 1 1 H G X W N      ) 2 ( ) 2 ( 2 2 H G X W N      ) 3 ( ) 3 ( 3 3 H G X W N      1 2 0 ) ( ) (       N k for k H k G k X W k N   1 2 ) 2 ( ) 2 (         N k N for N k H N k G k X W k N ) 0 ( ) 4 ( ) 8 ( , 4 G G G k    ) ( ) 2 ( duty Periodic k G N k G     ) 0 ( ) 0 ( 4 4 H G X W N      ) 1 ( ) 1 ( 5 5 H G X W N      ) 2 ( ) 2 ( 6 6 H G X W N      ) 3 ( ) 3 ( 7 7 H G X W N   
  • 7.
    Using Symmetry property W W k N N k N    2  ) 0 ( ) 0 ( 4 0 H G X W N      ) 1 ( ) 1 ( 5 1 H G X W N      ) 2 ( ) 2 ( 6 2 H G X W N      ) 3 ( ) 3 ( 7 3 H G X W N   
  • 8.
    4 Point DFT      k B k A k G W k N 2      W rk N N r r g k G 2 1 2 0          W W k l N N l lk N N l l g l g k G ) 1 2 ( 2 1 4 0 2 2 1 4 0 1 2 2                W W W rk N N r k N rk N N r r x r x k X 2 1 2 0 2 1 2 0 1 2 2               W W W lk N N l k N lk N N l l g l g k G 4 1 4 0 2 4 1 4 0 1 2 2                W W W k N lk N N l lk N N l l g l g k G 2 2 2 1 4 0 2 2 1 4 0 1 2 2         
  • 9.
    4 Point DFT     W W W lk N N l lk N lk N N l l h l h k H 4 1 4 0 2 4 1 4 0 1 2 2          Similarly,       k D k C k H W k N 2         k B k A k G W k N 2             0 0 0 0 0 0 0 2 B A B A G W W N N               1 1 1 1 1 2 1 2 B A B A G W W N N                   0 0 2 2 2 2 2 0 4 2 2 B A B A B A G W W W N N N                     1 1 3 3 3 3 3 2 6 3 2 B A B A B A G W W W N N N      
  • 10.
         k D k C k H W k N 2             0 0 0 0 0 0 0 2 D C D C H W W N N               1 1 1 1 1 2 1 2 D C D C H W W N N                   0 0 2 2 2 2 2 0 4 2 2 D C D C D C H W W W N N N                     1 1 3 3 3 3 3 2 6 3 2 D C D C D C H W W W N N N      
  • 11.
    Two point DFT          1 0 1 0 0 0 8 0 8 x f x x A W W               1 0 1 0 1 0 8 4 8 x x x x A W W    
  • 13.
  • 14.
  • 15.
  • 16.
    Given x(n)={0,1,2,3,4,5,6,7}, findX(k) using DIT FFT algorithm. N nk j nk N e W  2   1 0  W N 707 . 0 707 . 0 1 j W N   j W N   2 707 . 0 707 . 0 3 j W N   
  • 20.
    X(k) = {28 , -4+j9.656, -4+j4, -4+j1.656, -4, -4-j1.656, -4-j4, -4-j9.656 }
  • 21.
    Given x(n)={1,2,3,4,4,3,2,1}, findX(k) using DIT FFT algorithm.
  • 22.
    Decimation in Frequency(DIF-FFT)    W nk N N n n x k X     1 0      W W nk N N N n nk N N n n x n x k X         1 2 1 2 0     W W k N n N N n nk N N n N n x n x k X                       2 1 2 0 1 2 0 2       W W W nk N N n k N N nk N N n N n x n x k X                1 2 0 2 1 2 0 2  k k j k k j N Nk j k N N e e W 1 ) sin( ) cos( 2 2 2 2                   W W nk N N n k nk N N n N n x n x k X                 1 2 0 1 2 0 2 1
  • 23.
         W nk N N n k N n x n x k X                    1 2 0 2 1 k=2r and 2r+1     W rn N N n N n x n x r X 2 1 2 0 2 2                       W rn N N n N n x n x r X 2 1 2 0 2 2                           W n r N N n r N n x n x r X 1 2 1 2 0 1 2 2 1 1 2                           W W rn N n N N n N n x n x r X 2 1 2 0 2 1 2                   
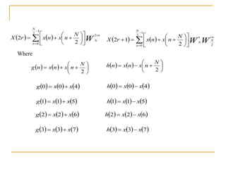
  • 24.
       W rn N N n N n x n x r X 2 1 2 0 2 2                       W W rn N n N N n N n x n x r X 2 1 2 0 2 1 2                                 2 N n x n x n g              2 N n x n x n h       4 0 0 x x g         5 1 1 x x g         6 2 2 x x g         7 3 3 x x g         4 0 0 x x h         5 1 1 x x h         6 2 2 x x h         7 3 3 x x h   Where
  • 25.
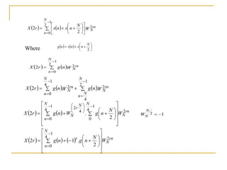
  • 26.
       W N n x n x r X rn N N n 2 1 2 0 2 2                                2 N n x n x n g      W n g W n g r X rn N N N n rn N N n 2 1 2 4 2 1 4 0 2            W n g r X rn N N n 2 1 2 0 2     Where     rn N N N r N N n W N n g W n g r X 2 1 4 0 4 2 1 4 0 2 . 2                               1 2   N N W       rn N r N n W N n g n g r X 2 1 4 0 2 . 1 2                       
  • 27.
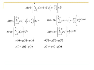
       ln 4 1 4 0 4 4 N N n W N n g n g l X                             rn N r N n W N n g n g r X 2 1 4 0 2 . 1 2                              1 2 2 1 4 0 2 . 2 4                         l n N N n W N n g n g l X     ln 4 1 4 0 4 N N n W n A l X                     1 2 2 1 4 0 2 4                 l n N N n W n B l X       2 0 0 g g A         3 1 1 g g A         2 0 0 g g B         3 1 1 g g B  
  • 29.
  • 30.