PREETI VERMA
ASSISTANT PROFESSOR IN BIOTECHNOLOGY
ST. THOMAS COLLEGE, BHILAI
F - TEST AND T - TEST
SYNOPSIS
Introduction
History
Hypothesis
Types of error
t – Test
Testing procedure
Types of t – test
Example of t – test
t- Table
 f- Test
one and two way ANOVA
Examples of f – test
f- Table
Applications of test of significance
Conclusions
References
In normal English, "significant" means important, while in
Statistics "significant" means probably true (not due to chance).
A procedure to assess the significance of difference between two
samples drawn from the population or from closely related
population is known as the test of significance.
Testing of hypothesis can be defined as “a procedure that helps in
ascertaining the likelihood of hypothetical parameter of a
population being correct by using sample statistics”
The tests of significance involves t – test and f – test.
The T- statistics was introduced in 1908 by William Sealy
Gosset.
The name “f – test” was coined by George W. Snedecor, in
honor of Sir Ronald A. Fisher.
Fisher initially developed the statistic as the variance ratio in the
1920s.
The two hypotheses in a statistical test are normally referred to as:
1. Null hypothesis: A no difference hypothesis i.e. there is no
difference between sample statistic and population parameter is
null hypothesis. Denoted by H0 .
H0 : µ = xˉ
2. Alternative hypothesis: “Any hypothesis which is complementary
to the null hypothesis is called alternative hypothesis.” Rejection of
H0 leads to the acceptance of alternative hypothesis which is
denotes by H1 or Ha.
•There are two possible types of errors in the test of a hypothesis:
Type I error: Rejection of null hypothesis which is true. = α
Type II error: Acceptance of null hypothesis which is false. = β
Reject H0 Accept H0
H0 is true Type I error Correct decision
H0 is false Correct decision Type II error
This test is used to test whether sample mean is equal to
population mean or not in case of small samples.
Mean difference
Standard error (S.E.)
t =
The procedure for testing of hypothesis is as follows:
1. Set up null hypothesis H0.
2. Set up alternate hypothesis H1.
3. Check whether sample size is large or small.
4. Choose appropriate formula for standard error and calculate it.
5. Calculate the test statistic t.
6. Compare the calculated value with the table value with certain
level of significance.
There are mainly three types of t – test.
1. One sample t – Test: A single sample t-test is used when there is
only one independent sample that is being compared to a
population of interest.
The formula for calculating a t-score is:
H0 = m = m0 (given in object)
t = mean difference / SE
where SE is the standard error of the mean.
The standard error is calculated:
SE = S /√ n - 1
where S is the sample standard deviation and n is the sample size
and df is the degrees of freedom(n-1).
2. Matched pairs t – Test: A paired samples t-test is a type of t-test where a single
sample of participants is used more than once on some factors at two point in time.
A paired samples t-test is calculated using the formula:
H0 = d = 0 (given in the object)
d = effect of treatment
= observation after treatment – observation before treatment
t = d / √s2 / n
s2 = 1 / n – 1 [ Ʃd2 – (Ʃd)2 / n]
where s is sample SD, n is sample size and d.f. = (n – 1)
3. Two sample t- Test: A two samples t-test is used to determine differences between
the means of two distinct samples within a population.
The formula for the independent samples t-test is:
H0 = m = m0 (given in object)
t = mean difference / SE
SE = √s2 [1 / n1 + 1 / n2]
s2 = n1 s2
1 + n2s2
2 / n1 + n2 – 2
Where d.f. = n1 + n2 – 2
Ten rats were fed with rice in 1st months and body weights of the
rats were recorded. In the next month, they were fed with grams
and their weights were measured again. The respective weights of
ten rats in two months are as follows:
Weights
in 1st
month
50 60 58 52 51 62 58 55 50 65
Weights
in 2nd
month
56 58 68 61 56 59 64 60 50 62
Solution – H0: Weights of 1st and 2nd months are equal.
s.
no.
Weights in 1st
month
X1
Weights in 2nd
month
X2
Difference
X1 – X2 = d
d2
1. 50 56 -6 36
2. 60 58 +2 4
3. 58 68 -10 100
4. 52 61 -9 81
5. 51 56 -5 25
6. 62 59 +3 9
7. 58 64 -6 36
8. 55 60 -5 25
9. 50 50 0 0
10. 65 62 +3 9
Ʃd = -33 Ʃd2 = 325
d = -33 / 10 = - 3.3
s2 = 1 / 10 -1 [325 – (-33 * - 33) / 10]
= 1 / 9 [325 – 1089 / 10]
= 1 / 9 [325 – 108.9]
= 24
| t | = 3.3 / √24 / 10
= 3.3 / √2.4
= 3.3 / 1.55
= 2.13
Table value of t at 5% level of significance for 9 d.f. is 1.833
Calculated value > table value
2.13 > 1.833
Hence reject H0: Weights of 1st and 2nd months are not equal.
d = Ʃd / no. of observation
s2 = 1 / n – 1 [Ʃd2 – (Ʃd)2 / n]
t = d / √s2 / n
f- test is the ratio of between group mean square and within group
mean square.
The formula for calculating a f-score is
F =
Mean square between samples
Mean square within samples
One-way ANOVA
In statistics, one-way analysis of variance (abbreviated one-way
ANOVA) is a technique used to compare means of two or more
samples (using the F distribution). This technique can be used only
for numerical data. In one way classification, only one factor is
influenced.
Two-way ANOVA
The two-way ANOVA is an extension of the one-way ANOVA. The
"two-way" comes because each item is classified in two ways.
Therefore, analysis of variance can be used to test the effects of
two factors simultaneously.
Example1: From the data given below, find out whether the mean
of the three sample differ significantly or not.
Sample 1 Sample 2 Sample 3
20 19 13
10 13 12
17 17 10
17 12 15
16 9 5
Sample 1 Sample 2 Sample 3
20 19 13
10 13 12
17 17 10
17 12 15
16 9 5
Ʃx = 80 70 55
Null hypothesis: H0 : There is no significance
difference in the means of the three samples.
Solution:
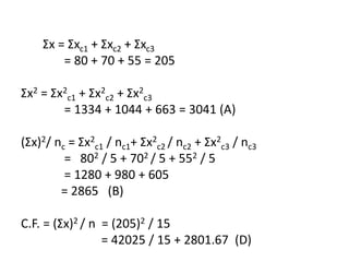
Ʃx = Ʃxc1 + Ʃxc2 + Ʃxc3
= 80 + 70 + 55 = 205
Ʃx2 = Ʃx2
c1 + Ʃx2
c2 + Ʃx2
c3
= 1334 + 1044 + 663 = 3041 (A)
(Ʃx)2/ nc = Ʃx2
c1 / nc1+ Ʃx2
c2 / nc2 + Ʃx2
c3 / nc3
= 802 / 5 + 702 / 5 + 552 / 5
= 1280 + 980 + 605
= 2865 (B)
C.F. = (Ʃx)2 / n = (205)2 / 15
= 42025 / 15 + 2801.67 (D)
Analysis of the variance table
Source of
variation
d.f. SS MS = SS / df F
Between samples c - 1
3-1 = 2
(B – D)
2865 – 2801.67
= 63.33
(B – D) / c – 1
31.67 / 2
= 31.67
31.67 / 14.67
= 2.16
Within samples c (r - 1)
3(5-1) = 12
(A – B)
3041 – 2865
= 176
(A – B) / c(r -1)
176 / 12
= 14.67
total cr – 1
15 – 1 = 14
(A – D)
3041 – 2801.67
= 239.33
Conclusion: calculated F value < tabulated F value
2.16 < 3.9 ( 5%)
The null hypothesis is accepted. The mean of various samples do
not differ significantly among themselves.
Example2: In an experiment, the mean yields of three rice
varieties grown with four nitrogen rates were recorded. Analyze
the data using the test of analysis of variance to determine
whether there is any difference in the mean yield of three
varieties with four nitrogen doses. The results are given in the
following table.
Nitrogen
rate kg/ha
V1 V2 V3
0 4.50 5.01 6.11
30 4.30 6.17 6.92
60 5.60 6.37 6.37
90 5.21 6.48 6.48
Solution:
Null hypothesis: H0: Let us assume that there is no difference in the mean
yield of the three varieties.
Nitrogen
rate kg/ha
V1 V2 V3 Total
0 4.50 5.01 6.11 15.62
30 4.30 6.17 6.92 17.39
60 5.60 6.37 6.37 19.24
90 5.21 6.48 6.48 19.91
Ʃx 19.61 24.39 28.16 72.16
Ʃx2 = 97.24 + 150.23 + 199.85
= 447.62 (A)
(Ʃx)2/ nc = 19.612 / 4 + 24.392 / 4 + 28.162 / 4
= 443.11 (B)
(Ʃx)2/ nr = 15.622 / 3 + 17.392 / 3 + 19.242 / 3 + 19.912 / 3
= 437.66 (C)
C.F. = (Ʃx)2 / n
= 72.162 / 12
= 5207.70 / 12
= 433.92 (D)
Analysis of variance table
Source of variation d.f. SS MS = SS / df F
Between varieties (
columns)
c - 1
4-1 = 3
(B – D)
443.11 – 433.92
= 9.19
(B – D) / c – 1
9.19 / 3
= 3.06
3.06 / 0.13
= 25.34
Between
treatments (rows)
(r - 1)
3 -1 = 2
(C – D)
437.66 – 433.92
= 3.74
(C – D) / (r -1)
3.74 / 2
= 1.87
1.87 / 0.13
= 14.38
Residual (c -1) (r – 1)
(4 -1) (3 – 1)
= 6
(A – D) – [(B –
D) + (C – D)]
13.7 – (9.19 +
3.74) = 0.77
0.77 / 6
= 0.13
Total cr – 1
4*3 – 1
= 11
(A – D)
447.62 – 433.92
= 13.7
Conclusion:
(i) F for between treatments:
Tabulated F value = 9.8, p = 0.01 df = n1 = 3; n2 = 6
calculated F value > tabulated F value
25.34 > 9.8
The null hypothesis, stating that the three varieties have the identical mean
yield is rejected.
(ii) F for between nitrogen rate:
Tabulated F value = 10.9, p = 0.01 df = n1 = 2; n2 = 6
The calculated f (14.38) value for, between the fertilizer doses exceeds the
tabulated value. Thus, the variation in four nitrogen doses had significant
effect on the mean yield and the null hypothesis is rejected at 1% level.
t– test is used
•To study the role of a factor or cause when the observations are made before
and after its play.
•To compare the effect of two drugs, given to the same person.
•To compare the results of two different laboratory technique.
f – test is used
•To test the two independent samples (X and Y) have been drawn from the
normal population with same variance.
•Whether the two independent estimates of the population variance are
homogenous or not.

f and t test

  • 1.
    PREETI VERMA ASSISTANT PROFESSORIN BIOTECHNOLOGY ST. THOMAS COLLEGE, BHILAI F - TEST AND T - TEST
  • 2.
    SYNOPSIS Introduction History Hypothesis Types of error t– Test Testing procedure Types of t – test Example of t – test t- Table  f- Test one and two way ANOVA Examples of f – test f- Table Applications of test of significance Conclusions References
  • 3.
    In normal English,"significant" means important, while in Statistics "significant" means probably true (not due to chance). A procedure to assess the significance of difference between two samples drawn from the population or from closely related population is known as the test of significance. Testing of hypothesis can be defined as “a procedure that helps in ascertaining the likelihood of hypothetical parameter of a population being correct by using sample statistics” The tests of significance involves t – test and f – test.
  • 4.
    The T- statisticswas introduced in 1908 by William Sealy Gosset. The name “f – test” was coined by George W. Snedecor, in honor of Sir Ronald A. Fisher. Fisher initially developed the statistic as the variance ratio in the 1920s.
  • 5.
    The two hypothesesin a statistical test are normally referred to as: 1. Null hypothesis: A no difference hypothesis i.e. there is no difference between sample statistic and population parameter is null hypothesis. Denoted by H0 . H0 : µ = xˉ 2. Alternative hypothesis: “Any hypothesis which is complementary to the null hypothesis is called alternative hypothesis.” Rejection of H0 leads to the acceptance of alternative hypothesis which is denotes by H1 or Ha.
  • 6.
    •There are twopossible types of errors in the test of a hypothesis: Type I error: Rejection of null hypothesis which is true. = α Type II error: Acceptance of null hypothesis which is false. = β Reject H0 Accept H0 H0 is true Type I error Correct decision H0 is false Correct decision Type II error
  • 7.
    This test isused to test whether sample mean is equal to population mean or not in case of small samples. Mean difference Standard error (S.E.) t =
  • 8.
    The procedure fortesting of hypothesis is as follows: 1. Set up null hypothesis H0. 2. Set up alternate hypothesis H1. 3. Check whether sample size is large or small. 4. Choose appropriate formula for standard error and calculate it. 5. Calculate the test statistic t. 6. Compare the calculated value with the table value with certain level of significance.
  • 9.
    There are mainlythree types of t – test. 1. One sample t – Test: A single sample t-test is used when there is only one independent sample that is being compared to a population of interest. The formula for calculating a t-score is: H0 = m = m0 (given in object) t = mean difference / SE where SE is the standard error of the mean. The standard error is calculated: SE = S /√ n - 1 where S is the sample standard deviation and n is the sample size and df is the degrees of freedom(n-1).
  • 10.
    2. Matched pairst – Test: A paired samples t-test is a type of t-test where a single sample of participants is used more than once on some factors at two point in time. A paired samples t-test is calculated using the formula: H0 = d = 0 (given in the object) d = effect of treatment = observation after treatment – observation before treatment t = d / √s2 / n s2 = 1 / n – 1 [ Ʃd2 – (Ʃd)2 / n] where s is sample SD, n is sample size and d.f. = (n – 1) 3. Two sample t- Test: A two samples t-test is used to determine differences between the means of two distinct samples within a population. The formula for the independent samples t-test is: H0 = m = m0 (given in object) t = mean difference / SE SE = √s2 [1 / n1 + 1 / n2] s2 = n1 s2 1 + n2s2 2 / n1 + n2 – 2 Where d.f. = n1 + n2 – 2
  • 11.
    Ten rats werefed with rice in 1st months and body weights of the rats were recorded. In the next month, they were fed with grams and their weights were measured again. The respective weights of ten rats in two months are as follows: Weights in 1st month 50 60 58 52 51 62 58 55 50 65 Weights in 2nd month 56 58 68 61 56 59 64 60 50 62
  • 12.
    Solution – H0:Weights of 1st and 2nd months are equal. s. no. Weights in 1st month X1 Weights in 2nd month X2 Difference X1 – X2 = d d2 1. 50 56 -6 36 2. 60 58 +2 4 3. 58 68 -10 100 4. 52 61 -9 81 5. 51 56 -5 25 6. 62 59 +3 9 7. 58 64 -6 36 8. 55 60 -5 25 9. 50 50 0 0 10. 65 62 +3 9 Ʃd = -33 Ʃd2 = 325
  • 13.
    d = -33/ 10 = - 3.3 s2 = 1 / 10 -1 [325 – (-33 * - 33) / 10] = 1 / 9 [325 – 1089 / 10] = 1 / 9 [325 – 108.9] = 24 | t | = 3.3 / √24 / 10 = 3.3 / √2.4 = 3.3 / 1.55 = 2.13 Table value of t at 5% level of significance for 9 d.f. is 1.833 Calculated value > table value 2.13 > 1.833 Hence reject H0: Weights of 1st and 2nd months are not equal. d = Ʃd / no. of observation s2 = 1 / n – 1 [Ʃd2 – (Ʃd)2 / n] t = d / √s2 / n
  • 15.
    f- test isthe ratio of between group mean square and within group mean square. The formula for calculating a f-score is F = Mean square between samples Mean square within samples
  • 16.
    One-way ANOVA In statistics,one-way analysis of variance (abbreviated one-way ANOVA) is a technique used to compare means of two or more samples (using the F distribution). This technique can be used only for numerical data. In one way classification, only one factor is influenced. Two-way ANOVA The two-way ANOVA is an extension of the one-way ANOVA. The "two-way" comes because each item is classified in two ways. Therefore, analysis of variance can be used to test the effects of two factors simultaneously.
  • 17.
    Example1: From thedata given below, find out whether the mean of the three sample differ significantly or not. Sample 1 Sample 2 Sample 3 20 19 13 10 13 12 17 17 10 17 12 15 16 9 5
  • 18.
    Sample 1 Sample2 Sample 3 20 19 13 10 13 12 17 17 10 17 12 15 16 9 5 Ʃx = 80 70 55 Null hypothesis: H0 : There is no significance difference in the means of the three samples. Solution:
  • 19.
    Ʃx = Ʃxc1+ Ʃxc2 + Ʃxc3 = 80 + 70 + 55 = 205 Ʃx2 = Ʃx2 c1 + Ʃx2 c2 + Ʃx2 c3 = 1334 + 1044 + 663 = 3041 (A) (Ʃx)2/ nc = Ʃx2 c1 / nc1+ Ʃx2 c2 / nc2 + Ʃx2 c3 / nc3 = 802 / 5 + 702 / 5 + 552 / 5 = 1280 + 980 + 605 = 2865 (B) C.F. = (Ʃx)2 / n = (205)2 / 15 = 42025 / 15 + 2801.67 (D)
  • 20.
    Analysis of thevariance table Source of variation d.f. SS MS = SS / df F Between samples c - 1 3-1 = 2 (B – D) 2865 – 2801.67 = 63.33 (B – D) / c – 1 31.67 / 2 = 31.67 31.67 / 14.67 = 2.16 Within samples c (r - 1) 3(5-1) = 12 (A – B) 3041 – 2865 = 176 (A – B) / c(r -1) 176 / 12 = 14.67 total cr – 1 15 – 1 = 14 (A – D) 3041 – 2801.67 = 239.33 Conclusion: calculated F value < tabulated F value 2.16 < 3.9 ( 5%) The null hypothesis is accepted. The mean of various samples do not differ significantly among themselves.
  • 22.
    Example2: In anexperiment, the mean yields of three rice varieties grown with four nitrogen rates were recorded. Analyze the data using the test of analysis of variance to determine whether there is any difference in the mean yield of three varieties with four nitrogen doses. The results are given in the following table. Nitrogen rate kg/ha V1 V2 V3 0 4.50 5.01 6.11 30 4.30 6.17 6.92 60 5.60 6.37 6.37 90 5.21 6.48 6.48
  • 23.
    Solution: Null hypothesis: H0:Let us assume that there is no difference in the mean yield of the three varieties. Nitrogen rate kg/ha V1 V2 V3 Total 0 4.50 5.01 6.11 15.62 30 4.30 6.17 6.92 17.39 60 5.60 6.37 6.37 19.24 90 5.21 6.48 6.48 19.91 Ʃx 19.61 24.39 28.16 72.16
  • 24.
    Ʃx2 = 97.24+ 150.23 + 199.85 = 447.62 (A) (Ʃx)2/ nc = 19.612 / 4 + 24.392 / 4 + 28.162 / 4 = 443.11 (B) (Ʃx)2/ nr = 15.622 / 3 + 17.392 / 3 + 19.242 / 3 + 19.912 / 3 = 437.66 (C) C.F. = (Ʃx)2 / n = 72.162 / 12 = 5207.70 / 12 = 433.92 (D)
  • 25.
    Analysis of variancetable Source of variation d.f. SS MS = SS / df F Between varieties ( columns) c - 1 4-1 = 3 (B – D) 443.11 – 433.92 = 9.19 (B – D) / c – 1 9.19 / 3 = 3.06 3.06 / 0.13 = 25.34 Between treatments (rows) (r - 1) 3 -1 = 2 (C – D) 437.66 – 433.92 = 3.74 (C – D) / (r -1) 3.74 / 2 = 1.87 1.87 / 0.13 = 14.38 Residual (c -1) (r – 1) (4 -1) (3 – 1) = 6 (A – D) – [(B – D) + (C – D)] 13.7 – (9.19 + 3.74) = 0.77 0.77 / 6 = 0.13 Total cr – 1 4*3 – 1 = 11 (A – D) 447.62 – 433.92 = 13.7
  • 26.
    Conclusion: (i) F forbetween treatments: Tabulated F value = 9.8, p = 0.01 df = n1 = 3; n2 = 6 calculated F value > tabulated F value 25.34 > 9.8 The null hypothesis, stating that the three varieties have the identical mean yield is rejected. (ii) F for between nitrogen rate: Tabulated F value = 10.9, p = 0.01 df = n1 = 2; n2 = 6 The calculated f (14.38) value for, between the fertilizer doses exceeds the tabulated value. Thus, the variation in four nitrogen doses had significant effect on the mean yield and the null hypothesis is rejected at 1% level.
  • 28.
    t– test isused •To study the role of a factor or cause when the observations are made before and after its play. •To compare the effect of two drugs, given to the same person. •To compare the results of two different laboratory technique. f – test is used •To test the two independent samples (X and Y) have been drawn from the normal population with same variance. •Whether the two independent estimates of the population variance are homogenous or not.