Tests, Models, and
Sensing Tools:
Which is Best for Corn
Nitrogen Decisions?
Newell R. Kitchen
USDA-ARS
Cropping Systems and
Water Quality Research Unit
Columbia, Missouri
What is in a Decision?
โ€ข The average number of remotely
conscious decisions an adult
makes each day is ~35,000
โ€ข Grower surveys often list N
fertilizer management among
the more challenging
decisions of modern corn
production
Nitrogen Cycle in Agriculture Fields
How much N this year?
What happens if we are not close
to the right rate?
N Rate โ€“ EONR (lb N/a)
โ€ข When applications are >30 lbs N/ac over
EONR, every lb N applied = N lb lost
โ€ข 20-40% of US corn acres have N over-
application >30 lbs N/ac
โ€ข 90 m US corn ac/year
โ€ข Mean over-application of 60 lbs N/ac
โ€ข 405,000 tons of N lost/yr
Chris Bandura
University of Wisconsin
585 barges of urea-N
PPNT Pre-Plant Soil Nitrate Test
SDNT Side-Dress Soil Nitrate Test
Crop Growth Models
Empirical-Based Models
Canopy Sensing Soil Tests
Encirca N Service
Maize-N
Climate: Nitrogen Advisor
Adapt-N
Which is the Most
Reliable Corn Nitrogen
Recommendation Tool?
Maximum Return to Nitrogen (MRTN)
9
30
0
50
100
150
200
250
300
350
0 50 100 150 200 250 300
Yield,bu/acre
N rate, lb N/acre
35 on-farm trials Soy-Corn 2015
Optima MRTN
Courtesy of Emerson Nafziger, UI
PPNT Pre-Plant Soil Nitrate Test
SDNT Side-Dress Soil Nitrate Test
Crop Growth Models
Empirical-Based Models
Soil Tests
Encirca N Service
Maize-N
Climate: Nitrogen Advisor
Adapt-N
Side-by-Side
Comparison
Canopy Sensing
Public-Private Partnering for
Improving Performance of
Corn Nitrogen Fertilization Tools
James Camberato
Purdue University
Emerson Nafziger
University of Illinois
Carrie Laboski
University of Wisconsin
Fabiรกn Fernรกndez
University of Minnesota
David Franzen
North Dakota St. University
John Sawyer
Iowa State University
Richard Ferguson
University of Nebraska
Newell Kitchen
USDA-ARS
University of Missouri
Paul R. Carter
Project
Data
Evaluate
DuPont Pioneer
proprietary
products and
decision aids
Evaluate public-domain
decision aid tools, develop
agronomic science for
improved crop N
management, train new
scientists, and publish results
University
Research Locations 16 Locations/Year Total 49
Temperature
Precipitation
โ€ฆ. a wide array of weather
and soils conditions.
N Treatments (lbs/acre)
Measurements
Crop
Plant N (VT & R6)
Canopy reflectance (V9)
Grain yield and moisture
Soil
EC mapping (VerisTM)
Soil sampling (3x)
Soil moisture ( TRT 3+16)
Climate
Precipitation
Temperature
Solar radiation
Standardized Design
Planting Split (plt+V9)
0 40+40
40 40+80
80 40+120
120 40+160
160 40+200
200 40+240
240 80+80
280 80+160
What was the correct N rate?
Best-fit model for Economic Optimal N Rate (EONR)
Variation in Economic Optimal N Rate
2014 2015 2016
Economic Optimal Nitrogen Rate (EONR)
Tools Tested
โ€ข At Planting
โ€“ State-Specific Yield Goal
โ€“ Pre-plant Soil Nitrogen Test (PPNT)
โ€“ Maximum Return to Nitrogen (MRTN)
โ€“ Crop model (Maize-N)
โ€ข Split (40lbs/a at planting + top dress)
โ€“ State-Specific Yield Goal
โ€“ Side-dress Soil Nitrogen Test (PSNT)
โ€“ Maximum Return to Nitrogen (MRTN)
โ€“ Crop model (Maize-N)
โ€“ Canopy Reflectance - MU algorithm
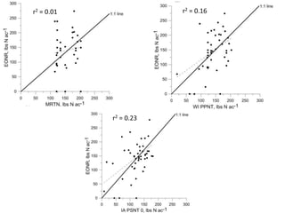
r2 = 0.01r2 = 0.01 r2 = 0.16
r2 = 0.23
Yield Goal Tools
PPNT Tools
0 lbs N/A 40 lbs N/A
PSNT Tools
Other Tools
Canopy Sensing
Algorithm Performance
Courtesy of Iowa State Extension
31
Encircaโ„ข Nitrogen Management Service.
Cronus Crop Model
Target N
Level
Current and
forecast
(Soil N to date)
Multi-year
historical (Potential
N outcomes)
Local Weather
Cronus
Crop
Model
N Recommendation
Planned Application
Date
N Source/application
method
Current Soil N per DZ
Target N RequiredERU -Soil
Yield Goal
O.M.
Soil Criteria
Productivity
Soil Water
Hybrid
Seeding
Rate
Initial N
Manure
N
applications
Inhibitor
Residue
Credit
Tillage
Tile
Irrigation
Management
Decision Zone
32
Environmental Response Units
(ERU)
ERUโ€™s Improve Correlation
to Measured Yield 300%!
โ€ข ERUโ€™s developed using high
resolution digital elevation
models (e.g. LIDAR) Watershed
Information, SSURGO Data
โ€ข Are key input to defining field
management zones
โ€ข Process continues to be
improved as new data sources
emerge
33
Cronus Crop Model โ€“ soil nitrogen dynamics
V
T
V
T
Models are a potential tool to improve nitrogen management
Good agreement between model
and measured soil NO3 But models alone are not perfect!
Representative response graphs (of graphs from 360+ sampled blocks ) โ€“ PRNT sites
An Objective, Science-based Assessment & Education
Program for Nutrient-Use Efficiency Tools & Products
Courtesy of Dr. James Schepers
2015 Encirca Nitrogen Innovation Trials
124 Locations
Application Timing
2015 EncircaSM Nitrogen Innovation Trials
Managing Variability
with EncircaSM Nitrogen Service
Good
Mineralization /
High N Loss
Good
Mineralization /
Low N Loss
$100
$50
$0
$50
$100
$150
$200
$250
1 11 21 31 41 51 61 71 81 91 101 111
PartialProfitability($/A)
Field Trials
Adapt โ€“ N . . . Partial Profitability
2011-2014
~5 bu/A
Which tool should I use?
โ€ข Many of the current publicly-available N recommendation tools donโ€™t
work well when EONR is low (< 100 lbs N/ac) or high (> 220 lbs N/ac).
โ€ข Tools that use soil and/or crop measurements on the fields of interest
generally work better (e.g., PPNT/PSNT, canopy reflectance).
โ€ข Fields that historically show variation in greenness on wet years (look
at Google Earth), deserve a tool that can address spatial soil variation.
โ€ข Tool development and validation are needed that are adaptive to
weather and soil interactions (e.g., modeling, canopy reflectance).
โ€ข Using on-farm strip trials over several years is an excellent ways to
judge your current tool (e.g., strips with ยฑ 30 lbs N/ac + current).
โ€ข If both ยฑ strips are within 5 bu/ac of the current tool, then you are
close to EONR and your tool is working fairly well
โ€ข If you donโ€™t see a yield increase with +30 and donโ€™t see a yield
decrease with -30, then youโ€™re likely over-applying (tool failure)
โ€ข If you see a yield increase with +30, then you are under-applying
(tool failure)
N Application >> Corn Crop Need
From Benton/Tama Nutrient Reduction Project
Acknowledgements
Questions?
Newell R. Kitchen
573-882-1114
KitchenN@Missouri.edu
or Newell.Kitchen@ars.usda.gov
PPNT Pre-Plant Soil Nitrate Test
SDNT Side-Dress Soil Nitrate Test
Crop Growth Models
Empirical-Based Models
Proximal Canopy Sensing Soil Tests
Encirca N Services
Maize-N
Climate: Nitrogen Advisor
Adapt-N
Fusion
Dr. Newell Kitchen - Tools For Managing Nitrogen

Dr. Newell Kitchen - Tools For Managing Nitrogen

  • 1.
    Tests, Models, and SensingTools: Which is Best for Corn Nitrogen Decisions? Newell R. Kitchen USDA-ARS Cropping Systems and Water Quality Research Unit Columbia, Missouri
  • 2.
    What is ina Decision? โ€ข The average number of remotely conscious decisions an adult makes each day is ~35,000 โ€ข Grower surveys often list N fertilizer management among the more challenging decisions of modern corn production
  • 3.
    Nitrogen Cycle inAgriculture Fields
  • 4.
    How much Nthis year?
  • 5.
    What happens ifwe are not close to the right rate? N Rate โ€“ EONR (lb N/a) โ€ข When applications are >30 lbs N/ac over EONR, every lb N applied = N lb lost โ€ข 20-40% of US corn acres have N over- application >30 lbs N/ac โ€ข 90 m US corn ac/year โ€ข Mean over-application of 60 lbs N/ac โ€ข 405,000 tons of N lost/yr Chris Bandura University of Wisconsin
  • 6.
  • 7.
    PPNT Pre-Plant SoilNitrate Test SDNT Side-Dress Soil Nitrate Test Crop Growth Models Empirical-Based Models Canopy Sensing Soil Tests Encirca N Service Maize-N Climate: Nitrogen Advisor Adapt-N Which is the Most Reliable Corn Nitrogen Recommendation Tool?
  • 8.
    Maximum Return toNitrogen (MRTN)
  • 9.
    9 30 0 50 100 150 200 250 300 350 0 50 100150 200 250 300 Yield,bu/acre N rate, lb N/acre 35 on-farm trials Soy-Corn 2015 Optima MRTN Courtesy of Emerson Nafziger, UI
  • 10.
    PPNT Pre-Plant SoilNitrate Test SDNT Side-Dress Soil Nitrate Test Crop Growth Models Empirical-Based Models Soil Tests Encirca N Service Maize-N Climate: Nitrogen Advisor Adapt-N Side-by-Side Comparison Canopy Sensing
  • 12.
    Public-Private Partnering for ImprovingPerformance of Corn Nitrogen Fertilization Tools James Camberato Purdue University Emerson Nafziger University of Illinois Carrie Laboski University of Wisconsin Fabiรกn Fernรกndez University of Minnesota David Franzen North Dakota St. University John Sawyer Iowa State University Richard Ferguson University of Nebraska Newell Kitchen USDA-ARS University of Missouri Paul R. Carter
  • 13.
    Project Data Evaluate DuPont Pioneer proprietary products and decisionaids Evaluate public-domain decision aid tools, develop agronomic science for improved crop N management, train new scientists, and publish results University
  • 14.
    Research Locations 16Locations/Year Total 49 Temperature Precipitation
  • 15.
    โ€ฆ. a widearray of weather and soils conditions.
  • 16.
    N Treatments (lbs/acre) Measurements Crop PlantN (VT & R6) Canopy reflectance (V9) Grain yield and moisture Soil EC mapping (VerisTM) Soil sampling (3x) Soil moisture ( TRT 3+16) Climate Precipitation Temperature Solar radiation Standardized Design Planting Split (plt+V9) 0 40+40 40 40+80 80 40+120 120 40+160 160 40+200 200 40+240 240 80+80 280 80+160
  • 17.
    What was thecorrect N rate? Best-fit model for Economic Optimal N Rate (EONR)
  • 18.
    Variation in EconomicOptimal N Rate 2014 2015 2016
  • 19.
  • 20.
    Tools Tested โ€ข AtPlanting โ€“ State-Specific Yield Goal โ€“ Pre-plant Soil Nitrogen Test (PPNT) โ€“ Maximum Return to Nitrogen (MRTN) โ€“ Crop model (Maize-N) โ€ข Split (40lbs/a at planting + top dress) โ€“ State-Specific Yield Goal โ€“ Side-dress Soil Nitrogen Test (PSNT) โ€“ Maximum Return to Nitrogen (MRTN) โ€“ Crop model (Maize-N) โ€“ Canopy Reflectance - MU algorithm
  • 21.
    r2 = 0.01r2= 0.01 r2 = 0.16 r2 = 0.23
  • 22.
  • 23.
  • 24.
    0 lbs N/A40 lbs N/A PSNT Tools
  • 25.
  • 26.
  • 27.
  • 28.
    Courtesy of IowaState Extension
  • 31.
    31 Encircaโ„ข Nitrogen ManagementService. Cronus Crop Model Target N Level Current and forecast (Soil N to date) Multi-year historical (Potential N outcomes) Local Weather Cronus Crop Model N Recommendation Planned Application Date N Source/application method Current Soil N per DZ Target N RequiredERU -Soil Yield Goal O.M. Soil Criteria Productivity Soil Water Hybrid Seeding Rate Initial N Manure N applications Inhibitor Residue Credit Tillage Tile Irrigation Management Decision Zone
  • 32.
    32 Environmental Response Units (ERU) ERUโ€™sImprove Correlation to Measured Yield 300%! โ€ข ERUโ€™s developed using high resolution digital elevation models (e.g. LIDAR) Watershed Information, SSURGO Data โ€ข Are key input to defining field management zones โ€ข Process continues to be improved as new data sources emerge
  • 33.
    33 Cronus Crop Modelโ€“ soil nitrogen dynamics V T V T Models are a potential tool to improve nitrogen management Good agreement between model and measured soil NO3 But models alone are not perfect! Representative response graphs (of graphs from 360+ sampled blocks ) โ€“ PRNT sites
  • 34.
    An Objective, Science-basedAssessment & Education Program for Nutrient-Use Efficiency Tools & Products Courtesy of Dr. James Schepers
  • 35.
    2015 Encirca NitrogenInnovation Trials 124 Locations Application Timing 2015 EncircaSM Nitrogen Innovation Trials
  • 36.
    Managing Variability with EncircaSMNitrogen Service Good Mineralization / High N Loss Good Mineralization / Low N Loss
  • 37.
    $100 $50 $0 $50 $100 $150 $200 $250 1 11 2131 41 51 61 71 81 91 101 111 PartialProfitability($/A) Field Trials Adapt โ€“ N . . . Partial Profitability 2011-2014 ~5 bu/A
  • 38.
    Which tool shouldI use? โ€ข Many of the current publicly-available N recommendation tools donโ€™t work well when EONR is low (< 100 lbs N/ac) or high (> 220 lbs N/ac). โ€ข Tools that use soil and/or crop measurements on the fields of interest generally work better (e.g., PPNT/PSNT, canopy reflectance). โ€ข Fields that historically show variation in greenness on wet years (look at Google Earth), deserve a tool that can address spatial soil variation. โ€ข Tool development and validation are needed that are adaptive to weather and soil interactions (e.g., modeling, canopy reflectance). โ€ข Using on-farm strip trials over several years is an excellent ways to judge your current tool (e.g., strips with ยฑ 30 lbs N/ac + current). โ€ข If both ยฑ strips are within 5 bu/ac of the current tool, then you are close to EONR and your tool is working fairly well โ€ข If you donโ€™t see a yield increase with +30 and donโ€™t see a yield decrease with -30, then youโ€™re likely over-applying (tool failure) โ€ข If you see a yield increase with +30, then you are under-applying (tool failure)
  • 39.
    N Application >>Corn Crop Need From Benton/Tama Nutrient Reduction Project
  • 40.
  • 41.
  • 42.
    PPNT Pre-Plant SoilNitrate Test SDNT Side-Dress Soil Nitrate Test Crop Growth Models Empirical-Based Models Proximal Canopy Sensing Soil Tests Encirca N Services Maize-N Climate: Nitrogen Advisor Adapt-N Fusion