DNA DAMAGE
Dr.Riddhi H Patel,
3rd year resident,
Biochemistry
 An alteration in the chemical structure
of DNA, such as a break in a strand of DNA,
a base missing from the backbone of DNA
Difference between DNA damage
and Mutation
DNA Damage DNA Mutation
• Physical abnormalities in the DNA • is a change in the base
sequence of the DNA
• Can be recognized by enzymes • cannot be recognized by
enzymes once the base change
is present in both DNA strands
• can be correctly repaired if redundant
information, such as the undamaged
sequence in the complementary DNA
strand or in a homologous chromosome,
is available for copying
• a mutation cannot be repaired
lTypes of Damage to DNA
Types of DNA Damage
• Single Base Alteration:a)Depurination
b)Deamination
c)Alkylation
d)Base analogue incorporation
e)Mismatch base
• Double base Alteration: a)Pymidine Dimer
b)Purine Dimer
• Chain break : a) Single Stranded Break
b) Double Stranded Break
• Cross linking : a)Between DNA to DNA
b)Between DNA to Protein
Single base alteration
A) Depurination
Causes: -Spontaneous
- Chemical induced like estrogen
- UV radiation
- Ionizing radiation
- Monofunctional alkylating agents
- Free radical
lDue to some chemical reaction of endogenous
metabolites
Hydrolytic Cleavage of beta-N glycosidic bond of
PURINE NUCLEOSIDES
Release of Nucleic base
Forms APURINIC SITE
Repaired effeciently by BER
If Not repaire causes Mutaion
•Depurination produced by chemical like estrogen
2)Deamination
• Hydrolytic removal of an amine group from a molecule
• Causes:- spontaneous
l -chemically induced(Nitric Oxide induced)
Spontaneous Deamination
 deamination of 5-methylcytosine
forms thymine. This conversion of a DNA base
from cytosine (C) to thymine (T) can result in
a transition mutation
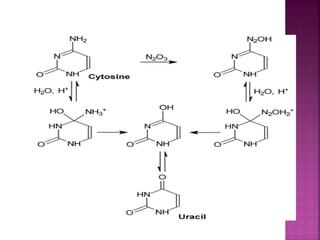
Nitric Oxide induced Deamination
• Auto-oxidation of nirtic acid or from Acidic nitrite
• Nitrosating agent like nitrous anhydrite (N2O3)
• react with amines, thiol and other necleophles
• Deamination of DNA
• Repair mainly done by Base excision reapir by
formation of AP site.
• If not repaired :
• Guanine and Adenine deamination leads to the
transition mutation
3)ALKYLATION
• Alkyl group:CnH2n+1
-examples: methyl, ethyl, propyl
• Transfer of an alkyl group from one molecule to
another
• Alkylating Agents:
l -Monofunctional agents
-Bifunctional agents
•electrophilic compounds
•electrophiles encounter negative centers in DNA
•attack by alkylating agents are the N7 of guanine and the
N3 of adenine and add alkyl group
•Making bond between sugar and base more labile
•Forms apurinic site
•Repair: -Base Excision Repair
•Not repaired: -Add incorrect base-- mutation
•Example of alkylating agent: ethylmethane sulfonate
(EMS)
Monofunctional Agents
Alkylation done by EMS
Bifunctional Agents
• Bifunctional agents have two Alkyl groups
• Causes cross linking in DNA
Base analogue incorporation
• Cell makes mistake for recognizing the bases due to
poor proof reading function sometimes
• Causes change in base
• Example: G could look more like an A
• Repair by Mismatch repair
• Mutation to the protein involve in the MMR is
associated with Hereditary NonPolyposis
 Colorectal Cancer (HNPCC) also ka Lynch
syndrome
• HNPCC- causes increase risk of developing
colon cancer
 Single Base Alteration: a)Depurination
b)Deamination
c)Alkylation
d)Base analogue incorporation
e)Mismatch base
 Double base Alteration: a)Pymidine Dimer
b)Purine Dimer
 Chain break : a) Single Stranded Break
b) Double Stranded Break
 Cross linking : a)Between DNA to DNA
b)Between DNA to Protein
Double Base Alteration
• Causes : UV radiation
• May be direct effect of UV radiation
UV Radiation
lUVR : 3 types
• UVA:315nm-400nm :Poor efficiency for DNA Damage as
lnot absorbed by native DNA
l-able to generate singlet oxygen that can damage DNA via
indirect photosensitizing reactions
lUVB:280-315nm : Mainly absorbed by DNA : Main damage
occur by this
lUVC :<280nm : absorbed by oxygen and ozone in the Earth’s
atmosphere
1)Pyrimidine dimer
Pyrimidine dimer
Purine Dimer
UV induced DNA lesions
lPyrimidine dimer
lPurine dimer
lDepurination
lSingle and Double strand break
• Repair mainly done by Nucleotide Excixion repair
• If not reapir- during replication it may incorrectly insert
base
- may skip that dimer
• NER defect: Xeroderma Pigmentosa
-XP protein encoding gene defect
-Accumulation of these mutation induced by UV light
-Causes various skin cancer: Basal Cell Carcinoma
Squamous Cell Carcinoma
Melanoma
• Single Base Alteration:a)Depurination
 b)Deamination
 c)Alkylation
 d)Base analogue incorporation
 e)Mismatch base
• Double base Alteration: a)Pymidine Dimer
 b)Purine Dimer
• Chain break : a) Single Stranded Break
 b) Double Stranded Break
• Cross linking : a)Between DNA to DNA
 b)Between DNA to Protein
Chain Break
 Causes :- Mainly by irradiation
- Free radical damage
 Repair : By Homologus end joining
Double strand break:
Causes : - Direct by irradiaction
- unrepaired UV-induced DNA lesions
- the repair of single strand breaks
passing through base excision repair
- Free radical injury
- Radiomimetic compound
Mechanism of DSB
 Repair by Homologus End joining Or Non
Homologus End Joining
•Oxidative damage mainly occurs by formation of Free
redical or Radiomimetic compunds
•Free radical damage to the DNA:
-70% damage by OH-
-Radiolysis of H2O produce peroxides
-formation of OH. requires metal near to the DNA
-Fe+2 mainly forms OH. formation by fenton reaction
Fe2+ + H2O2 → Fe3+ + OH· + OH−
Free radical damage to DNA
• OH. Abstracts H from deoxyribose carbon
• Deoxyribosyl radical formation
• Radical react with molecular O2- forms peroxyl
radical
• Break the DNA strand and release of Bases(AP site)
• Repair by BER
• When OH. Abstrcts 1-deoxyribose-- forms
 2- deoxyribonolacton which is resistant to repair
 enzyme --- Mutation
 Depurination
 Single strand break
 Double strand break
Radiomimetic compounds
•radiomimetic compounds are enediyens
•Undergose cyclization
•Forms Para-benzene diredicals
•Highly reactive- Abstract hydrogen from any possible
hydrogen donor
•In DNA- it abstracts H from the deoxyribose sugar
backbone, predominantly at the C-1’,C-4’ and C-5’
positions
radical formation at the reacted carbon
• carbon radical reacts with molecular oxygen
• Para-benzyne is able to position itself in such a way
that it can abstract proximal hydrogens from both
strands of DNA
• produces a double-strand break in the DNA
• Mostly this will not be repaired
• Cell apoptosis
 Direct Damage:
 ionizing radiation directly interact with
target structure to cause ionization
 initiating the chain of events to lead to
biological changes
 direct action of radiation done by High
Linear energy transfer like alpha partical
and neutron
 Indirect Damage : done by free radical
formation
 Clustered DNA lesion : which represent two
or more lesions formed within one or two
helical turns of DNA
-less readily repaired than individual
lesions
-cytotoxic, mutagenic and carcinogenic
effects
• Single Base Alteration:a)Depurination
 b)Deamination
 c)Alkylation
 d)Base analogue incorporation
 e)Mismatch base
• Double base Alteration: a)Pymidine Dimer
 b)Purine Dimer
• Chain break : a) Single Stranded Break
 b) Double Stranded Break
• Cross linking : a)Between DNA to DNA
 b)Between DNA to Protein
Cross linking
• Causes : - UV radiation
-ionizing radiation like X rays and gamma
rays
- Free radical like H2O2 and OH.
• Mechanism: By irradiation – formation of H2O2
• Protein peroxidation occur
• Fornation of Protein hydroperoxide
• Causes cross linking with DNA
Dna damage
Dna damage

Dna damage

  • 1.
    DNA DAMAGE Dr.Riddhi HPatel, 3rd year resident, Biochemistry
  • 2.
     An alterationin the chemical structure of DNA, such as a break in a strand of DNA, a base missing from the backbone of DNA
  • 3.
    Difference between DNAdamage and Mutation DNA Damage DNA Mutation • Physical abnormalities in the DNA • is a change in the base sequence of the DNA • Can be recognized by enzymes • cannot be recognized by enzymes once the base change is present in both DNA strands • can be correctly repaired if redundant information, such as the undamaged sequence in the complementary DNA strand or in a homologous chromosome, is available for copying • a mutation cannot be repaired
  • 4.
  • 5.
    Types of DNADamage • Single Base Alteration:a)Depurination b)Deamination c)Alkylation d)Base analogue incorporation e)Mismatch base • Double base Alteration: a)Pymidine Dimer b)Purine Dimer • Chain break : a) Single Stranded Break b) Double Stranded Break • Cross linking : a)Between DNA to DNA b)Between DNA to Protein
  • 6.
  • 7.
    A) Depurination Causes: -Spontaneous -Chemical induced like estrogen - UV radiation - Ionizing radiation - Monofunctional alkylating agents - Free radical
  • 8.
    lDue to somechemical reaction of endogenous metabolites Hydrolytic Cleavage of beta-N glycosidic bond of PURINE NUCLEOSIDES Release of Nucleic base Forms APURINIC SITE Repaired effeciently by BER If Not repaire causes Mutaion
  • 10.
    •Depurination produced bychemical like estrogen
  • 11.
    2)Deamination • Hydrolytic removalof an amine group from a molecule • Causes:- spontaneous l -chemically induced(Nitric Oxide induced)
  • 12.
  • 13.
     deamination of5-methylcytosine forms thymine. This conversion of a DNA base from cytosine (C) to thymine (T) can result in a transition mutation
  • 14.
    Nitric Oxide inducedDeamination • Auto-oxidation of nirtic acid or from Acidic nitrite • Nitrosating agent like nitrous anhydrite (N2O3) • react with amines, thiol and other necleophles • Deamination of DNA
  • 16.
    • Repair mainlydone by Base excision reapir by formation of AP site. • If not repaired : • Guanine and Adenine deamination leads to the transition mutation
  • 19.
    3)ALKYLATION • Alkyl group:CnH2n+1 -examples:methyl, ethyl, propyl • Transfer of an alkyl group from one molecule to another • Alkylating Agents: l -Monofunctional agents -Bifunctional agents
  • 20.
    •electrophilic compounds •electrophiles encounternegative centers in DNA •attack by alkylating agents are the N7 of guanine and the N3 of adenine and add alkyl group •Making bond between sugar and base more labile •Forms apurinic site •Repair: -Base Excision Repair •Not repaired: -Add incorrect base-- mutation •Example of alkylating agent: ethylmethane sulfonate (EMS) Monofunctional Agents
  • 21.
  • 22.
    Bifunctional Agents • Bifunctionalagents have two Alkyl groups • Causes cross linking in DNA
  • 25.
  • 27.
    • Cell makesmistake for recognizing the bases due to poor proof reading function sometimes • Causes change in base • Example: G could look more like an A
  • 28.
    • Repair byMismatch repair • Mutation to the protein involve in the MMR is associated with Hereditary NonPolyposis  Colorectal Cancer (HNPCC) also ka Lynch syndrome • HNPCC- causes increase risk of developing colon cancer
  • 29.
     Single BaseAlteration: a)Depurination b)Deamination c)Alkylation d)Base analogue incorporation e)Mismatch base  Double base Alteration: a)Pymidine Dimer b)Purine Dimer  Chain break : a) Single Stranded Break b) Double Stranded Break  Cross linking : a)Between DNA to DNA b)Between DNA to Protein
  • 30.
  • 31.
    • Causes :UV radiation • May be direct effect of UV radiation
  • 32.
    UV Radiation lUVR :3 types • UVA:315nm-400nm :Poor efficiency for DNA Damage as lnot absorbed by native DNA l-able to generate singlet oxygen that can damage DNA via indirect photosensitizing reactions lUVB:280-315nm : Mainly absorbed by DNA : Main damage occur by this lUVC :<280nm : absorbed by oxygen and ozone in the Earth’s atmosphere
  • 33.
  • 34.
  • 36.
  • 37.
    UV induced DNAlesions lPyrimidine dimer lPurine dimer lDepurination lSingle and Double strand break
  • 38.
    • Repair mainlydone by Nucleotide Excixion repair • If not reapir- during replication it may incorrectly insert base - may skip that dimer • NER defect: Xeroderma Pigmentosa -XP protein encoding gene defect -Accumulation of these mutation induced by UV light -Causes various skin cancer: Basal Cell Carcinoma Squamous Cell Carcinoma Melanoma
  • 39.
    • Single BaseAlteration:a)Depurination  b)Deamination  c)Alkylation  d)Base analogue incorporation  e)Mismatch base • Double base Alteration: a)Pymidine Dimer  b)Purine Dimer • Chain break : a) Single Stranded Break  b) Double Stranded Break • Cross linking : a)Between DNA to DNA  b)Between DNA to Protein
  • 40.
  • 41.
     Causes :-Mainly by irradiation - Free radical damage  Repair : By Homologus end joining
  • 42.
    Double strand break: Causes: - Direct by irradiaction - unrepaired UV-induced DNA lesions - the repair of single strand breaks passing through base excision repair - Free radical injury - Radiomimetic compound
  • 43.
  • 44.
     Repair byHomologus End joining Or Non Homologus End Joining
  • 45.
    •Oxidative damage mainlyoccurs by formation of Free redical or Radiomimetic compunds •Free radical damage to the DNA: -70% damage by OH- -Radiolysis of H2O produce peroxides -formation of OH. requires metal near to the DNA -Fe+2 mainly forms OH. formation by fenton reaction Fe2+ + H2O2 → Fe3+ + OH· + OH− Free radical damage to DNA
  • 46.
    • OH. AbstractsH from deoxyribose carbon • Deoxyribosyl radical formation • Radical react with molecular O2- forms peroxyl radical • Break the DNA strand and release of Bases(AP site) • Repair by BER • When OH. Abstrcts 1-deoxyribose-- forms  2- deoxyribonolacton which is resistant to repair  enzyme --- Mutation
  • 47.
     Depurination  Singlestrand break  Double strand break
  • 48.
    Radiomimetic compounds •radiomimetic compoundsare enediyens •Undergose cyclization •Forms Para-benzene diredicals •Highly reactive- Abstract hydrogen from any possible hydrogen donor •In DNA- it abstracts H from the deoxyribose sugar backbone, predominantly at the C-1’,C-4’ and C-5’ positions radical formation at the reacted carbon
  • 49.
    • carbon radicalreacts with molecular oxygen • Para-benzyne is able to position itself in such a way that it can abstract proximal hydrogens from both strands of DNA • produces a double-strand break in the DNA • Mostly this will not be repaired • Cell apoptosis
  • 50.
     Direct Damage: ionizing radiation directly interact with target structure to cause ionization  initiating the chain of events to lead to biological changes  direct action of radiation done by High Linear energy transfer like alpha partical and neutron
  • 51.
     Indirect Damage: done by free radical formation
  • 53.
     Clustered DNAlesion : which represent two or more lesions formed within one or two helical turns of DNA -less readily repaired than individual lesions -cytotoxic, mutagenic and carcinogenic effects
  • 54.
    • Single BaseAlteration:a)Depurination  b)Deamination  c)Alkylation  d)Base analogue incorporation  e)Mismatch base • Double base Alteration: a)Pymidine Dimer  b)Purine Dimer • Chain break : a) Single Stranded Break  b) Double Stranded Break • Cross linking : a)Between DNA to DNA  b)Between DNA to Protein
  • 55.
  • 56.
    • Causes :- UV radiation -ionizing radiation like X rays and gamma rays - Free radical like H2O2 and OH. • Mechanism: By irradiation – formation of H2O2 • Protein peroxidation occur • Fornation of Protein hydroperoxide • Causes cross linking with DNA