‫ر‬َ‫ـد‬ْ‫ق‬‫ِـ‬‫ن‬
،،،
‫لما‬
‫اننا‬ ‫نصدق‬
ْ
ْ‫ق‬ِ‫ن‬
‫ر‬َ‫د‬
LECTURE (7)
STATE-SPACE REPRESENTATION
OF LTI SYSTEMS
Assist. Prof. Amr E. Mohamed
Agenda
 State Variables of a Dynamical System
 State Variable Equation
 Why State space approach
 Derive Transfer Function from State Space Equation
 Time Response and State Transition Matrix
2
Introduction
 The classical control theory and methods (such as root locus) that we
have been using in class to date are based on a simple input-output
description of the plant, usually expressed as a transfer function. These
methods do not use any knowledge of the interior structure of the
plant, and limit us to single-input single-output (SISO) systems, and as
we have seen allows only limited control of the closed-loop behavior
when feedback control is used.
 Modern control theory solves many of the limitations by using a much
“richer” description of the plant dynamics. The so-called state-space
description provide the dynamics as a set of coupled first-order
differential equations in a set of internal variables known as state
variables, together with a set of algebraic equations that combine the
state variables into physical output variables.
3
Definition of System State
 State: The state of a dynamic system is the smallest set of variables
(𝒙𝟏, 𝒙𝟐, … … , 𝒙𝒏) (called State Variables or State Vector) such that knowledge of
these variables at 𝑡 = 𝑡0, together with knowledge of the input for 𝑡 ≥ 𝑡0 ,
completely determines the behavior of the system for any time t to t0 .
 The number of state variables to completely define the dynamics of the system is
equal to the number of integrators involved in the system (System Order).
 Assume that a multiple-input, multiple-output system involves n integrators (State
Variables).
 Assume also that there are r inputs u1(t), u2(t),……. ur(t) and p outputs y1(t),
y2(t), …….. yp(t).
4
Inner state variables
n
x
x
x 
,
, 2
1
 
)
(
1 t
u
)
(
2 t
u
)
(t
ur
)
(
1 t
y
)
(
2 t
y
)
(t
yp
General State Representation
 State equation:
 Output equation:
 𝑥 = 𝑆𝑡𝑎𝑡𝑒 𝑉𝑒𝑐𝑡𝑜𝑟
 𝑥 =
𝑑 𝑥(𝑡)
𝑡
= 𝐷𝑒𝑟𝑖𝑣𝑎𝑡𝑖𝑣𝑒 𝑜𝑓 𝑡ℎ𝑒 𝑆𝑡𝑎𝑡𝑒 𝑉𝑒𝑐𝑡𝑜𝑟
 𝑢 = 𝐼𝑛𝑝𝑢𝑡 𝑉𝑒𝑐𝑡𝑜𝑟
 𝑦 = 𝑂𝑢𝑡𝑝𝑢𝑡 𝑉𝑒𝑐𝑡𝑜𝑟
 𝐴 = 𝑆𝑡𝑎𝑡𝑒 𝑀𝑎𝑡𝑟𝑖𝑥 = 𝑆𝑦𝑠𝑡𝑒𝑚 𝑀𝑎𝑡𝑟𝑖𝑥
 𝐵 = 𝐼𝑛𝑝𝑢𝑡 𝑀𝑎𝑡𝑟𝑖𝑥
 𝐶 = 𝑂𝑢𝑡𝑝𝑢𝑡 𝑀𝑎𝑡𝑟𝑖𝑥
 𝐷 = 𝐹𝑒𝑒𝑑𝑏𝑎𝑐𝑘 𝑚𝑎𝑡𝑟𝑖𝑥
)
(
)
(
)
( t
u
B
t
x
A
t
x 


)
(
)
(
)
( t
u
D
t
x
C
t
y 

Dynamic equations
State-Space Equations (Model)
 State equation:
 Output equation:
6
)
(
)
(
)
( t
u
B
t
x
A
t
x 


)
(
)
(
)
( t
u
D
t
x
C
t
y 

Dynamic equations
1
2
1
)
(
)
(
)
(
)
(














n
n t
x
t
x
t
x
t
x

1
2
1
)
(
)
(
)
(
)
(














r
r t
u
t
u
t
u
t
u

1
2
1
)
(
)
(
)
(
)
(
















p
p t
y
t
y
t
y
t
y

State Vector
State variable
Input Vector Output Vector











 n
n
A











 r
n
B











 n
p
C
1
2
1
)
0
(
)
0
(
)
0
(
)
0
(














n
n
x
x
x
x












 r
p
D
Block Diagram Representation Of State Space Model
7
C
A
D
B
s
1
+
+
+
-
)
(t
u )
(t
y
)
(t
x
)
(t
x

Input/Output Models vs State-Space Models
 State Space Models:
 consider the internal behavior of a system
 can easily incorporate complicated output variables
 have significant computation advantage for computer simulation
 can represent multi-input multi-output (MIMO) systems and nonlinear
systems
 Input/Output Models:
 are conceptually simple
 are easily converted to frequency domain transfer functions that are more
intuitive to practicing engineers
 are difficult to solve in the time domain (solution: Laplace transformation)
8
Some definitions
 System variable: any variable that responds to an input or initial
conditions in a system
 State variables: the smallest set of linearly independent system
variables such that the values of the members of the set at time t0
along with known forcing functions completely determine the value of
all system variables for all t ≥ t0
 State vector: a vector whose elements are the state variables
 State space: the n-dimensional space whose axes are the state variables
 State equations: a set of first-order differential equations with b
variables, where the n variables to be solved are the state variables
 Output equation: the algebraic equation that expresses the output
variables of a system as linear combination of the state variables and
the inputs.
General State Representation
1. Select a particular subset of all possible system variables, and call
state variables.
2. For nth-order, write n simultaneous, first-order differential equations
in terms of the state variables (state equations).
3. If we know the initial condition of all of the state variables at 𝑡0 as
well as the system input for 𝑡 ≥ 𝑡0, we can solve the equations
State-Space Representation of nth-Order Systems of Linear
Differential Equations
 Consider the following nth-order system:
𝒚
(𝒏)
+ 𝒂𝟏 𝒚
(𝒏−𝟏)
+ … + 𝒂𝒏−𝟏𝒚 + 𝒂𝒏 𝒚 = 𝒖
 where y is the system output and u is the input of the System.
 The system is nth-order, then it has n-integrators (State Variables)
 Let us define n-State variables
11
State-Space Representation of nth-Order Systems of Linear
Differential Equations (Cont.)
 Then the last Equation can be written as
12
State-Space Representation of nth-Order Systems of Linear
Differential Equations (Cont.)
 Then, the stat-space state equation is
 where
13
State-Space Representation of nth-Order Systems of Linear
Differential Equations (Cont.)
 Since, the output equation is
 Then, the stat-space output Equation is
 where
14
Example #1
 From the diagram, the system Equation is
𝑀𝑦 + 𝐵𝑦 + 𝐾𝑦 = 𝑓(𝑡)
 This system is of second order. This means that the system involves two
integrators (State Variables).
 Let us define the state variables
𝑥1 = 𝑦
𝑥2 = 𝑦
 Then, we obtain
𝑥1 = 𝑦 = 𝑥2
𝑥2 = 𝑦 =
1
𝑀
−𝐵𝑦 + 𝐾𝑦 −
1
𝑀
𝑓 𝑡 =
−𝐵
𝑀
𝑥2 −
𝐾
𝑀
𝑥1 −
1
𝑀
𝑓 𝑡
15
y
K
M
B
f(t)
Example #1 (Cont.)
 Then, the State Space equation is
𝑥1
𝑥2
=
0 1
−𝐾
𝑀
−𝐵
𝑀
𝑥1
𝑥2
+
0
1
𝑀
𝑓(𝑡)
 The output Equation is
𝑦 = 1 0
𝑥1
𝑥2
 The System Block diagram is
16
Example #2
17
L
R
c
)
(t
ei )
(t
ec
+
- )
(t
i
+
-
 


t
i t
e
dt
t
i
c
dt
t
di
L
t
Ri
0
)
(
)
(
1
)
(
)
(



dt
t
i
t
x
t
i
t
x
let
)
(
)
(
)
(
)
(
2
1
)
(
)
( t
i
t
y 
  






































2
1
2
1
2
1
0
1
)
(
)
(
0
1
0
1
1
x
x
t
y
t
e
L
x
x
LC
L
R
x
x
i


)
(
)
(
ˆ
)
(
)
(
ˆ
2
1
t
e
t
x
t
i
t
x
let
c


)
(
)
( t
i
t
y 
  




























 








2
1
2
1
2
1
ˆ
ˆ
0
1
)
(
)
(
0
1
ˆ
ˆ
0
1
ˆ
ˆ
x
x
t
y
t
e
L
x
x
L
L
R
L
R
x
x
i


Remark : the choice of states is not unique.
Example #3
18
M2 M1
B3
B1
B2
K
1
y
2
y
)
(t
f
0
)
(
)
(
)
(
)
(
)
(
1
2
1
2
2
2
3
2
2
2
1
2
1
2
1
1
1
1












y
y
K
y
y
B
y
B
y
M
t
f
y
y
K
y
y
B
y
B
y
M










2
4
1
3
2
2
1
1
y
x
y
x
y
x
y
x
let






)
(
4
3
2
1
4
3
2
1
t
f
x
x
x
x
x
x
x
x


























































Example #4
 Find the state space model for a system that described by the following
differential equation
 Solution:
 The system is 3rd order, then it has three states as follows
 The output equation is
r
c
c
c
c 24
24
26
9 


 





c
x 
1
c
x 

2
c
x 


3
2
1 x
x 

3
2 x
x 

r
x
x
x
x 24
9
26
24 3
2
1
3 





1
x
c
y 

differentiation
Example #4
 











3
2
1
0
0
1
x
x
x
y
r
x
x
x
x
x
x













































24
0
0
9
26
24
1
0
0
0
1
0
3
2
1
3
2
1



State-Space Representations of
Transfer Function Systems
21
State-Space Representation in Canonical Forms
 We here consider a system defined by
 where u is the control input and y is the output. We can write this
equation as
 we shall present state-space representation of the system defined by
(1) and (2) in controllable canonical form, observable canonical form,
and diagonal canonical form.
22
Controllable Canonical Form
 We consider the following state-space representation, being called a
controllable canonical form, as
 Note that the controllable canonical form is important in discussing the
pole-placement approach to the control system design.
23
Observable Canonical Form
 We consider the following state-space representation, being called an
observable canonical form, as
24
Diagonal Canonical Form
 Diagonal Canonical Form greatly simplifies the task of computing the
analytical solution to the response to initial conditions.
 We here consider the transfer function system given by (2). We have the
case where the dominator polynomial involves only distinct roots. For
the distinct root case, we can write (2) in the form of
25
Diagonal Canonical Form (Cont.)
 The diagonal canonical form of the state-space representation of this
system is given by
26
Example #5
 Obtain the state-space representation of the transfer function system
(16) in the controllable canonical form.
 Solution: From the transfer function (16), we obtain the following
parameters: b0 = 1, b1 = 3, b2 = 3, a1 = 2, and a2 = 1. The resulting
state-space model in controllable canonical form is obtained as
27
Example #6
 Find the state-space representation of the following transfer function
system (13) in the diagonal canonical form.
 Solution: Partial fraction expansion of (13) is
 Hence, we get A = −1 and B = 3. We now have two distinct poles. For
this, we can write the transfer function (13) in the following form:
28
State Space model to Transfer
Function
29
 The state space model
 by Laplace transform
 Then, the transfer function is
     
s
BU
s
AX
s
sX 

     
s
DU
s
CX
s
Y 

     
s
BU
A
sI
s
X
1



Bu
Ax
x 


Du
Cx
y 

   
   
s
U
D
B
A
sI
C
s
Y 


1
   
 
  D
B
A
sI
C
s
U
s
Y
s
T 



1
State Space model to Transfer Function
Example (2)
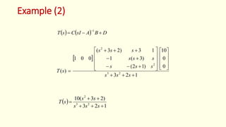
 Find the transfer function from the following transfer function
 Solution:
u
x
x

























0
0
10
3
2
1
1
0
0
0
1
0
  x
y 0
0
1

 















3
2
1
1
0
0
1
s
s
s
A
sI
 
)
det(
)
(
1
A
sI
A
sI
adj
A
sI





1
2
3
)
1
2
(
)
3
(
1
1
3
)
2
3
(
2
3
2
2






















s
s
s
s
s
s
s
s
s
s
s
s
Example (2)
    D
B
A
sI
C
s
T 


1
 
1
2
3
)
2
3
(
10
2
3
2






s
s
s
s
s
s
T
 
1
2
3
0
0
10
)
1
2
(
)
3
(
1
1
3
)
2
3
(
0
0
1
)
( 2
3
2
2
































s
s
s
s
s
s
s
s
s
s
s
s
s
T
System Poles from State Space model
 poles and check the stability of the following state space Example find the
System model
 Solution:
 Since
 To find the poles 
 Then the poles are {-1, -2 }, the system is stable
u
x
x 















0
5
3
1
2
0
  x
y 0
1

0
2
)
3
(
3
1
2







 s
s
s
s
A
sI
  









3
1
2
s
s
A
sI
State-Space Modeling with
MATLAB
34
State-Space Modeling with MATLAB
 MATLAB uses the controllable canonical form by default when converting from
a state space model to a transfer function. Referring to the first example
problem, we use MATLAB to create a transfer function model and then convert
it to find the state space model matrices:
35
State-Space Modeling with MATLAB
 Note that this does not match the result we obtained in the first example. See
below for further explanation. No we create an LTI state space model of the
system using the matrices found above:
36
State-Space Modeling with MATLAB
 we can generate the observable and controllable models as follows:
37
State transition matrix
38
Introduction
 The behavior of x(t) and y(t):
1) Homogeneous solution of x(t).
2) Non-homogeneous solution of x(t).
39
)
(
)
(
)
(
)
(
)
(
)
(
t
Du
t
Cx
t
y
t
Bu
t
Ax
t
x
dt
d




Homogeneous solution
 State transition matrix
40
)
0
(
)
(
)
(
)
(
)
0
(
)
(
)
(
)
(
1
x
A
sI
s
X
s
AX
x
s
sX
t
Ax
t
x







)
0
(
)
0
(
]
)
[(
)
( 1
1
x
e
x
A
sI
L
t
x
At


 

]
)
[(
)
( 1
1 





 A
sI
L
e
t At
)
(
)
(
)
(
)
(
)
(
)
(
)
0
(
)
0
(
)
(
0
0
0
)
(
0
0
0
0
0
0
0
t
x
t
t
t
x
e
t
x
e
e
t
x
t
x
e
x
x
e
t
x
t
t
A
At
At
At
At










State Transition Matrix Properties
41
)
(
)
(
.
5
)
(
)
(
)
(
.
4
)
(
)
(
)
0
(
.
3
)
(
)
(
.
2
)
0
(
.
1
0
2
0
1
1
2
1
kt
t
t
t
t
t
t
t
t
x
t
x
t
t
I
k




















]
)
[(
)
( 1
1 





 A
sI
L
e
t At
Non-homogeneous solution
42
)
(
)
(
)
(
)
(
)
(
)
(
t
Du
t
Cx
t
y
t
Bu
t
Ax
t
x
dt
d




 
























t
d
Bu
t
x
t
t
x
s
BU
A
sI
L
x
A
sI
L
t
x
s
BU
A
sI
x
A
sI
s
X
s
BU
x
s
X
A
sI
s
BU
s
AX
x
s
sX
0
1
1
1
1
1
1
)
(
)
(
)
0
(
)
(
)
(
)]
(
)
[(
)
0
(
]
)
[(
)
(
)
(
)
(
)
0
(
)
(
)
(
)
(
)
0
(
)
(
)
(
)
(
)
(
)
0
(
)
(


 Convolution
Homogeneous
Non-homogeneous solution (Cont.)
43
)
(
)
(
)
(
)
(
)
(
)
(
)
(
)
(
)
(
)
(
)
(
)
(
)
(
)
0
(
)
(
)
(
0
0
0
0
0
0
0
t
Du
d
Bu
t
C
t
x
t
t
C
t
y
d
Bu
t
t
x
t
t
t
x
d
Bu
t
x
t
t
x
t
t
t
t
t






























Zero-input response Zero-state response
Example 1
44
 T
x
let
t
u
x
x
x
x
0
0
)
0
(
)
(
1
0
3
2
1
0
2
1
2
1















































 









t
t
t
t
t
t
t
At
e
e
e
e
e
e
e
e
e
A
sI
L
t 2
2
2
1
2
1
1
2
2
2
2
]
)
[(
)
(
 




t
d
Bu
t
x
t
t
x
0
)
(
)
(
)
0
(
)
(
)
( 
























t
t
t
t
e
e
e
e
x
x
2
2
2
1
2
1
2
1
Ans: )]
(
)
[( 1
1
s
BU
A
sI
L 


step
unit
t
u 
)
(
How to find State transition matrix
45
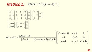
Methode 1: ]
)
[(
)
( 1
1 



 A
sI
L
t
Methode 3: Cayley-Hamilton Theorem
Methode 2:
At
e
t 
 )
(
]
)
[(
)
( 1
1 





 A
sI
L
e
t At
Method 1:
46
]
)
[(
)
( 1
1 



 A
sI
L
t











































































3
2
1
2
1
2
1
3
2
1
3
2
1
1
0
0
0
0
1
)
(
)
(
1
0
0
1
0
0
2
1
1
3
4
0
0
1
0
x
x
x
t
y
t
y
u
u
x
x
x
x
x
x






























 
s
s
s
s
s
s
s
s
s
s
s
s
s
A
sI
A
sI
adj
A
sI
4
1
4
3
2
3
3
2
11
6
3
3
)
2
)(
4
(
1
)
(
)
(
2
2
2
1
Method 2:
47
At
e
t 
 )
(
 





































































3
2
1
2
1
2
1
3
2
1
3
2
1
1
6
6
)
(
)
(
1
1
1
3
0
0
0
2
0
0
0
1
x
x
x
t
y
t
y
u
u
x
x
x
x
x
x



















t
t
t
At
e
e
e
e
t
3
2
0
0
0
0
0
0
)
(
diagonal matrix
linear system by Meiling CHEN 48
Diagonization
linear system by Meiling CHEN 49
Diagonization
50
Case 1: distinct
i 

)
1
)(
3
(
4
3
1
4
3
1
0













 



A
1
3
2
1








































3
1
0
4
3
3
1
3
)
(
2
1
2
1
1
1
v
v
v
v
V
A
I




























 



1
1
0
3
3
1
1
)
(
2
1
2
1
2
2
v
v
v
v
V
A
I

depend
  


















 
1
0
0
3
1
3
1
1 1
2
1 AP
P
V
V
P
51
n



 


 3
2
1
In the case of A matrix is phase-variable form and
 
















 1
1
2
1
1
2
1
2
1
1
1
1
n
n
n
n
n
n
v
v
v
P









Vandermonde matrix
for phase-variable form
















4
3
2
1
1




AP
P
1


 P
Pe
e t
At
52
Case 2: distinct
i 

)
2
)(
1
)(
1
(
2
0
0
0
1
0
1
0
1
2
0
0
0
1
0
1
0
1


















 
 





 A
I
A
0
1
0
0
0
0
0
1
0
0
)
(
3
2
1
1
1 























v
v
v
V
A
I

2
1 
 
depend


















































0
1
0
0
0
0
0
0
1
0
0
0
3
2
1
3
2
1
3
2
1
3
2
1
v
v
v
v
v
v
v
v
v
v
v
v
2
1 V
V 
53
0
0
0
0
0
1
0
1
0
1
)
(
3
2
1
3
3 






















v
v
v
V
A
I

2
3 


























1
0
1
0
0
3
2
1
3
2
1
v
v
v
v
v
v
 





















 

 
2
0
0
0
1
0
0
0
1
1
0
0
0
1
0
1
0
1
1
3
2
1 AP
P
V
V
V
P
54
Case 3: distinct
i 
 Jordan form
3
2
1 

 

  form
Jordan
AP
P
v
v
v
P 

 1
3
2
1
Generalized eigenvectors
2
3
1
1
2
1
1
1
)
(
)
(
0
)
(
v
v
A
I
v
v
A
I
v
A
I
























1
1
1
1
1
1
ˆ



A
AP
P











t
t
t
t
t
t
t
t
A
e
te
e
e
te
e
e
1
1
1
1
2
1
1
2
ˆ






55
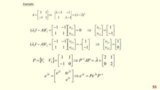
Example:
2
)
2
(
1
1
1
3
1
1
1
3













 


A



























 



1
1
0
1
1
1
1
)
(
12
11
12
11
1
1
v
v
v
v
V
A
I



































 



0
1
1
1
1
1
1
1
)
(
22
21
22
21
2
1
v
v
v
v
V
A
I

  
















 
2
0
1
2
ˆ
0
1
1
1 1
2
1 A
AP
P
V
V
P
1
ˆ
2
2
2
ˆ 








 P
Pe
e
e
te
e
e t
A
At
t
t
t
t
A
56
Method 3:
57
A
a
A
a
I
a
A
a
A
a
a
A
a
A
a
A
a
A
I
a
A
a
A
a
A
I
a
A
a
A
a
A
n
n
n
n
n
n
n
n
n
n
n
n
0
2
1
0
1
1
1
1
0
2
1
1
1
0
1
1
1
0
1
1
1
)
(
0






































 




 n
n A
k
A
k
A
k
I
k
A
f 2
2
1
0
)
(
any











1
0
1
1
2
2
1
0
)
(
n
k
k
k
n
n
A
A
A
A
I
A
f




 
58








1
0
2
1
?
100
A
A
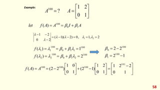
Example:
A
I
A
A
f
let 1
0
100
)
( 
 


2
,
1
,
0
)
2
)(
1
(
2
0
2
1
2
1 














100
2
1
0
100
2
2
100
1
1
0
100
1
1
2
)
(
1
)
(


















f
f
1
2
2
2
100
1
100
0











 


















1
0
2
2
1
1
0
2
1
)
1
2
(
1
0
0
1
)
2
2
(
)
(
101
100
100
100
A
A
f
59





 



0
2
1
3
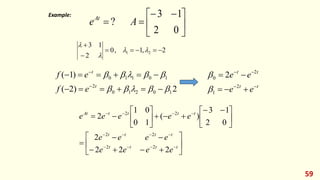
? A
eAt
Example:
2
,
1
,
0
2
1
3
2
1 










2
)
2
(
)
1
(
1
0
2
1
0
2
1
0
1
1
0
























t
t
e
f
e
f
t
t
t
t
e
e
e
e









2
1
2
0 2




















 
























t
t
t
t
t
t
t
t
t
t
t
t
At
e
e
e
e
e
e
e
e
e
e
e
e
e
2
2
2
2
0
2
1
3
)
(
1
0
0
1
2
2
2
2
2
2
2
60
61
62
linear system by Meiling CHEN 63
linear system by Meiling CHEN 64
linear system by Meiling CHEN 65
Controllability and Observability
66
Introduction
 The main objective of using state-space equations to model systems is
the design of suitable compensation schemes to control these systems.
 Typically, the control signal u(t) is a function of several measurable
state variables. Thus, a state variable controller, that operates on the
measurable information is developed.
 State variable controller design is typically comprised of three steps:
 Assume that all the state variables are measurable and use them to design a
full-state feedback control law. In practice, only certain states or
combination of them can be measured and provided as system outputs.
 An observer is constructed to estimate the states that are not directly
sensed and available as outputs. Reduced-order observers take advantage of
the fact that certain states are already available as outputs and they don’t
need to be estimated.
 Appropriately connecting the observer to the full-state feedback control law
yields a state-variable controller, or compensator. 67
Introduction
 a given transfer function G(s) can be realized using infinitely many
state-space models
 certain properties make some realizations preferable to others
 one such property is controllability
68
Motivation1: Controllability
69
  


































2
1
2
1
2
1
0
1
)
(
0
1
1
0
1
2
x
x
y
t
u
x
x
x
x


1

s 1

s 1
1
 2

u y
1
x
2
x
s
x )
0
(
2
s
x )
0
(
1
1 1
x

2
x

1
controllable
uncontrollable
Controllability and Observability
 Plant:
 Definition of Controllability
70
Du
Cx
y
R
x
Bu
Ax
x n




 ,

A system is said to be (state) controllable at time , if
there exists a finite such for any and any ,
there exist an input that will transfer the state
to the state at time , otherwise the system is said to
be uncontrollable at time .
0
t
0
1 t
t  )
( 0
t
x 1
x
]
[ 1
,
0 t
t
u )
( 0
t
x
1
x 1
t
0
t
Controllability Matrix
 Consider a single-input system (u ∈ R):
 The Controllability Matrix is defined as
 We say that the above system is controllable if its controllability matrix
𝐶(𝐴, 𝐵) is invertible.
 As we will see later, if the system is controllable, then we may assign
arbitrary closed-loop poles by state feedback of the form 𝑢 = −𝐾𝑥.
 Whether or not the system is controllable depends on its state-space
realization.
71
 
 
B
A
B
A
AB
B
B
A
C
n
C
rank
B
A
n 1
2
)
,
(
,
)
(
le
Controllab
,





Example: Computing 𝐶(𝐴, 𝐵)
 Let’s get back to our old friend:
 Here,
 Is this system controllable?
72
Controllability Matrix
73
1
1
)
(s
U
)
(s
Y
1

-1
s
3

-1
s
2
Example: An Uncontrollable System
 x
y
u
x
x
2
1
0
1
3
0
0
1


















1
x
2
x
※ State is uncontrollable.
2
x
0
)
det( 
 U
 
B
A
B
A
AB
B
U n 1
2
Matrix
ility
Controllab 
 
R
u
if
Proof of controllability matrix
74
 



































































)
1
(
)
2
(
1
)
1
(
)
2
(
1
2
1
)
1
(
)
2
(
1
2
1
1
2
1
2
1
1
2
1
)
(
n
k
n
k
k
n
k
n
n
k
n
k
n
k
k
n
k
n
k
n
n
k
n
k
n
k
k
n
k
n
k
n
n
k
k
k
k
k
k
k
k
k
k
k
k
k
k
u
u
u
B
AB
B
A
x
A
x
Bu
ABu
Bu
A
Bu
A
x
A
x
Bu
ABu
Bu
A
Bu
A
x
A
x
Bu
ABu
x
A
Bu
Bu
Ax
A
x
Bu
Ax
x
Bu
Ax
x




Initial condition
Motivation2: Observability
75
  


































2
1
2
1
2
1
0
1
)
(
1
3
1
0
0
2
x
x
y
t
u
x
x
x
x


1

s 1

s 1
1
 2

u y
1
x
2
x
s
x )
0
(
2
s
x )
0
(
1
1 1
x

2
x

3
observable
unobservable
Controllability and Observability
 Plant:
 Definition of Observability
76
Du
Cx
y
R
x
Bu
Ax
x n




 ,

A system is said to be (completely state) observable at
time , if there exists a finite such that for any
at time , the knowledge of the input and the
output over the time interval suffices to
determine the state , otherwise the system is said to be
unobservable at .
0
t 0
1 t
t  )
( 0
t
x
]
[ 1
,
0 t
t
u
]
,
[ 1
0 t
t
0
x
0
t
0
t
]
[ 1
,
0 t
t
y
Observability Matrix
77
Example: An Unobservable System
 x
y
u
x
x
4
0
1
0
2
0
1
0

















※ State is unobservable.
1
x
1
)
(s
U -1
s
-1
s 1
x
2
x
2

4
)
(s
Y
  n
V
rank
C
A 
 )
(
Observable
, 0
)
det( 
 V

















1
2
Matrix
ity
Observabil
n
CA
CA
CA
C
V

R
y 
if
Proof of observability matrix
78
 
 
)
1
(
)
2
(
)
3
(
1
1
1
)
1
(
)
2
(
1
3
2
1
1
1
1
1
1
1
1
1
)
(
),
2
(
),
1
(
)
(
)
2
(
)
(
)
1
(































































n
k
n
k
n
k
k
k
k
k
k
k
n
n
k
n
k
k
n
k
n
k
n
n
k
k
k
k
k
k
k
k
k
k
k
k
k
k
k
k
k
Du
CBu
CABu
Du
CBu
y
Du
y
x
CA
CA
C
n
n
Du
CBu
Bu
CA
Bu
CA
x
CA
y
Du
CBu
CAx
Du
Bu
Ax
C
y
Du
Cx
y
Du
Cx
y
Bu
Ax
x








Inputs & outputs
Example
 Plant:
 Hence the system is both controllable and observable.
79
 
1
0
,
1
0
,
0
1
1
0














 C
B
A
Du
Cx
y
R
x
Bu
Ax
x n




 ,

 






















0
1
1
0
Matrix
ty
Obervabili
0
1
1
0
Matrix
ility
Controllab
CA
C
N
AB
B
V
2
)
(
)
( 
 N
rank
V
rank
Controllability and Observability
80
Theorem I
)
(
)
(
)
( t
u
B
t
x
A
t
x c
c
c
c 


Controllable canonical form Controllable
Theorem II
)
(
)
(
)
(
)
(
)
(
t
x
C
t
y
t
u
B
t
x
A
t
x
o
o
o
o
o
o




Observable canonical form Observable
 A system in Controller Canonical Form (CCF) is always controllable!!
 A system in Observable Canonical Form (OCF) is always controllable!!
Example
81
  c
c
c
x
y
u
x
x
1
2
1
0
3
2
1
0


















Controllable canonical form
 

























1
2
1
2
3
1
1
0
CA
C
V
AB
B
U
n
V
rank
n
U
rank




1
]
[
2
]
[
  o
o
o
x
y
u
x
x
1
0
1
2
3
1
2
0


















Observable canonical form
 

























3
1
1
0
1
1
2
2
CA
C
V
AB
B
U
n
V
rank
n
U
rank




2
]
[
1
]
[
)
2
)(
1
(
2
)
(




s
s
s
s
T
Linear system (Analysis)
82
Theorem III
)
(
)
(
)
(
)
(
)
(
)
(
t
Du
t
Cx
t
y
t
Bu
t
Jx
t
x





Jordan form
 
3
2
1
3
2
1
3
2
1
C
C
C
C
B
B
B
B
J
J
J
J























Jordan block
Least row
has no zero
row
First column has no zero column
Example
83
 x
c
c
y
u
b
b
x
x
3
1
1
0
0
0
2
0
0
1
2
12
11
12
11
























If 0
12 
b uncontrollable
If 0
11 
c unobservable
84
x
y
u
x
x





























































2
1
0
2
0
3
1
0
2
2
0
0
2
0
1
1
0
1
2
1
1
1
0
0
0
1
0
2
1
1
1
0
0
0
1
0
0
0
1
0
0
0
1
1
1
2
2
2
1
1
1
1








11
b
12
b
13
b
21
b
11
C 12
C 13
C 21
C
85
   
    .
.
.
.
.
.
.
.
21
13
12
11
21
13
12
11
I
L
C
I
L
C
C
C
I
L
b
I
L
b
b
b

 controllable
observable
In the previous example
   
    .
.
.
.
.
.
.
.
21
13
12
11
21
13
12
11
D
L
C
I
L
C
C
C
I
L
b
I
L
b
b
b

 controllable
unobservable
86









 












































0
0
1
0
0
1
0
0
2
1
1
3
1
1
1
1
1
1
1
2
2
0
1
0
0
1
1
0
0
1
1
2
3
1
1
1
1
1
2
1
1
2
1
1
1
1
2
2
2
1
2
y
u
x
x

L.I.
L.I.
L.I. L.D.
Example
Kalman Canonical Decomposition
 Diagonalization: &
 All the Eigenvalues of A are distinct, i.e.
 There exists a coordinate transform such that
 System in z-coordinate becomes
 Homogeneous solution of the above state equation is
87
Bu
Ax
x 

 Du
Cx
y 

n



 


 3
2
1
Tx
z 
.
0
0
where
1
1











 
n
m
m A
AT
T
A



z
C
y
u
B
z
A
z
m
m
m




)
0
(
)
0
(
)
( 1
1
1
n
t
n
t
z
e
v
z
e
v
t
z n




 
 
mn
m
m
mn
m
m
c
c
CT
C
b
b
B
T
B


1
1
1













 
observable
and
le
controllab
is
mode
0,
and
0
If i


 mi
mi c
b
How to construct coordinate transformation matrix for diagonalization
 All the Eigenvalues of A are distinct, i.e.
 The coordinate matrix for diagonalization
 Consider diagonalized system
88
]
[ 2
1 n
,v
,
, v
v
T 

t.
independen
are
,
rs,
Eigenvecto 2
1 n
,v
,
, v
v 
n



 


 3
2
1
u
b
z
λ
z
u
b
z
z
u
b
z
z
mn
n
n
n
m
m










2
2
2
2
1
1
1
1


n
mn
m
m z
c
z
c
z
c
y 


 
2
2
1
1
Transfer function is
 H(s) has pole-zero cancellation.
89
n
mn
mn
m
m
n
i i
mi
mi
s
b
c
s
b
c
s
b
c
s
H


 





 


1
1
1
1
)
(
le,
unobservab
or
able
uncontroll
is
mode
0,
or
0
If i


 mi
mi c
b
1

 1
m
c
1
m
b
2

 2
m
c
2
m
b
n

 mn
c
mn
b
∑

)
(t
u
)
(t
y







Kalman Canonical Decomposition
90
)
(t
y
O
C
S

CO
S
O
C
S
O
C
S

)
(t
u
Subsystem
ble
Unobserva
le,
Controllab
:
O
C
S
Subsystem
Observable
able,
Uncontroll
:
O
C
S
Subsystem
Observable
le,
Controllab
:
CO
S
Subsystem
ble
Unobserva
able,
Uncontroll
:
O
C
S
Kalman Canonical Decomposition: State Space Equation
91
 x
C
C
y
u
B
B
x
x
x
x
A
A
A
A
x
x
x
x
O
C
CO
O
C
CO
O
C
O
C
O
C
CO
O
C
O
C
O
C
CO
O
C
O
C
O
C
CO
0
0
0
0
0
0
0
0
0
0
0
0
0
0
0
0























































(5.X)
Example
92
 x
c
c
c
y
u
b
b
b
x
x
3
1
12
11
3
1
12
11
3
0
0
0
2
0
0
0
1
























3
mode
0,
If 13 
b
3
mode
0,
If 13 
c
The same reasoning may be applied to mode 1 and 2.
Plant:
is uncontrollable.
is unobservable.
Pole-zero Cancellation in Transfer Function
 From Sec. 5.2, state equation
 may be transformed to
93
n
mn
mn
m
m
n
i i
mi
mi
s
b
C
s
b
C
s
b
C
s
H


 





 


1
1
1
1
)
(
Hence, the T.F. represents the controllable and observable
parts of the state variable equation.
Bu
Ax
x 


Du
Cx
y 

T.F..
in
vanishes
and
able
uncontroll
is
mode
,
0
If i


mi
b
T.F..
in
vanishes
and
le
unobservab
is
mode
0,
If i


mi
c
Example
 Plant:
 Transfer Function
94
  B
A
sI
C
s
H
s
U
s
Y 1
)
(
)
(
)
( 



  
 
  
 
 
 
4
1
2
2
2
1
0
4
2
1
1
2
4
1
0
2
1
0
4
2
1



































s
s
s
s
s
s
s
s
s
4
,
2 2
1 


 

 x
y
u
x
x
1
0
1
2
2
1
0
4


















T.F..
in
vanishes
"-2"
Mode
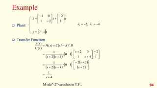
Example 5.6
 Plant:
 Transfer Function
95
u
x
x 














1
2
1
1
6
0

 x
y 1
0

 
3
1
)
(
)
(
)
( 1






s
B
A
sI
C
s
T
s
U
s
Y
T.F..
in
vanishes
"2"
Mode
-3
,
2 2
1 
 

Minimum Realization
 Realization:
 Realize a transfer function via a state space equation.
 Example
 Realization of the T.F.
 Method 1:
 Method 2:
 There is infinity number of realizations for a given T.F. .
96
3
1
)
(


s
s
T
1 1
)
(s
U )
(s
Y
3

1 1
)
(s
U )
(s
Y
-1
s
3

2

-1
s
-1
s
1
3
1
)
(
)
(
)
(



s
s
T
s
U
s
Y
2
2
3
1
)
(
)
(
)
(






s
s
s
s
T
s
U
s
Y
Minimum Realization
 Minimum realization:
 Realize a transfer function via a state space equation with elimination of its
uncontrollable and unobservable parts.
 Example 5.8
 Realization of the T.F.
97
3
5
)
(
)
(
)
(



s
s
T
s
U
s
Y
1 5
)
(s
U )
(s
Y
3

-1
s
3
5
)
(


s
s
T
98

control systems.pdf

  • 1.
  • 2.
    Agenda  State Variablesof a Dynamical System  State Variable Equation  Why State space approach  Derive Transfer Function from State Space Equation  Time Response and State Transition Matrix 2
  • 3.
    Introduction  The classicalcontrol theory and methods (such as root locus) that we have been using in class to date are based on a simple input-output description of the plant, usually expressed as a transfer function. These methods do not use any knowledge of the interior structure of the plant, and limit us to single-input single-output (SISO) systems, and as we have seen allows only limited control of the closed-loop behavior when feedback control is used.  Modern control theory solves many of the limitations by using a much “richer” description of the plant dynamics. The so-called state-space description provide the dynamics as a set of coupled first-order differential equations in a set of internal variables known as state variables, together with a set of algebraic equations that combine the state variables into physical output variables. 3
  • 4.
    Definition of SystemState  State: The state of a dynamic system is the smallest set of variables (𝒙𝟏, 𝒙𝟐, … … , 𝒙𝒏) (called State Variables or State Vector) such that knowledge of these variables at 𝑡 = 𝑡0, together with knowledge of the input for 𝑡 ≥ 𝑡0 , completely determines the behavior of the system for any time t to t0 .  The number of state variables to completely define the dynamics of the system is equal to the number of integrators involved in the system (System Order).  Assume that a multiple-input, multiple-output system involves n integrators (State Variables).  Assume also that there are r inputs u1(t), u2(t),……. ur(t) and p outputs y1(t), y2(t), …….. yp(t). 4 Inner state variables n x x x  , , 2 1   ) ( 1 t u ) ( 2 t u ) (t ur ) ( 1 t y ) ( 2 t y ) (t yp
  • 5.
    General State Representation State equation:  Output equation:  𝑥 = 𝑆𝑡𝑎𝑡𝑒 𝑉𝑒𝑐𝑡𝑜𝑟  𝑥 = 𝑑 𝑥(𝑡) 𝑡 = 𝐷𝑒𝑟𝑖𝑣𝑎𝑡𝑖𝑣𝑒 𝑜𝑓 𝑡ℎ𝑒 𝑆𝑡𝑎𝑡𝑒 𝑉𝑒𝑐𝑡𝑜𝑟  𝑢 = 𝐼𝑛𝑝𝑢𝑡 𝑉𝑒𝑐𝑡𝑜𝑟  𝑦 = 𝑂𝑢𝑡𝑝𝑢𝑡 𝑉𝑒𝑐𝑡𝑜𝑟  𝐴 = 𝑆𝑡𝑎𝑡𝑒 𝑀𝑎𝑡𝑟𝑖𝑥 = 𝑆𝑦𝑠𝑡𝑒𝑚 𝑀𝑎𝑡𝑟𝑖𝑥  𝐵 = 𝐼𝑛𝑝𝑢𝑡 𝑀𝑎𝑡𝑟𝑖𝑥  𝐶 = 𝑂𝑢𝑡𝑝𝑢𝑡 𝑀𝑎𝑡𝑟𝑖𝑥  𝐷 = 𝐹𝑒𝑒𝑑𝑏𝑎𝑐𝑘 𝑚𝑎𝑡𝑟𝑖𝑥 ) ( ) ( ) ( t u B t x A t x    ) ( ) ( ) ( t u D t x C t y   Dynamic equations
  • 6.
    State-Space Equations (Model) State equation:  Output equation: 6 ) ( ) ( ) ( t u B t x A t x    ) ( ) ( ) ( t u D t x C t y   Dynamic equations 1 2 1 ) ( ) ( ) ( ) (               n n t x t x t x t x  1 2 1 ) ( ) ( ) ( ) (               r r t u t u t u t u  1 2 1 ) ( ) ( ) ( ) (                 p p t y t y t y t y  State Vector State variable Input Vector Output Vector             n n A             r n B             n p C 1 2 1 ) 0 ( ) 0 ( ) 0 ( ) 0 (               n n x x x x              r p D
  • 7.
    Block Diagram RepresentationOf State Space Model 7 C A D B s 1 + + + - ) (t u ) (t y ) (t x ) (t x 
  • 8.
    Input/Output Models vsState-Space Models  State Space Models:  consider the internal behavior of a system  can easily incorporate complicated output variables  have significant computation advantage for computer simulation  can represent multi-input multi-output (MIMO) systems and nonlinear systems  Input/Output Models:  are conceptually simple  are easily converted to frequency domain transfer functions that are more intuitive to practicing engineers  are difficult to solve in the time domain (solution: Laplace transformation) 8
  • 9.
    Some definitions  Systemvariable: any variable that responds to an input or initial conditions in a system  State variables: the smallest set of linearly independent system variables such that the values of the members of the set at time t0 along with known forcing functions completely determine the value of all system variables for all t ≥ t0  State vector: a vector whose elements are the state variables  State space: the n-dimensional space whose axes are the state variables  State equations: a set of first-order differential equations with b variables, where the n variables to be solved are the state variables  Output equation: the algebraic equation that expresses the output variables of a system as linear combination of the state variables and the inputs.
  • 10.
    General State Representation 1.Select a particular subset of all possible system variables, and call state variables. 2. For nth-order, write n simultaneous, first-order differential equations in terms of the state variables (state equations). 3. If we know the initial condition of all of the state variables at 𝑡0 as well as the system input for 𝑡 ≥ 𝑡0, we can solve the equations
  • 11.
    State-Space Representation ofnth-Order Systems of Linear Differential Equations  Consider the following nth-order system: 𝒚 (𝒏) + 𝒂𝟏 𝒚 (𝒏−𝟏) + … + 𝒂𝒏−𝟏𝒚 + 𝒂𝒏 𝒚 = 𝒖  where y is the system output and u is the input of the System.  The system is nth-order, then it has n-integrators (State Variables)  Let us define n-State variables 11
  • 12.
    State-Space Representation ofnth-Order Systems of Linear Differential Equations (Cont.)  Then the last Equation can be written as 12
  • 13.
    State-Space Representation ofnth-Order Systems of Linear Differential Equations (Cont.)  Then, the stat-space state equation is  where 13
  • 14.
    State-Space Representation ofnth-Order Systems of Linear Differential Equations (Cont.)  Since, the output equation is  Then, the stat-space output Equation is  where 14
  • 15.
    Example #1  Fromthe diagram, the system Equation is 𝑀𝑦 + 𝐵𝑦 + 𝐾𝑦 = 𝑓(𝑡)  This system is of second order. This means that the system involves two integrators (State Variables).  Let us define the state variables 𝑥1 = 𝑦 𝑥2 = 𝑦  Then, we obtain 𝑥1 = 𝑦 = 𝑥2 𝑥2 = 𝑦 = 1 𝑀 −𝐵𝑦 + 𝐾𝑦 − 1 𝑀 𝑓 𝑡 = −𝐵 𝑀 𝑥2 − 𝐾 𝑀 𝑥1 − 1 𝑀 𝑓 𝑡 15 y K M B f(t)
  • 16.
    Example #1 (Cont.) Then, the State Space equation is 𝑥1 𝑥2 = 0 1 −𝐾 𝑀 −𝐵 𝑀 𝑥1 𝑥2 + 0 1 𝑀 𝑓(𝑡)  The output Equation is 𝑦 = 1 0 𝑥1 𝑥2  The System Block diagram is 16
  • 17.
    Example #2 17 L R c ) (t ei ) (t ec + -) (t i + -     t i t e dt t i c dt t di L t Ri 0 ) ( ) ( 1 ) ( ) (    dt t i t x t i t x let ) ( ) ( ) ( ) ( 2 1 ) ( ) ( t i t y                                           2 1 2 1 2 1 0 1 ) ( ) ( 0 1 0 1 1 x x t y t e L x x LC L R x x i   ) ( ) ( ˆ ) ( ) ( ˆ 2 1 t e t x t i t x let c   ) ( ) ( t i t y                                           2 1 2 1 2 1 ˆ ˆ 0 1 ) ( ) ( 0 1 ˆ ˆ 0 1 ˆ ˆ x x t y t e L x x L L R L R x x i   Remark : the choice of states is not unique.
  • 18.
  • 19.
    Example #4  Findthe state space model for a system that described by the following differential equation  Solution:  The system is 3rd order, then it has three states as follows  The output equation is r c c c c 24 24 26 9           c x  1 c x   2 c x    3 2 1 x x   3 2 x x   r x x x x 24 9 26 24 3 2 1 3       1 x c y   differentiation
  • 20.
  • 21.
  • 22.
    State-Space Representation inCanonical Forms  We here consider a system defined by  where u is the control input and y is the output. We can write this equation as  we shall present state-space representation of the system defined by (1) and (2) in controllable canonical form, observable canonical form, and diagonal canonical form. 22
  • 23.
    Controllable Canonical Form We consider the following state-space representation, being called a controllable canonical form, as  Note that the controllable canonical form is important in discussing the pole-placement approach to the control system design. 23
  • 24.
    Observable Canonical Form We consider the following state-space representation, being called an observable canonical form, as 24
  • 25.
    Diagonal Canonical Form Diagonal Canonical Form greatly simplifies the task of computing the analytical solution to the response to initial conditions.  We here consider the transfer function system given by (2). We have the case where the dominator polynomial involves only distinct roots. For the distinct root case, we can write (2) in the form of 25
  • 26.
    Diagonal Canonical Form(Cont.)  The diagonal canonical form of the state-space representation of this system is given by 26
  • 27.
    Example #5  Obtainthe state-space representation of the transfer function system (16) in the controllable canonical form.  Solution: From the transfer function (16), we obtain the following parameters: b0 = 1, b1 = 3, b2 = 3, a1 = 2, and a2 = 1. The resulting state-space model in controllable canonical form is obtained as 27
  • 28.
    Example #6  Findthe state-space representation of the following transfer function system (13) in the diagonal canonical form.  Solution: Partial fraction expansion of (13) is  Hence, we get A = −1 and B = 3. We now have two distinct poles. For this, we can write the transfer function (13) in the following form: 28
  • 29.
    State Space modelto Transfer Function 29
  • 30.
     The statespace model  by Laplace transform  Then, the transfer function is       s BU s AX s sX         s DU s CX s Y         s BU A sI s X 1    Bu Ax x    Du Cx y           s U D B A sI C s Y    1         D B A sI C s U s Y s T     1 State Space model to Transfer Function
  • 31.
    Example (2)  Findthe transfer function from the following transfer function  Solution: u x x                          0 0 10 3 2 1 1 0 0 0 1 0   x y 0 0 1                   3 2 1 1 0 0 1 s s s A sI   ) det( ) ( 1 A sI A sI adj A sI      1 2 3 ) 1 2 ( ) 3 ( 1 1 3 ) 2 3 ( 2 3 2 2                       s s s s s s s s s s s s
  • 32.
    Example (2)    D B A sI C s T    1   1 2 3 ) 2 3 ( 10 2 3 2       s s s s s s T   1 2 3 0 0 10 ) 1 2 ( ) 3 ( 1 1 3 ) 2 3 ( 0 0 1 ) ( 2 3 2 2                                 s s s s s s s s s s s s s T
  • 33.
    System Poles fromState Space model  poles and check the stability of the following state space Example find the System model  Solution:  Since  To find the poles   Then the poles are {-1, -2 }, the system is stable u x x                 0 5 3 1 2 0   x y 0 1  0 2 ) 3 ( 3 1 2         s s s s A sI             3 1 2 s s A sI
  • 34.
  • 35.
    State-Space Modeling withMATLAB  MATLAB uses the controllable canonical form by default when converting from a state space model to a transfer function. Referring to the first example problem, we use MATLAB to create a transfer function model and then convert it to find the state space model matrices: 35
  • 36.
    State-Space Modeling withMATLAB  Note that this does not match the result we obtained in the first example. See below for further explanation. No we create an LTI state space model of the system using the matrices found above: 36
  • 37.
    State-Space Modeling withMATLAB  we can generate the observable and controllable models as follows: 37
  • 38.
  • 39.
    Introduction  The behaviorof x(t) and y(t): 1) Homogeneous solution of x(t). 2) Non-homogeneous solution of x(t). 39 ) ( ) ( ) ( ) ( ) ( ) ( t Du t Cx t y t Bu t Ax t x dt d    
  • 40.
    Homogeneous solution  Statetransition matrix 40 ) 0 ( ) ( ) ( ) ( ) 0 ( ) ( ) ( ) ( 1 x A sI s X s AX x s sX t Ax t x        ) 0 ( ) 0 ( ] ) [( ) ( 1 1 x e x A sI L t x At      ] ) [( ) ( 1 1        A sI L e t At ) ( ) ( ) ( ) ( ) ( ) ( ) 0 ( ) 0 ( ) ( 0 0 0 ) ( 0 0 0 0 0 0 0 t x t t t x e t x e e t x t x e x x e t x t t A At At At At          
  • 41.
    State Transition MatrixProperties 41 ) ( ) ( . 5 ) ( ) ( ) ( . 4 ) ( ) ( ) 0 ( . 3 ) ( ) ( . 2 ) 0 ( . 1 0 2 0 1 1 2 1 kt t t t t t t t t x t x t t I k                     ] ) [( ) ( 1 1        A sI L e t At
  • 42.
  • 43.
  • 44.
    Example 1 44  T x let t u x x x x 0 0 ) 0 ( ) ( 1 0 3 2 1 0 2 1 2 1                                                          t t t t t t t At e e e e e e e e e A sI L t 2 2 2 1 2 1 1 2 2 2 2 ] ) [( ) (       t d Bu t x t t x 0 ) ( ) ( ) 0 ( ) ( ) (                          t t t t e e e e x x 2 2 2 1 2 1 2 1 Ans: )] ( ) [( 1 1 s BU A sI L    step unit t u  ) (
  • 45.
    How to findState transition matrix 45 Methode 1: ] ) [( ) ( 1 1      A sI L t Methode 3: Cayley-Hamilton Theorem Methode 2: At e t   ) ( ] ) [( ) ( 1 1        A sI L e t At
  • 46.
    Method 1: 46 ] ) [( ) ( 1 1     A sI L t                                                                            3 2 1 2 1 2 1 3 2 1 3 2 1 1 0 0 0 0 1 ) ( ) ( 1 0 0 1 0 0 2 1 1 3 4 0 0 1 0 x x x t y t y u u x x x x x x                                 s s s s s s s s s s s s s A sI A sI adj A sI 4 1 4 3 2 3 3 2 11 6 3 3 ) 2 )( 4 ( 1 ) ( ) ( 2 2 2 1
  • 47.
    Method 2: 47 At e t  ) (                                                                        3 2 1 2 1 2 1 3 2 1 3 2 1 1 6 6 ) ( ) ( 1 1 1 3 0 0 0 2 0 0 0 1 x x x t y t y u u x x x x x x                    t t t At e e e e t 3 2 0 0 0 0 0 0 ) ( diagonal matrix
  • 48.
    linear system byMeiling CHEN 48 Diagonization
  • 49.
    linear system byMeiling CHEN 49 Diagonization
  • 50.
    50 Case 1: distinct i  ) 1 )( 3 ( 4 3 1 4 3 1 0                   A 1 3 2 1                                         3 1 0 4 3 3 1 3 ) ( 2 1 2 1 1 1 v v v v V A I                                  1 1 0 3 3 1 1 ) ( 2 1 2 1 2 2 v v v v V A I  depend                        1 0 0 3 1 3 1 1 1 2 1 AP P V V P
  • 51.
    51 n         3 2 1 Inthe case of A matrix is phase-variable form and                    1 1 2 1 1 2 1 2 1 1 1 1 n n n n n n v v v P          Vandermonde matrix for phase-variable form                 4 3 2 1 1     AP P 1    P Pe e t At
  • 52.
    52 Case 2: distinct i  ) 2 )( 1 )( 1 ( 2 0 0 0 1 0 1 0 1 2 0 0 0 1 0 1 0 1                             A I A 0 1 0 0 0 0 0 1 0 0 ) ( 3 2 1 1 1                         v v v V A I  2 1    depend                                                   0 1 0 0 0 0 0 0 1 0 0 0 3 2 1 3 2 1 3 2 1 3 2 1 v v v v v v v v v v v v 2 1 V V 
  • 53.
  • 54.
    54 Case 3: distinct i  Jordan form 3 2 1        form Jordan AP P v v v P    1 3 2 1 Generalized eigenvectors 2 3 1 1 2 1 1 1 ) ( ) ( 0 ) ( v v A I v v A I v A I                         1 1 1 1 1 1 ˆ    A AP P            t t t t t t t t A e te e e te e e 1 1 1 1 2 1 1 2 ˆ      
  • 55.
  • 56.
  • 57.
  • 58.
    58         1 0 2 1 ? 100 A A Example: A I A A f let 1 0 100 ) (     2 , 1 , 0 ) 2 )( 1 ( 2 0 2 1 2 1                100 2 1 0 100 2 2 100 1 1 0 100 1 1 2 ) ( 1 ) (                   f f 1 2 2 2 100 1 100 0                                1 0 2 2 1 1 0 2 1 ) 1 2 ( 1 0 0 1 ) 2 2 ( ) ( 101 100 100 100 A A f
  • 59.
    59           0 2 1 3 ? A eAt Example: 2 , 1 , 0 2 1 3 2 1           2 ) 2 ( ) 1 ( 1 0 2 1 0 2 1 0 1 1 0                         t t e f e f t t t t e e e e          2 1 2 0 2                                               t t t t t t t t t t t t At e e e e e e e e e e e e e 2 2 2 2 0 2 1 3 ) ( 1 0 0 1 2 2 2 2 2 2 2
  • 60.
  • 61.
  • 62.
  • 63.
    linear system byMeiling CHEN 63
  • 64.
    linear system byMeiling CHEN 64
  • 65.
    linear system byMeiling CHEN 65
  • 66.
  • 67.
    Introduction  The mainobjective of using state-space equations to model systems is the design of suitable compensation schemes to control these systems.  Typically, the control signal u(t) is a function of several measurable state variables. Thus, a state variable controller, that operates on the measurable information is developed.  State variable controller design is typically comprised of three steps:  Assume that all the state variables are measurable and use them to design a full-state feedback control law. In practice, only certain states or combination of them can be measured and provided as system outputs.  An observer is constructed to estimate the states that are not directly sensed and available as outputs. Reduced-order observers take advantage of the fact that certain states are already available as outputs and they don’t need to be estimated.  Appropriately connecting the observer to the full-state feedback control law yields a state-variable controller, or compensator. 67
  • 68.
    Introduction  a giventransfer function G(s) can be realized using infinitely many state-space models  certain properties make some realizations preferable to others  one such property is controllability 68
  • 69.
    Motivation1: Controllability 69                                     2 1 2 1 2 1 0 1 ) ( 0 1 1 0 1 2 x x y t u x x x x   1  s 1  s 1 1  2  u y 1 x 2 x s x ) 0 ( 2 s x ) 0 ( 1 1 1 x  2 x  1 controllable uncontrollable
  • 70.
    Controllability and Observability Plant:  Definition of Controllability 70 Du Cx y R x Bu Ax x n      ,  A system is said to be (state) controllable at time , if there exists a finite such for any and any , there exist an input that will transfer the state to the state at time , otherwise the system is said to be uncontrollable at time . 0 t 0 1 t t  ) ( 0 t x 1 x ] [ 1 , 0 t t u ) ( 0 t x 1 x 1 t 0 t
  • 71.
    Controllability Matrix  Considera single-input system (u ∈ R):  The Controllability Matrix is defined as  We say that the above system is controllable if its controllability matrix 𝐶(𝐴, 𝐵) is invertible.  As we will see later, if the system is controllable, then we may assign arbitrary closed-loop poles by state feedback of the form 𝑢 = −𝐾𝑥.  Whether or not the system is controllable depends on its state-space realization. 71     B A B A AB B B A C n C rank B A n 1 2 ) , ( , ) ( le Controllab ,     
  • 72.
    Example: Computing 𝐶(𝐴,𝐵)  Let’s get back to our old friend:  Here,  Is this system controllable? 72
  • 73.
    Controllability Matrix 73 1 1 ) (s U ) (s Y 1  -1 s 3  -1 s 2 Example: AnUncontrollable System  x y u x x 2 1 0 1 3 0 0 1                   1 x 2 x ※ State is uncontrollable. 2 x 0 ) det(   U   B A B A AB B U n 1 2 Matrix ility Controllab    R u if
  • 74.
    Proof of controllabilitymatrix 74                                                                      ) 1 ( ) 2 ( 1 ) 1 ( ) 2 ( 1 2 1 ) 1 ( ) 2 ( 1 2 1 1 2 1 2 1 1 2 1 ) ( n k n k k n k n n k n k n k k n k n k n n k n k n k k n k n k n n k k k k k k k k k k k k k k u u u B AB B A x A x Bu ABu Bu A Bu A x A x Bu ABu Bu A Bu A x A x Bu ABu x A Bu Bu Ax A x Bu Ax x Bu Ax x     Initial condition
  • 75.
    Motivation2: Observability 75                                     2 1 2 1 2 1 0 1 ) ( 1 3 1 0 0 2 x x y t u x x x x   1  s 1  s 1 1  2  u y 1 x 2 x s x ) 0 ( 2 s x ) 0 ( 1 1 1 x  2 x  3 observable unobservable
  • 76.
    Controllability and Observability Plant:  Definition of Observability 76 Du Cx y R x Bu Ax x n      ,  A system is said to be (completely state) observable at time , if there exists a finite such that for any at time , the knowledge of the input and the output over the time interval suffices to determine the state , otherwise the system is said to be unobservable at . 0 t 0 1 t t  ) ( 0 t x ] [ 1 , 0 t t u ] , [ 1 0 t t 0 x 0 t 0 t ] [ 1 , 0 t t y
  • 77.
    Observability Matrix 77 Example: AnUnobservable System  x y u x x 4 0 1 0 2 0 1 0                  ※ State is unobservable. 1 x 1 ) (s U -1 s -1 s 1 x 2 x 2  4 ) (s Y   n V rank C A   ) ( Observable , 0 ) det(   V                  1 2 Matrix ity Observabil n CA CA CA C V  R y  if
  • 78.
    Proof of observabilitymatrix 78     ) 1 ( ) 2 ( ) 3 ( 1 1 1 ) 1 ( ) 2 ( 1 3 2 1 1 1 1 1 1 1 1 1 ) ( ), 2 ( ), 1 ( ) ( ) 2 ( ) ( ) 1 (                                                                n k n k n k k k k k k k n n k n k k n k n k n n k k k k k k k k k k k k k k k k k Du CBu CABu Du CBu y Du y x CA CA C n n Du CBu Bu CA Bu CA x CA y Du CBu CAx Du Bu Ax C y Du Cx y Du Cx y Bu Ax x         Inputs & outputs
  • 79.
    Example  Plant:  Hencethe system is both controllable and observable. 79   1 0 , 1 0 , 0 1 1 0                C B A Du Cx y R x Bu Ax x n      ,                          0 1 1 0 Matrix ty Obervabili 0 1 1 0 Matrix ility Controllab CA C N AB B V 2 ) ( ) (   N rank V rank
  • 80.
    Controllability and Observability 80 TheoremI ) ( ) ( ) ( t u B t x A t x c c c c    Controllable canonical form Controllable Theorem II ) ( ) ( ) ( ) ( ) ( t x C t y t u B t x A t x o o o o o o     Observable canonical form Observable  A system in Controller Canonical Form (CCF) is always controllable!!  A system in Observable Canonical Form (OCF) is always controllable!!
  • 81.
    Example 81   c c c x y u x x 1 2 1 0 3 2 1 0                   Controllablecanonical form                            1 2 1 2 3 1 1 0 CA C V AB B U n V rank n U rank     1 ] [ 2 ] [   o o o x y u x x 1 0 1 2 3 1 2 0                   Observable canonical form                            3 1 1 0 1 1 2 2 CA C V AB B U n V rank n U rank     2 ] [ 1 ] [ ) 2 )( 1 ( 2 ) (     s s s s T
  • 82.
    Linear system (Analysis) 82 TheoremIII ) ( ) ( ) ( ) ( ) ( ) ( t Du t Cx t y t Bu t Jx t x      Jordan form   3 2 1 3 2 1 3 2 1 C C C C B B B B J J J J                        Jordan block Least row has no zero row First column has no zero column
  • 83.
  • 84.
  • 85.
    85        . . . . . . . . 21 13 12 11 21 13 12 11 I L C I L C C C I L b I L b b b   controllable observable In the previous example         . . . . . . . . 21 13 12 11 21 13 12 11 D L C I L C C C I L b I L b b b   controllable unobservable
  • 86.
  • 87.
    Kalman Canonical Decomposition Diagonalization: &  All the Eigenvalues of A are distinct, i.e.  There exists a coordinate transform such that  System in z-coordinate becomes  Homogeneous solution of the above state equation is 87 Bu Ax x    Du Cx y   n         3 2 1 Tx z  . 0 0 where 1 1              n m m A AT T A    z C y u B z A z m m m     ) 0 ( ) 0 ( ) ( 1 1 1 n t n t z e v z e v t z n         mn m m mn m m c c CT C b b B T B   1 1 1                observable and le controllab is mode 0, and 0 If i    mi mi c b
  • 88.
    How to constructcoordinate transformation matrix for diagonalization  All the Eigenvalues of A are distinct, i.e.  The coordinate matrix for diagonalization  Consider diagonalized system 88 ] [ 2 1 n ,v , , v v T   t. independen are , rs, Eigenvecto 2 1 n ,v , , v v  n         3 2 1 u b z λ z u b z z u b z z mn n n n m m           2 2 2 2 1 1 1 1   n mn m m z c z c z c y      2 2 1 1
  • 89.
    Transfer function is H(s) has pole-zero cancellation. 89 n mn mn m m n i i mi mi s b c s b c s b c s H              1 1 1 1 ) ( le, unobservab or able uncontroll is mode 0, or 0 If i    mi mi c b 1   1 m c 1 m b 2   2 m c 2 m b n   mn c mn b ∑  ) (t u ) (t y       
  • 90.
  • 91.
    Kalman Canonical Decomposition:State Space Equation 91  x C C y u B B x x x x A A A A x x x x O C CO O C CO O C O C O C CO O C O C O C CO O C O C O C CO 0 0 0 0 0 0 0 0 0 0 0 0 0 0 0 0                                                        (5.X)
  • 92.
  • 93.
    Pole-zero Cancellation inTransfer Function  From Sec. 5.2, state equation  may be transformed to 93 n mn mn m m n i i mi mi s b C s b C s b C s H              1 1 1 1 ) ( Hence, the T.F. represents the controllable and observable parts of the state variable equation. Bu Ax x    Du Cx y   T.F.. in vanishes and able uncontroll is mode , 0 If i   mi b T.F.. in vanishes and le unobservab is mode 0, If i   mi c
  • 94.
    Example  Plant:  TransferFunction 94   B A sI C s H s U s Y 1 ) ( ) ( ) (                   4 1 2 2 2 1 0 4 2 1 1 2 4 1 0 2 1 0 4 2 1                                    s s s s s s s s s 4 , 2 2 1        x y u x x 1 0 1 2 2 1 0 4                   T.F.. in vanishes "-2" Mode
  • 95.
    Example 5.6  Plant: Transfer Function 95 u x x                1 2 1 1 6 0   x y 1 0    3 1 ) ( ) ( ) ( 1       s B A sI C s T s U s Y T.F.. in vanishes "2" Mode -3 , 2 2 1    
  • 96.
    Minimum Realization  Realization: Realize a transfer function via a state space equation.  Example  Realization of the T.F.  Method 1:  Method 2:  There is infinity number of realizations for a given T.F. . 96 3 1 ) (   s s T 1 1 ) (s U ) (s Y 3  1 1 ) (s U ) (s Y -1 s 3  2  -1 s -1 s 1 3 1 ) ( ) ( ) (    s s T s U s Y 2 2 3 1 ) ( ) ( ) (       s s s s T s U s Y
  • 97.
    Minimum Realization  Minimumrealization:  Realize a transfer function via a state space equation with elimination of its uncontrollable and unobservable parts.  Example 5.8  Realization of the T.F. 97 3 5 ) ( ) ( ) (    s s T s U s Y 1 5 ) (s U ) (s Y 3  -1 s 3 5 ) (   s s T
  • 98.