EC208-SIGNALS AND SYSTEMS
UNIT-II
ANALYSIS OF CONTINUOUS TIME
SIGNALS
CONTENTS
• Fourier Series – Properties
• Trigonometric and Exponential Fourier Series
• Parsavel’s Relation for Periodic Signals
• Fourier Transform – Properties
• Laplace Transform – Properties , R.O.C
• Inverse Laplace Transform
SIGNAL
• Signal is a representation of physical quantity
(Sound, temperature, intensity, Pressure, etc..,) which
varies with respect to time or space or independent or
dependent variable.
• It is single valued function which carries information
by means Amplitude, Frequency and Phase.
• Example: voice signal, video signal, signals on
telephone wires etc.
TYPES OF SIGNAL
1. Continuous Time Signal (CTS) or Analog Signal :
• If the signal values continuously varies with respect to
time then it is called “Continuous Time Signal (CTS) or
Analog Signal”. It contains infinite set of values
2. Discrete Time Signal (DTS):
• If signal contain discrete set of values with respect to
time then it is called “Discrete Time Signal (DTS)”. It
contains finite set of values.
• Sampling process converts Continuous time signal in
to Discrete time signal
CONTINUOUS TIMEAND DISCRETE TIME
SIGNALS
• A signal is said to be continuous when it is defined
for all instants of time
• A signal is said to be discrete when it is defined at
only discrete instants of time
FOURIER SERIES
• To represent any periodic signal x(t), Fourier developed an
expression called Fourier series.
• This is in terms of an infinite sum of sines and cosines or
exponentials. Fourier series uses orthogonality condition.
Fourier Series Representation of Continuous Time Periodic Signals
• A signal is said to be periodic if it satisfies the condition x (t) =x (t +T) or
x (n) =x (n +N).
Where T=fund amenta l time period, ω0=fund amenta l frequenc y =2π/T
• There are two basic periodic signals: x(t)=cosω0t(sinusoidal) &
x(t)=ejω0t(complex exponential)
• These two signals are periodic with period T=2π/ω0
• A set of harmonically related complex exponentials can be
represented as {ϕk(t)}
FOURIER SERIES
• According to orthogonal signal space approximation of a function x
(t) with n, mutually
• orthogonal functionsisgiven by
• Where ak =Fourier coefficient =coefficient of approximation.
• Thissignal x(t) isalso periodic with period T.
• Equation 2 represents Fourier series representation of periodic signal x(t).
• The term k = 0 isconstant.
• The term k = ±1having fundamental frequency ω0 , is called as 1st
harmonics.
• The term k = ±2having fundamental frequency 2ω0 , is called as 2nd
harmonics, and so
• The term k = ±nhaving fundamental frequency nω0, iscalled as nth
harmonics.
Deriving Fourier Coefficient
• We know that,
• Multiply e−jnω0t on both sides. Then
• Consider integral on both sides.
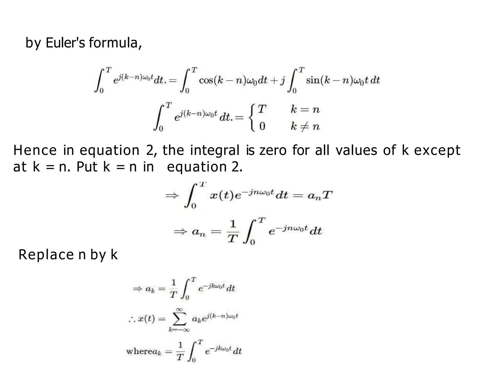
by Euler's formula,
Hence in equation 2, the integral is zero for all values of k except
at k = n. Put k = n in equation 2.
Replace n by k
CT FOURIER SERIES – PROPERTIES
1. Fourier series is self-conjugate,
since 0 (t) = 1 and, for nonzero k
2. Every basis signal has period To ,
the signals 1(t) and 1(t) have fundamental period To ,
the signals 2 (t) and 2 (t) have fundamental period To /2
CT FOURIER SERIES – PROPERTIES
 
       
     
If x X or X and y Y or Y
then the following properties can be proven.
t f j t f j
 
 
F F
Linearity
       
       
x y X Y
x y X Y
t t f f
t t j j
   
     
 
 
 
 
F
F
CT FOURIER SERIES – PROPERTIES
Time Shifting
   
   
0
0
2
0
0
x X
x X
j ft
j t
t t f e
t t j e





 

 

F
F
   
   
0
0
2
0
0
x X
x X
j f t
j t
t e f f
t e


 



 

 
F
F
Frequency Shifting
CT FOURIER SERIES – PROPERTIES
Time Scaling
 
 
1
x X
1
x X
f
at
a a
at j
a a

 

  
 
 

  
 
F
F
Frequency Scaling
 
 
1
x X
1
x X
t
af
a a
t
ja
a a

 


 
 
 


 
 
F
F
Fourier series Properties
• Differentiation and Integration Properties
• Multiplication and Convolution Properties
Fourier series Properties
• Conjugate and Conjugate Symmetry Properties
Parseval’s Theorem
Parseval’s Theorem for energy signals states that the total energy in a signal
can be obtained by the spectrum of the signal as,
   
   
2 2
2 2
x X
1
x X
2
t dt f df
t dt j df


 
 
 
 


 
 
Trigonometric Fourier Series
• sinnω0t and sinmω0t are orthogonal over the interval (t0,t0+2πω0).
• So sinω0t,sin2ω0t forms an orthogonal set.
• This set is not complete without {cosnω0t } because this cosine set is
also orthogonal to sine set. So to complete include both cosine and
sine terms. Now the complete orthogonal set contains all cosine
and sine terms i.e. {sinnω0t,cosnω0t }where n=0, 1, 2...
• The below equation represents trigonometric Fourier series
representation of x(t).
Trigonometric Fourier Series
Exponential Fourier Series
• Consider a set of complex exponential functions,
which is orthogonal over the interval (t0,t0+T).Where T=2π/ω0 .
This is a complete set so it is possible to represent any function f(t) as
shown below
Equation 1 represents exponential Fourier series representation of
a signal f(t) over the interval (t0, t0+T).
Exponential Fourier Series
Relation Between Trigonometric and
Exponential Fourier Series
• Consider a periodic signal x(t), the TFS & EFS
representations are given below respectively
CONTINUOS TIME FOURIER TRANSFORM
• The main drawback of Fourier series is, it is only applicable to periodic
signals.
• There are some naturally produced signals such as nonperiodic or
aperiodic, which cannot be represented using Fourier series.
• To overcome this shortcoming, Fourier developed a mathematical
model to transform signals between time (or spatial) domain to
frequency domain & vice versa, which is called 'Fourier transform'.
• Fourier transform has many applications in physics and engineering
such as analysis of L
TI systems, RADAR, astronomy, signal processing
etc.
Deriving Fourier transform from Fourier series
• Consider a periodic signal f(t) with period T.
• The complex Fourier series representation of f(t) is
given as
In the limit as T→∞,Δf approaches differential df, kΔf becomes a continuous
variable f and summation becomes integration
Fourier transform of a signal
Inverse Fourier Transform is
FOURIER TRANSFORM (FT)
• Transforms a signal (i.e., function) from the
spatial (x) domain to the frequency (u) domain.
where
FOURIER TRANSFORM PAIRS (I)
FOURIER TRANSFORM PAIRS (I)
PROPERTIES OF FOURIER TRANSFORM
LAPLACE TRANSFORM
• It is used to transform a time domain to complex frequency
domain signal (s-domain)
• The Laplace Transform is an integral transformation of a
function f(t) from the time domain into the complex frequency
domain, giving F(s)
• Let f(t) be a continuous time signal defined for all values of t
• Let F(S) be Laplace transform of f(t)
• One sided Laplace transform (or) unilateral Laplace transform
PROPERTIES OF LAPLACE TRANSFORM
Step Function
• The symbol for the step function is K u(t).
• Mathematical definition of the step function:
f(t) = K u(t)
Ku(t) = 0; t<0
Ku(t) = K; t>0
)
(t
f
K
0
t
PROPERTIES OF LAPLACE TRANSFORM
Step Function
• A discontinuity of the step function may occur
at some time other than t=0.
• A step that occurs at t=a is expressed as:
• f(t) = K u(t-a)
Ku(t - a) = 0; t<a
Ku(t - a) = K; t>a
)
(t
f
K
t
a
0
PROPERTIES OF LAPLACE TRANSFORM
Impulse Function
• The symbol for the impulse function is (t).
• The area under the impulse function is constant and
represents the strength of the impulse.
• The impulse is zero everywhere except at t=0.
• An impulse that occurs at t = a is denoted K (t-a)
• Mathematical definition of the impulse function:
0
,
0
)
(
1
)
(
)
(







t
t
t
d
t


Impulse Function
• f(t) = K (t)
)
(t
f
 
K
0
t
 
K
)
(t
K )
( a
t
K 

a
PROPERTIES OF LAPLACE TRANSFORM
Linearity
• If F1(s) and F2(s) are, respectively, the Laplace
Transforms of f1(t) and f2(t)
Scaling
• If F (s) is the Laplace Transforms of f (t), then
  )
(
)
(
)
(
)
( 2
2
1
1
2
2
1
1 s
F
a
s
F
a
t
f
a
t
f
a
L 


  )
(
1
)
(
a
s
F
a
at
f
L 
PROPERTIES OF LAPLACE TRANSFORM
• Time Shift
• If F (s) is the Laplace Transforms of f (t),
then
  )
(
)
(
)
( s
F
e
a
t
u
a
t
f
L as




Conditions for Existence of Laplace Transform
Dirichlet's conditions are used to define the existence of Laplace
transform. i.e.
• The function f has finite number of maxima and minima.
• There must be finite number of discontinuities in the signal f ,in the
given interval of time. It must be absolutely integrable in the given
interval of time. i.e.
INITIALANDFINALVALUETHEOREM:
• If the Laplace transform of an unknown function x(t) is known, then
it is possible to determine the initial and the final values of that
unknown signal i.e. x(t) at t=0+ and t=∞.
• Statement: If x(t) and its 1st derivative is Laplace transformable, then
the initial value of x(t) is given by
DIRICHLET CONDITION
Theorem
If x(t) is periodic with fundamental period To ,
The Dirichlet conditions:
(1) x(t) is a periodic function;
(2) x(t) has only a finite number of finite discontinuities;
(3) x(t) has only a finite number of extrem values, maxima and minima in the
interval [0,2].
Then
(i) limK  (I2K 1)  0 ,
(ii) at each value of t where x(t) is continuous, x(t) 
(iii) at each value of t where x(t) has a discontinuity,
takes the value of the mid-point of the discontinuity.
• The Dirichlet condition is a sufficient condition for a type of convergence of the Fourier
series.
• The nature of convergence of Fourier series results in an important phenomenon called
the Gibbs Effect when a truncated (finite) Fourier series is used as an approximation to
the signal.
INITIALAND FINAL VALUE THEOREMS
• Theorem:
• Proof: Applying the differentiation property:
Theorem)
Value
(Final
)
(
lim
)
x(
Theorem)
Value
(Initial
)
(
lim
)
0
(
0
s
sX
s
sX
x
s
s






)
(
lim
)
(
0
)
0
(
)
(
)
0
(
)
(
)
(
lim
)
0
(
0
)
0
(
)
(
:
two
the
Combining
0
)
0
(
)
(
)
1
(
)
(
0
)
0
(
)
(
)
(
)
(
)
0
(
)
(
)
(
0
0
0
0
s
sX
x
s
x
s
sX
x
x
s
sX
x
s
x
s
sX
s
x
x
dt
dt
t
dx
s
dt
dt
t
dx
dt
e
dt
t
dx
dt
t
dx
x
s
sX
dt
t
dx
s
s
st

























































UL
UL
• The initial value theorem can be extended to higher-order derivatives:
• Allow initial and final conditions to be computed directly from the transform.
)]
0
(
)
(
[
lim
)
( 2
0
sx
s
X
s
dt
t
dx
s
t





Application of the Initial and Final Value Theorems
• Consider a rational transform:
• Initial value:
For example:
• Final Value:
D(s)
of
order
:
N(s)
of
order
:
where
)
(
)
(
)
(
d
n
s
D
s
N
s
X 
1
1
1
0
0
lim
)
(
lim
)
0
(
1





















n
d
n
d
n
d
finite
s
s
s
sX
x d
n
s
s
0
lim
)
0
(
)
1
(
1
)
(
1
lim
)
0
(
1
1
)
(
2
1
2
1
1














s
s
x
s
s
X
s
s
x
s
s
X
s
s
0
s
at
poles
no
)
(
lim
0
)
(
lim
)
x(
0
0










s
X
s
sX
s
s
0
)
1
(
lim
)
(
)
1
(
1
)
(
1
1
lim
)
(
1
1
)
(
2
0
2
0
















s
s
x
s
s
X
s
s
x
s
s
X
s
s
LAPLACE TRANSFORM
Causality and Stability
• For a system to be causal, all poles
of its transfer function must be right half
of s-plane.
• A system is said to be stable, when all poles
of its transfer function lay on the left half
of s- plane.
LAPLACE TRANSFORM
• A system is said to be unstable when
at least one pole of its transfer function
is shifted to the right half of s-plane.
• A system is said to be marginally stable
when at least one pole of its transfer
function lies on the jω axis of s-plane
Region of convergence
• The range variation of σ for which the Laplace transform converges
is called region of convergence.
Properties of ROC of Laplace Transform
• ROC contains strip lines parallel to jω axis in s-plane.
• Ifx(t) is absolutely integral and it is of finite duration, then ROC is entire
s-plane.
• Ifx(t) is a right sided sequence then
ROC :Re{s} >σo.
• Ifx(t) is a left sided sequence then
ROC :Re{s} <σo.
• Ifx(t) is a two sided sequence then
ROC isthe combination of two regions.
INVERSE LAPLACE TRANSFORM
• S-domain signal X(S) Time domain
signal x(t)
• Laplace transform X(s) and Inverse LT x(t) are
called Laplace transform pair
Relation between Laplace and
Fourier transforms
• Laplace transform of x(t)
• Inverse Laplace Transform:

Signals and Systems-Fourier Series and Transform

  • 1.
  • 2.
    CONTENTS • Fourier Series– Properties • Trigonometric and Exponential Fourier Series • Parsavel’s Relation for Periodic Signals • Fourier Transform – Properties • Laplace Transform – Properties , R.O.C • Inverse Laplace Transform
  • 3.
    SIGNAL • Signal isa representation of physical quantity (Sound, temperature, intensity, Pressure, etc..,) which varies with respect to time or space or independent or dependent variable. • It is single valued function which carries information by means Amplitude, Frequency and Phase. • Example: voice signal, video signal, signals on telephone wires etc.
  • 4.
    TYPES OF SIGNAL 1.Continuous Time Signal (CTS) or Analog Signal : • If the signal values continuously varies with respect to time then it is called “Continuous Time Signal (CTS) or Analog Signal”. It contains infinite set of values 2. Discrete Time Signal (DTS): • If signal contain discrete set of values with respect to time then it is called “Discrete Time Signal (DTS)”. It contains finite set of values. • Sampling process converts Continuous time signal in to Discrete time signal
  • 5.
    CONTINUOUS TIMEAND DISCRETETIME SIGNALS • A signal is said to be continuous when it is defined for all instants of time • A signal is said to be discrete when it is defined at only discrete instants of time
  • 6.
    FOURIER SERIES • Torepresent any periodic signal x(t), Fourier developed an expression called Fourier series. • This is in terms of an infinite sum of sines and cosines or exponentials. Fourier series uses orthogonality condition. Fourier Series Representation of Continuous Time Periodic Signals • A signal is said to be periodic if it satisfies the condition x (t) =x (t +T) or x (n) =x (n +N). Where T=fund amenta l time period, ω0=fund amenta l frequenc y =2π/T • There are two basic periodic signals: x(t)=cosω0t(sinusoidal) & x(t)=ejω0t(complex exponential) • These two signals are periodic with period T=2π/ω0 • A set of harmonically related complex exponentials can be represented as {ϕk(t)}
  • 7.
    FOURIER SERIES • Accordingto orthogonal signal space approximation of a function x (t) with n, mutually • orthogonal functionsisgiven by • Where ak =Fourier coefficient =coefficient of approximation. • Thissignal x(t) isalso periodic with period T. • Equation 2 represents Fourier series representation of periodic signal x(t). • The term k = 0 isconstant. • The term k = ±1having fundamental frequency ω0 , is called as 1st harmonics. • The term k = ±2having fundamental frequency 2ω0 , is called as 2nd harmonics, and so • The term k = ±nhaving fundamental frequency nω0, iscalled as nth harmonics.
  • 8.
    Deriving Fourier Coefficient •We know that, • Multiply e−jnω0t on both sides. Then • Consider integral on both sides.
  • 9.
    by Euler's formula, Hencein equation 2, the integral is zero for all values of k except at k = n. Put k = n in equation 2. Replace n by k
  • 10.
    CT FOURIER SERIES– PROPERTIES 1. Fourier series is self-conjugate, since 0 (t) = 1 and, for nonzero k 2. Every basis signal has period To , the signals 1(t) and 1(t) have fundamental period To , the signals 2 (t) and 2 (t) have fundamental period To /2
  • 11.
    CT FOURIER SERIES– PROPERTIES                 If x X or X and y Y or Y then the following properties can be proven. t f j t f j     F F Linearity                 x y X Y x y X Y t t f f t t j j                   F F
  • 12.
    CT FOURIER SERIES– PROPERTIES Time Shifting         0 0 2 0 0 x X x X j ft j t t t f e t t j e            F F         0 0 2 0 0 x X x X j f t j t t e f f t e             F F Frequency Shifting
  • 13.
    CT FOURIER SERIES– PROPERTIES Time Scaling     1 x X 1 x X f at a a at j a a                  F F Frequency Scaling     1 x X 1 x X t af a a t ja a a                  F F
  • 14.
    Fourier series Properties •Differentiation and Integration Properties • Multiplication and Convolution Properties
  • 15.
    Fourier series Properties •Conjugate and Conjugate Symmetry Properties
  • 16.
    Parseval’s Theorem Parseval’s Theoremfor energy signals states that the total energy in a signal can be obtained by the spectrum of the signal as,         2 2 2 2 x X 1 x X 2 t dt f df t dt j df                
  • 17.
    Trigonometric Fourier Series •sinnω0t and sinmω0t are orthogonal over the interval (t0,t0+2πω0). • So sinω0t,sin2ω0t forms an orthogonal set. • This set is not complete without {cosnω0t } because this cosine set is also orthogonal to sine set. So to complete include both cosine and sine terms. Now the complete orthogonal set contains all cosine and sine terms i.e. {sinnω0t,cosnω0t }where n=0, 1, 2... • The below equation represents trigonometric Fourier series representation of x(t).
  • 18.
  • 19.
    Exponential Fourier Series •Consider a set of complex exponential functions, which is orthogonal over the interval (t0,t0+T).Where T=2π/ω0 . This is a complete set so it is possible to represent any function f(t) as shown below Equation 1 represents exponential Fourier series representation of a signal f(t) over the interval (t0, t0+T).
  • 20.
  • 21.
    Relation Between Trigonometricand Exponential Fourier Series • Consider a periodic signal x(t), the TFS & EFS representations are given below respectively
  • 22.
    CONTINUOS TIME FOURIERTRANSFORM • The main drawback of Fourier series is, it is only applicable to periodic signals. • There are some naturally produced signals such as nonperiodic or aperiodic, which cannot be represented using Fourier series. • To overcome this shortcoming, Fourier developed a mathematical model to transform signals between time (or spatial) domain to frequency domain & vice versa, which is called 'Fourier transform'. • Fourier transform has many applications in physics and engineering such as analysis of L TI systems, RADAR, astronomy, signal processing etc.
  • 23.
    Deriving Fourier transformfrom Fourier series • Consider a periodic signal f(t) with period T. • The complex Fourier series representation of f(t) is given as
  • 24.
    In the limitas T→∞,Δf approaches differential df, kΔf becomes a continuous variable f and summation becomes integration Fourier transform of a signal Inverse Fourier Transform is
  • 25.
    FOURIER TRANSFORM (FT) •Transforms a signal (i.e., function) from the spatial (x) domain to the frequency (u) domain. where
  • 26.
  • 27.
  • 28.
  • 29.
    LAPLACE TRANSFORM • Itis used to transform a time domain to complex frequency domain signal (s-domain) • The Laplace Transform is an integral transformation of a function f(t) from the time domain into the complex frequency domain, giving F(s) • Let f(t) be a continuous time signal defined for all values of t • Let F(S) be Laplace transform of f(t) • One sided Laplace transform (or) unilateral Laplace transform
  • 30.
    PROPERTIES OF LAPLACETRANSFORM Step Function • The symbol for the step function is K u(t). • Mathematical definition of the step function: f(t) = K u(t) Ku(t) = 0; t<0 Ku(t) = K; t>0 ) (t f K 0 t
  • 31.
    PROPERTIES OF LAPLACETRANSFORM Step Function • A discontinuity of the step function may occur at some time other than t=0. • A step that occurs at t=a is expressed as: • f(t) = K u(t-a) Ku(t - a) = 0; t<a Ku(t - a) = K; t>a ) (t f K t a 0
  • 32.
    PROPERTIES OF LAPLACETRANSFORM Impulse Function • The symbol for the impulse function is (t). • The area under the impulse function is constant and represents the strength of the impulse. • The impulse is zero everywhere except at t=0. • An impulse that occurs at t = a is denoted K (t-a) • Mathematical definition of the impulse function: 0 , 0 ) ( 1 ) ( ) (        t t t d t  
  • 33.
    Impulse Function • f(t)= K (t) ) (t f   K 0 t   K ) (t K ) ( a t K   a
  • 34.
    PROPERTIES OF LAPLACETRANSFORM Linearity • If F1(s) and F2(s) are, respectively, the Laplace Transforms of f1(t) and f2(t) Scaling • If F (s) is the Laplace Transforms of f (t), then   ) ( ) ( ) ( ) ( 2 2 1 1 2 2 1 1 s F a s F a t f a t f a L      ) ( 1 ) ( a s F a at f L 
  • 35.
    PROPERTIES OF LAPLACETRANSFORM • Time Shift • If F (s) is the Laplace Transforms of f (t), then   ) ( ) ( ) ( s F e a t u a t f L as    
  • 36.
    Conditions for Existenceof Laplace Transform Dirichlet's conditions are used to define the existence of Laplace transform. i.e. • The function f has finite number of maxima and minima. • There must be finite number of discontinuities in the signal f ,in the given interval of time. It must be absolutely integrable in the given interval of time. i.e. INITIALANDFINALVALUETHEOREM: • If the Laplace transform of an unknown function x(t) is known, then it is possible to determine the initial and the final values of that unknown signal i.e. x(t) at t=0+ and t=∞. • Statement: If x(t) and its 1st derivative is Laplace transformable, then the initial value of x(t) is given by
  • 37.
    DIRICHLET CONDITION Theorem If x(t)is periodic with fundamental period To , The Dirichlet conditions: (1) x(t) is a periodic function; (2) x(t) has only a finite number of finite discontinuities; (3) x(t) has only a finite number of extrem values, maxima and minima in the interval [0,2]. Then (i) limK  (I2K 1)  0 , (ii) at each value of t where x(t) is continuous, x(t)  (iii) at each value of t where x(t) has a discontinuity, takes the value of the mid-point of the discontinuity. • The Dirichlet condition is a sufficient condition for a type of convergence of the Fourier series. • The nature of convergence of Fourier series results in an important phenomenon called the Gibbs Effect when a truncated (finite) Fourier series is used as an approximation to the signal.
  • 38.
    INITIALAND FINAL VALUETHEOREMS • Theorem: • Proof: Applying the differentiation property: Theorem) Value (Final ) ( lim ) x( Theorem) Value (Initial ) ( lim ) 0 ( 0 s sX s sX x s s       ) ( lim ) ( 0 ) 0 ( ) ( ) 0 ( ) ( ) ( lim ) 0 ( 0 ) 0 ( ) ( : two the Combining 0 ) 0 ( ) ( ) 1 ( ) ( 0 ) 0 ( ) ( ) ( ) ( ) 0 ( ) ( ) ( 0 0 0 0 s sX x s x s sX x x s sX x s x s sX s x x dt dt t dx s dt dt t dx dt e dt t dx dt t dx x s sX dt t dx s s st                                                          UL UL • The initial value theorem can be extended to higher-order derivatives: • Allow initial and final conditions to be computed directly from the transform. )] 0 ( ) ( [ lim ) ( 2 0 sx s X s dt t dx s t     
  • 39.
    Application of theInitial and Final Value Theorems • Consider a rational transform: • Initial value: For example: • Final Value: D(s) of order : N(s) of order : where ) ( ) ( ) ( d n s D s N s X  1 1 1 0 0 lim ) ( lim ) 0 ( 1                      n d n d n d finite s s s sX x d n s s 0 lim ) 0 ( ) 1 ( 1 ) ( 1 lim ) 0 ( 1 1 ) ( 2 1 2 1 1               s s x s s X s s x s s X s s 0 s at poles no ) ( lim 0 ) ( lim ) x( 0 0           s X s sX s s 0 ) 1 ( lim ) ( ) 1 ( 1 ) ( 1 1 lim ) ( 1 1 ) ( 2 0 2 0                 s s x s s X s s x s s X s s
  • 40.
    LAPLACE TRANSFORM Causality andStability • For a system to be causal, all poles of its transfer function must be right half of s-plane. • A system is said to be stable, when all poles of its transfer function lay on the left half of s- plane.
  • 41.
    LAPLACE TRANSFORM • Asystem is said to be unstable when at least one pole of its transfer function is shifted to the right half of s-plane. • A system is said to be marginally stable when at least one pole of its transfer function lies on the jω axis of s-plane
  • 42.
    Region of convergence •The range variation of σ for which the Laplace transform converges is called region of convergence. Properties of ROC of Laplace Transform • ROC contains strip lines parallel to jω axis in s-plane. • Ifx(t) is absolutely integral and it is of finite duration, then ROC is entire s-plane. • Ifx(t) is a right sided sequence then ROC :Re{s} >σo. • Ifx(t) is a left sided sequence then ROC :Re{s} <σo. • Ifx(t) is a two sided sequence then ROC isthe combination of two regions.
  • 43.
    INVERSE LAPLACE TRANSFORM •S-domain signal X(S) Time domain signal x(t) • Laplace transform X(s) and Inverse LT x(t) are called Laplace transform pair
  • 44.
    Relation between Laplaceand Fourier transforms • Laplace transform of x(t)
  • 45.