Carbanions
|
— C: –
|
The conjugate bases of weak acids,
strong bases, excellent
nucleophiles.
1. Alpha-halogenation of ketones
C
C
H
O
+ X2
OH- or H+
C
C
X
O
+ HX
X2 = Cl2, Br2, I2
-haloketone

H3C
C
CH3
O
+ Br2, NaOH
H3C
C
CH2Br
O
+ NaBr
acetone -bromoacetone

O
+ Cl2, H+
O
Cl
+ HCl
2-chlorocyclohexanone
C CH3
O
+ Br2, NaOH C CH2Br + NaBr
O
-bromoacetophenone

cyclohexanone
acetophenone
Alpha-hydrogens: 1o > 2o > 3o
CH3CH2CH2CCH3
O
2-pentanone
+ Br2, NaOH CH3CH2CH2CCH2Br + NaBr
O
1-bromo-2-pentanone
Hydrogens that are alpha to a carbonyl group are weakly acidic:
H3C
C
CH3
O
H3C
C
CH2
O
+ OH + H2O
R
C
CH2
O
R
C
CH2
O
"enolate" anion
Hydrogens that are alpha to a carbonyl are weakly
acidic due to resonance stabilization of the carbanion.
The enolate anion is a strong base and a good nucleophile
Mechanism for base promoted alpha-bromination of acetone:
H3C
C
CH3
O
H3C
C
CH2
O
+ OH + H2O
RDS
H3C
C
CH2
O
+ Br Br
H3C
C
CH2Br
O
+ Br
1)
2)
Rate = k [acetone] [base]
Mechanism for acid catalyzed halogenation of ketones. Enolization.
H3C
C
CH3
O
H3C
C
CH3
OH
+ H+
H3C
C
CH3
OH
+ :B
H3C
C
CH2
OH
+ H:B
H3C
C
CH2
OH
+ Br Br
H3C
C
CH2Br
OH
+ :Br
H3C
C
CH2Br
OH
H3C
C
CH2Br
O
+ H
“enol”
1)
2)
3)
4)
R
C
CH3
O
Oxidation of "methyl" ketones. Iodoform test.
+ (xs) OI R C
O
O
+ CHI3
NaOH + I2
R
C
CH2I
O
R
C
CHI2
O
R
C
CI3
O
+ OH
R C CI3
O
OH
good
leaving
group
Carbanions. The conjugate bases of weak acids;
strong bases, good nucleophiles.
1. enolate anions
2. organometallic compounds
3. ylides
4. cyanide
5. acetylides
Aldehydes and ketones: nucleophilic addition
Esters and acid chlorides: nucleophilic acyl substitution
Alkyl halides: SN2
C
O
+ YZ C
OY
Z
C
W
O
+ Z C
Z
O
+ W
R X + Z R Z + X
Carbanions as the nucleophiles in the above reactions.
2. Carbanions as the nucleophiles in nucleophilic
addition to aldehydes and ketones:
a) aldol condensation
“crossed” aldol condensation
b) aldol related reactions (see problem 21.18
on page 811)
c) addition of Grignard reagents
d) Wittig reaction
Carbanions as the nucleophiles in nucleophilic addition to
aldehydes and ketones:
c) addition of Grignard reagents
Grignard reagents are examples of organo metallic
carbanions.
C
O
+ RMgX C
OMgX
R
a) Aldol condensation. The reaction of an aldehyde or ketone
with dilute base or acid to form a beta-hydroxycarbonyl product.
CH3CH=O
dil. NaOH
CH3CHCH2CH O
OH
acetaldehyde 3-hydroxybutanal
CH3CCH3
O
dil. NaOH
CH3CCH2CCH3
O
OH
CH3
acetone
4-hydroxy-4-methyl-2-pentanone
CH3CH=O
dil. NaOH
CH3CHCH2CH O
OH
acetaldehyde 3-hydroxybutanal
OH
CH2CH=O CH3CH
+ O CH3CHCH2CH O
O
+ H2O
+ H2O
nucleophilic addition by enolate ion.
H3C
C
CH3
O
OH
H3C
C
CH2
O
H3C
C
CH3
O
H3C
C
O
C
H2
C
O
CH3
CH3
+ H2O
+ H2O
H3C
C
O
C
H2
C
OH
CH3
CH3
dil. NaOH
CH3CH2CH=O + dil. NaOH CH3CH2CHCH2CH2CH
OH
O
CH3CHCH O
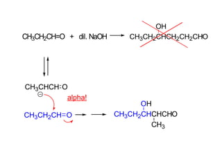
alpha!
CH3CH2CH CH3CH2CHCHCH
OH
CH3
O
O
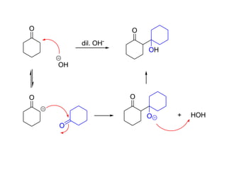
O
dil. OH-
O
OH
OH
O
O
O
O + HOH
dil. H+
O
+ H2O
O
With dilute acid the final product is the α,β-
unsaturated carbonyl compound!
CH2
CH O
phenylacetaldehyde
dil NaOH
CH2 C
H
CH
OH
CH=O
dilute H+
CH2 C
H
C CH=O
note: double bond is conjugated
with the carbonyl group!
+ H2O
NB: An aldehyde without alpha-hydrogens
undergoes the Cannizzaro reaction with conc. base.
CHO
benzaldehyde
conc. NaOH
COO-
CH2OH
+
Crossed aldol condensation:
If you react two aldehydes or ketones together in an
aldol condensation, you will get four products. However, if
one of the reactants doesn’t have any alpha hydrogens it can be
condensed with another compound that does have alpha
hydrogens to give only one organic product in a “crossed”
aldol.
CH3CH2CH + H2C O
O CH3CHCH2 OH
CH O
NaOH
N.B. If the product of the aldol condensation under basic
conditions is a “benzyl” alcohol, then it will spontaneously
dehydrate to the α,β-unsaturated carbonyl.
CH=O + CH3CH2CH2CH=O
dil OH-
CH=CCH=O
CH2
CH3
CHCHCH=O
OH
CH2
CH3
-H2O
A crossed aldol can also be done between an aldehyde and a
ketone to yield one product. The enolate carbanion from the
ketone adds to the more reactive aldehyde.
C CH3
O
acetophenone
+ CH3CH=O
acetaldehyde
dil OH-
CCH2
O
C
H
OH
CH3
b) Aldol related reactions: (see problem 21.18 page 811
of your textbook).
CH=O + CH3NO2
KOH
CH=CHNO2 + H2O
CH2NO2
CH=O + CH2C N
NaOEt
CH=C CN
CHC N
+ H2O
Perkin condensation
CH=O + (CH3CO)2O
CH3COONa
CH=CHCOOH
H2C C
O
O
C
CH3
O
CH
OH
CH2 C
O
O
C
CH3
O
+ H2O
H
C C
H
C
O
O
C
CH3
O
hydrolysis of
anhydride
+ CH3COOH
d) Wittig reaction (synthesis of alkenes)
1975 Nobel Prize in Chemistry to Georg Wittig
C O + Ph3P=C R'
R
ylide
C
O
C R'
R
PPh3
C C
R
R' + Ph3PO
CH2CH=O + Ph3P=CH2 CH2CH=CH2 + Ph3PO
Ph = phenyl
C
O
C R'
R
PPh3
C C
R
R' + Ph3PO
P
Ph
Ph
Ph
C
R
R' C
O
ylide
nuclephilic addition by ylide carbanion, followed by loss of
Ph3PO (triphenylphosphine oxide)
O + Ph3PCHCH=CH2 CHCH CH2 + Ph3PO
3. Carbanions as the nucleophiles in nucleophilic acyl
substitution of esters and acid chlorides.
a) Claisen condensation
a reaction of esters that have alpha-hydrogens in basic
solution to condense into beta-keto esters
CH3COOEt
ethyl acetate
NaOEt
CH3CCH2COOEt
O
+ EtOH
ethyl acetoacetate
CH3COOEt
NaOEt
CH3CCH2COOEt
O
+ EtOH
CH3 C
OEt
O
CH3 C OEt
O
CH2COOEt
nucleophilic acyl substitution by enolate anion
OEt
CH2COOEt
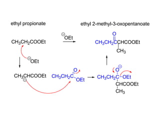
Mechanism for the Claisen condensation:
ethyl propionate
CH3CH2CCHCOOEt
CH3
O
ethyl 2-methyl-3-oxopentanoate
OEt
CH3CH2COOEt
OEt
CH3CHCOOEt CH3CH2C
O
OEt
CH3CH2C
O
OEt
CHCOOEt
CH3
CH2COOEt
NaOEt
CH2C
O
CHCOOEt
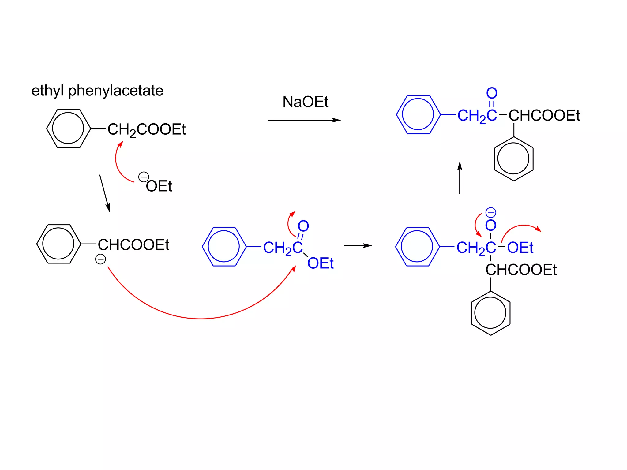
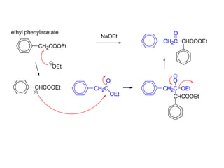
ethyl phenylacetate
CHCOOEt CH2C
O
OEt
CH2C
O
CHCOOEt
OEt
OEt
Crossed Claisen condensation:
COOEt + CH3COOEt
NaOEt
C
O
CH2COOEt
ethyl benzoate
HCOOEt + CH3CH2COOEt
ethyl formate
H C
O
CHCOOEt
CH3
OEt
COOEt
COOEt
CH3CH2COOEt
OC2H5
+ C
O
C
O
OEt
CHCOOEt
CH3
COOEt
COOEt
2 CH3CH2COOEt
NaOC2H5
+ C
O
C
O
CHCOOEt
CH3
CHCOOEt
CH3
ethyl oxalate
EtOCOEt
ethyl carbonate
+
COOEt
CH2
COOEt
ethyl malonate
NaOEt
C CH
O COOEt
COOEt
EtO
CH3CH2COOEt
ethyl propionate
+
O
cyclohexanone
NaOEt
CH3CH2C
O
O
enolate from ketone in nucleophilic acyl substitution on ester
O
b) Coupling of lithium dialkyl cuprate with acid chloride
R C
Cl
O
+ R'2CuLi R C
R'
O
nucleophile = R'
4. Carbanions as nucleophiles in SN2 reactions with R’X:
a) Corey-House synthesis of alkanes
R2CuLi + R’X  R-R’
b) metal acetylide synthesis of alkynes
RCC-M+ + R’X  RCCR’
c) Malonate synthesis of carboxylic acids
d) Acetoacetate synthesis of ketones
5. Michael Addition to α,β-unsaturated carbonyl
compounds
Carbanions are the conjugate bases of weak acids and
are therefore strong bases and excellent nucleophiles
that can react with aldehydes/ketones (nucleophilic
addition), esters/acid chlorides (nucleophilic acyl
substitution), and alkyl halides (SN2), etc.
Reactions involving carbanions as nucleophiles:
1. Alpha-halogenation of ketones
2. Nucleophilic addition to aldehydes/ketones
a) aldol and crossed aldol
b) aldol related reactions
c) Grignard synthesis of alcohols
d) Wittig synthesis of alkenes
3. Nucleophilic acyl substitution with esters and acid
chlorides
a) Claisen and crossed Claisen
b) R2CuLi + RCOCl
(next slide)
4. SN2 with alkyl halides
a) Corey-House
b) metal acetylide
c) Malonate synthesis
d) Acetoacetate synthesis
5. Michael Addition to α,β-unsaturated carbonyl
compounds

CARBANIONS.ppt

  • 1.
    Carbanions | — C: – | Theconjugate bases of weak acids, strong bases, excellent nucleophiles.
  • 2.
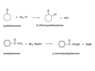
    1. Alpha-halogenation ofketones C C H O + X2 OH- or H+ C C X O + HX X2 = Cl2, Br2, I2 -haloketone  H3C C CH3 O + Br2, NaOH H3C C CH2Br O + NaBr acetone -bromoacetone 
  • 3.
    O + Cl2, H+ O Cl +HCl 2-chlorocyclohexanone C CH3 O + Br2, NaOH C CH2Br + NaBr O -bromoacetophenone  cyclohexanone acetophenone
  • 4.
    Alpha-hydrogens: 1o >2o > 3o CH3CH2CH2CCH3 O 2-pentanone + Br2, NaOH CH3CH2CH2CCH2Br + NaBr O 1-bromo-2-pentanone Hydrogens that are alpha to a carbonyl group are weakly acidic: H3C C CH3 O H3C C CH2 O + OH + H2O
  • 5.
    R C CH2 O R C CH2 O "enolate" anion Hydrogens thatare alpha to a carbonyl are weakly acidic due to resonance stabilization of the carbanion. The enolate anion is a strong base and a good nucleophile
  • 6.
    Mechanism for basepromoted alpha-bromination of acetone: H3C C CH3 O H3C C CH2 O + OH + H2O RDS H3C C CH2 O + Br Br H3C C CH2Br O + Br 1) 2) Rate = k [acetone] [base]
  • 7.
    Mechanism for acidcatalyzed halogenation of ketones. Enolization. H3C C CH3 O H3C C CH3 OH + H+ H3C C CH3 OH + :B H3C C CH2 OH + H:B H3C C CH2 OH + Br Br H3C C CH2Br OH + :Br H3C C CH2Br OH H3C C CH2Br O + H “enol” 1) 2) 3) 4)
  • 8.
    R C CH3 O Oxidation of "methyl"ketones. Iodoform test. + (xs) OI R C O O + CHI3 NaOH + I2 R C CH2I O R C CHI2 O R C CI3 O + OH R C CI3 O OH good leaving group
  • 9.
    Carbanions. The conjugatebases of weak acids; strong bases, good nucleophiles. 1. enolate anions 2. organometallic compounds 3. ylides 4. cyanide 5. acetylides
  • 10.
    Aldehydes and ketones:nucleophilic addition Esters and acid chlorides: nucleophilic acyl substitution Alkyl halides: SN2 C O + YZ C OY Z C W O + Z C Z O + W R X + Z R Z + X Carbanions as the nucleophiles in the above reactions.
  • 11.
    2. Carbanions asthe nucleophiles in nucleophilic addition to aldehydes and ketones: a) aldol condensation “crossed” aldol condensation b) aldol related reactions (see problem 21.18 on page 811) c) addition of Grignard reagents d) Wittig reaction
  • 12.
    Carbanions as thenucleophiles in nucleophilic addition to aldehydes and ketones: c) addition of Grignard reagents Grignard reagents are examples of organo metallic carbanions. C O + RMgX C OMgX R
  • 13.
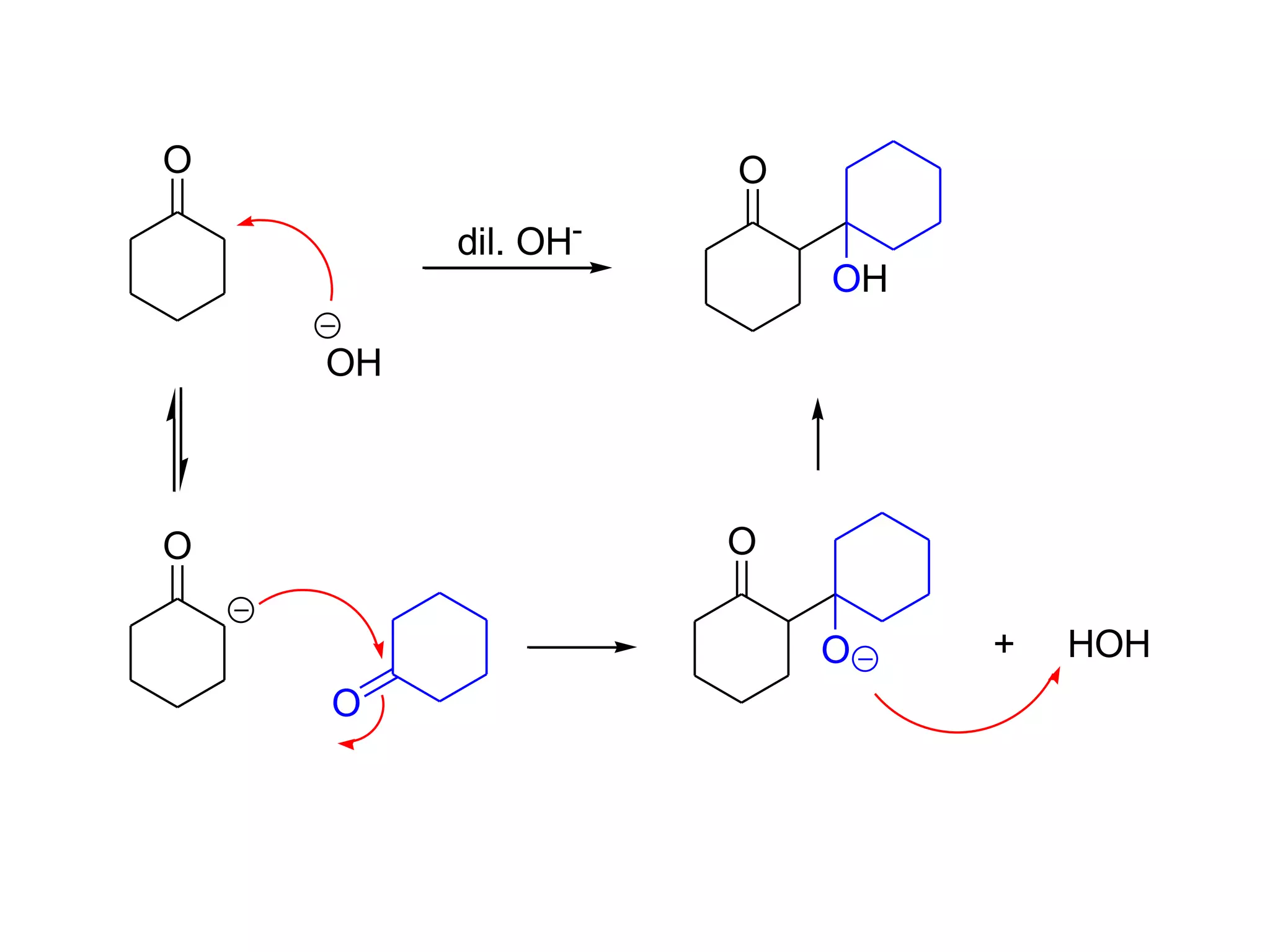
    a) Aldol condensation.The reaction of an aldehyde or ketone with dilute base or acid to form a beta-hydroxycarbonyl product. CH3CH=O dil. NaOH CH3CHCH2CH O OH acetaldehyde 3-hydroxybutanal CH3CCH3 O dil. NaOH CH3CCH2CCH3 O OH CH3 acetone 4-hydroxy-4-methyl-2-pentanone
  • 14.
    CH3CH=O dil. NaOH CH3CHCH2CH O OH acetaldehyde3-hydroxybutanal OH CH2CH=O CH3CH + O CH3CHCH2CH O O + H2O + H2O nucleophilic addition by enolate ion.
  • 15.
  • 16.
    CH3CH2CH=O + dil.NaOH CH3CH2CHCH2CH2CH OH O CH3CHCH O alpha! CH3CH2CH CH3CH2CHCHCH OH CH3 O O
  • 17.
  • 18.
    dil. H+ O + H2O O Withdilute acid the final product is the α,β- unsaturated carbonyl compound!
  • 19.
    CH2 CH O phenylacetaldehyde dil NaOH CH2C H CH OH CH=O dilute H+ CH2 C H C CH=O note: double bond is conjugated with the carbonyl group! + H2O
  • 20.
    NB: An aldehydewithout alpha-hydrogens undergoes the Cannizzaro reaction with conc. base. CHO benzaldehyde conc. NaOH COO- CH2OH +
  • 21.
    Crossed aldol condensation: Ifyou react two aldehydes or ketones together in an aldol condensation, you will get four products. However, if one of the reactants doesn’t have any alpha hydrogens it can be condensed with another compound that does have alpha hydrogens to give only one organic product in a “crossed” aldol. CH3CH2CH + H2C O O CH3CHCH2 OH CH O NaOH
  • 22.
    N.B. If theproduct of the aldol condensation under basic conditions is a “benzyl” alcohol, then it will spontaneously dehydrate to the α,β-unsaturated carbonyl. CH=O + CH3CH2CH2CH=O dil OH- CH=CCH=O CH2 CH3 CHCHCH=O OH CH2 CH3 -H2O
  • 23.
    A crossed aldolcan also be done between an aldehyde and a ketone to yield one product. The enolate carbanion from the ketone adds to the more reactive aldehyde. C CH3 O acetophenone + CH3CH=O acetaldehyde dil OH- CCH2 O C H OH CH3
  • 24.
    b) Aldol relatedreactions: (see problem 21.18 page 811 of your textbook). CH=O + CH3NO2 KOH CH=CHNO2 + H2O CH2NO2 CH=O + CH2C N NaOEt CH=C CN CHC N + H2O
  • 25.
    Perkin condensation CH=O +(CH3CO)2O CH3COONa CH=CHCOOH H2C C O O C CH3 O CH OH CH2 C O O C CH3 O + H2O H C C H C O O C CH3 O hydrolysis of anhydride + CH3COOH
  • 26.
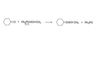
    d) Wittig reaction(synthesis of alkenes) 1975 Nobel Prize in Chemistry to Georg Wittig C O + Ph3P=C R' R ylide C O C R' R PPh3 C C R R' + Ph3PO CH2CH=O + Ph3P=CH2 CH2CH=CH2 + Ph3PO Ph = phenyl
  • 27.
    C O C R' R PPh3 C C R R'+ Ph3PO P Ph Ph Ph C R R' C O ylide nuclephilic addition by ylide carbanion, followed by loss of Ph3PO (triphenylphosphine oxide)
  • 28.
    O + Ph3PCHCH=CH2CHCH CH2 + Ph3PO
  • 29.
    3. Carbanions asthe nucleophiles in nucleophilic acyl substitution of esters and acid chlorides. a) Claisen condensation a reaction of esters that have alpha-hydrogens in basic solution to condense into beta-keto esters CH3COOEt ethyl acetate NaOEt CH3CCH2COOEt O + EtOH ethyl acetoacetate
  • 30.
    CH3COOEt NaOEt CH3CCH2COOEt O + EtOH CH3 C OEt O CH3C OEt O CH2COOEt nucleophilic acyl substitution by enolate anion OEt CH2COOEt Mechanism for the Claisen condensation:
  • 31.
  • 32.
  • 33.
    Crossed Claisen condensation: COOEt+ CH3COOEt NaOEt C O CH2COOEt ethyl benzoate HCOOEt + CH3CH2COOEt ethyl formate H C O CHCOOEt CH3 OEt
  • 34.
  • 35.
    EtOCOEt ethyl carbonate + COOEt CH2 COOEt ethyl malonate NaOEt CCH O COOEt COOEt EtO CH3CH2COOEt ethyl propionate + O cyclohexanone NaOEt CH3CH2C O O enolate from ketone in nucleophilic acyl substitution on ester O
  • 36.
    b) Coupling oflithium dialkyl cuprate with acid chloride R C Cl O + R'2CuLi R C R' O nucleophile = R'
  • 37.
    4. Carbanions asnucleophiles in SN2 reactions with R’X: a) Corey-House synthesis of alkanes R2CuLi + R’X  R-R’ b) metal acetylide synthesis of alkynes RCC-M+ + R’X  RCCR’ c) Malonate synthesis of carboxylic acids d) Acetoacetate synthesis of ketones 5. Michael Addition to α,β-unsaturated carbonyl compounds
  • 38.
    Carbanions are theconjugate bases of weak acids and are therefore strong bases and excellent nucleophiles that can react with aldehydes/ketones (nucleophilic addition), esters/acid chlorides (nucleophilic acyl substitution), and alkyl halides (SN2), etc.
  • 39.
    Reactions involving carbanionsas nucleophiles: 1. Alpha-halogenation of ketones 2. Nucleophilic addition to aldehydes/ketones a) aldol and crossed aldol b) aldol related reactions c) Grignard synthesis of alcohols d) Wittig synthesis of alkenes 3. Nucleophilic acyl substitution with esters and acid chlorides a) Claisen and crossed Claisen b) R2CuLi + RCOCl (next slide)
  • 40.
    4. SN2 withalkyl halides a) Corey-House b) metal acetylide c) Malonate synthesis d) Acetoacetate synthesis 5. Michael Addition to α,β-unsaturated carbonyl compounds