CARBONYL CONDENSATION
REACTIONS
Dr. Nilesh R. Thakare
CARBONYL CONDENSATION
REACTIONS
• Aldol Reaction
• Dehydration of Aldol Products
• Intramolecular Aldol Reaction
• Claisen Condensation Reaction
• Intramolecular Claisen
Condensation
• Michael Reaction
• Stork Enamine Reaction
• Robinson Annulation Reaction
General Mechanism of Carbonyl
Condensation
One carbonyl partner
with an alpha hydrogen
atom is converted by base
into its enolate ion.
O
C
R C
H
OH
C
O
C
C O
R
:
..
..
R
C
O
C
OH2
C
O:
: :
Electrophilic
Acceptor
Nucleophilic
Donor
This enolate ion acts as a
nucleophilic donor and
adds to the electrophilic
carbonyl group of the
acceptor partner
Protonation of the tetrahedral alkoxide ion
intermediate gives the neutral condensation
product.
OH2
R
C
C
C
OH -OH
O
+
New C-C Bond
ALDOL REACTION
• occurs between two aldehyde or ketone
molecules with a catalytic base
• reaction can occur between two components
that have alpha hydrogens
• reversible condensation reaction
• two highlights: enolate formation and
nucleophilic attack at a carbonyl carbon
• Aldol products are: alpha-ß-unsaturated
aldehydes/ketones and ß-hydroxy
aldehydes/ketones
Mechanism of the Aldol Reaction
HO:
H
C
H H
C
O
H
Base removes an
acidic alpha hydrogen
from one aldehyde
molecule, yielding
a resonance-
stabilized eno-
late ion.
C
O
CH3 H
: : OH+ 2
C
H
H
C
H
O
..
CH3 C
H
O
C
HH H
O
C
H
: :-
..
The enolate ion attacks
a second aldehyde
molecule in a
nucleophilic addition
reaction to give a
tetrahedral alkoxide ion
intermediate.
H O2
C
O
C
H
C C
H
HHH
OH
HO
3
+ -
:
Protonation of the alkoxide ion intermediate yields
neutral aldol product and regenerates the base
catalyst.
Dehydration of Aldol Products:
Synthesis of Enones
• ß-hydroxy aldehydes and ß-hydroxy ketones
formed in aldol reactions can be easily dehydrated
to yield conjugated enones
• Dehydration is catalyzed by both acid and base
• Reaction conditions for dehydration are only
slightly more severe than for condensation
• Conjugated enones are more stable than
nonconjugated enones
C
O
C
H
C
OH
OH
Base-catalyzed
C
O
C
C
OH::
-..
Enolate ion
C
O
C
C OH-+
Dehydration of Aldol Products
C
C
C
O OH
H
H
+
Acid-catalyzed
C
C C
OH
O
H
2
+
Enol
C
O
C
C H O+ 3
+
Mixed Aldol Reaction
• If two similar aldehydes/ketones react under
aldol conditions, 4 products may be formed
• A single product can be formed from two
different components :
If one carbonyl component has no alpha-
hydrogens or if one carbonyl compound is much
more acidic than the other.
Intramolecular Aldol Reaction:
• Treatment of certain dicarbonyl compounds
with base can lead to cyclic products
• A mixture of cyclic products may result ,
but the more strain-free ring is usually
formed
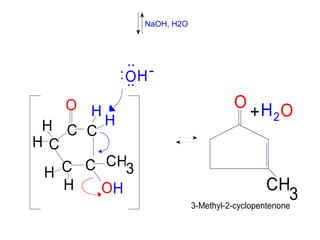
Intramolecular Aldol Reaction of 2, 5-
hexanedione yields 3-methyl-2-
cyclopentenone
a
C
H
H
H H
C
O
H H O
C
C
C
C 3
3 2,5- Hexanedione
b
C
H
H
H
C
O
H H
C
C
C
C
H
H
O
3
-
-OHPath A
C
H
H
H
C
O
H H
C
C
C
C
H
H
OH
3
C
C
C
C C
C
H
H
H
H
H
H
O
H
H
O
HO
3
-:
..
..
CH
O H O
3
2+
3-Methyl-2-cyclopentenone
NaOH, H2O
Path b
NaOH, H2O
C
H
H
H H
C
O
H H O
C
C
C
C 3
3
HO-
C
H
H
H
C
O
H
C
C
C
C
H
H
O
H
3- C
H
H
H
C
O
H
C
C
C
C
H
H
H
O
3
-
O
HH
.. ..
C
H
H
CH
O
H
H
O
O
3
3
-:
..
..
(2-Methylcyclopropenyl)ethanone
(NOT formed)
CH O
CH
H O
3
3+
2
Claisen Condensation Reaction
• Carbonyl condesation that occurs between two
ester components and gives a ß-keto ester product
• Reaction is reversible and has a mechanism similar
to aldol reaction
• Major difference from aldol condensation is the
expulsion of an alkoxide ion from the tetrahedral
intermediate of the initial Claisen adduct
• 1 equivalent of base is needed to drive the reaction
to completion because the product is often acidic
Mechanism of Claisen Condensation:
• involves nucleophilic acyl substitution of an ester
enolate ion on the carbonyl group of a second
ester molecule
• tetrahedral intermediate expels an alkoxide leaving
group to yield an acyl substitution product
Mechanism of the Claisen
Condensation Reaction
CH3
COEt
O
- OEt
Ethoxide base abstracts an
acidic alpha hydrogen
atom from an ester
molecule, yielding an ester
enolate ion
:CH2
COEt
O
EtOH
CH3C
:O:
OEt
+
Nucleophilic donor
Electrophilic
acceptor
In a nucleophilic addition,
this ion adds to a second
ester molecule, giving a
tetrahedral intermediate.
CH3
C
:O: -
OEt
CH2
COEt
O
..
The tetrahedral intermediate
is not stable. It expels ethoxide
ion to yield the new carbonyl
compound, ethyl acetoacetate.
But ethoxide ion is basic enough
to convert the beta-keto ester
product into its enolate, thus
shifitng the equilibrium and driving
the reaction to completion.
CH3C
O
CH2
COEt
O
EtO-+
CH3
C
O
CHCOEt
O_
..
EtOH+
CH3
C
O
CH2
COEt
O
OH2+
Protonation by addition of acid
in a separate step yields the final
product.
H3O+
Mixed Claisen Condesation
•occurs only when one of the two ester
components has no alpha-hydrogens, and
thus can’t form enolate ion
•can also be carried out between esters and
ketones resulting a synthesis of ß-diketones
Example of Mixed Claisen
Condensation
1. NaH/THF
+2. H30
C
O
CH
O
C
H
2 OEt
EtO
Ethyl benzoylacetate
C
O
OEt
Ethyl Benzoate
(Acceptor)
+
CH
O
COEt3
Ethyl Acetate
(Donor)
Intramolecular Claisen Condensation:
Dieckmann Cyclization
• can be carried out with diesters
• works best on 1, 6-diesters and 1,7-diesters
• 5-membered cyclic ß-ketoesters result from
Dieckmann cyclization of 1,6-diesters
• 6-membered cyclic ß-keto esters result from
cyclization of 1,7-diesters
Examples of Intramolecular
Claisen Condensation
O
O
O
C
O
H
OEt
OEt
Diethyl hexanedioate
(a 1,6 -Diester)
1. Na+ -OEt, ethanol
2. H3O+
OEt
EtO
Ethyl 2-oxocyclopentanecarboxylate
(82%)
O
O
O
C
O
OEt
OEt
Diethyl heptanediote
(a 1,7- Diester)
1. Na+ -OEt, ethanol
2. H3O+ OEt
+
Ethyl-2-oxocyclohexane carboxylate
Intramolecular Claisen Condensation
Mechanism
H
O
H
OEt
COOEt
+ OEtNa -
Base abstracts an acidic
alpha-proton from the
carbon atom next to one
of the ester groups,
yielding an enolote ion.
Intramolecular nucleophilic addition of the ester enolate
ion to the carbonyl group of the second ester group at the
other end of the chain then gives a cyclic tetrahedral
intermediate.
O
H
H
tEO
COOEt
+ EtO:
. .
-
H
O
COOEt
tEO : :
. .
-
Loss of alkoxide ion from the tetrahedral
intermediate forms a cyclic beta-keto ester.
O
H
O
.
H
COOEt
+ tEO:
.
. .
.
-
COOEt
-
EtO+
Deprotonation of the
acidic beta-keto ester
gives an enolate
ion…
O
H
H O
+H3O
COOEt
+
2
…which is protonated
by addition of
aqueous acid at the
endoth the reaction to
generate the neutral
beta-keto ester
product.
Michael Reaction
• Conjugate addition of a carbon nucleophile to an
alpha, ß-unsaturated acceptor
Best Michael Reactions:
• Between unusually acidic donors (ß-ketoesters or ß-
diketones)
• Unhindered alpha,ß-unsaturated acceptors
• Stable enolates are Michael donors, and alpha,ß-
unsaturated compounds are Michael acceptors
The Michael Reaction
EtO
O
C
C
C
O
CH3
HH
Na
+
- OEt
The base catalyst
removes an acidic alpha
proton from the starting
beta-keto ester to
generate a stabilized
enolate ion nucleophile.
The nucleophile adds
to the alpha,beta-keto
unsaturated ketone
electrophile in a
Michael reaction to
generate a new enolate
as product.
EtO
C
O
C
C
O
CH3
H
-
EtOH
C
H
C
C
H3
C H
O
C
H3C C
C
H H
C
HH
CO2Et
C
CH3
OO
.. +
..
O
EtOH
H3
C
C
C
C
H H
C
C
O
CH3
H H
CO2
Et
H
EtO-+
The enolate product
abstracts an acidic
proton, either from
solvent or from starting
keto ester, to yield the
final addition product.
Some Michael Acceptors and
Michael Donors
H2
C CHCHO
H2
C CHCO2Et
H2
C CHC N
H2
C CHCOCH3
H2
C CHNO2
H2
C CHCONH2
Propenol
Ethyl Propanoate
Propenenitrile
3-Buten-2-one
Nitroethylene
Propenamide
RCOCH2COR'
RCOCH2CO2
Et
EtO2
CCH2CO2Et
RCOCH2C N
RCH2NO2
Beta-Diketone
Beta-Keto Ester
Malonic Ester
Beta-Keto nitrile
Nitro compound
Michael Acceptors Michael Donors
Stork Enamine Reaction
• enamine adds to an alpha,ß-unsaturated carbonyl
acceptor in a Michael- type process
• Overall reaction is a three-step sequence:
Step 1: Enamine formation from a ketone
Step 2: Michael-type addition to an alpha, ß-
unsaturated carbonyl compound
Step 3: Enamine Hydrolysis back to ketone
• net effect of Stork Enamine reaction sequence is
the Michael addition of a ketone to an alpha,ß-
unsaturated carbonyl compound
Example of Stork Enamine Reaction
O
N
H
-H2O
N
H2C CHCCH3
O
..
Cyclohexanone An enamine
N
CH2
CHCCH3
-
..
O
N
CH2CH2CCH3
O
+
OH2
O
CH2
CH2
CCH3
O
N
H
+
A 1,5-diketone
Robinson Annulation Reaction: Carbonyl
Condensation Reaction in Synthesis
• leads to the formation of substituted cyclohexenones
• 2 step process:
Michael reaction
Intramolecular Aldol reaction
• Treatment of a ß-diketone or ß-keto ester with an alpha, ß-
unsaturated ketone leads first to a Michael addition, which
is followed by intramolecular aldol cyclization

Carbonyl condensation for pg

  • 1.
  • 2.
    CARBONYL CONDENSATION REACTIONS • AldolReaction • Dehydration of Aldol Products • Intramolecular Aldol Reaction • Claisen Condensation Reaction • Intramolecular Claisen Condensation • Michael Reaction • Stork Enamine Reaction • Robinson Annulation Reaction
  • 3.
    General Mechanism ofCarbonyl Condensation One carbonyl partner with an alpha hydrogen atom is converted by base into its enolate ion. O C R C H OH
  • 4.
    C O C C O R : .. .. R C O C OH2 C O: : : Electrophilic Acceptor Nucleophilic Donor Thisenolate ion acts as a nucleophilic donor and adds to the electrophilic carbonyl group of the acceptor partner
  • 5.
    Protonation of thetetrahedral alkoxide ion intermediate gives the neutral condensation product. OH2 R C C C OH -OH O + New C-C Bond
  • 6.
    ALDOL REACTION • occursbetween two aldehyde or ketone molecules with a catalytic base • reaction can occur between two components that have alpha hydrogens • reversible condensation reaction • two highlights: enolate formation and nucleophilic attack at a carbonyl carbon • Aldol products are: alpha-ß-unsaturated aldehydes/ketones and ß-hydroxy aldehydes/ketones
  • 7.
    Mechanism of theAldol Reaction HO: H C H H C O H Base removes an acidic alpha hydrogen from one aldehyde molecule, yielding a resonance- stabilized eno- late ion.
  • 8.
    C O CH3 H : :OH+ 2 C H H C H O .. CH3 C H O C HH H O C H : :- .. The enolate ion attacks a second aldehyde molecule in a nucleophilic addition reaction to give a tetrahedral alkoxide ion intermediate.
  • 9.
    H O2 C O C H C C H HHH OH HO 3 +- : Protonation of the alkoxide ion intermediate yields neutral aldol product and regenerates the base catalyst.
  • 10.
    Dehydration of AldolProducts: Synthesis of Enones • ß-hydroxy aldehydes and ß-hydroxy ketones formed in aldol reactions can be easily dehydrated to yield conjugated enones • Dehydration is catalyzed by both acid and base • Reaction conditions for dehydration are only slightly more severe than for condensation • Conjugated enones are more stable than nonconjugated enones
  • 11.
  • 12.
  • 13.
    Mixed Aldol Reaction •If two similar aldehydes/ketones react under aldol conditions, 4 products may be formed • A single product can be formed from two different components : If one carbonyl component has no alpha- hydrogens or if one carbonyl compound is much more acidic than the other.
  • 14.
    Intramolecular Aldol Reaction: •Treatment of certain dicarbonyl compounds with base can lead to cyclic products • A mixture of cyclic products may result , but the more strain-free ring is usually formed
  • 15.
    Intramolecular Aldol Reactionof 2, 5- hexanedione yields 3-methyl-2- cyclopentenone a C H H H H C O H H O C C C C 3 3 2,5- Hexanedione b
  • 16.
  • 17.
    C C C C C C H H H H H H O H H O HO 3 -: .. .. CH O HO 3 2+ 3-Methyl-2-cyclopentenone NaOH, H2O
  • 18.
    Path b NaOH, H2O C H H HH C O H H O C C C C 3 3 HO-
  • 19.
  • 20.
  • 21.
    Claisen Condensation Reaction •Carbonyl condesation that occurs between two ester components and gives a ß-keto ester product • Reaction is reversible and has a mechanism similar to aldol reaction • Major difference from aldol condensation is the expulsion of an alkoxide ion from the tetrahedral intermediate of the initial Claisen adduct • 1 equivalent of base is needed to drive the reaction to completion because the product is often acidic
  • 22.
    Mechanism of ClaisenCondensation: • involves nucleophilic acyl substitution of an ester enolate ion on the carbonyl group of a second ester molecule • tetrahedral intermediate expels an alkoxide leaving group to yield an acyl substitution product
  • 23.
    Mechanism of theClaisen Condensation Reaction CH3 COEt O - OEt Ethoxide base abstracts an acidic alpha hydrogen atom from an ester molecule, yielding an ester enolate ion
  • 24.
    :CH2 COEt O EtOH CH3C :O: OEt + Nucleophilic donor Electrophilic acceptor In anucleophilic addition, this ion adds to a second ester molecule, giving a tetrahedral intermediate. CH3 C :O: - OEt CH2 COEt O .. The tetrahedral intermediate is not stable. It expels ethoxide ion to yield the new carbonyl compound, ethyl acetoacetate.
  • 25.
    But ethoxide ionis basic enough to convert the beta-keto ester product into its enolate, thus shifitng the equilibrium and driving the reaction to completion. CH3C O CH2 COEt O EtO-+ CH3 C O CHCOEt O_ .. EtOH+
  • 26.
    CH3 C O CH2 COEt O OH2+ Protonation by additionof acid in a separate step yields the final product. H3O+
  • 27.
    Mixed Claisen Condesation •occursonly when one of the two ester components has no alpha-hydrogens, and thus can’t form enolate ion •can also be carried out between esters and ketones resulting a synthesis of ß-diketones
  • 28.
    Example of MixedClaisen Condensation 1. NaH/THF +2. H30 C O CH O C H 2 OEt EtO Ethyl benzoylacetate C O OEt Ethyl Benzoate (Acceptor) + CH O COEt3 Ethyl Acetate (Donor)
  • 29.
    Intramolecular Claisen Condensation: DieckmannCyclization • can be carried out with diesters • works best on 1, 6-diesters and 1,7-diesters • 5-membered cyclic ß-ketoesters result from Dieckmann cyclization of 1,6-diesters • 6-membered cyclic ß-keto esters result from cyclization of 1,7-diesters
  • 30.
    Examples of Intramolecular ClaisenCondensation O O O C O H OEt OEt Diethyl hexanedioate (a 1,6 -Diester) 1. Na+ -OEt, ethanol 2. H3O+ OEt EtO Ethyl 2-oxocyclopentanecarboxylate (82%) O O O C O OEt OEt Diethyl heptanediote (a 1,7- Diester) 1. Na+ -OEt, ethanol 2. H3O+ OEt + Ethyl-2-oxocyclohexane carboxylate
  • 31.
    Intramolecular Claisen Condensation Mechanism H O H OEt COOEt +OEtNa - Base abstracts an acidic alpha-proton from the carbon atom next to one of the ester groups, yielding an enolote ion.
  • 32.
    Intramolecular nucleophilic additionof the ester enolate ion to the carbonyl group of the second ester group at the other end of the chain then gives a cyclic tetrahedral intermediate. O H H tEO COOEt + EtO: . . -
  • 33.
    H O COOEt tEO : : .. - Loss of alkoxide ion from the tetrahedral intermediate forms a cyclic beta-keto ester.
  • 34.
    O H O . H COOEt + tEO: . . . . - COOEt - EtO+ Deprotonationof the acidic beta-keto ester gives an enolate ion…
  • 35.
    O H H O +H3O COOEt + 2 …which isprotonated by addition of aqueous acid at the endoth the reaction to generate the neutral beta-keto ester product.
  • 36.
    Michael Reaction • Conjugateaddition of a carbon nucleophile to an alpha, ß-unsaturated acceptor Best Michael Reactions: • Between unusually acidic donors (ß-ketoesters or ß- diketones) • Unhindered alpha,ß-unsaturated acceptors • Stable enolates are Michael donors, and alpha,ß- unsaturated compounds are Michael acceptors
  • 37.
    The Michael Reaction EtO O C C C O CH3 HH Na + -OEt The base catalyst removes an acidic alpha proton from the starting beta-keto ester to generate a stabilized enolate ion nucleophile.
  • 38.
    The nucleophile adds tothe alpha,beta-keto unsaturated ketone electrophile in a Michael reaction to generate a new enolate as product. EtO C O C C O CH3 H - EtOH C H C C H3 C H O C H3C C C H H C HH CO2Et C CH3 OO .. + ..
  • 39.
    O EtOH H3 C C C C H H C C O CH3 H H CO2 Et H EtO-+ Theenolate product abstracts an acidic proton, either from solvent or from starting keto ester, to yield the final addition product.
  • 40.
    Some Michael Acceptorsand Michael Donors H2 C CHCHO H2 C CHCO2Et H2 C CHC N H2 C CHCOCH3 H2 C CHNO2 H2 C CHCONH2 Propenol Ethyl Propanoate Propenenitrile 3-Buten-2-one Nitroethylene Propenamide RCOCH2COR' RCOCH2CO2 Et EtO2 CCH2CO2Et RCOCH2C N RCH2NO2 Beta-Diketone Beta-Keto Ester Malonic Ester Beta-Keto nitrile Nitro compound Michael Acceptors Michael Donors
  • 41.
    Stork Enamine Reaction •enamine adds to an alpha,ß-unsaturated carbonyl acceptor in a Michael- type process • Overall reaction is a three-step sequence: Step 1: Enamine formation from a ketone Step 2: Michael-type addition to an alpha, ß- unsaturated carbonyl compound Step 3: Enamine Hydrolysis back to ketone • net effect of Stork Enamine reaction sequence is the Michael addition of a ketone to an alpha,ß- unsaturated carbonyl compound
  • 42.
    Example of StorkEnamine Reaction O N H -H2O N H2C CHCCH3 O .. Cyclohexanone An enamine N CH2 CHCCH3 - .. O N CH2CH2CCH3 O + OH2 O CH2 CH2 CCH3 O N H + A 1,5-diketone
  • 43.
    Robinson Annulation Reaction:Carbonyl Condensation Reaction in Synthesis • leads to the formation of substituted cyclohexenones • 2 step process: Michael reaction Intramolecular Aldol reaction • Treatment of a ß-diketone or ß-keto ester with an alpha, ß- unsaturated ketone leads first to a Michael addition, which is followed by intramolecular aldol cyclization