Cannizaro’s Reaction:
Benzaldehyde
by
solvent free grindstone
technique
The disproportionation reaction (self oxidation and reduction) of
non enolizable aldehydes to corresponding carboxylic acid and
alcohol in presence of base is known as Cannizaro’s reaction.
In this experiment benzaldehyde underwent solvent free
disproprtionation reaction to benzoic acid and benzyl alcohol in
presence of sodium hydroxide.
PRINCIPLE:
1) Benzaldehyde
2) NaOH
3) Ethyl acetate
4) Na2SO4
5) HCl
CHEMICALS REQUIRED: APPARATUS:
1) Mortar and pestle
2) Beaker
3) Separating funnel
4) Funnel
5) Measuring cylinder
6) Filter paper
REACTION:
H
O
OH
O
2
OHNaOH
Grind, 30 min
Lab Temp.
H3O+
PROCEDURE:
•1 g Benzaldehyde (0.0096 mol) was taken in a clean and dry
mortar. To this 0.75 g NaOH (0.0188 mol) was added and
grounded well together using pestle for 30 minutes at lab
temperature. The reaction proceeds exothermically.
Paste at the beginning
of the grinding
O H
NaOH
•After 30 minutes of grinding (indicated by no smell of
benzaldehyde), pour 15 ml of cold water into the whole reaction
mass and neutralize the mixture with concentrated HCl till acidic
pH. The precipitated product (benzoic acid) was collected by
filtration and dried.
ONa
O
OH
Pour water and add HCl till
acidic to pH
Collect the precipitate by
filtration
•The filtrate was extracted to 20 ml of organic layer (ethyl
acetate) and dried over anhydrous Na2SO4. The organic layer was
evaporated and benzyl alcohol was obtained.
Filtrate was extracted
to 20 ml of organic
layer (ethyl acetate)
Dried over
anhydrous
Na2SO4
The organic
layer was
evaporated and
benzyl alcohol
was obtained
Ethyl acetate
Na2SO4
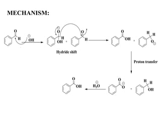
MECHANISM:
H
O
OH
H
O
OH
H
O
OH
O
O
H H
O
O
OH
H H
OH
O
Hydride shift
Proton transfer
H3O
Benzaldehyde: Bitter almond
Benzoic acid: Slight pungent
Benzyl alcohol: Odourless
CHEMICAL TESTS:
Odour
Benzaldehyde: No evolution of gas (-Ve)
Benzoic acid: Evolution of gas (+Ve)
Reaction with NaHCO3
Benzaldehyde: Orange precipitate (+Ve)
Benzyl alcohol: No Orange precipitate (-Ve)
Reaction with 2,4-DNP
THANK YOU
Arabian journal of chemistry, 2016, 9, S1373-S1377.
REFERENCES:

Cannizarro's reaction ; benzaldehyde

  • 1.
  • 2.
    The disproportionation reaction(self oxidation and reduction) of non enolizable aldehydes to corresponding carboxylic acid and alcohol in presence of base is known as Cannizaro’s reaction. In this experiment benzaldehyde underwent solvent free disproprtionation reaction to benzoic acid and benzyl alcohol in presence of sodium hydroxide. PRINCIPLE:
  • 3.
    1) Benzaldehyde 2) NaOH 3)Ethyl acetate 4) Na2SO4 5) HCl CHEMICALS REQUIRED: APPARATUS: 1) Mortar and pestle 2) Beaker 3) Separating funnel 4) Funnel 5) Measuring cylinder 6) Filter paper
  • 4.
  • 5.
    PROCEDURE: •1 g Benzaldehyde(0.0096 mol) was taken in a clean and dry mortar. To this 0.75 g NaOH (0.0188 mol) was added and grounded well together using pestle for 30 minutes at lab temperature. The reaction proceeds exothermically. Paste at the beginning of the grinding O H NaOH
  • 6.
    •After 30 minutesof grinding (indicated by no smell of benzaldehyde), pour 15 ml of cold water into the whole reaction mass and neutralize the mixture with concentrated HCl till acidic pH. The precipitated product (benzoic acid) was collected by filtration and dried. ONa O OH Pour water and add HCl till acidic to pH Collect the precipitate by filtration
  • 7.
    •The filtrate wasextracted to 20 ml of organic layer (ethyl acetate) and dried over anhydrous Na2SO4. The organic layer was evaporated and benzyl alcohol was obtained. Filtrate was extracted to 20 ml of organic layer (ethyl acetate) Dried over anhydrous Na2SO4 The organic layer was evaporated and benzyl alcohol was obtained Ethyl acetate Na2SO4
  • 8.
  • 9.
    Benzaldehyde: Bitter almond Benzoicacid: Slight pungent Benzyl alcohol: Odourless CHEMICAL TESTS: Odour Benzaldehyde: No evolution of gas (-Ve) Benzoic acid: Evolution of gas (+Ve) Reaction with NaHCO3 Benzaldehyde: Orange precipitate (+Ve) Benzyl alcohol: No Orange precipitate (-Ve) Reaction with 2,4-DNP
  • 10.
    THANK YOU Arabian journalof chemistry, 2016, 9, S1373-S1377. REFERENCES: