1
2
AROMATIC COMPOUNDS
“LET US LEARN TO DREAM
GENTELMAN, AND THEN
PERHAPS, SHALL LEARN THE
TRUTH”.
(KEKULE)
3
AROMATIC
COMPOUNDS
 KEKULE fall asleep while sitting in front of fire,
dreamed about chains of atoms in form of twisting
snakes. one of snake caught hold of its own tail ,
forming a whirling ring.
 KEKULE awoke , freshly inspired , spent remainder
night working on his now-famous hypothesis.
4
AROMATIC COMPOUNDS
• The term aromatic compounds was 1st used by
Kekule to classify benzene & its derivatives.
• Benzene and its derivatives, many of which possess
fragrance/ aroma.
• According to new fact, aromatic is associated with
“chemical stability” rather than aroma.
• So aromatic is used for series containing benzene
ring.
• May be called as “ Arenes and derivatives.”
• Include H-carbons, ketones, aldehydes, amines,
ethers etc.
5
Benzene and its
derivatives
• Constitute the most important class of Arenes
(Aromatic hydrocarbons).
• Aryl group. By dropping H from ring.
• Aryl alkyl group. By dropping H from side chain.
6
AROMATIC HALOGEN COMPOUNDS &
AROMATIC SULPHONIC ACID
• Halogen atom bonded direct to benzene ring (aryl
halide) or bonded to side chain (aryl alkyl
halide)are aromatic halogen compounds.
• One –OH group of sulfuric acid is replaced by aryl
group, compounds are called aromatic sulphonic
acids.
7
AROMATIC NITRO
COMPOUNDS & PHENOLS
• Derivative of aromatic hydrocarbon, H atom is
replaced by –NO2 group are called
aromatic nitro compounds.
• Compounds containing –OH group directly attach
to ring, are called phenols.
8
AROMATIC AMINES &
AROMATIC CARBOXYLIC ACIDS
• H atom is replaced by an amino group.
• Aniline give reactions same as
aliphatic amines.
• Compounds containing –COOH group directly
attached to ring, are called aromatic carboxylic
acids.
9
AROMATIC ALDEHYDES
& KETONES
• Aromatic aldehyde: -CHO group attached to
benzene ring directly.
• Aromatic ketones: -Carbonyl group attached to
two aryl groups or one aryl and one alkyl group.
10
BENZENE
• Molecular formula: C6H6
• No straight chain structure is possible.
• All C-atoms are sp2 hybridized.
11
IDENTIFICATION TEST
FOR BENZENE
• Gas chromatography : used to identify benzene,
xylene, toluene etc. (compounds that can be
vaporized without decomposition).
• Reaction with KMNO4: benzene will not show
reaction as it doesn’t oxidize while methyl benzene
will discharge colour by oxidizing to acid.
• Introducing a glowing splint will burn with smoky
flame.
12
IDENTIFICATION TEST
FOR BENZENE
• Add conc.H2SO4 and conc.HNO3 to benzene at
55oC,
yellow oil with bitter almond smell produced.
13
PREPARATION OF
BENZENE
• Benzene and other aromatic
compounds are readily obtained in
large quantities from coal and
petroleum . Benzene and some other
hydrocarbons can also be obtained
from petroleum by special cracking
methods .some of the methods
generally used for the preparation of
benzene are as following :
14
GENERAL METHODS
1 : Dehydration of Cyclohexane .
2 : From Acetylene .
3 : From Alkanes .
4 : Preparation in the Laboratory .
5 : Wurtz-Fittig Reaction .
15
1- Dehydrogenation of
Cyclohexane :
• When cyclohexane or its
derivative is dehydrogenated we
get benzene . The reaction is
carried out by the use of a
catalyst , pt or pd ,at elevated
temperature e.g, 2500c .
Cyclohexane Benzene
16
2- From Acetylene :
• Benzene is formed by passing
acetylene under pressure over an
organo-nickle catalyst at 700c .
17
3- From Alkanes :
• Benzene and toluene are also
prepared by passing the
vapours of n-hexane or n-
heptane over a mixture of
catalysts Cr2O3 +Al2O3+SiO2 at
5000C .
18
19
4- Preparation in the
Laboratory :
• Benzene can be prepared by
any of the following methods :
• * By heating sodium salt of
benzoic acid with soda lime :
20
• *By distilling phenol with
zinc dust .
21
• *By the hydrolysis of
benzene sulphonic acid
with superheated steam
or by boiling with dilute
HCl .
22
5- Wurtz-Fittig Reaction :
• The Wurtz reaction for the synthesis of
alkanes was extended by Fittig in 1864
,to the synthesis of alkyl aromatic
hydrocarbons.
23
PHYSICAL
PROPERTIES OF
BENZENE
24
• Benzene is a colorless liquid.
• Benzene is soluble in organic solvents but immiscible in
water.
• It is an aromatic compound so it has a typical
aromatic odor. (Aroma in Greek means pleasant
smelling).
• Benzene is highly inflammable and burns with sooty
flame as compared to alkanes & alkenes which
usually burn with a bluish flame.
• Its vapors are highly toxic which on inhalation
produce loss of consciousness.
• Benzene poisoning in the longer run can prove fatal,
destroying red & white blood corpuscles.
25
• Benzene is lighter than water ,specific gravity is
0.87g/cm3.
• It has high melting point (5.50c)
• It has moderate boiling point(80.1)
• For homologous series m.p increases with increasing
molecular mass due to vander waal’s forces.
• All c-c bonds are equal in length of 140 pm.
• Bond angel is 120 degree.
• Each carbon is sp2 hybridized.
• Benzene also shows resonance that is it can exist in
different forms based on the positioning of double
bond and this property of benzene makes it stable.
That is why Benzene does not undergo addition
reactions readily but it undergoes substitution
reactions.
26
CHEMICAL
PROPERTIES
OF BENZENE
27
REACTIONS OF BENZENE
• Electrophilic Substitution Reactions
• Addition reactions
• Oxidation Reaction
28
Electrophilic Substitution reactions
Benzene undergoes electrophilic substitution reaction. The
benzene ring with its delocalized pi electrons is an
electron rich system . It is attacked by electrophiles,
giving substitution products.
These reactions can be represented as :
Where E+ is any electrophile . Such reactions in
which hydrogen atom of aromatic ring is
replaced by an electrophile are called
electrophilic aromatic substitution reactions.
29
Halogenation
Benzene react with bromine in the presence of
AlBr3 or FeBr3 at room temperature to form bromo-
benzene . Iron powder can be used in place of
ferric chloride.
Benzene Bromobenzene
30
Mechanism of Halogenation
31
Nitration
Benzene react with concentrated nitric acid in
The presence of concentrated sulphuric acid at
600C to form nitrobenzene.
Benzene Nitrobenzene
32
Mechanism of Nitration
• The Nitro group can be reduced to an Amino group
if needed
33
Sulphonation
• Benzene react with conc. sulphuric acid at 1200C
or fuming sulphuric acid at room temperature to
give benzene sulfonic acid .
34
Mechanism of Sulphonation
35
Friedel-Crafts Alkylation
• Benzene reacts with alkyl halides in the presence of
aluminum chloride ( AlCl3) to form alkyl benzenes.
Benzene Toluene
36
Drawbacks Of Friedel-crafts Alkylation
It is useful in the synthesis of certain alkyl benzenes ,
the reaction has two serious drawbacks:
 It is difficult to stop the reaction when one alkyl
group has entered the ring . Di- and tri- alkyl
benzenes are also formed.
 The alkyl group often tends to rearrange .
For Example:
37
Friedel-Crafts Acylation
• Benzene reacts with acid chlorides in the presence
of aluminum chloride to give aromatic ketones .
38
ADDITION REACTIONS
• Addition of hydrogen:
Benzene reacts with hydrogen in the presence of
nickel (or platinum) catalyst at 1500C under pressure
to form cyclohexane .
39
Addition of halogens
• Benzene reacts with chlorine (or Br) in the presence
of ultraviolet light to form benzene hexachloride .
• Benzene hexachloride is a powerful insecticide.
Benzene Benzene hexachloride
40
OXIDATION REACTIONS
• Ozonolysis:
Benzene reacts with ozone to give a triozonide which
on treatment with Zn/H2O yields glyoxal.
41
Vapour phase oxidation
• Benzene undergoes oxidation with air/oxygen in the
presence of vanadium (V2O5) at 4500C to form maleic
anhydride.
42
EFFECT OF SUBSTITUENTS
ON FURTHER SUBSTITUTION
43
CONCEPT…
 Some students get confused over which group
does the directing, the incoming electrophile, E+,or
the initial substituent,-X.
 Try thinking about it in terms of an aircraft (the E+)
coming into land at an airport (the Ar-X)…
 It is the control tower at the airport on the ground (-
X) that does the directing of which runway and
which ramp the aircraft should go to.
44
SUBSTITUTION IN MONO
SUBSTITUTED BENZENES
 All hydrogen atoms of the benzene ring are
equivalent. Therefore, only one mono-substitution
product (C6H5- S) is possible.
45
 A second substituent, E, can occupy any of the
remaining five positions
 The positions 2 and 6 are equivalent, and would
give the ortho product.
 The positions 3 and 5 are equivalent, and would
give the meta product.
 The positions 4 is unique and would give the para
product. 46
47
TWO TYPES OF INFLUENCE OF
SUBSTITUENTS
Directive or Orientation Effect.
Activity Effects.
48
DIRECTIVE OR ORIENTATION EFFECT.
The first substituent (S) may direct the
next incoming substituent (E) to ortho,
meta, or para position, depending on
the nature of the first substituent.
This is called the Directive or the
Orientation (Orient: to arrange) Effect.
49
ACTIVITY EFFECTS.
The substituent already present
may activate or deactivate the
benzene ring toward further
Substitution, these effects are
called the activity effects.
50
 Ortho = 2/5 of the total, or 40%
 meta = 2/5 of the total, or 40%
 para = 1/5 of the total, or 20%
51
ORTHO-PARA DIRECTING EFFECT.
 Certain substituents direct the second
substituent to the ortho and para positions
simultaneously. These are called Ortho-Para
Directors.
 For example, when phenol is nitrated, the only
products obtained are 0-nitrophenol and p-
nitrophenol.
52
 The substituent –OH is said to have directed the –
NO2 group to ortho and para positions on
the ring. Therefore,-OH is designated as
ortho –para Director.
 Some common ortho- para directing groups
are –Cl,-Br, -I ,-OH ,-NH2, -CH3 , -C2H5
53
META DIRECTING EFFECT
The substituents which direct the
second incoming substituent primarily
to the meta position are referred to as
meta-directors.
For example, nitration of nitro benzene
gives 94% of m –dinitrobenzene, and
only 5% of ortho and 1% of p-
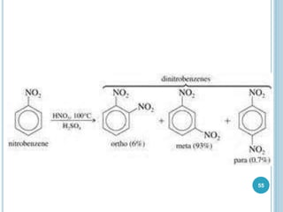
dinitrobenzene 54
55
EFFECT OF SUBSTITUENTS ON REACTIVITY
 A Substituent which activates the aromatic ring to
further substitution , is called an activating
substituent or ring activator.
56
 A substituent which deactivates the aromatic ring to
further substitution , is called a deactivating
substituent or ring deactivator.
57
 Ortho –para directors activate a ring toward
electrophilic substitution, whereas meta
directing groups deactivate a ring toward
electrophilic substitution.
 Although F , Cl , Br and I are ortho para
directors ,these substituents deactivate an
aromatic ring in electrophilic substituents
58
APPLICATIONS OF
AROMATIC COMPOUNDS
Different aromatic compounds
are used in different industries
and for different purposes.
59
USES
They are extracted from complex
mixture obtained by the refining of oil or
by distillation of coal tar. they are also
used to produce chemicals, polymers,
including nylon. Phenol and styrene.
60
OTHER AROMATIC
COMPOUNDS.
BENZENE: its most widely
produce derivative including
styrene . Which is used to
make polymer and plastics.
61
• Small amount of benzene are used
to make some type of rubber ,
lubricant , dyes detergent , drugs
and pesticides .
62
TOLUENE
• A common solvents able to dissolve
paints, resins & rubber.
• In the preparation of saccharin &
Tolbutamide (hypoglycemic agent).
• For blending petrol.
• As a starting material for benzyl
derivatives, Benzaldehyde, benzoic
acid.
63
Aromatic nitro compounds
• Useful in lab reagents for the identification of
organic compounds e.g.
• 2,4- DNPH used for the identification of carbonyl
compounds.
• 2,4- dinitrofluoro benzene is widely used in protein
chemistry, commonly known as Sangers reagent.
• In the preparation of TNT which is widely used as
explosive.
• In the preparation of Nitrazepam
(used in the management of
seizures & as sedative/hypnotic)
64
PHENOL
• Phenol is also used in preparation of
cosmetic including sunscreen and hair
dyes. In cosmetic surgery it serve as
exfoliator.
• In surgical procedure used to treat an
ungrown nail which is applied to nail
bed to prevent regrowth of nail.
65
NAPHTHALENE
• Act as raw material in the production
of dyes and insecticides for preventing
moths in clothes.
• Also used in production of some
pharmaceutical products.
66
ANTHRACENE
• Anthracene is converted mainly to
anthraquinone, a precursor to dyes &
has antitumor & laxative activity.
67
PHENANTHRENE
• An important skeletal nucleus in bile acids,
sex hormones & cardiac glycosides.
• Codeine is used as analgesic & cough
suppressant.
68
PYRENE
• Pyrene and its derivatives are used
commercially to make dyes.
• DI-BENZONE (A , L) PYRENE
• Most potent carcinogen.
• XYLENE: A mixture of xylene/
xylol is used as solvent &
diluent for lacquers.
69
Benzene sulphonic acid
• In the synthesis of saccharin & azo-
dyes.
• Sulfa drugs such as sulfanilamide.
70
71

Aromatic compounds

  • 1.
  • 2.
  • 3.
    AROMATIC COMPOUNDS “LET USLEARN TO DREAM GENTELMAN, AND THEN PERHAPS, SHALL LEARN THE TRUTH”. (KEKULE) 3
  • 4.
    AROMATIC COMPOUNDS  KEKULE fallasleep while sitting in front of fire, dreamed about chains of atoms in form of twisting snakes. one of snake caught hold of its own tail , forming a whirling ring.  KEKULE awoke , freshly inspired , spent remainder night working on his now-famous hypothesis. 4
  • 5.
    AROMATIC COMPOUNDS • Theterm aromatic compounds was 1st used by Kekule to classify benzene & its derivatives. • Benzene and its derivatives, many of which possess fragrance/ aroma. • According to new fact, aromatic is associated with “chemical stability” rather than aroma. • So aromatic is used for series containing benzene ring. • May be called as “ Arenes and derivatives.” • Include H-carbons, ketones, aldehydes, amines, ethers etc. 5
  • 6.
    Benzene and its derivatives •Constitute the most important class of Arenes (Aromatic hydrocarbons). • Aryl group. By dropping H from ring. • Aryl alkyl group. By dropping H from side chain. 6
  • 7.
    AROMATIC HALOGEN COMPOUNDS& AROMATIC SULPHONIC ACID • Halogen atom bonded direct to benzene ring (aryl halide) or bonded to side chain (aryl alkyl halide)are aromatic halogen compounds. • One –OH group of sulfuric acid is replaced by aryl group, compounds are called aromatic sulphonic acids. 7
  • 8.
    AROMATIC NITRO COMPOUNDS &PHENOLS • Derivative of aromatic hydrocarbon, H atom is replaced by –NO2 group are called aromatic nitro compounds. • Compounds containing –OH group directly attach to ring, are called phenols. 8
  • 9.
    AROMATIC AMINES & AROMATICCARBOXYLIC ACIDS • H atom is replaced by an amino group. • Aniline give reactions same as aliphatic amines. • Compounds containing –COOH group directly attached to ring, are called aromatic carboxylic acids. 9
  • 10.
    AROMATIC ALDEHYDES & KETONES •Aromatic aldehyde: -CHO group attached to benzene ring directly. • Aromatic ketones: -Carbonyl group attached to two aryl groups or one aryl and one alkyl group. 10
  • 11.
    BENZENE • Molecular formula:C6H6 • No straight chain structure is possible. • All C-atoms are sp2 hybridized. 11
  • 12.
    IDENTIFICATION TEST FOR BENZENE •Gas chromatography : used to identify benzene, xylene, toluene etc. (compounds that can be vaporized without decomposition). • Reaction with KMNO4: benzene will not show reaction as it doesn’t oxidize while methyl benzene will discharge colour by oxidizing to acid. • Introducing a glowing splint will burn with smoky flame. 12
  • 13.
    IDENTIFICATION TEST FOR BENZENE •Add conc.H2SO4 and conc.HNO3 to benzene at 55oC, yellow oil with bitter almond smell produced. 13
  • 14.
    PREPARATION OF BENZENE • Benzeneand other aromatic compounds are readily obtained in large quantities from coal and petroleum . Benzene and some other hydrocarbons can also be obtained from petroleum by special cracking methods .some of the methods generally used for the preparation of benzene are as following : 14
  • 15.
    GENERAL METHODS 1 :Dehydration of Cyclohexane . 2 : From Acetylene . 3 : From Alkanes . 4 : Preparation in the Laboratory . 5 : Wurtz-Fittig Reaction . 15
  • 16.
    1- Dehydrogenation of Cyclohexane: • When cyclohexane or its derivative is dehydrogenated we get benzene . The reaction is carried out by the use of a catalyst , pt or pd ,at elevated temperature e.g, 2500c . Cyclohexane Benzene 16
  • 17.
    2- From Acetylene: • Benzene is formed by passing acetylene under pressure over an organo-nickle catalyst at 700c . 17
  • 18.
    3- From Alkanes: • Benzene and toluene are also prepared by passing the vapours of n-hexane or n- heptane over a mixture of catalysts Cr2O3 +Al2O3+SiO2 at 5000C . 18
  • 19.
  • 20.
    4- Preparation inthe Laboratory : • Benzene can be prepared by any of the following methods : • * By heating sodium salt of benzoic acid with soda lime : 20
  • 21.
    • *By distillingphenol with zinc dust . 21
  • 22.
    • *By thehydrolysis of benzene sulphonic acid with superheated steam or by boiling with dilute HCl . 22
  • 23.
    5- Wurtz-Fittig Reaction: • The Wurtz reaction for the synthesis of alkanes was extended by Fittig in 1864 ,to the synthesis of alkyl aromatic hydrocarbons. 23
  • 24.
  • 25.
    • Benzene isa colorless liquid. • Benzene is soluble in organic solvents but immiscible in water. • It is an aromatic compound so it has a typical aromatic odor. (Aroma in Greek means pleasant smelling). • Benzene is highly inflammable and burns with sooty flame as compared to alkanes & alkenes which usually burn with a bluish flame. • Its vapors are highly toxic which on inhalation produce loss of consciousness. • Benzene poisoning in the longer run can prove fatal, destroying red & white blood corpuscles. 25
  • 26.
    • Benzene islighter than water ,specific gravity is 0.87g/cm3. • It has high melting point (5.50c) • It has moderate boiling point(80.1) • For homologous series m.p increases with increasing molecular mass due to vander waal’s forces. • All c-c bonds are equal in length of 140 pm. • Bond angel is 120 degree. • Each carbon is sp2 hybridized. • Benzene also shows resonance that is it can exist in different forms based on the positioning of double bond and this property of benzene makes it stable. That is why Benzene does not undergo addition reactions readily but it undergoes substitution reactions. 26
  • 27.
  • 28.
    REACTIONS OF BENZENE •Electrophilic Substitution Reactions • Addition reactions • Oxidation Reaction 28
  • 29.
    Electrophilic Substitution reactions Benzeneundergoes electrophilic substitution reaction. The benzene ring with its delocalized pi electrons is an electron rich system . It is attacked by electrophiles, giving substitution products. These reactions can be represented as : Where E+ is any electrophile . Such reactions in which hydrogen atom of aromatic ring is replaced by an electrophile are called electrophilic aromatic substitution reactions. 29
  • 30.
    Halogenation Benzene react withbromine in the presence of AlBr3 or FeBr3 at room temperature to form bromo- benzene . Iron powder can be used in place of ferric chloride. Benzene Bromobenzene 30
  • 31.
  • 32.
    Nitration Benzene react withconcentrated nitric acid in The presence of concentrated sulphuric acid at 600C to form nitrobenzene. Benzene Nitrobenzene 32
  • 33.
    Mechanism of Nitration •The Nitro group can be reduced to an Amino group if needed 33
  • 34.
    Sulphonation • Benzene reactwith conc. sulphuric acid at 1200C or fuming sulphuric acid at room temperature to give benzene sulfonic acid . 34
  • 35.
  • 36.
    Friedel-Crafts Alkylation • Benzenereacts with alkyl halides in the presence of aluminum chloride ( AlCl3) to form alkyl benzenes. Benzene Toluene 36
  • 37.
    Drawbacks Of Friedel-craftsAlkylation It is useful in the synthesis of certain alkyl benzenes , the reaction has two serious drawbacks:  It is difficult to stop the reaction when one alkyl group has entered the ring . Di- and tri- alkyl benzenes are also formed.  The alkyl group often tends to rearrange . For Example: 37
  • 38.
    Friedel-Crafts Acylation • Benzenereacts with acid chlorides in the presence of aluminum chloride to give aromatic ketones . 38
  • 39.
    ADDITION REACTIONS • Additionof hydrogen: Benzene reacts with hydrogen in the presence of nickel (or platinum) catalyst at 1500C under pressure to form cyclohexane . 39
  • 40.
    Addition of halogens •Benzene reacts with chlorine (or Br) in the presence of ultraviolet light to form benzene hexachloride . • Benzene hexachloride is a powerful insecticide. Benzene Benzene hexachloride 40
  • 41.
    OXIDATION REACTIONS • Ozonolysis: Benzenereacts with ozone to give a triozonide which on treatment with Zn/H2O yields glyoxal. 41
  • 42.
    Vapour phase oxidation •Benzene undergoes oxidation with air/oxygen in the presence of vanadium (V2O5) at 4500C to form maleic anhydride. 42
  • 43.
    EFFECT OF SUBSTITUENTS ONFURTHER SUBSTITUTION 43
  • 44.
    CONCEPT…  Some studentsget confused over which group does the directing, the incoming electrophile, E+,or the initial substituent,-X.  Try thinking about it in terms of an aircraft (the E+) coming into land at an airport (the Ar-X)…  It is the control tower at the airport on the ground (- X) that does the directing of which runway and which ramp the aircraft should go to. 44
  • 45.
    SUBSTITUTION IN MONO SUBSTITUTEDBENZENES  All hydrogen atoms of the benzene ring are equivalent. Therefore, only one mono-substitution product (C6H5- S) is possible. 45
  • 46.
     A secondsubstituent, E, can occupy any of the remaining five positions  The positions 2 and 6 are equivalent, and would give the ortho product.  The positions 3 and 5 are equivalent, and would give the meta product.  The positions 4 is unique and would give the para product. 46
  • 47.
  • 48.
    TWO TYPES OFINFLUENCE OF SUBSTITUENTS Directive or Orientation Effect. Activity Effects. 48
  • 49.
    DIRECTIVE OR ORIENTATIONEFFECT. The first substituent (S) may direct the next incoming substituent (E) to ortho, meta, or para position, depending on the nature of the first substituent. This is called the Directive or the Orientation (Orient: to arrange) Effect. 49
  • 50.
    ACTIVITY EFFECTS. The substituentalready present may activate or deactivate the benzene ring toward further Substitution, these effects are called the activity effects. 50
  • 51.
     Ortho =2/5 of the total, or 40%  meta = 2/5 of the total, or 40%  para = 1/5 of the total, or 20% 51
  • 52.
    ORTHO-PARA DIRECTING EFFECT. Certain substituents direct the second substituent to the ortho and para positions simultaneously. These are called Ortho-Para Directors.  For example, when phenol is nitrated, the only products obtained are 0-nitrophenol and p- nitrophenol. 52
  • 53.
     The substituent–OH is said to have directed the – NO2 group to ortho and para positions on the ring. Therefore,-OH is designated as ortho –para Director.  Some common ortho- para directing groups are –Cl,-Br, -I ,-OH ,-NH2, -CH3 , -C2H5 53
  • 54.
    META DIRECTING EFFECT Thesubstituents which direct the second incoming substituent primarily to the meta position are referred to as meta-directors. For example, nitration of nitro benzene gives 94% of m –dinitrobenzene, and only 5% of ortho and 1% of p- dinitrobenzene 54
  • 55.
  • 56.
    EFFECT OF SUBSTITUENTSON REACTIVITY  A Substituent which activates the aromatic ring to further substitution , is called an activating substituent or ring activator. 56
  • 57.
     A substituentwhich deactivates the aromatic ring to further substitution , is called a deactivating substituent or ring deactivator. 57
  • 58.
     Ortho –paradirectors activate a ring toward electrophilic substitution, whereas meta directing groups deactivate a ring toward electrophilic substitution.  Although F , Cl , Br and I are ortho para directors ,these substituents deactivate an aromatic ring in electrophilic substituents 58
  • 59.
    APPLICATIONS OF AROMATIC COMPOUNDS Differentaromatic compounds are used in different industries and for different purposes. 59
  • 60.
    USES They are extractedfrom complex mixture obtained by the refining of oil or by distillation of coal tar. they are also used to produce chemicals, polymers, including nylon. Phenol and styrene. 60
  • 61.
    OTHER AROMATIC COMPOUNDS. BENZENE: itsmost widely produce derivative including styrene . Which is used to make polymer and plastics. 61
  • 62.
    • Small amountof benzene are used to make some type of rubber , lubricant , dyes detergent , drugs and pesticides . 62
  • 63.
    TOLUENE • A commonsolvents able to dissolve paints, resins & rubber. • In the preparation of saccharin & Tolbutamide (hypoglycemic agent). • For blending petrol. • As a starting material for benzyl derivatives, Benzaldehyde, benzoic acid. 63
  • 64.
    Aromatic nitro compounds •Useful in lab reagents for the identification of organic compounds e.g. • 2,4- DNPH used for the identification of carbonyl compounds. • 2,4- dinitrofluoro benzene is widely used in protein chemistry, commonly known as Sangers reagent. • In the preparation of TNT which is widely used as explosive. • In the preparation of Nitrazepam (used in the management of seizures & as sedative/hypnotic) 64
  • 65.
    PHENOL • Phenol isalso used in preparation of cosmetic including sunscreen and hair dyes. In cosmetic surgery it serve as exfoliator. • In surgical procedure used to treat an ungrown nail which is applied to nail bed to prevent regrowth of nail. 65
  • 66.
    NAPHTHALENE • Act asraw material in the production of dyes and insecticides for preventing moths in clothes. • Also used in production of some pharmaceutical products. 66
  • 67.
    ANTHRACENE • Anthracene isconverted mainly to anthraquinone, a precursor to dyes & has antitumor & laxative activity. 67
  • 68.
    PHENANTHRENE • An importantskeletal nucleus in bile acids, sex hormones & cardiac glycosides. • Codeine is used as analgesic & cough suppressant. 68
  • 69.
    PYRENE • Pyrene andits derivatives are used commercially to make dyes. • DI-BENZONE (A , L) PYRENE • Most potent carcinogen. • XYLENE: A mixture of xylene/ xylol is used as solvent & diluent for lacquers. 69
  • 70.
    Benzene sulphonic acid •In the synthesis of saccharin & azo- dyes. • Sulfa drugs such as sulfanilamide. 70
  • 71.

Editor's Notes