Aldehydes
Physical Properties and Preparation
D.M S.H. K.M
Contents
Introduction: Learning Objectives
Application of Formaldehyde
Application of Acetaldehyde
Physical properties of Aldehydes
2
Preparation of Aldehydes
Examples & Questions
Introduction: Learning Objectives
2. Differentiate application areas of
various Aldehydes
3. Explain methods of various aldehyde
preparation methods by using chemical
reactions
4. Recognize preparation reactions of
Aldehydes
1. List and explain the physical properties
of aldehydes
Application of Formaldehyde
Formaldehyde (methanal)
• an irritating, poisonous gas when in room temperature and
pressure
• bubbling through water produces formalin
• reacts with water, producing methylene glycol
Application of Acetaldehyde
Acetaldehyde (ethanal)
•widespread, naturally occurring, colorless and flammable
liquid with a suffocating smell
•used for acetic acids, perfumes, dyes and drugs, as a flavoring
agent and as an intermediate in the metabolism of alcohol
•reasonably anticipated to be a human carcinogen
•somewhat more toxic than ethanol
Physical properties of Aldehydes - General
•Straight-chain saturated aldehydes are liquids, and the higher aldehydes are
solid
•Higher boiling point than alkanes
•Has lower boiling point than alcohols
•Soluble in both organic solvents and water if it has less than 6 carbon atoms
•Having 6 or more carbon atoms, compounds are soluble in organic solvents
and not in water
•Low-molecular-mass have pungent, penetrating, unpleasant odors
Higher-molecular-mass (above C8) are more fragrant
Physical properties of Aldehydes
Physical properties of Aldehydes
Compound
Van der Waals
Hydrogen bonds Boiling points
London dispersion
forces
Dipole-dipole attraction
forces
1. alkane - 42 °C
2. aldehyde 49 °C
3. ketone 56 °C
4. alcohol 97 °C
Examples & Questions
1.Arrange the molecules in decreasing
order of boiling point?
(a) butanal
(b) 2-methyl propanol
(c) butane
(d) butan-1-ol
Help the Professor…
Physical properties of Aldehydes
Solubility of Aldehydes
The small aldehydes and ketones are freely soluble in water, but solubility falls with chain length.
"O" from compunds "H" from water
Physical properties of Aldehydes
WHY?
Oxygen is far more electronegative than carbon
and so has a strong tendency to pull electrons in a
carbon-oxygen bond towards itself.
•The carbonyl group is inherently polar​
Preparation of Aldehydes
Oxidizing Agents → [O]
KMnO4 / H+(potassium permanganate)K2Cr2O7 / H+
(potassium dichromate) CuO or H2O2(copper oxide or hydrogen
peroxide)
Preparation of Aldehydes
Examples and Practice
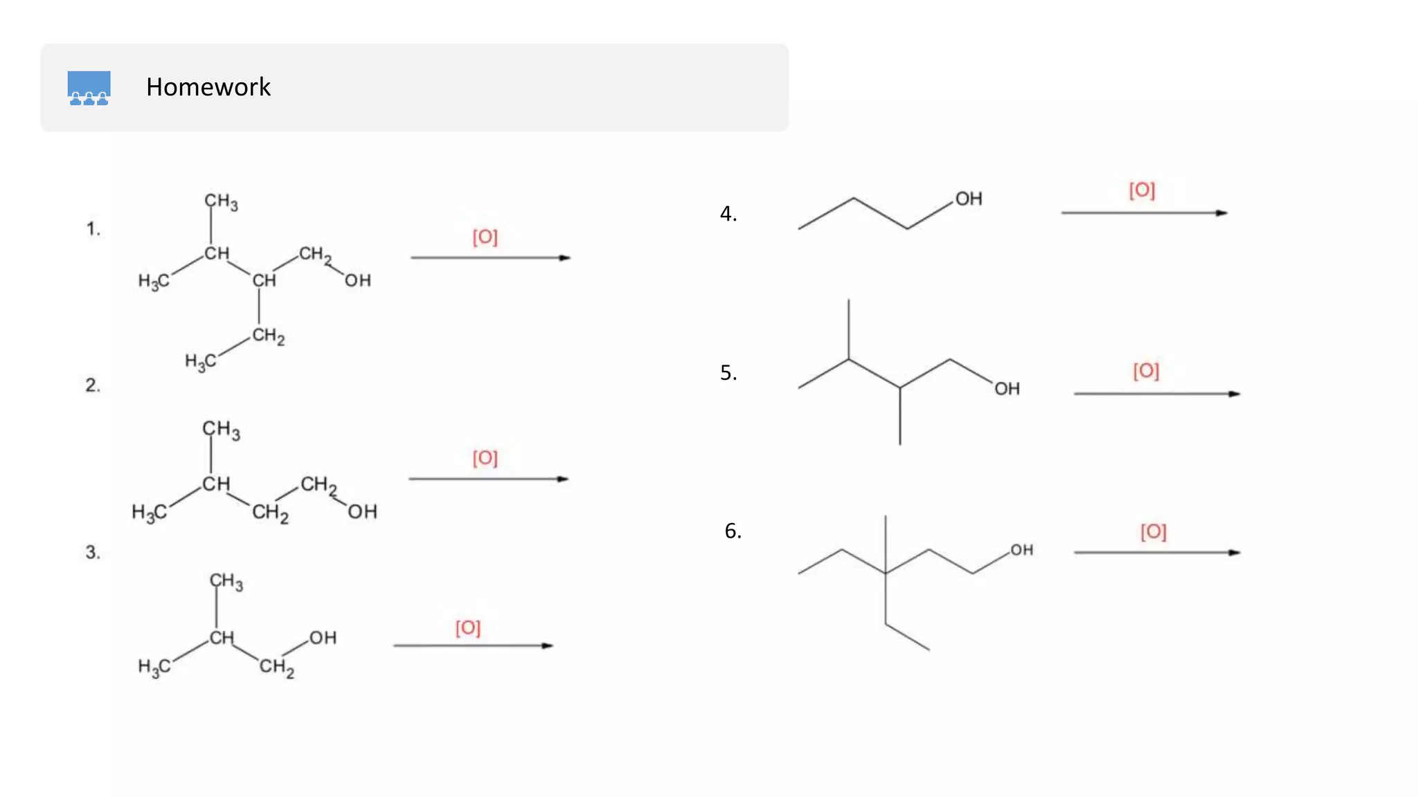
Homework
4.
5.
6.
Aldehydes physical properties and preparation

Aldehydes physical properties and preparation

  • 1.
    Aldehydes Physical Properties andPreparation D.M S.H. K.M
  • 2.
    Contents Introduction: Learning Objectives Applicationof Formaldehyde Application of Acetaldehyde Physical properties of Aldehydes 2 Preparation of Aldehydes Examples & Questions
  • 3.
    Introduction: Learning Objectives 2.Differentiate application areas of various Aldehydes 3. Explain methods of various aldehyde preparation methods by using chemical reactions 4. Recognize preparation reactions of Aldehydes 1. List and explain the physical properties of aldehydes
  • 4.
    Application of Formaldehyde Formaldehyde(methanal) • an irritating, poisonous gas when in room temperature and pressure • bubbling through water produces formalin • reacts with water, producing methylene glycol
  • 5.
    Application of Acetaldehyde Acetaldehyde(ethanal) •widespread, naturally occurring, colorless and flammable liquid with a suffocating smell •used for acetic acids, perfumes, dyes and drugs, as a flavoring agent and as an intermediate in the metabolism of alcohol •reasonably anticipated to be a human carcinogen •somewhat more toxic than ethanol
  • 6.
    Physical properties ofAldehydes - General •Straight-chain saturated aldehydes are liquids, and the higher aldehydes are solid •Higher boiling point than alkanes •Has lower boiling point than alcohols •Soluble in both organic solvents and water if it has less than 6 carbon atoms •Having 6 or more carbon atoms, compounds are soluble in organic solvents and not in water •Low-molecular-mass have pungent, penetrating, unpleasant odors Higher-molecular-mass (above C8) are more fragrant
  • 7.
  • 8.
    Physical properties ofAldehydes Compound Van der Waals Hydrogen bonds Boiling points London dispersion forces Dipole-dipole attraction forces 1. alkane - 42 °C 2. aldehyde 49 °C 3. ketone 56 °C 4. alcohol 97 °C
  • 9.
    Examples & Questions 1.Arrangethe molecules in decreasing order of boiling point? (a) butanal (b) 2-methyl propanol (c) butane (d) butan-1-ol Help the Professor…
  • 10.
    Physical properties ofAldehydes Solubility of Aldehydes The small aldehydes and ketones are freely soluble in water, but solubility falls with chain length. "O" from compunds "H" from water
  • 11.
    Physical properties ofAldehydes WHY? Oxygen is far more electronegative than carbon and so has a strong tendency to pull electrons in a carbon-oxygen bond towards itself. •The carbonyl group is inherently polar​
  • 12.
    Preparation of Aldehydes OxidizingAgents → [O] KMnO4 / H+(potassium permanganate)K2Cr2O7 / H+ (potassium dichromate) CuO or H2O2(copper oxide or hydrogen peroxide)
  • 13.
  • 14.
  • 15.