Σχ. Έτη 17 – 18, 18 - 19
Γ΄ Λυκείου
Μαθηματικά
Ομάδων Προσανατολισμού
F> Επιλεγμένες και Επώνυμες
Ασκήσεις
Επιμέλεια H Κοσόγλου Ιορδάνη Msc μαθηματικού
Γε< Λ Εξαπλατάνου «Μεν< Λουντέμης» Μαθηματικά Γ ΄ Ομ< Προσανατολισμού
x1]
ΑΣΚΗΣΕΙΣ
1. Να εξεταστούν ως τις τη μονοτονία οι κάτωθι συναρτήσεις H
α ) x@;@x+A : x³ ? β ) @xA +? γ )
3
x4 -
δ ) A+@ x1
e -
ε )
2x
x3
+
στ ) x + lnx
ζ )
1e
1e
x
x
+
-
2. Δίνεται η συνάρτηση f H RàR : για την οποία ισχύει
f A(x) + f(x) + x
2
1
= > (?) για κάθε x oÎ <
α ) Να αποδειχθεί ότι η f(x) είναι «?;?»<
β ) Να βρεθεί ο τύπος της f ;?(x)<
γ ) Να λυθεί η εξίσωση f ;?(xA ; x) = f ;?(A ; Ax)<
3. Δίνονται οι συναρτήσεις f(x) =
ae
e
x
x
+
και g (x) = ln(x+β) : όπου
α: β oÎ < Η γραφική παράσταση της f τέμνει τον y΄y στο
2
1
- και η γραφική
παράσταση της g τέμνει τον x΄x στο @<
α ) Να βρεθούν οι αριθμοί α και β<
β ) Να ορίσετε την συνάρτηση f go <
γ ) Να βρεθούν τα σημεία τομής της γραφικής παράστασης της f go με τη
γραφική παράσταση της h(x) =
4
x-
<
4. Δίνεται η συνάρτηση f H RàR για την οποία ισχύει
@f(; x) + f(x) = αe;x + ex t x : για κάθε x oÎ και α oÎ < Αν η γραφική
παράσταση της f(x) τέμνει τον άξονα y΄y στο ? <
α ) Να βρεθεί ο αριθμός α<
β ) Να βρεθεί ο τύπος της f(x)<
γ ) Να μελετηθεί η f(x) ως προς τη μονοτονία<
δ ) Να λυθεί η ανίσωση H 03222122
>-++- --
xxee xx
5. Δίνεται γνησίως φθίνουσα συνάρτηση f(x) με πεδίο ορισμού το R για την
οποία ισχύει f(ex+@) + f(x+A) = x : για κάθε x oÎ <
Γε< Λ Εξαπλατάνου «Μεν< Λουντέμης» Μαθηματικά Γ ΄ Ομ< Προσανατολισμού
x2]
α ) Να αποδείξετε ότι η f(x) είναι αντιστρέψιμη<
β ) Να βρεθούν τα σημεία τομής της f(x) με τον x΄x<
γ ) Να λυθεί η ανίσωση H f(D ; f ;?(x@;B)) > ><
6. Δίνεται η συνάρτηση g (x) = ex + x t ?<
α ) Να μελετηθεί η g (x) ως προς τη μονοτονία<
β ) Να βρείτε τα σημεία τομής της γραφικής παράστασης της g (x) με τον x΄x<
γ ) Δίνεται η συνάρτηση f H RàR : για την οποία ισχύει H
( fg o )(x) = x ; ? : να αποδείξετε ότι η f(x) είναι προς ?;?<
δ ) Να βρείτε το f(?)<
7. Δίνεται η γνησίως φθίνουσα συνάρτηση f H (>: +∞)à R καθώς και η
συνάρτηση g (x) = f(x) t lnx<
α ) Να αποδείξετε ότι η g (x) είναι γνησίως φθίνουσα<
β ) Να λύσετε την ανίσωση H f(ex) ; f(e@) < x t @<
8. Δίνεται η συνάρτηση f(x) = xA + α x + @ : α oÎ < Η γραφική παράσταση της
f o f τέμνει τον y΄y στο ?B<
α ) Να βρεθεί ο α<
β ) Να αποδείξετε ότι η f(x) είναι αντιστρέψιμη<
γ ) Να βρείτε τα σημεία τομής των γραφικών παραστάσεων f(x) και f ;?(x)<
δ ) Να λύσετε την ανίσωση f( f( x ;@) ; C ) < f ;?(?B)<
9. Δίνεται η συνάρτηση f(x) = α + ex;? : α oÎ <
α ) Να αποδείξετε ότι η f(x) είναι αντιστρέψιμη<
β ) Αν ισχύει f ;?(B) = ? : τότε να βρεθεί ο α <
γ ) Δίνεται η συνάρτηση g(x) = @ ex;A + x t @ : να αποδείξετε ότι η g (x) είναι
?;?<
δ ) Να βρείτε τα σημεία τομής των γραφικών παραστάσεων g (x) και g;? (x)<
10. Δίνεται η συνάρτηση f(x) H RàR για την οποία ισχύει
f A(x) + @ f(x) = ?@ex : x oÎ (?)<
α ) Να αποδειχθεί ότι f(x) > > για κάθε x oÎ <
β ) Να βρείτε τα σημεία τομής της f(x) με τον y΄y<
γ ) Να αποδείξετε ότι η f(x) είναι ?;?<
δ ) Να λυθεί η εξίσωση H f( x ;A)=
2
22 1
e
lne ln
+ <
Γε< Λ Εξαπλατάνου «Μεν< Λουντέμης» Μαθηματικά Γ ΄ Ομ< Προσανατολισμού
x3]
11. Δίνεται η f(x) H RàR για την οποία ισχύει H f(f(x);@) = x (?)
α ) Να αποδείξετε ότι η f(x) είναι ?;?<
β ) Να αποδείξετε ότι f ;?(x) = f(x;@) : x oÎ <
γ ) Να λυθεί η εξίσωση H f(@ex ;?) = f ;?(A)<
12. Δίνονται οι συναρτήσεις f(x) = ex + e;x : g (x) = Aσυνx;?<
α ) Να αποδείξετε ότι η f(x) έχει ελάχιστο το @<
β ) Να βρεθούν τα ακρότατα της g (x)<
γ ) Να βρείτε τα κοινά σημεία των γραφικών παραστάσεων των f(x) : g (x) <
13. Δίνεται η συνάρτηση f H (>: +∞)à R : για την οποία ισχύουν
f(?) + f(e) = @e+A και f(x) ; f(y) = ln
y
x
+@(x;y) : x : yÎ (>: +∞)<
α ) Να βρεθούν τα f(?) και f(e)<
β ) Να βρεθεί ο τύπος της f(x)<
γ ) Να αποδείξετε ότι η f(x)είναι αντιστρέψιμη<
δ ) Να λύσετε την ανίσωση H B(x@ ; ?) <
83
10
2
2
+
+
x
x
ln <
14. Δίνεται η συνάρτηση f H RàR για την οποία ισχύει H
f A(x) + Af(x) + x = > (?) : x oÎ <
α ) Να βρεθεί το f(>)
β ) Να αποδείξετε ότι η f(x)αντιστρέφεται και να βρεθεί η f ;?(x)<
γ ) Να αποδείξετε ότι η f(x) είναι γνησίως φθίνουσα<
δ ) Να βρείτε τα διαστήματα στα οποία η γραφική παράσταση της f(x)είναι
κάτω από τον x΄x
ε ) Να λυθεί η ανίσωση H f( f( x +?) t ?A ) < @<
15. Δίνεται η συνάρτηση f(x) για την οποία ισχύει H
f(f(x)) + x = @>>B : χ RÎ (?)
Να δείξετε ότι H
α ) η f(x) είναι ?;?:
β ) f ;?(x) = ; f(x) + @>>B:
γ ) η f(x) δεν είναι γνησίως μονότονη:
δ ) f(>) + f(@>>B) = @>>B<
Γε< Λ Εξαπλατάνου «Μεν< Λουντέμης» Μαθηματικά Γ ΄ Ομ< Προσανατολισμού
x4]
16. Δίνεται η συνάρτηση f H Rà R για την οποία ισχύει H
f(α+β) = f(α) + f(β) : για κάθε α,β RÎ
α ) Να δείξετε ότι f(>) = >
β ) Να δείξετε ότι f(;x) = ; f(x)
γ ) Αν η f(x) = > έχει μοναδική ρίζα : να δείξετε ότι η f(x) αντιστρέφεται<
δ ) Να δειχθεί ότι H f;?(x+ψ) = f;?(x) + f;?(ψ) : x : ψ oÎ <
17. Έστω η f(x) η οποία για κάθε χ RÎ : ικανοποιεί τη σχέση H
fA(x) + Cf(x) + x = > (?)
α ) Αποδείξτε ότι η f(x) αντιστρέφεται και βρείτε την αντίστροφη της<
β ) Βρείτε τα κοινά σημεία των Cf : Cf
;?<
18. Έστω f(x) για την οποία ισχύει H f(f(x)) = x A : για κάθε χ RÎ < (?)
α ) Αποδείξτε ότι η f(x) αντιστρέφεται<
β ) Να δειχθεί ότι H f(xA) = (f(x))A ΥΠΟΔΕΙΞΗ β ) βάλε όπου χ το f(x) στην (?)
γ ) Λύστε την εξίσωση H f(x) = x<
δ ) Αποδείξτε ότι H [f(;?)]A+ [f(?)]A = f(>)<
ε ) Αν f(F) = DB : υπολογίστε το f(@)<
19. Δίνονται οι συναρτήσεις f(x) = x
x
x
-
3
2
: g (x) =
x
x3
<
α ) Εξετάστε αν είναι ίσες οι f(x) : g (x)<
β ) Σχεδιάστε τη συνάρτηση h(x) =
î
í
ì
>
£-
0
0
x),x(f
x,x
και την ευθεία
y = ;x+@ στο ίδιο καρτεσιανό σύστημα και κατόπιν να λυθούν :
ι ) η εξίσωση h(x) + x t @ = >
ιι ) η ανίσωση h(x) + x t @ ≤ >
γ ) Η γραφική παράσταση της h(x) και η ευθεία y = ? σχηματίζουν
τρίγωνο: να αποδειχθεί ότι το εμβαδόν Ε του μικτόγραμμου τριγώνου
είναι Ε < ? τ< μ
Δημοσιεύτηκε στο fb την @B<>D<?F απ τον συνάδερφο Γ< Μπαρακλιανό
Γε< Λ Εξαπλατάνου «Μεν< Λουντέμης» Μαθηματικά Γ ΄ Ομ< Προσανατολισμού
xR]
20. Δίνεται f(?;ex) = x : x ≥ ><
α ) Να υπολογιστεί ο τύπος και το πεδίο ορισμού της f(x)<
β ) Να αποδειχθεί ότι H f(?;π@) > f(@;π@) και ότι η f(x) έχει ελάχιστη τιμή
το ><
γ ) Δίνεται η ω(x) =
ï
î
ï
í
ì
Î
Î
Ax),x(g
Bx,
x
x3
: όπου g (x) = f(x) +f(;x) και Α,Β τα
ευρύτερα δυνατά σύνολα στο R<
ι ) Να βρεθούν τα Α και Β<
ιι ) Να δειχθεί ότι ω(;x) = ;ω(x) για κάθε x στο R<
ιιι ) Να δειχθεί ότι η καμπύλη της t(x) = x@+αx : α < > : τέμνει την
γραφική παράσταση της ω(x) σε ένα μόνο σημείο<
Δημοσιεύτηκε στο fb την A><>D<?F απ τον συνάδερφο Γ< Μπαρακλιανό
21. Δίνεται ότι f(@x+?) = @x;A : x oÎ <
α ) Να δειχθεί ότι f(x) = x;B : x oÎ <
β ) Αν Αf = [;?:@] : να βρεθούν τα πεδία ορισμού των παρακάτω
συναρτήσεων H g(x)=f(@x;?) : h(x) = f(ln(x+?)) :φ(x)=f(e;x)
γ ) Αν f(t(x)) = lnx t ? : x > > : να βρεθεί η συνάρτηση )x(t
δ ) ι ) Ποιο είναι το πεδίο ορισμού της w(x) = lnf(x); ))x(f(f-
ιι ) Να δειχθεί ότι w(x) ≤ lnB : για κάθε x wAÎ <
Δημοσιεύτηκε στο fb την >?<>E<?F απ τον συνάδερφο Γ< Μπαρακλιανό
22. Δίνεται η f(x) =
x1x
1
++
: x ³ ><
α ) Nα δείξετε ότι: f(x) = x1x -+
β ) να αποδείξετε ότι f(x) > > για κάθε x ³ >
γ ) να αποδείξετε ότι η f(x) αντιστρέφεται και να βρείτε την αντίστροφη
της<
δ ) Nα δειχθεί ότι για κάθε x ³ > ισχύει H f(x) £ ?
ε ) Να δειχθεί ότι η μέγιστη τιμή τις f(x) είναι το ?<
στ ) Nα λύσετε την εξίσωση H
( x1x -+ )( 1)8xx7xx 33
=-++-+ [ Ευκλείδης τεύχος CF ]
Γε< Λ Εξαπλατάνου «Μεν< Λουντέμης» Μαθηματικά Γ ΄ Ομ< Προσανατολισμού
x6]
23. Δίνεται η f(x) = x+ 1x2
+ < Να αποδείξετε ότι H
α ) f(x) > > για κάθε x RÎ
β ) η f(x) αντιστρέφεται και να βρείτε την αντίστροφη της<[ Ευκλείδης τεύχος CF ]
24. Δίνεται η f(ex) = lnx t ? : x > ?<
α ) Να βρεθεί η f(x)<
β ) Να δειχθεί ότι f( x ) < f(x+?) για κάθε x >?
γ ) Να δειχθεί ότι f;?(x) =
1+x
e
e : x oÎ <
δ ) Να υπολογιστούν τα όρια H
ι ) 2
1 1)x(
)x(f
lim
x -+
>-
ιι ) 2
1
1 1)x(
)x(f
lim
x +
-
->-
ε ) Αν g(x) = f(ex) και το Ο(>:>) και Α(e:g(e)) και Γ(x: g(x)) με x > e : να
δειχθεί ότι η γωνία ΟΑΓ είναι μεγαλύτερη των G>><
Δημοσιεύτηκε στο fb την ?E<>F<?F απ τον συνάδερφο Γ< Μπαρακλιανό
25. Έστω f H (>:+∞) και για κάθε x > > ισχύει H x)x(fe )x(f
=× (?)
α ) Να δειχθεί ότι η f(x) είναι γν.αύξουσα<
β ) Να υπολογιστεί το f(Α)<
γ ) Να λυθεί η f;?(ex) < lnB
δ ) Να βρεθεί το Π.Ο της g(x) = f(e+@συνx+?) και να λυθεί η g(x) = ?<
Δημοσιεύτηκε στο fb την ?F<>F<?F απ τον συνάδερφο Γ< Μπαρακλιανό
26. Δίνεται η συνάρτηση f H RàR για την οποία ισχύει H
x·f(x)≤ x@+Ax : x oÎ :
και το όριο )x(flim
x 0>-
υπάρχει και είναι πραγματικός αριθμός<
α ) Να αποδειχθεί ότι )x(flim
x 0>-
= A<
β ) Να βρεθεί το όριο
21
4132
0 -+
-+--
>- )x(f
)x(f)x(f)x(f
lim
x
<
27. Δίνεται η συνάρτηση f H RàR για την οποία ισχύει H
20
24
3
0
=
-+
+
>- x
x)x(f
lim
x
hm
Να βρεθούν : αν υπάρχουν : τα όρια H
Γε< Λ Εξαπλατάνου «Μεν< Λουντέμης» Μαθηματικά Γ ΄ Ομ< Προσανατολισμού
x7]
α ) )x(flim
x 0>-
β )
x
)x(f
lim
x 0>-
γ )
x
)x(f
lim
x hm0>-
δ ) 3
0
2
x
)x(f)x(f
lim
x
-
>-
28. Δίνεται η συνάρτηση f H RàR για την οποία ισχύει H
1
5
24 2
2
=
-
--
>- x
)xx)(x(f
lim
x
Να βρεθούν : αν υπάρχουν : τα όρια H
α ) )x(flim
x 2>-
β ) )x(f)x(f)x(fxlim
x
2784 2
2
-+-
>-
]<
29. Δίνεται η συνάρτηση f H RàR για την οποία ισχύει H
242
-+£- xx)x(f : για κάθε x oÎ <
Να βρεθούν τα όρια H
α ) )x(flim
x 0>-
β )
x
)x(f
lim
x 0>-
γ )
x
))x(f(
lim
x
hm
0>-
<
30. Έστω f(x) =
1
1
2
232
++
++-
xx
xx)(
l
ll
: λ oÎ <
α ) Να βρεθεί το )x(flim
x -¥>-
για κάθε λ oÎ <
β ) Αν λ = > : να υπολογιστούν H
ι ) )x(flim
x 1->-
ιι ) xx
xx
x e
)e)(x(f
lim
23
2
0 +-
+
>-
ιιι ) xx
xx
x e
)e)(x(f
lim
2
2
+
-
+¥>-
γ ) Αν λ = ? : να δειχθεί ότι H
Γε< Λ Εξαπλατάνου «Μεν< Λουντέμης» Μαθηματικά Γ ΄ Ομ< Προσανατολισμού
x8]
ι ) 02018
=×
+¥>-
)x)
x
)x(f
((lim
x
hm
ιι ) f(x) > ? για κάθε x στο (;@:>)
ιιι ) 3
43
43
2018
1
=
+
-
+
+
-¥>-
xx
xx
x
))(x(f
lim
δ ) Το όριο της περιμέτρου ορθ< Παραλληλογράμμου με μήκη ? μον και
f(x) μονάδες όταν xà+∞ είναι B μον< Τι μπορούμε να ισχυριστούμε για
το ορθογώνιο όταν xà+∞<
Δημοσιεύτηκε στο fb την @><>F<?F απ τον συνάδερφο Γ< Μπαρακλιανό
31. Έστω f(x) μη σταθερή συνάρτηση απ το R στο R και για κάθε x : y oÎ
ισχύει H f(x+y) = Af(x)f(y)<
α ) Να δειχθεί ότι f(>) =
3
1
<
β ) Να δειχθεί ότι f(x) > > για κάθε x oÎ <
γ ) Επίσης : f(;x) =
)x(f9
1
<
δ ) Αν 0=
+¥>-
)x(flim
x
: τότε δείξτε ότι +¥=
-¥>-
)x(flim
x
<
Δημοσιεύτηκε στο fb τον Αύγουστο του ?F απ τον συνάδερφο Γ< Βεντούρη
32. Έστω f(x) = e;x t x και f(R) = R <
α ) Να δειχθεί ότι υπάρχει η f;?(x) και να συγκριθούν οι αριθμοί f;?(@>?F) :
f;?(@>?G)<
β ) Να λυθούν οι εξισώσεις
ι ) =- 2
x
e x@ + ? ιι ) f;?(x) = >
γ ) Να λυθούν οι ανισώσεις H
ι )
2
2
2 212
e
e
xxe xx -
++³--
ιι ) tlnx + 5
1 1
51
e
)(fe xln
+-³+ --
δ ) Να υπολογιστούν τα όρια H
Γε< Λ Εξαπλατάνου «Μεν< Λουντέμης» Μαθηματικά Γ ΄ Ομ< Προσανατολισμού
x9]
ι ) ))x(f
x
(lim
x
-
+¥>-
hm2
1
ιι ) ]x)x(fxlim
x
2
+
+¥>-
ιιι ) )e)x(f(ln )x(f
x
lim +
-¥>-
Δημοσιεύτηκε στο fb την @C<>F<?F απ τον συνάδερφο Γ< Μπαρακλιανό
33. Έστω f H RàR με f(@x) = xx
xx
-
-
+
-
44
44
: x oÎ <
α ) Να δειχθεί ότι η f(x) =
14
14
+
-
x
x
<
β ) Να βρεθούν τα όρια )x(flim
x +¥>-
και )x(flim
x -¥>-
<
γ ) Να δειχθεί ότι η f(x) είναι γνησίως αύξουσα στο πεδίο ορισμού της<
δ ) Να βρεθεί το f(Α)<
ε ) Να υπολογιστεί η f ;?(x)<
στ ) Να βρεθούν τα όρια στα άκρα του πεδίου ορισμού της f ;?(x)<
Δημοσιεύτηκε στο fb την ?A<?><?F απ τον συνάδερφο Θ< Ξένο
34. Δίνεται η συνεχής συνάρτηση f H RàR : για την οποία ισχύει H
f (
p
p
hmp 4232 -
=+- x
)x(f)e x
: για κάθε x oÎ
α ) Να αποδειχθεί ότι H f(?) + f(;?) = ;?
β ) Να αποδειχθεί ότι υπάρχει ένα τουλάχιστον ξ στο διάστημα [>:π] : τέτοιο
ώστε να ισχύει H
f(συνξ) = ;συν
2
x
35. Δίνεται η συνεχής συνάρτηση f H Rà(;∞ : ?) με f(>) = f(?) =
2
1
και η συνεχής συνάρτηση g (x) H Rà (
2
1
: +∞) : με g (@) =A και g (A) = ?<
Να αποδείξετε ότι H
α ) υπάρχει x? στο διάστημα (>:?) ώστε να ισχύει H f(x?) = @x?<
β ) υπάρχει x@ στο διάστημα (@:A) ώστε να ισχύει H g (x@) = x@
γ ) υπάρχει ξ oÎ : ώστε H f(ξ)g(ξ) = ξ<
Γε< Λ Εξαπλατάνου «Μεν< Λουντέμης» Μαθηματικά Γ ΄ Ομ< Προσανατολισμού
x10]
36. Δίνεται η συνάρτηση H f(x) = xlnxx ---1
α ) Να μελετηθεί ως προς τη μονοτονία<
β ) Να βρεθεί το f(Α)<
γ ) Να αποδειχθεί ότι η γραφική παράσταση της f(x) τέμνει τον άξονα x΄x
ακριβώς σε ένα σημείο<
37. Δίνεται η συνάρτηση H f(x) = xlnex x
-+-- -
1
α ) Να μελετηθεί ως προς τη μονοτονία<
β ) Να βρεθεί το f(Α)<
γ ) Να αποδειχθεί ότι η γραφική παράσταση της f(x) τέμνει τον άξονα x΄x
ακριβώς σε ένα σημείο<
38. Δίνεται η συνεχής συνάρτηση f H RàR : για την οποία ισχύει
f @(x) ; D f(x) = x@ : για κάθε x oÎ και
επιπλέον η γραφική παράσταση της f(x) τέμνει τον y΄y στο σημείο με
τεταγμένη B<
α ) Να αποδειχθεί ότι f(x) ≠ > : για κάθε x oÎ <
β ) Να βρεθεί ο τύπος της f(x)<
γ ) Να υπολογιστούν τα όρια H
)x(f
x
lim
x
hm
+¥>-
: )x)x(f(lim
x
+
-¥>-
<
39. Δίνεται η συνεχής συνάρτηση f H RàR : για την οποία ισχύει f(@) = A
και f(x)·f(f(x)) = @B : για κάθε x oÎ <
α ) Να βρεθεί η τιμή f(A)<
β ) Να αποδειχθεί ότι υπάρχει ξ oÎ τέτοιο ώστε f(ξ) = D<
γ ) Να βρεθεί η τιμή f(D)<
40. Δίνεται η συνάρτηση f H RàR : για την οποία ισχύει
7
0
=
+
>- x
x)x(f
lim
x
hm
α ) Να βρεθεί το όριο )x(flim
x 0>-
<
β ) Ομοίως το όριο
x
)x(f
lim
x 30hm>-
<
Γε< Λ Εξαπλατάνου «Μεν< Λουντέμης» Μαθηματικά Γ ΄ Ομ< Προσανατολισμού
x11]
41. Δίνεται η συνάρτηση f H RàR : για την οποία ισχύει
ημ@x ≤ f(x) ≤ x@ : για κάθε x oÎ <
α ) Να αποδειχθεί ότι η f(x) είναι συνεχής στο ><
β ) Να βρεθεί το όριο
x
)(f)x(f
lim
x
0
0
-
>-
<
42. Δίνεται η συνάρτηση f H RàR : για την οποία ισχύει
8
110
=
-+
-
>- x
x)x(f
lim
x
Να βρεθούν τα παρακάτω όρια H
α ) )x(flim
x 0>-
β ) )
x
)x(f(lim
x
1
0
hm
>-
γ )
x
)x(f
lim
x 50hm>-
43. Δίνεται η συνάρτηση f H με πεδίο ορισμού και σύνολο τιμών το R :
επίσης για την f(x) ισχύει H
f A(x) +Af(x) ; @x = C : για κάθε x oÎ <
α ) Να αποδειχθεί ότι η f(x) είναι ?;?<
β ) Να οριστεί η αντίστροφη της<
γ ) Να βρεθεί το όριο
x
x)x(f
lim
x hm
hm 552 1
0
++-
>-
44. Δίνεται η συνεχής συνάρτηση f H RàR : για την οποία ισχύει
x·f(x)+ημAx = Bx ; Cx@ημ )
x
(
1
: για κάθε x oÎ <
α ) Να βρεθεί ο τύπος της f(x)<
β ) Να υπολογιστούν τα όρια H )x(flim
x -¥>-
και )x(flim
x +¥>-
γ ) Να αποδείξετε ότι η εξίσωση f(x) = > έχει μια τουλάχιστον αρνητική
και μια τουλάχιστον θετική ρίζα<
Γε< Λ Εξαπλατάνου «Μεν< Λουντέμης» Μαθηματικά Γ ΄ Ομ< Προσανατολισμού
x12]
45. Δίνεται η συνεχής συνάρτηση f H RàR : για την οποία ισχύει
x·f(x)+@xB = Ax t ημx : για κάθε x oÎ <
α ) Να βρεθεί η τιμή f(>)<
β ) Να βρεθεί το όριο )x(flim
x +¥>-
<
γ ) Να αποδείξετε ότι η εξίσωση f(x) = > έχει μια τουλάχιστον θετική ρίζα<
46. Δίνεται η συνεχής συνάρτηση f H RàR : για την οποία ισχύει
5
1
2
1
=
-
+
>- x
)x(f
lim
x
και η Cf τέμνει τον y΄y στο σημείο Μ(>:A)<
α ) Να βρεθεί η τιμή f(?)<
β ) Να δειχθεί ότι οι γραφικές παραστάσεις των f(x) : g (x) = x@;? : έχουν
ένα τουλάχιστον κοινό σημείο με τετμημένη xο ),( 10Î
γ ) Να υπολογιστεί το όριο
12
2
1 -
++
>- x
xx)x(f
lim
x
<
47. Δίνεται η συνάρτηση f H RàR : έτσι ώστε να ισχύει H
f A(x) +@ f(x) = x + ? : για κάθε x oÎ
α ) Να δειχθεί ότι η f είναι ?;?<
β ) Να αποδειχθεί ότι το σύνολο τιμών της f είναι το o και στη συνέχεια να
βρεθεί η αντίστροφη της<
γ ) Να αποδειχθεί ότι η f είναι γνησίως αύξουσα<
δ ) Να αποδειχθεί ότι η f είναι συνεχής στο ;?<
ε ) Να αποδειχθεί ότι η f είναι συνεχής στο xο oÎ <
48. Έστω f H RàR : για την οποία ισχύουν H
· συνεχής στο R:
· (x;x@)·f(x)=ημx t x : x < >
· f@(x) + f(x) = ex·(ex t ?) : x >>
· +¥=
+¥>-
)x(flim
x
α ) Να βρεθεί η τιμή f(>)<
β ) Να βρεθεί η f(x)<
Γε< Λ Εξαπλατάνου «Μεν< Λουντέμης» Μαθηματικά Γ ΄ Ομ< Προσανατολισμού
x13]
γ ) Να βρεθεί το πρόσημο της f(x)<
δ ) Να βρεθεί το )x(flim
x -¥>-
<
ε ) Να δείξετε ότι η εξίσωση H 0
1
=+
xx
)x(f
sun
: έχει τουλάχιστον μια ρίζα
στο (;π : ;
2
p
)< Δημοσιεύτηκε στο fb την >A<?><?F απ τον συνάδερφο Θ< Παπανδρέου
49. Έστω η συνάρτηση H f(x) =
î
í
ì
>-
£-
11
11
2
x,)x(
x,x
α ) Είναι συνεχής στο ? I
β ) Είναι παραγωγίσιμη στο ? I
γ ) Να βρεθεί η εξίσωση της εφαπτομένης της γραφικής παράστασης της f(x)
στο (@:?)<
50. Δίνεται η συνάρτηση H f(x) =
x
4
:
α ) Να βρεθεί η εξίσωση της εφαπτομένης της f(x) στο τυχαίο Μ(xο : f(xο))
β ) Να δειχθεί ότι το τρίγωνο το οποίο σχηματίζει η προηγούμενη
εφαπτομένη με τους άξονες έχει σταθερό εμβαδόν<
γ ) Αν Α και Β τα σημεία που η εφαπτομένη στο Μ τέμνει τους άξονες : να
δειχθεί ότι το Μ είναι μέσο του ΑΒ<
51. Δίνεται η f(x) = @· 311 ++- )xln(
α ) Να βρεθεί το πεδίο ορισμού της<
β ) Να αποδειχθεί ότι είναι ?;?<
γ ) Να οριστεί η αντίστροφη<
δ ) Να λυθεί η εξίσωση H f;?(?+x) = @<
52. Δίνεται η f(x) =
12
2
+x
x
α ) Εξετάστε τη μονοτονία της<
β ) Εξετάστε κυρτότητα και σημεία καμπής<
γ ) Να βρεθούν οι ασύμπτωτες της f(x) <
δ ) Να γίνει η γραφική της παράσταση<
Γε< Λ Εξαπλατάνου «Μεν< Λουντέμης» Μαθηματικά Γ ΄ Ομ< Προσανατολισμού
x14]
53. Δίνεται η f(x) = συν(lnx) : xÎ [?: eπ]<
α ) Να γίνει η μελέτη της < (μονοτονία-ακρότατα-σύνολο τιμών)
β ) Να βρεθεί η εξίσωση της εφαπτομένης (ε) της f(x) στο σημείο που η
γραφική παράσταση της f(x) τέμνει τον xx΄<
γ ) Εξετάστε την f(x) ως προς την κυρτότητα και τα Σ.Κ <
δ ) Υπολογίστε το Ι = ò
p
e
dx)x(f
1
<
Δημοσιεύτηκε στο fb την ?A<>F<?F απ τη συνάδερφο Ν.Ψαθά
54. Έστω f(x) παραγωγίσιμη στο διάστημα [>:@>?C] με f(>)=> και
f(@>?C)=@>?C<
Να αποδειχθεί ότι H
α ) υπάρχει ένα τουλάχιστον x> Î (>:@>?C) τέτοιο ώστε να ισχύει H
f(x>) + x> = @>?C
β ) υπάρχουν τουλάχιστον ξ? : ξ@ Î (>:@>?C) τέτοια ώστε H f ΄(ξ?)·f ΄(ξ@) = ?<
55. Δίνεται η συνάρτηση f(x) με τύπο H f(x) = B∙ 2-x
e + A<
α ) Να βρεθεί το πεδίο ορισμού της< Μονάδες E
β ) Να βρεθεί το σύνολο τιμών της< Μονάδες ?>
γ ) Να ορίσετε την f;?(x)< Μονάδες F
56. Δίνεται συνάρτηση με πεδίο ορισμού το R για την οποία ισχύει H
xe)x(fe x)x(f
+=+ : x oÎ <
α ) Να δείξετε ότι η f(x) είναι ?;?<
β ) Να λυθεί H f(lnx)= f(?;x@)
γ ) Να δείξετε ότι f(x) = x για κάθε x oÎ <
δ ) Να λυθεί H
2
x
e ; ex + x@ t x > > <
57. Δίνεται η f(x) = (x;?)·lnx ; ? : x > ><
α ) Να δειχθεί ότι η f(x) είναι γνησίως αύξουσα στο [?:+∞) και γνησίως
φθίνουσα στο (>:?]<
β ) Να αποδειχθεί ότι η εξίσωση H xx;? = e@>?A : x > > : έχει ακριβώς δυο
θετικές ρίζες<
γ ) Αν x? : x@ με x? < x@ είναι οι ρίζες του β) να αποδειχθεί ότι υπάρχει
xο Î( x? : x@) : τέτοιο ώστε να ισχύει H
f ΄(xο) + f(xο) = @>?@
δ ) Να βρεθεί το εμβαδόν του χωρίου που περικλείεται από την συνάρτηση
g(x) = f(x) + ? :με x > > : τον x ΄x και την ευθεία x = e<
Γε< Λ Εξαπλατάνου «Μεν< Λουντέμης» Μαθηματικά Γ ΄ Ομ< Προσανατολισμού
x1R]
58. Δίνεται η συνεχής f H (>:+∞) à R : και ισχύει H
f@(x) + @lnx = ln@x + ? : x > >
α ) Να βρεθούν όλοι οι τύποι της παραπάνω συνάρτησης<
β ) Αν g(x) = ; 1-xln : x > > : να μελετηθεί ως προς την
παραγωγισιμότητα t μονοτονία t ακρότατα ; κυρτότητα<
γ ) Να δειχθεί ότι η γραφική παράσταση της g έχει μοναδικό κοινό
σημείο με την ευθεία (ε) y = x;@ και να βρεθεί το κοινό σημείο<
δ ) Να γίνει η γραφική παράσταση της Cg : (ε) στο ίδιο σύστημα αξόνων<
ε ) Να βρεθεί το εμβαδόν που περικλείεται απ την Cg : την (ε) και την
ευθεία x = A<
Δημοσιεύτηκε στο fb την @C<>G<?F απ τη συνάδερφο Ν< Ψαθά
59. Δίνεται η f(x) =
î
í
ì
=
>
00
0
x,
x,xlnx
:
α ) να αποδειχθεί ότι είναι συνεχής στο ><
β ) Να μελετηθεί ως προς τη μονοτονία και να βρεθεί το σύνολο τιμών της<
γ ) Να βρεθεί το πλήθος των διαφορετικών θετικών ριζών της εξίσωσης H
x = x
a
e για όλες τις τιμές του πραγματικού α<
δ ) Να αποδειχθεί ότι H f ΄(x+?) > f(x+?) ; f(x): για κάθε x >><
60. Έστω η f H RàR : δυο φορές παραγωγίσιμη για την οποία ισχύουν H
· f(>) = A και f΄(>) = ?
· f(x)· f ΄΄(x) t (f ΄(x))@ = @ex : για κάθε x ÎR<
α ) Να αποδειχθεί ότι f(x) > > για κάθε x ÎR<
β ) Να αποδειχθεί ότι η f(x) είναι κυρτή στο R<
γ ) Να αποδειχθεί ότι η g(x) = ln(f(x)) είναι κυρτή στο R<
δ ) Να αποδειχθεί ότι f(x) ≥ A 3
x
e για κάθε x ÎR<
ε ) Αν α : β : γ ÎR με α+ β+ γ = > : να δειχθεί ότι H f(α)·f(β)·f(γ)≥@E<
Γε< Λ Εξαπλατάνου «Μεν< Λουντέμης» Μαθηματικά Γ ΄ Ομ< Προσανατολισμού
x16]
61. Δίνεται η f(x) =
x
xln
α ) Να μελετηθεί ως προς τη μονοτονία και τα ακρότατα της και να δειχθεί
ότι H
x
e
xln
2
£ για κάθε x > ><
β ) Να συγκριθούν οι αριθμοί
11
10 :
10
11
γ ) Να βρεθούν οι α : β ÎR αν ισχύει ότι H
e
a
a
ea
b
b
b
4
=×
62. Δίνεται η f(x) = e@x ; B ex + A : x oÎ <
α ) Να εξεταστεί ως προς τη μονοτονία t ακρότατα<
β ) Να βρεθούν οι ασύμπτωτες και το πλήθος των ριζών της εξίσωσης
f(x) = )
x
x(lim
x
p
hm×
+¥>-
γ ) Να εξεταστεί ως προς την κυρτότητα και τα σημεία καμπής η f(x) <
δ ) Να γίνει η γραφική παράσταση της<
ε ) Να λυθούν οι ανισώσεις H
ι ) e@x +@ x + A < B ex
ιι ) @(f(Ax@+?); f(@x@+C)) > f@(@x@+C); f(Ax@+?)
Δημοσιεύτηκε στο fb την @A<>G<?F απ τη συνάδερφο Ν< Ψαθά
63. Δίνεται η f(x) =
î
í
ì
=
>
00
02
x,
x,)x(lnx
:
α ) να αποδειχθεί ότι είναι συνεχής στο ><
β ) Να υπολογιστεί η f ΄(x)<
γ ) Να βρεθεί το εμβαδόν του χωρίου που περικλείεται από την f(x) τον x ΄x και
τις ευθείες x =? και x = e<
64. Έστω η συνάρτηση f(x) = 2
2
2
+-
x
x
xln
<
α ) Να μελετηθεί ως προς τη μονοτονία και τα ακρότατα<
β ) Να βρεθεί το πλήθος των ριζών της εξίσωσης H
@lnx = xA + x(@α;B) :
για τις διάφορες τιμές του πραγματικού α<
Γε< Λ Εξαπλατάνου «Μεν< Λουντέμης» Μαθηματικά Γ ΄ Ομ< Προσανατολισμού
x17]
γ ) Να βρεθούν τα κ : λ : μ ώστε να ισχύει H
f(κ)+ f(λ) = A + μ@
65. Δίνεται η συνεχής συνάρτηση f H RàR : για την οποία ισχύει H
20052
0
=
-
>- x
x)x(f
limx
α ) Να δειχθεί ότι f(>)=> και f ΄(>)=?
β ) Να βρεθεί ο λ oÎ ώστε 3
2 22
22
0
=
+
-
>- )x(fx
)x(fx
limx
l
γ ) Αν επιπλέον f ΄(x) > f(x) για κάθε x oÎ και η f(x) είναι
παραγωγίσιμη με συνεχή παράγωγο στο o: να δειχθεί ότι H
ι ) x·f(x) > > : για κάθε x
*
oÎ
ιι ) c ΕΠΑΝΑΛΗΠΤΙΚΕΣ ΠΑΝΕΛΛΗΝΙΕΣ @>>C
66. Έστω η f H RàR : παραγωγίσιμη για την οποία ισχύουν H
· f(x) ≠ > για κάθε x >><
· 2111
=+-
)(fe )(f
·
)x(fx
)x(f
)x(f 2
+
=¢ για κάθε x > ><
α ) Να βρεθεί το f(?)<
β ) Να δειχθεί ότι f(x) = x <
γ ) Να βρεθεί το όριο για τις διάφορες τιμές του λ ÎR<
))x(f)xx(f(lim
x
22
54 ×-++
+¥>-
l
δ ) Να βρεθούν οι εφαπτομένες της f(x) που διέρχονται από το (A:@)<
67. α ) Να λυθεί η εξίσωση 0122
=-- xex
: x oÎ
β ) Να βρεθούν όλες οι συνεχείς συναρτήσεις f H RàR που ικανοποιούν
τη σχέση H f @(x) = 22
1
2
)xe( x
-- : x oÎ <
γ ) Αν f(x) = 122
-- xex
: x oÎ : να δειχθεί ότι η f(x) είναι κυρτή<
δ ) Να λυθεί η εξίσωση H
f( 3+xhm ); f( xhm )= f(x+A); f(x) : x ),x +¥Î 0
ΠΑΝΕΛΛΗΝΙΕΣ @>?D t Θέμα Γ
Γε< Λ Εξαπλατάνου «Μεν< Λουντέμης» Μαθηματικά Γ ΄ Ομ< Προσανατολισμού
x18]
68. Έστω f H [>: +∞)à R μια συνάρτηση με f(?) = @e;? : η οποία είναι
συνεχής και ισχύει για κάθε x Î [>: +∞)
x@f ΄(x) ; f(x) + x
e
1
-
= > (?)
α ) Να δειχθεί ότι ο τύπος της f(x) είναι H
f(x) =
ï
ï
î
ï
ï
í
ì
=
>+
-
00
01
1 1
x,
x,e)
x
( x
β ) Να βρεθεί το εμβαδόν του χωρίου που περικλείεται από την γραφική
παράσταση της f(x) τον x΄x και τις ευθείες x = ? και x = λ : όπου > < λ < ?<
γ ) Να μελετηθεί η f(x) ως προς τη μονοτονία : να βρεθούν οι ασύμπτωτες
της και να δειχθεί ότι f(x) < ? : για κάθε x ≥ > <
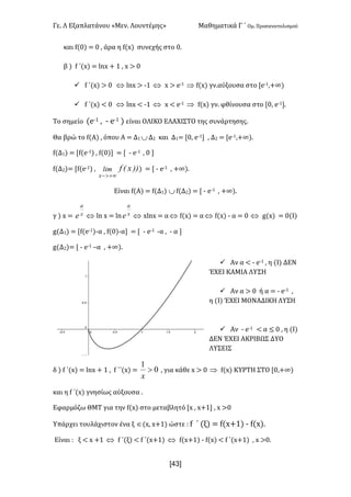
69. Έστω συνάρτηση f(x) ορισμένη και παραγωγίσιμη στο [>:A] : για την
οποία γνωρίζουμε ότι H
· Η γραφική παράσταση της f ΄(x) δίνεται στο παρακάτω σχήμαH
· f(>)=@ : f(?) = >
· Το εμβαδόν του χωρίου που περικλείεται μεταξύ της γραφικής
παράστασης της f ΄(x) και των ευθειών x = > : x = A ισούται με F
τ.μ
· Η f(x) δεν ικανοποιεί τις υποθέσεις του Θ.Ε.Τ στο [>:A]<
α ) Να αποδειχθεί ότι f(A) = @ : f(@) = ;@ και να βρείτε αν υπάρχουν τα όρια
xln
)x(f
lim
x 1>-
:
20 ->- )x(f
x
lim
x
< Δικαιολογήστε< Μονάδες F
Γε< Λ Εξαπλατάνου «Μεν< Λουντέμης» Μαθηματικά Γ ΄ Ομ< Προσανατολισμού
x19]
β ) Προσδιορίστε τα διαστήματα στα οποία η f(x) είναι γνησίως αύξουσα :
γνησίως φθίνουσα : κυρτή : κοίλη και τις θέσεις των τοπικών ακροτάτων και
σημείων καμπής της f(x)< Μονάδες F
γ ) Να αποδείξετε ότι υπάρχει μοναδικό xοÎ(@:A) για το οποίο δεν υπάρχει το
όριο
)x(f
lim
oxx
1
>-
< Μονάδες C
δ ) Να σχεδιαστεί η γραφική παράσταση της f(x)< Μονάδες B
ΕΠΑΝΑΛΗΠΤΙΚΕΣ ΠΑΝΕΛΛΗΝΙΕΣ @>?E t Θέμα Γ
70. Δίνεται η συνάρτηση f(x) =
ï
ï
î
ï
ï
í
ì
>+-
=
<£-+-
023
02
0
2
23
x,xx
x,
x,a
x
x phm
α ) Να αποδειχθεί ότι η f(x) στο διάστημα [>:@] ικανοποιεί το Θ.Μ.Τ
Αν η f(x) είναι συνεχής στο πεδίο ορισμού της : τότε H
β ) Να βρεθεί η τιμή του πραγματικού α<
γ ) Να μελετηθεί η f(x)ως προς τη μονοτονία<
δ ) Να αποδειχθεί ότι H ò
-
-<<
2
2
1
2
3
p
p
p dx)x(f
ε ) Να αποδειχθεί ότι η εξίσωση f( )x×-
2
p
= f( )e x-
×-
2
p
έχει μοναδική
λύση στο (>:?)<
ΕΠΑΝΑΛΗΠΤΙΚΕΣ ΠΑΝΕΛΛΗΝΙΕΣ @>?E t Θέμα Δ
71. Δίνεται η συνάρτηση f H RàR για την οποία ισχύουν H
· είναι παραγωγίσιμη στο R:
· είναι κυρτή στο R:
· f(α)= f(β) = > : με α < β<
Δείξτε ότι H
α ) υπάρχει μοναδικό xo ÎR τέτοιο ώστε : f ΄(xo) = ><
Γε< Λ Εξαπλατάνου «Μεν< Λουντέμης» Μαθηματικά Γ ΄ Ομ< Προσανατολισμού
x20]
β ) η f(x) έχει ελάχιστη τιμή στο xo:
γ ) f(x) < > : για κάθε xÎ(α,β)
δ ) f(@>?E)+ f(@>@?)>@f(@>?G) ε ) +¥=
+¥>-
)x(flimx
72. Δίνεται η συνάρτηση g(x) H (>: +∞)à R : δυο φορές παραγωγίσιμη με
g΄΄(x) < > για κάθε x > > < Αν f(x) = g(x+@)+ g(@;x) και g(@) = > :
α ) Να βρεθεί το πεδίο ορισμού της f(x)<
β ) Να δειχθεί ότι η f(x) είναι άρτια<
γ ) Να εξεταστεί η f(x) ως προς τη μονοτονία και τα ακρότατα<
δ ) Να εξεταστεί η f(x) ως προς τη κυρτότητα και τα Σ.Κ
ε ) Αν -¥=
>-
)x(glim
x 0
: να βρεθούν οι Κ.Α της f(x)<
στ ) Αν 2<a : να δειχθεί ότι H ò ò
-
+
-
=
a
a
a
a
dx)x(gdx)x(f
2
2
2
Δημοσιεύτηκε στο fb την >@<>C<?F απ τον συνάδερφο Γ< Βεντούρη
73. Δίνονται οι συναρτήσεις f(x) = 2+x : g(x) =
3
4+x
<
α ) Να βρεθούν τα κοινά σημεία τους και η σχετική τους θέση<
β ) Να εξετάσετε αν η f παραγωγίζεται στο ;@ και στη συνέχεια να
μελετηθεί ως προς τη μονοτονία t ακρότατα t κοίλα και σύνολο τιμών<
γ ) Να γίνει η γρ< παράσταση της f<
δ ) Να βρεθεί το εμβαδόν που περικλείεται απ τις Cf : Cg<
ε ) Να εξετάσετε αν ορίζεται η f;? και να βρεθεί μαζί με το πεδίο ορισμού
της<
στ ) Να χαράξετε τις γρ< παραστάσεις των Cf : Cf
;? <
74. Δίνονται οι συναρτήσεις f(x) = ln(x@+?) : g(x) HRàR με g(>) = > και
g΄(x) =
1
1
2
+x
για κάθε xÎR<
α ) Μονοτονία-Ακρότατα-Κοίλα-Σ.Κ της f(x)<
β ) Έχει ασύμπτωτες η f(x): να γίνει χάραξη της<
γ ) Να αποδειχθεί ότι για κάθε α : βÎ R : ισχύει H b
b
-£
+
+
a
a
ln
1
1
2
2
<
Γε< Λ Εξαπλατάνου «Μεν< Λουντέμης» Μαθηματικά Γ ΄ Ομ< Προσανατολισμού
x21]
δ ) Να υπολογιστεί το ολοκλήρωμα H Ι = ò
1
0
dx)x(xf
ε ) Να αποδειχθεί ότι το εμβαδόν Ε του χωρίου που περικλείεται απ τους
άξονες : την f(x) και την ευθεία x = ? είναι ίσο με Ε = @g(?) +ln@;@<
στ ) Να δειχθεί ότι η h(x) = g(x) + g(
x
1
) είναι σταθερή στο (>:+∞)<
ζ ) Να δειχθεί ότι : g(εφx) = x : για κάθε x Î(;
22
pp
, )< Υπόδειξη θέσε g(εφx)=φ(x)
75. Δίνεται η συνάρτηση f(x) =
x
x
hm
: x ÎΔ = (>:π)<
α ) Να δειχθεί ότι η φ(x) = x t @ημxσυνx + xσυν@x : είναι θετική στο Δ<
Υπόδειξη H Είναι δευτεροβάθμια ως προς συν@x : βρείτε τη Δ<
β ) Να δείξετε ότι : f ΄΄(x) =
x
)x(
3
hm
j
και η f(x) είναι κυρτή< Να βρεθούν οι
ασύμπτωτες της<
γ ) Εξετάστε τη μονοτονία t ακρότατα της f(x)< Να βρεθεί το σύνολο
τιμών της και να γίνει η γραφική της παράσταση<
δ ) Να δειχθεί ότι H )
xx
(
x -
+
+
=
- 1
1
1
1
2
1
1
1
2
ε ) Να υπολογιστεί το ολοκλήρωμα H J = ò
3
2
3
1
p
p hm
dx
x
στ ) Να δείξετε ότι H
ò
3
2
3
p
p
dx)x(f =
2
p
ò
3
2
3
p
p
dx
x
)x(f
=π·ln 3
Δημοσιεύτηκε στο fb την >B<>D<?F απ τον συνάδερφο Mπ< Στεργίου
76. Έστω η παραγωγίσιμη συνάρτηση f H (>:+∞)àR για την οποία ισχύει H
(x@; x)·f ΄(x) + x·f(x) = ? : για κάθε x >>
α ) Να αποδειχθεί ότι H f(x) =
ï
ï
î
ï
ï
í
ì
=
¹<
-
11
10
1
x,
x,
x
xln
Γε< Λ Εξαπλατάνου «Μεν< Λουντέμης» Μαθηματικά Γ ΄ Ομ< Προσανατολισμού
x22]
β ) Να αποδείξετε ότι H ò ò=
a
a
dt
t
)t(f
dt)t(f
1
1
1
: για κάθε α > ><
γ ) Αν η g είναι αρχική της f(x) με g(?) = > : να αποδείξετε ότι η g είναι
κοίλη <
δ ) Αν Ε το εμβαδόν του χωρίου που περικλείεται απ την γρ< παράσταση
της g τον xx΄ και την ευθεία x = A: να αποδειχθεί ότι Ε < @<
Υπόδειξη H Χρησιμοποιήστε την κυρτότητα της g και την εφαπτομένη της στο (?:>)<
ε ) Αν Η αρχική της h(t) = tf(t) : t > > και α > > : να αποδείξετε ότι H
α·(g(α); g (
a
1
)) ≥ Η(α);Η(
a
1
)< Υπόδειξη HΠεριπτώσεις για το α<
ΕΠΑΝΑΛΗΠΤΙΚΕΣ ΠΑΝΕΛΛΗΝΙΕΣ @>?C t Θέμα Δ
77. Δίνεται η παραγωγίσιμη f H RàR με f(>) = ? και την ιδιότητα H
f ΄(x)·(x@+?)+ x·f(x) = ? +@x·(x+ 12
+x ) : x ÎR
α ) Να αποδείξετε ότι η συνάρτηση g H RàR με
g(x) = 12
+x ·f(x) ; x 12
+x ; x@ t ? είναι σταθερή και ότι
f(x) = x + 12
+x : xÎR<
β ) Να μελετηθεί η f(x) ως προς τη μονοτονία και τα ακρότατα : το σύνολο
τιμών της και το πλήθος των ριζών της εξίσωσης H 12
+x = @>?F t x<
γ ) Να μελετηθεί η f(x) ως προς τα κοίλα : να βρεθούν οι ασύμπτωτες και να
γίνει η χάραξη της<
δ ) Αν F είναι αρχική της f(x) να λυθεί η εξίσωση H F(@x)+F(Ax) =F(Bx)+ F(Cx)
ε ) Να αποδειχθεί ότι η f(x) αντιστρέφεται και ότι η αντίστροφη της είναι η
f ;?(x) =
x
x
2
12
-
<
στ ) Να λυθεί η εξίσωση H
xxxxx
e)ee)(ee( -----
=-+++ 22422
111 Υπόδειξη H Διαίρεσε όλους με e@;x<
Προτείνεται απ τον συνάδερφο Mπ< Στεργίου για τις Πανελλήνιες @>?F; Δ Θέμα
78. Δίνεται η συνάρτηση f(x) = xA+ x + ? : x Î R<
Γε< Λ Εξαπλατάνου «Μεν< Λουντέμης» Μαθηματικά Γ ΄ Ομ< Προσανατολισμού
x23]
α ) Να αποδειχθεί ότι αντιστρέφεται και να βρεθεί το πεδίο ορισμού της
f;?<
β ) Να μελετήσετε τη μονοτονία και τα ακρότατα της f;?<
γ ) Να λυθεί η ανίσωση H f;?(x) ≥ x : x Î R<
δ ) Να υπολογιστεί το πρόσημο της f;?<
ε ) Να υπολογίσετε τους αριθμούς f;?(;?) : f;?(?)<
στ ) Να υπολογιστεί το όριο H )y(flim
y
1
11
-
>-
ζ ) Να υπολογιστεί ο ρυθμός μεταβολής της x = f;?(y) ως προς y για y=?<
η ) Να βρεθεί το εμβαδόν του χωρίου που περικλείεται μεταξύ των f : f;?
και των ευθειών x = ;? : x = ?<
Γενική Άσκηση των συναδέρφων Μ.Χατζόπουλου-Β.Κακαβά-Θ.Ποδηματά-Α.Πάτση
Η λύση της είναι ΕΔΩ H httpH==lisari<blogspot<com=@>?F=>D=blog;post<html
79. Δίνεται η f(x) = x ; ,
x2
4
x
*
oÎ <
α ) Να μελετηθεί ως προς τη μονοτονία t ακρότατα
β ) Να μελετηθεί ως προς την κυρτότητα t Σ.Κ
γ ) Να βρεθούν οι ασύμπτωτες της γρ< παράστασης της f(x)<
δ ) Να σχεδιαστεί η γρ< παράσταση της f(x)<
ΠΑΝΕΛΛΗΝΙΕΣ @>?F t Θέμα Β
80. Δίνεται η f(x) =
2
2 xe ax
--
: x Î R με α > ?<
α ) Να αποδειχθεί ότι για κάθε α > ? η γρ< παράσταση της f(x) έχει
ακριβώς ένα σημείο καμπής<
β ) Να αποδειχθεί ότι υπάρχουν μοναδικά x? : x@ Î R με x? < x@ τέτοια
ώστε η f(x) να παρουσιάζει Τ.Μ στο x? και Τ.Ε στο x@ <
γ ) Να αποδειχθεί ότι f ΄(?) < > για κάθε α > ?<
δ ) Να αποδειχθεί ότι η εξίσωση H f(x) = f(?) είναι αδύνατη στο
διάστημα (α: x@ )<
ε ) Να βρεθεί η εξίσωση της εφαπτομένης της f(x) στο (@: f(@))<
στ ) Να υπολογιστεί το ολοκλήρωμα H ò --
3
2
222 dx)x(x <
ζ ) Να αποδειχθεί ότι H ò ->-
3
2 15
32
2dxx)x(f
ΠΑΝΕΛΛΗΝΙΕΣ @>?F t Θέμα Δ
Γε< Λ Εξαπλατάνου «Μεν< Λουντέμης» Μαθηματικά Γ ΄ Ομ< Προσανατολισμού
x24]
ΠΗΓΕΣ ΑΣΚΗΣΕΩΝ
1. Πανελλαδικές Εξετάσεις t Επαναληπτικές Πανελλήνιες t Τέκνων του
Εξωτερικού<
2. Ενδοσχολικές Εξετάσεις Γε.Λ Εξαπλατάνου : σχολικά έτη ?B;?C : ?C;?D<
3. Μαθηματικά Γ΄ Λυκείου: Επαναληπτικά Θέματα στα Πρότυπα του Σχολικού
Βιβλίου: Ν.Ζανταρίδης-Π.Παντούλας-Β.Μαυροφρύδης-Κ.Τηλέγραφος:
Εκδόσεις Ζανταρίδης Τηλέφραφος: Μάρτιος @>?E<
4. Επανάληψη στα Μαθηματικά : Γιάννης Καραγιάννης Σχολικός Σύμβουλος
Μαθηματικών: Μάρτιος @>?E<
5. @ο Διαγώνισμα Προσομοίωσης Πανελληνίων @>?E : Γιάννης Καραγιάννης
Σχολικός Σύμβουλος Μαθηματικών: Μάϊος @>?E<
6. www<studyBexams<gr= Προσπελάστηκε >D<>B<?
7. Επιλεγμένα Θέματα ΕΜΕ t Περιοδικά ΕΜΕ (Ευκλείδης Β΄)
8. Επιλεγμένες Ασκήσεις Προετοιμασίας: Άσκηση Εβδομάδας: Γε< Λ Γιαννιτσών :
σχολικό έτος ?C;?D : httpH==eisatopon<blogspot<gr=<
9. Μαθηματικά Θετικής και Τεχνολογικής Κατεύθυνσης Γ? : Β< Παπαδάκης :
Εκδόσεις Σαββάλας : @>>G<
10.Μαθηματικά Θετικής και Τεχνολογικής Κατεύθυνσης Γ : τεύχος Β΄ :
Αθανάσιος Χ< Μπάρλας : Εκδόσεις Ελληνοεκδοτική : @>?A<
11.Αναλύοντας την Ανάλυση : Γιώργος Τσαπακίδης : Εκδόσεις Μαυρίδη: @>?E<
12.Οδηγός Επανάληψης: Μαθηματικά Γ΄ : Μπ.Στεργίου-Χρ.Νάκης: Μαθηματική
Λέσχη: Ιανουάριος @>?F<
13.Προτεινόμενες ασκήσεις συναδέρφων: Ομάδες Μαθηματικών fb: σχολικά έτη
?E;?F: ?F;?G<
Σχ. Έτη 17 – 18, 18 - 19
Γ΄ Λυκείου
Μαθηματικά
Ομάδων Προσανατολισμού
7/ Επιλεγμένες και Επώνυμες
Ασκήσεις με Ενδεικτικές Λύσεις
Επιμέλεια 9 Κοσόγλου Ιορδάνη Lrb μαθηματικού
Γε- Λ Εξαπλατάνου ªΜεν- Λουντέμηςº Μαθηματικά Γ ΄ Ομ- Προσανατολισμού
x1]
7/ ΕΠΙΛΕΓΜΕΝΕΣ ΑΣΚΗΣΕΙΣ ΜΕ ΕΝΔΕΙΚΤΙΚΕΣ ΛΥΣΕΙΣ
1. Να εξεταστούν ως τις τη μονοτονία οι κάτωθι συναρτήσεις 9
α | w1;1w+2 : w³ 0 β | 1w2 +0 γ |
3
x4 -
δ | 2+1 x1
e -
ε |
2x
x3
+
στ | w + kmw
ζ |
1e
1e
x
x
+
-
ΛΥΣΗ
α | Έστω w0 ; w1 : e{w0| ;e{w1|< w0
1 •w1
1 ;1w0 + 1w1 <{w0; w1|{w0+w1 • 1|
e{w0| ;e{w1| ; / : άρα γνησίως αύξουσα στο Z0:+∞|-
β | e{w0| ;e{w1| < 1w0
2 ;0 • 1w1
2 +0 < 1{w0;w1|{w0
1 + w0 w1 + w1
1| ; / :
γιατί το άλλο τριώνυμο ως προς w0 : Δ < ;2w1
1 ; / άρα ομόσημο του 0-
γ | Α < {;¥ : 3 και w0; w1 Þ ;w0 = ;w1 Þ 3; w0 = 3 ;w1 Þ e{w0| =e{w1|
δ | w0; w1 Þ 0; w0 = 0; w1 Þ d0;w0 = d0;w1 Þ e{w0| =e{w1|
ε | w ¹ ;1 άρα Α < {;¥:;1| È{;1:+ ¥| < Α0 ÈΑ1 :
§ έστω w0 ; w1Î Α0: τότε λ <
)2x)(2x(
6
21 ++
= / : γνησίως αύξουσα στο Α0
§ έστω w0 : w1 Î Α1 : τότε λ = / άρα γνησίως αύξουσα στο Α1-
§ Όμως γενικά στο Α δεν είναι τίποτα γιατί e{;4| < +4 και e{+4| < 1-4
άρα ;4;4 και e{;4| = e{+4| -
στ | γνησίως αύξουσα : γιατί :
ζ | Βρίσκω το πρόσημο της παράστασης λ <
12
12
xx
)xEf)xEf
-
-
ή μόνο το
πρόσημο της διαφοράς )xEf)xEf 12 - ή γράφω την συνάρτηση
1e
1e
x
x
+
-
ως εξής
1e
1e
x
x
+
-
<
1
21
+
-+
x
x
e
e
<0 ;
1
2
+x
e
και δουλεύω κατασκευστικά : τελικώς
προκύπτει λ = / ή )xEf)xEf 12 - = / : δηλαδή η συνάρτηση μου είναι
γνησίως αύξουσα στο Q-
Γε- Λ Εξαπλατάνου ªΜεν- Λουντέμηςº Μαθηματικά Γ ΄ Ομ- Προσανατολισμού
x2]
2. Δίνεται η συνάρτηση e 9 QàQ : για την οποία ισχύει
e 2{w| + e{w| + x
2
1
< / {0| για κάθε w oÎ -
α | Να αποδειχθεί ότι η e{w| είναι ª0;0º-
β | Να βρεθεί ο τύπος της e ;0{w|-
γ | Να λυθεί η εξίσωση e ;0{w2 ; w| < e ;0{2 ; 2w|-
ΛΥΣΗ
α | Έστω w0 : w1 ÎQ με e{w0| < e{w1| Þe2{w0| < e2{w1| {1|
Επίσης e{w0| < e{w1| {2| : προσθέτω {1|+{2| και προκύπτει μέσω της {0|
w0 < w1 άρα η e{w| είναι 0;0 και αντιστρέφεται-
β | Θεωρώ τη συνάρτηση f{w| < •1w2 ; 1w : w Î Q και f{Q| < Q-
Η f{w| είναι γνησίως φθίνουσα στο Q γιατί :
έστω w0 : w1 ÎQ με w0 ; w1 Û w0
2 ; w1
2 Û ; 1w0
2 = ;1w1
2 {3|
w0 ; w1 Û ;1w0 = ;1w1 {4| -
Προσθέτω {3|: {4| και προκύπτει f{w0 |= f{w1| : άρα 0;0-
e 2{w| + e{w| + x
2
1
< / Û w < f{e{w|| Û f;0 {w| < e{w| : w Î Q-
Οι συναρτήσεις e : f ;0 έχουν το ίδιο πεδίο ορισμού και f;0 {w| < e{w| για κάθε
w Î Q άρα θα έχουν και το ίδιο σύνολο τιμών : άρα e{Q| < Q-
f;0 {w| < e{w| Û {f;0 |;0{w| < e ;0{w| Û f{w| < e ;0{w| Û
e ;0{w|< •1w2 ; 1w : wÎQ-
γ | e ;0{w2 ; w| < e ;0{2 ; 2w| Û w2; w < 2;2w Û w2 +1w • 2 < /Û
{w;0|{ w1+w+2| < / Û w < 0-
3. Δίνονται οι συναρτήσεις e{w| <
ae
e
x
x
+
και f {w| < km{w+β| : όπου
α: β oÎ - Η γραφική παράσταση της e τέμνει τον x΄x στο
2
1
- και η γραφική
παράσταση της f τέμνει τον w΄w στο 1-
α | Να βρεθούν οι αριθμοί α και β-
Γε- Λ Εξαπλατάνου ªΜεν- Λουντέμηςº Μαθηματικά Γ ΄ Ομ- Προσανατολισμού
x3]
β | Να ορίσετε την συνάρτηση e go -
γ | Να βρεθούν τα σημεία τομής της γραφικής παράστασης της e go με τη
γραφική παράσταση της g{w| <
4
x-
-
ΛΥΣΗ
α | e{/|<
2
1
- Û 21
2
1
1
1
=--Û-=
+
a
a
Û α < ;2
f {1| < / Û km{1+β| < km0 Û 1+β < 0 Û β < ;0
β | Η e go έχει πεδίο ορισμού το :
Α < z w Î{0:+ ∞| και km{w;0|≠km2| < z w =0 και w≠3| < {0:3|È{3:+ ∞|-
e go {w|< e{f{w|| <
4
1
31
1
31
1
-
-
=
--
-
=
--
-
x
x
x
x
e
e
)xlnE
)xlnE
-
γ | Λύνω την εξίσωση e go {w| < g{w| στο σύνολο Α-
Έχω : 04444
44
1 22
=-Û+-=-Û
-
=
-
-
xxxx
x
x
x
Û w < ° 1 : δεκτή η
λύση w < 1 που ανήκει στο Α-
Συνεπώς τα κοινό σημείο των δυο συναρτήσεων είναι το {1:
2
1
- |-
Γε- Λ Εξαπλατάνου ªΜεν- Λουντέμηςº Μαθηματικά Γ ΄ Ομ- Προσανατολισμού
x4]
4. Δίνεται η συνάρτηση e 9 QàQ για την οποία ισχύει
1e{;w| + e{w| < αd;w + dw • w : για κάθε w oÎ και α oÎ - Αν η γραφική
παράσταση της e{w| τέμνει τον άξονα x΄x στο 0 -
α | Να βρεθεί ο αριθμός α-
β | Να βρεθεί ο τύπος της e{w|-
γ | Να μελετηθεί η e{w| ως προς τη μονοτονία-
δ | Να λυθεί η ανίσωση 9 03222122
>-++- --
xxee xx
ΛΥΣΗ
α | G e{w| τέμνει τον άξονα x΄x στο 0 άρα e{/| < 0-
Θέτω στη συναρτησιακή σχέση όπου w < / και έχω 9 1e{/| + e{/| < α + 0 Û
2e{/| < α+0 Û α < 1-
β | 1e{;w| + e{w| < 1d;w + dw • w {0| για κάθε w oÎ :
θέτω όπου w το ; w στην {0| και είναι 9 1e{w| + e{;w| < 1dw + d;w + w {1|
Πολλαπλασιάζω την {1| επί ;1 : ;3e{w| ;1e{;w| < ;3dw ;1d;w ;1w {2|
Προσθέτω τις {0| και {2| και έχω 9 ;2e{w| < ;2dw • 2w Û e{w| < dw + w : w oÎ
γ | Έστω w0 : w1 ÎQ με w0 ; w1 Þ 21
21
xexe xx
+<+ Þe{w0| ; e{w1| : άρα η
e{w| είναι γν- αύξουσα στο Q-
δ | 03222122
>-++- --
xxee xx
Û xexe xx
212 21222
-+>-+ --
Û e{w1;1| = e{0;1w| Û w1;1 = 0;1w Û w1+1w;2 = / Û {w+2|{w;0|=/Û
wÎ{;∞:;2|È{0:+∞|-
5. Δίνεται γνησίως φθίνουσα συνάρτηση e{w| με πεδίο ορισμού το Q για
την οποία ισχύει e{dw+1| + e{w+2| < w : για κάθε w oÎ -
α | Να αποδείξετε ότι η e{w| είναι αντιστρέψιμη-
β | Να βρεθούν τα σημεία τομής της e{w| με τον w΄w-
γ | Να λυθεί η ανίσωση 9 e{5 ; e ;0{w1;3|| = /-
ΛΥΣΗ
α | Η e{w| είναι γν- φθίνουσα στο Q άρα 0;0 : συνεπώς αντιστρέφεται στο Q-
β | Όπου w < / : είναι e{d/+1| + e{/+2| < / Û 1e{2| < / Û e{2|</ και η e{w|
είναι γνησίως φθίνουσα άρα τέμνει τον ww΄ μοναδικά στο {2:/|-
Γε- Λ Εξαπλατάνου ªΜεν- Λουντέμηςº Μαθηματικά Γ ΄ Ομ- Προσανατολισμού
xR]
γ | Αρχικά θα αποδείξουμε την εξής πρόταση 9 ª Αν e{w| είναι γνησίως φθίνουσα
στο Α: τότε η e;0{w| είναι γνησίως φθίνουσα στο e{Α|º-
ΑΠΟΔΕΙΞΗ
Έστω μια γνησίως φθίνουσα e{w| στο Α- Και ψ0 : ψ1Îe{Α| • διάστημα: με ψ0 ; ψ1 -
Υποθέτω ότι η e;0{w| δεν είναι γνησίως φθίνουσα : τότε 9
ψ0 ; ψ1 Þ e;0(ψ0| ≤ e;0(ψ1| Þ e{e;0(ψ0|| ³ e{e;0(ψ1|| διότι η e{w| γνησίως
φθίνουσα : άρα προκύπτει ψ0 ³ ψ1 Άτοπο -
Άρα η e;0{w| είναι και αυτή γνησίως φθίνουσα στο e{Α|-
Τα παραπάνω ισχύουν ΠΑΝΤΑ υπό την προϋπόθεση ότι το e{@| είναι διάστημα-
Τώρα έχω :
e{5 ; e ;0{w1;3|| = / Û e{5 ; e ;0{w1;3|| = e{2| Û 5 ; e ;0{w1;3| ; 2
Û 2 ; e ;0{w1;3| Û e;0{/| ; e ;0{w1;3| Û / = w1 • 3 Û w Î{;1:1|-
6. Δίνεται η συνάρτηση f{w| < dw + w • 0-
α | Να μελετηθεί η f{w| ως προς τη μονοτονία-
β | Να βρείτε τα σημεία τομής της γραφικής παράστασης της f {w| με τον w΄w-
γ | Δίνεται η συνάρτηση e 9 QàQ : για την οποία ισχύει 9 { fg o |{w| < w ; 0
να αποδείξετε ότι η e{w| είναι προς 0;0-
δ | Να βρείτε το e{0|-
ΛΥΣΗ
α | Όμοια λύση με Άσκηση 3 ερώτημα {γ|- Προκύπτει ότι η f{w| είναι γν-
αύξουσα στο Q-
β | f{/| < / και η f{w| είναι γν- αύξουσα στο Q : άρα διέρχεται απ την αρχή των
αξόνων-
γ | Αρχικά η f{w| έχει πεδίο ορισμού το Q και η e{w| έχει πεδίο ορισμού Q άρα η
f{e{w|| έχει πεδίο ορισμού το Q-
Έστω w0 : w1 ÎQ με e{w0 | < e{w1 | και η f{w| είναι γνησίως αύξουσα άρα 0;0-
Συνεπώς e{w0 | < e{w1 | Þ f{e{w0|| < f{e{w1|| Þ w0 ;0 < w1 ;0 Þ w0 < w1
δ | { fg o |{w| < w ; 0 Û { fg o |{0| < / και f{/| < / συνεπώς :
Γε- Λ Εξαπλατάνου ªΜεν- Λουντέμηςº Μαθηματικά Γ ΄ Ομ- Προσανατολισμού
x6]
{ fg o |{0| < f{/| Û e{0| < /-
7. Δίνεται η γνησίως φθίνουσα συνάρτηση e 9 {/: +∞|à Q καθώς και η
συνάρτηση f {w| < e{w| • kmw-
α | Να αποδείξετε ότι η f {w| είναι γνησίως φθίνουσα στο πεδίο ορισμού της-
β | Να λύσετε την ανίσωση 9 e{dw| ; e{d1| ; w • 1-
ΛΥΣΗ
α | Η f{w| είναι διαφορά δυο συναρτήσεων των e{w| και g{w| < kmw-
Αe < {/: +∞| και @g < {/: +∞| : άρα @f < {/: +∞|-
Για οποιαδήποτε w0 : w1 Î{/: +∞| με w0 ; w1 Þ ;kmw0 = ; kmw1 {0|
Για οποιαδήποτε w0 : w1 Î{/: +∞| με w0 ; w1 Þ e{w0 | = e{w1 | {1|
Προσθέτω {0| και {1| και προκύπτει f{w0| = f{w1| : άρα η f{w| γν- φθίνουσα στο
{/: +∞|-
β | G ανίσωση έχει πεδίο ορισμού το {/: +∞|- Είναι 9
e{dw| ; e{d1| ; w • 1 Û e{dw| • w ; e{d1| • 1 Û
e{dw| • kmdw ; e{d1| • kmd1 Û f{dw| ; f{d1| Û dw = d1 Û w = 1: Δεκτή-
8. Δίνεται η συνάρτηση e{w| < w2 + α w + 1 : α oÎ - Η γραφική παράσταση της
e o e τέμνει τον x΄x στο 03-
α | Να βρεθεί ο α-
β | Να αποδείξετε ότι η e{w| είναι αντιστρέψιμη-
γ | Να βρείτε τα σημεία τομής των γραφικών παραστάσεων e{w| και e ;0{w|-
δ | Να λύσετε την ανίσωση e{e{ x ;1| ; 4| ; e ;0{03|-
ΛΥΣΗ
α | Η e{w| έχει πεδίο ορισμό το Q : άρα και η e oe έχει το Q-
Η γραφική παράσταση της e o e τέμνει τον x΄x στο 03 άρα { e o e|{/| <03 Û
e{e{/||<03 και e{/| < 1 : άρα Û e{1| < 03 Û 7+1 α + 1 < 03 Û
1 α < 3 Û α < 1-
Γε- Λ Εξαπλατάνου ªΜεν- Λουντέμηςº Μαθηματικά Γ ΄ Ομ- Προσανατολισμού
x7]
β | e{w| < w2 + 1 w + 1 : είναι γνησίως αύξουσα : δοκιμάστε με τον ορισμό : και
άρα 0;0 και αντιστρέφεται-
γ | Αρχικά θα αποδείξουμε την εξής πρόταση 9 ª Αν e{w| είναι γνησίως αύξουσα
στο Α: τότε η e;0{w| είναι γνησίως αύξουσα στο e{Α|º-
ΑΠΟΔΕΙΞΗ
Έστω μια γνησίως αύξουσα e{w| στο Α- Και ψ0 : ψ1Îe{Α| • διάστημα: με ψ0 ; ψ1 -
Υποθέτω ότι η e;0{w| δεν είναι γνησίως αύξουσα : τότε 9
ψ0 ; ψ1 Þ e;0(ψ0| ≥ e;0(ψ1| Þ e{e;0(ψ0|| ³ e{e;0(ψ1|| διότι η e{w| γνησίως
φθίνουσα : άρα προκύπτει ψ0 ³ ψ1 Άτοπο -
Άρα η e;0{w| είναι και αυτή γνησίως αύξουσα στο e{Α|-
Τα παραπάνω ισχύουν ΠΑΝΤΑ υπό την προϋπόθεση ότι το e{@| είναι διάστημα-
Κατόπιν θα αποδείξουμε την εξής πρόταση 9
«Αν η e{w| είναι γνησίως αύξουσα : τότε e{w| < e;0{w| Û w < e{w|º-
ΑΠΟΔΕΙΞΗ
{ Þ | Έστω ότι e{w| = w Þ e;0{e{w|| =e;0(χ| Þ w =e{w| Άτοπο : ομοίως αν θεωρήσω ότι e{w| ; w θα
καταλήξω σε άτοπο : άρα e{w| < w-
{ Ü | Αν e{w| < w Þ w < e;0{w| < e{w| -
Συνεπώς για να βρώ τα κοινά σημεία των e : e;0 λύνω ως προς w την :
e{w| < w Û w2 + 1 w + 1 < w Û w2 + w + 1 < / Û {w+0|{w1;w+1| < / Û
w < ;0 : αρά κοινό σημείο το {;0: ;0|-
δ | Η ανίσωση έχει πεδίο ορισμού το Q-
e{e{ x ;1| ; 4| ; e ;0{03| Û e{e{ x ;1| ; 4| ; 1 Û e{e{ x ;1| ; 4| ; e{/|
Û e{ x ;1| ; 4 ; / Û e{ x ;1| ; 4 Û e{ x ;1| ; e{0| Û x ;1 ; 0 Û
x ; 2 Û ;2 ; w ; 2-
9. Δίνεται η συνάρτηση e{w| < α + dw;0 : α oÎ -
α | Να αποδείξετε ότι η e{w| είναι αντιστρέψιμη-
Γε- Λ Εξαπλατάνου ªΜεν- Λουντέμηςº Μαθηματικά Γ ΄ Ομ- Προσανατολισμού
x8]
β | Αν ισχύει e ;0{3| < 0 : τότε να βρεθεί ο α -
γ | Δίνεται η συνάρτηση f{w| < 1dw;2 + w • 1 : να αποδείξετε ότι η f {w| είναι
0;0-
δ | Να βρείτε τα σημεία τομής των γραφικών παραστάσεων f {w| και f;0 {w|-
ΛΥΣΗ
Περιέχει όμοια ερωτήματα με τις ασκήσεις 0;7- Δοκιμάστε να τη λύσετε- Για απορίες ΜΗ
διστάσετε- Μπορείτε να στείλετε τις απορίες σας στο μειλ 9 hnqc`mhrjnr?rbg-fq
10. Δίνεται η συνάρτηση e{w| 9 QàQ για την οποία ισχύει
e 2{w| + 1 e{w| < 01dw : w oÎ {0|-
α | Να αποδειχθεί ότι e{w| = / για κάθε w oÎ -
β | Να βρείτε τα σημεία τομής της e{w| με τον x΄x-
γ | Να αποδείξετε ότι η e{w| είναι 0;0-
δ | Να λυθεί η εξίσωση 9 e{ x ;2|<
2
22 1
e
lne ln
+ -
ΛΥΣΗ
α | e 2{w| + 1 e{w| < 01dw Û {e 1{w| + 1|e{w| < 01dw Απ τη σχέση αυτή
προκύπτει ότι e{w| = / για κάθε w oÎ -
β | Για w < / στην παραπάνω σχέση και έχω 9 e 2{/| + 1e{/| < 01 Û
{e 1{/| + 1 e{/|+5|{ e{/|;1|< / Û e{/| < 1 : άρα τέμνει τον xx΄ στο {/:1|-
γ | Έστω w0 : w1 oÎ με e{w0| < e{w1| Þ e2{w0| < e2{w1| {0|
Επίσης 1e{w0| < 1e{w1| {1| : από πρόσθεση των {0| και {1| κατά μέλη έχω 9
e 2{w0| + 1e{w0| < e 2{w1| + 1e{w1| Þ „„-- w0 < w1 άρα η e{w| είναι 0;0-
δ | Πεδίο ορισμού της εξίσωσης είναι το Q- Είναι 9
e{ x ;2|<
2
22 1
e
lne ln
+ Û e{ x ;2|< 24 - Û e{ x ;2|<1 Û e{ x ;2|< e{/|
Û x ;2</ Û w < °2-
11. Δίνεται η e{w| 9 QàQ για την οποία ισχύει 9 e{e{w|;1| < w {0|
α | Να αποδείξετε ότι η e{w| είναι 0;0-
β | Να αποδείξετε ότι e ;0{w| < e{w;1| : w oÎ -
Γε- Λ Εξαπλατάνου ªΜεν- Λουντέμηςº Μαθηματικά Γ ΄ Ομ- Προσανατολισμού
x9]
γ | Να λυθεί η εξίσωση 9 e{1dw ;0| < e ;0{2|-
ΛΥΣΗ
Περιέχει όμοια ερωτήματα με τις ασκήσεις 0;0/- Δοκιμάστε να τη λύσετε- Για απορίες
ΜΗ διστάσετε- Μπορείτε να στείλετε τις απορίες σας στο μειλ 9 hnqc`mhrjnr?rbg-fq
12. Δίνονται οι συναρτήσεις e{w| < dw + d;w : f {w| < 2συνw;0-
α | Να αποδείξετε ότι η e{w| έχει ελάχιστο το 1-
β | Να βρεθούν τα ακρότατα της f {w|-
γ | Να βρείτε τα κοινά σημεία των γραφικών παραστάσεων των e{w| : f {w| -
ΛΥΣΗ
α | Είναι Α < Q : για w </ είναι e{/| < 1- Συνεπώς η e{w| παίρνει την τιμή 1-
Αρκεί να δείξω ότι 9 e{w| ≥ 1 για κάθε w στο Α-
Είναι e{w|≥1 Û dw + d;w ≥1 Û d1w + 0 ≥ 1dw Û {dw • 0|1 ≥ / : που ισχύει-
β | Η f{w| έχει πεδίο ορισμού το Q και περίοδο 1π: είναι μια μετατόπιση της
3συνw μια θέση προς τα κάτω- Επίσης έχω :
;0 ≤ συνw ≤0 Û ;2≤3συνx≤2 Û ;3 ≤ 2συνw • 0 ≤ 1 : ακρότατες τιμές το ;3
για w <{1λ;0|π και 1 για w <1κπ : κ: λ wÎ -
γ | Από {α| και {β| προκύπτει ότι οι δυο συναρτήσεις τέμνονται μόνο στο {/:1|-
Γε- Λ Εξαπλατάνου ªΜεν- Λουντέμηςº Μαθηματικά Γ ΄ Ομ- Προσανατολισμού
x10]
13. Δίνεται η συνάρτηση e 9 {/: +∞|à Q : για την οποία ισχύουν
e{0| + e{d| < 1d+2 και e{w| ; e{x| < km
y
x
+1{w;x| : w : xÎ {/: +∞|-
α | Να βρεθούν τα e{0| και e{d|-
β | Να βρεθεί ο τύπος της e{w|-
γ | Να αποδείξετε ότι η e{w|είναι αντιστρέψιμη-
δ | Να λύσετε την ανίσωση 9 3{w1 ; 0| ;
83
10
2
2
+
+
x
x
ln -
ΛΥΣΗ
α | e{0| + e{d| < 1d+2 {0| και θέτω στην άλλη σχέση όπου w<0 και x<d-
Είναι: e{0| ; e{d| < ;0+1{0;d| Û e{0| ; e{d| < 0;1d {1|
Προσθέτω τις {0| και {1| και προκύπτει 1e{0| <3 Û e{0| < 1 και e{d| < 1d+0-
β | e{w| ; e{x| < km
y
x
+1{w;x| {2| : w : xÎ {/: +∞|- Στην {2| θέτω όπου x<0 και
προκύπτει 9 e{w| ; e{0| < km x +1{w;0| Þ e{w| < kmw + 1w : w =/-
γ | Είναι γν.αύξουσα στο {/:+∞| - Δες Άσκηση 0 στ|- Άρα 0;0-
δ | Sn πεδίο ορισμού της ανίσωσης είναι το Q-
3{w1 ; 0| ;
83
10
2
2
+
+
x
x
ln Û km{w1 + 0/| + 1{w1 +0/| = km{2w1+7| + 1{2w1+7|Û
e{w1+0/| = e{2w1+7| Û w1+0/ = 2w1+7 Û w1 • 0 ; / Û ;0; w ;0-
Γε- Λ Εξαπλατάνου ªΜεν- Λουντέμηςº Μαθηματικά Γ ΄ Ομ- Προσανατολισμού
x11]
14. Δίνεται η συνάρτηση e 9 QàQ για την οποία ισχύει 9
e 2{w| + 2e{w| + w < / {0| : w oÎ -
α | Να βρεθεί το e{/|
β | Να αποδείξετε ότι η e{w|αντιστρέφεται και να βρεθεί η e ;0{w|-
γ | Να αποδείξετε ότι η e{w| είναι γνησίως φθίνουσα-
δ | Να βρείτε τα διαστήματα στα οποία η γραφική παράσταση της e{w|είναι
κάτω από τον w΄w
ε | Να λυθεί η ανίσωση 9 e{ e{ x +0| • 02 | ; 1-
ΛΥΣΗ
Περιέχει όμοια ερωτήματα με τις ασκήσεις 0;02- Δοκιμάστε να τη λύσετε- Για απορίες
ΜΗ διστάσετε- Μπορείτε να στείλετε τις απορίες σας στο μειλ 9 hnqc`mhrjnr?rbg-fq
15. Δίνεται η συνάρτηση e{w| για την οποία ισχύει 9
e{e{w|| + w < 1//3 : w oÎ {0|
Να δείξετε ότι 9
α | η e{w| είναι 0;0:
β | e{Q| < Q και κατόπιν ότι 9 e ;0{w| < ; e{w| + 1//3:
γ | η e{w| δεν είναι γνησίως μονότονη:
δ | e{/| + e{1//3| < 1//3-
ΛΥΣΗ
α | Έστω w0 : w1 ÎQ με e{w0| < e{w1| Þ {eoe|{w0| < {eoe|{w1| Þ
1//3 ; w0 < 1//3 ; w1 Þ w0 < w1 : άρα 0;0-
β | Έστω τυχαίο xn ÎQ : αν θεωρήσουμε το wο < e{1//3 ; xn| έχουμε
Þ e{wο| < e{e{1//3 ; xn|| < 1//3 • 1//3 + xn < xn : άρα e{Q| < Q-
{e oe|{w| < 1//3 ; w : θέτω όπου w < e ;0{w| :
{e oe|{ e ;0{w|| < 1//3 ; e ;0{w| Û e{w| < 1//3 ; e ;0{w| Û
e ;0{w| < ; e{w| + 1//3-
γ | Έστω ότι η e{w| είναι γν- μονότονη και συγκεκριμένα γν- αύξουσα : τότε για
κάθε
w0 : w1 ÎQ με w0 ; w1 Þ e{w0| ; e{w1| Þ {eoe|{w0| ; {eoe|{w1| Þ
1//3 ; w0 ; 1//3 ; w1 Þ w0 = w1 : ΑΤΟΠΟ : ομοίως για e{w| γν- φθίνουσα-
Γε- Λ Εξαπλατάνου ªΜεν- Λουντέμηςº Μαθηματικά Γ ΄ Ομ- Προσανατολισμού
x12]
δ | Θέτω στην {0| w < / : τότε e{e{/||< 1//3 Û e;0 {1//3| < e{/| {1|
Θέτω w < 1//3 στην σχέση β| και έχω 9 e ;0{1//3| < ; e{1//3| + 1//3 : η οποία
μέσω της {1| γίνεται e{/| < ; e{1//3| + 1//3 Û η ζητούμενη σχέση-
16. Δίνεται η συνάρτηση e 9 Qà Q για την οποία ισχύει 9
e{α+β| < e{α| + e{β| : για κάθε α: β oÎ
α | Να δείξετε ότι e{/| < /
β | Να δείξετε ότι e{;w| < ; e{w|
γ | Αν η e{w| < / έχει μοναδική ρίζα : να δείξετε ότι η e{w| αντιστρέφεται-
δ | Να δειχθεί ότι 9 e;0{w+ x| < e;0{w| + e;0{x| : w : x oÎ -
ΛΥΣΗ
α | α < β < / στη σχέση και e{/| < 1 e{/| Û e{/| < /-
β | α < w και β < ; w στη σχέση και e{/| < e{w| + e{;w| Û ;e{w| < e{;w|-
γ | Αν η e{w| < / έχει μοναδική ρίζα και από {α| είναι w < /-
Έστω w0: w1 oÎ με e{w0| < e{w1| Þ e{w0| ; e{w1| < / Þ e{w0| + e{;w1| < / Þ
e{w0; w1| < / Þ w0 ; w1 < / Þ w0 < w1 άρα η e{w| 0;0-
δ | Έστω ότι w < e{α| και x < e{β| : w : x oÎ .Τότε e ;0{w| < α και e ;0{x| < β-
Προσθέτοντας κατά μέλη τις παραπάνω είναι 9 e ;0{w| + e ;0{x| < α + β {0|-
Επίσης e{α+β| < e{α| + e{β| Û e{α+β| < w + x Û α+β < e ;0{w+ x| {1|-
Από {0| : {1| προκύπτει το ζητούμενο-
17. Έστω ότι υπάρχει e{w|: η οποία για κάθε w oÎ : ικανοποιεί τη σχέση 9
e2{w| + 4e{w| + w < / {0|
α | Αποδείξτε ότι η e{w| αντιστρέφεται και βρείτε την αντίστροφη της-
β | Βρείτε τα κοινά σημεία των Be : Be
;0-
ΛΥΣΗ
α | Όμοια με Άσκηση 1 α| και β|- Η e;0{w| < ; w2 ; 4 w : w oÎ -
Γε- Λ Εξαπλατάνου ªΜεν- Λουντέμηςº Μαθηματικά Γ ΄ Ομ- Προσανατολισμού
x13]
β | | Αν θέλουμε να βρούμε τα κοινά σημεία των e;0{w| : e{w| : τότε λύνουμε το
(Σ| 9
î
í
ì
=
=
-
)x(fy
)x(fy
1
: το οποίο είναι ισοδυναμεί
με το {Σ1| 9
î
í
ì
=
=
-
-
)x(fy
)y(fx
1
1
: μιας και γνωρίζω μόνο την e;0{w|
î
í
ì
=
=
-
-
)x(fy
)y(fx
1
1
Û
î
í
ì
--=
--=
xxy
yyx
5
5
3
3
Û
î
í
ì
-+-=-
--=
)xyExyxy
yyx
5
5
33
3
Û
î
í
ì
-+-=
--=
)xyExy
yyx
40
5
33
3
Û
î
í
ì
+++-=
--=
)xxyy)ExyE
yyx
40
5
22
3
Û
î
í
ì
=
--=
xy
yyx 53
Û
î
í
ì
=
--=
xy
xx 60 3
Û
î
í
ì
=
+=
xy
x)xE 60 2
Û
î
í
ì
=
=
0
0
y
x
-
Άρα μοναδικό σημείο τομής των Be : Be
;0 : το {/:/|-
18. Έστω e{w| για την οποία ισχύει 9 e{e{w|| < w 2 : για κάθε χ oÎ - {0|
α | Αποδείξτε ότι η e{w| αντιστρέφεται-
β | Να δειχθεί ότι 9 e{w2| < {e{w||2 ΥΠΟΔΕΙΞΗ β | βάλε όπου χ το e{w| στην {0|
γ | Λύστε την εξίσωση 9 e{w| < w-
δ | Αποδείξτε ότι 9 Ze{;0|2+ Ze{0|2 < e{/|-
ε | Αν e{7| < 53 : υπολογίστε το e{1|-
ΛΥΣΗ
Περιέχει όμοια ερωτήματα με τις ασκήσεις 0;06- Δοκιμάστε να τη λύσετε- Για απορίες
ΜΗ διστάσετε- Μπορείτε να στείλετε τις απορίες σας στο μειλ 9 hnqc`mhrjnr?rbg-fq
19. Δίνονται οι συναρτήσεις e{w| < x
x
x
-
3
2
: f {w| <
x
x3
-
α | Εξετάστε αν είναι ίσες οι e{w| : f {w|-
β | Σχεδιάστε τη συνάρτηση g{w| <
î
í
ì
>
£-
0
0
x)IxEf
xIx
και την ευθεία
x < ;w+1 στο ίδιο καρτεσιανό σύστημα και κατόπιν να λυθούν :
Γε- Λ Εξαπλατάνου ªΜεν- Λουντέμηςº Μαθηματικά Γ ΄ Ομ- Προσανατολισμού
x14]
ι | η εξίσωση g{w| + w • 1 < /
ιι | η ανίσωση g{w| + w • 1 ≤ /
γ | Η γραφική παράσταση της g{w| και η ευθεία x < 0 σχηματίζουν
τρίγωνο: να αποδειχθεί ότι το εμβαδόν Ε του μικτόγραμμου τριγώνου
είναι Ε ; 0 τ- μ
Δημοσιεύτηκε στο ea την 13-/5-07 απ τον συνάδερφο Γ- Μπαρακλιανό
ΛΥΣΗ
α | Αe < {/:+∞| : @f < {/:+∞| : έχουν το ίδιο πεδίο ορισμού-
Και για κάθε wÎ{/:+∞| είναι 9 e{w| < x
x
x
-
3
2
< x : f {w| <
x
x3
< x -
Άρα και το ίδιο τύπο για κάθε w στο Α συνεπώς είναι ίσες-
β |
ι | Για την εξίσωση g{w| + w • 1 < / Û g{w| < ; w + 1 : μας ζητάει τα κοινά
σημεία των 1 συναρτήσεων g{w| και της ευθείας x < ; w +1-
Γε- Λ Εξαπλατάνου ªΜεν- Λουντέμηςº Μαθηματικά Γ ΄ Ομ- Προσανατολισμού
x1R]
Σύμφωνα με το σχήμα βλέπουμε ότι είναι ένα και μοναδικό !
Αλγεβρικά λοιπόν :
Για / ; w ; 1 είναι x < 1 • w Û w < 3 ; 3w + w1 Û / < 3 ; 4w + w1 Û
w < 0 ή w < 3 {Απορρίπτεται απ τον περιορισμό / ; w ; 1|-
Άρα μοναδικό σημείο τομής το {0 : 0|-
ιι | Για την ανίσωση g{w| + w • 1 ≤ / Û g{w| ≤ ; w + 1 μας ζητάει τις τιμές του
w για τις οποίες η g{w| είναι ΚΑΤΩ απ την ευθεία x < ; w +1-
Σύμφωνα με το σχήμα είναι ; ∞ ; w ≤ 0 : γιατί:
γ |
Το εμβαδόν του μικτόγραμμου τριγώνου Ε : είναι αυστηρά μικρότερο απ το
εμβαδόν του τριγώνου {ΟΒΓ| < 0 τ.μ : άρα Ε ; 0-
20. Δίνεται e{0;dw| < w : w ≥ /-
α | Να υπολογιστεί ο τύπος και το πεδίο ορισμού της e{w|-
β | Να αποδειχθεί ότι 9 e{0;π1| = e{1;π1| και ότι η e{w| έχει ελάχιστη τιμή
το /-
γ | Δίνεται η ω{w| <
ï
î
ï
í
ì
Î
Î
Ax)IxEg
BxI
x
x3
: όπου f {w| < e{w| +e{;w| και Α,Β τα
ευρύτερα δυνατά σύνολα στο Q-
ι | Να βρεθούν τα Α και Β-
ιι | Να δειχθεί ότι ω{;w| < ;ω{w| για κάθε w στο Q-
Γε- Λ Εξαπλατάνου ªΜεν- Λουντέμηςº Μαθηματικά Γ ΄ Ομ- Προσανατολισμού
x16]
ιιι | Να δειχθεί ότι η καμπύλη της s{w| < w1+αw : α ; / : τέμνει την
γραφική παράσταση της ω{w| σε ένα μόνο σημείο-
Δημοσιεύτηκε στο ea την 2/-/5-07 απ τον συνάδερφο Γ- Μπαρακλιανό
ΛΥΣΗ
α | e{0;dw| < w : w ≥ / Û e{f{w|| < w: w ≥ / : όπου f{w| < 0 • dw : @f < Z/:+∞|-
t < f{w| < 0 • dw Û 0 • t < dw Û km{0;t| < w : w≥/ και t ≤ /-
Άρα e{f{w|| < w Û e{t| < km{0;t| Û e{w| < km{0;w| : @e<{;∞:/-
β | Η e{w| είναι γν- φθίνουσα συνάρτηση στο Αe- Άρα
e{0;π1| = e{1;π1| Û 0;π1 ; 1;π1 Û 0 ; 1 που ισχύει-
Η e{w| είναι γν- φθίνουσα συνάρτηση στο Αe : άρα e{Α| < Ze{/| : ))xEflim
x -¥>-
<
Z/: +∞|- Η ελάχιστη τιμή της είναι το / για w < /-
γ | ι| Η e{;w| έχει πεδίο ορισμού το Γ0 < z w oÎ και ; w≤/| < Z/:+∞|
Η e{w| έχει πεδίο ορισμού το {;∞:/-
Η f{w| < e{w|+ e{;w| έχει πεδίο ορισμού την τομή των παραπάνω : άρα το
μονοσύνολο z/|-
Συνεπώς Α < z/|- Το Β < Q*- Και :
ω{w| <
ï
î
ï
í
ì
==
+¥È-¥Î
00
00
3
xI)xEg
)IE)IExI
x
x
Γε- Λ Εξαπλατάνου ªΜεν- Λουντέμηςº Μαθηματικά Γ ΄ Ομ- Προσανατολισμού
x17]
ιι| Απλό : προσπαθήστε το : αν δεν τα καταφέρετε : μη διστάσετε-
ιιι | ω{w|< s{w| Û axx
x
x
+= 2
3
Û Για w = / είναι α w < / Αδύνατη-
Για w ; / είναι 9 ; w1 < w1 +α w Û / < w{w+α| Û w < ;α Αδύνατο-
Για w < / είναι / < w1 +α w Û / < w{w+α| Û w < ;α ή w < /-
Η καμπύλη της s{w| < w1+αw : α ; / : τέμνει την γραφική παράσταση της ω{w| σε
ένα μόνο σημείο το {/ : /|-
21. Δίνεται ότι e{1w+0| < 1w;2 : w oÎ -
α | Να δειχθεί ότι e{w| < w;3 : w oÎ -
β | Αν Αe < Z;0:1 : να βρεθούν τα πεδία ορισμού των παρακάτω
συναρτήσεων 9 f{w|<e{1w;0| : g{w| < e{km{w+0|| :φ{w|<e{d;w|
γ | Αν e{s{w|| < kmw • 0 : w = / : να βρεθεί η συνάρτηση )xEt
δ | ι | Ποιο είναι το πεδίο ορισμού της v{w| < kme{w|; ))xEfEf-
ιι | Να δειχθεί ότι v{w| ≤ km3 : για κάθε w wAÎ -
Δημοσιεύτηκε στο ea την /0-/6-07 απ τον συνάδερφο Γ- Μπαρακλιανό
ΛΥΣΗ
α | θέτω t < 1w+0 Û w <
2
1-u
: τότε e{1w+0| < 1w;2 Û e{t| < 1
2
1-u
;2
Γε- Λ Εξαπλατάνου ªΜεν- Λουντέμηςº Μαθηματικά Γ ΄ Ομ- Προσανατολισμού
x18]
Û e{t| < t;3 ή e{w| < w • 3 : w oÎ .
β | Αf < z w oÎ . ;0≤1w;0≤1 | < Z/:
2
1

Αg < z w = ;0 . ;0 ≤ km{w+0| ≤ 1 | < z w = ;0 . kmd;0 ≤ km{w+0|≤ kmd1 | <
z w = ;0 . d;0 • 0 ≤ w ≤ d1 ; 0 | < Zd;0 • 0 : d1 • 0 -
@φ < z w oÎ . ;0≤ d;w ≤ 1 | < z w oÎ . / ; d;w ≤ 1 | <
< z w oÎ . -w ≤ km1| < Zkm1:+∞|-
γ | e{s{w|| < kmw • 0 : w = /
e{s{w|| < s{w| • 3 : και απ αυτές τις δυο σχέσεις προκύπτει ότι 9
s{w| < kmw+2 : w = /
Άρα )xEt < 3+xln : με πεδίο ορισμού το παρακάτω διάστημα-
Β < z w = / και kmw+2 ≥ / | < z w = / και kmw ≥ ;2 | < z w = / και w ≥ d;2 | <
< Zd;2 : +∞ |-
δ ι | Είναι e{e{w|| < w • 3 • 3 < w • 7 Û ; e{e{w|| < 7 • w : w oÎ
Αv < z e{w| = / και 7 • w ≥ / | < z w;3 = / και w ≤ 7| < {3:7-
ιι | v{w| < km{w;3| ; x-8 : w wAÎ -
G συνάρτηση αυτή είναι γνησίως αύξουσα : γιατί :
w0 : w1 wAÎ με w0 ; w1 Þ km{w0 ;3| ; km{w1 ;3| {0|
w0 : w1 wAÎ με w0 ; w1 Þ ; 21 88 xx --<- {1|
Προσθέτοντας {0| +{1| προκύπτει v{w0| ; v{w1| : για κάθε w0 : w1 wAÎ -
Η μέγιστη τιμή της είναι η v{7| < km3 :άρα ισχύει το ζητούμενο-
22. Δίνεται η e{w| <
x1x
1
++
: w ³ /-
α | Mα δείξετε ότι: e{w| < x1x -+
Γε- Λ Εξαπλατάνου ªΜεν- Λουντέμηςº Μαθηματικά Γ ΄ Ομ- Προσανατολισμού
x19]
β | να αποδείξετε ότι e{w| = / για κάθε w ³ /
γ | να αποδείξετε ότι η e{w| αντιστρέφεται και να βρείτε την αντίστροφη
της-
δ | Mα δειχθεί ότι για κάθε w ³ / ισχύει 9 e{w| £ 0
ε | Να δειχθεί ότι η μέγιστη τιμή τις e{w| είναι το 0-
στ | Mα λύσετε την εξίσωση 9
{ x1x -+ |{ 1)8xx7xx 33
=-++-+ Z Ευκλείδης τεύχος 47 
ΛΥΣΗ
α | Απλό: κάντε συζυγή παράσταση-
β | Α < Z/:+ ¥| και e{w| < x1x -+ = xx - < / άρα e{w| = /
γ | e{w0|< e{w1| Û 1x1x 21 +-+ < 21 xx - Û συζυγή παράσταση και
μετά χιαστί πολλαπλασιασμός και καταλήγω στο
{w0 ;w1| Ze{w0| +e{w1| < / Û η δεύτερη ποσότητα είναι =/ και προκύπτει sn
ζητούμενο-
x < e{w| Û x = / και x < x1x -+ Û x + =x 1x + Û υψώνω στο
τετράγωνο και 1 x x < 0;x1 Û x < {0;x1| . 1x και πρέπει να ισχύει
/;x£ 0 και τελικώς βρίσκω την αντίστροφη-
δ | e{/| < 0 και έστω ότι e{w| £ 0 Û x1x -+ £ 0 Û
1x1x +£+ και υψώνω στο τετράγωνο και καταλήγω στο 1 0x ³ που
ισχύει για κάθε w ³ /-
Γε- Λ Εξαπλατάνου ªΜεν- Λουντέμηςº Μαθηματικά Γ ΄ Ομ- Προσανατολισμού
x20]
ε | Για κάθε w ³ / : ισχύει e{w| £ e{/| : άρα„„
στ | Διαιρώ με τη δεύτερη παρένθεση και τα δυο μέλη και μετά κάνω συζυγή
παράσταση μόνο στο δεύτερο μέλος και προκύπτει 9 e{w| < e{w2+w;7| Û w < 1-
23. Δίνεται η e{w| < w+ 1x2
+ - Να αποδείξετε ότι 9
α | e{w| = / για κάθε χ oÎ
β | η e{w| αντιστρέφεται και να βρείτε την αντίστροφη της-
Z Ευκλείδης τεύχος 47 
ΛΥΣΗ
α | e{w| < w+ 1x2
+ = w + x ³ / : γιατί ;w £ x £ w : για κάθε w
β | e{w0| < e{w1| Û και μετά από συζυγή παράσταση και προκύπτει 9
w0 ; -=+ 2
2
1 x1x 1x2
2 + {0| και επειδή ισχύει και η e{w0| <e{w1| {0| : τότε
προσθέτοντας κατά μέλη θα προκύψει w0 < w1-
x <e{w| Û x < w+ 1x2
+ : x = / γιατί το e{w| = / -
Και κάνω πάλι συζυγή και βγαίνει 9 x <
1xx
1
2
+-
-
Û 0.x < 1x2
+ ;w
0.x • x < 1x2
+ ;w;x Û 0.x •x < ;1wÛ x ;0.x < 1wÛ w <
y
y
2
12
-
w = /-
24. Δίνεται η e{dw| < kmw • 0 : w = 0-
α | Να βρεθεί η e{w|-
Γε- Λ Εξαπλατάνου ªΜεν- Λουντέμηςº Μαθηματικά Γ ΄ Ομ- Προσανατολισμού
x21]
β | Να δειχθεί ότι e{ x | ; e{w+0| για κάθε w =0
γ | Να δειχθεί ότι e;0{w| <
1+x
e
e : w oÎ -
δ | Να υπολογιστούν τα όρια 9
ι | 2
1 1)xE
)xEf
lim
x -+
>-
ιι | 2
1
1 1)xE
)xEf
lim
x +
-
->-
ε | Αν f{w| < e{dw| και το Ο{/:/| και Α{d:f{d|| και Γ{w: f{w|| με w = d : να
δειχθεί ότι η γωνία ΟΑΓ είναι μεγαλύτερη των 8//-
Δημοσιεύτηκε στο ea την 06-/7-07 απ τον συνάδερφο Γ- Μπαρακλιανό
ΛΥΣΗ
α | θέτω t < dw Û w < kmt : τότε e{t| < km{kmt|;0 : w = 0
Û e{w| < km{kmw| •0 : w oÎ .
β | x ; w : για κάθε w = 0 : άρα x ; w + 0 Û „„„„
γ | x < e{w| Û „„„„ και λύνω ως προς w-
δ | ι | ;∞ ιι | +∞
ε | δείχνω ότι 9 0=× AGAO
25. Έστω e 9 {/:+∞| και για κάθε w = / ισχύει 9 x)xEfe )xEf
=× {0|
α | Να δειχθεί ότι η e{w| είναι γν.αύξουσα-
β | Να υπολογιστεί το e{Α|-
γ | Να λυθεί η e;0{dw| ; km3
δ | Να βρεθεί το Π.Ο της f{w| < e{d+1συνw+0| και να λυθεί η f{w| < 0-
Δημοσιεύτηκε στο ea την 07-/7-07 απ τον συνάδερφο Γ- Μπαρακλιανό
26. Δίνεται η συνάρτηση e 9 QàQ για την οποία ισχύει 9
w¶e{w|≤ w1+2w : w oÎ :
και το όριο )xEflim
x 0>-
υπάρχει και είναι πραγματικός αριθμός-
α | Να αποδειχθεί ότι )xEflim
x 0>-
< 2-
β | Να βρεθεί το όριο
21
4132
0 -+
-+--
>- )xEf
)xEf)xEf)xEf
lim
x
-
Γε- Λ Εξαπλατάνου ªΜεν- Λουντέμηςº Μαθηματικά Γ ΄ Ομ- Προσανατολισμού
x22]
ΛΥΣΗ
α |
Ø Για κάθε w = / ισχύει e{w|≤ w+2 {0| Þ )xEflim
x +
>- 0
≤ 2 {1|
Ø Για κάθε w ; / ισχύει e{w|≥ w+2 {2| Þ )xEflim
x -
>- 0
≥ 2 {3|
Από {1| : {3| επειδή το όριο )xEflim
x 0>-
υπάρχει : τα πλευρικά θα υπάρχουν και
θα είναι ίσα με αυτό άρα )xEflim
x 0>-
< 2-
β | 14
0
-=-
>-
))xEfElim
x
; / Þ κοντά στο / ισχύει )xEf)xEf -=- 44
Το ζητούμενο όριο γίνεται 9
21
4132
0 -+
-+--
>- )xEf
)xEf)xEf)xEf
lim
x
<
))xEfE
))xEf)E)xEf)E)xEfE
lim
)xEf
)xEf)xEf
xx
lim
3
2113
0
0
21
34
0
2
0 -
++--
==
-+
+-
>->-
< 7-
27. Δίνεται η συνάρτηση e 9 QàQ για την οποία ισχύει 9
20
24
3
0
=
-+
+
>- x
x)xEf
lim
x
hm
Να βρεθούν : αν υπάρχουν : τα όρια 9
α | )xEflim
x 0>-
β |
x
)xEf
lim
x 0>-
γ |
x
)xEf
lim
x hm0>-
δ | 3
0
2
x
)xEf)xEf
lim
x
-
>-
ΛΥΣΗ
α | Θεωρώ τη συνάρτηση : f{w| <
24
3
-+
+
x
x)xEf hm
: με πεδίο ορισμού το
Α<{;3:/| )IE +¥È 0 -
Γε- Λ Εξαπλατάνου ªΜεν- Λουντέμηςº Μαθηματικά Γ ΄ Ομ- Προσανατολισμού
x23]
Είναι: f{w| <
24
3
-+
+
x
x)xEf hm
Û e{w| < x)xEg)xE 324 hm--+ :
Άρα )xEflim
x 0>-
< / από ιδιότητες ορίων-
β | Για w ≠ / : είναι
x
x
)xEg
x
x
x
)xEf 324 hm
-×
-+
=
Υπάρχουν όλα τα επιμέρους όρια : άρα από ιδιότητες ορίων προκύπτει 9
x
)xEf
lim
x 0>-
<4 • 2 < 1
γ |
x
)xEf
lim
x hm0>-
< 2
1
2
0
==
>-
x
x
x
)xEf
lim
x hm
-
δ | 3
0
2
x
)xEf)xEf
lim
x
-
>-
< =
-
=
-
>->-
2
0
3
0
2
2
2
2
x
x
)xEf
x
)xEf
x
x
x
)xEf)xEf
limlim
xx
<{1;3|{+∞| < ;∞-
28. Δίνεται η συνάρτηση e 9 QàQ για την οποία ισχύει 9
1
5
24 2
2
=
-
--
>- x
)xx)ExEf
lim
x
Να βρεθούν : αν υπάρχουν : τα όρια 9
α | )xEflim
x 2>-
β | )xEf)xEf)xEfxlim
x
2784 2
2
-+-
>-
-
ΛΥΣΗ
Περιέχει όμοια ερωτήματα με τις ασκήσεις 0;14- Δοκιμάστε να τη λύσετε- Για απορίες
ΜΗ διστάσετε- Μπορείτε να στείλετε τις απορίες σας στο μειλ 9 hnqc`mhrjnr?rbg-fq
29. Δίνεται η συνάρτηση e 9 QàQ για την οποία ισχύει 9
242
-+£- xx)xEf : για κάθε w oÎ -
Να βρεθούν τα όρια 9
Γε- Λ Εξαπλατάνου ªΜεν- Λουντέμηςº Μαθηματικά Γ ΄ Ομ- Προσανατολισμού
x24]
α | )xEflim
x 0>-
β |
x
)xEf
lim
x 0>-
γ |
x
))xEfE
lim
x
hm
0>-
-
ΛΥΣΗ
Περιέχει όμοια ερωτήματα με τις ασκήσεις 0;15- Δοκιμάστε να τη λύσετε- Για απορίες
ΜΗ διστάσετε- Μπορείτε να στείλετε τις απορίες σας στο μειλ 9 hnqc`mhrjnr?rbg-fq
30. Έστω e{w| <
1
1
2
232
++
++-
xx
xx)E
l
ll
: λ oÎ -
α | Να βρεθεί το )xEflim
x -¥>-
για κάθε λ oÎ -
β | Αν λ < / : να υπολογιστούν 9
ι | )xEflim
x 1->-
ιι | xx
xx
x e
)e)ExEf
lim
23
2
0 +-
+
>-
ιιι | xx
xx
x e
)e)ExEf
lim
2
2
+
-
+¥>-
γ | Αν λ < 0 : να δειχθεί ότι 9
ι | 02018
=×
+¥>-
)x)
x
)xEf
EElim
x
hm
ιι | e{w| = 0 για κάθε w στο {;1:/|
ιιι | 3
43
43
2018
1
=
+
-
+
+
-¥>-
xx
xx
x
))ExEf
lim
δ | Το όριο της περιμέτρου ορθ- Παραλληλογράμμου με μήκη 0 μον και
e{w| μονάδες όταν wà+∞ είναι 3 μον- Τι μπορούμε να ισχυριστούμε για
το ορθογώνιο όταν wà+∞-
Δημοσιεύτηκε στο ea την 1/-/7-07 απ τον συνάδερφο Γ- Μπαρακλιανό
31. Έστω e{w| μη σταθερή συνάρτηση απ το Q στο Q και για κάθε w : x oÎ
ισχύει 9 e{w+x| < 2e{w|e{x|-
α | Να δειχθεί ότι e{/| <
3
1
-
β | Να δειχθεί ότι e{w| = / για κάθε w oÎ -
Γε- Λ Εξαπλατάνου ªΜεν- Λουντέμηςº Μαθηματικά Γ ΄ Ομ- Προσανατολισμού
x2R]
γ | Επίσης : e{;w| <
)xEf9
1
-
δ | Αν 0=
+¥>-
)xEflim
x
: τότε δείξτε ότι +¥=
-¥>-
)xEflim
x
-
Δημοσιεύτηκε στο ea τον Αύγουστο του 07 απ τον συνάδερφο Γ- Βεντούρη
32. Έστω e{w| < d;w • w και e{Q| < Q -
α | Να δειχθεί ότι υπάρχει η e;0{w| και να συγκριθούν οι αριθμοί e;0{1/07| :
e;0{1/08|-
β | Να λυθούν οι εξισώσεις
ι | =- 2
x
e w1 + 0 ιι | e;0{w| < /
γ | Να λυθούν οι ανισώσεις 9
ι |
2
2
2 212
e
e
xxe xx -
++³--
ιι | •kmw + 5
1 1
51
e
)Efe xln
+-³+ --
δ | Να υπολογιστούν τα όρια 9
ι | ))xEf
x
Elim
x
-
+¥>-
hm2
1
ιι | ]x)xEfxlim
x
2
+
+¥>-
ιιι | )e)xEfEln )xEf
x
lim +
-¥>-
Δημοσιεύτηκε στο ea την 14-/7-07 απ τον συνάδερφο Γ- Μπαρακλιανό
33. Έστω e 9 QàQ με e{1w| < xx
xx
-
-
+
-
44
44
: w oÎ -
α | Να δειχθεί ότι η e{w| <
14
14
+
-
x
x
-
β | Να βρεθούν τα όρια )xEflim
x +¥>-
και )xEflim
x -¥>-
-
γ | Να δειχθεί ότι η e{w| είναι γνησίως αύξουσα στο πεδίο ορισμού της-
δ | Να βρεθεί το e{Α|-
ε | Να υπολογιστεί η e ;0{w|-
στ | Να βρεθούν τα όρια στα άκρα του πεδίου ορισμού της e ;0{w|-
Δημοσιεύτηκε στο ea την 02-0/-07 απ τον συνάδερφο Θ- Ξένο
Γε- Λ Εξαπλατάνου ªΜεν- Λουντέμηςº Μαθηματικά Γ ΄ Ομ- Προσανατολισμού
x26]
34. Δίνεται η συνεχής συνάρτηση e 9 QàQ : για την οποία ισχύει 9
e {
p
p
hmp 4232 -
=+- x
)xEf)e x
: για κάθε w oÎ
α | Να αποδειχθεί ότι 9 e{0| + e{;0| < ;0
β | Να αποδειχθεί ότι υπάρχει ένα τουλάχιστον ξ στο διάστημα Z/:π : τέτοιο
ώστε να ισχύει 9 e{συνξ| < ;συν
2
x
35. Δίνεται η συνεχής συνάρτηση e 9 Qà{;∞ : 0| με e{/| < e{0| <
2
1
και η συνεχής συνάρτηση f {w| 9 Qà {
2
1
: +∞| : με f {1| <2 και f {2| < 0-
Να αποδείξετε ότι 9
α | υπάρχει w0 στο διάστημα {/:0| ώστε να ισχύει 9 e{w0| < 1w0-
β | υπάρχει w1 στο διάστημα {1:2| ώστε να ισχύει 9 f {w1| < w1
γ | υπάρχει ξ oÎ : ώστε 9 e{ξ|f{ξ| < ξ-
ΛΥΣΗ
α | Η συνάρτηση ρ{w| < e{w| ; 1w είναι συνεχής στο Z/:0 και ρ{/|<
2
1
=/ρ{0| <
2
1
;1 < ;
2
3
;/ : άρα από Θ- Μπολζάνο υπάρχει ένα τουλάχιστον w0 στο {/:0| για
το οποίο ισχύει ρ{w0| < / ή e{w0| < 1w0-
β | Ομοίως εφαρμόζω Θ- Μπολζάνο για την συνάρτηση f {w| • w στο Z1:2-
Είναι συνεχής στο Z1:2 και f {1| • 1 < 0 =/ και f {2| • 2 < ;1 ; /: άρα υπάρχει
τουλάχιστον ένα w1 στο {1:2| τέτοιο ώστε f {w1| < w1-
γ | Ομοίως εφαρμόζω Θ- Μπολζάνο για την συνάρτηση κ{w| < e{w|f {w| • w στο
Zw0: w1 με w0 : w1 = /-
Είναι συνεχής ως πράξεις συνεχών και
κ{w0| < 1w0 f {w0| • w0 < w0{1f {w0| • 0| = / γιατί :
κ{w1| < e{w1| w1 • w1 < w1{e{w1| • 0| ; / γιατί :
Συνεπώς υπάρχει ξ o)xIxE ÌÎ 21 : ώστε 9 κ(ξ|< / ή e{ξ|f{ξ| < ξ-
Γε- Λ Εξαπλατάνου ªΜεν- Λουντέμηςº Μαθηματικά Γ ΄ Ομ- Προσανατολισμού
x27]
36. Δίνεται η συνάρτηση 9 e{w| < xlnxx ---1
α | Να μελετηθεί ως προς τη μονοτονία-
β | Να βρεθεί το e{Α|-
γ | Να αποδειχθεί ότι η γραφική παράσταση της e{w| τέμνει τον άξονα x΄w
ακριβώς σε ένα σημείο-
ΛΥΣΗ
Πρέπει και αρκεί 9 0; w≥/ ΚΑΙ w≥/ ΚΑΙ w = / Û wÎ{/:0
Η e{w| συνεχής στο πεδίο ορισμού της ως πράξεις συνεχών συναρτήσεων :
δηλαδή στο Δ < {/:0-
α | e ΄{w| < 0
1
2
1
12
1
<--
-
-
xxx
: για κάθε wÎ{/:0|
Þ e{w| γνησίως φθίνουσα στο {/:0-
β | Δ < {/:0 και e{w| γνησίως φθίνουσα στο Δ : άρα
e{Δ| < Z e{0| : ))xEflim
x +
>- 0
- e{0| < ;0
+¥=---= ++
>->-
)xlnxxE)xEf limlim
xx
1
00
Άρα e{Δ| < Z ;0 : +∞|
γ | Το /Îe{Δ| και η e{w| γνησίως φθίνουσα στο Δ: άρα η
γραφική παράσταση της e{w| τέμνει τον άξονα w΄w
ακριβώς σε ένα σημείο-
37. Δίνεται η συνάρτηση 9 e{w| < xlnex x
-+-- -
1
α | Να μελετηθεί ως προς τη μονοτονία-
β | Να βρεθεί το e{Α|-
γ | Να αποδειχθεί ότι η γραφική παράσταση της e{w| τέμνει τον άξονα x΄w
ακριβώς σε ένα σημείο-
38. Δίνεται η συνεχής συνάρτηση e 9 QàQ : για την οποία ισχύει
e 1{w| ; 5e{w| < w1 : για κάθε w oÎ και
επιπλέον η γραφική παράσταση της e{w| τέμνει τον x΄x στο σημείο με
τεταγμένη 5-
α | Να αποδειχθεί ότι e{w| ≠ / : για κάθε w oÎ -
Γε- Λ Εξαπλατάνου ªΜεν- Λουντέμηςº Μαθηματικά Γ ΄ Ομ- Προσανατολισμού
x28]
β | Να βρεθεί ο τύπος της e{w|-
γ | Να υπολογιστούν τα όρια 9
)xEf
x
lim
x
hm
+¥>-
: )x)xEfElim
x
+
-¥>-
-
ΛΥΣΗ
α | Έστω ότι υπάρχει wο ÎQ : τέτοιο ώστε e{wο | < /-
Αντικαθιστώ όπου w το wο στη συναρτησιακή σχέση και έχω 9
e 1{wο| ; 5e{wο| < 2
ox Û / < wο : άρα e{/| < / : όμως απ τα δεδομένα της
άσκησης ισχύει e{/|<5: Άτοπο απ το ορισμό της συνάρτησης- Άρα
e{w| ≠ / : για κάθε wÎ Q-
β | e 1{w| ; 5e{w| < w1 Û e 1{w| ; 5e{w| +8 < w1 +8 Û
{e{w| ;2|1 < w1 +8 : θέτω e{w| • 2 < f{w| : άρα f1 {w| < w1 + 8 {0|
Η f{w| είναι συνεχής στο Q και για κάθε w Î Q είναι f{w| ≠/ από {0|
Επίσης f{/| < e{/| • 2 < 5 • 2 < 2 =/
Άρα f{w| = / για κάθε w Î Q : και από {0| προκύπτει ότι 9
f{w| < 939 22
++=Þ+ x)xEfx : w Î Q-
γ |
)xEf
x
lim
x
hm
+¥>-
<
x
x
x
x
x
)xEf
x
x
limlim
xx 93 2
++
=
+¥>-+¥>-
hmhm
{1|
Το όριο 1
9
1
3
93 22
=
++
=
++
+¥>-+¥>- x
)
xx
Ex
x
x
limlim
xx
Επίσης 0=
+¥>- x
x
lim
x
hm
απ το Κριτήριο Παρεμβολής: άρα από {1| προκύπτει 9
)xEf
x
lim
x
hm
+¥>-
< /- )x)xEfElim
x
+
-¥>-
<
)
xx
E)xxE limlim
xx
3
9
9
39
2
2
+
-+
=¥-+¥=+++
-¥>--¥>-
<2
39. Δίνεται η συνεχής συνάρτηση e 9 QàQ : για την οποία ισχύει e{1| < 2
και e{w|¶e{e{w|| < 13 : για κάθε w oÎ -
Γε- Λ Εξαπλατάνου ªΜεν- Λουντέμηςº Μαθηματικά Γ ΄ Ομ- Προσανατολισμού
x29]
α | Να βρεθεί η τιμή e{2|-
β | Να αποδειχθεί ότι υπάρχει ξ oÎ τέτοιο ώστε e{ξ| < 5-
γ | Να βρεθεί η τιμή e{5|-
ΛΥΣΗ
α | Θέτω όπου w < 1 στη σχέση και έχω 9 e{1|¶e{e{1|| < 13 Û 2 e{2|<13 Û
e{2| < 7-
β | Η e{w| είναι συνεχής στο Z1:2 και e{1| <2 και e{2| < 7 : το η < 5 είναι μεταξύ
των 2 και 7 : δηλαδή e{1| ; η ; e{2| : άρα από Θ.Ε.Τ υπάρχει ένα τουλάχιστον ξ
στο {1:2| : τέτοιο ώστε e{ξ| < 5-
γ | Θέτω όπου w < ξ στη σχέση και έχω 9 e{ξ|¶e{e{ξ|| < 13 Û 5 e{5|<13 Û
e{5| < 3-
40. Δίνεται η συνάρτηση e 9 QàQ : για την οποία ισχύει
7
0
=
+
>- x
x)xEf
lim
x
hm
α | Να βρεθεί το όριο )xEflim
x 0>-
-
β | Ομοίως το όριο
x
)xEf
lim
x 30hm>-
-
ΛΥΣΗ
α | Θεωρώ τη συνάρτηση : f{w| <
x
x)xEf hm+
: με πεδίο ορισμού το
Α<{;∞:/| )IE +¥È 0 -
Είναι: f{w| <
x
x)xEf hm+
Û e{w| < x)xExg hm- :
Άρα )xEflim
x 0>-
< / από ιδιότητες ορίων-
β | e{w| < x)xExg hm- : για w≠ / είναι Û-=
x
x
)xEg
x
x
x
)xEf
333 hm
hm
hmhm
Γε- Λ Εξαπλατάνου ªΜεν- Λουντέμηςº Μαθηματικά Γ ΄ Ομ- Προσανατολισμού
x30]
x
x
x
x
)xEg
x
xx
)xEf
33
1
3 hm
hm
hmhm
-=
Υπάρχουν όλα τα επιμέρους όρια και από ιδιότητες ορίων προκύπτει ότι 9
x
)xEf
lim
x 30hm>-
< 2
3
1
3
7
=- -
41. Δίνεται η συνάρτηση e 9 QàQ : για την οποία ισχύει
ημ1w ≤ e{w| ≤ w1 : για κάθε w oÎ -
α | Να αποδειχθεί ότι η e{w| είναι συνεχής στο /-
β | Να βρεθεί το όριο
x
)Ef)xEf
lim
x
0
0
-
>-
-
ΛΥΣΗ
α | Για w < / η σχέση γίνεται 9 / ≤ e{/| ≤ / : άρα e{/| < /-
Επίσης από Κριτήριο Παρεμβολής προκύπτει ότι 9 )xEflim
x 0>-
< e{/| < /: άρα
συνεχής στο /-
β | ημ1w ≤ e{w| ≤ w1 Û ημ1w ≤ e{w| ; e{/| ≤ w1
Για w = / είναι 9 0
0
0
=
-
+
>- x
)Ef)xEf
lim
x
Για w ; / είναι 9 0
0
0
=
-
-
>- x
)Ef)xEf
lim
x
Άρα
x
)Ef)xEf
lim
x
0
0
-
>-
< /-
42. Δίνεται η συνάρτηση e 9 QàQ : για την οποία ισχύει
8
110
=
-+
-
>- x
x)xEf
lim
x
Να βρεθούν τα παρακάτω όρια 9
Γε- Λ Εξαπλατάνου ªΜεν- Λουντέμηςº Μαθηματικά Γ ΄ Ομ- Προσανατολισμού
x31]
α | )xEflim
x 0>-
β | )
x
)xEfElim
x
1
0
hm
>-
γ |
x
)xEf
lim
x 50hm>-
ΛΥΣΗ
Περιέχει όμοια ερωτήματα με τις ασκήσεις 0;24- Δοκιμάστε να τη λύσετε- Για απορίες
ΜΗ διστάσετε- Μπορείτε να στείλετε τις απορίες σας στο μειλ 9 hnqc`mhrjnr?rbg-fq
43. Δίνεται η συνάρτηση e 9 με πεδίο ορισμού και σύνολο τιμών το Q :
επίσης για την e{w| ισχύει 9
e 2{w| +2e{w| ; 1w < 4 : για κάθε w oÎ -
α | Να αποδειχθεί ότι η e{w| είναι 0;0-
β | Να οριστεί η αντίστροφη της-
γ | Να βρεθεί το όριο
x
x)xEf
lim
x hm
hm 552 1
0
++-
>-
ΛΥΣΗ
Περιέχει όμοια ερωτήματα με τις ασκήσεις 0;25- Δοκιμάστε να τη λύσετε- Για απορίες
ΜΗ διστάσετε- Μπορείτε να στείλετε τις απορίες σας στο μειλ 9 hnqc`mhrjnr?rbg-fq
44. Δίνεται η συνεχής συνάρτηση e 9 QàQ : για την οποία ισχύει
w¶e{w|+ημ2w < 3w ; 4w1ημ )
x
E
1
: για κάθε w oÎ -
α | Να βρεθεί ο τύπος της e{w|-
β | Να υπολογιστούν τα όρια 9 )xEflim
x -¥>-
και )xEflim
x +¥>-
γ | Να αποδείξετε ότι η εξίσωση e{w| < / έχει μια τουλάχιστον αρνητική
και μια τουλάχιστον θετική ρίζα-
ΛΥΣΗ
α | e{w| <
ïî
ï
í
ì
=
¹--
00
0
31
54
x)IEf
xI
x
x
x
x
hm
hm
Η συνάρτηση e{w| είναι συνεχής άρα )xEflim
x 0>-
< e{/|-
Είναι )xEflim
x 0>-
< 3 • / • 2 < 0 : άρα e{/| < 0-
Γε- Λ Εξαπλατάνου ªΜεν- Λουντέμηςº Μαθηματικά Γ ΄ Ομ- Προσανατολισμού
x32]
β | )
x
x
x
xE)xEf limlim
xx
31
54
hm
hm --=
±¥>-±¥>-
{0|
55
1
1
5
1
5
0
===
>-±¥>-±¥>- u
u
lim
x
x
x
x
uxx
limlim
hm
hm
hm
0033
3
3
3 =×==
±¥>-±¥>- u
u
x
x
limlim
ux
hmhm
-
Η {0| γίνεται : )xEflim
x +¥>-
< ;0 ; /-
γ | Εφαρμόζω Θ- Μπολζάνο στα διαστήματα Z/:+∞| και {;∞: / για την e{w| με
χρήση των α| και β| ερωτημάτων-
Προκύπτει ότι υπάρχουν ξ0Î{/:+∞| και ξ1 Î{;∞: /| για τα οποία ισχύει ότι
e{ξ0| < / < e{ξ1|
45. Δίνεται η συνεχής συνάρτηση e 9 QàQ : για την οποία ισχύει
w¶e{w|+1w3 < 2w • ημw : για κάθε w oÎ -
α | Να βρεθεί η τιμή e{/|-
β | Να βρεθεί το όριο )xEflim
x +¥>-
-
γ | Να αποδείξετε ότι η εξίσωση e{w| < / έχει μια τουλάχιστον θετική ρίζα-
ΛΥΣΗ
Περιέχει όμοια ερωτήματα με την άσκηση 27- Δοκιμάστε να τη λύσετε- Για απορίες ΜΗ
διστάσετε- Μπορείτε να στείλετε τις απορίες σας στο μειλ 9 hnqc`mhrjnr?rbg-fq
46. Δίνεται η συνεχής συνάρτηση e 9 QàQ : για την οποία ισχύει
5
1
2
1
=
-
+
>- x
)xEf
lim
x
και η Be τέμνει τον x΄x στο σημείο Μ{/:2|-
α | Να βρεθεί η τιμή e{0|-
β | Να δειχθεί ότι οι γραφικές παραστάσεις των e{w| : f {w| < w1;0 : έχουν
ένα τουλάχιστον κοινό σημείο με τετμημένη wο )IE 10Î
Γε- Λ Εξαπλατάνου ªΜεν- Λουντέμηςº Μαθηματικά Γ ΄ Ομ- Προσανατολισμού
x33]
γ | Να υπολογιστεί το όριο
12
2
1 -
++
>- x
xx)xEf
lim
x
-
ΛΥΣΗ
Περιέχει όμοια ερωτήματα με τις ασκήσεις 0;3/- Δοκιμάστε να τη λύσετε- Για απορίες
ΜΗ διστάσετε- Μπορείτε να στείλετε τις απορίες σας στο μειλ 9 hnqc`mhrjnr?rbg-fq
47. Δίνεται η συνάρτηση e 9 QàQ : έτσι ώστε να ισχύει 9
e 2{w| +1e{w| < w + 0 : για κάθε w oÎ
α | Να δειχθεί ότι η e είναι 0;0-
β | Να αποδειχθεί ότι το σύνολο τιμών της e είναι το o και στη συνέχεια να
βρεθεί η αντίστροφη της-
γ | Να αποδειχθεί ότι η e είναι γνησίως αύξουσα-
δ | Να αποδειχθεί ότι η e είναι συνεχής στο ;0-
ε | Να αποδειχθεί ότι η e είναι συνεχής στο wο oÎ -
ΛΥΣΗ
α | Έστω w0 : w1 oÎ με e{w0| < e{w1| Þ e2{w0| < e2{w1| {0|
Επίσης 1e{w0| < 1e{w1| {1| : από πρόσθεση των {0| και {1| κατά μέλη έχω 9
e 2{w0| + 1e{w0| < e 2{w1| + 1e{w1| Þ „„-- w0 < w1 άρα η e{w| είναι 0;0-
β | Θεωρώ τη συνάρτηση f{w| < w2 + 1w ; 0 : w Î Q και f{Q| < Q-
Η f{w| είναι γνησίως αύξουσα στο Q γιατί :
έστω w0 : w1 ÎQ με w0 ; w1 Û w0
2 ; w1
2 Û w0
2 ; w1
2 {2|
w0 ; w1 Û 1w0 ;0; 1w1 ;0 {3| -
Προσθέτω {2|: {3| και προκύπτει f{w0 |; f{w1| : άρα 0;0-
e 2{w| + 1e{w| ; 0< w Û w < f{e{w|| Û f;0 {w| < e{w| : w Î Q-
Οι συναρτήσεις e : f ;0 έχουν το ίδιο πεδίο ορισμού και f;0 {w| < e{w| για κάθε
w Î Q άρα θα έχουν και το ίδιο σύνολο τιμών : άρα e{Q| < Q-
f;0 {w| < e{w| Û {f;0 |;0{w| < e ;0{w| Û f{w| < e ;0{w| Û
e ;0{w|< w2 +1w ; 0 : wÎQ-
Γε- Λ Εξαπλατάνου ªΜεν- Λουντέμηςº Μαθηματικά Γ ΄ Ομ- Προσανατολισμού
x34]
γ | Έστω ότι η e{w| δεν είναι γνησίως αύξουσα : άρα υπάρχουν w0 : w1 oÎ με
w0 ; w1 για τα οποία ισχύει e{w0| ≥ e{w1| Þ e2{w0| ≥ e2{w1| :άρα
e2{w0|+ e{w0| ;0 ≥ e2{w1| + e{w1| • 0 Þw0 ≥ w1 : Άτοπο-
Άρα η e{w| είναι γνησίως αύξουσα-
δ | Για w < ;0 έχω 9 e 2{;0| +1e{;0| < / Û {e 1{;0| +1|e{;0|</Û e{;0|</-
Είναι : e 2{w| +1e{w| < w + 0Þe{w| <
2
1
2
1
2
1
22
+
£
+
+
=Þ
+
+ x
)xEf
x
)xEf
)xEf
x
2
1
2
1 +
££
+
-Þ
x
)xEf
x
Και από Κριτήριο παρεμβολής προκύπτει ότι )Ef)xEflim
x
10
1
-==
->-
: άρα η
e{w| συνεχής στο ;0-
ε | Αρκεί να δείξω ότι )xEf)xEflim o
xx o
=
>-
e 2{w| +1e{w| < w + 0 και e 2{wο| +1e{wο| < wο + 0
Αφαιρώντας κατά μέλη προκύπτει 9
{e{w|; e{wο||¶{ e1{w|+ e{w|e{wο|+ e1{wο|+1| < w • wο Û
{e{w|; e{wο|| < Þ
+++
-
222
)xEf)xEf)xEf)xEf
xx
oo
o
ooooo xx)xEf)xEfxxxx)xEf)xEf -£-£--Þ-£-
Και από Κριτήριο παρεμβολής προκύπτει ότι: )xEf)xEflim o
xx o
=
>-
άρα η e{w|
συνεχής στο wο-
48. Έστω e 9 QàQ : για την οποία ισχύουν 9
· συνεχής στο Q:
· {w;w1|¶e{w|<ημw • w : w ; /
· e1{w| + e{w| < dw¶{dw • 0| : w =/
· +¥=
+¥>-
)xEflim
x
α | Να βρεθεί η τιμή e{/|-
β | Να βρεθεί η e{w|-
Γε- Λ Εξαπλατάνου ªΜεν- Λουντέμηςº Μαθηματικά Γ ΄ Ομ- Προσανατολισμού
x3R]
γ | Να βρεθεί το πρόσημο της e{w|-
δ | Να βρεθεί το )xEflim
x -¥>-
-
ε | Να δείξετε ότι η εξίσωση 9 0
1
=+
xx
)xEf
sun
: έχει τουλάχιστον μια ρίζα
στο {;π : ;
2
p
|-
Δημοσιεύτηκε στο ea την /2-0/-07 απ τον συνάδερφο Θ- Παπανδρέου
49. Έστω η συνάρτηση 9 e{w| <
î
í
ì
>-
£-
11
11
2
xI)xE
xIx
α | Είναι συνεχής στο 0 :
β | Είναι παραγωγίσιμη στο 0 :
γ | Να βρεθεί η εξίσωση της εφαπτομένης της γραφικής παράστασης της e{w|
στο {1:0|-
ΛΥΣΗ
α | 01 2
11
=-= ++
>->-
)xE)xEf limlim
xx
01
11
=-= --
>->-
)xE)xEf limlim
xx
< e{0| : άρα η e{w| συνεχής στο 0-
β | 0
1
1
1
1 2
11
=
-
-
=
-
-
++
>->- x
)xE
x
)Ef)xEf
limlim
xx
1
1
1
1
1
11
-=
-
-
=
-
-
--
>->- x
x
x
)Ef)xEf
limlim
xx
: άρα η e{w| μη παραγωγίσιμη στο 0-
γ | Για κάθε w = 0 είναι e ΄{w| < 1{w;0| : άρα e ΄{1| < 1-
Η εξίσωση της εφαπτομένης στο {1:0| είναι 9 x;0<1{w;1| Û x<1w;2-
50. Δίνεται η συνάρτηση 9 e{w| <
x
4
:
α | Να βρεθεί η εξίσωση της εφαπτομένης της e{w| στο τυχαίο Μ{wο : e{wο||
β | Να δειχθεί ότι το τρίγωνο το οποίο σχηματίζει η προηγούμενη
εφαπτομένη με τους άξονες έχει σταθερό εμβαδόν-
γ | Αν Α και Β τα σημεία που η εφαπτομένη στο Μ τέμνει τους άξονες : να
δειχθεί ότι το Μ είναι μέσο του ΑΒ-
Γε- Λ Εξαπλατάνου ªΜεν- Λουντέμηςº Μαθηματικά Γ ΄ Ομ- Προσανατολισμού
x36]
ΛΥΣΗ
Α < Q* και f΄{w| < 2
4
x
-
για κάθε wÎ Q* -
α | x ; e{wn|<e ΄{wο|{w • wn|Û x < 2
4
ox
-
w +
ox
4
+
ox
4
Û x< 2
4
ox
-
w+
ox
8
β | Η x< 2
4
ox
-
w τέμνει τους άξονες στα Β {/:
ox
8
| και Α{1wο : /|
Το Εμβαδόν του τριγώνου είναι 9
(ΟΑΒ| < 8
8
2
2
1
=××
o
o
x
x τ- μονάδες
γ | Το μέσο των Α: Β είναι το 9
{ ==
++
)
x
I
x
E)
yy
I
xx oo
2
8
2
2
22
2121
Μ{wο : e{wο||
51. Δίνεται η e{w| < 1¶ 311 ++- )xlnE
α | Να βρεθεί το πεδίο ορισμού της-
β | Να αποδειχθεί ότι είναι 0;0-
γ | Να οριστεί η αντίστροφη-
δ | Να λυθεί η εξίσωση 9 e;0{0+w| < 1-
ΛΥΣΗ
α | Πρέπει και αρκεί : w;0≥/ ΚΑΙ 011 >+-x Û x≥ 0
β | w0 :w1 ÎZ0:+∞| και e{w0| < e{w1| Þ )xlnE 111 +- < )xlnE 112 +-
Þ 111 +-x < 12 -x Þ w0 < w1
γ | x<1 311 ++- )xlnE Þ 1111
2
3 2
3
-=-Þ+-=
-
-
xe)xlnE
y
y
Γε- Λ Εξαπλατάνου ªΜεν- Λουντέμηςº Μαθηματικά Γ ΄ Ομ- Προσανατολισμού
x37]
Þ x)eE
y
=+-
-
11 22
3
:
όπου
30
2
3
012
3
³Û³
-
Û³-
-
y
y
e
y
Συνεπώς
e ;0{w| < 11 22
3
+-
-
)eE
x
:
wÎ Z2: +∞|-
δ | e;0{0+w| < 1 Û 0+ w < e{1| Û 0+ w < 1km1+2 Û w < 1¶{km1+0|-
52. Δίνεται η e{w| <
12
2
+x
x
α | Εξετάστε τη μονοτονία της-
β | Εξετάστε κυρτότητα και σημεία καμπής-
γ | Να βρεθούν οι ασύμπτωτες της e{w| -
δ | Να γίνει η γραφική της παράσταση-
ΛΥΣΗ
α | Α < Q : e ΄{w| < {
12
2
+x
x
)΄ < 2222
22
1
2
1
212
)xE
x
)xE
xx)xEx
+
=
+
×-+
Αν w = / Û f΄{w| = / Þ e{w| γνησίως αύξουσα στο Z/:+∞|-
Αν w ; / Û f΄{w| ; / Þ e{w| γνησίως φθίνουσα στο {;∞ : /-
β | e ΄΄{w| < { )
)xE
x
22
1
2
+
΄ < 32
2
42
2222
1
26
1
1812
)xE
x
)xE
)xEx)xE
+
+-
=
+
+-+
Οι ρίζες της e ΄΄{w| είναι οι w0 < ;
3
3
: w1 < +
3
3
-
Για κάθε wÎZ;
3
3
:
3
3
 : η e{w| είναι ΚΥΡΤΗ -
Για κάθε wÏ {;
3
3
:
3
3
| : η e{w| είναι ΚΟΙΛΗ -
Γε- Λ Εξαπλατάνου ªΜεν- Λουντέμηςº Μαθηματικά Γ ΄ Ομ- Προσανατολισμού
x38]
γ | Δεν έχει Κατακόρυφες- Αναζητώ Οριζόντιες- Είναι 9
1=
+¥>-
)xEflim
x
: 1=
-¥>-
)xEflim
x
: άρα η x < 0 Οριζόντια Ασύμπτωτη-
Δεν έχει πλάγιες: μιας και έχει οριζόντια-
δ |
53. Δίνεται η e{w| < συν{kmw| : wÎ Z0: dπ-
α | Να γίνει η μελέτη της - {μονοτονία-ακρότατα-σύνολο τιμών|
β | Να βρεθεί η εξίσωση της εφαπτομένης {ε| της e{w| στο σημείο που η
γραφική παράσταση της e{w| τέμνει τον ww΄-
γ | Εξετάστε την e{w| ως προς την κυρτότητα και τα Σ.Κ -
δ | Υπολογίστε το Ι < ò
p
e
dx)xEf
1
-
Δημοσιεύτηκε στο ea την 02-/7-07 απ τη συνάδερφο Ν.Ψαθά
54. Έστω e{w| παραγωγίσιμη στο διάστημα Z/:1/04 με e{/|</ και
e{1/04|<1/04-
Να αποδειχθεί ότι 9
α | υπάρχει ένα τουλάχιστον w/ Î {/:1/04| τέτοιο ώστε να ισχύει 9
e{w/| + w/ < 1/04
β | υπάρχουν τουλάχιστον ξ0 : ξ1 Î {/:1/04| τέτοια ώστε 9 e ΄(ξ0|¶e ΄(ξ1| < 0-
ΛΥΣΗ
α | e{w| παραγωγίσιμη στο διάστημα Z/:1/04 Þ e{w| συνεχής στο Z/:1/04
Θεωρώ τη συνάρτηση κ{w| < e{w| +w • 1/04 : w ÎZ/:1/04
· Η κ{w| είναι συνεχής στο Z/:1/04 ως πράξεις συνεχών-
· κ{/| < ;1/04 ; / : κ{1/04| < 1/04 = /
Από Θ.Μπολζάνο : υπάρχει τουλάχιστον ένα wο Î{/:1/04| ώστε κ{wο| < /
Û e{w/| + w/ < 1/04-
Γε- Λ Εξαπλατάνου ªΜεν- Λουντέμηςº Μαθηματικά Γ ΄ Ομ- Προσανατολισμού
x39]
β | Εφαρμόζω Θ.Μ.Τ στο Z/: wο για την e{w| : ισχύουν οι προϋποθέσεις και
άρα υπάρχει τουλάχιστον ένα ξ0 Î{/: wο| τέτοιο ώστε e ΄(ξ0| <
o
o
o
o
x
x
x
)xEf -
=
2015
{0|-
Εφαρμόζω Θ.Μ.Τ στο Zwο : 1/04 για την e{w| : ισχύουν οι προϋποθέσεις και
άρα υπάρχει τουλάχιστον ένα ξ1 Î{wο:1/04| τέτοιο ώστε
e ΄(ξ1| <
o
o
o
o
x
x
x
)xEf
-
=
-
-
20152015
2015
{1|-
Από {0| : {1| με πολλαπλασιασμό κατά μέλη προκύπτει το ζητούμενο-
55. Δίνεται η συνάρτηση e{w| με τύπο 9 e{w| < 3∙ 2-x
e + 2-
α | Να βρεθεί το πεδίο ορισμού της- Μονάδες 6
β | Να βρεθεί το σύνολο τιμών της- Μονάδες 0/
γ | Να ορίσετε την e;0{w|- Μονάδες 7
ΛΥΣΗ
α | Πρέπει και αρκεί : 202 lnxex
³Û³-
β | Θα εξετάσω πρώτα τη μονοτονία της - Έστω w0 : w1 ÎZkm1:+∞|
w0 ; w1 Þ 21
-x
e ; 22
-x
e Þ e{w0| ; e{w1| : άρα γνησίως αύξουσα στο
πεδίο ορισμού της-
e{Α| < Z e{km1|: ))xEflim
x +¥>-
<Z2 : +∞| : γιατί :
γ | x<4∙ 2-x
e + 2 Þ
x))
y
lnEEe)
y
Ee
y xx
=+
-
Þ=+
-
Þ-=
-
2
4
3
2
4
3
2
4
3 22
: όπου 30
4
3
³Û³
-
y
y
ΚΑΙ 2
4
3 2
+
-
)
y
E = / : που ισχύει όμως-
Συνεπώς e ;0{w| < ))
y
lnEE 2
4
3 2
+
-
: με πεδίο ορισμού Z2: +∞|-
56. Δίνεται συνάρτηση με πεδίο ορισμού το Q για την οποία ισχύει 9
Γε- Λ Εξαπλατάνου ªΜεν- Λουντέμηςº Μαθηματικά Γ ΄ Ομ- Προσανατολισμού
x40]
xe)xEfe x)xEf
+=+ : w oÎ -
α | Να δείξετε ότι η e{w| είναι 0;0-
β | Να λυθεί 9 e{kmw|< e{0;w1|
γ | Να δείξετε ότι e{w| < w για κάθε w oÎ -
δ | Να λυθεί 9
2
x
e ; dw + w1 • w = / -
ΛΥΣΗ
α | Έστω ότι υπάρχουν w0 : w1 ÎQ : με w0 ≠ w1 και e{w0| < e{w1 | {0|
Τότε
)xEf)xEf
ee 21
= {1|
{0|+{1| Þ 2121
2121
xexe)xEfe)xEfe xx)xEf)xEf
+=+Þ+=+
Þ 021
21
=--+ xexe xx
{2| : θεωρώντας την κ{w| < dw + w η οποία είναι
γν: μονότονη άρα 0;0 : δείχνεται εύκολα : η {2| γράφεται 9
κ{w0| ; κ{w1| < / Þ κ{w0 | <κ{ w1 | Þ w0 < w1
Άτοπο άρα δεν υπάρχουν w0 : w1 ÎQ : με w0 ≠ w1 και e{w0| < e{w1 | : συνεπώς
η e{w| είναι 0;0-
β | e{kmw|< e{0;w1| Û kmw < 0;w1 : έχει προφανή ρίζα την w < 0-
Θεωρώ την f{w| < kmw • 0 +w1 : w ÎΔ < {/:+∞|
g΄{w| < 1 w +
x
1
=/ για κάθε w Î{/:+∞| Þ f{w| γνησίως αύξουσα στο Δ-
Συνεπώς η ρίζα w < 0 είναι μοναδική-
γ | Θεωρώ ξανά τη συνάρτηση 9 κ{w| < dw + w : w ÎQ -
Η συνάρτηση αυτή είναι 0;0 : δείχνεται πολύ εύκολα αν δείξουμε ότι η κ{w|
είναι γνησίως αύξουσα - { Γν- Αύξουσα Þ 0;0|
Η συναρτησιακή σχέση που μας δίνεται μέσω της κ{w| γράφεται 9
κ{e{w|| < κ{w| Û e{w| < w : w ÎQ-
δ |
2
x
e ; dw + w1 • w = / Û κ{w1| = κ{w| Û w1 = w Û w{w;0|=/ Û
wÎ{;∞:/| ή wÎ{0:+∞|-
57. Δίνεται η e{w| < {w;0|¶kmw ; 0 : w = /-
α | Να δειχθεί ότι η e{w| είναι γνησίως αύξουσα στο Z0:+∞| και γνησίως
φθίνουσα στο {/:0-
β | Να αποδειχθεί ότι η εξίσωση 9 ww;0 < d1/02 : w = / : έχει ακριβώς δυο
θετικές ρίζες-
γ | Αν w0 : w1 με w0 ; w1 είναι οι ρίζες του β| να αποδειχθεί ότι υπάρχει
Γε- Λ Εξαπλατάνου ªΜεν- Λουντέμηςº Μαθηματικά Γ ΄ Ομ- Προσανατολισμού
x41]
wο Î( w0 : w1| : τέτοιο ώστε να ισχύει 9
e ΄{wο| + e{wο| < 1/01
δ | Να βρεθεί το εμβαδόν του χωρίου που περικλείεται από την συνάρτηση
f{w| < e{w| + 0 :με w = / : τον w ΄w και την ευθεία w < d-
ΛΥΣΗ
α | Για w = / είναι e ΄{w| <Z {w;0|¶kmw ΄ < kmw +
x
x 1-
ü Για w = 0 Þ e ΄{w| = / Þ e{w| γν- αύξουσα στο Z0:+∞|
ü Για / ; w ; 0 Þ e ΄{w| ; / Þ e{w| γν- φθίνουσα στο {/:0-
β | ww;0 < d1/02 Û km{ww;0| <km{ d1/02| Û {w • 0|kmw<1/02 Û e{w| <1/01
Θα βρώ το e{Α| : όπου Α < Δ0 ÈΔ1 και Δ0< {/:0 : Δ1 < Z0:+∞|-
e{Δ0| < Ze{0| : )xEflim
x +
>- 0
| < Z ;0 : +∞|
e{Δ1|< Ze{0|: ))xEflim
x +¥>-
<Z ;0 : +∞|-
Είναι e{Α| < e{Δ0| Èe{Δ1| < Z ;0 : +∞|-
Η x <1/01 τέμνει την e{w| δυο ακριβώς
φορές-
γ | Η σχέση e ΄{w| + e{w| < 1/01 : γράφεται 9
dw {e ΄{w| + e{w||< dw 1/01 Û {dwe{w||΄ ; {1/01dw)΄< / Þ {dwe{w| ;1/01dw)΄</
Άρα θεωρώ την f{w| < dwe{w| ;1/01dw < dw ¶{e{w| • 1/01| :
· συνεχή στο Zw0:w1
· και παραγωγίσιμη στο ίδιο διάστημα-
· f{w0| < f{w1 | < / : άρα από Θ- Ρολ υπάρχει τουλάχιστον ένα
wn Î{w0 : w1| ώστε f΄{ wn| < / Þ { ox
e e{wο| ;1/01 ox
e )΄</ Þ
e ΄{wο| + e{wο| < 1/01
δ | Η f{w| ≥ / : ζητείται το ορισμένο ολοκλήρωμα ò
e
dx)xEg
1
<
Γε- Λ Εξαπλατάνου ªΜεν- Λουντέμηςº Μαθηματικά Γ ΄ Ομ- Προσανατολισμού
x42]
< òòò
-
-
-
=¢
-
=-
e
e
ee
dx
x
)xE
]xln
)xE
xxdxln)
)xE
Exdxln)xE
1
2
1
2
1
2
1 2
1
2
1
2
1
1 <
2
1
11
4
1
2
1
2
1
4
1
2
11
2
1
1
22
1
2
2
111
2
2
1
2
--+--
-
=-+-
-
=×+--
-
ò
)eE)eE
)eE
]xxln]xx]xx
)eE
dx)
x
x
E
)eE eee
e
58. Δίνεται η συνεχής e 9 {/:+∞| à Q : και ισχύει 9
e1{w| + 1kmw < km1w + 0 : w = /
α | Να βρεθούν όλοι οι τύποι της παραπάνω συνάρτησης-
β | Αν f{w| < ; 1-xln : w = / : να μελετηθεί ως προς την
παραγωγισιμότητα • μονοτονία • ακρότατα ; κυρτότητα-
γ | Να δειχθεί ότι η γραφική παράσταση της f έχει μοναδικό κοινό
σημείο με την ευθεία {ε| x < w;1 και να βρεθεί το κοινό σημείο-
δ | Να γίνει η γραφική παράσταση της Bf : {ε| στο ίδιο σύστημα αξόνων-
ε | Να βρεθεί το εμβαδόν που περικλείεται απ την Bf : την {ε| και την
ευθεία w < 2-
Δημοσιεύτηκε στο ea την 14-/8-07 απ τη συνάδερφο Ν- Ψαθά
59. Δίνεται η e{w| <
î
í
ì
=
>
00
0
xI
xIxlnx
:
α | να αποδειχθεί ότι είναι συνεχής στο /-
β | Να μελετηθεί ως προς τη μονοτονία και να βρεθεί το σύνολο τιμών της-
γ | Να βρεθεί το πλήθος των διαφορετικών θετικών ριζών της εξίσωσης 9
w < x
a
e για όλες τις τιμές του πραγματικού α-
δ | Να αποδειχθεί ότι 9 e ΄{w+0| = e{w+0| ; e{w|: για κάθε w =/-
ΛΥΣΗ
α |
0
1
1
11
0
2
0
000
==
-
=
¢
¢
=
¥+
¥-
==-¥×=×
+
+++
>-
>->->-
.....
x
xlim
)
x
E
)xEln
lim)E
x
xln
lim)E)xlnxElim
x
xxx
Γε- Λ Εξαπλατάνου ªΜεν- Λουντέμηςº Μαθηματικά Γ ΄ Ομ- Προσανατολισμού
x43]
και e{/| < / : άρα η e{w| συνεχής στο /-
β | e ΄{w| < kmw + 0 : w = /
ü e ΄{w| = / Û kmw = ;0 Û w = d;0 Þ e{w| γν.αύξουσα στο Zd;0:+∞|
ü e ΄{w| ; / Û kmw ; ;0 Û w ; d;0 Þ e{w| γν- φθίνουσα στο Z/: d;0-
Το σημείο {d;0 : ; d;0 | είναι ΟΛΙΚΟ ΕΛΑΧΙΣΤΟ της συνάρτησης-
Θα βρώ το e{Α| : όπου Α < Δ0 ÈΔ1 και Δ0< Z/: d;0 : Δ1 < Zd;0:+∞|-
e{Δ0| < Ze{d;0| : e{/| < Z ; d;0 : / 
e{Δ1|< Ze{d;0| : ))xEflim
x +¥>-
| < Z ; d;0 : +∞|-
Είναι e{Α| < e{Δ0| Èe{Δ1| < Z ; d;0 : +∞|-
γ | w < x
a
e Û km w < km x
a
e Û wkmw < αÛ e{w| < αÛ e{w| ; α < / Û f{w| < /{Ι|
f{Δ0| < Ze{d;0|;α : e{/|;α < Z ; d;0 ;α : ; α 
f{Δ1|< Z ; d;0 •α : +∞|-
ü Αν α ; ; d;0 : η {Ι| ΔΕΝ
ΈΧΕΙ ΚΑΜΙΑ ΛΥΣΗ
ü Aν α = / ή α < ; d;0 :
η {Ι| ΈΧΕΙ ΜΟΝΑΔΙΚΗ ΛΥΣΗ
ü Αν ; d;0 ; α ≤ / : η {Ι|
ΔΕΝ ΈΧΕΙ ΑΚΡΙΒΩΣ ΔΥΟ
ΛΥΣΕΙΣ
δ | e ΄{w| < kmw + 0 : e ΄΄{w| < 0
1
>
x
: για κάθε w = / Þ e{w| ΚΥΡΤΗ ΣΤΟ Z/:+∞|
και η e ΄{w| γνησίως αύξουσα -
Εφαρμόζω ΘΜΤ για την e{w| στο μεταβλητό Zw : w+0 : w =/
Υπάρχει τουλάχιστον ένα ξ Î{w: w+0| ώστε 9 e ΄ {ξ| < e{w+0| ; e{w|-
Είναι 9 ξ ; w +0 Û e ΄(ξ| ; e ΄{w+0| Û e{w+0| ; e{w| ; e ΄{w+0| : w =/-
Γε- Λ Εξαπλατάνου ªΜεν- Λουντέμηςº Μαθηματικά Γ ΄ Ομ- Προσανατολισμού
x44]
60. Έστω η e 9 QàQ : δυο φορές παραγωγίσιμη για την οποία ισχύουν 9
· e{/| < 2 και e ΄{/| < 0
· e{w|¶ e ΄΄{w| • {e ΄{w||1 < 1dw : για κάθε w ÎQ-
α | Να αποδειχθεί ότι e{w| = / για κάθε w ÎQ-
β | Να αποδειχθεί ότι η e{w| είναι κυρτή στο Q-
γ | Να αποδειχθεί ότι η f{w| < km{e{w|| είναι κυρτή στο Q-
δ | Να αποδειχθεί ότι e{w| ≥ 2 3
x
e για κάθε w ÎQ-
ε | Αν α : β : γ ÎQ με α+ β+ γ < / : να δειχθεί ότι 9 e{α|¶e{β|¶e{γ)≥16-
ΛΥΣΗ
α | e{w|¶ e ΄΄{w| • {e ΄{w||1 < 1dw Û e{w|¶ e ΄΄{w| < {e ΄{w||1 + 1dw : άρα
e{w| ≠ / για κάθε w ÎQ : γιατί αλλιώς θα καταλήγαμε σε άτοπο-
Επειδή η e{w| παραγωγίσιμη στο Q Þ συνεχής στο Q και e{w|≠/ για κάθε w : άρα
η e{w| διατηρεί πρόσημο - Επειδή e{/|<2 Þ e{w| = /: για κάθε w ÎQ-
β | Απ εδώ e{w|¶ e ΄΄{w| < {e ΄{w||1 + 1dw : e{w| = / : άρα και e ΄΄{w| = / Þ e{w|
ΚΥΡΤΗ στο Q-
γ | f{w| < km{e{w|| : ορίζεται για κάθε w ÎQ-
f ΄{w| <{ km{e{w|| |΄ <
)xEf
)xEf ¢
-
f ΄΄{w| < {
)xEf
)xEf ¢
)΄ <
)xEf
e
)xEf
))xEfE)xEf x
22
2
2
=
¢-¢¢
= / για κάθε wÎQ- Άρα η
f{w| ΚΥΡΤΗ στο Q-
δ | e{w| ≥ 2 3
x
e Û km{
3
)xEf
| ≥ 3
33
ln
x
))xEflnE)elnE
x
+³Û {ΙΙ|
Η εφαπτομένη της f{w| στο {/:km2| είναι η 9 x • km2 < x
3
1
Û x < x
3
1
+km2
Για κάθε ΚΥΡΤΗ συνάρτηση ισχύει η {ΙΙ|-
ε | Αν α : β : γ ÎQ με α+ β+ γ < / : να δειχθεί ότι 9 e{α|¶e{β|¶e{γ)≥16-
Γε- Λ Εξαπλατάνου ªΜεν- Λουντέμηςº Μαθηματικά Γ ΄ Ομ- Προσανατολισμού
x4R]
Αν e{α|¶e{β|¶e{γ)≥16 αρκεί να δείξω ότι : km {e{α|¶e{β|¶e{γ||≥km22 : δηλαδή αρκεί
να δείξω : km e{α|+kme{β|+kme{γ||≥2km2 {ΙΙΙ|
Σταματάμε λίγο εδώ και επειδή :
ισχύει το αποτέλεσμα της δ|- Άρα
3
3
ln
a
))aEflnE +³
3
3
ln))EflnE +³
b
b τις προσθέτω κατά μέλη και προκύπτει η {ΙΙΙ|-
3
3
ln))EflnE +³
g
g -
Αρκούσε η {ΙΙΙ| άρα ισχύει η e{α|¶e{β|¶e{γ)≥16 : α,β,γ ÎQ-
61. Δίνεται η e{w| <
x
xln
α | Να μελετηθεί ως προς τη μονοτονία και τα ακρότατα της και να δειχθεί
ότι 9
x
e
xln
2
£ για κάθε w = /-
β | Να συγκριθούν οι αριθμοί
11
10 :
10
11
γ | Να βρεθούν οι α : β ÎQ αν ισχύει ότι 9
e
a
a
ea
b
b
b
4
=×
ΛΥΣΗ
α | Η συνάρτηση έχει πεδίο ορισμού το {/:+∞|
e ΄{w| < {
x
xln
)΄ <
xx
xln
x
x
xlnx
x
2
22
11
-
=
-
· e ΄{w| = / Û 1;kmw = / Û kmw ; 1 Û w ; d1 Þ e{w| γν.αύξουσα στο
{/: d1-
· e ΄{w| ; / Û 1;kmw ; / Û kmw = 1 Û w = d1 Þ e{w| γν.φθίνουσα στο
Zd1 : +∞|-
Γε- Λ Εξαπλατάνου ªΜεν- Λουντέμηςº Μαθηματικά Γ ΄ Ομ- Προσανατολισμού
x46]
· Το σημείο {d1 : e{d1 || : ΟΛΙΚΟ ΜΕΓΙΣΤΟ της e{w|-
Συνεπώς e{w| ≤ e{d1| Û
x
xln
≤
e
2
Û x
e
xln
2
£ : w =/-
β | Το 0/:00 ÎZd1 : +∞| : άρα 0/ ; 00 Û e{0/| = e{00| Û
10
10ln
=
11
11ln
Û
11
10 =
10
11 -
γ | e
a
a
ea
b
b
b
4
=× Û km e
a
a
eln)aE
b
b
b
4
=× Û
e
lnaln
ea
lnaln
e
a
lnaln a 444
=+Û=
+
Û=+
b
b
ab
babb
bb
Û e{α| + e{β| <
e
4
{0|
Ισχύει η σχέση του {α| ερωτήματος για κάθε w =/-
Άρα για w < α και w < β : έχω 9
a
aln
≤
e
2
{1| :
b
bln
≤
e
2
{2| :προσθέτοντας {1| + {2| : έχω e{α| + e{β| ≤
e
4
{3|
Από {0| : {3| προκύπτει ότι α < β < d1-
62. Δίνεται η e{w| < d1w ; 3 dw + 2 : w oÎ -
α | Να εξεταστεί ως προς τη μονοτονία • ακρότατα-
β | Να βρεθούν οι ασύμπτωτες και το πλήθος των ριζών της εξίσωσης
e{w| < )
x
xElim
x
p
hm×
+¥>-
γ | Να εξεταστεί ως προς την κυρτότητα και τα σημεία καμπής η e{w| -
δ | Να γίνει η γραφική παράσταση της-
ε | Να λυθούν οι ανισώσεις 9
ι | d1w +1 w + 2 ; 3 dw
ιι | 1{e{2w1+0|; e{1w1+4|| = e1{1w1+4|; e{2w1+0|
Δημοσιεύτηκε στο ea την 12-/8-07 απ τη συνάδερφο Ν- Ψαθά
Γε- Λ Εξαπλατάνου ªΜεν- Λουντέμηςº Μαθηματικά Γ ΄ Ομ- Προσανατολισμού
x47]
63. Δίνεται η e{w| <
î
í
ì
=
>
00
02
xI
xI)xElnx
:
α | να αποδειχθεί ότι είναι συνεχής στο /-
β | Να υπολογιστεί η e ΄{w|-
γ | Να βρεθεί το εμβαδόν του χωρίου που περικλείεται από την e{w| τον w ΄w και
τις ευθείες w <0 και w < d-
ΛΥΣΗ
α | )E)xElnx)xEf limlim
xx
+¥×== ++
>->-
02
00
x
xln
limxlnx
x
x
)xEln
aie
x
)xEln
xxxx
limlimlim
1
22
1
1
2
1 00
2
0
2
0
++++
>->->->-
-=-=
-
==
¥+
¥+
=
<„„-- < / Και e{/| < / : άρα η e{w| συνεχής στο /-
β | Για κάθε w = / είναι e ΄{w| < {w {kmw|1)΄ < {kmw|1 + 1wkmw
x
1
< {kmw|1 +1kmw
Για w < / : θα πάω με τον ορισμό -
+¥==
-
-
++
>->- x
)xElnx
lim
x
)Ef)xEf
lim
xx
2
00 0
0
: άρα η e{w| μη παραγωγίσιμη στο
/-
γ | Ζητείται το 9
4
1
2
1
2222
22
2
1
1
22
1
22
1
1
2
2
1
2
2
1
2
-
==+-=¢-
=-=¢=
òò
òòò
e
.........xdx]xln
x
x
e
xdxln)
x
E
e
dxxlnx])xEln
x
xdx)xEln)
x
Edx)xElnx
e
e
e
e
e
ee
Γε- Λ Εξαπλατάνου ªΜεν- Λουντέμηςº Μαθηματικά Γ ΄ Ομ- Προσανατολισμού
x48]
64. Έστω η συνάρτηση e{w| < 2
2
2
+-
x
x
xln
-
α | Να μελετηθεί ως προς τη μονοτονία και τα ακρότατα-
β | Να βρεθεί το πλήθος των ριζών της εξίσωσης 9
1kmw < w2 + w{1α;3| :
για τις διάφορες τιμές του πραγματικού α-
γ | Να βρεθούν τα κ : λ : μ ώστε να ισχύει 9
e{κ|+ e{λ| < 2 + μ1
ΛΥΣΗ
α | Α < {/:+∞|- Για κάθε wÎΑ : έχω 9
e ΄ {w| < { 2
2
2
+-
x
x
xln
)΄ < 2
3
2
11
x
xlnx
x
x
xln --
=-
-
Θεωρώ τη συνάρτηση 9 f{w| < 0;w2 • kmw : wÎΑ-
Έχω 9
· w = 0 Û f{w| ; f{0| Û
f{w| ; / Û e ΄{w| ; / Þ e{w|
γν.φθίνουσα στο Z0:+∞|-
· /; w ;0 Û f{w| = f{0|
Û f{w| = / Û e ΄{w| = / Þ e{w|
γν.αύξουσα στο {/:0
· Το σημείο {0: e{0|| <
{0: 0-4| είναι ΟΛΙΚΟ ΜΕΓΙΣΤΟ-
β | 1kmw < w2 + w{1α;3| Û 2
2
2
+-
x
x
xln
<1α;0 Û e{w| < 1α;0 = / {Ι|
Ø Αν /; 1α;0 ;
2
3
Û α ;
2
3
log
log
: η {Ι| έχει ΔΥΟ ΑΚΡΙΒΩΣ ΛΥΣΕΙΣ
Ø Αν 1α;0 <
2
3
Û α <
2
3
log
log
: : η {Ι| ΈΧΕΙ ΜΟΝΑΔΙΚΗ ΛΥΣΗ-
Ø Αν 1α;0 =
2
3
Û α =
2
3
log
log
: η {Ι| ΔΕΝ ΕΧΕΙ ΛΥΣΕΙΣ-
Γε- Λ Εξαπλατάνου ªΜεν- Λουντέμηςº Μαθηματικά Γ ΄ Ομ- Προσανατολισμού
x49]
γ | Από α| ερώτημα : έχω 9 e{κ| ≤
2
3
{0| και e{λ| ≤
2
3
{1| : από {0| : {1| είναι
e{κ| + e{λ| ≤ 2 Û 2 + μ1 ≤ 2 Û μ1 < / Û μ</-
Άρα e{κ| + e{λ| < 2 : μέσω των {0| : {1| είναι e{κ| <
2
3
Û κ < 0
Επίσης e{λ| <
2
3
Û λ < 0-
65. Δίνεται η συνεχής συνάρτηση e 9 QàQ : για την οποία ισχύει 9
20052
0
=
-
>- x
x)xEf
limx
α | Να δειχθεί ότι: e{/|</ και e ΄{/|<0
β | Να βρεθεί ο λ oÎ ώστε 3
2 22
22
0
=
+
-
>- )xEfx
)xEfx
limx
l
γ | Αν επιπλέον e ΄{w| = e{w| για κάθε w oÎ και η e{w| είναι
παραγωγίσιμη με συνεχή παράγωγο στο o: να δειχθεί ότι 9
ι | w¶e{w| = / : για κάθε w
*
oÎ
ιι | ò <
1
0
1)Efdx)xEf ΕΠΑΝΑΛΗΠΤΙΚΕΣ ΠΑΝΕΛΛΗΝΙΕΣ 1//4
ΛΥΣΗ
α | Θεωρώ τη συνάρτηση : f{w| <
2
x
x)xEf -
: w≠/
Είναι : w1¶f{w| + w < e{w| {Ι| και η
Ø e{w| συνεχής στο Q : άρα και στο /-
Ø 2005
0
=
>-
)xEglim
x
Απ τη σχέση {Ι| : έχω 9 lim
x 0>-
{w1¶f{w| + w| < lim
x 0>-
e{w| Þ /¶1//4 + / < lim
x 0>-
e{w|
Þ lim
x 0>-
e{w| < / < e{/|-
Γε- Λ Εξαπλατάνου ªΜεν- Λουντέμηςº Μαθηματικά Γ ΄ Ομ- Προσανατολισμού
xR0]
Για την παράγωγο στο / : e ΄{/| <
x
)xEf
x
)Ef)xEf
limlim
xx 00 0
0
>->-
=
-
-
<
11
1
00
2
0
=+=
+
=
+
>->->-
))xExgE
x
))xExgEx
x
x)xEgx
limlimlim
xxx
-
β |
.
)]Efx
)]Efx
x
)xEf
x
)xEf
)
x
)xEf
Ex
)
x
)xEf
Ex
)xEfx
)xEfx
limlimlim
xxx
2
2
2
2
2
2
0
2
2
2
2
2
2
0
22
22
0
02
01
2
1
2
1
2
¢+
¢×-
=
=
+
-
=
+
-
=
+
-
>->->-
l
ll
l
Όμως 3
2 22
22
0
=
+
-
>- )xEfx
)xEfx
limx
l
Û 3
02
01
2
2
=
¢+
¢×-
)]Efx
)]Efxl
Û 0;λ < 5+2 Û λ < ;7-
γ ; ι |
Θεωρούμε τη συνάρτηση : κ{w| < d;w e{w|: wÎQ : η οποία είναι παραγωγίσιμη στο
Q* -
Είναι 9 κ ΄{ w| < ; d;w e{w| + d;w e΄{w| < d;w {e ΄{w|; e{w|| = / για κάθε w Î Q-
Άρα η κ{w| είναι γνησίως αύξουσα στο Q-
Επίσης κ{/| < /-
Ø Για w = / Û κ{w| = / Û d;w e{w| = / Û e{w| = / : άρα και w¶e{w| = / -
Ø Για w ; / Û κ{w| ; / Û d;w e{w| ; / Û e{w| ; / : άρα και w¶ e{w| = /
Συνεπώς : w¶ e{w| = / για κάθε w Î Q*-
ιι |
.dx)xEfx)Efdx)xEfx)]xEfxxdx)xEf)xEdx)xEf òòò ò ¢×-=¢×-×=¢=
1
0
1
0
1
0
1
0
1
0
1
Αρκεί να δειχθεί ότι ò >¢
1
0
0dx)xEfx : μιας και e{0| = / -
Γε- Λ Εξαπλατάνου ªΜεν- Λουντέμηςº Μαθηματικά Γ ΄ Ομ- Προσανατολισμού
xR1]
Η συνεχής συνάρτηση w¶{e ΄{w| ; e{w|| είναι ≥ / για κάθε wÎZ/:0 : επίσης ΔΕΝ
είναι παντού μηδέν στο διάστημα Z/:0 : άρα ò >-¢
1
0
0dx))xEf)xEfEx
Û ò ò ×>¢
1
0
1
0
dx)xEfxdx)xEfx {ΙΙ|
Από γ • ι | προκύπτει ότι ò >
1
0
0dx)xExf : άρα ισχύει ò >¢
1
0
0dx)xEfx -
Συνεπώς ò <
1
0
1)Efdx)xEf -
66. Έστω η e 9 QàQ : παραγωγίσιμη για την οποία ισχύουν 9
· e{w| ≠ / για κάθε w =/-
· 2111
=+-
)Efe )Ef
·
)xEfx
)xEf
)xEf 2
+
=¢ για κάθε w = /-
α | Να βρεθεί το e{0|-
β | Να δειχθεί ότι e{w| < x -
γ | Να βρεθεί το όριο για τις διάφορες τιμές του λ ÎQ-
))xEf)xxEfElim
x
22
54 ×-++
+¥>-
l
δ | Να βρεθούν οι εφαπτομένες της e{w| που διέρχονται από το {2:1|-
ΛΥΣΗ
α | Θεωρώ τη συνάρτηση κ{w| < xex
+-1
: wÎQ-
Για κάθε w0 : w1 Î Q με w0 ; w1 Þ 11 21
--
< xx
ee {0|
Επίσης w0 ; w1 {1|
Από {0| + {1| : είναι κ{w0 | ; κ { w1| : άρα η κ{w| είναι γνησίως αύξουσα και άρα
0;0 συνάρτηση-
Γε- Λ Εξαπλατάνου ªΜεν- Λουντέμηςº Μαθηματικά Γ ΄ Ομ- Προσανατολισμού
xR2]
Η δοσμένη σχέση 2111
=+-
)Efe )Ef
Û κ{e{0|| < κ{0| Û e{0| < 0-
β | Η e{w| είναι συνεχής ως παραγωγίσιμη και e{w| ≠ / για κάθε w =/ : άρα η e{w|
διατηρεί πρόσημο για κάθε w = / και από α| ερώτημα είδαμε ότι e{0| < 0 :
άρα e{w| = / για κάθε w =/-
)xEfx
)xEf
)xEf 2
+
=¢ Û e ΄{w|¶ w + e ΄{w|¶ e 1{w| < e{w| Û
e ΄{w|¶ w ; {w|΄ e{w| < ; e ΄{w|¶ e 1{w| Û ; )xEf
)xEf
x)xEf)xEf)xE
¢-=
×¢-¢
2
Þ
))xEfE)
)xEf
x
E ¢=¢ Þ c)xEf
)xEf
x
+= : για w < 0 : προκύπτει b < /-
Άρα )xEf
)xEf
x
= Û e 1{w| < w : και για κάθε w = / η e{w| διατηρεί πρόσημο
άρα απ την σχέση x)xEf = :προκύπτει ότι e{w| < x : w = / -
Για w < / : είναι e{/| < / : άρα για κάθε w≥ / είναι e{w| < x -
γ | ))xEf)xxEfElim
x
22
54 ×-++
+¥>-
l < =×-++
+¥>-
)xxxElim
x
l542
)E)E)]
xx
Exxlim
x
ll -×+¥=-++×
+¥>-
1
54
1 2
-
Ø Για λ = 0 : ))xEf)xxEfElim
x
22
54 ×-++
+¥>-
l < +∞
Ø Για λ ; 0 : ))xEf)xxEfElim
x
22
54 ×-++
+¥>-
l < ;∞
Ø Για λ < 0 : =
+++
+
=-++
+¥>-+¥>- xxx
x
lim)xxxElim
xx 54
54
54
2
2
1
δ | Έστω {wο : e{wο|| το σημείο επαφής της {ε| με την Be-
Η {ε| είναι 9 x ; ox <
ox2
1
{w;wn| : η {ε| διέρχεται απ το {2:1| άρα 9
1 ; ox <
ox2
1
{2;wn| Û 3 ox ; 1wο < 2 • wο Û wο ; 3 ox + 2 < / : θέτω
Γε- Λ Εξαπλατάνου ªΜεν- Λουντέμηςº Μαθηματικά Γ ΄ Ομ- Προσανατολισμού
xR3]
ox < x : και απ την παραπάνω δευτεροβάθμια εξίσωση προκύπτει x < 0 ή
x<2-
ü Άρα : αν ox < 0 Û wο < 0 Û (ε0| 9 1x • 0 ; w </ :
ü Αν ox < 2 Û wο < 8 Û (ε1| 9 5x • 8 ; w </-
67. α | Να λυθεί η εξίσωση 0122
=-- xex
: w oÎ
β | Να βρεθούν όλες οι συνεχείς συναρτήσεις e 9 QàQ που ικανοποιούν
τη σχέση 9 e 1{w| < 22
1
2
)xeE x
-- : w oÎ -
γ | Αν e{w| < 122
-- xex
: w oÎ : να δειχθεί ότι η e{w| είναι κυρτή-
δ | Να λυθεί η εξίσωση 9
e{ 3+xhm |; e{ xhm |< e{w+2|; e{w| : w )Ix +¥Î 0
ΠΑΝΕΛΛΗΝΙΕΣ 1/05
ΛΥΣΗ
α | Προφανής λύση της εξίσωσης w < /-
Θεωρώ τη συνάρτηση 9 κ{w| < 122
-- xex
: w oÎ : επίσης κ{/| < / -
κ΄ {w| < 1w
2
x
e ; 1w < 1w {
2
x
e ; 0 | -
ü Για w = / : κ ΄{w| = / : άρα η κ{w| γν.αύξουσα στο Z/:+∞|
ü Για w ; / : κ΄{w| ; / : άρα η κ{w| γν.φθίνουσα στο {;∞:/
ü Το σημείο {/:/| ΟΛΙΚΟ ΕΛΑΧΙΣΤΟ της κ{w|
Συνεπώς w < / : μοναδική ρίζα της εξίσωσης-
β | e 1{w| < 22
1
2
)xeE x
-- : w oÎ - Û e 1{w| < κ1{w| και κ{w|≥/ για
κάθε w oÎ -
Η e{w| συνεχής και με μοναδική ρίζα την w < /- Για w≠ / : διατηρεί
πρόσημο- Άρα υπάρχουν οι εξής περιπτώσεις 9
ü e{w| =/ : για κάθε w oÎ *
ü e{w| ; / : για κάθε w oÎ *
ü e{w| = / στο {;∞:/| και e{w| ; / στο {/:+∞|
ü e{w| = / στο {/:+∞| και e{w| ; / στο {;∞:/|-
Συνεπώς οι ζητούμενες συναρτήσεις είναι οι κάτωθι 9
Γε- Λ Εξαπλατάνου ªΜεν- Λουντέμηςº Μαθηματικά Γ ΄ Ομ- Προσανατολισμού
xR4]
e0{w| < 122
-- xex
: w oÎ : e 1{w| < )xeE x
122
--- : w oÎ
e2{w| <
ï
î
ï
í
ì
<---
³--
01
01
2
2
2
2
x)IxeE
xIxe
x
x
: e 3{w| <
ï
î
ï
í
ì
<--
³---
01
01
2
2
2
2
xIxe
x)IxeE
x
x
γ | Θα βρώ τη e ΄΄{w|-
e ΄ {w| < 1w
2
x
e ; 1w < 1w {
2
x
e ; 0 |-
e ΄΄{w| < 1 {
2
x
e ; 0 | + 3w1 {
2
x
e ; 0 | < {1+3w1|{
2
x
e ; 0 |-
ü Για w = / : e ΄΄{w| = / : άρα η e{w| ΚΥΡΤΗ στο Z/:+∞|
ü Για w ; / : e ΄΄{w| ; / : άρα η e{w| ΚΥΡΤΗ στο {;∞:/
ü Η e{w| συνεχής στο / : άρα e{w| ΚΥΡΤΗ στο o
δ | Θεωρώ τη συνάρτηση 9 λ{w| < e{w+2|; e{w| : w )Ix +¥Î 0 -
Συνεχή και παραγωγίσιμη- Η e{w| είναι ΚΥΡΤΗ : άρα η e ΄{w| είναι γνησίως
αύξουσα: και
w ; w + 2 Û e ΄{w| ; e ΄{w+2| Û e ΄{w+2| ; e ΄{w| = / Û λ΄{ w| = /:
άρα η λ{w| γν- αύξουσα στο )Ix +¥0 : άρα και 0;0-
Τελικά :
e{ 3+xhm |; e{ xhm |< e{w+2|; e{w| Û λ{ xhm |<λ{w| Û xhm <w
Η ισότητα ισχύει για w < /-
68. Έστω e 9 Z/: +∞|à Q μια συνάρτηση με e{0| < 1d;0 : η οποία είναι
συνεχής και ισχύει για κάθε w Î Z/: +∞|
w1e ΄{w| ; e{w| + x
e
1
-
< / {0|
α | Να δειχθεί ότι ο τύπος της e{w| είναι 9
Γε- Λ Εξαπλατάνου ªΜεν- Λουντέμηςº Μαθηματικά Γ ΄ Ομ- Προσανατολισμού
xRR]
e{w| <
ï
ï
î
ï
ï
í
ì
=
>+
-
00
01
1 1
xI
xIe)
x
E x
β | Να βρεθεί το εμβαδόν του χωρίου που περικλείεται από την γραφική
παράσταση της e{w| τον w΄w και τις ευθείες w < 0 και w < λ : όπου / ; λ ; 0-
γ | Να μελετηθεί η e{w| ως προς τη μονοτονία : να βρεθούν οι ασύμπτωτες
της και να δειχθεί ότι e{w| ; 0 : για κάθε w ≥ / -
ΛΥΣΗ
α | w1e ΄{w| ; e{w| + x
e
1
-
< / Û e ΄{w| ; 2
1
x
e{w| + 2
1
x
x
e
1
-
< / Û
xe
1
e ΄{w| ;
2
1
x
xe
1
e{w| +
2
1
x
< / Û { xe
1
e{w||΄ < {
x
1
)΄Þ
xe
1
e{w| <
x
1
+ b : για w < 0 : έχω 9 d¶1d;0 < 0 + b Û b < 0-
Άρα 9 e{w| < {
x
1
+0| x
e
1
-
: w = /- Επειδή η e{w| είναι συνεχής στο πεδίο
ορισμού της άρα και στο / : προκύπτει ο τύπος της - Δηλαδή :
e{w| <
ï
ï
î
ï
ï
í
ì
=
>+
-
00
01
1 1
xI
xIe)
x
E x
β | òò
-
+==
1
1
1
1
1
ll
dxe)
x
Edx)xEfE x < ò ò
--
+
1 1
11
1
l l
.dxedxe
x
xx
Θέτω w <
u
1
: για w < 0 Û t<0 : για w < λ Û t <
l
1
: cw < ;t;1ct-
D < ò ò
--
+
1 1
11
1
l l
dxedxe
x
xx < ò ò =¢-+ --l l
1
1
1
1
11
dxe)
u
Edue
u
uu
Γε- Λ Εξαπλατάνου ªΜεν- Λουντέμηςº Μαθηματικά Γ ΄ Ομ- Προσανατολισμού
xR6]
l
ll l
l l
l
ee
)eeEdxe
u
]e
u
xdue
u
uuu
-=--=-- -----
ò ò
1111 1
1
1
1
1
1
1
γ | e{w| <
ï
ï
î
ï
ï
í
ì
=
>+
-
00
01
1 1
xI
xIe)
x
E x
: συνεχής στο πεδίο ορισμού της-
Για w = / : e ΄{w| < ; 2
1
x
x
e
1
-
+ 2
1
x
{
x
1
+0| x
e
1
-
< 2
1
x
x
e
1
-
x
1
= / : άρα
γν- αύξουσα στο πεδίο ορισμού της-
Αναζητώ Πλάγιες ή Οριζόντιες Ασύμπτωτες στο +∞-
11101
1
1
=×+=+=
-
+¥>-+¥>-
)E]e)
x
xElim)xEflim x
xx
: άρα x < 0 οριζόντια
ασύμπτωτη στο +∞-
Είναι : Α < Z/:+∞| : e{Α| < Ze{/|: )xEflim
x +¥>-
| < Z / : 0 | : άρα e{w| ; 0 : για
κάθε w ≥ /-
69. Έστω συνάρτηση e{w| ορισμένη και παραγωγίσιμη στο Z/:2 : για την
οποία γνωρίζουμε ότι 9
· Η γραφική παράσταση της e ΄{w| δίνεται στο παρακάτω σχήμα9
· e{/|<1 : e{0| < /
Γε- Λ Εξαπλατάνου ªΜεν- Λουντέμηςº Μαθηματικά Γ ΄ Ομ- Προσανατολισμού
xR7]
· Το εμβαδόν του χωρίου που περικλείεται μεταξύ της γραφικής
παράστασης της e ΄{w| και των ευθειών w < / : w < 2 ισούται με 7
τ.μ
· Η e{w| δεν ικανοποιεί τις υποθέσεις του Θ.Ε.Τ στο Z/:2-
α | Να αποδειχθεί ότι e{2| < 1 : e{1| < ;1 και να βρείτε αν υπάρχουν τα όρια
xln
)xEf
lim
x 1>-
:
20 ->- )xEf
x
lim
x
- Δικαιολογήστε- Μονάδες 7
ΛΥΣΗ
Το εμβαδόν του χωρίου που περικλείεται μεταξύ της γραφικής παράστασης της
e ΄{w| και των ευθειών w < / : w < 2 ισούται με 7 τ.μ : ΑΡΑ
Ε < =¢+¢-=¢ òòò
3
2
2
0
3
0
dx)xEfdx)xEfdx)xEf ;{ e{1|; e{/|| + {e{2|; e{1||
Ε < 7 Û ; e{1|+ e{/|+ e{2|; e{1|<7 Û e{2| ; 1e{1|<5- {0|
Όμως : Η e{w| δεν ικανοποιεί τις υποθέσεις του Θ.Ε.Τ στο Z/:2 : ΆΡΑ
e{2| < e{/| < 1 : και από {0| : προκύπτει ότι 9 e{1| < ;1-
Συνεπώς 9 e{/| < e{2| < 1 : e{0| < / : e{1| < ;1-
xln
)xEf
lim
x 1>-
< 331
10
0
11
-=-×=¢=
¢
=
>->-
)E)xEfxlim
x
)xEf
lim)E
xx
20 ->- )xEf
x
lim
x
<
)xEf
lim
)xEf
)xE
lim)E
xx ¢
=
¢
¢
=
>->-
1
0
0
00
: ΔΕΝ ΥΠΑΡΧΕΙ : γιατί ο
παρανομαστής δεν διατηρεί πρόσημο-
β | Προσδιορίστε τα διαστήματα στα οποία η e{w| είναι γνησίως αύξουσα :
γνησίως φθίνουσα : κυρτή : κοίλη και τις θέσεις των τοπικών ακροτάτων και
σημείων καμπής της e{w|- Μονάδες 7
ΛΥΣΗ
Το πρόσημο της e ΄ {w| μας δίνει τη μονοτονία της e{w| και η μονοτονία της e ΄{w|
μας δίνει την ΚΥΡΤΟΤΗΤΑ της e{w|-
Απ τη γραφική παράσταση της e ΄{w| είναι 9
Γε- Λ Εξαπλατάνου ªΜεν- Λουντέμηςº Μαθηματικά Γ ΄ Ομ- Προσανατολισμού
xR8]
· / ; w ; 1 : e ΄{w| ; / Þ e{w| γν- φθίνουσα στο Z/:1-
· w = 1 : e ΄{w| = / Þ e{w| γν- αύξουσα στο Z1:2-
· Το {1: ;1| ολικό Ελάχιστο της e{w|-
· Το {/:1| τοπικό μέγιστο της e{w|
· Το {2:1| τοπικό μέγιστο της e{w|-
· Η e{w| είναι ΚΟΙΛΗ στο Z/:0
· Η e{w| είναι ΚΥΡΤΗ στο Z0:2
· Το {0: /| είναι Σ- Κ της e{w|-
γ | Να αποδείξετε ότι υπάρχει μοναδικό wοÎ{1:2| για το οποίο δεν υπάρχει το
όριο
)xEf
lim
oxx
1
>-
- Μονάδες 4
ΛΥΣΗ
Για να μην υπάρχει το όριο
)xEf
lim
oxx
1
>-
αρκεί το e{wο| < / ΚΑΙ η e{w| να μην
διατηρεί πρόσημο δεξιά και αριστερά του wο-
Από Θ- Μπολζάνο : υπάρχει τουλάχιστον ένα wο Î {1:2| ώστε e{wο| < /- Η
συνάρτηση είναι μονότονη στο Z1:2 άρα το wο είναι ΜΟΝΑΔΙΚΟ και προφανώς η
e{w| κοντά : δεξιά και αριστερά του wο δεν διατηρεί πρόσημο-
δ | Να σχεδιαστεί η γραφική παράσταση της e{w|- Μονάδες 3
ΕΠΑΝΑΛΗΠΤΙΚΕΣ ΠΑΝΕΛΛΗΝΙΕΣ 1/06
70. Δίνεται η συνάρτηση e{w| <
ï
ï
î
ï
ï
í
ì
>+-
=
<£-+-
023
02
0
2
23
xIxx
xI
xIa
x
x phm
α | Να αποδειχθεί ότι η e{w| στο διάστημα Z/:1 ικανοποιεί το Θ.Μ.Τ-
Αν η e{w| είναι συνεχής στο πεδίο ορισμού της : τότε 9
β | Να βρεθεί η τιμή του πραγματικού α-
γ | Να μελετηθεί η e{w| ως προς τη μονοτονία-
Γε- Λ Εξαπλατάνου ªΜεν- Λουντέμηςº Μαθηματικά Γ ΄ Ομ- Προσανατολισμού
xR9]
δ | Να αποδειχθεί ότι 9 ò
-
-<<
2
2
1
2
3
p
p
p dx)xEf
ε | Να αποδειχθεί ότι η εξίσωση e{ )x×-
2
p
< e{ )e x-
×-
2
p
έχει μοναδική
λύση στο {/:0|- ΕΠΑΝΑΛΗΠΤΙΚΕΣ ΠΑΝΕΛΛΗΝΙΕΣ 1/06
ΛΥΣΗ
α | Για w = /: η συνάρτηση είναι συνεχής ως πολυωνυμική- Αρκεί να είναι
συνεχής στο /- =+
>-
)xEflim
x 0
1 < e{/|-
Άρα η e{w| συνεχής στο Z/:1 και παραγωγίσιμη στο {/:1|-Ικανοποιεί ΘΜΤ-
β | 32120
00
=Û=+-Û=+-Û= --
>->-
aa)a
x
x
Elim)Ef)xEflim
xx
hm
Άρα e{w| <
ï
ï
î
ï
ï
í
ì
>+-
=
<£-+-
023
02
0
2
3
23
xIxx
xI
xI
x
x phm
-
γ |
· Για w = / : e ΄{w| < 2w1;5w-
e ΄{w| < / Û 2w{w;1|< / Û w < / ή w < 1
· Για ;
2
p
;w ; / :
e ΄{w| < {; 3+
x
xhm
)΄< ;
22
x
xxx
x
xxx sunhmhmsun -
=
-
-
Θεωρώ την f{w| < ημw • wσυνw : ;
2
p
≤w ≤ / και f{/| < /
g΄{w| < συν w ; συν w + wημ w < wημw = / : για κάθε ;
2
p
;w ; /-
Άρα για w ; / Û f{w| ; f{/| Û f{w| ; / :συνεπώς e ΄{w| ;/-
· Η e{w| δεν είναι παραγωγίσιμη στο / : είναι όμως συνεχής στο /-
Το πρόσημο της παραγώγου φαίνεται στον πίνακα-
Γε- Λ Εξαπλατάνου ªΜεν- Λουντέμηςº Μαθηματικά Γ ΄ Ομ- Προσανατολισμού
x60]
;
2
p
/ 1
w +∞
e ΄{w| ; ; +
e{w| Γν- Φθίνουσα Γν- Φθίνουσα Γν.Αύξουσα
Ο.Ε
· Το {1:;1| Ο.Ε της συνάρτησης-
δ | dx)xxEdx)
x
x
Edx)xEf 233 2
2
2
2
0
3
0
2
+-++-=ò òò
- -
p p
hm
< ò
-
+-
0
2
3
p
hm
dx)
x
x
E -
Η e{w| γνησίως φθίνουσα στο Z;
2
p
: /  : άρα e{Δ| < Ze{/|: e{;
2
p
| < Z1: 2+
p
2
-
Άρα 1 ≤ e{w| ≤2+
p
2
Þ „„„„„„- ò
-
-<<
2
2
1
2
3
p
p
p dx)xEf -
ε | Η e{w| στο Z/:0 είναι συνεχής : παραγωγίσιμη στο {/:0| και γν.μονότονη :
άρα 0;0-
Έχω 9 e{ )x×-
2
p
< e{ )e x-
×-
2
p
Û { )x×-
2
p
< { )e x-
×-
2
p
Û x <
x
e-
Αρκεί να δειχθεί ότι η παραπάνω εξίσωση έχει μοναδική λύση στο {/:0|-
Θεωρώ την κ{w| < x
e-
; x συνεχή στο Z/:0 με κ{/| < 0=/ και
κ{0| <
e
e-1
;/ : άρα από Θ- Μπολζάνο : έχει τουλάχιστον μια ρίζα στο {/:0|-
Επίσης : κ΄{w|< ;
x
e-
; 0 ; / για κάθε w Î{/:0| :άρα γνησίως μονότονη στο
Z/:0-
71. Δίνεται η συνάρτηση e 9 QàQ για την οποία ισχύουν 9
· είναι παραγωγίσιμη στο Q:
· είναι κυρτή στο Q:
· e{α|< e{β| < / : με α ; β-
Γε- Λ Εξαπλατάνου ªΜεν- Λουντέμηςº Μαθηματικά Γ ΄ Ομ- Προσανατολισμού
x61]
Δείξτε ότι 9
α | υπάρχει μοναδικό wn ÎQ τέτοιο ώστε : e ΄{wn| < /-
β | η e{w| έχει ελάχιστη τιμή στο wn:
γ | e{w| ; / : για κάθε wÎ(α,β| δ | e{1/06|+ e{1/10|=1e{1/08|
ε | +¥=
+¥>-
)xEflimx
ΛΥΣΗ
α | Ισχύουν οι προϋποθέσεις του Θεωρήματος του Ρολ στο Zα,β : άρα υπάρχει
τουλάχιστον ένα wn Î(α,β| τέτοιο ώστε e ΄{wn| < /-
Η συνάρτηση e{w| είναι ΚΥΡΤΗ άρα η e ΄{w| είναι ΓΝ- ΑΥΞΟΥΣΑ συνεπώς το wn
είναι ΜΟΝΑΔΙΚΟ-
β | Η απάντηση φαίνεται στον πίνακα-
wο
w α β
e ΄΄{w| + +
e ΄{w|
; +
e{w|
; ;
Ο.Ε
γ | e{α| < / και μετά γν- φθίνουσα - Επίσης e{β| < / - Πάλι απ τον πίνακα
προκύπτει ότι e{w| ; / για κάθε w Î(α,β|-
δ | e{1/06|+ e{1/10|=1e{1/08| Û
e{1/10| ; e{1/08| =e{1/08| ; e{1/06| Û
20172019
20172019
20192021
20192021
-
-
>
-
- )Ef)Ef)Ef)Ef
{Ι|
Η {Ι| προκύπτει με 1 ΘΜΤ στα Z1/06:1/08 και Z1/08:1/10 και την
Κυρτότητα της e{w|-
ε | Αν η e{w| είναι ΚΥΡΤΗ η Be βρίσκεται πάνω από οποιαδήποτε εφαπτομένη
εκτός του σημείο επαφής-
Για κάθε w = wο : η e{w| είναι γν- αύξουσα- Για w0 = β Þ e{w0| = e{β| < /-
Γε- Λ Εξαπλατάνου ªΜεν- Λουντέμηςº Μαθηματικά Γ ΄ Ομ- Προσανατολισμού
x62]
Η εξίσωση της εφαπτομένης στο w0 είναι 9 x;e{w0|< e ΄{w0|{w;w0| Û
x < + e{w0|+ e ΄{w0|{w;w0|-
G e{w| είναι ΚΥΡΤΗ άρα e{w| = e{w0|+ e ΄{w0|{w;w0| για w = w0-
Αλλά : +¥=+-¢
+¥>-
)]xEf)xx)ExEfxlim
x
111 : άρα +¥=
+¥>-
)xEflimx
.
72. Δίνεται η συνάρτηση f{w| 9 {/: +∞|à Q : δυο φορές παραγωγίσιμη με
g΄΄{w| ; / για κάθε w = / - Αν e{w| < f{w+1|+ f{1;w| και f{1| < /-
Δημοσιεύτηκε στο ea την /1-/4-07 απ τον συνάδερφο Γ- Βεντούρη
α | Να βρεθεί το πεδίο ορισμού της e{w|-
G e{w| είναι ίση με άθροισμα σύνθετων συναρτήσεων- Θα βρώ αρχικά το
πεδίο ορισμού της f{w+1|
@0 < zw ÎQ.w+1=/| < {;1:+∞|
Θα βρω το πεδίο ορισμού της f{1;w|
@1 < zw ÎQ.1;w=/| < {;∞:1|
Sn πεδίο ορισμού της e{w| είναι η τομή των Α0 : Α1-
Α < {;1:1|-
β | Να δειχθεί ότι η e{w| είναι άρτια-
Α < {;1:1| και e{/| < f{1| + f{1| < /
Για κάθε w ÎΑ και το ; w ÎΑ και
e{;w| < f{;w+1|+f{1–{w||<f{1;w|+f{w+1|<e{w|
γ | Να εξεταστεί η e{w| ως προς τη μονοτονία και τα ακρότατα-
Η e{w| είναι παραγωγίσιμη στο Α-
f΄{w| < f΄{w+1|;f΄{1;w| : e ΄{/| < f΄{1|;f΄{1| < /
f΄΄{w| < f΄΄{w+1| + f΄΄{1;w| : για κάθε w Î{;1:1|
Είναι : ;1 ; wÛ w + 1 = / : w ; 1 Û 1;w = /
Άρα e ΄΄{w| ; / για κάθε wÎ{;1:1|
Γε- Λ Εξαπλατάνου ªΜεν- Λουντέμηςº Μαθηματικά Γ ΄ Ομ- Προσανατολισμού
x63]
/
w ;1 1
e ΄΄{w| ; ;
e ΄{w| + ;
e{w|
Ο.Μ
Απ τον παραπάνω πίνακα προκύπτει ότι 9
Ø Η e{w|είναι γν- αύξουσα στο {;1:/
Ø Η e{w|είναι γν- φθίνουσα στο Z/:1|
Ø Η e{w| παρουσιαζει ολικό μέγιστο στο {/:/|
δ | Να εξεταστεί η e{w| ως προς τη κυρτότητα και τα Σ.Κ
Απ τον παραπάνω πίνακα προκύπτει ότι 9
Ø e{w| ΚΟΙΛΗ στο {;1:1|
Ø Η e{w| δεν παρουσιάζει Σ.Κ
ε | Αν -¥=
>-
)xEglim
x 0
: να βρεθούν οι Κ.Α της e{w|-
Αναζητώ τις Κ.Α της e{w| στο ;1 και στο 1-
)xEg)xEg))xEg)xEgE)xEf limlimlimlim
xxxx
-++=-++= ++++
->-->-->-->-
2222
2222
Υπάρχουν τα επιμέρους όρια : συγκεκριμένα 9
-¥==+
>-->-
)uEg)xEg limlim
ux 02
2
Και )Eg)uEg)xEg limlim
ux
42
42
==-
>-->-
μιας και η είναι συνεχής στο {/:+∞|-
Άρα -¥=+
->-
)xEflim
x 2
: άρα η w < ;1 Κ.Α της e{w|-
Ομοίως -¥=-
+>-
)xEflim
x 2
: άρα η w < +1 Κ.Α της e{w|-
στ | Αν 2<a : να δειχθεί ότι 9 ò ò
-
+
-
=
a
a
a
a
dx)xEgdx)xEf
2
2
2
α = 1 Û α • 1 = / ΚΑΙ
;1 ; α Û α + 1 = / -
Γε- Λ Εξαπλατάνου ªΜεν- Λουντέμηςº Μαθηματικά Γ ΄ Ομ- Προσανατολισμού
x64]
Η e{w| είναι άρτια στο {;1:1| άρα 9 ò ò
-
=
a
a
a
dx)xEfdx)xEf
0
2
Είναι 9
òòò ò -++=-++=
aaa a
dx)xEgdx)xEgdx))xEg)xEgEdx)xEf
000 0
22222222
<1 ò
+a
du)uEg
2
2
+1 ò
-
-
a
)du)EuEg
2
2
<1 ò
+a
du)uEg
2
2
;1 ò
-a
du)uEg
2
2
<
< ò
+
-
a
a
dx)xEg
2
2
2 .
73. Δίνονται οι συναρτήσεις e{w| < 2+x : f{w| <
3
4+x
-
α | Να βρεθούν τα κοινά σημεία τους και η σχετική τους θέση-
β | Να εξετάσετε αν η e παραγωγίζεται στο ;1 και στη συνέχεια να
μελετηθεί ως προς τη μονοτονία • ακρότατα • κοίλα και σύνολο τιμών-
γ | Να γίνει η γρ- παράσταση της e-
δ | Να βρεθεί το εμβαδόν που περικλείεται απ τις Be : Bf-
ε | Να εξετάσετε αν ορίζεται η e;0 και να βρεθεί μαζί με το πεδίο ορισμού
της-
στ | Να χαράξετε τις γρ- παραστάσεις των Be : Be
;0 -
74. Δίνονται οι συναρτήσεις e{w| < km{w1+0| : f{w| 9QàQ με f{/| < / και
g΄{w| <
1
1
2
+x
για κάθε wÎQ-
α | Μονοτονία-Ακρότατα-Κοίλα-Σ.Κ της e{w|-
β | Έχει ασύμπτωτες η e{w|: να γίνει χάραξη της-
γ | Να αποδειχθεί ότι για κάθε α : βÎ Q : ισχύει 9 b
b
-£
+
+
a
a
ln
1
1
2
2
-
δ | Να υπολογιστεί το ολοκλήρωμα 9 Ι < ò
1
0
dx)xExf
ε | Να αποδειχθεί ότι το εμβαδόν Ε του χωρίου που περικλείεται απ τους
άξονες : την e{w| και την ευθεία w < 0 είναι ίσο με Ε < 1 f{0| +km1;1-
στ | Να δειχθεί ότι η g{w| < f{w| + f{
x
1
| είναι σταθερή στο {/:+∞|-
ζ | Να δειχθεί ότι : f{εφw| < w : για κάθε w Î{;
22
pp
I |-
Γε- Λ Εξαπλατάνου ªΜεν- Λουντέμηςº Μαθηματικά Γ ΄ Ομ- Προσανατολισμού
x6R]
75. Δίνεται η συνάρτηση e{w| <
x
x
hm
: w ÎΔ < {/:π|-
α | Να δειχθεί ότι η φ{w| < w • 1ημxσυνw + wσυν1w : είναι θετική στο Δ-
Υπόδειξη 9 Είναι δευτεροβάθμια ως προς συν1w : βρείτε τη Δ-
β | Να δείξετε ότι : e ΄΄{w| <
x
)xE
3
hm
j
και η e{w| είναι κυρτή- Να βρεθούν οι
ασύμπτωτες της-
γ | Εξετάστε τη μονοτονία • ακρότατα της e{w|- Να βρεθεί το σύνολο
τιμών της και να γίνει η γραφική της παράσταση-
δ | Να δειχθεί ότι 9 )
xx
E
x -
+
+
=
- 1
1
1
1
2
1
1
1
2
ε | Να υπολογιστεί το ολοκλήρωμα 9 I < ò
3
2
3
1
p
p hm
dx
x
στ | Να δείξετε ότι 9
ò
3
2
3
p
p
dx)xEf <
2
p
ò
3
2
3
p
p
dx
x
)xEf
<π¶km 3
Δημοσιεύτηκε στο ea την /3-/5-07 απ τον συνάδερφο Lπ- Στεργίου
ΛΥΣΗ
α | φ{w| < w • 1ημxσυνw + wσυν1w < w¶συν1w • 1ημw¶συνw + w : w ÎΔ
Η φ{w| είναι δευτεροβάθμια της μορφής α w1 + β w+γ : όπου α=γ<w : β < ;1ημ w
Είναι Δ < 3ημ1 w • 3 w1 < 3{ημ1 w • w1| ; / : μιας και ημw ; w για κάθε w =/-
Συνεπώς η φ{w| είναι ομόσημη του α < w = / : άρα φ{w| = / για κάθε w ÎΔ-
β | e ΄{w| <
x
xxx
2
hm
sunhm -
: e ΄΄{w| < {
x
xxx
2
hm
sunhm -
)΄ < „„„--<
x
)xE
3
hm
j
στο Δ είναι e ΄΄{w| = / άρα η e{w| είναι ΚΥΡΤΗ στο Δ- Αναζητώ Κ.Α στα / και π-
1
1
000
=== +++
>->->-
x
xx
x
)xEf limlimlim
xxx hmhm
: άρα η w < 0 όχι Κ.Α
+¥== --
>->- x
x
)xEf limlim
xx hmpp
: συνεπώς η w < π είναι Κ.Α
Γε- Λ Εξαπλατάνου ªΜεν- Λουντέμηςº Μαθηματικά Γ ΄ Ομ- Προσανατολισμού
x66]
γ | e ΄{w| <
x
xxx
2
hm
sunhm -
: θεωρώ την f{w| < ημw • wσυνw : w ÎΔ
Είναι συνεχής και παραγωγίσιμη και f ΄{w| < συνw • συνw + wημw < wημw = / για
κάθε w ÎΔ- Επίσης f{/| < / : άρα
w ÎΔ Û /; w ;π Û f{/| ; f{w| ; f{π| Û / ; f{w| ; π : άρα f{w| = / : άρα
e ΄{w| = / για κάθε w ÎΔ Þ e{w| γν.αύξουσα στο Δ και δεν έχει Ακρότατα-
e{Δ| < { )xEflim
x +
>- 0
: )xEflim
x -
>- p
| < {0 : +∞|
δ |
2222
111
1
111
1
x
x)ABEBA
x
BxBAxA
xx
B
x
A
x -
-++
=
-
++-
=
-
Û
-
+
+
=
-
Û Α+Β < 0 και Β-Α < / Û Α=Β <
2
1
: άρα )
xx
E
x -
+
+
=
- 1
1
1
1
2
1
1
1
2
-
ε | I < ò
3
2
3
1
p
p hm
dx
x
< òòò
-
¢
=
-
¢-
=
3
2
3
2
3
2
3
2
3
2
3
2
11
p
p
p
p
p
p sun
sun
sun
sun
hm
hm
dx
x
)xE
dx
x
)xE
dx
x
x
Θέτω t < συνw : ct < {συνw|΄cw : w <
3
p
: t <
2
1
και w <
3
2p
: t <;
2
1
Γε- Λ Εξαπλατάνου ªΜεν- Λουντέμηςº Μαθηματικά Γ ΄ Ομ- Προσανατολισμού
x67]
Άρα : I <
....]uxln]uxlndu)
uu
Edu
u
=--+=
-
+
+
=
-
ò ò
- -
--
2
1
2
1
2
1
2
1
2
1
2
1
2
1
2
12
1
2
1
1
2
1
1
1
1
1
2
1
1
1
<km2-
στ | Καταρχήν 9
2
p
ò
3
2
3
p
p
dx
x
)xEf
<
2
p
ò ===
3
2
3
3
22
1
p
p
pp
hm
lngdx
x
π¶km 3 -
ò
3
2
3
p
p
dx)xEf : θέτω w < π • t : cw < ;ct : w <
3
p
: t <
3
2p
και w <
3
2p
: t <
3
p
Άρα Ι < ò
3
2
3
p
p
dx)xEf < fgdu
u
u
du)uEf -=
-
=- òò p
hm
p
p
p
p
p
p
3
2
3
3
2
3
Û
2Ι < πI Û H <
2
p
ò
3
2
3
p
p
dx
x
)xEf
< π¶km 3 -
76. Έστω η παραγωγίσιμη συνάρτηση e 9 {/:+∞|àQ για την οποία ισχύει 9
{w1; w|¶e ΄{w| + w¶e{w| < 0 : για κάθε w =/
α | Να αποδειχθεί ότι 9 e{w| <
ï
ï
î
ï
ï
í
ì
=
¹<
-
11
10
1
xI
xI
x
xln
β | Να αποδείξετε ότι 9 ò ò=
a
a
dt
t
)tEf
dt)tEf
1
1
1
: για κάθε α = /-
γ | Αν η f είναι αρχική της e{w| με f{0| < / : να αποδείξετε ότι η f είναι κοίλη -
Γε- Λ Εξαπλατάνου ªΜεν- Λουντέμηςº Μαθηματικά Γ ΄ Ομ- Προσανατολισμού
x68]
δ | Αν Ε το εμβαδόν του χωρίου που περικλείεται απ την γρ- παράσταση της f
τον ww΄ και την ευθεία w < 2: να αποδειχθεί ότι Ε ; 1-
Υπόδειξη 9 Χρησιμοποιήστε την κυρτότητα της f και την εφαπτομένη της στο {0:/|-
ε | Αν Η αρχική της g{s| < s¶e{s| : s = / και α = / : να αποδείξετε ότι 9
α¶{f{α|; f {
a
1
|| ≥ Η(α|;Η{
a
1
|- Υπόδειξη 9Περιπτώσεις για το α-
ΕΠΑΝΑΛΗΠΤΙΚΕΣ ΠΑΝΕΛΛΗΝΙΕΣ 1/04 • Θέμα Δ
77. Δίνεται η παραγωγίσιμη e 9 QàQ με e{/| < 0 και την ιδιότητα 9
e ΄{w|¶{w1+0|+ w¶e{w| < 0 +1w¶{w+ 12
+x | : w ÎQ
α | Να αποδείξετε ότι η συνάρτηση f 9 QàQ με
f{w| < 12
+x ¶e{w| ; w 12
+x ; w1 • 0 είναι σταθερή και ότι
e{w| < w + 12
+x : wÎQ-
β | Να μελετηθεί η e{w| ως προς τη μονοτονία και τα ακρότατα : το σύνολο
τιμών της και το πλήθος των ριζών της εξίσωσης 9 12
+x < 1/07 • w-
γ | Να μελετηθεί η e{w| ως προς τα κοίλα : να βρεθούν οι ασύμπτωτες και να
γίνει η χάραξη της-
δ | Αν E είναι αρχική της e{w| να λυθεί η εξίσωση 9 E{1w|+E{2w| <E{3w|+ E{4w|
ε | Να αποδειχθεί ότι η e{w| αντιστρέφεται και ότι η αντίστροφη της είναι η
e ;0{w| <
x
x
2
12
-
-
στ | Να λυθεί η εξίσωση 9
xxxxx
e)ee)EeeE -----
=-+++ 22422
111 Υπόδειξη 9 Διαίρεσε όλους με d1;w-
Προτείνεται απ τον συνάδερφο Lπ- Στεργίου για τις Πανελλήνιες 1/07; Δ Θέμα
78. Δίνεται η συνάρτηση e{w| < w2+ w + 0 : w Î Q-
α | Να αποδειχθεί ότι αντιστρέφεται και να βρεθεί το πεδίο ορισμού της
e;0-
β | Να μελετήσετε τη μονοτονία και τα ακρότατα της e;0-
Γε- Λ Εξαπλατάνου ªΜεν- Λουντέμηςº Μαθηματικά Γ ΄ Ομ- Προσανατολισμού
x69]
γ | Να λυθεί η ανίσωση 9 e;0{w| ≥ w : w Î Q-
δ | Να υπολογιστεί το πρόσημο της e;0-
ε | Να υπολογίσετε τους αριθμούς e;0{;0| : e;0{0|-
στ | Να υπολογιστεί το όριο 9 )yEflim
y
1
11
-
>-
ζ | Να υπολογιστεί ο ρυθμός μεταβολής της w < e;0{x| ως προς x για x<0-
η | Να βρεθεί το εμβαδόν του χωρίου που περικλείεται μεταξύ των e : e;0
και των ευθειών w < ;0 : w < 0-
Γενική Άσκηση των συναδέρφων Μ.Χατζόπουλου-Β.Κακαβά-Θ.Ποδηματά-Α.Πάτση
Η λύση της είναι ΕΔΩ 9 gsso9..khr`qh-aknfrons-bnl.1/07./5.aknf;onrs-gslk
79. Δίνεται η e{w| < w ; I
x2
4
w
*
oÎ -
α | Να μελετηθεί ως προς τη μονοτονία • ακρότατα
β | Να μελετηθεί ως προς την κυρτότητα • Σ.Κ
γ | Να βρεθούν οι ασύμπτωτες της γρ- παράστασης της e{w|-
δ | Να σχεδιαστεί η γρ- παράσταση της e{w|-
ΠΑΝΕΛΛΗΝΙΕΣ 1/07 • Θέμα Β
Οι λύσεις ΕΔΩ 9 gsso9..aknfr-rbg-fq.hnqc`mhrjnr.`qbghudr.0575
80. Δίνεται η e{w| <
2
2 xe ax
--
: w Î Q με α = 0-
α | Να αποδειχθεί ότι για κάθε α = 0 η γρ- παράσταση της e{w| έχει
ακριβώς ένα σημείο καμπής-
β | Να αποδειχθεί ότι υπάρχουν μοναδικά w0 : w1 Î Q με w0 ; w1 τέτοια
ώστε η e{w| να παρουσιάζει Τ.Μ στο w0 και Τ.Ε στο w1 -
γ | Να αποδειχθεί ότι e ΄{0| ; / για κάθε α = 0-
δ | Να αποδειχθεί ότι η εξίσωση 9 e{w| < e{0| είναι αδύνατη στο
διάστημα {α: w1 |-
ε | Να βρεθεί η εξίσωση της εφαπτομένης της e{w| στο {1: e{1||-
στ | Να υπολογιστεί το ολοκλήρωμα 9 ò --
3
2
222 dx)xEx -
ζ | Να αποδειχθεί ότι 9 ò ->-
3
2 15
32
2dxx)xEf
ΠΑΝΕΛΛΗΝΙΕΣ 1/07 • Θέμα Δ
Οι λύσεις ΕΔΩ 9 gsso9..aknfr-rbg-fq.hnqc`mhrjnr.`qbghudr.0575
Γε- Λ Εξαπλατάνου ªΜεν- Λουντέμηςº Μαθηματικά Γ ΄ Ομ- Προσανατολισμού
x70]
ΠΗΓΕΣ ΑΣΚΗΣΕΩΝ
1. Πανελλαδικές Εξετάσεις • Επαναληπτικές Πανελλήνιες • Τέκνων του
Εξωτερικού-
2. Ενδοσχολικές Εξετάσεις Γε.Λ Εξαπλατάνου : σχολικά έτη 03;04 : 04;05-
3. Μαθηματικά Γ΄ Λυκείου: Επαναληπτικά Θέματα στα Πρότυπα του Σχολικού
Βιβλίου: Ν.Ζανταρίδης-Π.Παντούλας-Β.Μαυροφρύδης-Κ.Τηλέγραφος:
Εκδόσεις Ζανταρίδης Τηλέφραφος: Μάρτιος 1/06-
4. Επανάληψη στα Μαθηματικά : Γιάννης Καραγιάννης Σχολικός Σύμβουλος
Μαθηματικών: Μάρτιος 1/06-
5. 1ο Διαγώνισμα Προσομοίωσης Πανελληνίων 1/06 : Γιάννης Καραγιάννης
Σχολικός Σύμβουλος Μαθηματικών: Μάϊος 1/06-
6. vvv-rstcx3dw`lr-fq. Προσπελάστηκε /5-/3-06
7. Επιλεγμένα Θέματα ΕΜΕ-
8. Επιλεγμένες Ασκήσεις Προετοιμασίας: Άσκηση Εβδομάδας: Γε- Λ Γιαννιτσών :
σχολικό έτος 04;05 : gsso9..dhr`snonm-aknfrons-fq.-
9. Μαθηματικά Θετικής και Τεχνολογικής Κατεύθυνσης Γ0 : Β- Παπαδάκης :
Εκδόσεις Σαββάλας : 1//8-
10.Μαθηματικά Θετικής και Τεχνολογικής Κατεύθυνσης Γ : τεύχος Β΄ :
Αθανάσιος Χ- Μπάρλας : Εκδόσεις Ελληνοεκδοτική : 1/02-
11.Αναλύοντας την Ανάλυση : Γιώργος Τσαπακίδης : Εκδόσεις Μαυρίδη: 1/06-
12.Οδηγός Επανάληψης: Μαθηματικά Γ΄ : Μπ.Στεργίου-Χρ.Νάκης: Μαθηματική
Λέσχη: Ιανουάριος 1/07-
13.Προτεινόμενες ασκήσεις συναδέρφων: Ομάδες Μαθηματικών ea: σχολικά έτη
06;07: 07;08-

80 ΕΠΙΛΕΓΜΕΝΕΣ & ΕΠΩΝΥΜΕΣ ΑΣΚΗΣΕΙΣ Γ΄ ΛΥΚΕΙΟΥ - ΟΜΑΔΕΣ ΠΡΟΣΑΝΑΤΟΛΙΣΜΟΥ

  • 1.
    Σχ. Έτη 17– 18, 18 - 19 Γ΄ Λυκείου Μαθηματικά Ομάδων Προσανατολισμού F> Επιλεγμένες και Επώνυμες Ασκήσεις Επιμέλεια H Κοσόγλου Ιορδάνη Msc μαθηματικού
  • 2.
    Γε< Λ Εξαπλατάνου«Μεν< Λουντέμης» Μαθηματικά Γ ΄ Ομ< Προσανατολισμού x1] ΑΣΚΗΣΕΙΣ 1. Να εξεταστούν ως τις τη μονοτονία οι κάτωθι συναρτήσεις H α ) x@;@x+A : x³ ? β ) @xA +? γ ) 3 x4 - δ ) A+@ x1 e - ε ) 2x x3 + στ ) x + lnx ζ ) 1e 1e x x + - 2. Δίνεται η συνάρτηση f H RàR : για την οποία ισχύει f A(x) + f(x) + x 2 1 = > (?) για κάθε x oÎ < α ) Να αποδειχθεί ότι η f(x) είναι «?;?»< β ) Να βρεθεί ο τύπος της f ;?(x)< γ ) Να λυθεί η εξίσωση f ;?(xA ; x) = f ;?(A ; Ax)< 3. Δίνονται οι συναρτήσεις f(x) = ae e x x + και g (x) = ln(x+β) : όπου α: β oÎ < Η γραφική παράσταση της f τέμνει τον y΄y στο 2 1 - και η γραφική παράσταση της g τέμνει τον x΄x στο @< α ) Να βρεθούν οι αριθμοί α και β< β ) Να ορίσετε την συνάρτηση f go < γ ) Να βρεθούν τα σημεία τομής της γραφικής παράστασης της f go με τη γραφική παράσταση της h(x) = 4 x- < 4. Δίνεται η συνάρτηση f H RàR για την οποία ισχύει @f(; x) + f(x) = αe;x + ex t x : για κάθε x oÎ και α oÎ < Αν η γραφική παράσταση της f(x) τέμνει τον άξονα y΄y στο ? < α ) Να βρεθεί ο αριθμός α< β ) Να βρεθεί ο τύπος της f(x)< γ ) Να μελετηθεί η f(x) ως προς τη μονοτονία< δ ) Να λυθεί η ανίσωση H 03222122 >-++- -- xxee xx 5. Δίνεται γνησίως φθίνουσα συνάρτηση f(x) με πεδίο ορισμού το R για την οποία ισχύει f(ex+@) + f(x+A) = x : για κάθε x oÎ <
  • 3.
    Γε< Λ Εξαπλατάνου«Μεν< Λουντέμης» Μαθηματικά Γ ΄ Ομ< Προσανατολισμού x2] α ) Να αποδείξετε ότι η f(x) είναι αντιστρέψιμη< β ) Να βρεθούν τα σημεία τομής της f(x) με τον x΄x< γ ) Να λυθεί η ανίσωση H f(D ; f ;?(x@;B)) > >< 6. Δίνεται η συνάρτηση g (x) = ex + x t ?< α ) Να μελετηθεί η g (x) ως προς τη μονοτονία< β ) Να βρείτε τα σημεία τομής της γραφικής παράστασης της g (x) με τον x΄x< γ ) Δίνεται η συνάρτηση f H RàR : για την οποία ισχύει H ( fg o )(x) = x ; ? : να αποδείξετε ότι η f(x) είναι προς ?;?< δ ) Να βρείτε το f(?)< 7. Δίνεται η γνησίως φθίνουσα συνάρτηση f H (>: +∞)à R καθώς και η συνάρτηση g (x) = f(x) t lnx< α ) Να αποδείξετε ότι η g (x) είναι γνησίως φθίνουσα< β ) Να λύσετε την ανίσωση H f(ex) ; f(e@) < x t @< 8. Δίνεται η συνάρτηση f(x) = xA + α x + @ : α oÎ < Η γραφική παράσταση της f o f τέμνει τον y΄y στο ?B< α ) Να βρεθεί ο α< β ) Να αποδείξετε ότι η f(x) είναι αντιστρέψιμη< γ ) Να βρείτε τα σημεία τομής των γραφικών παραστάσεων f(x) και f ;?(x)< δ ) Να λύσετε την ανίσωση f( f( x ;@) ; C ) < f ;?(?B)< 9. Δίνεται η συνάρτηση f(x) = α + ex;? : α oÎ < α ) Να αποδείξετε ότι η f(x) είναι αντιστρέψιμη< β ) Αν ισχύει f ;?(B) = ? : τότε να βρεθεί ο α < γ ) Δίνεται η συνάρτηση g(x) = @ ex;A + x t @ : να αποδείξετε ότι η g (x) είναι ?;?< δ ) Να βρείτε τα σημεία τομής των γραφικών παραστάσεων g (x) και g;? (x)< 10. Δίνεται η συνάρτηση f(x) H RàR για την οποία ισχύει f A(x) + @ f(x) = ?@ex : x oÎ (?)< α ) Να αποδειχθεί ότι f(x) > > για κάθε x oÎ < β ) Να βρείτε τα σημεία τομής της f(x) με τον y΄y< γ ) Να αποδείξετε ότι η f(x) είναι ?;?< δ ) Να λυθεί η εξίσωση H f( x ;A)= 2 22 1 e lne ln + <
  • 4.
    Γε< Λ Εξαπλατάνου«Μεν< Λουντέμης» Μαθηματικά Γ ΄ Ομ< Προσανατολισμού x3] 11. Δίνεται η f(x) H RàR για την οποία ισχύει H f(f(x);@) = x (?) α ) Να αποδείξετε ότι η f(x) είναι ?;?< β ) Να αποδείξετε ότι f ;?(x) = f(x;@) : x oÎ < γ ) Να λυθεί η εξίσωση H f(@ex ;?) = f ;?(A)< 12. Δίνονται οι συναρτήσεις f(x) = ex + e;x : g (x) = Aσυνx;?< α ) Να αποδείξετε ότι η f(x) έχει ελάχιστο το @< β ) Να βρεθούν τα ακρότατα της g (x)< γ ) Να βρείτε τα κοινά σημεία των γραφικών παραστάσεων των f(x) : g (x) < 13. Δίνεται η συνάρτηση f H (>: +∞)à R : για την οποία ισχύουν f(?) + f(e) = @e+A και f(x) ; f(y) = ln y x +@(x;y) : x : yÎ (>: +∞)< α ) Να βρεθούν τα f(?) και f(e)< β ) Να βρεθεί ο τύπος της f(x)< γ ) Να αποδείξετε ότι η f(x)είναι αντιστρέψιμη< δ ) Να λύσετε την ανίσωση H B(x@ ; ?) < 83 10 2 2 + + x x ln < 14. Δίνεται η συνάρτηση f H RàR για την οποία ισχύει H f A(x) + Af(x) + x = > (?) : x oÎ < α ) Να βρεθεί το f(>) β ) Να αποδείξετε ότι η f(x)αντιστρέφεται και να βρεθεί η f ;?(x)< γ ) Να αποδείξετε ότι η f(x) είναι γνησίως φθίνουσα< δ ) Να βρείτε τα διαστήματα στα οποία η γραφική παράσταση της f(x)είναι κάτω από τον x΄x ε ) Να λυθεί η ανίσωση H f( f( x +?) t ?A ) < @< 15. Δίνεται η συνάρτηση f(x) για την οποία ισχύει H f(f(x)) + x = @>>B : χ RÎ (?) Να δείξετε ότι H α ) η f(x) είναι ?;?: β ) f ;?(x) = ; f(x) + @>>B: γ ) η f(x) δεν είναι γνησίως μονότονη: δ ) f(>) + f(@>>B) = @>>B<
  • 5.
    Γε< Λ Εξαπλατάνου«Μεν< Λουντέμης» Μαθηματικά Γ ΄ Ομ< Προσανατολισμού x4] 16. Δίνεται η συνάρτηση f H Rà R για την οποία ισχύει H f(α+β) = f(α) + f(β) : για κάθε α,β RÎ α ) Να δείξετε ότι f(>) = > β ) Να δείξετε ότι f(;x) = ; f(x) γ ) Αν η f(x) = > έχει μοναδική ρίζα : να δείξετε ότι η f(x) αντιστρέφεται< δ ) Να δειχθεί ότι H f;?(x+ψ) = f;?(x) + f;?(ψ) : x : ψ oÎ < 17. Έστω η f(x) η οποία για κάθε χ RÎ : ικανοποιεί τη σχέση H fA(x) + Cf(x) + x = > (?) α ) Αποδείξτε ότι η f(x) αντιστρέφεται και βρείτε την αντίστροφη της< β ) Βρείτε τα κοινά σημεία των Cf : Cf ;?< 18. Έστω f(x) για την οποία ισχύει H f(f(x)) = x A : για κάθε χ RÎ < (?) α ) Αποδείξτε ότι η f(x) αντιστρέφεται< β ) Να δειχθεί ότι H f(xA) = (f(x))A ΥΠΟΔΕΙΞΗ β ) βάλε όπου χ το f(x) στην (?) γ ) Λύστε την εξίσωση H f(x) = x< δ ) Αποδείξτε ότι H [f(;?)]A+ [f(?)]A = f(>)< ε ) Αν f(F) = DB : υπολογίστε το f(@)< 19. Δίνονται οι συναρτήσεις f(x) = x x x - 3 2 : g (x) = x x3 < α ) Εξετάστε αν είναι ίσες οι f(x) : g (x)< β ) Σχεδιάστε τη συνάρτηση h(x) = î í ì > £- 0 0 x),x(f x,x και την ευθεία y = ;x+@ στο ίδιο καρτεσιανό σύστημα και κατόπιν να λυθούν : ι ) η εξίσωση h(x) + x t @ = > ιι ) η ανίσωση h(x) + x t @ ≤ > γ ) Η γραφική παράσταση της h(x) και η ευθεία y = ? σχηματίζουν τρίγωνο: να αποδειχθεί ότι το εμβαδόν Ε του μικτόγραμμου τριγώνου είναι Ε < ? τ< μ Δημοσιεύτηκε στο fb την @B<>D<?F απ τον συνάδερφο Γ< Μπαρακλιανό
  • 6.
    Γε< Λ Εξαπλατάνου«Μεν< Λουντέμης» Μαθηματικά Γ ΄ Ομ< Προσανατολισμού xR] 20. Δίνεται f(?;ex) = x : x ≥ >< α ) Να υπολογιστεί ο τύπος και το πεδίο ορισμού της f(x)< β ) Να αποδειχθεί ότι H f(?;π@) > f(@;π@) και ότι η f(x) έχει ελάχιστη τιμή το >< γ ) Δίνεται η ω(x) = ï î ï í ì Î Î Ax),x(g Bx, x x3 : όπου g (x) = f(x) +f(;x) και Α,Β τα ευρύτερα δυνατά σύνολα στο R< ι ) Να βρεθούν τα Α και Β< ιι ) Να δειχθεί ότι ω(;x) = ;ω(x) για κάθε x στο R< ιιι ) Να δειχθεί ότι η καμπύλη της t(x) = x@+αx : α < > : τέμνει την γραφική παράσταση της ω(x) σε ένα μόνο σημείο< Δημοσιεύτηκε στο fb την A><>D<?F απ τον συνάδερφο Γ< Μπαρακλιανό 21. Δίνεται ότι f(@x+?) = @x;A : x oÎ < α ) Να δειχθεί ότι f(x) = x;B : x oÎ < β ) Αν Αf = [;?:@] : να βρεθούν τα πεδία ορισμού των παρακάτω συναρτήσεων H g(x)=f(@x;?) : h(x) = f(ln(x+?)) :φ(x)=f(e;x) γ ) Αν f(t(x)) = lnx t ? : x > > : να βρεθεί η συνάρτηση )x(t δ ) ι ) Ποιο είναι το πεδίο ορισμού της w(x) = lnf(x); ))x(f(f- ιι ) Να δειχθεί ότι w(x) ≤ lnB : για κάθε x wAÎ < Δημοσιεύτηκε στο fb την >?<>E<?F απ τον συνάδερφο Γ< Μπαρακλιανό 22. Δίνεται η f(x) = x1x 1 ++ : x ³ >< α ) Nα δείξετε ότι: f(x) = x1x -+ β ) να αποδείξετε ότι f(x) > > για κάθε x ³ > γ ) να αποδείξετε ότι η f(x) αντιστρέφεται και να βρείτε την αντίστροφη της< δ ) Nα δειχθεί ότι για κάθε x ³ > ισχύει H f(x) £ ? ε ) Να δειχθεί ότι η μέγιστη τιμή τις f(x) είναι το ?< στ ) Nα λύσετε την εξίσωση H ( x1x -+ )( 1)8xx7xx 33 =-++-+ [ Ευκλείδης τεύχος CF ]
  • 7.
    Γε< Λ Εξαπλατάνου«Μεν< Λουντέμης» Μαθηματικά Γ ΄ Ομ< Προσανατολισμού x6] 23. Δίνεται η f(x) = x+ 1x2 + < Να αποδείξετε ότι H α ) f(x) > > για κάθε x RÎ β ) η f(x) αντιστρέφεται και να βρείτε την αντίστροφη της<[ Ευκλείδης τεύχος CF ] 24. Δίνεται η f(ex) = lnx t ? : x > ?< α ) Να βρεθεί η f(x)< β ) Να δειχθεί ότι f( x ) < f(x+?) για κάθε x >? γ ) Να δειχθεί ότι f;?(x) = 1+x e e : x oÎ < δ ) Να υπολογιστούν τα όρια H ι ) 2 1 1)x( )x(f lim x -+ >- ιι ) 2 1 1 1)x( )x(f lim x + - ->- ε ) Αν g(x) = f(ex) και το Ο(>:>) και Α(e:g(e)) και Γ(x: g(x)) με x > e : να δειχθεί ότι η γωνία ΟΑΓ είναι μεγαλύτερη των G>>< Δημοσιεύτηκε στο fb την ?E<>F<?F απ τον συνάδερφο Γ< Μπαρακλιανό 25. Έστω f H (>:+∞) και για κάθε x > > ισχύει H x)x(fe )x(f =× (?) α ) Να δειχθεί ότι η f(x) είναι γν.αύξουσα< β ) Να υπολογιστεί το f(Α)< γ ) Να λυθεί η f;?(ex) < lnB δ ) Να βρεθεί το Π.Ο της g(x) = f(e+@συνx+?) και να λυθεί η g(x) = ?< Δημοσιεύτηκε στο fb την ?F<>F<?F απ τον συνάδερφο Γ< Μπαρακλιανό 26. Δίνεται η συνάρτηση f H RàR για την οποία ισχύει H x·f(x)≤ x@+Ax : x oÎ : και το όριο )x(flim x 0>- υπάρχει και είναι πραγματικός αριθμός< α ) Να αποδειχθεί ότι )x(flim x 0>- = A< β ) Να βρεθεί το όριο 21 4132 0 -+ -+-- >- )x(f )x(f)x(f)x(f lim x < 27. Δίνεται η συνάρτηση f H RàR για την οποία ισχύει H 20 24 3 0 = -+ + >- x x)x(f lim x hm Να βρεθούν : αν υπάρχουν : τα όρια H
  • 8.
    Γε< Λ Εξαπλατάνου«Μεν< Λουντέμης» Μαθηματικά Γ ΄ Ομ< Προσανατολισμού x7] α ) )x(flim x 0>- β ) x )x(f lim x 0>- γ ) x )x(f lim x hm0>- δ ) 3 0 2 x )x(f)x(f lim x - >- 28. Δίνεται η συνάρτηση f H RàR για την οποία ισχύει H 1 5 24 2 2 = - -- >- x )xx)(x(f lim x Να βρεθούν : αν υπάρχουν : τα όρια H α ) )x(flim x 2>- β ) )x(f)x(f)x(fxlim x 2784 2 2 -+- >- ]< 29. Δίνεται η συνάρτηση f H RàR για την οποία ισχύει H 242 -+£- xx)x(f : για κάθε x oÎ < Να βρεθούν τα όρια H α ) )x(flim x 0>- β ) x )x(f lim x 0>- γ ) x ))x(f( lim x hm 0>- < 30. Έστω f(x) = 1 1 2 232 ++ ++- xx xx)( l ll : λ oÎ < α ) Να βρεθεί το )x(flim x -¥>- για κάθε λ oÎ < β ) Αν λ = > : να υπολογιστούν H ι ) )x(flim x 1->- ιι ) xx xx x e )e)(x(f lim 23 2 0 +- + >- ιιι ) xx xx x e )e)(x(f lim 2 2 + - +¥>- γ ) Αν λ = ? : να δειχθεί ότι H
  • 9.
    Γε< Λ Εξαπλατάνου«Μεν< Λουντέμης» Μαθηματικά Γ ΄ Ομ< Προσανατολισμού x8] ι ) 02018 =× +¥>- )x) x )x(f ((lim x hm ιι ) f(x) > ? για κάθε x στο (;@:>) ιιι ) 3 43 43 2018 1 = + - + + -¥>- xx xx x ))(x(f lim δ ) Το όριο της περιμέτρου ορθ< Παραλληλογράμμου με μήκη ? μον και f(x) μονάδες όταν xà+∞ είναι B μον< Τι μπορούμε να ισχυριστούμε για το ορθογώνιο όταν xà+∞< Δημοσιεύτηκε στο fb την @><>F<?F απ τον συνάδερφο Γ< Μπαρακλιανό 31. Έστω f(x) μη σταθερή συνάρτηση απ το R στο R και για κάθε x : y oÎ ισχύει H f(x+y) = Af(x)f(y)< α ) Να δειχθεί ότι f(>) = 3 1 < β ) Να δειχθεί ότι f(x) > > για κάθε x oÎ < γ ) Επίσης : f(;x) = )x(f9 1 < δ ) Αν 0= +¥>- )x(flim x : τότε δείξτε ότι +¥= -¥>- )x(flim x < Δημοσιεύτηκε στο fb τον Αύγουστο του ?F απ τον συνάδερφο Γ< Βεντούρη 32. Έστω f(x) = e;x t x και f(R) = R < α ) Να δειχθεί ότι υπάρχει η f;?(x) και να συγκριθούν οι αριθμοί f;?(@>?F) : f;?(@>?G)< β ) Να λυθούν οι εξισώσεις ι ) =- 2 x e x@ + ? ιι ) f;?(x) = > γ ) Να λυθούν οι ανισώσεις H ι ) 2 2 2 212 e e xxe xx - ++³-- ιι ) tlnx + 5 1 1 51 e )(fe xln +-³+ -- δ ) Να υπολογιστούν τα όρια H
  • 10.
    Γε< Λ Εξαπλατάνου«Μεν< Λουντέμης» Μαθηματικά Γ ΄ Ομ< Προσανατολισμού x9] ι ) ))x(f x (lim x - +¥>- hm2 1 ιι ) ]x)x(fxlim x 2 + +¥>- ιιι ) )e)x(f(ln )x(f x lim + -¥>- Δημοσιεύτηκε στο fb την @C<>F<?F απ τον συνάδερφο Γ< Μπαρακλιανό 33. Έστω f H RàR με f(@x) = xx xx - - + - 44 44 : x oÎ < α ) Να δειχθεί ότι η f(x) = 14 14 + - x x < β ) Να βρεθούν τα όρια )x(flim x +¥>- και )x(flim x -¥>- < γ ) Να δειχθεί ότι η f(x) είναι γνησίως αύξουσα στο πεδίο ορισμού της< δ ) Να βρεθεί το f(Α)< ε ) Να υπολογιστεί η f ;?(x)< στ ) Να βρεθούν τα όρια στα άκρα του πεδίου ορισμού της f ;?(x)< Δημοσιεύτηκε στο fb την ?A<?><?F απ τον συνάδερφο Θ< Ξένο 34. Δίνεται η συνεχής συνάρτηση f H RàR : για την οποία ισχύει H f ( p p hmp 4232 - =+- x )x(f)e x : για κάθε x oÎ α ) Να αποδειχθεί ότι H f(?) + f(;?) = ;? β ) Να αποδειχθεί ότι υπάρχει ένα τουλάχιστον ξ στο διάστημα [>:π] : τέτοιο ώστε να ισχύει H f(συνξ) = ;συν 2 x 35. Δίνεται η συνεχής συνάρτηση f H Rà(;∞ : ?) με f(>) = f(?) = 2 1 και η συνεχής συνάρτηση g (x) H Rà ( 2 1 : +∞) : με g (@) =A και g (A) = ?< Να αποδείξετε ότι H α ) υπάρχει x? στο διάστημα (>:?) ώστε να ισχύει H f(x?) = @x?< β ) υπάρχει x@ στο διάστημα (@:A) ώστε να ισχύει H g (x@) = x@ γ ) υπάρχει ξ oÎ : ώστε H f(ξ)g(ξ) = ξ<
  • 11.
    Γε< Λ Εξαπλατάνου«Μεν< Λουντέμης» Μαθηματικά Γ ΄ Ομ< Προσανατολισμού x10] 36. Δίνεται η συνάρτηση H f(x) = xlnxx ---1 α ) Να μελετηθεί ως προς τη μονοτονία< β ) Να βρεθεί το f(Α)< γ ) Να αποδειχθεί ότι η γραφική παράσταση της f(x) τέμνει τον άξονα x΄x ακριβώς σε ένα σημείο< 37. Δίνεται η συνάρτηση H f(x) = xlnex x -+-- - 1 α ) Να μελετηθεί ως προς τη μονοτονία< β ) Να βρεθεί το f(Α)< γ ) Να αποδειχθεί ότι η γραφική παράσταση της f(x) τέμνει τον άξονα x΄x ακριβώς σε ένα σημείο< 38. Δίνεται η συνεχής συνάρτηση f H RàR : για την οποία ισχύει f @(x) ; D f(x) = x@ : για κάθε x oÎ και επιπλέον η γραφική παράσταση της f(x) τέμνει τον y΄y στο σημείο με τεταγμένη B< α ) Να αποδειχθεί ότι f(x) ≠ > : για κάθε x oÎ < β ) Να βρεθεί ο τύπος της f(x)< γ ) Να υπολογιστούν τα όρια H )x(f x lim x hm +¥>- : )x)x(f(lim x + -¥>- < 39. Δίνεται η συνεχής συνάρτηση f H RàR : για την οποία ισχύει f(@) = A και f(x)·f(f(x)) = @B : για κάθε x oÎ < α ) Να βρεθεί η τιμή f(A)< β ) Να αποδειχθεί ότι υπάρχει ξ oÎ τέτοιο ώστε f(ξ) = D< γ ) Να βρεθεί η τιμή f(D)< 40. Δίνεται η συνάρτηση f H RàR : για την οποία ισχύει 7 0 = + >- x x)x(f lim x hm α ) Να βρεθεί το όριο )x(flim x 0>- < β ) Ομοίως το όριο x )x(f lim x 30hm>- <
  • 12.
    Γε< Λ Εξαπλατάνου«Μεν< Λουντέμης» Μαθηματικά Γ ΄ Ομ< Προσανατολισμού x11] 41. Δίνεται η συνάρτηση f H RàR : για την οποία ισχύει ημ@x ≤ f(x) ≤ x@ : για κάθε x oÎ < α ) Να αποδειχθεί ότι η f(x) είναι συνεχής στο >< β ) Να βρεθεί το όριο x )(f)x(f lim x 0 0 - >- < 42. Δίνεται η συνάρτηση f H RàR : για την οποία ισχύει 8 110 = -+ - >- x x)x(f lim x Να βρεθούν τα παρακάτω όρια H α ) )x(flim x 0>- β ) ) x )x(f(lim x 1 0 hm >- γ ) x )x(f lim x 50hm>- 43. Δίνεται η συνάρτηση f H με πεδίο ορισμού και σύνολο τιμών το R : επίσης για την f(x) ισχύει H f A(x) +Af(x) ; @x = C : για κάθε x oÎ < α ) Να αποδειχθεί ότι η f(x) είναι ?;?< β ) Να οριστεί η αντίστροφη της< γ ) Να βρεθεί το όριο x x)x(f lim x hm hm 552 1 0 ++- >- 44. Δίνεται η συνεχής συνάρτηση f H RàR : για την οποία ισχύει x·f(x)+ημAx = Bx ; Cx@ημ ) x ( 1 : για κάθε x oÎ < α ) Να βρεθεί ο τύπος της f(x)< β ) Να υπολογιστούν τα όρια H )x(flim x -¥>- και )x(flim x +¥>- γ ) Να αποδείξετε ότι η εξίσωση f(x) = > έχει μια τουλάχιστον αρνητική και μια τουλάχιστον θετική ρίζα<
  • 13.
    Γε< Λ Εξαπλατάνου«Μεν< Λουντέμης» Μαθηματικά Γ ΄ Ομ< Προσανατολισμού x12] 45. Δίνεται η συνεχής συνάρτηση f H RàR : για την οποία ισχύει x·f(x)+@xB = Ax t ημx : για κάθε x oÎ < α ) Να βρεθεί η τιμή f(>)< β ) Να βρεθεί το όριο )x(flim x +¥>- < γ ) Να αποδείξετε ότι η εξίσωση f(x) = > έχει μια τουλάχιστον θετική ρίζα< 46. Δίνεται η συνεχής συνάρτηση f H RàR : για την οποία ισχύει 5 1 2 1 = - + >- x )x(f lim x και η Cf τέμνει τον y΄y στο σημείο Μ(>:A)< α ) Να βρεθεί η τιμή f(?)< β ) Να δειχθεί ότι οι γραφικές παραστάσεις των f(x) : g (x) = x@;? : έχουν ένα τουλάχιστον κοινό σημείο με τετμημένη xο ),( 10Î γ ) Να υπολογιστεί το όριο 12 2 1 - ++ >- x xx)x(f lim x < 47. Δίνεται η συνάρτηση f H RàR : έτσι ώστε να ισχύει H f A(x) +@ f(x) = x + ? : για κάθε x oÎ α ) Να δειχθεί ότι η f είναι ?;?< β ) Να αποδειχθεί ότι το σύνολο τιμών της f είναι το o και στη συνέχεια να βρεθεί η αντίστροφη της< γ ) Να αποδειχθεί ότι η f είναι γνησίως αύξουσα< δ ) Να αποδειχθεί ότι η f είναι συνεχής στο ;?< ε ) Να αποδειχθεί ότι η f είναι συνεχής στο xο oÎ < 48. Έστω f H RàR : για την οποία ισχύουν H · συνεχής στο R: · (x;x@)·f(x)=ημx t x : x < > · f@(x) + f(x) = ex·(ex t ?) : x >> · +¥= +¥>- )x(flim x α ) Να βρεθεί η τιμή f(>)< β ) Να βρεθεί η f(x)<
  • 14.
    Γε< Λ Εξαπλατάνου«Μεν< Λουντέμης» Μαθηματικά Γ ΄ Ομ< Προσανατολισμού x13] γ ) Να βρεθεί το πρόσημο της f(x)< δ ) Να βρεθεί το )x(flim x -¥>- < ε ) Να δείξετε ότι η εξίσωση H 0 1 =+ xx )x(f sun : έχει τουλάχιστον μια ρίζα στο (;π : ; 2 p )< Δημοσιεύτηκε στο fb την >A<?><?F απ τον συνάδερφο Θ< Παπανδρέου 49. Έστω η συνάρτηση H f(x) = î í ì >- £- 11 11 2 x,)x( x,x α ) Είναι συνεχής στο ? I β ) Είναι παραγωγίσιμη στο ? I γ ) Να βρεθεί η εξίσωση της εφαπτομένης της γραφικής παράστασης της f(x) στο (@:?)< 50. Δίνεται η συνάρτηση H f(x) = x 4 : α ) Να βρεθεί η εξίσωση της εφαπτομένης της f(x) στο τυχαίο Μ(xο : f(xο)) β ) Να δειχθεί ότι το τρίγωνο το οποίο σχηματίζει η προηγούμενη εφαπτομένη με τους άξονες έχει σταθερό εμβαδόν< γ ) Αν Α και Β τα σημεία που η εφαπτομένη στο Μ τέμνει τους άξονες : να δειχθεί ότι το Μ είναι μέσο του ΑΒ< 51. Δίνεται η f(x) = @· 311 ++- )xln( α ) Να βρεθεί το πεδίο ορισμού της< β ) Να αποδειχθεί ότι είναι ?;?< γ ) Να οριστεί η αντίστροφη< δ ) Να λυθεί η εξίσωση H f;?(?+x) = @< 52. Δίνεται η f(x) = 12 2 +x x α ) Εξετάστε τη μονοτονία της< β ) Εξετάστε κυρτότητα και σημεία καμπής< γ ) Να βρεθούν οι ασύμπτωτες της f(x) < δ ) Να γίνει η γραφική της παράσταση<
  • 15.
    Γε< Λ Εξαπλατάνου«Μεν< Λουντέμης» Μαθηματικά Γ ΄ Ομ< Προσανατολισμού x14] 53. Δίνεται η f(x) = συν(lnx) : xÎ [?: eπ]< α ) Να γίνει η μελέτη της < (μονοτονία-ακρότατα-σύνολο τιμών) β ) Να βρεθεί η εξίσωση της εφαπτομένης (ε) της f(x) στο σημείο που η γραφική παράσταση της f(x) τέμνει τον xx΄< γ ) Εξετάστε την f(x) ως προς την κυρτότητα και τα Σ.Κ < δ ) Υπολογίστε το Ι = ò p e dx)x(f 1 < Δημοσιεύτηκε στο fb την ?A<>F<?F απ τη συνάδερφο Ν.Ψαθά 54. Έστω f(x) παραγωγίσιμη στο διάστημα [>:@>?C] με f(>)=> και f(@>?C)=@>?C< Να αποδειχθεί ότι H α ) υπάρχει ένα τουλάχιστον x> Î (>:@>?C) τέτοιο ώστε να ισχύει H f(x>) + x> = @>?C β ) υπάρχουν τουλάχιστον ξ? : ξ@ Î (>:@>?C) τέτοια ώστε H f ΄(ξ?)·f ΄(ξ@) = ?< 55. Δίνεται η συνάρτηση f(x) με τύπο H f(x) = B∙ 2-x e + A< α ) Να βρεθεί το πεδίο ορισμού της< Μονάδες E β ) Να βρεθεί το σύνολο τιμών της< Μονάδες ?> γ ) Να ορίσετε την f;?(x)< Μονάδες F 56. Δίνεται συνάρτηση με πεδίο ορισμού το R για την οποία ισχύει H xe)x(fe x)x(f +=+ : x oÎ < α ) Να δείξετε ότι η f(x) είναι ?;?< β ) Να λυθεί H f(lnx)= f(?;x@) γ ) Να δείξετε ότι f(x) = x για κάθε x oÎ < δ ) Να λυθεί H 2 x e ; ex + x@ t x > > < 57. Δίνεται η f(x) = (x;?)·lnx ; ? : x > >< α ) Να δειχθεί ότι η f(x) είναι γνησίως αύξουσα στο [?:+∞) και γνησίως φθίνουσα στο (>:?]< β ) Να αποδειχθεί ότι η εξίσωση H xx;? = e@>?A : x > > : έχει ακριβώς δυο θετικές ρίζες< γ ) Αν x? : x@ με x? < x@ είναι οι ρίζες του β) να αποδειχθεί ότι υπάρχει xο Î( x? : x@) : τέτοιο ώστε να ισχύει H f ΄(xο) + f(xο) = @>?@ δ ) Να βρεθεί το εμβαδόν του χωρίου που περικλείεται από την συνάρτηση g(x) = f(x) + ? :με x > > : τον x ΄x και την ευθεία x = e<
  • 16.
    Γε< Λ Εξαπλατάνου«Μεν< Λουντέμης» Μαθηματικά Γ ΄ Ομ< Προσανατολισμού x1R] 58. Δίνεται η συνεχής f H (>:+∞) à R : και ισχύει H f@(x) + @lnx = ln@x + ? : x > > α ) Να βρεθούν όλοι οι τύποι της παραπάνω συνάρτησης< β ) Αν g(x) = ; 1-xln : x > > : να μελετηθεί ως προς την παραγωγισιμότητα t μονοτονία t ακρότατα ; κυρτότητα< γ ) Να δειχθεί ότι η γραφική παράσταση της g έχει μοναδικό κοινό σημείο με την ευθεία (ε) y = x;@ και να βρεθεί το κοινό σημείο< δ ) Να γίνει η γραφική παράσταση της Cg : (ε) στο ίδιο σύστημα αξόνων< ε ) Να βρεθεί το εμβαδόν που περικλείεται απ την Cg : την (ε) και την ευθεία x = A< Δημοσιεύτηκε στο fb την @C<>G<?F απ τη συνάδερφο Ν< Ψαθά 59. Δίνεται η f(x) = î í ì = > 00 0 x, x,xlnx : α ) να αποδειχθεί ότι είναι συνεχής στο >< β ) Να μελετηθεί ως προς τη μονοτονία και να βρεθεί το σύνολο τιμών της< γ ) Να βρεθεί το πλήθος των διαφορετικών θετικών ριζών της εξίσωσης H x = x a e για όλες τις τιμές του πραγματικού α< δ ) Να αποδειχθεί ότι H f ΄(x+?) > f(x+?) ; f(x): για κάθε x >>< 60. Έστω η f H RàR : δυο φορές παραγωγίσιμη για την οποία ισχύουν H · f(>) = A και f΄(>) = ? · f(x)· f ΄΄(x) t (f ΄(x))@ = @ex : για κάθε x ÎR< α ) Να αποδειχθεί ότι f(x) > > για κάθε x ÎR< β ) Να αποδειχθεί ότι η f(x) είναι κυρτή στο R< γ ) Να αποδειχθεί ότι η g(x) = ln(f(x)) είναι κυρτή στο R< δ ) Να αποδειχθεί ότι f(x) ≥ A 3 x e για κάθε x ÎR< ε ) Αν α : β : γ ÎR με α+ β+ γ = > : να δειχθεί ότι H f(α)·f(β)·f(γ)≥@E<
  • 17.
    Γε< Λ Εξαπλατάνου«Μεν< Λουντέμης» Μαθηματικά Γ ΄ Ομ< Προσανατολισμού x16] 61. Δίνεται η f(x) = x xln α ) Να μελετηθεί ως προς τη μονοτονία και τα ακρότατα της και να δειχθεί ότι H x e xln 2 £ για κάθε x > >< β ) Να συγκριθούν οι αριθμοί 11 10 : 10 11 γ ) Να βρεθούν οι α : β ÎR αν ισχύει ότι H e a a ea b b b 4 =× 62. Δίνεται η f(x) = e@x ; B ex + A : x oÎ < α ) Να εξεταστεί ως προς τη μονοτονία t ακρότατα< β ) Να βρεθούν οι ασύμπτωτες και το πλήθος των ριζών της εξίσωσης f(x) = ) x x(lim x p hm× +¥>- γ ) Να εξεταστεί ως προς την κυρτότητα και τα σημεία καμπής η f(x) < δ ) Να γίνει η γραφική παράσταση της< ε ) Να λυθούν οι ανισώσεις H ι ) e@x +@ x + A < B ex ιι ) @(f(Ax@+?); f(@x@+C)) > f@(@x@+C); f(Ax@+?) Δημοσιεύτηκε στο fb την @A<>G<?F απ τη συνάδερφο Ν< Ψαθά 63. Δίνεται η f(x) = î í ì = > 00 02 x, x,)x(lnx : α ) να αποδειχθεί ότι είναι συνεχής στο >< β ) Να υπολογιστεί η f ΄(x)< γ ) Να βρεθεί το εμβαδόν του χωρίου που περικλείεται από την f(x) τον x ΄x και τις ευθείες x =? και x = e< 64. Έστω η συνάρτηση f(x) = 2 2 2 +- x x xln < α ) Να μελετηθεί ως προς τη μονοτονία και τα ακρότατα< β ) Να βρεθεί το πλήθος των ριζών της εξίσωσης H @lnx = xA + x(@α;B) : για τις διάφορες τιμές του πραγματικού α<
  • 18.
    Γε< Λ Εξαπλατάνου«Μεν< Λουντέμης» Μαθηματικά Γ ΄ Ομ< Προσανατολισμού x17] γ ) Να βρεθούν τα κ : λ : μ ώστε να ισχύει H f(κ)+ f(λ) = A + μ@ 65. Δίνεται η συνεχής συνάρτηση f H RàR : για την οποία ισχύει H 20052 0 = - >- x x)x(f limx α ) Να δειχθεί ότι f(>)=> και f ΄(>)=? β ) Να βρεθεί ο λ oÎ ώστε 3 2 22 22 0 = + - >- )x(fx )x(fx limx l γ ) Αν επιπλέον f ΄(x) > f(x) για κάθε x oÎ και η f(x) είναι παραγωγίσιμη με συνεχή παράγωγο στο o: να δειχθεί ότι H ι ) x·f(x) > > : για κάθε x * oÎ ιι ) c ΕΠΑΝΑΛΗΠΤΙΚΕΣ ΠΑΝΕΛΛΗΝΙΕΣ @>>C 66. Έστω η f H RàR : παραγωγίσιμη για την οποία ισχύουν H · f(x) ≠ > για κάθε x >>< · 2111 =+- )(fe )(f · )x(fx )x(f )x(f 2 + =¢ για κάθε x > >< α ) Να βρεθεί το f(?)< β ) Να δειχθεί ότι f(x) = x < γ ) Να βρεθεί το όριο για τις διάφορες τιμές του λ ÎR< ))x(f)xx(f(lim x 22 54 ×-++ +¥>- l δ ) Να βρεθούν οι εφαπτομένες της f(x) που διέρχονται από το (A:@)< 67. α ) Να λυθεί η εξίσωση 0122 =-- xex : x oÎ β ) Να βρεθούν όλες οι συνεχείς συναρτήσεις f H RàR που ικανοποιούν τη σχέση H f @(x) = 22 1 2 )xe( x -- : x oÎ < γ ) Αν f(x) = 122 -- xex : x oÎ : να δειχθεί ότι η f(x) είναι κυρτή< δ ) Να λυθεί η εξίσωση H f( 3+xhm ); f( xhm )= f(x+A); f(x) : x ),x +¥Î 0 ΠΑΝΕΛΛΗΝΙΕΣ @>?D t Θέμα Γ
  • 19.
    Γε< Λ Εξαπλατάνου«Μεν< Λουντέμης» Μαθηματικά Γ ΄ Ομ< Προσανατολισμού x18] 68. Έστω f H [>: +∞)à R μια συνάρτηση με f(?) = @e;? : η οποία είναι συνεχής και ισχύει για κάθε x Î [>: +∞) x@f ΄(x) ; f(x) + x e 1 - = > (?) α ) Να δειχθεί ότι ο τύπος της f(x) είναι H f(x) = ï ï î ï ï í ì = >+ - 00 01 1 1 x, x,e) x ( x β ) Να βρεθεί το εμβαδόν του χωρίου που περικλείεται από την γραφική παράσταση της f(x) τον x΄x και τις ευθείες x = ? και x = λ : όπου > < λ < ?< γ ) Να μελετηθεί η f(x) ως προς τη μονοτονία : να βρεθούν οι ασύμπτωτες της και να δειχθεί ότι f(x) < ? : για κάθε x ≥ > < 69. Έστω συνάρτηση f(x) ορισμένη και παραγωγίσιμη στο [>:A] : για την οποία γνωρίζουμε ότι H · Η γραφική παράσταση της f ΄(x) δίνεται στο παρακάτω σχήμαH · f(>)=@ : f(?) = > · Το εμβαδόν του χωρίου που περικλείεται μεταξύ της γραφικής παράστασης της f ΄(x) και των ευθειών x = > : x = A ισούται με F τ.μ · Η f(x) δεν ικανοποιεί τις υποθέσεις του Θ.Ε.Τ στο [>:A]< α ) Να αποδειχθεί ότι f(A) = @ : f(@) = ;@ και να βρείτε αν υπάρχουν τα όρια xln )x(f lim x 1>- : 20 ->- )x(f x lim x < Δικαιολογήστε< Μονάδες F
  • 20.
    Γε< Λ Εξαπλατάνου«Μεν< Λουντέμης» Μαθηματικά Γ ΄ Ομ< Προσανατολισμού x19] β ) Προσδιορίστε τα διαστήματα στα οποία η f(x) είναι γνησίως αύξουσα : γνησίως φθίνουσα : κυρτή : κοίλη και τις θέσεις των τοπικών ακροτάτων και σημείων καμπής της f(x)< Μονάδες F γ ) Να αποδείξετε ότι υπάρχει μοναδικό xοÎ(@:A) για το οποίο δεν υπάρχει το όριο )x(f lim oxx 1 >- < Μονάδες C δ ) Να σχεδιαστεί η γραφική παράσταση της f(x)< Μονάδες B ΕΠΑΝΑΛΗΠΤΙΚΕΣ ΠΑΝΕΛΛΗΝΙΕΣ @>?E t Θέμα Γ 70. Δίνεται η συνάρτηση f(x) = ï ï î ï ï í ì >+- = <£-+- 023 02 0 2 23 x,xx x, x,a x x phm α ) Να αποδειχθεί ότι η f(x) στο διάστημα [>:@] ικανοποιεί το Θ.Μ.Τ Αν η f(x) είναι συνεχής στο πεδίο ορισμού της : τότε H β ) Να βρεθεί η τιμή του πραγματικού α< γ ) Να μελετηθεί η f(x)ως προς τη μονοτονία< δ ) Να αποδειχθεί ότι H ò - -<< 2 2 1 2 3 p p p dx)x(f ε ) Να αποδειχθεί ότι η εξίσωση f( )x×- 2 p = f( )e x- ×- 2 p έχει μοναδική λύση στο (>:?)< ΕΠΑΝΑΛΗΠΤΙΚΕΣ ΠΑΝΕΛΛΗΝΙΕΣ @>?E t Θέμα Δ 71. Δίνεται η συνάρτηση f H RàR για την οποία ισχύουν H · είναι παραγωγίσιμη στο R: · είναι κυρτή στο R: · f(α)= f(β) = > : με α < β< Δείξτε ότι H α ) υπάρχει μοναδικό xo ÎR τέτοιο ώστε : f ΄(xo) = ><
  • 21.
    Γε< Λ Εξαπλατάνου«Μεν< Λουντέμης» Μαθηματικά Γ ΄ Ομ< Προσανατολισμού x20] β ) η f(x) έχει ελάχιστη τιμή στο xo: γ ) f(x) < > : για κάθε xÎ(α,β) δ ) f(@>?E)+ f(@>@?)>@f(@>?G) ε ) +¥= +¥>- )x(flimx 72. Δίνεται η συνάρτηση g(x) H (>: +∞)à R : δυο φορές παραγωγίσιμη με g΄΄(x) < > για κάθε x > > < Αν f(x) = g(x+@)+ g(@;x) και g(@) = > : α ) Να βρεθεί το πεδίο ορισμού της f(x)< β ) Να δειχθεί ότι η f(x) είναι άρτια< γ ) Να εξεταστεί η f(x) ως προς τη μονοτονία και τα ακρότατα< δ ) Να εξεταστεί η f(x) ως προς τη κυρτότητα και τα Σ.Κ ε ) Αν -¥= >- )x(glim x 0 : να βρεθούν οι Κ.Α της f(x)< στ ) Αν 2<a : να δειχθεί ότι H ò ò - + - = a a a a dx)x(gdx)x(f 2 2 2 Δημοσιεύτηκε στο fb την >@<>C<?F απ τον συνάδερφο Γ< Βεντούρη 73. Δίνονται οι συναρτήσεις f(x) = 2+x : g(x) = 3 4+x < α ) Να βρεθούν τα κοινά σημεία τους και η σχετική τους θέση< β ) Να εξετάσετε αν η f παραγωγίζεται στο ;@ και στη συνέχεια να μελετηθεί ως προς τη μονοτονία t ακρότατα t κοίλα και σύνολο τιμών< γ ) Να γίνει η γρ< παράσταση της f< δ ) Να βρεθεί το εμβαδόν που περικλείεται απ τις Cf : Cg< ε ) Να εξετάσετε αν ορίζεται η f;? και να βρεθεί μαζί με το πεδίο ορισμού της< στ ) Να χαράξετε τις γρ< παραστάσεις των Cf : Cf ;? < 74. Δίνονται οι συναρτήσεις f(x) = ln(x@+?) : g(x) HRàR με g(>) = > και g΄(x) = 1 1 2 +x για κάθε xÎR< α ) Μονοτονία-Ακρότατα-Κοίλα-Σ.Κ της f(x)< β ) Έχει ασύμπτωτες η f(x): να γίνει χάραξη της< γ ) Να αποδειχθεί ότι για κάθε α : βÎ R : ισχύει H b b -£ + + a a ln 1 1 2 2 <
  • 22.
    Γε< Λ Εξαπλατάνου«Μεν< Λουντέμης» Μαθηματικά Γ ΄ Ομ< Προσανατολισμού x21] δ ) Να υπολογιστεί το ολοκλήρωμα H Ι = ò 1 0 dx)x(xf ε ) Να αποδειχθεί ότι το εμβαδόν Ε του χωρίου που περικλείεται απ τους άξονες : την f(x) και την ευθεία x = ? είναι ίσο με Ε = @g(?) +ln@;@< στ ) Να δειχθεί ότι η h(x) = g(x) + g( x 1 ) είναι σταθερή στο (>:+∞)< ζ ) Να δειχθεί ότι : g(εφx) = x : για κάθε x Î(; 22 pp , )< Υπόδειξη θέσε g(εφx)=φ(x) 75. Δίνεται η συνάρτηση f(x) = x x hm : x ÎΔ = (>:π)< α ) Να δειχθεί ότι η φ(x) = x t @ημxσυνx + xσυν@x : είναι θετική στο Δ< Υπόδειξη H Είναι δευτεροβάθμια ως προς συν@x : βρείτε τη Δ< β ) Να δείξετε ότι : f ΄΄(x) = x )x( 3 hm j και η f(x) είναι κυρτή< Να βρεθούν οι ασύμπτωτες της< γ ) Εξετάστε τη μονοτονία t ακρότατα της f(x)< Να βρεθεί το σύνολο τιμών της και να γίνει η γραφική της παράσταση< δ ) Να δειχθεί ότι H ) xx ( x - + + = - 1 1 1 1 2 1 1 1 2 ε ) Να υπολογιστεί το ολοκλήρωμα H J = ò 3 2 3 1 p p hm dx x στ ) Να δείξετε ότι H ò 3 2 3 p p dx)x(f = 2 p ò 3 2 3 p p dx x )x(f =π·ln 3 Δημοσιεύτηκε στο fb την >B<>D<?F απ τον συνάδερφο Mπ< Στεργίου 76. Έστω η παραγωγίσιμη συνάρτηση f H (>:+∞)àR για την οποία ισχύει H (x@; x)·f ΄(x) + x·f(x) = ? : για κάθε x >> α ) Να αποδειχθεί ότι H f(x) = ï ï î ï ï í ì = ¹< - 11 10 1 x, x, x xln
  • 23.
    Γε< Λ Εξαπλατάνου«Μεν< Λουντέμης» Μαθηματικά Γ ΄ Ομ< Προσανατολισμού x22] β ) Να αποδείξετε ότι H ò ò= a a dt t )t(f dt)t(f 1 1 1 : για κάθε α > >< γ ) Αν η g είναι αρχική της f(x) με g(?) = > : να αποδείξετε ότι η g είναι κοίλη < δ ) Αν Ε το εμβαδόν του χωρίου που περικλείεται απ την γρ< παράσταση της g τον xx΄ και την ευθεία x = A: να αποδειχθεί ότι Ε < @< Υπόδειξη H Χρησιμοποιήστε την κυρτότητα της g και την εφαπτομένη της στο (?:>)< ε ) Αν Η αρχική της h(t) = tf(t) : t > > και α > > : να αποδείξετε ότι H α·(g(α); g ( a 1 )) ≥ Η(α);Η( a 1 )< Υπόδειξη HΠεριπτώσεις για το α< ΕΠΑΝΑΛΗΠΤΙΚΕΣ ΠΑΝΕΛΛΗΝΙΕΣ @>?C t Θέμα Δ 77. Δίνεται η παραγωγίσιμη f H RàR με f(>) = ? και την ιδιότητα H f ΄(x)·(x@+?)+ x·f(x) = ? +@x·(x+ 12 +x ) : x ÎR α ) Να αποδείξετε ότι η συνάρτηση g H RàR με g(x) = 12 +x ·f(x) ; x 12 +x ; x@ t ? είναι σταθερή και ότι f(x) = x + 12 +x : xÎR< β ) Να μελετηθεί η f(x) ως προς τη μονοτονία και τα ακρότατα : το σύνολο τιμών της και το πλήθος των ριζών της εξίσωσης H 12 +x = @>?F t x< γ ) Να μελετηθεί η f(x) ως προς τα κοίλα : να βρεθούν οι ασύμπτωτες και να γίνει η χάραξη της< δ ) Αν F είναι αρχική της f(x) να λυθεί η εξίσωση H F(@x)+F(Ax) =F(Bx)+ F(Cx) ε ) Να αποδειχθεί ότι η f(x) αντιστρέφεται και ότι η αντίστροφη της είναι η f ;?(x) = x x 2 12 - < στ ) Να λυθεί η εξίσωση H xxxxx e)ee)(ee( ----- =-+++ 22422 111 Υπόδειξη H Διαίρεσε όλους με e@;x< Προτείνεται απ τον συνάδερφο Mπ< Στεργίου για τις Πανελλήνιες @>?F; Δ Θέμα 78. Δίνεται η συνάρτηση f(x) = xA+ x + ? : x Î R<
  • 24.
    Γε< Λ Εξαπλατάνου«Μεν< Λουντέμης» Μαθηματικά Γ ΄ Ομ< Προσανατολισμού x23] α ) Να αποδειχθεί ότι αντιστρέφεται και να βρεθεί το πεδίο ορισμού της f;?< β ) Να μελετήσετε τη μονοτονία και τα ακρότατα της f;?< γ ) Να λυθεί η ανίσωση H f;?(x) ≥ x : x Î R< δ ) Να υπολογιστεί το πρόσημο της f;?< ε ) Να υπολογίσετε τους αριθμούς f;?(;?) : f;?(?)< στ ) Να υπολογιστεί το όριο H )y(flim y 1 11 - >- ζ ) Να υπολογιστεί ο ρυθμός μεταβολής της x = f;?(y) ως προς y για y=?< η ) Να βρεθεί το εμβαδόν του χωρίου που περικλείεται μεταξύ των f : f;? και των ευθειών x = ;? : x = ?< Γενική Άσκηση των συναδέρφων Μ.Χατζόπουλου-Β.Κακαβά-Θ.Ποδηματά-Α.Πάτση Η λύση της είναι ΕΔΩ H httpH==lisari<blogspot<com=@>?F=>D=blog;post<html 79. Δίνεται η f(x) = x ; , x2 4 x * oÎ < α ) Να μελετηθεί ως προς τη μονοτονία t ακρότατα β ) Να μελετηθεί ως προς την κυρτότητα t Σ.Κ γ ) Να βρεθούν οι ασύμπτωτες της γρ< παράστασης της f(x)< δ ) Να σχεδιαστεί η γρ< παράσταση της f(x)< ΠΑΝΕΛΛΗΝΙΕΣ @>?F t Θέμα Β 80. Δίνεται η f(x) = 2 2 xe ax -- : x Î R με α > ?< α ) Να αποδειχθεί ότι για κάθε α > ? η γρ< παράσταση της f(x) έχει ακριβώς ένα σημείο καμπής< β ) Να αποδειχθεί ότι υπάρχουν μοναδικά x? : x@ Î R με x? < x@ τέτοια ώστε η f(x) να παρουσιάζει Τ.Μ στο x? και Τ.Ε στο x@ < γ ) Να αποδειχθεί ότι f ΄(?) < > για κάθε α > ?< δ ) Να αποδειχθεί ότι η εξίσωση H f(x) = f(?) είναι αδύνατη στο διάστημα (α: x@ )< ε ) Να βρεθεί η εξίσωση της εφαπτομένης της f(x) στο (@: f(@))< στ ) Να υπολογιστεί το ολοκλήρωμα H ò -- 3 2 222 dx)x(x < ζ ) Να αποδειχθεί ότι H ò ->- 3 2 15 32 2dxx)x(f ΠΑΝΕΛΛΗΝΙΕΣ @>?F t Θέμα Δ
  • 25.
    Γε< Λ Εξαπλατάνου«Μεν< Λουντέμης» Μαθηματικά Γ ΄ Ομ< Προσανατολισμού x24] ΠΗΓΕΣ ΑΣΚΗΣΕΩΝ 1. Πανελλαδικές Εξετάσεις t Επαναληπτικές Πανελλήνιες t Τέκνων του Εξωτερικού< 2. Ενδοσχολικές Εξετάσεις Γε.Λ Εξαπλατάνου : σχολικά έτη ?B;?C : ?C;?D< 3. Μαθηματικά Γ΄ Λυκείου: Επαναληπτικά Θέματα στα Πρότυπα του Σχολικού Βιβλίου: Ν.Ζανταρίδης-Π.Παντούλας-Β.Μαυροφρύδης-Κ.Τηλέγραφος: Εκδόσεις Ζανταρίδης Τηλέφραφος: Μάρτιος @>?E< 4. Επανάληψη στα Μαθηματικά : Γιάννης Καραγιάννης Σχολικός Σύμβουλος Μαθηματικών: Μάρτιος @>?E< 5. @ο Διαγώνισμα Προσομοίωσης Πανελληνίων @>?E : Γιάννης Καραγιάννης Σχολικός Σύμβουλος Μαθηματικών: Μάϊος @>?E< 6. www<studyBexams<gr= Προσπελάστηκε >D<>B<? 7. Επιλεγμένα Θέματα ΕΜΕ t Περιοδικά ΕΜΕ (Ευκλείδης Β΄) 8. Επιλεγμένες Ασκήσεις Προετοιμασίας: Άσκηση Εβδομάδας: Γε< Λ Γιαννιτσών : σχολικό έτος ?C;?D : httpH==eisatopon<blogspot<gr=< 9. Μαθηματικά Θετικής και Τεχνολογικής Κατεύθυνσης Γ? : Β< Παπαδάκης : Εκδόσεις Σαββάλας : @>>G< 10.Μαθηματικά Θετικής και Τεχνολογικής Κατεύθυνσης Γ : τεύχος Β΄ : Αθανάσιος Χ< Μπάρλας : Εκδόσεις Ελληνοεκδοτική : @>?A< 11.Αναλύοντας την Ανάλυση : Γιώργος Τσαπακίδης : Εκδόσεις Μαυρίδη: @>?E< 12.Οδηγός Επανάληψης: Μαθηματικά Γ΄ : Μπ.Στεργίου-Χρ.Νάκης: Μαθηματική Λέσχη: Ιανουάριος @>?F< 13.Προτεινόμενες ασκήσεις συναδέρφων: Ομάδες Μαθηματικών fb: σχολικά έτη ?E;?F: ?F;?G<
  • 26.
    Σχ. Έτη 17– 18, 18 - 19 Γ΄ Λυκείου Μαθηματικά Ομάδων Προσανατολισμού 7/ Επιλεγμένες και Επώνυμες Ασκήσεις με Ενδεικτικές Λύσεις Επιμέλεια 9 Κοσόγλου Ιορδάνη Lrb μαθηματικού
  • 27.
    Γε- Λ ΕξαπλατάνουªΜεν- Λουντέμηςº Μαθηματικά Γ ΄ Ομ- Προσανατολισμού x1] 7/ ΕΠΙΛΕΓΜΕΝΕΣ ΑΣΚΗΣΕΙΣ ΜΕ ΕΝΔΕΙΚΤΙΚΕΣ ΛΥΣΕΙΣ 1. Να εξεταστούν ως τις τη μονοτονία οι κάτωθι συναρτήσεις 9 α | w1;1w+2 : w³ 0 β | 1w2 +0 γ | 3 x4 - δ | 2+1 x1 e - ε | 2x x3 + στ | w + kmw ζ | 1e 1e x x + - ΛΥΣΗ α | Έστω w0 ; w1 : e{w0| ;e{w1|< w0 1 •w1 1 ;1w0 + 1w1 <{w0; w1|{w0+w1 • 1| e{w0| ;e{w1| ; / : άρα γνησίως αύξουσα στο Z0:+∞|- β | e{w0| ;e{w1| < 1w0 2 ;0 • 1w1 2 +0 < 1{w0;w1|{w0 1 + w0 w1 + w1 1| ; / : γιατί το άλλο τριώνυμο ως προς w0 : Δ < ;2w1 1 ; / άρα ομόσημο του 0- γ | Α < {;¥ : 3 και w0; w1 Þ ;w0 = ;w1 Þ 3; w0 = 3 ;w1 Þ e{w0| =e{w1| δ | w0; w1 Þ 0; w0 = 0; w1 Þ d0;w0 = d0;w1 Þ e{w0| =e{w1| ε | w ¹ ;1 άρα Α < {;¥:;1| È{;1:+ ¥| < Α0 ÈΑ1 : § έστω w0 ; w1Î Α0: τότε λ < )2x)(2x( 6 21 ++ = / : γνησίως αύξουσα στο Α0 § έστω w0 : w1 Î Α1 : τότε λ = / άρα γνησίως αύξουσα στο Α1- § Όμως γενικά στο Α δεν είναι τίποτα γιατί e{;4| < +4 και e{+4| < 1-4 άρα ;4;4 και e{;4| = e{+4| - στ | γνησίως αύξουσα : γιατί : ζ | Βρίσκω το πρόσημο της παράστασης λ < 12 12 xx )xEf)xEf - - ή μόνο το πρόσημο της διαφοράς )xEf)xEf 12 - ή γράφω την συνάρτηση 1e 1e x x + - ως εξής 1e 1e x x + - < 1 21 + -+ x x e e <0 ; 1 2 +x e και δουλεύω κατασκευστικά : τελικώς προκύπτει λ = / ή )xEf)xEf 12 - = / : δηλαδή η συνάρτηση μου είναι γνησίως αύξουσα στο Q-
  • 28.
    Γε- Λ ΕξαπλατάνουªΜεν- Λουντέμηςº Μαθηματικά Γ ΄ Ομ- Προσανατολισμού x2] 2. Δίνεται η συνάρτηση e 9 QàQ : για την οποία ισχύει e 2{w| + e{w| + x 2 1 < / {0| για κάθε w oÎ - α | Να αποδειχθεί ότι η e{w| είναι ª0;0º- β | Να βρεθεί ο τύπος της e ;0{w|- γ | Να λυθεί η εξίσωση e ;0{w2 ; w| < e ;0{2 ; 2w|- ΛΥΣΗ α | Έστω w0 : w1 ÎQ με e{w0| < e{w1| Þe2{w0| < e2{w1| {1| Επίσης e{w0| < e{w1| {2| : προσθέτω {1|+{2| και προκύπτει μέσω της {0| w0 < w1 άρα η e{w| είναι 0;0 και αντιστρέφεται- β | Θεωρώ τη συνάρτηση f{w| < •1w2 ; 1w : w Î Q και f{Q| < Q- Η f{w| είναι γνησίως φθίνουσα στο Q γιατί : έστω w0 : w1 ÎQ με w0 ; w1 Û w0 2 ; w1 2 Û ; 1w0 2 = ;1w1 2 {3| w0 ; w1 Û ;1w0 = ;1w1 {4| - Προσθέτω {3|: {4| και προκύπτει f{w0 |= f{w1| : άρα 0;0- e 2{w| + e{w| + x 2 1 < / Û w < f{e{w|| Û f;0 {w| < e{w| : w Î Q- Οι συναρτήσεις e : f ;0 έχουν το ίδιο πεδίο ορισμού και f;0 {w| < e{w| για κάθε w Î Q άρα θα έχουν και το ίδιο σύνολο τιμών : άρα e{Q| < Q- f;0 {w| < e{w| Û {f;0 |;0{w| < e ;0{w| Û f{w| < e ;0{w| Û e ;0{w|< •1w2 ; 1w : wÎQ- γ | e ;0{w2 ; w| < e ;0{2 ; 2w| Û w2; w < 2;2w Û w2 +1w • 2 < /Û {w;0|{ w1+w+2| < / Û w < 0- 3. Δίνονται οι συναρτήσεις e{w| < ae e x x + και f {w| < km{w+β| : όπου α: β oÎ - Η γραφική παράσταση της e τέμνει τον x΄x στο 2 1 - και η γραφική παράσταση της f τέμνει τον w΄w στο 1- α | Να βρεθούν οι αριθμοί α και β-
  • 29.
    Γε- Λ ΕξαπλατάνουªΜεν- Λουντέμηςº Μαθηματικά Γ ΄ Ομ- Προσανατολισμού x3] β | Να ορίσετε την συνάρτηση e go - γ | Να βρεθούν τα σημεία τομής της γραφικής παράστασης της e go με τη γραφική παράσταση της g{w| < 4 x- - ΛΥΣΗ α | e{/|< 2 1 - Û 21 2 1 1 1 =--Û-= + a a Û α < ;2 f {1| < / Û km{1+β| < km0 Û 1+β < 0 Û β < ;0 β | Η e go έχει πεδίο ορισμού το : Α < z w Î{0:+ ∞| και km{w;0|≠km2| < z w =0 και w≠3| < {0:3|È{3:+ ∞|- e go {w|< e{f{w|| < 4 1 31 1 31 1 - - = -- - = -- - x x x x e e )xlnE )xlnE - γ | Λύνω την εξίσωση e go {w| < g{w| στο σύνολο Α- Έχω : 04444 44 1 22 =-Û+-=-Û - = - - xxxx x x x Û w < ° 1 : δεκτή η λύση w < 1 που ανήκει στο Α- Συνεπώς τα κοινό σημείο των δυο συναρτήσεων είναι το {1: 2 1 - |-
  • 30.
    Γε- Λ ΕξαπλατάνουªΜεν- Λουντέμηςº Μαθηματικά Γ ΄ Ομ- Προσανατολισμού x4] 4. Δίνεται η συνάρτηση e 9 QàQ για την οποία ισχύει 1e{;w| + e{w| < αd;w + dw • w : για κάθε w oÎ και α oÎ - Αν η γραφική παράσταση της e{w| τέμνει τον άξονα x΄x στο 0 - α | Να βρεθεί ο αριθμός α- β | Να βρεθεί ο τύπος της e{w|- γ | Να μελετηθεί η e{w| ως προς τη μονοτονία- δ | Να λυθεί η ανίσωση 9 03222122 >-++- -- xxee xx ΛΥΣΗ α | G e{w| τέμνει τον άξονα x΄x στο 0 άρα e{/| < 0- Θέτω στη συναρτησιακή σχέση όπου w < / και έχω 9 1e{/| + e{/| < α + 0 Û 2e{/| < α+0 Û α < 1- β | 1e{;w| + e{w| < 1d;w + dw • w {0| για κάθε w oÎ : θέτω όπου w το ; w στην {0| και είναι 9 1e{w| + e{;w| < 1dw + d;w + w {1| Πολλαπλασιάζω την {1| επί ;1 : ;3e{w| ;1e{;w| < ;3dw ;1d;w ;1w {2| Προσθέτω τις {0| και {2| και έχω 9 ;2e{w| < ;2dw • 2w Û e{w| < dw + w : w oÎ γ | Έστω w0 : w1 ÎQ με w0 ; w1 Þ 21 21 xexe xx +<+ Þe{w0| ; e{w1| : άρα η e{w| είναι γν- αύξουσα στο Q- δ | 03222122 >-++- -- xxee xx Û xexe xx 212 21222 -+>-+ -- Û e{w1;1| = e{0;1w| Û w1;1 = 0;1w Û w1+1w;2 = / Û {w+2|{w;0|=/Û wÎ{;∞:;2|È{0:+∞|- 5. Δίνεται γνησίως φθίνουσα συνάρτηση e{w| με πεδίο ορισμού το Q για την οποία ισχύει e{dw+1| + e{w+2| < w : για κάθε w oÎ - α | Να αποδείξετε ότι η e{w| είναι αντιστρέψιμη- β | Να βρεθούν τα σημεία τομής της e{w| με τον w΄w- γ | Να λυθεί η ανίσωση 9 e{5 ; e ;0{w1;3|| = /- ΛΥΣΗ α | Η e{w| είναι γν- φθίνουσα στο Q άρα 0;0 : συνεπώς αντιστρέφεται στο Q- β | Όπου w < / : είναι e{d/+1| + e{/+2| < / Û 1e{2| < / Û e{2|</ και η e{w| είναι γνησίως φθίνουσα άρα τέμνει τον ww΄ μοναδικά στο {2:/|-
  • 31.
    Γε- Λ ΕξαπλατάνουªΜεν- Λουντέμηςº Μαθηματικά Γ ΄ Ομ- Προσανατολισμού xR] γ | Αρχικά θα αποδείξουμε την εξής πρόταση 9 ª Αν e{w| είναι γνησίως φθίνουσα στο Α: τότε η e;0{w| είναι γνησίως φθίνουσα στο e{Α|º- ΑΠΟΔΕΙΞΗ Έστω μια γνησίως φθίνουσα e{w| στο Α- Και ψ0 : ψ1Îe{Α| • διάστημα: με ψ0 ; ψ1 - Υποθέτω ότι η e;0{w| δεν είναι γνησίως φθίνουσα : τότε 9 ψ0 ; ψ1 Þ e;0(ψ0| ≤ e;0(ψ1| Þ e{e;0(ψ0|| ³ e{e;0(ψ1|| διότι η e{w| γνησίως φθίνουσα : άρα προκύπτει ψ0 ³ ψ1 Άτοπο - Άρα η e;0{w| είναι και αυτή γνησίως φθίνουσα στο e{Α|- Τα παραπάνω ισχύουν ΠΑΝΤΑ υπό την προϋπόθεση ότι το e{@| είναι διάστημα- Τώρα έχω : e{5 ; e ;0{w1;3|| = / Û e{5 ; e ;0{w1;3|| = e{2| Û 5 ; e ;0{w1;3| ; 2 Û 2 ; e ;0{w1;3| Û e;0{/| ; e ;0{w1;3| Û / = w1 • 3 Û w Î{;1:1|- 6. Δίνεται η συνάρτηση f{w| < dw + w • 0- α | Να μελετηθεί η f{w| ως προς τη μονοτονία- β | Να βρείτε τα σημεία τομής της γραφικής παράστασης της f {w| με τον w΄w- γ | Δίνεται η συνάρτηση e 9 QàQ : για την οποία ισχύει 9 { fg o |{w| < w ; 0 να αποδείξετε ότι η e{w| είναι προς 0;0- δ | Να βρείτε το e{0|- ΛΥΣΗ α | Όμοια λύση με Άσκηση 3 ερώτημα {γ|- Προκύπτει ότι η f{w| είναι γν- αύξουσα στο Q- β | f{/| < / και η f{w| είναι γν- αύξουσα στο Q : άρα διέρχεται απ την αρχή των αξόνων- γ | Αρχικά η f{w| έχει πεδίο ορισμού το Q και η e{w| έχει πεδίο ορισμού Q άρα η f{e{w|| έχει πεδίο ορισμού το Q- Έστω w0 : w1 ÎQ με e{w0 | < e{w1 | και η f{w| είναι γνησίως αύξουσα άρα 0;0- Συνεπώς e{w0 | < e{w1 | Þ f{e{w0|| < f{e{w1|| Þ w0 ;0 < w1 ;0 Þ w0 < w1 δ | { fg o |{w| < w ; 0 Û { fg o |{0| < / και f{/| < / συνεπώς :
  • 32.
    Γε- Λ ΕξαπλατάνουªΜεν- Λουντέμηςº Μαθηματικά Γ ΄ Ομ- Προσανατολισμού x6] { fg o |{0| < f{/| Û e{0| < /- 7. Δίνεται η γνησίως φθίνουσα συνάρτηση e 9 {/: +∞|à Q καθώς και η συνάρτηση f {w| < e{w| • kmw- α | Να αποδείξετε ότι η f {w| είναι γνησίως φθίνουσα στο πεδίο ορισμού της- β | Να λύσετε την ανίσωση 9 e{dw| ; e{d1| ; w • 1- ΛΥΣΗ α | Η f{w| είναι διαφορά δυο συναρτήσεων των e{w| και g{w| < kmw- Αe < {/: +∞| και @g < {/: +∞| : άρα @f < {/: +∞|- Για οποιαδήποτε w0 : w1 Î{/: +∞| με w0 ; w1 Þ ;kmw0 = ; kmw1 {0| Για οποιαδήποτε w0 : w1 Î{/: +∞| με w0 ; w1 Þ e{w0 | = e{w1 | {1| Προσθέτω {0| και {1| και προκύπτει f{w0| = f{w1| : άρα η f{w| γν- φθίνουσα στο {/: +∞|- β | G ανίσωση έχει πεδίο ορισμού το {/: +∞|- Είναι 9 e{dw| ; e{d1| ; w • 1 Û e{dw| • w ; e{d1| • 1 Û e{dw| • kmdw ; e{d1| • kmd1 Û f{dw| ; f{d1| Û dw = d1 Û w = 1: Δεκτή- 8. Δίνεται η συνάρτηση e{w| < w2 + α w + 1 : α oÎ - Η γραφική παράσταση της e o e τέμνει τον x΄x στο 03- α | Να βρεθεί ο α- β | Να αποδείξετε ότι η e{w| είναι αντιστρέψιμη- γ | Να βρείτε τα σημεία τομής των γραφικών παραστάσεων e{w| και e ;0{w|- δ | Να λύσετε την ανίσωση e{e{ x ;1| ; 4| ; e ;0{03|- ΛΥΣΗ α | Η e{w| έχει πεδίο ορισμό το Q : άρα και η e oe έχει το Q- Η γραφική παράσταση της e o e τέμνει τον x΄x στο 03 άρα { e o e|{/| <03 Û e{e{/||<03 και e{/| < 1 : άρα Û e{1| < 03 Û 7+1 α + 1 < 03 Û 1 α < 3 Û α < 1-
  • 33.
    Γε- Λ ΕξαπλατάνουªΜεν- Λουντέμηςº Μαθηματικά Γ ΄ Ομ- Προσανατολισμού x7] β | e{w| < w2 + 1 w + 1 : είναι γνησίως αύξουσα : δοκιμάστε με τον ορισμό : και άρα 0;0 και αντιστρέφεται- γ | Αρχικά θα αποδείξουμε την εξής πρόταση 9 ª Αν e{w| είναι γνησίως αύξουσα στο Α: τότε η e;0{w| είναι γνησίως αύξουσα στο e{Α|º- ΑΠΟΔΕΙΞΗ Έστω μια γνησίως αύξουσα e{w| στο Α- Και ψ0 : ψ1Îe{Α| • διάστημα: με ψ0 ; ψ1 - Υποθέτω ότι η e;0{w| δεν είναι γνησίως αύξουσα : τότε 9 ψ0 ; ψ1 Þ e;0(ψ0| ≥ e;0(ψ1| Þ e{e;0(ψ0|| ³ e{e;0(ψ1|| διότι η e{w| γνησίως φθίνουσα : άρα προκύπτει ψ0 ³ ψ1 Άτοπο - Άρα η e;0{w| είναι και αυτή γνησίως αύξουσα στο e{Α|- Τα παραπάνω ισχύουν ΠΑΝΤΑ υπό την προϋπόθεση ότι το e{@| είναι διάστημα- Κατόπιν θα αποδείξουμε την εξής πρόταση 9 «Αν η e{w| είναι γνησίως αύξουσα : τότε e{w| < e;0{w| Û w < e{w|º- ΑΠΟΔΕΙΞΗ { Þ | Έστω ότι e{w| = w Þ e;0{e{w|| =e;0(χ| Þ w =e{w| Άτοπο : ομοίως αν θεωρήσω ότι e{w| ; w θα καταλήξω σε άτοπο : άρα e{w| < w- { Ü | Αν e{w| < w Þ w < e;0{w| < e{w| - Συνεπώς για να βρώ τα κοινά σημεία των e : e;0 λύνω ως προς w την : e{w| < w Û w2 + 1 w + 1 < w Û w2 + w + 1 < / Û {w+0|{w1;w+1| < / Û w < ;0 : αρά κοινό σημείο το {;0: ;0|- δ | Η ανίσωση έχει πεδίο ορισμού το Q- e{e{ x ;1| ; 4| ; e ;0{03| Û e{e{ x ;1| ; 4| ; 1 Û e{e{ x ;1| ; 4| ; e{/| Û e{ x ;1| ; 4 ; / Û e{ x ;1| ; 4 Û e{ x ;1| ; e{0| Û x ;1 ; 0 Û x ; 2 Û ;2 ; w ; 2- 9. Δίνεται η συνάρτηση e{w| < α + dw;0 : α oÎ - α | Να αποδείξετε ότι η e{w| είναι αντιστρέψιμη-
  • 34.
    Γε- Λ ΕξαπλατάνουªΜεν- Λουντέμηςº Μαθηματικά Γ ΄ Ομ- Προσανατολισμού x8] β | Αν ισχύει e ;0{3| < 0 : τότε να βρεθεί ο α - γ | Δίνεται η συνάρτηση f{w| < 1dw;2 + w • 1 : να αποδείξετε ότι η f {w| είναι 0;0- δ | Να βρείτε τα σημεία τομής των γραφικών παραστάσεων f {w| και f;0 {w|- ΛΥΣΗ Περιέχει όμοια ερωτήματα με τις ασκήσεις 0;7- Δοκιμάστε να τη λύσετε- Για απορίες ΜΗ διστάσετε- Μπορείτε να στείλετε τις απορίες σας στο μειλ 9 hnqc`mhrjnr?rbg-fq 10. Δίνεται η συνάρτηση e{w| 9 QàQ για την οποία ισχύει e 2{w| + 1 e{w| < 01dw : w oÎ {0|- α | Να αποδειχθεί ότι e{w| = / για κάθε w oÎ - β | Να βρείτε τα σημεία τομής της e{w| με τον x΄x- γ | Να αποδείξετε ότι η e{w| είναι 0;0- δ | Να λυθεί η εξίσωση 9 e{ x ;2|< 2 22 1 e lne ln + - ΛΥΣΗ α | e 2{w| + 1 e{w| < 01dw Û {e 1{w| + 1|e{w| < 01dw Απ τη σχέση αυτή προκύπτει ότι e{w| = / για κάθε w oÎ - β | Για w < / στην παραπάνω σχέση και έχω 9 e 2{/| + 1e{/| < 01 Û {e 1{/| + 1 e{/|+5|{ e{/|;1|< / Û e{/| < 1 : άρα τέμνει τον xx΄ στο {/:1|- γ | Έστω w0 : w1 oÎ με e{w0| < e{w1| Þ e2{w0| < e2{w1| {0| Επίσης 1e{w0| < 1e{w1| {1| : από πρόσθεση των {0| και {1| κατά μέλη έχω 9 e 2{w0| + 1e{w0| < e 2{w1| + 1e{w1| Þ „„-- w0 < w1 άρα η e{w| είναι 0;0- δ | Πεδίο ορισμού της εξίσωσης είναι το Q- Είναι 9 e{ x ;2|< 2 22 1 e lne ln + Û e{ x ;2|< 24 - Û e{ x ;2|<1 Û e{ x ;2|< e{/| Û x ;2</ Û w < °2- 11. Δίνεται η e{w| 9 QàQ για την οποία ισχύει 9 e{e{w|;1| < w {0| α | Να αποδείξετε ότι η e{w| είναι 0;0- β | Να αποδείξετε ότι e ;0{w| < e{w;1| : w oÎ -
  • 35.
    Γε- Λ ΕξαπλατάνουªΜεν- Λουντέμηςº Μαθηματικά Γ ΄ Ομ- Προσανατολισμού x9] γ | Να λυθεί η εξίσωση 9 e{1dw ;0| < e ;0{2|- ΛΥΣΗ Περιέχει όμοια ερωτήματα με τις ασκήσεις 0;0/- Δοκιμάστε να τη λύσετε- Για απορίες ΜΗ διστάσετε- Μπορείτε να στείλετε τις απορίες σας στο μειλ 9 hnqc`mhrjnr?rbg-fq 12. Δίνονται οι συναρτήσεις e{w| < dw + d;w : f {w| < 2συνw;0- α | Να αποδείξετε ότι η e{w| έχει ελάχιστο το 1- β | Να βρεθούν τα ακρότατα της f {w|- γ | Να βρείτε τα κοινά σημεία των γραφικών παραστάσεων των e{w| : f {w| - ΛΥΣΗ α | Είναι Α < Q : για w </ είναι e{/| < 1- Συνεπώς η e{w| παίρνει την τιμή 1- Αρκεί να δείξω ότι 9 e{w| ≥ 1 για κάθε w στο Α- Είναι e{w|≥1 Û dw + d;w ≥1 Û d1w + 0 ≥ 1dw Û {dw • 0|1 ≥ / : που ισχύει- β | Η f{w| έχει πεδίο ορισμού το Q και περίοδο 1π: είναι μια μετατόπιση της 3συνw μια θέση προς τα κάτω- Επίσης έχω : ;0 ≤ συνw ≤0 Û ;2≤3συνx≤2 Û ;3 ≤ 2συνw • 0 ≤ 1 : ακρότατες τιμές το ;3 για w <{1λ;0|π και 1 για w <1κπ : κ: λ wÎ - γ | Από {α| και {β| προκύπτει ότι οι δυο συναρτήσεις τέμνονται μόνο στο {/:1|-
  • 36.
    Γε- Λ ΕξαπλατάνουªΜεν- Λουντέμηςº Μαθηματικά Γ ΄ Ομ- Προσανατολισμού x10] 13. Δίνεται η συνάρτηση e 9 {/: +∞|à Q : για την οποία ισχύουν e{0| + e{d| < 1d+2 και e{w| ; e{x| < km y x +1{w;x| : w : xÎ {/: +∞|- α | Να βρεθούν τα e{0| και e{d|- β | Να βρεθεί ο τύπος της e{w|- γ | Να αποδείξετε ότι η e{w|είναι αντιστρέψιμη- δ | Να λύσετε την ανίσωση 9 3{w1 ; 0| ; 83 10 2 2 + + x x ln - ΛΥΣΗ α | e{0| + e{d| < 1d+2 {0| και θέτω στην άλλη σχέση όπου w<0 και x<d- Είναι: e{0| ; e{d| < ;0+1{0;d| Û e{0| ; e{d| < 0;1d {1| Προσθέτω τις {0| και {1| και προκύπτει 1e{0| <3 Û e{0| < 1 και e{d| < 1d+0- β | e{w| ; e{x| < km y x +1{w;x| {2| : w : xÎ {/: +∞|- Στην {2| θέτω όπου x<0 και προκύπτει 9 e{w| ; e{0| < km x +1{w;0| Þ e{w| < kmw + 1w : w =/- γ | Είναι γν.αύξουσα στο {/:+∞| - Δες Άσκηση 0 στ|- Άρα 0;0- δ | Sn πεδίο ορισμού της ανίσωσης είναι το Q- 3{w1 ; 0| ; 83 10 2 2 + + x x ln Û km{w1 + 0/| + 1{w1 +0/| = km{2w1+7| + 1{2w1+7|Û e{w1+0/| = e{2w1+7| Û w1+0/ = 2w1+7 Û w1 • 0 ; / Û ;0; w ;0-
  • 37.
    Γε- Λ ΕξαπλατάνουªΜεν- Λουντέμηςº Μαθηματικά Γ ΄ Ομ- Προσανατολισμού x11] 14. Δίνεται η συνάρτηση e 9 QàQ για την οποία ισχύει 9 e 2{w| + 2e{w| + w < / {0| : w oÎ - α | Να βρεθεί το e{/| β | Να αποδείξετε ότι η e{w|αντιστρέφεται και να βρεθεί η e ;0{w|- γ | Να αποδείξετε ότι η e{w| είναι γνησίως φθίνουσα- δ | Να βρείτε τα διαστήματα στα οποία η γραφική παράσταση της e{w|είναι κάτω από τον w΄w ε | Να λυθεί η ανίσωση 9 e{ e{ x +0| • 02 | ; 1- ΛΥΣΗ Περιέχει όμοια ερωτήματα με τις ασκήσεις 0;02- Δοκιμάστε να τη λύσετε- Για απορίες ΜΗ διστάσετε- Μπορείτε να στείλετε τις απορίες σας στο μειλ 9 hnqc`mhrjnr?rbg-fq 15. Δίνεται η συνάρτηση e{w| για την οποία ισχύει 9 e{e{w|| + w < 1//3 : w oÎ {0| Να δείξετε ότι 9 α | η e{w| είναι 0;0: β | e{Q| < Q και κατόπιν ότι 9 e ;0{w| < ; e{w| + 1//3: γ | η e{w| δεν είναι γνησίως μονότονη: δ | e{/| + e{1//3| < 1//3- ΛΥΣΗ α | Έστω w0 : w1 ÎQ με e{w0| < e{w1| Þ {eoe|{w0| < {eoe|{w1| Þ 1//3 ; w0 < 1//3 ; w1 Þ w0 < w1 : άρα 0;0- β | Έστω τυχαίο xn ÎQ : αν θεωρήσουμε το wο < e{1//3 ; xn| έχουμε Þ e{wο| < e{e{1//3 ; xn|| < 1//3 • 1//3 + xn < xn : άρα e{Q| < Q- {e oe|{w| < 1//3 ; w : θέτω όπου w < e ;0{w| : {e oe|{ e ;0{w|| < 1//3 ; e ;0{w| Û e{w| < 1//3 ; e ;0{w| Û e ;0{w| < ; e{w| + 1//3- γ | Έστω ότι η e{w| είναι γν- μονότονη και συγκεκριμένα γν- αύξουσα : τότε για κάθε w0 : w1 ÎQ με w0 ; w1 Þ e{w0| ; e{w1| Þ {eoe|{w0| ; {eoe|{w1| Þ 1//3 ; w0 ; 1//3 ; w1 Þ w0 = w1 : ΑΤΟΠΟ : ομοίως για e{w| γν- φθίνουσα-
  • 38.
    Γε- Λ ΕξαπλατάνουªΜεν- Λουντέμηςº Μαθηματικά Γ ΄ Ομ- Προσανατολισμού x12] δ | Θέτω στην {0| w < / : τότε e{e{/||< 1//3 Û e;0 {1//3| < e{/| {1| Θέτω w < 1//3 στην σχέση β| και έχω 9 e ;0{1//3| < ; e{1//3| + 1//3 : η οποία μέσω της {1| γίνεται e{/| < ; e{1//3| + 1//3 Û η ζητούμενη σχέση- 16. Δίνεται η συνάρτηση e 9 Qà Q για την οποία ισχύει 9 e{α+β| < e{α| + e{β| : για κάθε α: β oÎ α | Να δείξετε ότι e{/| < / β | Να δείξετε ότι e{;w| < ; e{w| γ | Αν η e{w| < / έχει μοναδική ρίζα : να δείξετε ότι η e{w| αντιστρέφεται- δ | Να δειχθεί ότι 9 e;0{w+ x| < e;0{w| + e;0{x| : w : x oÎ - ΛΥΣΗ α | α < β < / στη σχέση και e{/| < 1 e{/| Û e{/| < /- β | α < w και β < ; w στη σχέση και e{/| < e{w| + e{;w| Û ;e{w| < e{;w|- γ | Αν η e{w| < / έχει μοναδική ρίζα και από {α| είναι w < /- Έστω w0: w1 oÎ με e{w0| < e{w1| Þ e{w0| ; e{w1| < / Þ e{w0| + e{;w1| < / Þ e{w0; w1| < / Þ w0 ; w1 < / Þ w0 < w1 άρα η e{w| 0;0- δ | Έστω ότι w < e{α| και x < e{β| : w : x oÎ .Τότε e ;0{w| < α και e ;0{x| < β- Προσθέτοντας κατά μέλη τις παραπάνω είναι 9 e ;0{w| + e ;0{x| < α + β {0|- Επίσης e{α+β| < e{α| + e{β| Û e{α+β| < w + x Û α+β < e ;0{w+ x| {1|- Από {0| : {1| προκύπτει το ζητούμενο- 17. Έστω ότι υπάρχει e{w|: η οποία για κάθε w oÎ : ικανοποιεί τη σχέση 9 e2{w| + 4e{w| + w < / {0| α | Αποδείξτε ότι η e{w| αντιστρέφεται και βρείτε την αντίστροφη της- β | Βρείτε τα κοινά σημεία των Be : Be ;0- ΛΥΣΗ α | Όμοια με Άσκηση 1 α| και β|- Η e;0{w| < ; w2 ; 4 w : w oÎ -
  • 39.
    Γε- Λ ΕξαπλατάνουªΜεν- Λουντέμηςº Μαθηματικά Γ ΄ Ομ- Προσανατολισμού x13] β | | Αν θέλουμε να βρούμε τα κοινά σημεία των e;0{w| : e{w| : τότε λύνουμε το (Σ| 9 î í ì = = - )x(fy )x(fy 1 : το οποίο είναι ισοδυναμεί με το {Σ1| 9 î í ì = = - - )x(fy )y(fx 1 1 : μιας και γνωρίζω μόνο την e;0{w| î í ì = = - - )x(fy )y(fx 1 1 Û î í ì --= --= xxy yyx 5 5 3 3 Û î í ì -+-=- --= )xyExyxy yyx 5 5 33 3 Û î í ì -+-= --= )xyExy yyx 40 5 33 3 Û î í ì +++-= --= )xxyy)ExyE yyx 40 5 22 3 Û î í ì = --= xy yyx 53 Û î í ì = --= xy xx 60 3 Û î í ì = += xy x)xE 60 2 Û î í ì = = 0 0 y x - Άρα μοναδικό σημείο τομής των Be : Be ;0 : το {/:/|- 18. Έστω e{w| για την οποία ισχύει 9 e{e{w|| < w 2 : για κάθε χ oÎ - {0| α | Αποδείξτε ότι η e{w| αντιστρέφεται- β | Να δειχθεί ότι 9 e{w2| < {e{w||2 ΥΠΟΔΕΙΞΗ β | βάλε όπου χ το e{w| στην {0| γ | Λύστε την εξίσωση 9 e{w| < w- δ | Αποδείξτε ότι 9 Ze{;0|2+ Ze{0|2 < e{/|- ε | Αν e{7| < 53 : υπολογίστε το e{1|- ΛΥΣΗ Περιέχει όμοια ερωτήματα με τις ασκήσεις 0;06- Δοκιμάστε να τη λύσετε- Για απορίες ΜΗ διστάσετε- Μπορείτε να στείλετε τις απορίες σας στο μειλ 9 hnqc`mhrjnr?rbg-fq 19. Δίνονται οι συναρτήσεις e{w| < x x x - 3 2 : f {w| < x x3 - α | Εξετάστε αν είναι ίσες οι e{w| : f {w|- β | Σχεδιάστε τη συνάρτηση g{w| < î í ì > £- 0 0 x)IxEf xIx και την ευθεία x < ;w+1 στο ίδιο καρτεσιανό σύστημα και κατόπιν να λυθούν :
  • 40.
    Γε- Λ ΕξαπλατάνουªΜεν- Λουντέμηςº Μαθηματικά Γ ΄ Ομ- Προσανατολισμού x14] ι | η εξίσωση g{w| + w • 1 < / ιι | η ανίσωση g{w| + w • 1 ≤ / γ | Η γραφική παράσταση της g{w| και η ευθεία x < 0 σχηματίζουν τρίγωνο: να αποδειχθεί ότι το εμβαδόν Ε του μικτόγραμμου τριγώνου είναι Ε ; 0 τ- μ Δημοσιεύτηκε στο ea την 13-/5-07 απ τον συνάδερφο Γ- Μπαρακλιανό ΛΥΣΗ α | Αe < {/:+∞| : @f < {/:+∞| : έχουν το ίδιο πεδίο ορισμού- Και για κάθε wÎ{/:+∞| είναι 9 e{w| < x x x - 3 2 < x : f {w| < x x3 < x - Άρα και το ίδιο τύπο για κάθε w στο Α συνεπώς είναι ίσες- β | ι | Για την εξίσωση g{w| + w • 1 < / Û g{w| < ; w + 1 : μας ζητάει τα κοινά σημεία των 1 συναρτήσεων g{w| και της ευθείας x < ; w +1-
  • 41.
    Γε- Λ ΕξαπλατάνουªΜεν- Λουντέμηςº Μαθηματικά Γ ΄ Ομ- Προσανατολισμού x1R] Σύμφωνα με το σχήμα βλέπουμε ότι είναι ένα και μοναδικό ! Αλγεβρικά λοιπόν : Για / ; w ; 1 είναι x < 1 • w Û w < 3 ; 3w + w1 Û / < 3 ; 4w + w1 Û w < 0 ή w < 3 {Απορρίπτεται απ τον περιορισμό / ; w ; 1|- Άρα μοναδικό σημείο τομής το {0 : 0|- ιι | Για την ανίσωση g{w| + w • 1 ≤ / Û g{w| ≤ ; w + 1 μας ζητάει τις τιμές του w για τις οποίες η g{w| είναι ΚΑΤΩ απ την ευθεία x < ; w +1- Σύμφωνα με το σχήμα είναι ; ∞ ; w ≤ 0 : γιατί: γ | Το εμβαδόν του μικτόγραμμου τριγώνου Ε : είναι αυστηρά μικρότερο απ το εμβαδόν του τριγώνου {ΟΒΓ| < 0 τ.μ : άρα Ε ; 0- 20. Δίνεται e{0;dw| < w : w ≥ /- α | Να υπολογιστεί ο τύπος και το πεδίο ορισμού της e{w|- β | Να αποδειχθεί ότι 9 e{0;π1| = e{1;π1| και ότι η e{w| έχει ελάχιστη τιμή το /- γ | Δίνεται η ω{w| < ï î ï í ì Î Î Ax)IxEg BxI x x3 : όπου f {w| < e{w| +e{;w| και Α,Β τα ευρύτερα δυνατά σύνολα στο Q- ι | Να βρεθούν τα Α και Β- ιι | Να δειχθεί ότι ω{;w| < ;ω{w| για κάθε w στο Q-
  • 42.
    Γε- Λ ΕξαπλατάνουªΜεν- Λουντέμηςº Μαθηματικά Γ ΄ Ομ- Προσανατολισμού x16] ιιι | Να δειχθεί ότι η καμπύλη της s{w| < w1+αw : α ; / : τέμνει την γραφική παράσταση της ω{w| σε ένα μόνο σημείο- Δημοσιεύτηκε στο ea την 2/-/5-07 απ τον συνάδερφο Γ- Μπαρακλιανό ΛΥΣΗ α | e{0;dw| < w : w ≥ / Û e{f{w|| < w: w ≥ / : όπου f{w| < 0 • dw : @f < Z/:+∞|- t < f{w| < 0 • dw Û 0 • t < dw Û km{0;t| < w : w≥/ και t ≤ /- Άρα e{f{w|| < w Û e{t| < km{0;t| Û e{w| < km{0;w| : @e<{;∞:/- β | Η e{w| είναι γν- φθίνουσα συνάρτηση στο Αe- Άρα e{0;π1| = e{1;π1| Û 0;π1 ; 1;π1 Û 0 ; 1 που ισχύει- Η e{w| είναι γν- φθίνουσα συνάρτηση στο Αe : άρα e{Α| < Ze{/| : ))xEflim x -¥>- < Z/: +∞|- Η ελάχιστη τιμή της είναι το / για w < /- γ | ι| Η e{;w| έχει πεδίο ορισμού το Γ0 < z w oÎ και ; w≤/| < Z/:+∞| Η e{w| έχει πεδίο ορισμού το {;∞:/- Η f{w| < e{w|+ e{;w| έχει πεδίο ορισμού την τομή των παραπάνω : άρα το μονοσύνολο z/|- Συνεπώς Α < z/|- Το Β < Q*- Και : ω{w| < ï î ï í ì == +¥È-¥Î 00 00 3 xI)xEg )IE)IExI x x
  • 43.
    Γε- Λ ΕξαπλατάνουªΜεν- Λουντέμηςº Μαθηματικά Γ ΄ Ομ- Προσανατολισμού x17] ιι| Απλό : προσπαθήστε το : αν δεν τα καταφέρετε : μη διστάσετε- ιιι | ω{w|< s{w| Û axx x x += 2 3 Û Για w = / είναι α w < / Αδύνατη- Για w ; / είναι 9 ; w1 < w1 +α w Û / < w{w+α| Û w < ;α Αδύνατο- Για w < / είναι / < w1 +α w Û / < w{w+α| Û w < ;α ή w < /- Η καμπύλη της s{w| < w1+αw : α ; / : τέμνει την γραφική παράσταση της ω{w| σε ένα μόνο σημείο το {/ : /|- 21. Δίνεται ότι e{1w+0| < 1w;2 : w oÎ - α | Να δειχθεί ότι e{w| < w;3 : w oÎ - β | Αν Αe < Z;0:1 : να βρεθούν τα πεδία ορισμού των παρακάτω συναρτήσεων 9 f{w|<e{1w;0| : g{w| < e{km{w+0|| :φ{w|<e{d;w| γ | Αν e{s{w|| < kmw • 0 : w = / : να βρεθεί η συνάρτηση )xEt δ | ι | Ποιο είναι το πεδίο ορισμού της v{w| < kme{w|; ))xEfEf- ιι | Να δειχθεί ότι v{w| ≤ km3 : για κάθε w wAÎ - Δημοσιεύτηκε στο ea την /0-/6-07 απ τον συνάδερφο Γ- Μπαρακλιανό ΛΥΣΗ α | θέτω t < 1w+0 Û w < 2 1-u : τότε e{1w+0| < 1w;2 Û e{t| < 1 2 1-u ;2
  • 44.
    Γε- Λ ΕξαπλατάνουªΜεν- Λουντέμηςº Μαθηματικά Γ ΄ Ομ- Προσανατολισμού x18] Û e{t| < t;3 ή e{w| < w • 3 : w oÎ . β | Αf < z w oÎ . ;0≤1w;0≤1 | < Z/: 2 1 Αg < z w = ;0 . ;0 ≤ km{w+0| ≤ 1 | < z w = ;0 . kmd;0 ≤ km{w+0|≤ kmd1 | < z w = ;0 . d;0 • 0 ≤ w ≤ d1 ; 0 | < Zd;0 • 0 : d1 • 0 - @φ < z w oÎ . ;0≤ d;w ≤ 1 | < z w oÎ . / ; d;w ≤ 1 | < < z w oÎ . -w ≤ km1| < Zkm1:+∞|- γ | e{s{w|| < kmw • 0 : w = / e{s{w|| < s{w| • 3 : και απ αυτές τις δυο σχέσεις προκύπτει ότι 9 s{w| < kmw+2 : w = / Άρα )xEt < 3+xln : με πεδίο ορισμού το παρακάτω διάστημα- Β < z w = / και kmw+2 ≥ / | < z w = / και kmw ≥ ;2 | < z w = / και w ≥ d;2 | < < Zd;2 : +∞ |- δ ι | Είναι e{e{w|| < w • 3 • 3 < w • 7 Û ; e{e{w|| < 7 • w : w oÎ Αv < z e{w| = / και 7 • w ≥ / | < z w;3 = / και w ≤ 7| < {3:7- ιι | v{w| < km{w;3| ; x-8 : w wAÎ - G συνάρτηση αυτή είναι γνησίως αύξουσα : γιατί : w0 : w1 wAÎ με w0 ; w1 Þ km{w0 ;3| ; km{w1 ;3| {0| w0 : w1 wAÎ με w0 ; w1 Þ ; 21 88 xx --<- {1| Προσθέτοντας {0| +{1| προκύπτει v{w0| ; v{w1| : για κάθε w0 : w1 wAÎ - Η μέγιστη τιμή της είναι η v{7| < km3 :άρα ισχύει το ζητούμενο- 22. Δίνεται η e{w| < x1x 1 ++ : w ³ /- α | Mα δείξετε ότι: e{w| < x1x -+
  • 45.
    Γε- Λ ΕξαπλατάνουªΜεν- Λουντέμηςº Μαθηματικά Γ ΄ Ομ- Προσανατολισμού x19] β | να αποδείξετε ότι e{w| = / για κάθε w ³ / γ | να αποδείξετε ότι η e{w| αντιστρέφεται και να βρείτε την αντίστροφη της- δ | Mα δειχθεί ότι για κάθε w ³ / ισχύει 9 e{w| £ 0 ε | Να δειχθεί ότι η μέγιστη τιμή τις e{w| είναι το 0- στ | Mα λύσετε την εξίσωση 9 { x1x -+ |{ 1)8xx7xx 33 =-++-+ Z Ευκλείδης τεύχος 47 ΛΥΣΗ α | Απλό: κάντε συζυγή παράσταση- β | Α < Z/:+ ¥| και e{w| < x1x -+ = xx - < / άρα e{w| = / γ | e{w0|< e{w1| Û 1x1x 21 +-+ < 21 xx - Û συζυγή παράσταση και μετά χιαστί πολλαπλασιασμός και καταλήγω στο {w0 ;w1| Ze{w0| +e{w1| < / Û η δεύτερη ποσότητα είναι =/ και προκύπτει sn ζητούμενο- x < e{w| Û x = / και x < x1x -+ Û x + =x 1x + Û υψώνω στο τετράγωνο και 1 x x < 0;x1 Û x < {0;x1| . 1x και πρέπει να ισχύει /;x£ 0 και τελικώς βρίσκω την αντίστροφη- δ | e{/| < 0 και έστω ότι e{w| £ 0 Û x1x -+ £ 0 Û 1x1x +£+ και υψώνω στο τετράγωνο και καταλήγω στο 1 0x ³ που ισχύει για κάθε w ³ /-
  • 46.
    Γε- Λ ΕξαπλατάνουªΜεν- Λουντέμηςº Μαθηματικά Γ ΄ Ομ- Προσανατολισμού x20] ε | Για κάθε w ³ / : ισχύει e{w| £ e{/| : άρα„„ στ | Διαιρώ με τη δεύτερη παρένθεση και τα δυο μέλη και μετά κάνω συζυγή παράσταση μόνο στο δεύτερο μέλος και προκύπτει 9 e{w| < e{w2+w;7| Û w < 1- 23. Δίνεται η e{w| < w+ 1x2 + - Να αποδείξετε ότι 9 α | e{w| = / για κάθε χ oÎ β | η e{w| αντιστρέφεται και να βρείτε την αντίστροφη της- Z Ευκλείδης τεύχος 47 ΛΥΣΗ α | e{w| < w+ 1x2 + = w + x ³ / : γιατί ;w £ x £ w : για κάθε w β | e{w0| < e{w1| Û και μετά από συζυγή παράσταση και προκύπτει 9 w0 ; -=+ 2 2 1 x1x 1x2 2 + {0| και επειδή ισχύει και η e{w0| <e{w1| {0| : τότε προσθέτοντας κατά μέλη θα προκύψει w0 < w1- x <e{w| Û x < w+ 1x2 + : x = / γιατί το e{w| = / - Και κάνω πάλι συζυγή και βγαίνει 9 x < 1xx 1 2 +- - Û 0.x < 1x2 + ;w 0.x • x < 1x2 + ;w;x Û 0.x •x < ;1wÛ x ;0.x < 1wÛ w < y y 2 12 - w = /- 24. Δίνεται η e{dw| < kmw • 0 : w = 0- α | Να βρεθεί η e{w|-
  • 47.
    Γε- Λ ΕξαπλατάνουªΜεν- Λουντέμηςº Μαθηματικά Γ ΄ Ομ- Προσανατολισμού x21] β | Να δειχθεί ότι e{ x | ; e{w+0| για κάθε w =0 γ | Να δειχθεί ότι e;0{w| < 1+x e e : w oÎ - δ | Να υπολογιστούν τα όρια 9 ι | 2 1 1)xE )xEf lim x -+ >- ιι | 2 1 1 1)xE )xEf lim x + - ->- ε | Αν f{w| < e{dw| και το Ο{/:/| και Α{d:f{d|| και Γ{w: f{w|| με w = d : να δειχθεί ότι η γωνία ΟΑΓ είναι μεγαλύτερη των 8//- Δημοσιεύτηκε στο ea την 06-/7-07 απ τον συνάδερφο Γ- Μπαρακλιανό ΛΥΣΗ α | θέτω t < dw Û w < kmt : τότε e{t| < km{kmt|;0 : w = 0 Û e{w| < km{kmw| •0 : w oÎ . β | x ; w : για κάθε w = 0 : άρα x ; w + 0 Û „„„„ γ | x < e{w| Û „„„„ και λύνω ως προς w- δ | ι | ;∞ ιι | +∞ ε | δείχνω ότι 9 0=× AGAO 25. Έστω e 9 {/:+∞| και για κάθε w = / ισχύει 9 x)xEfe )xEf =× {0| α | Να δειχθεί ότι η e{w| είναι γν.αύξουσα- β | Να υπολογιστεί το e{Α|- γ | Να λυθεί η e;0{dw| ; km3 δ | Να βρεθεί το Π.Ο της f{w| < e{d+1συνw+0| και να λυθεί η f{w| < 0- Δημοσιεύτηκε στο ea την 07-/7-07 απ τον συνάδερφο Γ- Μπαρακλιανό 26. Δίνεται η συνάρτηση e 9 QàQ για την οποία ισχύει 9 w¶e{w|≤ w1+2w : w oÎ : και το όριο )xEflim x 0>- υπάρχει και είναι πραγματικός αριθμός- α | Να αποδειχθεί ότι )xEflim x 0>- < 2- β | Να βρεθεί το όριο 21 4132 0 -+ -+-- >- )xEf )xEf)xEf)xEf lim x -
  • 48.
    Γε- Λ ΕξαπλατάνουªΜεν- Λουντέμηςº Μαθηματικά Γ ΄ Ομ- Προσανατολισμού x22] ΛΥΣΗ α | Ø Για κάθε w = / ισχύει e{w|≤ w+2 {0| Þ )xEflim x + >- 0 ≤ 2 {1| Ø Για κάθε w ; / ισχύει e{w|≥ w+2 {2| Þ )xEflim x - >- 0 ≥ 2 {3| Από {1| : {3| επειδή το όριο )xEflim x 0>- υπάρχει : τα πλευρικά θα υπάρχουν και θα είναι ίσα με αυτό άρα )xEflim x 0>- < 2- β | 14 0 -=- >- ))xEfElim x ; / Þ κοντά στο / ισχύει )xEf)xEf -=- 44 Το ζητούμενο όριο γίνεται 9 21 4132 0 -+ -+-- >- )xEf )xEf)xEf)xEf lim x < ))xEfE ))xEf)E)xEf)E)xEfE lim )xEf )xEf)xEf xx lim 3 2113 0 0 21 34 0 2 0 - ++-- == -+ +- >->- < 7- 27. Δίνεται η συνάρτηση e 9 QàQ για την οποία ισχύει 9 20 24 3 0 = -+ + >- x x)xEf lim x hm Να βρεθούν : αν υπάρχουν : τα όρια 9 α | )xEflim x 0>- β | x )xEf lim x 0>- γ | x )xEf lim x hm0>- δ | 3 0 2 x )xEf)xEf lim x - >- ΛΥΣΗ α | Θεωρώ τη συνάρτηση : f{w| < 24 3 -+ + x x)xEf hm : με πεδίο ορισμού το Α<{;3:/| )IE +¥È 0 -
  • 49.
    Γε- Λ ΕξαπλατάνουªΜεν- Λουντέμηςº Μαθηματικά Γ ΄ Ομ- Προσανατολισμού x23] Είναι: f{w| < 24 3 -+ + x x)xEf hm Û e{w| < x)xEg)xE 324 hm--+ : Άρα )xEflim x 0>- < / από ιδιότητες ορίων- β | Για w ≠ / : είναι x x )xEg x x x )xEf 324 hm -× -+ = Υπάρχουν όλα τα επιμέρους όρια : άρα από ιδιότητες ορίων προκύπτει 9 x )xEf lim x 0>- <4 • 2 < 1 γ | x )xEf lim x hm0>- < 2 1 2 0 == >- x x x )xEf lim x hm - δ | 3 0 2 x )xEf)xEf lim x - >- < = - = - >->- 2 0 3 0 2 2 2 2 x x )xEf x )xEf x x x )xEf)xEf limlim xx <{1;3|{+∞| < ;∞- 28. Δίνεται η συνάρτηση e 9 QàQ για την οποία ισχύει 9 1 5 24 2 2 = - -- >- x )xx)ExEf lim x Να βρεθούν : αν υπάρχουν : τα όρια 9 α | )xEflim x 2>- β | )xEf)xEf)xEfxlim x 2784 2 2 -+- >- - ΛΥΣΗ Περιέχει όμοια ερωτήματα με τις ασκήσεις 0;14- Δοκιμάστε να τη λύσετε- Για απορίες ΜΗ διστάσετε- Μπορείτε να στείλετε τις απορίες σας στο μειλ 9 hnqc`mhrjnr?rbg-fq 29. Δίνεται η συνάρτηση e 9 QàQ για την οποία ισχύει 9 242 -+£- xx)xEf : για κάθε w oÎ - Να βρεθούν τα όρια 9
  • 50.
    Γε- Λ ΕξαπλατάνουªΜεν- Λουντέμηςº Μαθηματικά Γ ΄ Ομ- Προσανατολισμού x24] α | )xEflim x 0>- β | x )xEf lim x 0>- γ | x ))xEfE lim x hm 0>- - ΛΥΣΗ Περιέχει όμοια ερωτήματα με τις ασκήσεις 0;15- Δοκιμάστε να τη λύσετε- Για απορίες ΜΗ διστάσετε- Μπορείτε να στείλετε τις απορίες σας στο μειλ 9 hnqc`mhrjnr?rbg-fq 30. Έστω e{w| < 1 1 2 232 ++ ++- xx xx)E l ll : λ oÎ - α | Να βρεθεί το )xEflim x -¥>- για κάθε λ oÎ - β | Αν λ < / : να υπολογιστούν 9 ι | )xEflim x 1->- ιι | xx xx x e )e)ExEf lim 23 2 0 +- + >- ιιι | xx xx x e )e)ExEf lim 2 2 + - +¥>- γ | Αν λ < 0 : να δειχθεί ότι 9 ι | 02018 =× +¥>- )x) x )xEf EElim x hm ιι | e{w| = 0 για κάθε w στο {;1:/| ιιι | 3 43 43 2018 1 = + - + + -¥>- xx xx x ))ExEf lim δ | Το όριο της περιμέτρου ορθ- Παραλληλογράμμου με μήκη 0 μον και e{w| μονάδες όταν wà+∞ είναι 3 μον- Τι μπορούμε να ισχυριστούμε για το ορθογώνιο όταν wà+∞- Δημοσιεύτηκε στο ea την 1/-/7-07 απ τον συνάδερφο Γ- Μπαρακλιανό 31. Έστω e{w| μη σταθερή συνάρτηση απ το Q στο Q και για κάθε w : x oÎ ισχύει 9 e{w+x| < 2e{w|e{x|- α | Να δειχθεί ότι e{/| < 3 1 - β | Να δειχθεί ότι e{w| = / για κάθε w oÎ -
  • 51.
    Γε- Λ ΕξαπλατάνουªΜεν- Λουντέμηςº Μαθηματικά Γ ΄ Ομ- Προσανατολισμού x2R] γ | Επίσης : e{;w| < )xEf9 1 - δ | Αν 0= +¥>- )xEflim x : τότε δείξτε ότι +¥= -¥>- )xEflim x - Δημοσιεύτηκε στο ea τον Αύγουστο του 07 απ τον συνάδερφο Γ- Βεντούρη 32. Έστω e{w| < d;w • w και e{Q| < Q - α | Να δειχθεί ότι υπάρχει η e;0{w| και να συγκριθούν οι αριθμοί e;0{1/07| : e;0{1/08|- β | Να λυθούν οι εξισώσεις ι | =- 2 x e w1 + 0 ιι | e;0{w| < / γ | Να λυθούν οι ανισώσεις 9 ι | 2 2 2 212 e e xxe xx - ++³-- ιι | •kmw + 5 1 1 51 e )Efe xln +-³+ -- δ | Να υπολογιστούν τα όρια 9 ι | ))xEf x Elim x - +¥>- hm2 1 ιι | ]x)xEfxlim x 2 + +¥>- ιιι | )e)xEfEln )xEf x lim + -¥>- Δημοσιεύτηκε στο ea την 14-/7-07 απ τον συνάδερφο Γ- Μπαρακλιανό 33. Έστω e 9 QàQ με e{1w| < xx xx - - + - 44 44 : w oÎ - α | Να δειχθεί ότι η e{w| < 14 14 + - x x - β | Να βρεθούν τα όρια )xEflim x +¥>- και )xEflim x -¥>- - γ | Να δειχθεί ότι η e{w| είναι γνησίως αύξουσα στο πεδίο ορισμού της- δ | Να βρεθεί το e{Α|- ε | Να υπολογιστεί η e ;0{w|- στ | Να βρεθούν τα όρια στα άκρα του πεδίου ορισμού της e ;0{w|- Δημοσιεύτηκε στο ea την 02-0/-07 απ τον συνάδερφο Θ- Ξένο
  • 52.
    Γε- Λ ΕξαπλατάνουªΜεν- Λουντέμηςº Μαθηματικά Γ ΄ Ομ- Προσανατολισμού x26] 34. Δίνεται η συνεχής συνάρτηση e 9 QàQ : για την οποία ισχύει 9 e { p p hmp 4232 - =+- x )xEf)e x : για κάθε w oÎ α | Να αποδειχθεί ότι 9 e{0| + e{;0| < ;0 β | Να αποδειχθεί ότι υπάρχει ένα τουλάχιστον ξ στο διάστημα Z/:π : τέτοιο ώστε να ισχύει 9 e{συνξ| < ;συν 2 x 35. Δίνεται η συνεχής συνάρτηση e 9 Qà{;∞ : 0| με e{/| < e{0| < 2 1 και η συνεχής συνάρτηση f {w| 9 Qà { 2 1 : +∞| : με f {1| <2 και f {2| < 0- Να αποδείξετε ότι 9 α | υπάρχει w0 στο διάστημα {/:0| ώστε να ισχύει 9 e{w0| < 1w0- β | υπάρχει w1 στο διάστημα {1:2| ώστε να ισχύει 9 f {w1| < w1 γ | υπάρχει ξ oÎ : ώστε 9 e{ξ|f{ξ| < ξ- ΛΥΣΗ α | Η συνάρτηση ρ{w| < e{w| ; 1w είναι συνεχής στο Z/:0 και ρ{/|< 2 1 =/ρ{0| < 2 1 ;1 < ; 2 3 ;/ : άρα από Θ- Μπολζάνο υπάρχει ένα τουλάχιστον w0 στο {/:0| για το οποίο ισχύει ρ{w0| < / ή e{w0| < 1w0- β | Ομοίως εφαρμόζω Θ- Μπολζάνο για την συνάρτηση f {w| • w στο Z1:2- Είναι συνεχής στο Z1:2 και f {1| • 1 < 0 =/ και f {2| • 2 < ;1 ; /: άρα υπάρχει τουλάχιστον ένα w1 στο {1:2| τέτοιο ώστε f {w1| < w1- γ | Ομοίως εφαρμόζω Θ- Μπολζάνο για την συνάρτηση κ{w| < e{w|f {w| • w στο Zw0: w1 με w0 : w1 = /- Είναι συνεχής ως πράξεις συνεχών και κ{w0| < 1w0 f {w0| • w0 < w0{1f {w0| • 0| = / γιατί : κ{w1| < e{w1| w1 • w1 < w1{e{w1| • 0| ; / γιατί : Συνεπώς υπάρχει ξ o)xIxE ÌÎ 21 : ώστε 9 κ(ξ|< / ή e{ξ|f{ξ| < ξ-
  • 53.
    Γε- Λ ΕξαπλατάνουªΜεν- Λουντέμηςº Μαθηματικά Γ ΄ Ομ- Προσανατολισμού x27] 36. Δίνεται η συνάρτηση 9 e{w| < xlnxx ---1 α | Να μελετηθεί ως προς τη μονοτονία- β | Να βρεθεί το e{Α|- γ | Να αποδειχθεί ότι η γραφική παράσταση της e{w| τέμνει τον άξονα x΄w ακριβώς σε ένα σημείο- ΛΥΣΗ Πρέπει και αρκεί 9 0; w≥/ ΚΑΙ w≥/ ΚΑΙ w = / Û wÎ{/:0 Η e{w| συνεχής στο πεδίο ορισμού της ως πράξεις συνεχών συναρτήσεων : δηλαδή στο Δ < {/:0- α | e ΄{w| < 0 1 2 1 12 1 <-- - - xxx : για κάθε wÎ{/:0| Þ e{w| γνησίως φθίνουσα στο {/:0- β | Δ < {/:0 και e{w| γνησίως φθίνουσα στο Δ : άρα e{Δ| < Z e{0| : ))xEflim x + >- 0 - e{0| < ;0 +¥=---= ++ >->- )xlnxxE)xEf limlim xx 1 00 Άρα e{Δ| < Z ;0 : +∞| γ | Το /Îe{Δ| και η e{w| γνησίως φθίνουσα στο Δ: άρα η γραφική παράσταση της e{w| τέμνει τον άξονα w΄w ακριβώς σε ένα σημείο- 37. Δίνεται η συνάρτηση 9 e{w| < xlnex x -+-- - 1 α | Να μελετηθεί ως προς τη μονοτονία- β | Να βρεθεί το e{Α|- γ | Να αποδειχθεί ότι η γραφική παράσταση της e{w| τέμνει τον άξονα x΄w ακριβώς σε ένα σημείο- 38. Δίνεται η συνεχής συνάρτηση e 9 QàQ : για την οποία ισχύει e 1{w| ; 5e{w| < w1 : για κάθε w oÎ και επιπλέον η γραφική παράσταση της e{w| τέμνει τον x΄x στο σημείο με τεταγμένη 5- α | Να αποδειχθεί ότι e{w| ≠ / : για κάθε w oÎ -
  • 54.
    Γε- Λ ΕξαπλατάνουªΜεν- Λουντέμηςº Μαθηματικά Γ ΄ Ομ- Προσανατολισμού x28] β | Να βρεθεί ο τύπος της e{w|- γ | Να υπολογιστούν τα όρια 9 )xEf x lim x hm +¥>- : )x)xEfElim x + -¥>- - ΛΥΣΗ α | Έστω ότι υπάρχει wο ÎQ : τέτοιο ώστε e{wο | < /- Αντικαθιστώ όπου w το wο στη συναρτησιακή σχέση και έχω 9 e 1{wο| ; 5e{wο| < 2 ox Û / < wο : άρα e{/| < / : όμως απ τα δεδομένα της άσκησης ισχύει e{/|<5: Άτοπο απ το ορισμό της συνάρτησης- Άρα e{w| ≠ / : για κάθε wÎ Q- β | e 1{w| ; 5e{w| < w1 Û e 1{w| ; 5e{w| +8 < w1 +8 Û {e{w| ;2|1 < w1 +8 : θέτω e{w| • 2 < f{w| : άρα f1 {w| < w1 + 8 {0| Η f{w| είναι συνεχής στο Q και για κάθε w Î Q είναι f{w| ≠/ από {0| Επίσης f{/| < e{/| • 2 < 5 • 2 < 2 =/ Άρα f{w| = / για κάθε w Î Q : και από {0| προκύπτει ότι 9 f{w| < 939 22 ++=Þ+ x)xEfx : w Î Q- γ | )xEf x lim x hm +¥>- < x x x x x )xEf x x limlim xx 93 2 ++ = +¥>-+¥>- hmhm {1| Το όριο 1 9 1 3 93 22 = ++ = ++ +¥>-+¥>- x ) xx Ex x x limlim xx Επίσης 0= +¥>- x x lim x hm απ το Κριτήριο Παρεμβολής: άρα από {1| προκύπτει 9 )xEf x lim x hm +¥>- < /- )x)xEfElim x + -¥>- < ) xx E)xxE limlim xx 3 9 9 39 2 2 + -+ =¥-+¥=+++ -¥>--¥>- <2 39. Δίνεται η συνεχής συνάρτηση e 9 QàQ : για την οποία ισχύει e{1| < 2 και e{w|¶e{e{w|| < 13 : για κάθε w oÎ -
  • 55.
    Γε- Λ ΕξαπλατάνουªΜεν- Λουντέμηςº Μαθηματικά Γ ΄ Ομ- Προσανατολισμού x29] α | Να βρεθεί η τιμή e{2|- β | Να αποδειχθεί ότι υπάρχει ξ oÎ τέτοιο ώστε e{ξ| < 5- γ | Να βρεθεί η τιμή e{5|- ΛΥΣΗ α | Θέτω όπου w < 1 στη σχέση και έχω 9 e{1|¶e{e{1|| < 13 Û 2 e{2|<13 Û e{2| < 7- β | Η e{w| είναι συνεχής στο Z1:2 και e{1| <2 και e{2| < 7 : το η < 5 είναι μεταξύ των 2 και 7 : δηλαδή e{1| ; η ; e{2| : άρα από Θ.Ε.Τ υπάρχει ένα τουλάχιστον ξ στο {1:2| : τέτοιο ώστε e{ξ| < 5- γ | Θέτω όπου w < ξ στη σχέση και έχω 9 e{ξ|¶e{e{ξ|| < 13 Û 5 e{5|<13 Û e{5| < 3- 40. Δίνεται η συνάρτηση e 9 QàQ : για την οποία ισχύει 7 0 = + >- x x)xEf lim x hm α | Να βρεθεί το όριο )xEflim x 0>- - β | Ομοίως το όριο x )xEf lim x 30hm>- - ΛΥΣΗ α | Θεωρώ τη συνάρτηση : f{w| < x x)xEf hm+ : με πεδίο ορισμού το Α<{;∞:/| )IE +¥È 0 - Είναι: f{w| < x x)xEf hm+ Û e{w| < x)xExg hm- : Άρα )xEflim x 0>- < / από ιδιότητες ορίων- β | e{w| < x)xExg hm- : για w≠ / είναι Û-= x x )xEg x x x )xEf 333 hm hm hmhm
  • 56.
    Γε- Λ ΕξαπλατάνουªΜεν- Λουντέμηςº Μαθηματικά Γ ΄ Ομ- Προσανατολισμού x30] x x x x )xEg x xx )xEf 33 1 3 hm hm hmhm -= Υπάρχουν όλα τα επιμέρους όρια και από ιδιότητες ορίων προκύπτει ότι 9 x )xEf lim x 30hm>- < 2 3 1 3 7 =- - 41. Δίνεται η συνάρτηση e 9 QàQ : για την οποία ισχύει ημ1w ≤ e{w| ≤ w1 : για κάθε w oÎ - α | Να αποδειχθεί ότι η e{w| είναι συνεχής στο /- β | Να βρεθεί το όριο x )Ef)xEf lim x 0 0 - >- - ΛΥΣΗ α | Για w < / η σχέση γίνεται 9 / ≤ e{/| ≤ / : άρα e{/| < /- Επίσης από Κριτήριο Παρεμβολής προκύπτει ότι 9 )xEflim x 0>- < e{/| < /: άρα συνεχής στο /- β | ημ1w ≤ e{w| ≤ w1 Û ημ1w ≤ e{w| ; e{/| ≤ w1 Για w = / είναι 9 0 0 0 = - + >- x )Ef)xEf lim x Για w ; / είναι 9 0 0 0 = - - >- x )Ef)xEf lim x Άρα x )Ef)xEf lim x 0 0 - >- < /- 42. Δίνεται η συνάρτηση e 9 QàQ : για την οποία ισχύει 8 110 = -+ - >- x x)xEf lim x Να βρεθούν τα παρακάτω όρια 9
  • 57.
    Γε- Λ ΕξαπλατάνουªΜεν- Λουντέμηςº Μαθηματικά Γ ΄ Ομ- Προσανατολισμού x31] α | )xEflim x 0>- β | ) x )xEfElim x 1 0 hm >- γ | x )xEf lim x 50hm>- ΛΥΣΗ Περιέχει όμοια ερωτήματα με τις ασκήσεις 0;24- Δοκιμάστε να τη λύσετε- Για απορίες ΜΗ διστάσετε- Μπορείτε να στείλετε τις απορίες σας στο μειλ 9 hnqc`mhrjnr?rbg-fq 43. Δίνεται η συνάρτηση e 9 με πεδίο ορισμού και σύνολο τιμών το Q : επίσης για την e{w| ισχύει 9 e 2{w| +2e{w| ; 1w < 4 : για κάθε w oÎ - α | Να αποδειχθεί ότι η e{w| είναι 0;0- β | Να οριστεί η αντίστροφη της- γ | Να βρεθεί το όριο x x)xEf lim x hm hm 552 1 0 ++- >- ΛΥΣΗ Περιέχει όμοια ερωτήματα με τις ασκήσεις 0;25- Δοκιμάστε να τη λύσετε- Για απορίες ΜΗ διστάσετε- Μπορείτε να στείλετε τις απορίες σας στο μειλ 9 hnqc`mhrjnr?rbg-fq 44. Δίνεται η συνεχής συνάρτηση e 9 QàQ : για την οποία ισχύει w¶e{w|+ημ2w < 3w ; 4w1ημ ) x E 1 : για κάθε w oÎ - α | Να βρεθεί ο τύπος της e{w|- β | Να υπολογιστούν τα όρια 9 )xEflim x -¥>- και )xEflim x +¥>- γ | Να αποδείξετε ότι η εξίσωση e{w| < / έχει μια τουλάχιστον αρνητική και μια τουλάχιστον θετική ρίζα- ΛΥΣΗ α | e{w| < ïî ï í ì = ¹-- 00 0 31 54 x)IEf xI x x x x hm hm Η συνάρτηση e{w| είναι συνεχής άρα )xEflim x 0>- < e{/|- Είναι )xEflim x 0>- < 3 • / • 2 < 0 : άρα e{/| < 0-
  • 58.
    Γε- Λ ΕξαπλατάνουªΜεν- Λουντέμηςº Μαθηματικά Γ ΄ Ομ- Προσανατολισμού x32] β | ) x x x xE)xEf limlim xx 31 54 hm hm --= ±¥>-±¥>- {0| 55 1 1 5 1 5 0 === >-±¥>-±¥>- u u lim x x x x uxx limlim hm hm hm 0033 3 3 3 =×== ±¥>-±¥>- u u x x limlim ux hmhm - Η {0| γίνεται : )xEflim x +¥>- < ;0 ; /- γ | Εφαρμόζω Θ- Μπολζάνο στα διαστήματα Z/:+∞| και {;∞: / για την e{w| με χρήση των α| και β| ερωτημάτων- Προκύπτει ότι υπάρχουν ξ0Î{/:+∞| και ξ1 Î{;∞: /| για τα οποία ισχύει ότι e{ξ0| < / < e{ξ1| 45. Δίνεται η συνεχής συνάρτηση e 9 QàQ : για την οποία ισχύει w¶e{w|+1w3 < 2w • ημw : για κάθε w oÎ - α | Να βρεθεί η τιμή e{/|- β | Να βρεθεί το όριο )xEflim x +¥>- - γ | Να αποδείξετε ότι η εξίσωση e{w| < / έχει μια τουλάχιστον θετική ρίζα- ΛΥΣΗ Περιέχει όμοια ερωτήματα με την άσκηση 27- Δοκιμάστε να τη λύσετε- Για απορίες ΜΗ διστάσετε- Μπορείτε να στείλετε τις απορίες σας στο μειλ 9 hnqc`mhrjnr?rbg-fq 46. Δίνεται η συνεχής συνάρτηση e 9 QàQ : για την οποία ισχύει 5 1 2 1 = - + >- x )xEf lim x και η Be τέμνει τον x΄x στο σημείο Μ{/:2|- α | Να βρεθεί η τιμή e{0|- β | Να δειχθεί ότι οι γραφικές παραστάσεις των e{w| : f {w| < w1;0 : έχουν ένα τουλάχιστον κοινό σημείο με τετμημένη wο )IE 10Î
  • 59.
    Γε- Λ ΕξαπλατάνουªΜεν- Λουντέμηςº Μαθηματικά Γ ΄ Ομ- Προσανατολισμού x33] γ | Να υπολογιστεί το όριο 12 2 1 - ++ >- x xx)xEf lim x - ΛΥΣΗ Περιέχει όμοια ερωτήματα με τις ασκήσεις 0;3/- Δοκιμάστε να τη λύσετε- Για απορίες ΜΗ διστάσετε- Μπορείτε να στείλετε τις απορίες σας στο μειλ 9 hnqc`mhrjnr?rbg-fq 47. Δίνεται η συνάρτηση e 9 QàQ : έτσι ώστε να ισχύει 9 e 2{w| +1e{w| < w + 0 : για κάθε w oÎ α | Να δειχθεί ότι η e είναι 0;0- β | Να αποδειχθεί ότι το σύνολο τιμών της e είναι το o και στη συνέχεια να βρεθεί η αντίστροφη της- γ | Να αποδειχθεί ότι η e είναι γνησίως αύξουσα- δ | Να αποδειχθεί ότι η e είναι συνεχής στο ;0- ε | Να αποδειχθεί ότι η e είναι συνεχής στο wο oÎ - ΛΥΣΗ α | Έστω w0 : w1 oÎ με e{w0| < e{w1| Þ e2{w0| < e2{w1| {0| Επίσης 1e{w0| < 1e{w1| {1| : από πρόσθεση των {0| και {1| κατά μέλη έχω 9 e 2{w0| + 1e{w0| < e 2{w1| + 1e{w1| Þ „„-- w0 < w1 άρα η e{w| είναι 0;0- β | Θεωρώ τη συνάρτηση f{w| < w2 + 1w ; 0 : w Î Q και f{Q| < Q- Η f{w| είναι γνησίως αύξουσα στο Q γιατί : έστω w0 : w1 ÎQ με w0 ; w1 Û w0 2 ; w1 2 Û w0 2 ; w1 2 {2| w0 ; w1 Û 1w0 ;0; 1w1 ;0 {3| - Προσθέτω {2|: {3| και προκύπτει f{w0 |; f{w1| : άρα 0;0- e 2{w| + 1e{w| ; 0< w Û w < f{e{w|| Û f;0 {w| < e{w| : w Î Q- Οι συναρτήσεις e : f ;0 έχουν το ίδιο πεδίο ορισμού και f;0 {w| < e{w| για κάθε w Î Q άρα θα έχουν και το ίδιο σύνολο τιμών : άρα e{Q| < Q- f;0 {w| < e{w| Û {f;0 |;0{w| < e ;0{w| Û f{w| < e ;0{w| Û e ;0{w|< w2 +1w ; 0 : wÎQ-
  • 60.
    Γε- Λ ΕξαπλατάνουªΜεν- Λουντέμηςº Μαθηματικά Γ ΄ Ομ- Προσανατολισμού x34] γ | Έστω ότι η e{w| δεν είναι γνησίως αύξουσα : άρα υπάρχουν w0 : w1 oÎ με w0 ; w1 για τα οποία ισχύει e{w0| ≥ e{w1| Þ e2{w0| ≥ e2{w1| :άρα e2{w0|+ e{w0| ;0 ≥ e2{w1| + e{w1| • 0 Þw0 ≥ w1 : Άτοπο- Άρα η e{w| είναι γνησίως αύξουσα- δ | Για w < ;0 έχω 9 e 2{;0| +1e{;0| < / Û {e 1{;0| +1|e{;0|</Û e{;0|</- Είναι : e 2{w| +1e{w| < w + 0Þe{w| < 2 1 2 1 2 1 22 + £ + + =Þ + + x )xEf x )xEf )xEf x 2 1 2 1 + ££ + -Þ x )xEf x Και από Κριτήριο παρεμβολής προκύπτει ότι )Ef)xEflim x 10 1 -== ->- : άρα η e{w| συνεχής στο ;0- ε | Αρκεί να δείξω ότι )xEf)xEflim o xx o = >- e 2{w| +1e{w| < w + 0 και e 2{wο| +1e{wο| < wο + 0 Αφαιρώντας κατά μέλη προκύπτει 9 {e{w|; e{wο||¶{ e1{w|+ e{w|e{wο|+ e1{wο|+1| < w • wο Û {e{w|; e{wο|| < Þ +++ - 222 )xEf)xEf)xEf)xEf xx oo o ooooo xx)xEf)xEfxxxx)xEf)xEf -£-£--Þ-£- Και από Κριτήριο παρεμβολής προκύπτει ότι: )xEf)xEflim o xx o = >- άρα η e{w| συνεχής στο wο- 48. Έστω e 9 QàQ : για την οποία ισχύουν 9 · συνεχής στο Q: · {w;w1|¶e{w|<ημw • w : w ; / · e1{w| + e{w| < dw¶{dw • 0| : w =/ · +¥= +¥>- )xEflim x α | Να βρεθεί η τιμή e{/|- β | Να βρεθεί η e{w|-
  • 61.
    Γε- Λ ΕξαπλατάνουªΜεν- Λουντέμηςº Μαθηματικά Γ ΄ Ομ- Προσανατολισμού x3R] γ | Να βρεθεί το πρόσημο της e{w|- δ | Να βρεθεί το )xEflim x -¥>- - ε | Να δείξετε ότι η εξίσωση 9 0 1 =+ xx )xEf sun : έχει τουλάχιστον μια ρίζα στο {;π : ; 2 p |- Δημοσιεύτηκε στο ea την /2-0/-07 απ τον συνάδερφο Θ- Παπανδρέου 49. Έστω η συνάρτηση 9 e{w| < î í ì >- £- 11 11 2 xI)xE xIx α | Είναι συνεχής στο 0 : β | Είναι παραγωγίσιμη στο 0 : γ | Να βρεθεί η εξίσωση της εφαπτομένης της γραφικής παράστασης της e{w| στο {1:0|- ΛΥΣΗ α | 01 2 11 =-= ++ >->- )xE)xEf limlim xx 01 11 =-= -- >->- )xE)xEf limlim xx < e{0| : άρα η e{w| συνεχής στο 0- β | 0 1 1 1 1 2 11 = - - = - - ++ >->- x )xE x )Ef)xEf limlim xx 1 1 1 1 1 11 -= - - = - - -- >->- x x x )Ef)xEf limlim xx : άρα η e{w| μη παραγωγίσιμη στο 0- γ | Για κάθε w = 0 είναι e ΄{w| < 1{w;0| : άρα e ΄{1| < 1- Η εξίσωση της εφαπτομένης στο {1:0| είναι 9 x;0<1{w;1| Û x<1w;2- 50. Δίνεται η συνάρτηση 9 e{w| < x 4 : α | Να βρεθεί η εξίσωση της εφαπτομένης της e{w| στο τυχαίο Μ{wο : e{wο|| β | Να δειχθεί ότι το τρίγωνο το οποίο σχηματίζει η προηγούμενη εφαπτομένη με τους άξονες έχει σταθερό εμβαδόν- γ | Αν Α και Β τα σημεία που η εφαπτομένη στο Μ τέμνει τους άξονες : να δειχθεί ότι το Μ είναι μέσο του ΑΒ-
  • 62.
    Γε- Λ ΕξαπλατάνουªΜεν- Λουντέμηςº Μαθηματικά Γ ΄ Ομ- Προσανατολισμού x36] ΛΥΣΗ Α < Q* και f΄{w| < 2 4 x - για κάθε wÎ Q* - α | x ; e{wn|<e ΄{wο|{w • wn|Û x < 2 4 ox - w + ox 4 + ox 4 Û x< 2 4 ox - w+ ox 8 β | Η x< 2 4 ox - w τέμνει τους άξονες στα Β {/: ox 8 | και Α{1wο : /| Το Εμβαδόν του τριγώνου είναι 9 (ΟΑΒ| < 8 8 2 2 1 =×× o o x x τ- μονάδες γ | Το μέσο των Α: Β είναι το 9 { == ++ ) x I x E) yy I xx oo 2 8 2 2 22 2121 Μ{wο : e{wο|| 51. Δίνεται η e{w| < 1¶ 311 ++- )xlnE α | Να βρεθεί το πεδίο ορισμού της- β | Να αποδειχθεί ότι είναι 0;0- γ | Να οριστεί η αντίστροφη- δ | Να λυθεί η εξίσωση 9 e;0{0+w| < 1- ΛΥΣΗ α | Πρέπει και αρκεί : w;0≥/ ΚΑΙ 011 >+-x Û x≥ 0 β | w0 :w1 ÎZ0:+∞| και e{w0| < e{w1| Þ )xlnE 111 +- < )xlnE 112 +- Þ 111 +-x < 12 -x Þ w0 < w1 γ | x<1 311 ++- )xlnE Þ 1111 2 3 2 3 -=-Þ+-= - - xe)xlnE y y
  • 63.
    Γε- Λ ΕξαπλατάνουªΜεν- Λουντέμηςº Μαθηματικά Γ ΄ Ομ- Προσανατολισμού x37] Þ x)eE y =+- - 11 22 3 : όπου 30 2 3 012 3 ³Û³ - Û³- - y y e y Συνεπώς e ;0{w| < 11 22 3 +- - )eE x : wÎ Z2: +∞|- δ | e;0{0+w| < 1 Û 0+ w < e{1| Û 0+ w < 1km1+2 Û w < 1¶{km1+0|- 52. Δίνεται η e{w| < 12 2 +x x α | Εξετάστε τη μονοτονία της- β | Εξετάστε κυρτότητα και σημεία καμπής- γ | Να βρεθούν οι ασύμπτωτες της e{w| - δ | Να γίνει η γραφική της παράσταση- ΛΥΣΗ α | Α < Q : e ΄{w| < { 12 2 +x x )΄ < 2222 22 1 2 1 212 )xE x )xE xx)xEx + = + ×-+ Αν w = / Û f΄{w| = / Þ e{w| γνησίως αύξουσα στο Z/:+∞|- Αν w ; / Û f΄{w| ; / Þ e{w| γνησίως φθίνουσα στο {;∞ : /- β | e ΄΄{w| < { ) )xE x 22 1 2 + ΄ < 32 2 42 2222 1 26 1 1812 )xE x )xE )xEx)xE + +- = + +-+ Οι ρίζες της e ΄΄{w| είναι οι w0 < ; 3 3 : w1 < + 3 3 - Για κάθε wÎZ; 3 3 : 3 3 : η e{w| είναι ΚΥΡΤΗ - Για κάθε wÏ {; 3 3 : 3 3 | : η e{w| είναι ΚΟΙΛΗ -
  • 64.
    Γε- Λ ΕξαπλατάνουªΜεν- Λουντέμηςº Μαθηματικά Γ ΄ Ομ- Προσανατολισμού x38] γ | Δεν έχει Κατακόρυφες- Αναζητώ Οριζόντιες- Είναι 9 1= +¥>- )xEflim x : 1= -¥>- )xEflim x : άρα η x < 0 Οριζόντια Ασύμπτωτη- Δεν έχει πλάγιες: μιας και έχει οριζόντια- δ | 53. Δίνεται η e{w| < συν{kmw| : wÎ Z0: dπ- α | Να γίνει η μελέτη της - {μονοτονία-ακρότατα-σύνολο τιμών| β | Να βρεθεί η εξίσωση της εφαπτομένης {ε| της e{w| στο σημείο που η γραφική παράσταση της e{w| τέμνει τον ww΄- γ | Εξετάστε την e{w| ως προς την κυρτότητα και τα Σ.Κ - δ | Υπολογίστε το Ι < ò p e dx)xEf 1 - Δημοσιεύτηκε στο ea την 02-/7-07 απ τη συνάδερφο Ν.Ψαθά 54. Έστω e{w| παραγωγίσιμη στο διάστημα Z/:1/04 με e{/|</ και e{1/04|<1/04- Να αποδειχθεί ότι 9 α | υπάρχει ένα τουλάχιστον w/ Î {/:1/04| τέτοιο ώστε να ισχύει 9 e{w/| + w/ < 1/04 β | υπάρχουν τουλάχιστον ξ0 : ξ1 Î {/:1/04| τέτοια ώστε 9 e ΄(ξ0|¶e ΄(ξ1| < 0- ΛΥΣΗ α | e{w| παραγωγίσιμη στο διάστημα Z/:1/04 Þ e{w| συνεχής στο Z/:1/04 Θεωρώ τη συνάρτηση κ{w| < e{w| +w • 1/04 : w ÎZ/:1/04 · Η κ{w| είναι συνεχής στο Z/:1/04 ως πράξεις συνεχών- · κ{/| < ;1/04 ; / : κ{1/04| < 1/04 = / Από Θ.Μπολζάνο : υπάρχει τουλάχιστον ένα wο Î{/:1/04| ώστε κ{wο| < / Û e{w/| + w/ < 1/04-
  • 65.
    Γε- Λ ΕξαπλατάνουªΜεν- Λουντέμηςº Μαθηματικά Γ ΄ Ομ- Προσανατολισμού x39] β | Εφαρμόζω Θ.Μ.Τ στο Z/: wο για την e{w| : ισχύουν οι προϋποθέσεις και άρα υπάρχει τουλάχιστον ένα ξ0 Î{/: wο| τέτοιο ώστε e ΄(ξ0| < o o o o x x x )xEf - = 2015 {0|- Εφαρμόζω Θ.Μ.Τ στο Zwο : 1/04 για την e{w| : ισχύουν οι προϋποθέσεις και άρα υπάρχει τουλάχιστον ένα ξ1 Î{wο:1/04| τέτοιο ώστε e ΄(ξ1| < o o o o x x x )xEf - = - - 20152015 2015 {1|- Από {0| : {1| με πολλαπλασιασμό κατά μέλη προκύπτει το ζητούμενο- 55. Δίνεται η συνάρτηση e{w| με τύπο 9 e{w| < 3∙ 2-x e + 2- α | Να βρεθεί το πεδίο ορισμού της- Μονάδες 6 β | Να βρεθεί το σύνολο τιμών της- Μονάδες 0/ γ | Να ορίσετε την e;0{w|- Μονάδες 7 ΛΥΣΗ α | Πρέπει και αρκεί : 202 lnxex ³Û³- β | Θα εξετάσω πρώτα τη μονοτονία της - Έστω w0 : w1 ÎZkm1:+∞| w0 ; w1 Þ 21 -x e ; 22 -x e Þ e{w0| ; e{w1| : άρα γνησίως αύξουσα στο πεδίο ορισμού της- e{Α| < Z e{km1|: ))xEflim x +¥>- <Z2 : +∞| : γιατί : γ | x<4∙ 2-x e + 2 Þ x)) y lnEEe) y Ee y xx =+ - Þ=+ - Þ-= - 2 4 3 2 4 3 2 4 3 22 : όπου 30 4 3 ³Û³ - y y ΚΑΙ 2 4 3 2 + - ) y E = / : που ισχύει όμως- Συνεπώς e ;0{w| < )) y lnEE 2 4 3 2 + - : με πεδίο ορισμού Z2: +∞|- 56. Δίνεται συνάρτηση με πεδίο ορισμού το Q για την οποία ισχύει 9
  • 66.
    Γε- Λ ΕξαπλατάνουªΜεν- Λουντέμηςº Μαθηματικά Γ ΄ Ομ- Προσανατολισμού x40] xe)xEfe x)xEf +=+ : w oÎ - α | Να δείξετε ότι η e{w| είναι 0;0- β | Να λυθεί 9 e{kmw|< e{0;w1| γ | Να δείξετε ότι e{w| < w για κάθε w oÎ - δ | Να λυθεί 9 2 x e ; dw + w1 • w = / - ΛΥΣΗ α | Έστω ότι υπάρχουν w0 : w1 ÎQ : με w0 ≠ w1 και e{w0| < e{w1 | {0| Τότε )xEf)xEf ee 21 = {1| {0|+{1| Þ 2121 2121 xexe)xEfe)xEfe xx)xEf)xEf +=+Þ+=+ Þ 021 21 =--+ xexe xx {2| : θεωρώντας την κ{w| < dw + w η οποία είναι γν: μονότονη άρα 0;0 : δείχνεται εύκολα : η {2| γράφεται 9 κ{w0| ; κ{w1| < / Þ κ{w0 | <κ{ w1 | Þ w0 < w1 Άτοπο άρα δεν υπάρχουν w0 : w1 ÎQ : με w0 ≠ w1 και e{w0| < e{w1 | : συνεπώς η e{w| είναι 0;0- β | e{kmw|< e{0;w1| Û kmw < 0;w1 : έχει προφανή ρίζα την w < 0- Θεωρώ την f{w| < kmw • 0 +w1 : w ÎΔ < {/:+∞| g΄{w| < 1 w + x 1 =/ για κάθε w Î{/:+∞| Þ f{w| γνησίως αύξουσα στο Δ- Συνεπώς η ρίζα w < 0 είναι μοναδική- γ | Θεωρώ ξανά τη συνάρτηση 9 κ{w| < dw + w : w ÎQ - Η συνάρτηση αυτή είναι 0;0 : δείχνεται πολύ εύκολα αν δείξουμε ότι η κ{w| είναι γνησίως αύξουσα - { Γν- Αύξουσα Þ 0;0| Η συναρτησιακή σχέση που μας δίνεται μέσω της κ{w| γράφεται 9 κ{e{w|| < κ{w| Û e{w| < w : w ÎQ- δ | 2 x e ; dw + w1 • w = / Û κ{w1| = κ{w| Û w1 = w Û w{w;0|=/ Û wÎ{;∞:/| ή wÎ{0:+∞|- 57. Δίνεται η e{w| < {w;0|¶kmw ; 0 : w = /- α | Να δειχθεί ότι η e{w| είναι γνησίως αύξουσα στο Z0:+∞| και γνησίως φθίνουσα στο {/:0- β | Να αποδειχθεί ότι η εξίσωση 9 ww;0 < d1/02 : w = / : έχει ακριβώς δυο θετικές ρίζες- γ | Αν w0 : w1 με w0 ; w1 είναι οι ρίζες του β| να αποδειχθεί ότι υπάρχει
  • 67.
    Γε- Λ ΕξαπλατάνουªΜεν- Λουντέμηςº Μαθηματικά Γ ΄ Ομ- Προσανατολισμού x41] wο Î( w0 : w1| : τέτοιο ώστε να ισχύει 9 e ΄{wο| + e{wο| < 1/01 δ | Να βρεθεί το εμβαδόν του χωρίου που περικλείεται από την συνάρτηση f{w| < e{w| + 0 :με w = / : τον w ΄w και την ευθεία w < d- ΛΥΣΗ α | Για w = / είναι e ΄{w| <Z {w;0|¶kmw ΄ < kmw + x x 1- ü Για w = 0 Þ e ΄{w| = / Þ e{w| γν- αύξουσα στο Z0:+∞| ü Για / ; w ; 0 Þ e ΄{w| ; / Þ e{w| γν- φθίνουσα στο {/:0- β | ww;0 < d1/02 Û km{ww;0| <km{ d1/02| Û {w • 0|kmw<1/02 Û e{w| <1/01 Θα βρώ το e{Α| : όπου Α < Δ0 ÈΔ1 και Δ0< {/:0 : Δ1 < Z0:+∞|- e{Δ0| < Ze{0| : )xEflim x + >- 0 | < Z ;0 : +∞| e{Δ1|< Ze{0|: ))xEflim x +¥>- <Z ;0 : +∞|- Είναι e{Α| < e{Δ0| Èe{Δ1| < Z ;0 : +∞|- Η x <1/01 τέμνει την e{w| δυο ακριβώς φορές- γ | Η σχέση e ΄{w| + e{w| < 1/01 : γράφεται 9 dw {e ΄{w| + e{w||< dw 1/01 Û {dwe{w||΄ ; {1/01dw)΄< / Þ {dwe{w| ;1/01dw)΄</ Άρα θεωρώ την f{w| < dwe{w| ;1/01dw < dw ¶{e{w| • 1/01| : · συνεχή στο Zw0:w1 · και παραγωγίσιμη στο ίδιο διάστημα- · f{w0| < f{w1 | < / : άρα από Θ- Ρολ υπάρχει τουλάχιστον ένα wn Î{w0 : w1| ώστε f΄{ wn| < / Þ { ox e e{wο| ;1/01 ox e )΄</ Þ e ΄{wο| + e{wο| < 1/01 δ | Η f{w| ≥ / : ζητείται το ορισμένο ολοκλήρωμα ò e dx)xEg 1 <
  • 68.
    Γε- Λ ΕξαπλατάνουªΜεν- Λουντέμηςº Μαθηματικά Γ ΄ Ομ- Προσανατολισμού x42] < òòò - - - =¢ - =- e e ee dx x )xE ]xln )xE xxdxln) )xE Exdxln)xE 1 2 1 2 1 2 1 2 1 2 1 2 1 1 < 2 1 11 4 1 2 1 2 1 4 1 2 11 2 1 1 22 1 2 2 111 2 2 1 2 --+-- - =-+- - =×+-- - ò )eE)eE )eE ]xxln]xx]xx )eE dx) x x E )eE eee e 58. Δίνεται η συνεχής e 9 {/:+∞| à Q : και ισχύει 9 e1{w| + 1kmw < km1w + 0 : w = / α | Να βρεθούν όλοι οι τύποι της παραπάνω συνάρτησης- β | Αν f{w| < ; 1-xln : w = / : να μελετηθεί ως προς την παραγωγισιμότητα • μονοτονία • ακρότατα ; κυρτότητα- γ | Να δειχθεί ότι η γραφική παράσταση της f έχει μοναδικό κοινό σημείο με την ευθεία {ε| x < w;1 και να βρεθεί το κοινό σημείο- δ | Να γίνει η γραφική παράσταση της Bf : {ε| στο ίδιο σύστημα αξόνων- ε | Να βρεθεί το εμβαδόν που περικλείεται απ την Bf : την {ε| και την ευθεία w < 2- Δημοσιεύτηκε στο ea την 14-/8-07 απ τη συνάδερφο Ν- Ψαθά 59. Δίνεται η e{w| < î í ì = > 00 0 xI xIxlnx : α | να αποδειχθεί ότι είναι συνεχής στο /- β | Να μελετηθεί ως προς τη μονοτονία και να βρεθεί το σύνολο τιμών της- γ | Να βρεθεί το πλήθος των διαφορετικών θετικών ριζών της εξίσωσης 9 w < x a e για όλες τις τιμές του πραγματικού α- δ | Να αποδειχθεί ότι 9 e ΄{w+0| = e{w+0| ; e{w|: για κάθε w =/- ΛΥΣΗ α | 0 1 1 11 0 2 0 000 == - = ¢ ¢ = ¥+ ¥- ==-¥×=× + +++ >- >->->- ..... x xlim ) x E )xEln lim)E x xln lim)E)xlnxElim x xxx
  • 69.
    Γε- Λ ΕξαπλατάνουªΜεν- Λουντέμηςº Μαθηματικά Γ ΄ Ομ- Προσανατολισμού x43] και e{/| < / : άρα η e{w| συνεχής στο /- β | e ΄{w| < kmw + 0 : w = / ü e ΄{w| = / Û kmw = ;0 Û w = d;0 Þ e{w| γν.αύξουσα στο Zd;0:+∞| ü e ΄{w| ; / Û kmw ; ;0 Û w ; d;0 Þ e{w| γν- φθίνουσα στο Z/: d;0- Το σημείο {d;0 : ; d;0 | είναι ΟΛΙΚΟ ΕΛΑΧΙΣΤΟ της συνάρτησης- Θα βρώ το e{Α| : όπου Α < Δ0 ÈΔ1 και Δ0< Z/: d;0 : Δ1 < Zd;0:+∞|- e{Δ0| < Ze{d;0| : e{/| < Z ; d;0 : / e{Δ1|< Ze{d;0| : ))xEflim x +¥>- | < Z ; d;0 : +∞|- Είναι e{Α| < e{Δ0| Èe{Δ1| < Z ; d;0 : +∞|- γ | w < x a e Û km w < km x a e Û wkmw < αÛ e{w| < αÛ e{w| ; α < / Û f{w| < /{Ι| f{Δ0| < Ze{d;0|;α : e{/|;α < Z ; d;0 ;α : ; α f{Δ1|< Z ; d;0 •α : +∞|- ü Αν α ; ; d;0 : η {Ι| ΔΕΝ ΈΧΕΙ ΚΑΜΙΑ ΛΥΣΗ ü Aν α = / ή α < ; d;0 : η {Ι| ΈΧΕΙ ΜΟΝΑΔΙΚΗ ΛΥΣΗ ü Αν ; d;0 ; α ≤ / : η {Ι| ΔΕΝ ΈΧΕΙ ΑΚΡΙΒΩΣ ΔΥΟ ΛΥΣΕΙΣ δ | e ΄{w| < kmw + 0 : e ΄΄{w| < 0 1 > x : για κάθε w = / Þ e{w| ΚΥΡΤΗ ΣΤΟ Z/:+∞| και η e ΄{w| γνησίως αύξουσα - Εφαρμόζω ΘΜΤ για την e{w| στο μεταβλητό Zw : w+0 : w =/ Υπάρχει τουλάχιστον ένα ξ Î{w: w+0| ώστε 9 e ΄ {ξ| < e{w+0| ; e{w|- Είναι 9 ξ ; w +0 Û e ΄(ξ| ; e ΄{w+0| Û e{w+0| ; e{w| ; e ΄{w+0| : w =/-
  • 70.
    Γε- Λ ΕξαπλατάνουªΜεν- Λουντέμηςº Μαθηματικά Γ ΄ Ομ- Προσανατολισμού x44] 60. Έστω η e 9 QàQ : δυο φορές παραγωγίσιμη για την οποία ισχύουν 9 · e{/| < 2 και e ΄{/| < 0 · e{w|¶ e ΄΄{w| • {e ΄{w||1 < 1dw : για κάθε w ÎQ- α | Να αποδειχθεί ότι e{w| = / για κάθε w ÎQ- β | Να αποδειχθεί ότι η e{w| είναι κυρτή στο Q- γ | Να αποδειχθεί ότι η f{w| < km{e{w|| είναι κυρτή στο Q- δ | Να αποδειχθεί ότι e{w| ≥ 2 3 x e για κάθε w ÎQ- ε | Αν α : β : γ ÎQ με α+ β+ γ < / : να δειχθεί ότι 9 e{α|¶e{β|¶e{γ)≥16- ΛΥΣΗ α | e{w|¶ e ΄΄{w| • {e ΄{w||1 < 1dw Û e{w|¶ e ΄΄{w| < {e ΄{w||1 + 1dw : άρα e{w| ≠ / για κάθε w ÎQ : γιατί αλλιώς θα καταλήγαμε σε άτοπο- Επειδή η e{w| παραγωγίσιμη στο Q Þ συνεχής στο Q και e{w|≠/ για κάθε w : άρα η e{w| διατηρεί πρόσημο - Επειδή e{/|<2 Þ e{w| = /: για κάθε w ÎQ- β | Απ εδώ e{w|¶ e ΄΄{w| < {e ΄{w||1 + 1dw : e{w| = / : άρα και e ΄΄{w| = / Þ e{w| ΚΥΡΤΗ στο Q- γ | f{w| < km{e{w|| : ορίζεται για κάθε w ÎQ- f ΄{w| <{ km{e{w|| |΄ < )xEf )xEf ¢ - f ΄΄{w| < { )xEf )xEf ¢ )΄ < )xEf e )xEf ))xEfE)xEf x 22 2 2 = ¢-¢¢ = / για κάθε wÎQ- Άρα η f{w| ΚΥΡΤΗ στο Q- δ | e{w| ≥ 2 3 x e Û km{ 3 )xEf | ≥ 3 33 ln x ))xEflnE)elnE x +³Û {ΙΙ| Η εφαπτομένη της f{w| στο {/:km2| είναι η 9 x • km2 < x 3 1 Û x < x 3 1 +km2 Για κάθε ΚΥΡΤΗ συνάρτηση ισχύει η {ΙΙ|- ε | Αν α : β : γ ÎQ με α+ β+ γ < / : να δειχθεί ότι 9 e{α|¶e{β|¶e{γ)≥16-
  • 71.
    Γε- Λ ΕξαπλατάνουªΜεν- Λουντέμηςº Μαθηματικά Γ ΄ Ομ- Προσανατολισμού x4R] Αν e{α|¶e{β|¶e{γ)≥16 αρκεί να δείξω ότι : km {e{α|¶e{β|¶e{γ||≥km22 : δηλαδή αρκεί να δείξω : km e{α|+kme{β|+kme{γ||≥2km2 {ΙΙΙ| Σταματάμε λίγο εδώ και επειδή : ισχύει το αποτέλεσμα της δ|- Άρα 3 3 ln a ))aEflnE +³ 3 3 ln))EflnE +³ b b τις προσθέτω κατά μέλη και προκύπτει η {ΙΙΙ|- 3 3 ln))EflnE +³ g g - Αρκούσε η {ΙΙΙ| άρα ισχύει η e{α|¶e{β|¶e{γ)≥16 : α,β,γ ÎQ- 61. Δίνεται η e{w| < x xln α | Να μελετηθεί ως προς τη μονοτονία και τα ακρότατα της και να δειχθεί ότι 9 x e xln 2 £ για κάθε w = /- β | Να συγκριθούν οι αριθμοί 11 10 : 10 11 γ | Να βρεθούν οι α : β ÎQ αν ισχύει ότι 9 e a a ea b b b 4 =× ΛΥΣΗ α | Η συνάρτηση έχει πεδίο ορισμού το {/:+∞| e ΄{w| < { x xln )΄ < xx xln x x xlnx x 2 22 11 - = - · e ΄{w| = / Û 1;kmw = / Û kmw ; 1 Û w ; d1 Þ e{w| γν.αύξουσα στο {/: d1- · e ΄{w| ; / Û 1;kmw ; / Û kmw = 1 Û w = d1 Þ e{w| γν.φθίνουσα στο Zd1 : +∞|-
  • 72.
    Γε- Λ ΕξαπλατάνουªΜεν- Λουντέμηςº Μαθηματικά Γ ΄ Ομ- Προσανατολισμού x46] · Το σημείο {d1 : e{d1 || : ΟΛΙΚΟ ΜΕΓΙΣΤΟ της e{w|- Συνεπώς e{w| ≤ e{d1| Û x xln ≤ e 2 Û x e xln 2 £ : w =/- β | Το 0/:00 ÎZd1 : +∞| : άρα 0/ ; 00 Û e{0/| = e{00| Û 10 10ln = 11 11ln Û 11 10 = 10 11 - γ | e a a ea b b b 4 =× Û km e a a eln)aE b b b 4 =× Û e lnaln ea lnaln e a lnaln a 444 =+Û= + Û=+ b b ab babb bb Û e{α| + e{β| < e 4 {0| Ισχύει η σχέση του {α| ερωτήματος για κάθε w =/- Άρα για w < α και w < β : έχω 9 a aln ≤ e 2 {1| : b bln ≤ e 2 {2| :προσθέτοντας {1| + {2| : έχω e{α| + e{β| ≤ e 4 {3| Από {0| : {3| προκύπτει ότι α < β < d1- 62. Δίνεται η e{w| < d1w ; 3 dw + 2 : w oÎ - α | Να εξεταστεί ως προς τη μονοτονία • ακρότατα- β | Να βρεθούν οι ασύμπτωτες και το πλήθος των ριζών της εξίσωσης e{w| < ) x xElim x p hm× +¥>- γ | Να εξεταστεί ως προς την κυρτότητα και τα σημεία καμπής η e{w| - δ | Να γίνει η γραφική παράσταση της- ε | Να λυθούν οι ανισώσεις 9 ι | d1w +1 w + 2 ; 3 dw ιι | 1{e{2w1+0|; e{1w1+4|| = e1{1w1+4|; e{2w1+0| Δημοσιεύτηκε στο ea την 12-/8-07 απ τη συνάδερφο Ν- Ψαθά
  • 73.
    Γε- Λ ΕξαπλατάνουªΜεν- Λουντέμηςº Μαθηματικά Γ ΄ Ομ- Προσανατολισμού x47] 63. Δίνεται η e{w| < î í ì = > 00 02 xI xI)xElnx : α | να αποδειχθεί ότι είναι συνεχής στο /- β | Να υπολογιστεί η e ΄{w|- γ | Να βρεθεί το εμβαδόν του χωρίου που περικλείεται από την e{w| τον w ΄w και τις ευθείες w <0 και w < d- ΛΥΣΗ α | )E)xElnx)xEf limlim xx +¥×== ++ >->- 02 00 x xln limxlnx x x )xEln aie x )xEln xxxx limlimlim 1 22 1 1 2 1 00 2 0 2 0 ++++ >->->->- -=-= - == ¥+ ¥+ = <„„-- < / Και e{/| < / : άρα η e{w| συνεχής στο /- β | Για κάθε w = / είναι e ΄{w| < {w {kmw|1)΄ < {kmw|1 + 1wkmw x 1 < {kmw|1 +1kmw Για w < / : θα πάω με τον ορισμό - +¥== - - ++ >->- x )xElnx lim x )Ef)xEf lim xx 2 00 0 0 : άρα η e{w| μη παραγωγίσιμη στο /- γ | Ζητείται το 9 4 1 2 1 2222 22 2 1 1 22 1 22 1 1 2 2 1 2 2 1 2 - ==+-=¢- =-=¢= òò òòò e .........xdx]xln x x e xdxln) x E e dxxlnx])xEln x xdx)xEln) x Edx)xElnx e e e e e ee
  • 74.
    Γε- Λ ΕξαπλατάνουªΜεν- Λουντέμηςº Μαθηματικά Γ ΄ Ομ- Προσανατολισμού x48] 64. Έστω η συνάρτηση e{w| < 2 2 2 +- x x xln - α | Να μελετηθεί ως προς τη μονοτονία και τα ακρότατα- β | Να βρεθεί το πλήθος των ριζών της εξίσωσης 9 1kmw < w2 + w{1α;3| : για τις διάφορες τιμές του πραγματικού α- γ | Να βρεθούν τα κ : λ : μ ώστε να ισχύει 9 e{κ|+ e{λ| < 2 + μ1 ΛΥΣΗ α | Α < {/:+∞|- Για κάθε wÎΑ : έχω 9 e ΄ {w| < { 2 2 2 +- x x xln )΄ < 2 3 2 11 x xlnx x x xln -- =- - Θεωρώ τη συνάρτηση 9 f{w| < 0;w2 • kmw : wÎΑ- Έχω 9 · w = 0 Û f{w| ; f{0| Û f{w| ; / Û e ΄{w| ; / Þ e{w| γν.φθίνουσα στο Z0:+∞|- · /; w ;0 Û f{w| = f{0| Û f{w| = / Û e ΄{w| = / Þ e{w| γν.αύξουσα στο {/:0 · Το σημείο {0: e{0|| < {0: 0-4| είναι ΟΛΙΚΟ ΜΕΓΙΣΤΟ- β | 1kmw < w2 + w{1α;3| Û 2 2 2 +- x x xln <1α;0 Û e{w| < 1α;0 = / {Ι| Ø Αν /; 1α;0 ; 2 3 Û α ; 2 3 log log : η {Ι| έχει ΔΥΟ ΑΚΡΙΒΩΣ ΛΥΣΕΙΣ Ø Αν 1α;0 < 2 3 Û α < 2 3 log log : : η {Ι| ΈΧΕΙ ΜΟΝΑΔΙΚΗ ΛΥΣΗ- Ø Αν 1α;0 = 2 3 Û α = 2 3 log log : η {Ι| ΔΕΝ ΕΧΕΙ ΛΥΣΕΙΣ-
  • 75.
    Γε- Λ ΕξαπλατάνουªΜεν- Λουντέμηςº Μαθηματικά Γ ΄ Ομ- Προσανατολισμού x49] γ | Από α| ερώτημα : έχω 9 e{κ| ≤ 2 3 {0| και e{λ| ≤ 2 3 {1| : από {0| : {1| είναι e{κ| + e{λ| ≤ 2 Û 2 + μ1 ≤ 2 Û μ1 < / Û μ</- Άρα e{κ| + e{λ| < 2 : μέσω των {0| : {1| είναι e{κ| < 2 3 Û κ < 0 Επίσης e{λ| < 2 3 Û λ < 0- 65. Δίνεται η συνεχής συνάρτηση e 9 QàQ : για την οποία ισχύει 9 20052 0 = - >- x x)xEf limx α | Να δειχθεί ότι: e{/|</ και e ΄{/|<0 β | Να βρεθεί ο λ oÎ ώστε 3 2 22 22 0 = + - >- )xEfx )xEfx limx l γ | Αν επιπλέον e ΄{w| = e{w| για κάθε w oÎ και η e{w| είναι παραγωγίσιμη με συνεχή παράγωγο στο o: να δειχθεί ότι 9 ι | w¶e{w| = / : για κάθε w * oÎ ιι | ò < 1 0 1)Efdx)xEf ΕΠΑΝΑΛΗΠΤΙΚΕΣ ΠΑΝΕΛΛΗΝΙΕΣ 1//4 ΛΥΣΗ α | Θεωρώ τη συνάρτηση : f{w| < 2 x x)xEf - : w≠/ Είναι : w1¶f{w| + w < e{w| {Ι| και η Ø e{w| συνεχής στο Q : άρα και στο /- Ø 2005 0 = >- )xEglim x Απ τη σχέση {Ι| : έχω 9 lim x 0>- {w1¶f{w| + w| < lim x 0>- e{w| Þ /¶1//4 + / < lim x 0>- e{w| Þ lim x 0>- e{w| < / < e{/|-
  • 76.
    Γε- Λ ΕξαπλατάνουªΜεν- Λουντέμηςº Μαθηματικά Γ ΄ Ομ- Προσανατολισμού xR0] Για την παράγωγο στο / : e ΄{/| < x )xEf x )Ef)xEf limlim xx 00 0 0 >->- = - - < 11 1 00 2 0 =+= + = + >->->- ))xExgE x ))xExgEx x x)xEgx limlimlim xxx - β | . )]Efx )]Efx x )xEf x )xEf ) x )xEf Ex ) x )xEf Ex )xEfx )xEfx limlimlim xxx 2 2 2 2 2 2 0 2 2 2 2 2 2 0 22 22 0 02 01 2 1 2 1 2 ¢+ ¢×- = = + - = + - = + - >->->- l ll l Όμως 3 2 22 22 0 = + - >- )xEfx )xEfx limx l Û 3 02 01 2 2 = ¢+ ¢×- )]Efx )]Efxl Û 0;λ < 5+2 Û λ < ;7- γ ; ι | Θεωρούμε τη συνάρτηση : κ{w| < d;w e{w|: wÎQ : η οποία είναι παραγωγίσιμη στο Q* - Είναι 9 κ ΄{ w| < ; d;w e{w| + d;w e΄{w| < d;w {e ΄{w|; e{w|| = / για κάθε w Î Q- Άρα η κ{w| είναι γνησίως αύξουσα στο Q- Επίσης κ{/| < /- Ø Για w = / Û κ{w| = / Û d;w e{w| = / Û e{w| = / : άρα και w¶e{w| = / - Ø Για w ; / Û κ{w| ; / Û d;w e{w| ; / Û e{w| ; / : άρα και w¶ e{w| = / Συνεπώς : w¶ e{w| = / για κάθε w Î Q*- ιι | .dx)xEfx)Efdx)xEfx)]xEfxxdx)xEf)xEdx)xEf òòò ò ¢×-=¢×-×=¢= 1 0 1 0 1 0 1 0 1 0 1 Αρκεί να δειχθεί ότι ò >¢ 1 0 0dx)xEfx : μιας και e{0| = / -
  • 77.
    Γε- Λ ΕξαπλατάνουªΜεν- Λουντέμηςº Μαθηματικά Γ ΄ Ομ- Προσανατολισμού xR1] Η συνεχής συνάρτηση w¶{e ΄{w| ; e{w|| είναι ≥ / για κάθε wÎZ/:0 : επίσης ΔΕΝ είναι παντού μηδέν στο διάστημα Z/:0 : άρα ò >-¢ 1 0 0dx))xEf)xEfEx Û ò ò ×>¢ 1 0 1 0 dx)xEfxdx)xEfx {ΙΙ| Από γ • ι | προκύπτει ότι ò > 1 0 0dx)xExf : άρα ισχύει ò >¢ 1 0 0dx)xEfx - Συνεπώς ò < 1 0 1)Efdx)xEf - 66. Έστω η e 9 QàQ : παραγωγίσιμη για την οποία ισχύουν 9 · e{w| ≠ / για κάθε w =/- · 2111 =+- )Efe )Ef · )xEfx )xEf )xEf 2 + =¢ για κάθε w = /- α | Να βρεθεί το e{0|- β | Να δειχθεί ότι e{w| < x - γ | Να βρεθεί το όριο για τις διάφορες τιμές του λ ÎQ- ))xEf)xxEfElim x 22 54 ×-++ +¥>- l δ | Να βρεθούν οι εφαπτομένες της e{w| που διέρχονται από το {2:1|- ΛΥΣΗ α | Θεωρώ τη συνάρτηση κ{w| < xex +-1 : wÎQ- Για κάθε w0 : w1 Î Q με w0 ; w1 Þ 11 21 -- < xx ee {0| Επίσης w0 ; w1 {1| Από {0| + {1| : είναι κ{w0 | ; κ { w1| : άρα η κ{w| είναι γνησίως αύξουσα και άρα 0;0 συνάρτηση-
  • 78.
    Γε- Λ ΕξαπλατάνουªΜεν- Λουντέμηςº Μαθηματικά Γ ΄ Ομ- Προσανατολισμού xR2] Η δοσμένη σχέση 2111 =+- )Efe )Ef Û κ{e{0|| < κ{0| Û e{0| < 0- β | Η e{w| είναι συνεχής ως παραγωγίσιμη και e{w| ≠ / για κάθε w =/ : άρα η e{w| διατηρεί πρόσημο για κάθε w = / και από α| ερώτημα είδαμε ότι e{0| < 0 : άρα e{w| = / για κάθε w =/- )xEfx )xEf )xEf 2 + =¢ Û e ΄{w|¶ w + e ΄{w|¶ e 1{w| < e{w| Û e ΄{w|¶ w ; {w|΄ e{w| < ; e ΄{w|¶ e 1{w| Û ; )xEf )xEf x)xEf)xEf)xE ¢-= ×¢-¢ 2 Þ ))xEfE) )xEf x E ¢=¢ Þ c)xEf )xEf x += : για w < 0 : προκύπτει b < /- Άρα )xEf )xEf x = Û e 1{w| < w : και για κάθε w = / η e{w| διατηρεί πρόσημο άρα απ την σχέση x)xEf = :προκύπτει ότι e{w| < x : w = / - Για w < / : είναι e{/| < / : άρα για κάθε w≥ / είναι e{w| < x - γ | ))xEf)xxEfElim x 22 54 ×-++ +¥>- l < =×-++ +¥>- )xxxElim x l542 )E)E)] xx Exxlim x ll -×+¥=-++× +¥>- 1 54 1 2 - Ø Για λ = 0 : ))xEf)xxEfElim x 22 54 ×-++ +¥>- l < +∞ Ø Για λ ; 0 : ))xEf)xxEfElim x 22 54 ×-++ +¥>- l < ;∞ Ø Για λ < 0 : = +++ + =-++ +¥>-+¥>- xxx x lim)xxxElim xx 54 54 54 2 2 1 δ | Έστω {wο : e{wο|| το σημείο επαφής της {ε| με την Be- Η {ε| είναι 9 x ; ox < ox2 1 {w;wn| : η {ε| διέρχεται απ το {2:1| άρα 9 1 ; ox < ox2 1 {2;wn| Û 3 ox ; 1wο < 2 • wο Û wο ; 3 ox + 2 < / : θέτω
  • 79.
    Γε- Λ ΕξαπλατάνουªΜεν- Λουντέμηςº Μαθηματικά Γ ΄ Ομ- Προσανατολισμού xR3] ox < x : και απ την παραπάνω δευτεροβάθμια εξίσωση προκύπτει x < 0 ή x<2- ü Άρα : αν ox < 0 Û wο < 0 Û (ε0| 9 1x • 0 ; w </ : ü Αν ox < 2 Û wο < 8 Û (ε1| 9 5x • 8 ; w </- 67. α | Να λυθεί η εξίσωση 0122 =-- xex : w oÎ β | Να βρεθούν όλες οι συνεχείς συναρτήσεις e 9 QàQ που ικανοποιούν τη σχέση 9 e 1{w| < 22 1 2 )xeE x -- : w oÎ - γ | Αν e{w| < 122 -- xex : w oÎ : να δειχθεί ότι η e{w| είναι κυρτή- δ | Να λυθεί η εξίσωση 9 e{ 3+xhm |; e{ xhm |< e{w+2|; e{w| : w )Ix +¥Î 0 ΠΑΝΕΛΛΗΝΙΕΣ 1/05 ΛΥΣΗ α | Προφανής λύση της εξίσωσης w < /- Θεωρώ τη συνάρτηση 9 κ{w| < 122 -- xex : w oÎ : επίσης κ{/| < / - κ΄ {w| < 1w 2 x e ; 1w < 1w { 2 x e ; 0 | - ü Για w = / : κ ΄{w| = / : άρα η κ{w| γν.αύξουσα στο Z/:+∞| ü Για w ; / : κ΄{w| ; / : άρα η κ{w| γν.φθίνουσα στο {;∞:/ ü Το σημείο {/:/| ΟΛΙΚΟ ΕΛΑΧΙΣΤΟ της κ{w| Συνεπώς w < / : μοναδική ρίζα της εξίσωσης- β | e 1{w| < 22 1 2 )xeE x -- : w oÎ - Û e 1{w| < κ1{w| και κ{w|≥/ για κάθε w oÎ - Η e{w| συνεχής και με μοναδική ρίζα την w < /- Για w≠ / : διατηρεί πρόσημο- Άρα υπάρχουν οι εξής περιπτώσεις 9 ü e{w| =/ : για κάθε w oÎ * ü e{w| ; / : για κάθε w oÎ * ü e{w| = / στο {;∞:/| και e{w| ; / στο {/:+∞| ü e{w| = / στο {/:+∞| και e{w| ; / στο {;∞:/|- Συνεπώς οι ζητούμενες συναρτήσεις είναι οι κάτωθι 9
  • 80.
    Γε- Λ ΕξαπλατάνουªΜεν- Λουντέμηςº Μαθηματικά Γ ΄ Ομ- Προσανατολισμού xR4] e0{w| < 122 -- xex : w oÎ : e 1{w| < )xeE x 122 --- : w oÎ e2{w| < ï î ï í ì <--- ³-- 01 01 2 2 2 2 x)IxeE xIxe x x : e 3{w| < ï î ï í ì <-- ³--- 01 01 2 2 2 2 xIxe x)IxeE x x γ | Θα βρώ τη e ΄΄{w|- e ΄ {w| < 1w 2 x e ; 1w < 1w { 2 x e ; 0 |- e ΄΄{w| < 1 { 2 x e ; 0 | + 3w1 { 2 x e ; 0 | < {1+3w1|{ 2 x e ; 0 |- ü Για w = / : e ΄΄{w| = / : άρα η e{w| ΚΥΡΤΗ στο Z/:+∞| ü Για w ; / : e ΄΄{w| ; / : άρα η e{w| ΚΥΡΤΗ στο {;∞:/ ü Η e{w| συνεχής στο / : άρα e{w| ΚΥΡΤΗ στο o δ | Θεωρώ τη συνάρτηση 9 λ{w| < e{w+2|; e{w| : w )Ix +¥Î 0 - Συνεχή και παραγωγίσιμη- Η e{w| είναι ΚΥΡΤΗ : άρα η e ΄{w| είναι γνησίως αύξουσα: και w ; w + 2 Û e ΄{w| ; e ΄{w+2| Û e ΄{w+2| ; e ΄{w| = / Û λ΄{ w| = /: άρα η λ{w| γν- αύξουσα στο )Ix +¥0 : άρα και 0;0- Τελικά : e{ 3+xhm |; e{ xhm |< e{w+2|; e{w| Û λ{ xhm |<λ{w| Û xhm <w Η ισότητα ισχύει για w < /- 68. Έστω e 9 Z/: +∞|à Q μια συνάρτηση με e{0| < 1d;0 : η οποία είναι συνεχής και ισχύει για κάθε w Î Z/: +∞| w1e ΄{w| ; e{w| + x e 1 - < / {0| α | Να δειχθεί ότι ο τύπος της e{w| είναι 9
  • 81.
    Γε- Λ ΕξαπλατάνουªΜεν- Λουντέμηςº Μαθηματικά Γ ΄ Ομ- Προσανατολισμού xRR] e{w| < ï ï î ï ï í ì = >+ - 00 01 1 1 xI xIe) x E x β | Να βρεθεί το εμβαδόν του χωρίου που περικλείεται από την γραφική παράσταση της e{w| τον w΄w και τις ευθείες w < 0 και w < λ : όπου / ; λ ; 0- γ | Να μελετηθεί η e{w| ως προς τη μονοτονία : να βρεθούν οι ασύμπτωτες της και να δειχθεί ότι e{w| ; 0 : για κάθε w ≥ / - ΛΥΣΗ α | w1e ΄{w| ; e{w| + x e 1 - < / Û e ΄{w| ; 2 1 x e{w| + 2 1 x x e 1 - < / Û xe 1 e ΄{w| ; 2 1 x xe 1 e{w| + 2 1 x < / Û { xe 1 e{w||΄ < { x 1 )΄Þ xe 1 e{w| < x 1 + b : για w < 0 : έχω 9 d¶1d;0 < 0 + b Û b < 0- Άρα 9 e{w| < { x 1 +0| x e 1 - : w = /- Επειδή η e{w| είναι συνεχής στο πεδίο ορισμού της άρα και στο / : προκύπτει ο τύπος της - Δηλαδή : e{w| < ï ï î ï ï í ì = >+ - 00 01 1 1 xI xIe) x E x β | òò - +== 1 1 1 1 1 ll dxe) x Edx)xEfE x < ò ò -- + 1 1 11 1 l l .dxedxe x xx Θέτω w < u 1 : για w < 0 Û t<0 : για w < λ Û t < l 1 : cw < ;t;1ct- D < ò ò -- + 1 1 11 1 l l dxedxe x xx < ò ò =¢-+ --l l 1 1 1 1 11 dxe) u Edue u uu
  • 82.
    Γε- Λ ΕξαπλατάνουªΜεν- Λουντέμηςº Μαθηματικά Γ ΄ Ομ- Προσανατολισμού xR6] l ll l l l l ee )eeEdxe u ]e u xdue u uuu -=--=-- ----- ò ò 1111 1 1 1 1 1 1 1 γ | e{w| < ï ï î ï ï í ì = >+ - 00 01 1 1 xI xIe) x E x : συνεχής στο πεδίο ορισμού της- Για w = / : e ΄{w| < ; 2 1 x x e 1 - + 2 1 x { x 1 +0| x e 1 - < 2 1 x x e 1 - x 1 = / : άρα γν- αύξουσα στο πεδίο ορισμού της- Αναζητώ Πλάγιες ή Οριζόντιες Ασύμπτωτες στο +∞- 11101 1 1 =×+=+= - +¥>-+¥>- )E]e) x xElim)xEflim x xx : άρα x < 0 οριζόντια ασύμπτωτη στο +∞- Είναι : Α < Z/:+∞| : e{Α| < Ze{/|: )xEflim x +¥>- | < Z / : 0 | : άρα e{w| ; 0 : για κάθε w ≥ /- 69. Έστω συνάρτηση e{w| ορισμένη και παραγωγίσιμη στο Z/:2 : για την οποία γνωρίζουμε ότι 9 · Η γραφική παράσταση της e ΄{w| δίνεται στο παρακάτω σχήμα9 · e{/|<1 : e{0| < /
  • 83.
    Γε- Λ ΕξαπλατάνουªΜεν- Λουντέμηςº Μαθηματικά Γ ΄ Ομ- Προσανατολισμού xR7] · Το εμβαδόν του χωρίου που περικλείεται μεταξύ της γραφικής παράστασης της e ΄{w| και των ευθειών w < / : w < 2 ισούται με 7 τ.μ · Η e{w| δεν ικανοποιεί τις υποθέσεις του Θ.Ε.Τ στο Z/:2- α | Να αποδειχθεί ότι e{2| < 1 : e{1| < ;1 και να βρείτε αν υπάρχουν τα όρια xln )xEf lim x 1>- : 20 ->- )xEf x lim x - Δικαιολογήστε- Μονάδες 7 ΛΥΣΗ Το εμβαδόν του χωρίου που περικλείεται μεταξύ της γραφικής παράστασης της e ΄{w| και των ευθειών w < / : w < 2 ισούται με 7 τ.μ : ΑΡΑ Ε < =¢+¢-=¢ òòò 3 2 2 0 3 0 dx)xEfdx)xEfdx)xEf ;{ e{1|; e{/|| + {e{2|; e{1|| Ε < 7 Û ; e{1|+ e{/|+ e{2|; e{1|<7 Û e{2| ; 1e{1|<5- {0| Όμως : Η e{w| δεν ικανοποιεί τις υποθέσεις του Θ.Ε.Τ στο Z/:2 : ΆΡΑ e{2| < e{/| < 1 : και από {0| : προκύπτει ότι 9 e{1| < ;1- Συνεπώς 9 e{/| < e{2| < 1 : e{0| < / : e{1| < ;1- xln )xEf lim x 1>- < 331 10 0 11 -=-×=¢= ¢ = >->- )E)xEfxlim x )xEf lim)E xx 20 ->- )xEf x lim x < )xEf lim )xEf )xE lim)E xx ¢ = ¢ ¢ = >->- 1 0 0 00 : ΔΕΝ ΥΠΑΡΧΕΙ : γιατί ο παρανομαστής δεν διατηρεί πρόσημο- β | Προσδιορίστε τα διαστήματα στα οποία η e{w| είναι γνησίως αύξουσα : γνησίως φθίνουσα : κυρτή : κοίλη και τις θέσεις των τοπικών ακροτάτων και σημείων καμπής της e{w|- Μονάδες 7 ΛΥΣΗ Το πρόσημο της e ΄ {w| μας δίνει τη μονοτονία της e{w| και η μονοτονία της e ΄{w| μας δίνει την ΚΥΡΤΟΤΗΤΑ της e{w|- Απ τη γραφική παράσταση της e ΄{w| είναι 9
  • 84.
    Γε- Λ ΕξαπλατάνουªΜεν- Λουντέμηςº Μαθηματικά Γ ΄ Ομ- Προσανατολισμού xR8] · / ; w ; 1 : e ΄{w| ; / Þ e{w| γν- φθίνουσα στο Z/:1- · w = 1 : e ΄{w| = / Þ e{w| γν- αύξουσα στο Z1:2- · Το {1: ;1| ολικό Ελάχιστο της e{w|- · Το {/:1| τοπικό μέγιστο της e{w| · Το {2:1| τοπικό μέγιστο της e{w|- · Η e{w| είναι ΚΟΙΛΗ στο Z/:0 · Η e{w| είναι ΚΥΡΤΗ στο Z0:2 · Το {0: /| είναι Σ- Κ της e{w|- γ | Να αποδείξετε ότι υπάρχει μοναδικό wοÎ{1:2| για το οποίο δεν υπάρχει το όριο )xEf lim oxx 1 >- - Μονάδες 4 ΛΥΣΗ Για να μην υπάρχει το όριο )xEf lim oxx 1 >- αρκεί το e{wο| < / ΚΑΙ η e{w| να μην διατηρεί πρόσημο δεξιά και αριστερά του wο- Από Θ- Μπολζάνο : υπάρχει τουλάχιστον ένα wο Î {1:2| ώστε e{wο| < /- Η συνάρτηση είναι μονότονη στο Z1:2 άρα το wο είναι ΜΟΝΑΔΙΚΟ και προφανώς η e{w| κοντά : δεξιά και αριστερά του wο δεν διατηρεί πρόσημο- δ | Να σχεδιαστεί η γραφική παράσταση της e{w|- Μονάδες 3 ΕΠΑΝΑΛΗΠΤΙΚΕΣ ΠΑΝΕΛΛΗΝΙΕΣ 1/06 70. Δίνεται η συνάρτηση e{w| < ï ï î ï ï í ì >+- = <£-+- 023 02 0 2 23 xIxx xI xIa x x phm α | Να αποδειχθεί ότι η e{w| στο διάστημα Z/:1 ικανοποιεί το Θ.Μ.Τ- Αν η e{w| είναι συνεχής στο πεδίο ορισμού της : τότε 9 β | Να βρεθεί η τιμή του πραγματικού α- γ | Να μελετηθεί η e{w| ως προς τη μονοτονία-
  • 85.
    Γε- Λ ΕξαπλατάνουªΜεν- Λουντέμηςº Μαθηματικά Γ ΄ Ομ- Προσανατολισμού xR9] δ | Να αποδειχθεί ότι 9 ò - -<< 2 2 1 2 3 p p p dx)xEf ε | Να αποδειχθεί ότι η εξίσωση e{ )x×- 2 p < e{ )e x- ×- 2 p έχει μοναδική λύση στο {/:0|- ΕΠΑΝΑΛΗΠΤΙΚΕΣ ΠΑΝΕΛΛΗΝΙΕΣ 1/06 ΛΥΣΗ α | Για w = /: η συνάρτηση είναι συνεχής ως πολυωνυμική- Αρκεί να είναι συνεχής στο /- =+ >- )xEflim x 0 1 < e{/|- Άρα η e{w| συνεχής στο Z/:1 και παραγωγίσιμη στο {/:1|-Ικανοποιεί ΘΜΤ- β | 32120 00 =Û=+-Û=+-Û= -- >->- aa)a x x Elim)Ef)xEflim xx hm Άρα e{w| < ï ï î ï ï í ì >+- = <£-+- 023 02 0 2 3 23 xIxx xI xI x x phm - γ | · Για w = / : e ΄{w| < 2w1;5w- e ΄{w| < / Û 2w{w;1|< / Û w < / ή w < 1 · Για ; 2 p ;w ; / : e ΄{w| < {; 3+ x xhm )΄< ; 22 x xxx x xxx sunhmhmsun - = - - Θεωρώ την f{w| < ημw • wσυνw : ; 2 p ≤w ≤ / και f{/| < / g΄{w| < συν w ; συν w + wημ w < wημw = / : για κάθε ; 2 p ;w ; /- Άρα για w ; / Û f{w| ; f{/| Û f{w| ; / :συνεπώς e ΄{w| ;/- · Η e{w| δεν είναι παραγωγίσιμη στο / : είναι όμως συνεχής στο /- Το πρόσημο της παραγώγου φαίνεται στον πίνακα-
  • 86.
    Γε- Λ ΕξαπλατάνουªΜεν- Λουντέμηςº Μαθηματικά Γ ΄ Ομ- Προσανατολισμού x60] ; 2 p / 1 w +∞ e ΄{w| ; ; + e{w| Γν- Φθίνουσα Γν- Φθίνουσα Γν.Αύξουσα Ο.Ε · Το {1:;1| Ο.Ε της συνάρτησης- δ | dx)xxEdx) x x Edx)xEf 233 2 2 2 2 0 3 0 2 +-++-=ò òò - - p p hm < ò - +- 0 2 3 p hm dx) x x E - Η e{w| γνησίως φθίνουσα στο Z; 2 p : / : άρα e{Δ| < Ze{/|: e{; 2 p | < Z1: 2+ p 2 - Άρα 1 ≤ e{w| ≤2+ p 2 Þ „„„„„„- ò - -<< 2 2 1 2 3 p p p dx)xEf - ε | Η e{w| στο Z/:0 είναι συνεχής : παραγωγίσιμη στο {/:0| και γν.μονότονη : άρα 0;0- Έχω 9 e{ )x×- 2 p < e{ )e x- ×- 2 p Û { )x×- 2 p < { )e x- ×- 2 p Û x < x e- Αρκεί να δειχθεί ότι η παραπάνω εξίσωση έχει μοναδική λύση στο {/:0|- Θεωρώ την κ{w| < x e- ; x συνεχή στο Z/:0 με κ{/| < 0=/ και κ{0| < e e-1 ;/ : άρα από Θ- Μπολζάνο : έχει τουλάχιστον μια ρίζα στο {/:0|- Επίσης : κ΄{w|< ; x e- ; 0 ; / για κάθε w Î{/:0| :άρα γνησίως μονότονη στο Z/:0- 71. Δίνεται η συνάρτηση e 9 QàQ για την οποία ισχύουν 9 · είναι παραγωγίσιμη στο Q: · είναι κυρτή στο Q: · e{α|< e{β| < / : με α ; β-
  • 87.
    Γε- Λ ΕξαπλατάνουªΜεν- Λουντέμηςº Μαθηματικά Γ ΄ Ομ- Προσανατολισμού x61] Δείξτε ότι 9 α | υπάρχει μοναδικό wn ÎQ τέτοιο ώστε : e ΄{wn| < /- β | η e{w| έχει ελάχιστη τιμή στο wn: γ | e{w| ; / : για κάθε wÎ(α,β| δ | e{1/06|+ e{1/10|=1e{1/08| ε | +¥= +¥>- )xEflimx ΛΥΣΗ α | Ισχύουν οι προϋποθέσεις του Θεωρήματος του Ρολ στο Zα,β : άρα υπάρχει τουλάχιστον ένα wn Î(α,β| τέτοιο ώστε e ΄{wn| < /- Η συνάρτηση e{w| είναι ΚΥΡΤΗ άρα η e ΄{w| είναι ΓΝ- ΑΥΞΟΥΣΑ συνεπώς το wn είναι ΜΟΝΑΔΙΚΟ- β | Η απάντηση φαίνεται στον πίνακα- wο w α β e ΄΄{w| + + e ΄{w| ; + e{w| ; ; Ο.Ε γ | e{α| < / και μετά γν- φθίνουσα - Επίσης e{β| < / - Πάλι απ τον πίνακα προκύπτει ότι e{w| ; / για κάθε w Î(α,β|- δ | e{1/06|+ e{1/10|=1e{1/08| Û e{1/10| ; e{1/08| =e{1/08| ; e{1/06| Û 20172019 20172019 20192021 20192021 - - > - - )Ef)Ef)Ef)Ef {Ι| Η {Ι| προκύπτει με 1 ΘΜΤ στα Z1/06:1/08 και Z1/08:1/10 και την Κυρτότητα της e{w|- ε | Αν η e{w| είναι ΚΥΡΤΗ η Be βρίσκεται πάνω από οποιαδήποτε εφαπτομένη εκτός του σημείο επαφής- Για κάθε w = wο : η e{w| είναι γν- αύξουσα- Για w0 = β Þ e{w0| = e{β| < /-
  • 88.
    Γε- Λ ΕξαπλατάνουªΜεν- Λουντέμηςº Μαθηματικά Γ ΄ Ομ- Προσανατολισμού x62] Η εξίσωση της εφαπτομένης στο w0 είναι 9 x;e{w0|< e ΄{w0|{w;w0| Û x < + e{w0|+ e ΄{w0|{w;w0|- G e{w| είναι ΚΥΡΤΗ άρα e{w| = e{w0|+ e ΄{w0|{w;w0| για w = w0- Αλλά : +¥=+-¢ +¥>- )]xEf)xx)ExEfxlim x 111 : άρα +¥= +¥>- )xEflimx . 72. Δίνεται η συνάρτηση f{w| 9 {/: +∞|à Q : δυο φορές παραγωγίσιμη με g΄΄{w| ; / για κάθε w = / - Αν e{w| < f{w+1|+ f{1;w| και f{1| < /- Δημοσιεύτηκε στο ea την /1-/4-07 απ τον συνάδερφο Γ- Βεντούρη α | Να βρεθεί το πεδίο ορισμού της e{w|- G e{w| είναι ίση με άθροισμα σύνθετων συναρτήσεων- Θα βρώ αρχικά το πεδίο ορισμού της f{w+1| @0 < zw ÎQ.w+1=/| < {;1:+∞| Θα βρω το πεδίο ορισμού της f{1;w| @1 < zw ÎQ.1;w=/| < {;∞:1| Sn πεδίο ορισμού της e{w| είναι η τομή των Α0 : Α1- Α < {;1:1|- β | Να δειχθεί ότι η e{w| είναι άρτια- Α < {;1:1| και e{/| < f{1| + f{1| < / Για κάθε w ÎΑ και το ; w ÎΑ και e{;w| < f{;w+1|+f{1–{w||<f{1;w|+f{w+1|<e{w| γ | Να εξεταστεί η e{w| ως προς τη μονοτονία και τα ακρότατα- Η e{w| είναι παραγωγίσιμη στο Α- f΄{w| < f΄{w+1|;f΄{1;w| : e ΄{/| < f΄{1|;f΄{1| < / f΄΄{w| < f΄΄{w+1| + f΄΄{1;w| : για κάθε w Î{;1:1| Είναι : ;1 ; wÛ w + 1 = / : w ; 1 Û 1;w = / Άρα e ΄΄{w| ; / για κάθε wÎ{;1:1|
  • 89.
    Γε- Λ ΕξαπλατάνουªΜεν- Λουντέμηςº Μαθηματικά Γ ΄ Ομ- Προσανατολισμού x63] / w ;1 1 e ΄΄{w| ; ; e ΄{w| + ; e{w| Ο.Μ Απ τον παραπάνω πίνακα προκύπτει ότι 9 Ø Η e{w|είναι γν- αύξουσα στο {;1:/ Ø Η e{w|είναι γν- φθίνουσα στο Z/:1| Ø Η e{w| παρουσιαζει ολικό μέγιστο στο {/:/| δ | Να εξεταστεί η e{w| ως προς τη κυρτότητα και τα Σ.Κ Απ τον παραπάνω πίνακα προκύπτει ότι 9 Ø e{w| ΚΟΙΛΗ στο {;1:1| Ø Η e{w| δεν παρουσιάζει Σ.Κ ε | Αν -¥= >- )xEglim x 0 : να βρεθούν οι Κ.Α της e{w|- Αναζητώ τις Κ.Α της e{w| στο ;1 και στο 1- )xEg)xEg))xEg)xEgE)xEf limlimlimlim xxxx -++=-++= ++++ ->-->-->-->- 2222 2222 Υπάρχουν τα επιμέρους όρια : συγκεκριμένα 9 -¥==+ >-->- )uEg)xEg limlim ux 02 2 Και )Eg)uEg)xEg limlim ux 42 42 ==- >-->- μιας και η είναι συνεχής στο {/:+∞|- Άρα -¥=+ ->- )xEflim x 2 : άρα η w < ;1 Κ.Α της e{w|- Ομοίως -¥=- +>- )xEflim x 2 : άρα η w < +1 Κ.Α της e{w|- στ | Αν 2<a : να δειχθεί ότι 9 ò ò - + - = a a a a dx)xEgdx)xEf 2 2 2 α = 1 Û α • 1 = / ΚΑΙ ;1 ; α Û α + 1 = / -
  • 90.
    Γε- Λ ΕξαπλατάνουªΜεν- Λουντέμηςº Μαθηματικά Γ ΄ Ομ- Προσανατολισμού x64] Η e{w| είναι άρτια στο {;1:1| άρα 9 ò ò - = a a a dx)xEfdx)xEf 0 2 Είναι 9 òòò ò -++=-++= aaa a dx)xEgdx)xEgdx))xEg)xEgEdx)xEf 000 0 22222222 <1 ò +a du)uEg 2 2 +1 ò - - a )du)EuEg 2 2 <1 ò +a du)uEg 2 2 ;1 ò -a du)uEg 2 2 < < ò + - a a dx)xEg 2 2 2 . 73. Δίνονται οι συναρτήσεις e{w| < 2+x : f{w| < 3 4+x - α | Να βρεθούν τα κοινά σημεία τους και η σχετική τους θέση- β | Να εξετάσετε αν η e παραγωγίζεται στο ;1 και στη συνέχεια να μελετηθεί ως προς τη μονοτονία • ακρότατα • κοίλα και σύνολο τιμών- γ | Να γίνει η γρ- παράσταση της e- δ | Να βρεθεί το εμβαδόν που περικλείεται απ τις Be : Bf- ε | Να εξετάσετε αν ορίζεται η e;0 και να βρεθεί μαζί με το πεδίο ορισμού της- στ | Να χαράξετε τις γρ- παραστάσεις των Be : Be ;0 - 74. Δίνονται οι συναρτήσεις e{w| < km{w1+0| : f{w| 9QàQ με f{/| < / και g΄{w| < 1 1 2 +x για κάθε wÎQ- α | Μονοτονία-Ακρότατα-Κοίλα-Σ.Κ της e{w|- β | Έχει ασύμπτωτες η e{w|: να γίνει χάραξη της- γ | Να αποδειχθεί ότι για κάθε α : βÎ Q : ισχύει 9 b b -£ + + a a ln 1 1 2 2 - δ | Να υπολογιστεί το ολοκλήρωμα 9 Ι < ò 1 0 dx)xExf ε | Να αποδειχθεί ότι το εμβαδόν Ε του χωρίου που περικλείεται απ τους άξονες : την e{w| και την ευθεία w < 0 είναι ίσο με Ε < 1 f{0| +km1;1- στ | Να δειχθεί ότι η g{w| < f{w| + f{ x 1 | είναι σταθερή στο {/:+∞|- ζ | Να δειχθεί ότι : f{εφw| < w : για κάθε w Î{; 22 pp I |-
  • 91.
    Γε- Λ ΕξαπλατάνουªΜεν- Λουντέμηςº Μαθηματικά Γ ΄ Ομ- Προσανατολισμού x6R] 75. Δίνεται η συνάρτηση e{w| < x x hm : w ÎΔ < {/:π|- α | Να δειχθεί ότι η φ{w| < w • 1ημxσυνw + wσυν1w : είναι θετική στο Δ- Υπόδειξη 9 Είναι δευτεροβάθμια ως προς συν1w : βρείτε τη Δ- β | Να δείξετε ότι : e ΄΄{w| < x )xE 3 hm j και η e{w| είναι κυρτή- Να βρεθούν οι ασύμπτωτες της- γ | Εξετάστε τη μονοτονία • ακρότατα της e{w|- Να βρεθεί το σύνολο τιμών της και να γίνει η γραφική της παράσταση- δ | Να δειχθεί ότι 9 ) xx E x - + + = - 1 1 1 1 2 1 1 1 2 ε | Να υπολογιστεί το ολοκλήρωμα 9 I < ò 3 2 3 1 p p hm dx x στ | Να δείξετε ότι 9 ò 3 2 3 p p dx)xEf < 2 p ò 3 2 3 p p dx x )xEf <π¶km 3 Δημοσιεύτηκε στο ea την /3-/5-07 απ τον συνάδερφο Lπ- Στεργίου ΛΥΣΗ α | φ{w| < w • 1ημxσυνw + wσυν1w < w¶συν1w • 1ημw¶συνw + w : w ÎΔ Η φ{w| είναι δευτεροβάθμια της μορφής α w1 + β w+γ : όπου α=γ<w : β < ;1ημ w Είναι Δ < 3ημ1 w • 3 w1 < 3{ημ1 w • w1| ; / : μιας και ημw ; w για κάθε w =/- Συνεπώς η φ{w| είναι ομόσημη του α < w = / : άρα φ{w| = / για κάθε w ÎΔ- β | e ΄{w| < x xxx 2 hm sunhm - : e ΄΄{w| < { x xxx 2 hm sunhm - )΄ < „„„--< x )xE 3 hm j στο Δ είναι e ΄΄{w| = / άρα η e{w| είναι ΚΥΡΤΗ στο Δ- Αναζητώ Κ.Α στα / και π- 1 1 000 === +++ >->->- x xx x )xEf limlimlim xxx hmhm : άρα η w < 0 όχι Κ.Α +¥== -- >->- x x )xEf limlim xx hmpp : συνεπώς η w < π είναι Κ.Α
  • 92.
    Γε- Λ ΕξαπλατάνουªΜεν- Λουντέμηςº Μαθηματικά Γ ΄ Ομ- Προσανατολισμού x66] γ | e ΄{w| < x xxx 2 hm sunhm - : θεωρώ την f{w| < ημw • wσυνw : w ÎΔ Είναι συνεχής και παραγωγίσιμη και f ΄{w| < συνw • συνw + wημw < wημw = / για κάθε w ÎΔ- Επίσης f{/| < / : άρα w ÎΔ Û /; w ;π Û f{/| ; f{w| ; f{π| Û / ; f{w| ; π : άρα f{w| = / : άρα e ΄{w| = / για κάθε w ÎΔ Þ e{w| γν.αύξουσα στο Δ και δεν έχει Ακρότατα- e{Δ| < { )xEflim x + >- 0 : )xEflim x - >- p | < {0 : +∞| δ | 2222 111 1 111 1 x x)ABEBA x BxBAxA xx B x A x - -++ = - ++- = - Û - + + = - Û Α+Β < 0 και Β-Α < / Û Α=Β < 2 1 : άρα ) xx E x - + + = - 1 1 1 1 2 1 1 1 2 - ε | I < ò 3 2 3 1 p p hm dx x < òòò - ¢ = - ¢- = 3 2 3 2 3 2 3 2 3 2 3 2 11 p p p p p p sun sun sun sun hm hm dx x )xE dx x )xE dx x x Θέτω t < συνw : ct < {συνw|΄cw : w < 3 p : t < 2 1 και w < 3 2p : t <; 2 1
  • 93.
    Γε- Λ ΕξαπλατάνουªΜεν- Λουντέμηςº Μαθηματικά Γ ΄ Ομ- Προσανατολισμού x67] Άρα : I < ....]uxln]uxlndu) uu Edu u =--+= - + + = - ò ò - - -- 2 1 2 1 2 1 2 1 2 1 2 1 2 1 2 12 1 2 1 1 2 1 1 1 1 1 2 1 1 1 <km2- στ | Καταρχήν 9 2 p ò 3 2 3 p p dx x )xEf < 2 p ò === 3 2 3 3 22 1 p p pp hm lngdx x π¶km 3 - ò 3 2 3 p p dx)xEf : θέτω w < π • t : cw < ;ct : w < 3 p : t < 3 2p και w < 3 2p : t < 3 p Άρα Ι < ò 3 2 3 p p dx)xEf < fgdu u u du)uEf -= - =- òò p hm p p p p p p 3 2 3 3 2 3 Û 2Ι < πI Û H < 2 p ò 3 2 3 p p dx x )xEf < π¶km 3 - 76. Έστω η παραγωγίσιμη συνάρτηση e 9 {/:+∞|àQ για την οποία ισχύει 9 {w1; w|¶e ΄{w| + w¶e{w| < 0 : για κάθε w =/ α | Να αποδειχθεί ότι 9 e{w| < ï ï î ï ï í ì = ¹< - 11 10 1 xI xI x xln β | Να αποδείξετε ότι 9 ò ò= a a dt t )tEf dt)tEf 1 1 1 : για κάθε α = /- γ | Αν η f είναι αρχική της e{w| με f{0| < / : να αποδείξετε ότι η f είναι κοίλη -
  • 94.
    Γε- Λ ΕξαπλατάνουªΜεν- Λουντέμηςº Μαθηματικά Γ ΄ Ομ- Προσανατολισμού x68] δ | Αν Ε το εμβαδόν του χωρίου που περικλείεται απ την γρ- παράσταση της f τον ww΄ και την ευθεία w < 2: να αποδειχθεί ότι Ε ; 1- Υπόδειξη 9 Χρησιμοποιήστε την κυρτότητα της f και την εφαπτομένη της στο {0:/|- ε | Αν Η αρχική της g{s| < s¶e{s| : s = / και α = / : να αποδείξετε ότι 9 α¶{f{α|; f { a 1 || ≥ Η(α|;Η{ a 1 |- Υπόδειξη 9Περιπτώσεις για το α- ΕΠΑΝΑΛΗΠΤΙΚΕΣ ΠΑΝΕΛΛΗΝΙΕΣ 1/04 • Θέμα Δ 77. Δίνεται η παραγωγίσιμη e 9 QàQ με e{/| < 0 και την ιδιότητα 9 e ΄{w|¶{w1+0|+ w¶e{w| < 0 +1w¶{w+ 12 +x | : w ÎQ α | Να αποδείξετε ότι η συνάρτηση f 9 QàQ με f{w| < 12 +x ¶e{w| ; w 12 +x ; w1 • 0 είναι σταθερή και ότι e{w| < w + 12 +x : wÎQ- β | Να μελετηθεί η e{w| ως προς τη μονοτονία και τα ακρότατα : το σύνολο τιμών της και το πλήθος των ριζών της εξίσωσης 9 12 +x < 1/07 • w- γ | Να μελετηθεί η e{w| ως προς τα κοίλα : να βρεθούν οι ασύμπτωτες και να γίνει η χάραξη της- δ | Αν E είναι αρχική της e{w| να λυθεί η εξίσωση 9 E{1w|+E{2w| <E{3w|+ E{4w| ε | Να αποδειχθεί ότι η e{w| αντιστρέφεται και ότι η αντίστροφη της είναι η e ;0{w| < x x 2 12 - - στ | Να λυθεί η εξίσωση 9 xxxxx e)ee)EeeE ----- =-+++ 22422 111 Υπόδειξη 9 Διαίρεσε όλους με d1;w- Προτείνεται απ τον συνάδερφο Lπ- Στεργίου για τις Πανελλήνιες 1/07; Δ Θέμα 78. Δίνεται η συνάρτηση e{w| < w2+ w + 0 : w Î Q- α | Να αποδειχθεί ότι αντιστρέφεται και να βρεθεί το πεδίο ορισμού της e;0- β | Να μελετήσετε τη μονοτονία και τα ακρότατα της e;0-
  • 95.
    Γε- Λ ΕξαπλατάνουªΜεν- Λουντέμηςº Μαθηματικά Γ ΄ Ομ- Προσανατολισμού x69] γ | Να λυθεί η ανίσωση 9 e;0{w| ≥ w : w Î Q- δ | Να υπολογιστεί το πρόσημο της e;0- ε | Να υπολογίσετε τους αριθμούς e;0{;0| : e;0{0|- στ | Να υπολογιστεί το όριο 9 )yEflim y 1 11 - >- ζ | Να υπολογιστεί ο ρυθμός μεταβολής της w < e;0{x| ως προς x για x<0- η | Να βρεθεί το εμβαδόν του χωρίου που περικλείεται μεταξύ των e : e;0 και των ευθειών w < ;0 : w < 0- Γενική Άσκηση των συναδέρφων Μ.Χατζόπουλου-Β.Κακαβά-Θ.Ποδηματά-Α.Πάτση Η λύση της είναι ΕΔΩ 9 gsso9..khr`qh-aknfrons-bnl.1/07./5.aknf;onrs-gslk 79. Δίνεται η e{w| < w ; I x2 4 w * oÎ - α | Να μελετηθεί ως προς τη μονοτονία • ακρότατα β | Να μελετηθεί ως προς την κυρτότητα • Σ.Κ γ | Να βρεθούν οι ασύμπτωτες της γρ- παράστασης της e{w|- δ | Να σχεδιαστεί η γρ- παράσταση της e{w|- ΠΑΝΕΛΛΗΝΙΕΣ 1/07 • Θέμα Β Οι λύσεις ΕΔΩ 9 gsso9..aknfr-rbg-fq.hnqc`mhrjnr.`qbghudr.0575 80. Δίνεται η e{w| < 2 2 xe ax -- : w Î Q με α = 0- α | Να αποδειχθεί ότι για κάθε α = 0 η γρ- παράσταση της e{w| έχει ακριβώς ένα σημείο καμπής- β | Να αποδειχθεί ότι υπάρχουν μοναδικά w0 : w1 Î Q με w0 ; w1 τέτοια ώστε η e{w| να παρουσιάζει Τ.Μ στο w0 και Τ.Ε στο w1 - γ | Να αποδειχθεί ότι e ΄{0| ; / για κάθε α = 0- δ | Να αποδειχθεί ότι η εξίσωση 9 e{w| < e{0| είναι αδύνατη στο διάστημα {α: w1 |- ε | Να βρεθεί η εξίσωση της εφαπτομένης της e{w| στο {1: e{1||- στ | Να υπολογιστεί το ολοκλήρωμα 9 ò -- 3 2 222 dx)xEx - ζ | Να αποδειχθεί ότι 9 ò ->- 3 2 15 32 2dxx)xEf ΠΑΝΕΛΛΗΝΙΕΣ 1/07 • Θέμα Δ Οι λύσεις ΕΔΩ 9 gsso9..aknfr-rbg-fq.hnqc`mhrjnr.`qbghudr.0575
  • 96.
    Γε- Λ ΕξαπλατάνουªΜεν- Λουντέμηςº Μαθηματικά Γ ΄ Ομ- Προσανατολισμού x70] ΠΗΓΕΣ ΑΣΚΗΣΕΩΝ 1. Πανελλαδικές Εξετάσεις • Επαναληπτικές Πανελλήνιες • Τέκνων του Εξωτερικού- 2. Ενδοσχολικές Εξετάσεις Γε.Λ Εξαπλατάνου : σχολικά έτη 03;04 : 04;05- 3. Μαθηματικά Γ΄ Λυκείου: Επαναληπτικά Θέματα στα Πρότυπα του Σχολικού Βιβλίου: Ν.Ζανταρίδης-Π.Παντούλας-Β.Μαυροφρύδης-Κ.Τηλέγραφος: Εκδόσεις Ζανταρίδης Τηλέφραφος: Μάρτιος 1/06- 4. Επανάληψη στα Μαθηματικά : Γιάννης Καραγιάννης Σχολικός Σύμβουλος Μαθηματικών: Μάρτιος 1/06- 5. 1ο Διαγώνισμα Προσομοίωσης Πανελληνίων 1/06 : Γιάννης Καραγιάννης Σχολικός Σύμβουλος Μαθηματικών: Μάϊος 1/06- 6. vvv-rstcx3dw`lr-fq. Προσπελάστηκε /5-/3-06 7. Επιλεγμένα Θέματα ΕΜΕ- 8. Επιλεγμένες Ασκήσεις Προετοιμασίας: Άσκηση Εβδομάδας: Γε- Λ Γιαννιτσών : σχολικό έτος 04;05 : gsso9..dhr`snonm-aknfrons-fq.- 9. Μαθηματικά Θετικής και Τεχνολογικής Κατεύθυνσης Γ0 : Β- Παπαδάκης : Εκδόσεις Σαββάλας : 1//8- 10.Μαθηματικά Θετικής και Τεχνολογικής Κατεύθυνσης Γ : τεύχος Β΄ : Αθανάσιος Χ- Μπάρλας : Εκδόσεις Ελληνοεκδοτική : 1/02- 11.Αναλύοντας την Ανάλυση : Γιώργος Τσαπακίδης : Εκδόσεις Μαυρίδη: 1/06- 12.Οδηγός Επανάληψης: Μαθηματικά Γ΄ : Μπ.Στεργίου-Χρ.Νάκης: Μαθηματική Λέσχη: Ιανουάριος 1/07- 13.Προτεινόμενες ασκήσεις συναδέρφων: Ομάδες Μαθηματικών ea: σχολικά έτη 06;07: 07;08-