ANALISA DERET BERKALA
• Peramalan adalah sebuah alat
utama untuk membuat keputusan
dari setiap proses (pekerjaan)
yang dibuat.
2
• Analisa ini digunakan untuk
berbagai macam keperluan, dari
menentukan bahan yang
diperlukan untuk memproduksi di
toko makanan rumahan sampai
meramalkan hasil penjualan
tahunan dari PT. Krakatau Steel.
3
• Kualitas dari cara peramalan
dapat menguatkan informasi yang
dapat digali dengan
menggunakan data masa lalu.
4
• Analisa Deret Berkala adalah
sebuah metoda kuantitatif yang
dapat kita gunakan untuk
menentukan pola dari data yang
terkumpul beberapa waktu
dimasa lalu.
5
6
• Seorang pimpinan harus dapat
meramalkan bagaimana volume penjualan
tahun depan, bagaimana keadaan
perniagaan bergerak dari bulan ke bulan
atau dari tahun ke tahun. Misalnya berapa
banyak barang harus diproduksi untuk
tahun depan, tentang harga bahan-bahan
baku, harga barang-barang jadi yang
dihasilkan, situasi pasaran barang,
keperluan pegawai dan lain sebaginya.
Tabel dibawah ini adalah sebuah contoh
dari data deret berkala :
Tahun Minyak Mentah
(barrel)
1996
1997
1998
1999
2000
2001
2002
2003
2004
485.573,80
484.340,60
480.109,70
440.461,60
434.368,80
432.588,00
351.949,60
339.100,00
354.351,90
7
8
• DefinisiDefinisi:: adalah sekumpulan hasil
pengamatan terhadap suatu variabel yang
diatur dan didapat menurut kronologis,
biasanya dalam interval waktu yang sama.
• Contoh lainContoh lain: penjualan mingguan barang
x, produksi bulanan di seluruh industri,
produksi tahunan biji besi di Indonesia
dlsb.
Analisa deret berkala digunakan
untuk menemukan pola
perubahan dalam bentuk
informasi statistic sampai
melewati jarak waktu yang ada.
9
Juga akan kita rancang pola ini
untuk memperoleh sebuah
peramalan untuk masa yang akan
datang.
10
11
• Umumnya peneliti merasa puas
jika 85% atau 90% hasil ramalan
terjadi, walaupun ia menginginkan
lebih tinggi. Yang jelas tidak
akan/jarang tercapai hasil
ramalan tepat 100%.
12
• Data deret waktu dipengaruhi oleh
berbagai faktor, misalnya: bencana alam,
selera konsumen, manusia, musim,
kebiasaan dlsb. Karena banyaknya faktor-
faktor yang mempengaruhi, maka analisa
sangat berat dan praktis tidak mungkin
untuk menjelaskan pengaruh setiap faktor
satu demi satu.
13
• Analisa klasik biasanya hanya membahas
pemecahan data deret waktu menjadi 4
faktor yang seakan-akan independen satu
dengan yang lainnya dan dianggap
penga-ruhnya dapat menjelaskan
keseluruhan, yaitu:
14
1. Gerakan yang berjangka panjang, lam-
ban berkecenderungan menuju ke satu
arah, naik atau turun disebut Trend Se-
kuler.
• Nilai dari variable cenderung untuk naik
atau turun selama periode yang panjang
• (Trend sekuler, Long term Variation ,
TS ).
15
1. TREND
Data
DB
Trend
waktu
16
2. Ayunan sekitar trend yang bersifat musi-
man serta kurang lebih teratur, disebut
Variasi Musim.
• Variasi musim memiliki pola perubahan
dalam satu tahun dan cenderung
berulang setiap tahunnya.
• (Variasi Musim , Seasonal Movement
,Vm).
17
2. VARIASI MUSIM
Data
variasi musim
waktu (bln)
18
Variasi musim terkait dengan perubahan
atau fluktuasi dalam musim-musim atau
bulan tertentu dalam 1 tahun.
Produksi Padi Permusim
0
10
20
30
I-
98
II-
98
III-
98
I-
99
II-
99
III-
99
I-
00
II-
00
III-
00
I-
01
II-
01
III-
03
Triwulan
Produksi(000ton)
Pergerakan Inflasi 2002
0
0,5
1
1,5
2
2,5
1 2 3 4 5 6 7 8 9 10 11 12
Bulan
Inflasi(%)
Indeks Saham PT. Astra Agro
Lestari, Maret 2003
0
50
100
150
03 05 13 14 22
Tanggal
Indeks
Variasi Musim Produk
Pertanian
Variasi Inflasi Bulanan Variasi Harga Saham
Harian
19
3. Berjangka lebih panjang dan agak lebih
tidak teratur, disebut Variasi Sikli
• Perubahan dari siklis agak lebih tidak
teratur.
• (Variasi Sikli, Konjungtur, Cyclical
Variation, VS).
20
3. VARIASI SIKLI
Data
Sikli
waktu
21
Peak (Puncak)
Business Cycle
Resesi
Depresi
Revival (Pemulihan)
22
4. Gerakan yang tidak teratur sama sekali
dan yang terkenal dengan nama Variasi
Random atau Residu
• Dalam beberapa situasi, nilai dari variasi
sama sekali tidak dapat diramalkan,
perubahannya random.
• (Irregular , Residu, Komponen tidak
beraturan , R ).
23
4. VARIASI RANDOM
• Variasi Random (Residu), sifatnya tidak
teratur dan sukar dikuasai umumnya gera-
kan ini disebabkan oleh faktor kebetulan,
misalnya disebabkan oleh peperangan,
banjir, gempa bumi, perubahan politik, pe-
mogokan dsb. Akibatnya dapat mempenga-
ruhi kegiatan perdagangan, perindustrian
dll sehingga gerak ini sukar dilukiskan
dalam suatu model.
24
Hubungan antara ke 4 komponen ini
berbeda-beda, beberapa ahli sampai saat
ini belum sependapat apakah hubungan-
nya multiplikatif atau additif atau kombina-
si lainnya dan mungkin ada komponen
lain.
25
1. Model Multiplikatif/ Model Perkalian
Db = Ts . Vs . Vm . R
Hasil bulanan dianggap sebagai produk
dari ke 4 faktor.
Untuk data tahunan gerak musiman
tidak tercerminkan, jadi
Db = Ts . Vs . R
Jika Ts . Vs .R/ Ts = Vs . R → pengaruh
siklis dan residu.
Jika digunakan metoda rata-rata bebe-
rapa Vs . R akan dihasilkan gerak Vs
26
2. Model Aditif/ Model Pertambahan
Db = Ts + Vs + Vm + R
Data deret waktu merupakan hasil pen-
jumlahan pengaruh Ts , Vs , Vm dan R
• Dan untuk analisa selanjutnya kita mela-
kukan asumsi bahwa deret berkala meru-
pakan hasil perkalian dari komponen-
komponennya.
I. TREND SEKULER
• Trend Sekuler menunjukkan gerakan
berjangka panjang. Satu cara untuk
menjelaskan komponen trend adalah
dengan menggabungkan sekumpulan titik-
titik dalam sebuah grafik.
27
Mengapa harus mempelajari
Trend
Terdapat 3 alasan mengapa perlu
mempelajari trend sekuler
28
1. Mempelajari trend sekuler
membuat kita dapat
menjelaskan pola dari kejadian
masa lalu.
29
2. Mempelajari trend sekuler
membuat kita dapat
mencanangkan pola masa lalu ,
atau trendnya untuk waktu yang
akan datang.
30
3. Dalam beberapa situasi,
mempelajari trend sekuler dari
deret berkala membuat kita
dapat melenyapkan komponen
trend dari data berkala.
31
32
1. TREND
Tehnik menghitung serta penerapan garis trend
pada gerakan sekuler
1. Metode penarapan garis linear secara bebas
2. Metode Setengah Rata-rata (Semi Average
Method)
3. Metode penerapan garis trend secara
matematis
4. Metode Kuadrat Minimum/Kuadrat Terkecil
(Least Square Method)
5. Metode Rata-rata Bergerak/Rata-rata Berpindah
(Moving Average Method)
33
1. TREND
1. Metode penarapan garis linear secara bebas
Data
Y = f ( t )
. . ..
. . .
.. .
waktu
34
1. TREND
2. Metode Setengah Rata-rata (Semi Average
Method)
Yt = a0 + b t
Yt adalah nilai trend pada periode tertentu
a0 adalah nilai trend pada periode dasar
b adalah pertambahan/ pengurangan trend
tahunan secara rata-rata
t adalah jumlah unit tahun yang dihitung dari
periode dasar
35
1. TREND
Untuk data yang ganjil
• Jumlah deret berkala dikelompokkan
menjadi dua bagian yang sama dengan
cara memasukkan tahun dan nilai terte-
ngah kedalam tiap kelompok.
• Jumlah deret berkala dikelompokkan
menjadi dua bagian yang sama dengan
jalan menghilangkan tahun dan nilai
tertengah.
36
1. TREND
3. Metode penerapan garis trend secara
Matematis.
Persamaan Yt = a0 + b t
Persamaan Normal
Σ Y = na + b Σ X
Σ YX = a Σ X + b Σ X2
37
1. TREND
4. Metode Kuadrat terkecil (Least Square
Method)
Persamaannya : Yt = a0 + b t atau
Y’ = a + b x
dann
Y
a
∑=
∑
∑= 2
X
XY
b
38
1. TREND
Ekstrapolasi
• Secara teknis ekstrapolsi berarti
menaksir nilai yang sebetulnya terletak
diluar batas nilai-nilai yang digunakan
sebagi dasar perumusan persamaan
trend pada umumnya.
39
1. TREND
Meskipun ekstrapolasi berguna sekali bagi
pemimpin perusahaan, tetapi sifatnya
sangat spekulatif dan harus diberi inter-
pretasi secara hati-hati. Karena selama
kurun waktu penaksiran pertumbuhan
ekonomi daerah, perkembangan pasar,
perubahan pola konsumsi, kegoncangan
politik dlsb dapat mempengaruhi per-
kembangan fenomena ekonomi dimasa
yang akan datang.
40
1. TREND
5. Metode Rata-rata Bergerak (Moving
Average Method)
• Didalam cara ini kita tidak mendapatkan
persamaan trendnya akan tetapi kita ha-
nya dapat menentukan nilai-nilai trendnya.
• Metode ini sering digunakan untuk meng-
ratakan deret berkala yang bergelombang
41
1. TREND
5. Metode Rata-rata Bergerak (Moving
Average Method)
• Menghitungnya dari rata-rata bergerak
beberapa tahun secara berturut-turut
atas dasar jumlah tahun yang tertentu.
Metode ini tidak memberi ketentuan ten-
tang jumlah tahun yang harus digunakan
sebagai dasar pengrata-rataan. Makin
banyak jumlah tahun yang digunakan
makin rata bentuk kurva yang diperoleh
dan makin intensif kita mengisolasikan
fluktuasi Musim (Vm), Residu ( R ) dan
Sikli (Vs).
42
1. TREND
5. Metode Rata-rata Bergerak (Moving
Average Method)
• Metode ini dibedakan atas dasar jumlah
tahun yang digunakan untuk mencari
rata-ratanya.
• Bila kita gunakan 3 tahun sebagai dasar
rata-rata bergerak, tehnik tersebut dina-
makan rata-rata bergerak per 3 tahun
43
2. VARIASI MUSIM
• Fluktuasi sekitar trend yang berulang
secara teratur tiap-tiap tahun disebut
variasi musim (seasonal variation).
Variasi ini dapat disebabkan oleh faktor
alami maupun institusional dan
membawa pengaruh terhadap pola itu
sendiri.
44
2. VARIASI MUSIM
• Pola tersebut sangat berguna bagi
perencanaan produksi, penggunaan
tenaga kerja dalam jangka pendek.
Selain itu pola Vm dapat digunakan bagi
dasar kebijakan pimpinan perusahaan
dalam mengatur diversifikasi produk dan
kegiatan produksi.
45
2. VARIASI MUSIM
• Per definisi :
Db = Ts . Vs . Vm . R
• Untuk memperoleh Vm , maka harus
mengisolasikan Ts , Vs dan R dari Db.
Pengisolasian tersebut akan menghasil-
kan Vm yang dapat digunakan sebagai
dasar penyusunan indeks musim
(seasonal indices).
46
2. VARIASI MUSIM
• Vm dari data bulanan terdiri dari 12 ang-
ka indeks yang menggambarkan gera-
kan musim tiap-tiap bulan dalam bentuk
indeks.
• Pembentukan indeks tersebut hendak-
nya menggunakan rata-rata bulanan da-
ri beberapa tahun agar dapat menghi-
langkan fluktuasi Ts dan Vs .
47
2. VARIASI MUSIM
• Indeks yang diperoleh merupakan
indeks yang menggambarkan gerakan
rata-rata tiap bulan sebegai persentase
dari gera-kan rata-rata semua bulan
yang diikut sertakan dalam penyusunan
indeks.
48
2. VARIASI MUSIM
Ada 3 cara untuk memperoleh Vm yaitu:
1. Metode rata-rata sederhana (cara %
rata-rata)
2. Metode % dari trend (falkners method/
cara perbandingan dari trend)
3. Metode rasio terhadap rata-rata bergerak
(cara % rata-rata bergerak atau cara
perbandingan terhadap rata-rata
bergerak).
49
2. VARIASI MUSIM
Ada 3 cara untuk memperoleh Vm yaitu:
1. Metode rata-rata sederhana (cara %
rata-rata)
• Secara sederhana metode ini bertujuan
guna menghilangkan gerakan Vs dan R,
baru kemudian menghilangkan Ts untuk
memperoleh Vm .
50
2. VARIASI MUSIM
Ada 3 cara untuk memperoleh Vm yaitu:
1. Metode rata-rata sederhana (cara %
rata-rata)
Rumusnya:
n adalah jumlah tahun
( )
s
mss
T
n
RVVT
−
...
51
2. VARIASI MUSIM
Ada 3 cara untuk memperoleh Vm yaitu:
2. Metode % dari trend (falkners method/
cara perbandingan dari trend)
52
2. VARIASI MUSIM
Ada 3 cara untuk memperoleh Vm yaitu:
3. Metode rasio terhadap rata-rata
bergerak (cara % rata-rata bergerak atau
cara perbandingan terhadap rata-rata
bergerak).
• Hingga saat ini cara ini merupakan cara
yang dianggap memuaskan
dibandingkan dengan ketiga cara
lainnya.
53
2. VARIASI MUSIM
Ada 3 cara untuk memperoleh Vm yaitu:
3. Metode rasio terhadap rata-rata
bergerak (cara % rata-rata bergerak atau
cara perbandingan terhadap rata-rata
bergerak).
• Rata-rata bergerak untuk data bulanan,
dihitung jumlah rata-rata bergerak 12
bulan.
• Rata-rata bergerak untuk data kuartalan,
dihitung jumlah rata-rata bergerak 4
bulanan.
54
3. GERAKAN SIKLI DAN RESIDU
• Pengertian sikli sebetulnya variasi dari Db
yang meliputi periode lebih dari 1 tahun.
Pola sikli sedemikian itu paling sukar diter-
ka. Lama dan amplitudo sikli tidak pernah
sama. Rangkaian ayunannya memang
berulang kali, tetapi sifatnya tidak pernah
periodik. Lama Vs bervariasi dari periode
yang meliputi beberapa tahun hingga
periode yang meliputi 10 bahkan 12
tahun.
55
3. GERAKAN SIKLI DAN RESIDU
• R atau variasi random merupakan jenis
fluktuasi yang disebabkan oleh faktor-
faktor random atau sebab-sebab khusus
yang sporadis. Variasi ini sukar ditaksir
meskipun gerakannya menimbulkan vari-
asi dari periode ke periode. R acapkali
dapat dianggap hanya sebagai bagian
dari Vs dan Vm.
56
3. GERAKAN SIKLI DAN RESIDU
Pengukuran Vm.
Db umumnya terdiri dari dua komponen yaitu Ts
dan Vs
Bila data tahunan maka Vm tidak akan nampak
R merupakan gerakan yang tidak reguler yg
memiliki pengaruh yang bersifat jangka
pendek jika ditinjau dari sudut periode ta-
hunan sehingga pengaruhnya bertendensi
saling meniadakan selama setahun.
57
3. GERAKAN SIKLI DAN RESIDU
Pengukuran Vs.
Jika ditinjau dari data tahunan, nilai Ts da-
pat dianggap sebagai normal, yaitu per-
tumbuhan tahunan yang normal jika tidak
terdapat pengaruh Vs.
Dengan perkataan lain, Vs dapat dianggap
sebagai deviasi dari Ts .
Sehingga pemisahannya adalah dengan
jalan membagi Db dengan Ts hasilnya
relatif sikli (Cyclical Relatives).
58
3. GERAKAN SIKLI DAN RESIDU
% deviasi relatif sikli yaitu:
1001 ×





−
s
b
T
D
59
3. GERAKAN SIKLI DAN RESIDU
% deviasi residu sikli yaitu:
100×
−
s
sb
T
TD
60
3. GERAKAN SIKLI DAN RESIDU
Cara menentukan gerakan Sikli (Vs).
• Karena Vm untuk data tahunan tidak ada,
persamaan Db = Ts .Vs . R jika persama-
an tersebut kita bagi dengan Ts hasilnya
adalah Vs . R
• Untuk mengukur pengaruh gabungan dila-
kukan pembagian antara nilai sebenarnya
dengan nilai trend untuk tahun ybs.
Hasilnya dinyatakan dalam %.
61
3. GERAKAN SIKLI DAN RESIDU
• Persen dari pada trend adalah:
• Hasilnya dinyatakan sebagai % dari pada
nilai trend.
=× %100'
Y
Yi
RV
T
RVT
Y
Y
s
s
ssi
.
..
'
==∴
62
63
A. Tabel dibawah ini adalah tentang jumlah
pelanggan salah satu alat komunikasi di
Indonesia yaitu PT “XYZ” dari tahun
2005 – 2010
64
Tahun Jumlah Pelanggan
(dalam juta)
2005
2006
2007
2008
2009
2010
4,2
5,0
5,6
6,1
6,7
7,2
Pertanyaannya :
1. Tentukan persamaan trend dari pelanggan
PT. “XYZ” dengan metode:
a. Metode Penerapan Garis secara bebas
b. Metode Setengah Rata – rata
c. Metode Matematis
d. Metode Kuadrat Terkecil
e. Metode Rata – rata Bergerak
65
2. Tentukan jumlah pelanggan PT ”XYZ”
pada tahun 2014.
3. Rubahlah persamaan trendnya menjadi
bulanan dgn thn dsr 2006
4. Rubahlah persamaan trend (1) menjadi
- trend semesteran dengan waktu dasar
semester I
- trend triwulan dengan waktu dasar
triwulan II
- trend bulanan dengan waktu dasar 15
Juli 2004
66
5. Lakukan peramalan utk tahun 2014
dari jawaban 4
67
1. a. Metode Penerapan Garis secara bebas
68
69
1.b. Metode Setengah Rata-rata (Semi
Average Method)
a. Kasus jumlah data genap dan komponen
kelompok ganjil
70
Tahun Jumlah
Pelanggan
(juta)
2005
2006
2007
2008
2009
2010
4,2
5,0
5,6
6,1
6,7
7,2
71
Tahun Jumlah
Pelanggan
(juta)
Semi
Total
2005
2006
2007
2008
2009
2010
4,2
5,0
5,6
6,1
6,7
7,2
14,80
20,0
72
Tahun Jumlah
Pelanggan
(juta)
Semi
Total
Setengah
Rata-rata
2005
2006
2007
2008
2009
2010
4,2
5,0
5,6
6,1
6,7
7,2
14,80
20,0
4,93
6,67
73
Tahun Jumlah
Pelanggan
(juta)
Semi
Total
Setengah
Rata-rata
Nilai X
Tahun dsr 2006
2005
2006
2007
2008
2009
2010
4,2
5,0
5,6
6,1
6,7
7,2
14,80
20,0
4,93
6,67
-1
0
1
2
3
4
74
4,93 adalah nilai trend jumlah pelanggan
Telkom periode dasar 30 Juni 2006
6,67 adalah nilai trend jumlah pelanggan
Telkom periode dasar 30 Juni 2009
75
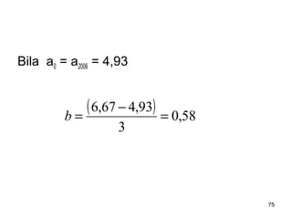
Bila a0 = a2006 = 4,93
( ) 58,0
3
93,467,6
=
−
=b
76
Yt = 4,93 + 0,58 t
Tahun dasar 30 Juni 2006
Unit t : 1 tahun
Yt : jumlah pelanggan PT ”XYZ” per tahun
Yt = 6,67 + 0,58 t
Tahun dasar 30 Juni 2009
Unit t : 1 tahun
Yt : jumlah pelanggan PT ”XYZ” per tahun
• 0.58 = rata2 peningkatan jumlah
pelanggan “XYZ” pertahun selama 2005-
2010
• 4.93 = jumlah pelanggan pada tanggal 30
juni 2006
77
78
maka nilai trend awal tahun 2006 adalah
Yt = 4,93 + 0,58 ( – ½ ) = 4,64
maka nilai trend awal tahun 2009 adalah
Yt = 4,93 + 0,58 (2 ½ ) = 6,38
Bila a0 = a2009 = 6,67
maka nilai trend awal tahun 2009 adalah
Yt = 6,67 + 0,58(– ½ ) = 6,38
79
1.b. Metode Setengah Rata-rata (Semi
Average Method)
b. Kasus jumlah data ganjil dan komponen
kelompok ganjil
80
Untuk data yang ganjil
• Jumlah deret berkala dikelompokkan men-
jadi dua bagian yang sama dengan jalan
menghilangkan tahun dan nilai tertengah.
• Jumlah deret berkala dikelompokkan men-
jadi dua bagian yang sama dengan cara
memasukkan tahun dan nilai tertengah
kedalam tiap kelompok.
81
Tahun Jumlah
Pelanngan
(dlm juta)
Semi
Total
Setengah
Rata-rata
X
2006
2007
2008
2008
2009
2010
5,0
5,6
6,1
6,1
6,7
7,2
16,7
20,0
5,57
6,67
-1
0
1
2
3
Sumber: soal di kelas
82
• 5,57 adalah nilai trend jumlah pelanggan
PT. ”XYZ” periode dasar 30 Juni 2007
6,67 adalah nilai trend jumlah pelanggan
PT. ”XYZ” periode dasar 30 Juni 2009
83
• Bila a0 = a2007 = 5,57
Maka persamaan trend 2007 adalah
• Yt = 5,57 + 0,55 t
Tahun dasar 30 Juni 2007
Unit t : 1 tahun
Yt jumlah pelanggan PT. “XYZ”
( ) 55,0
2
57,567,6
=
−
=b
84
maka nilai trend awal tahun 2006 adalah
Yt = 5,57 + 0,55 (–1½ ) = 4,745
maka nilai trend awal tahun 2007 adalah
Yt = 5,57 + 0,55 ( – ½ ) = 5,295
maka nilai trend awal tahun 2009 adalah
Yt = 5,57 + 0,55 (1 ½ ) = 6,395
85
c. Kasus jumlah data ganjil dan komponen
kelompok genap
Tahun Jumlah Pel
(dlm juta)
Semi Total Setengah
Rata-rata
Trend
Awal tahun
2004
2005
2006
2007
2007
2008
2009
2010
3,8
4,2
5,0
5,6
5,6
6,1
6,7
7,2
18,6
25,6
4,65
6,40
3,49
4,07
4,65
5,23
5,23
5,81
6,39
6,97
Sumber: latihan soal
86
• Yt = 4,65 + 0,58 t
Tahun dasar 1 Jan 2006/ 31 Des 2005
Unit t : 1 tahun
Yt : jumlah pelanggan dalam juta
• Yt = 6,40 + 0,58 t
Tahun dasar 1 Jan 2009/ 31 Des 2008
Unit t : 1 tahun
Yt : jumlah pelanggan dalam juta
87
1. TREND
Metode penerapan garis trend secara
matematis
88
1.c. Metode penerapan garis
trend secara Matematis.
Persamaan Yt = a0 + b t
Persamaan bagi nilai-nilai observasi dan
nilai trend bagi garis linear adalah
Σ Yt = Σ Yt‘= Σ ( a + bt)
Yt adalah nilai deret berkala hasil obse-
rvasi pada periode t
Yt‘ adalah nilai trend yang telah dihitung
pada periode t
89
1.c. Metode penerapan garis
trend secara Matematis.
Persamaan Normal
Σ Y = na + b ΣX
Σ YX = a ΣX + b ΣX2
90
Tahun Pelanggan
2005
2006
2007
2008
2009
2010
4,2
5,0
5,6
6,1
6,7
7,2
Jumla
h
34,8
91
Tahun X Pelanggan XY X^2
2005
2006
2007
2008
2009
2010
0
1
2
3
4
5
4,2
5,0
5,6
6,1
6,7
7,2
0
5
11,2
18,3
26,8
36
0
1
4
9
16
25
Jumla
h
15 34,8 97,30 55
92
Persamaan Normal
Σ Y = na + b ΣX
Σ YX = a ΣX + b ΣX2
93
34,8 = 6 a + 15 b x 10
97,3 = 15 a + 55 b x 4

348 = 60 a + 150 b
389,2 = 60 a + 220 b
 −
− 41,2 =− 70 b
b = 0,5886
94
34,8 = 6 a + 15 (0.5886)
6 a = 25,971
a = 4,3285
Y ‘ = 4,3285 + 0,5886 t
Tahun dasar 30 Juni 2005
Unit t : 1 tahun
Yt : jumlah pelanggan per tahun
95
1. TREND
d. Metode Kuadrat Minimum/Kuadrat
Terkecil (Least Square Method)
96
1.d. Metode Kuadrat terkecil (Least
Square Method)
Y’ = a + b x
dan
n
Y
a
∑=
∑
∑= 2
X
XY
b
97
a. Untuk data ganjil
Tahun Jumlah
Pelanngan
(dalam juta)
2006
2007
2008
2009
2010
5,0
5,6
6,1
6,7
7,2
Jumlah 30,6
98
a. Untuk data ganjil
Tahun Jumlah
Pelanngan
(dalam juta)
X XY X 2
Y’
2006
2007
2008
2009
2010
5,0
5,6
6,1
6,7
7,2
- 2
- 1
0
1
2
Jumlah 30,6 0
99
a. Untuk data ganjil
Tahun Jumlah
Pelanngan
(dalam juta)
X XY X 2
Y’
2006
2007
2008
2009
2010
5,0
5,6
6,1
6,7
7,2
- 2
- 1
0
1
2
- 10,0
- 5,6
0
6,7
14,4
Jumlah 30,6 0 5,5
100
a. Untuk data ganjil
Tahun Jumlah
Pelanngan
(dalam juta)
X XY X 2
Y’
2006
2007
2008
2009
2010
5,0
5,6
6,1
6,7
7,2
- 2
- 1
0
1
2
- 10,0
- 5,6
0
6,7
14,4
4
1
0
1
4
Jumlah 30,6 0 5,5 10
101
12,6
5
65,30
===
∑
n
Y
a
55,0
10
5,5
2
===
∑
∑
X
XY
b
Y’ = 6,12 + 0,55 t
Tahun dasar 2008
Unit t 1 tahun ; Y jumlah pelanggan dlm juta
102
a. Untuk data genap
Tahun Jumlah
Pelanggan
(dalam juta)
2005
2006
2007
2008
2009
2010
4,2
5,0
5,6
6,1
6,7
7,2
Jumlah 34,8
103
a. Untuk data genap
Tahun Jumlah
Pelanggan
(dalam juta)
X XY X 2
Y’
2005
2006
2007
2008
2009
2010
4,2
5,0
5,6
6,1
6,7
7,2
Jumlah 34,8
104
a. Untuk data genap
Tahun Jumlah
Pelanggan
(dalam juta)
X XY X 2
Y’
2005
2006
2007
2008
2009
2010
4,2
5,0
5,6
6,1
6,7
7,2
- 5
- 3
- 1
1
3
5
Jumlah 34,8 0
105
a. Untuk data genap
Tahun Jumlah
Pelanggan
(dalam juta)
X XY X 2
Y’
2005
2006
2007
2008
2009
2010
4,2
5,0
5,6
6,1
6,7
7,2
- 5
- 3
- 1
1
3
5
- 21
- 15
5,6
6,1
20,1
36
Jumlah 34,8 0 20,61
106
a. Untuk data genap
Tahun Jumlah
Pelanggan
(dalam juta)
X XY X 2
Y’
2005
2006
2007
2008
2009
2010
4,2
5,0
5,6
6,1
6,7
7,2
- 5
- 3
- 1
1
3
5
- 21
- 15
- 5,6
6,1
20,1
36
25
9
1
1
9
25
Jumlah 34,8 0 20,61 70
107
80,5
6
8,34
===
∑
n
Y
a
2944,0
70
61,20
2
===
∑
∑
X
XY
b
Y’ = 5,80 + 0,2944 t
Tahun dasar jan 2008/ des 2007
Unit ½ tahun ; Y jumlah pelanggan dlm juta
108
1. TREND
e. Metode Rata-rata Bergerak/Rata-rata
Berpindah (Moving Average Method)
109
Tahun Jumlah
Pelanggan
(dalam
juta)
Jumlah bergerak
selama 3 thn
Rata-rata
bergerak per 3 th
2005
2006
2007
2008
2009
2010
4,2
5,0
5,6
6,1
6,7
7,2
14,8
16,7
18,4
20,0
4,94
5,57
6,13
6,67
2. Tentukan jumlah pelanggan PT. ”XYZ”
pada tahun 2013
110
111
Persamaan trend adalah :
Y’ = 6,12 + 0,55X
Tahun dasar 2008
Unit X : 1 tahun
Unit Y : jumlah pelanggan PT. “XYZ”
dlm juta
112
2. Peramalan
Pelanggan PT Telkom pada tahun 2013
Y’ = 6,12 + 0,55 (5)
= 8,87
Jumlah pelanggan PT. “XYZ” pada bulan
juni 2013 berkisar 8,87 juta orang
3. Rubahlah persamaan trendnya menjadi
bulanan dgn thn dsr 2010
113
114
3. Perubahan Tahun dasar, var Y dan var X
Tahun 2010 ,
Y’ = 6,12 + 0,55 (2) = 7,22
a. Y’ = 7,22 + 0,55 X
Tahun dasar 2010
Unit X : 1 tahun
Unit Y : banyaknya pelanggan
PT. “XYZ” per tahun
115
3. Perubahan Tahun dasar, var Y dan var X
b. Y’ = 0,6017 + 0,046 X
Tahun dasar 2010
Unit X : 1 tahun
Unit Y : banyaknya pelanggan
PT. “XYZ” per bulan
116
3. Perubahan Tahun dasar, var Y dan var X
c. Y’ = 0,6017 + 0,00038 X
Tahun dasar 2010
Unit X : 1 bulan
Unit Y : banyaknya pelanggan
PT. “XYZ” per bulan
4. Rubahlah persamaan trend (1) menjadi
- trend semesteran dengan waktu dasar
semester I
- trend triwulan dengan waktu dasar
triwulan II
- trend bulanan dengan waktu dasar 15
Juli
2009
117
118
Persamaan trend adalah :
Y’ = 6,12 + 0,55X
Tahun dasar 2008
Unit X : 1 tahun
Unit Y : jumlah pelanggan PT. “XYZ”
dlm juta
119
4. Merubah persamaan trend dari hasil
perhitungan menjadi :
a. Trend semesteran dengan waktu dasar
semester I (april 2008)
Y’ = 6,12 + 0,55 X
Y’ = ½ { 6,12 + ( 0,55 X )/ 2 }
120
4. Merubah persamaan trend dari hasil
perhitungan menjadi :
a. Trend semesteran dengan waktu dasar
semester I (april 2008)
Y’ = 6,12 + 0,55 X
Y’ = ½ { 6,12 + ( 0,55 X )/ 2 }
= 3,06 + 0,1375 ( – 0,5 ) + 0,1375 X
= 2,99125 + 0,1375 X
121
4. Merubah persamaan trend dari hasil
perhitungan menjadi :
b. Trend triwulanan dengan waktu dasar
triwulan II ( 15 Mei 2008)
Y’ = 6,12 + 0,55X
Y’ = ¼ { 6,12 + ( 0,55 X ) /4 }
= 1,53 + 0,0344 ( – 0,5 ) + 0,0344 X
= 1,5128 + 0,0344 X
122
4. Merubah persamaan trend dari hasil
perhitungan menjadi :
c. Trend bulanan dengan waktu dasar
15 Juli 2008.
Y’ = 6,12 + 0,55X
Y’ = 1/12 { 6,12 + ( 0,55 X ) /12 }
= 0,51 + 0,0038 ( 0,5 ) + 0,0038 X
= 0,5119 + 0,0038 X
123
5. Tentukan banyaknya pelanggan PT. “XYZ”
pada tahun 20013 dari jawaban (4)
a. Y’ = 2,99125 + 0,1375 ( 10,5 ) = 4,435
b. Y’ = 1,5128 + 0,0344 ( 20,5 ) = 2,218
c. Y’ = 0,5119 + 0,0038 ( 60 ) = 0,7399
124
5. Tentukan banyaknya pelanggan PT. “XYZ”
pada tahun 20013 dari jawaban (4)
a. Y’ → 4,435 x 2 = 8,87
b. Y’ → 2,218 x 4 = 8,87
c. Y’ → 0,7399 x 12 = 8,88 (krn pembulatan)
125
2008 2009 2010 2011 2012 20013
J
F
M
A
M
J
J
A
S
O
N
D
J
F
M
A
M
J
J
A
S
O
N
D
J
F
M
A
M
J
J
A
S
O
N
D
J
F
M
A
M
J
J
A
S
O
N
D
J
F
M
A
M
J
J
A
S
O
N
D
J
F
M
A
M
J
J
A
S
O
N
D
126
127
Tabel dibawah ini adalah tentang data panen
jagung dari tahun 2003 – 2009
Tahun Panen Jagung
2003
2004
2005
2006
2007
2008
2009
40
44
46
48
52
58
60
128
Pertanyaannya :
a. Gambarkan garis trend
b. Tentukan persamaan garisnya dengan
metoda kuadrat terkecil.
c. Tentukan besarnya jumlah panen jagung
pada tahun 2012.
d. Rubahlah persamaan trendnya menjadi
bulanan dengan tahun dasar 2009
129
e. Rubahlah persamaan trend (b) menjadi
- trend semesteran dengan waktu dasar
semester I
- trend triwulan dengan waktu dasar
triwulan II
- trend bulanan dengan waktu dasar 15
Juli 2009
f. Lakukan peramalan utk tahun 2012 dari
jawaban e

7. analisis deret berkala 1

  • 1.
  • 2.
    • Peramalan adalahsebuah alat utama untuk membuat keputusan dari setiap proses (pekerjaan) yang dibuat. 2
  • 3.
    • Analisa inidigunakan untuk berbagai macam keperluan, dari menentukan bahan yang diperlukan untuk memproduksi di toko makanan rumahan sampai meramalkan hasil penjualan tahunan dari PT. Krakatau Steel. 3
  • 4.
    • Kualitas daricara peramalan dapat menguatkan informasi yang dapat digali dengan menggunakan data masa lalu. 4
  • 5.
    • Analisa DeretBerkala adalah sebuah metoda kuantitatif yang dapat kita gunakan untuk menentukan pola dari data yang terkumpul beberapa waktu dimasa lalu. 5
  • 6.
    6 • Seorang pimpinanharus dapat meramalkan bagaimana volume penjualan tahun depan, bagaimana keadaan perniagaan bergerak dari bulan ke bulan atau dari tahun ke tahun. Misalnya berapa banyak barang harus diproduksi untuk tahun depan, tentang harga bahan-bahan baku, harga barang-barang jadi yang dihasilkan, situasi pasaran barang, keperluan pegawai dan lain sebaginya.
  • 7.
    Tabel dibawah iniadalah sebuah contoh dari data deret berkala : Tahun Minyak Mentah (barrel) 1996 1997 1998 1999 2000 2001 2002 2003 2004 485.573,80 484.340,60 480.109,70 440.461,60 434.368,80 432.588,00 351.949,60 339.100,00 354.351,90 7
  • 8.
    8 • DefinisiDefinisi:: adalahsekumpulan hasil pengamatan terhadap suatu variabel yang diatur dan didapat menurut kronologis, biasanya dalam interval waktu yang sama. • Contoh lainContoh lain: penjualan mingguan barang x, produksi bulanan di seluruh industri, produksi tahunan biji besi di Indonesia dlsb.
  • 9.
    Analisa deret berkaladigunakan untuk menemukan pola perubahan dalam bentuk informasi statistic sampai melewati jarak waktu yang ada. 9
  • 10.
    Juga akan kitarancang pola ini untuk memperoleh sebuah peramalan untuk masa yang akan datang. 10
  • 11.
    11 • Umumnya penelitimerasa puas jika 85% atau 90% hasil ramalan terjadi, walaupun ia menginginkan lebih tinggi. Yang jelas tidak akan/jarang tercapai hasil ramalan tepat 100%.
  • 12.
    12 • Data deretwaktu dipengaruhi oleh berbagai faktor, misalnya: bencana alam, selera konsumen, manusia, musim, kebiasaan dlsb. Karena banyaknya faktor- faktor yang mempengaruhi, maka analisa sangat berat dan praktis tidak mungkin untuk menjelaskan pengaruh setiap faktor satu demi satu.
  • 13.
    13 • Analisa klasikbiasanya hanya membahas pemecahan data deret waktu menjadi 4 faktor yang seakan-akan independen satu dengan yang lainnya dan dianggap penga-ruhnya dapat menjelaskan keseluruhan, yaitu:
  • 14.
    14 1. Gerakan yangberjangka panjang, lam- ban berkecenderungan menuju ke satu arah, naik atau turun disebut Trend Se- kuler. • Nilai dari variable cenderung untuk naik atau turun selama periode yang panjang • (Trend sekuler, Long term Variation , TS ).
  • 15.
  • 16.
    16 2. Ayunan sekitartrend yang bersifat musi- man serta kurang lebih teratur, disebut Variasi Musim. • Variasi musim memiliki pola perubahan dalam satu tahun dan cenderung berulang setiap tahunnya. • (Variasi Musim , Seasonal Movement ,Vm).
  • 17.
  • 18.
    18 Variasi musim terkaitdengan perubahan atau fluktuasi dalam musim-musim atau bulan tertentu dalam 1 tahun. Produksi Padi Permusim 0 10 20 30 I- 98 II- 98 III- 98 I- 99 II- 99 III- 99 I- 00 II- 00 III- 00 I- 01 II- 01 III- 03 Triwulan Produksi(000ton) Pergerakan Inflasi 2002 0 0,5 1 1,5 2 2,5 1 2 3 4 5 6 7 8 9 10 11 12 Bulan Inflasi(%) Indeks Saham PT. Astra Agro Lestari, Maret 2003 0 50 100 150 03 05 13 14 22 Tanggal Indeks Variasi Musim Produk Pertanian Variasi Inflasi Bulanan Variasi Harga Saham Harian
  • 19.
    19 3. Berjangka lebihpanjang dan agak lebih tidak teratur, disebut Variasi Sikli • Perubahan dari siklis agak lebih tidak teratur. • (Variasi Sikli, Konjungtur, Cyclical Variation, VS).
  • 20.
  • 21.
  • 22.
    22 4. Gerakan yangtidak teratur sama sekali dan yang terkenal dengan nama Variasi Random atau Residu • Dalam beberapa situasi, nilai dari variasi sama sekali tidak dapat diramalkan, perubahannya random. • (Irregular , Residu, Komponen tidak beraturan , R ).
  • 23.
    23 4. VARIASI RANDOM •Variasi Random (Residu), sifatnya tidak teratur dan sukar dikuasai umumnya gera- kan ini disebabkan oleh faktor kebetulan, misalnya disebabkan oleh peperangan, banjir, gempa bumi, perubahan politik, pe- mogokan dsb. Akibatnya dapat mempenga- ruhi kegiatan perdagangan, perindustrian dll sehingga gerak ini sukar dilukiskan dalam suatu model.
  • 24.
    24 Hubungan antara ke4 komponen ini berbeda-beda, beberapa ahli sampai saat ini belum sependapat apakah hubungan- nya multiplikatif atau additif atau kombina- si lainnya dan mungkin ada komponen lain.
  • 25.
    25 1. Model Multiplikatif/Model Perkalian Db = Ts . Vs . Vm . R Hasil bulanan dianggap sebagai produk dari ke 4 faktor. Untuk data tahunan gerak musiman tidak tercerminkan, jadi Db = Ts . Vs . R Jika Ts . Vs .R/ Ts = Vs . R → pengaruh siklis dan residu. Jika digunakan metoda rata-rata bebe- rapa Vs . R akan dihasilkan gerak Vs
  • 26.
    26 2. Model Aditif/Model Pertambahan Db = Ts + Vs + Vm + R Data deret waktu merupakan hasil pen- jumlahan pengaruh Ts , Vs , Vm dan R • Dan untuk analisa selanjutnya kita mela- kukan asumsi bahwa deret berkala meru- pakan hasil perkalian dari komponen- komponennya.
  • 27.
    I. TREND SEKULER •Trend Sekuler menunjukkan gerakan berjangka panjang. Satu cara untuk menjelaskan komponen trend adalah dengan menggabungkan sekumpulan titik- titik dalam sebuah grafik. 27
  • 28.
    Mengapa harus mempelajari Trend Terdapat3 alasan mengapa perlu mempelajari trend sekuler 28
  • 29.
    1. Mempelajari trendsekuler membuat kita dapat menjelaskan pola dari kejadian masa lalu. 29
  • 30.
    2. Mempelajari trendsekuler membuat kita dapat mencanangkan pola masa lalu , atau trendnya untuk waktu yang akan datang. 30
  • 31.
    3. Dalam beberapasituasi, mempelajari trend sekuler dari deret berkala membuat kita dapat melenyapkan komponen trend dari data berkala. 31
  • 32.
    32 1. TREND Tehnik menghitungserta penerapan garis trend pada gerakan sekuler 1. Metode penarapan garis linear secara bebas 2. Metode Setengah Rata-rata (Semi Average Method) 3. Metode penerapan garis trend secara matematis 4. Metode Kuadrat Minimum/Kuadrat Terkecil (Least Square Method) 5. Metode Rata-rata Bergerak/Rata-rata Berpindah (Moving Average Method)
  • 33.
    33 1. TREND 1. Metodepenarapan garis linear secara bebas Data Y = f ( t ) . . .. . . . .. . waktu
  • 34.
    34 1. TREND 2. MetodeSetengah Rata-rata (Semi Average Method) Yt = a0 + b t Yt adalah nilai trend pada periode tertentu a0 adalah nilai trend pada periode dasar b adalah pertambahan/ pengurangan trend tahunan secara rata-rata t adalah jumlah unit tahun yang dihitung dari periode dasar
  • 35.
    35 1. TREND Untuk datayang ganjil • Jumlah deret berkala dikelompokkan menjadi dua bagian yang sama dengan cara memasukkan tahun dan nilai terte- ngah kedalam tiap kelompok. • Jumlah deret berkala dikelompokkan menjadi dua bagian yang sama dengan jalan menghilangkan tahun dan nilai tertengah.
  • 36.
    36 1. TREND 3. Metodepenerapan garis trend secara Matematis. Persamaan Yt = a0 + b t Persamaan Normal Σ Y = na + b Σ X Σ YX = a Σ X + b Σ X2
  • 37.
    37 1. TREND 4. MetodeKuadrat terkecil (Least Square Method) Persamaannya : Yt = a0 + b t atau Y’ = a + b x dann Y a ∑= ∑ ∑= 2 X XY b
  • 38.
    38 1. TREND Ekstrapolasi • Secarateknis ekstrapolsi berarti menaksir nilai yang sebetulnya terletak diluar batas nilai-nilai yang digunakan sebagi dasar perumusan persamaan trend pada umumnya.
  • 39.
    39 1. TREND Meskipun ekstrapolasiberguna sekali bagi pemimpin perusahaan, tetapi sifatnya sangat spekulatif dan harus diberi inter- pretasi secara hati-hati. Karena selama kurun waktu penaksiran pertumbuhan ekonomi daerah, perkembangan pasar, perubahan pola konsumsi, kegoncangan politik dlsb dapat mempengaruhi per- kembangan fenomena ekonomi dimasa yang akan datang.
  • 40.
    40 1. TREND 5. MetodeRata-rata Bergerak (Moving Average Method) • Didalam cara ini kita tidak mendapatkan persamaan trendnya akan tetapi kita ha- nya dapat menentukan nilai-nilai trendnya. • Metode ini sering digunakan untuk meng- ratakan deret berkala yang bergelombang
  • 41.
    41 1. TREND 5. MetodeRata-rata Bergerak (Moving Average Method) • Menghitungnya dari rata-rata bergerak beberapa tahun secara berturut-turut atas dasar jumlah tahun yang tertentu. Metode ini tidak memberi ketentuan ten- tang jumlah tahun yang harus digunakan sebagai dasar pengrata-rataan. Makin banyak jumlah tahun yang digunakan makin rata bentuk kurva yang diperoleh dan makin intensif kita mengisolasikan fluktuasi Musim (Vm), Residu ( R ) dan Sikli (Vs).
  • 42.
    42 1. TREND 5. MetodeRata-rata Bergerak (Moving Average Method) • Metode ini dibedakan atas dasar jumlah tahun yang digunakan untuk mencari rata-ratanya. • Bila kita gunakan 3 tahun sebagai dasar rata-rata bergerak, tehnik tersebut dina- makan rata-rata bergerak per 3 tahun
  • 43.
    43 2. VARIASI MUSIM •Fluktuasi sekitar trend yang berulang secara teratur tiap-tiap tahun disebut variasi musim (seasonal variation). Variasi ini dapat disebabkan oleh faktor alami maupun institusional dan membawa pengaruh terhadap pola itu sendiri.
  • 44.
    44 2. VARIASI MUSIM •Pola tersebut sangat berguna bagi perencanaan produksi, penggunaan tenaga kerja dalam jangka pendek. Selain itu pola Vm dapat digunakan bagi dasar kebijakan pimpinan perusahaan dalam mengatur diversifikasi produk dan kegiatan produksi.
  • 45.
    45 2. VARIASI MUSIM •Per definisi : Db = Ts . Vs . Vm . R • Untuk memperoleh Vm , maka harus mengisolasikan Ts , Vs dan R dari Db. Pengisolasian tersebut akan menghasil- kan Vm yang dapat digunakan sebagai dasar penyusunan indeks musim (seasonal indices).
  • 46.
    46 2. VARIASI MUSIM •Vm dari data bulanan terdiri dari 12 ang- ka indeks yang menggambarkan gera- kan musim tiap-tiap bulan dalam bentuk indeks. • Pembentukan indeks tersebut hendak- nya menggunakan rata-rata bulanan da- ri beberapa tahun agar dapat menghi- langkan fluktuasi Ts dan Vs .
  • 47.
    47 2. VARIASI MUSIM •Indeks yang diperoleh merupakan indeks yang menggambarkan gerakan rata-rata tiap bulan sebegai persentase dari gera-kan rata-rata semua bulan yang diikut sertakan dalam penyusunan indeks.
  • 48.
    48 2. VARIASI MUSIM Ada3 cara untuk memperoleh Vm yaitu: 1. Metode rata-rata sederhana (cara % rata-rata) 2. Metode % dari trend (falkners method/ cara perbandingan dari trend) 3. Metode rasio terhadap rata-rata bergerak (cara % rata-rata bergerak atau cara perbandingan terhadap rata-rata bergerak).
  • 49.
    49 2. VARIASI MUSIM Ada3 cara untuk memperoleh Vm yaitu: 1. Metode rata-rata sederhana (cara % rata-rata) • Secara sederhana metode ini bertujuan guna menghilangkan gerakan Vs dan R, baru kemudian menghilangkan Ts untuk memperoleh Vm .
  • 50.
    50 2. VARIASI MUSIM Ada3 cara untuk memperoleh Vm yaitu: 1. Metode rata-rata sederhana (cara % rata-rata) Rumusnya: n adalah jumlah tahun ( ) s mss T n RVVT − ...
  • 51.
    51 2. VARIASI MUSIM Ada3 cara untuk memperoleh Vm yaitu: 2. Metode % dari trend (falkners method/ cara perbandingan dari trend)
  • 52.
    52 2. VARIASI MUSIM Ada3 cara untuk memperoleh Vm yaitu: 3. Metode rasio terhadap rata-rata bergerak (cara % rata-rata bergerak atau cara perbandingan terhadap rata-rata bergerak). • Hingga saat ini cara ini merupakan cara yang dianggap memuaskan dibandingkan dengan ketiga cara lainnya.
  • 53.
    53 2. VARIASI MUSIM Ada3 cara untuk memperoleh Vm yaitu: 3. Metode rasio terhadap rata-rata bergerak (cara % rata-rata bergerak atau cara perbandingan terhadap rata-rata bergerak). • Rata-rata bergerak untuk data bulanan, dihitung jumlah rata-rata bergerak 12 bulan. • Rata-rata bergerak untuk data kuartalan, dihitung jumlah rata-rata bergerak 4 bulanan.
  • 54.
    54 3. GERAKAN SIKLIDAN RESIDU • Pengertian sikli sebetulnya variasi dari Db yang meliputi periode lebih dari 1 tahun. Pola sikli sedemikian itu paling sukar diter- ka. Lama dan amplitudo sikli tidak pernah sama. Rangkaian ayunannya memang berulang kali, tetapi sifatnya tidak pernah periodik. Lama Vs bervariasi dari periode yang meliputi beberapa tahun hingga periode yang meliputi 10 bahkan 12 tahun.
  • 55.
    55 3. GERAKAN SIKLIDAN RESIDU • R atau variasi random merupakan jenis fluktuasi yang disebabkan oleh faktor- faktor random atau sebab-sebab khusus yang sporadis. Variasi ini sukar ditaksir meskipun gerakannya menimbulkan vari- asi dari periode ke periode. R acapkali dapat dianggap hanya sebagai bagian dari Vs dan Vm.
  • 56.
    56 3. GERAKAN SIKLIDAN RESIDU Pengukuran Vm. Db umumnya terdiri dari dua komponen yaitu Ts dan Vs Bila data tahunan maka Vm tidak akan nampak R merupakan gerakan yang tidak reguler yg memiliki pengaruh yang bersifat jangka pendek jika ditinjau dari sudut periode ta- hunan sehingga pengaruhnya bertendensi saling meniadakan selama setahun.
  • 57.
    57 3. GERAKAN SIKLIDAN RESIDU Pengukuran Vs. Jika ditinjau dari data tahunan, nilai Ts da- pat dianggap sebagai normal, yaitu per- tumbuhan tahunan yang normal jika tidak terdapat pengaruh Vs. Dengan perkataan lain, Vs dapat dianggap sebagai deviasi dari Ts . Sehingga pemisahannya adalah dengan jalan membagi Db dengan Ts hasilnya relatif sikli (Cyclical Relatives).
  • 58.
    58 3. GERAKAN SIKLIDAN RESIDU % deviasi relatif sikli yaitu: 1001 ×      − s b T D
  • 59.
    59 3. GERAKAN SIKLIDAN RESIDU % deviasi residu sikli yaitu: 100× − s sb T TD
  • 60.
    60 3. GERAKAN SIKLIDAN RESIDU Cara menentukan gerakan Sikli (Vs). • Karena Vm untuk data tahunan tidak ada, persamaan Db = Ts .Vs . R jika persama- an tersebut kita bagi dengan Ts hasilnya adalah Vs . R • Untuk mengukur pengaruh gabungan dila- kukan pembagian antara nilai sebenarnya dengan nilai trend untuk tahun ybs. Hasilnya dinyatakan dalam %.
  • 61.
    61 3. GERAKAN SIKLIDAN RESIDU • Persen dari pada trend adalah: • Hasilnya dinyatakan sebagai % dari pada nilai trend. =× %100' Y Yi RV T RVT Y Y s s ssi . .. ' ==∴
  • 62.
  • 63.
    63 A. Tabel dibawahini adalah tentang jumlah pelanggan salah satu alat komunikasi di Indonesia yaitu PT “XYZ” dari tahun 2005 – 2010
  • 64.
    64 Tahun Jumlah Pelanggan (dalamjuta) 2005 2006 2007 2008 2009 2010 4,2 5,0 5,6 6,1 6,7 7,2
  • 65.
    Pertanyaannya : 1. Tentukanpersamaan trend dari pelanggan PT. “XYZ” dengan metode: a. Metode Penerapan Garis secara bebas b. Metode Setengah Rata – rata c. Metode Matematis d. Metode Kuadrat Terkecil e. Metode Rata – rata Bergerak 65
  • 66.
    2. Tentukan jumlahpelanggan PT ”XYZ” pada tahun 2014. 3. Rubahlah persamaan trendnya menjadi bulanan dgn thn dsr 2006 4. Rubahlah persamaan trend (1) menjadi - trend semesteran dengan waktu dasar semester I - trend triwulan dengan waktu dasar triwulan II - trend bulanan dengan waktu dasar 15 Juli 2004 66
  • 67.
    5. Lakukan peramalanutk tahun 2014 dari jawaban 4 67
  • 68.
    1. a. MetodePenerapan Garis secara bebas 68
  • 69.
    69 1.b. Metode SetengahRata-rata (Semi Average Method) a. Kasus jumlah data genap dan komponen kelompok ganjil
  • 70.
  • 71.
  • 72.
  • 73.
    73 Tahun Jumlah Pelanggan (juta) Semi Total Setengah Rata-rata Nilai X Tahundsr 2006 2005 2006 2007 2008 2009 2010 4,2 5,0 5,6 6,1 6,7 7,2 14,80 20,0 4,93 6,67 -1 0 1 2 3 4
  • 74.
    74 4,93 adalah nilaitrend jumlah pelanggan Telkom periode dasar 30 Juni 2006 6,67 adalah nilai trend jumlah pelanggan Telkom periode dasar 30 Juni 2009
  • 75.
    75 Bila a0 =a2006 = 4,93 ( ) 58,0 3 93,467,6 = − =b
  • 76.
    76 Yt = 4,93+ 0,58 t Tahun dasar 30 Juni 2006 Unit t : 1 tahun Yt : jumlah pelanggan PT ”XYZ” per tahun Yt = 6,67 + 0,58 t Tahun dasar 30 Juni 2009 Unit t : 1 tahun Yt : jumlah pelanggan PT ”XYZ” per tahun
  • 77.
    • 0.58 =rata2 peningkatan jumlah pelanggan “XYZ” pertahun selama 2005- 2010 • 4.93 = jumlah pelanggan pada tanggal 30 juni 2006 77
  • 78.
    78 maka nilai trendawal tahun 2006 adalah Yt = 4,93 + 0,58 ( – ½ ) = 4,64 maka nilai trend awal tahun 2009 adalah Yt = 4,93 + 0,58 (2 ½ ) = 6,38 Bila a0 = a2009 = 6,67 maka nilai trend awal tahun 2009 adalah Yt = 6,67 + 0,58(– ½ ) = 6,38
  • 79.
    79 1.b. Metode SetengahRata-rata (Semi Average Method) b. Kasus jumlah data ganjil dan komponen kelompok ganjil
  • 80.
    80 Untuk data yangganjil • Jumlah deret berkala dikelompokkan men- jadi dua bagian yang sama dengan jalan menghilangkan tahun dan nilai tertengah. • Jumlah deret berkala dikelompokkan men- jadi dua bagian yang sama dengan cara memasukkan tahun dan nilai tertengah kedalam tiap kelompok.
  • 81.
  • 82.
    82 • 5,57 adalahnilai trend jumlah pelanggan PT. ”XYZ” periode dasar 30 Juni 2007 6,67 adalah nilai trend jumlah pelanggan PT. ”XYZ” periode dasar 30 Juni 2009
  • 83.
    83 • Bila a0= a2007 = 5,57 Maka persamaan trend 2007 adalah • Yt = 5,57 + 0,55 t Tahun dasar 30 Juni 2007 Unit t : 1 tahun Yt jumlah pelanggan PT. “XYZ” ( ) 55,0 2 57,567,6 = − =b
  • 84.
    84 maka nilai trendawal tahun 2006 adalah Yt = 5,57 + 0,55 (–1½ ) = 4,745 maka nilai trend awal tahun 2007 adalah Yt = 5,57 + 0,55 ( – ½ ) = 5,295 maka nilai trend awal tahun 2009 adalah Yt = 5,57 + 0,55 (1 ½ ) = 6,395
  • 85.
    85 c. Kasus jumlahdata ganjil dan komponen kelompok genap Tahun Jumlah Pel (dlm juta) Semi Total Setengah Rata-rata Trend Awal tahun 2004 2005 2006 2007 2007 2008 2009 2010 3,8 4,2 5,0 5,6 5,6 6,1 6,7 7,2 18,6 25,6 4,65 6,40 3,49 4,07 4,65 5,23 5,23 5,81 6,39 6,97 Sumber: latihan soal
  • 86.
    86 • Yt =4,65 + 0,58 t Tahun dasar 1 Jan 2006/ 31 Des 2005 Unit t : 1 tahun Yt : jumlah pelanggan dalam juta • Yt = 6,40 + 0,58 t Tahun dasar 1 Jan 2009/ 31 Des 2008 Unit t : 1 tahun Yt : jumlah pelanggan dalam juta
  • 87.
    87 1. TREND Metode penerapangaris trend secara matematis
  • 88.
    88 1.c. Metode penerapangaris trend secara Matematis. Persamaan Yt = a0 + b t Persamaan bagi nilai-nilai observasi dan nilai trend bagi garis linear adalah Σ Yt = Σ Yt‘= Σ ( a + bt) Yt adalah nilai deret berkala hasil obse- rvasi pada periode t Yt‘ adalah nilai trend yang telah dihitung pada periode t
  • 89.
    89 1.c. Metode penerapangaris trend secara Matematis. Persamaan Normal Σ Y = na + b ΣX Σ YX = a ΣX + b ΣX2
  • 90.
  • 91.
    91 Tahun X PelangganXY X^2 2005 2006 2007 2008 2009 2010 0 1 2 3 4 5 4,2 5,0 5,6 6,1 6,7 7,2 0 5 11,2 18,3 26,8 36 0 1 4 9 16 25 Jumla h 15 34,8 97,30 55
  • 92.
    92 Persamaan Normal Σ Y= na + b ΣX Σ YX = a ΣX + b ΣX2
  • 93.
    93 34,8 = 6a + 15 b x 10 97,3 = 15 a + 55 b x 4  348 = 60 a + 150 b 389,2 = 60 a + 220 b  − − 41,2 =− 70 b b = 0,5886
  • 94.
    94 34,8 = 6a + 15 (0.5886) 6 a = 25,971 a = 4,3285 Y ‘ = 4,3285 + 0,5886 t Tahun dasar 30 Juni 2005 Unit t : 1 tahun Yt : jumlah pelanggan per tahun
  • 95.
    95 1. TREND d. MetodeKuadrat Minimum/Kuadrat Terkecil (Least Square Method)
  • 96.
    96 1.d. Metode Kuadratterkecil (Least Square Method) Y’ = a + b x dan n Y a ∑= ∑ ∑= 2 X XY b
  • 97.
    97 a. Untuk dataganjil Tahun Jumlah Pelanngan (dalam juta) 2006 2007 2008 2009 2010 5,0 5,6 6,1 6,7 7,2 Jumlah 30,6
  • 98.
    98 a. Untuk dataganjil Tahun Jumlah Pelanngan (dalam juta) X XY X 2 Y’ 2006 2007 2008 2009 2010 5,0 5,6 6,1 6,7 7,2 - 2 - 1 0 1 2 Jumlah 30,6 0
  • 99.
    99 a. Untuk dataganjil Tahun Jumlah Pelanngan (dalam juta) X XY X 2 Y’ 2006 2007 2008 2009 2010 5,0 5,6 6,1 6,7 7,2 - 2 - 1 0 1 2 - 10,0 - 5,6 0 6,7 14,4 Jumlah 30,6 0 5,5
  • 100.
    100 a. Untuk dataganjil Tahun Jumlah Pelanngan (dalam juta) X XY X 2 Y’ 2006 2007 2008 2009 2010 5,0 5,6 6,1 6,7 7,2 - 2 - 1 0 1 2 - 10,0 - 5,6 0 6,7 14,4 4 1 0 1 4 Jumlah 30,6 0 5,5 10
  • 101.
    101 12,6 5 65,30 === ∑ n Y a 55,0 10 5,5 2 === ∑ ∑ X XY b Y’ = 6,12+ 0,55 t Tahun dasar 2008 Unit t 1 tahun ; Y jumlah pelanggan dlm juta
  • 102.
    102 a. Untuk datagenap Tahun Jumlah Pelanggan (dalam juta) 2005 2006 2007 2008 2009 2010 4,2 5,0 5,6 6,1 6,7 7,2 Jumlah 34,8
  • 103.
    103 a. Untuk datagenap Tahun Jumlah Pelanggan (dalam juta) X XY X 2 Y’ 2005 2006 2007 2008 2009 2010 4,2 5,0 5,6 6,1 6,7 7,2 Jumlah 34,8
  • 104.
    104 a. Untuk datagenap Tahun Jumlah Pelanggan (dalam juta) X XY X 2 Y’ 2005 2006 2007 2008 2009 2010 4,2 5,0 5,6 6,1 6,7 7,2 - 5 - 3 - 1 1 3 5 Jumlah 34,8 0
  • 105.
    105 a. Untuk datagenap Tahun Jumlah Pelanggan (dalam juta) X XY X 2 Y’ 2005 2006 2007 2008 2009 2010 4,2 5,0 5,6 6,1 6,7 7,2 - 5 - 3 - 1 1 3 5 - 21 - 15 5,6 6,1 20,1 36 Jumlah 34,8 0 20,61
  • 106.
    106 a. Untuk datagenap Tahun Jumlah Pelanggan (dalam juta) X XY X 2 Y’ 2005 2006 2007 2008 2009 2010 4,2 5,0 5,6 6,1 6,7 7,2 - 5 - 3 - 1 1 3 5 - 21 - 15 - 5,6 6,1 20,1 36 25 9 1 1 9 25 Jumlah 34,8 0 20,61 70
  • 107.
    107 80,5 6 8,34 === ∑ n Y a 2944,0 70 61,20 2 === ∑ ∑ X XY b Y’ = 5,80+ 0,2944 t Tahun dasar jan 2008/ des 2007 Unit ½ tahun ; Y jumlah pelanggan dlm juta
  • 108.
    108 1. TREND e. MetodeRata-rata Bergerak/Rata-rata Berpindah (Moving Average Method)
  • 109.
    109 Tahun Jumlah Pelanggan (dalam juta) Jumlah bergerak selama3 thn Rata-rata bergerak per 3 th 2005 2006 2007 2008 2009 2010 4,2 5,0 5,6 6,1 6,7 7,2 14,8 16,7 18,4 20,0 4,94 5,57 6,13 6,67
  • 110.
    2. Tentukan jumlahpelanggan PT. ”XYZ” pada tahun 2013 110
  • 111.
    111 Persamaan trend adalah: Y’ = 6,12 + 0,55X Tahun dasar 2008 Unit X : 1 tahun Unit Y : jumlah pelanggan PT. “XYZ” dlm juta
  • 112.
    112 2. Peramalan Pelanggan PTTelkom pada tahun 2013 Y’ = 6,12 + 0,55 (5) = 8,87 Jumlah pelanggan PT. “XYZ” pada bulan juni 2013 berkisar 8,87 juta orang
  • 113.
    3. Rubahlah persamaantrendnya menjadi bulanan dgn thn dsr 2010 113
  • 114.
    114 3. Perubahan Tahundasar, var Y dan var X Tahun 2010 , Y’ = 6,12 + 0,55 (2) = 7,22 a. Y’ = 7,22 + 0,55 X Tahun dasar 2010 Unit X : 1 tahun Unit Y : banyaknya pelanggan PT. “XYZ” per tahun
  • 115.
    115 3. Perubahan Tahundasar, var Y dan var X b. Y’ = 0,6017 + 0,046 X Tahun dasar 2010 Unit X : 1 tahun Unit Y : banyaknya pelanggan PT. “XYZ” per bulan
  • 116.
    116 3. Perubahan Tahundasar, var Y dan var X c. Y’ = 0,6017 + 0,00038 X Tahun dasar 2010 Unit X : 1 bulan Unit Y : banyaknya pelanggan PT. “XYZ” per bulan
  • 117.
    4. Rubahlah persamaantrend (1) menjadi - trend semesteran dengan waktu dasar semester I - trend triwulan dengan waktu dasar triwulan II - trend bulanan dengan waktu dasar 15 Juli 2009 117
  • 118.
    118 Persamaan trend adalah: Y’ = 6,12 + 0,55X Tahun dasar 2008 Unit X : 1 tahun Unit Y : jumlah pelanggan PT. “XYZ” dlm juta
  • 119.
    119 4. Merubah persamaantrend dari hasil perhitungan menjadi : a. Trend semesteran dengan waktu dasar semester I (april 2008) Y’ = 6,12 + 0,55 X Y’ = ½ { 6,12 + ( 0,55 X )/ 2 }
  • 120.
    120 4. Merubah persamaantrend dari hasil perhitungan menjadi : a. Trend semesteran dengan waktu dasar semester I (april 2008) Y’ = 6,12 + 0,55 X Y’ = ½ { 6,12 + ( 0,55 X )/ 2 } = 3,06 + 0,1375 ( – 0,5 ) + 0,1375 X = 2,99125 + 0,1375 X
  • 121.
    121 4. Merubah persamaantrend dari hasil perhitungan menjadi : b. Trend triwulanan dengan waktu dasar triwulan II ( 15 Mei 2008) Y’ = 6,12 + 0,55X Y’ = ¼ { 6,12 + ( 0,55 X ) /4 } = 1,53 + 0,0344 ( – 0,5 ) + 0,0344 X = 1,5128 + 0,0344 X
  • 122.
    122 4. Merubah persamaantrend dari hasil perhitungan menjadi : c. Trend bulanan dengan waktu dasar 15 Juli 2008. Y’ = 6,12 + 0,55X Y’ = 1/12 { 6,12 + ( 0,55 X ) /12 } = 0,51 + 0,0038 ( 0,5 ) + 0,0038 X = 0,5119 + 0,0038 X
  • 123.
    123 5. Tentukan banyaknyapelanggan PT. “XYZ” pada tahun 20013 dari jawaban (4) a. Y’ = 2,99125 + 0,1375 ( 10,5 ) = 4,435 b. Y’ = 1,5128 + 0,0344 ( 20,5 ) = 2,218 c. Y’ = 0,5119 + 0,0038 ( 60 ) = 0,7399
  • 124.
    124 5. Tentukan banyaknyapelanggan PT. “XYZ” pada tahun 20013 dari jawaban (4) a. Y’ → 4,435 x 2 = 8,87 b. Y’ → 2,218 x 4 = 8,87 c. Y’ → 0,7399 x 12 = 8,88 (krn pembulatan)
  • 125.
    125 2008 2009 20102011 2012 20013 J F M A M J J A S O N D J F M A M J J A S O N D J F M A M J J A S O N D J F M A M J J A S O N D J F M A M J J A S O N D J F M A M J J A S O N D
  • 126.
  • 127.
    127 Tabel dibawah iniadalah tentang data panen jagung dari tahun 2003 – 2009 Tahun Panen Jagung 2003 2004 2005 2006 2007 2008 2009 40 44 46 48 52 58 60
  • 128.
    128 Pertanyaannya : a. Gambarkangaris trend b. Tentukan persamaan garisnya dengan metoda kuadrat terkecil. c. Tentukan besarnya jumlah panen jagung pada tahun 2012. d. Rubahlah persamaan trendnya menjadi bulanan dengan tahun dasar 2009
  • 129.
    129 e. Rubahlah persamaantrend (b) menjadi - trend semesteran dengan waktu dasar semester I - trend triwulan dengan waktu dasar triwulan II - trend bulanan dengan waktu dasar 15 Juli 2009 f. Lakukan peramalan utk tahun 2012 dari jawaban e