1
Tahapan Metode Statistik
1. Mengumpulkan
2. Mengolah
3. Menyajikan :
Tabel : Distribusi Frekuensi
Grafik : Histogram, Poligon, Kurva
Frekuensi dan Kurva Kumulatif
4. Menganalisa
5. Menginterpretasikan
2
Summary Measures
Central Tendency Dispersion
Major Mean
Arithmetic Mean
Harmonic Mean
Median
Decile
Percentile
Quartile
Geometric Mean
Weighted Mean
Minor Mean
Range
Absolute
Dispersion
Relative
Dispersion
Coefficient
of Variation
Coefficient
of Quartile
Variation
Standard
Score
Inter Quartile
Range
Mean Deviation
Variance
Standard
Deviation
Mode
3
UKURANUKURAN
DISPERSIDISPERSI
4
SUMMARY
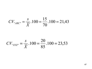
MEASURES
Central Tendency
DISPERSIONDISPERSION
Range
Relative
Dispersion
Coefficient
of Variation
Coefficient of
Quartile Variation
Standard
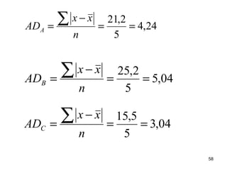
Score
Inter Quartile
Range
Variance
Standard
Deviation
Absolute
Dispersion
Mean
Deviation
5
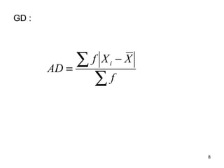
DISPERSI ABSOLUT
1. Range / Jarak / Rentang ( R )
UNGROUPED DATA (UD):
R = Data terbesar – Data terkecil
= Xmax – Xmin
GROUPED DATA (GD) :
R = Titik tengah kelas terakhir - Titik tengah
kelas pertama
= Tepi atas kelas terakhir – Tepi bawah kelas
pertama
6
DISPERSI ABSOLUT
2. Inter Quartile Range /
Jarak Antar Kuartil ( IQR )
UD & GD : IQR = Q3 – Q1
• Quartile Deviation (QD)
UD & GD : 3 1
2
Q Q
QD
−
=
7
DISPERSI ABSOLUT
3. Mean Deviation / Deviasi Rata-rata
(MD /MAD/AD )
UD :
n
XX
AD
∑ −
=
8
GD :
∑
∑ −
=
f
XXf
AD
i
9
2. Simpangan Baku ( s )
UD :
( )
n
XX
s
∑ −
==
2
σ
Cara panjang untuk n < 30
( )
1
2
−
−
==
∑
n
XX
sσ
Cara panjang untuk nCara panjang untuk n ≥≥ 3030
10
Cara pendek untuk n ≥ 30
Cara pendek untuk n < 30
( )
n
X
n
X
s
22
∑∑ −==σ
( )
)1(1
22
−
−
−
==
∑∑
nn
X
n
X
sσ
11
GD :
Cara panjang untuk n ≥ 30
Cara panjang untuk n < 30
( )
n
XXf
s i∑ −
==
2
σ
( )
1
2
−
−
==
∑
n
XXf
s i
σ
12
GD :
Cara pendek untuk n ≥ 30
Cara pendek untuk n < 30
22
)(
. 







−==
∑∑
n
fu
n
uf
isσ
( )
)1(1
)(
.
22
−
−
−
==
∑∑
nn
fu
n
uf
isσ
13
Variance / Varians
UD & GD :
V = s2
14
DISPERSI RELATIF
UD & GD :
1. Coefficient of Variation / Koefisien Variasi
2. Co-efficient of Quartile Variation/ Koefisien
variasi Kuartil
100.
X
s
CV =
100.
13
13
QQ
QQ
CVQ
+
−
=
15
3. Standar Score / Angka Baku
Untuk membandingkan dua keadaan atau lebih,
diperlukan membandingkan pada dasar yang
sama, yaitu menentukan bila-ngan yang tidak
mempunyai satuan.
s
XX
Z
−
=
16
UKURAN KEMENCENGAN DAN
KERUNCINGAN
1. Ukuran Kemencengan ( Skewness )
Ukuran yang menunjukkan menceng tidak nya suatu
kurva Distribusi Frekuensi.
Kita kenal ada tiga macam bentuk kurva frekuensi
dari distribusi frekuensi, yaitu :
Menceng kekiri → Sk< 0 → negative skewed
Menceng kekanan →Sk >0 →positive skewed
Simetris → Sk = 0 → negative skewed
17
• Rumus PEARSON
Sk > + 0,5  Menceng sekali
Sk < + 0,5  agak Menceng
s
Mx
Sk
0−
=
( )
s
Mx
S e
k
−
=
3
18
Rumus BOWLEY
Sk > + 0,3  Menceng sekali
Sk < + 0,3  agak menceng
( ) ( )
( ) ( )1223
1223
QQQQ
QQQQ
Sk
−+−
−−−
=
19
Rumus MATEMATIS
(  dipakai bila interval sama)
( )
3
3
.sn
xxf
Sk
∑ −
=
20
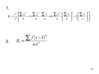
2. Ukuran Keruncingan (Kurtosis)
Ukuran yang menunjukkan kerunci-ngan
dari bentuk kurva frekuensi dari suatu
distribusi frekuensi.
Kita kenal tiga bentuk kurva frekuensi dalam
kurtosis, yaitu :
• Leptokurtik → Kt > 3
• Mezokurtik → Kt = 3
• Platykurtik → Kt < 3
21
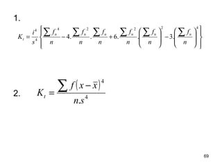
1.
2.
















−







+−=
∑∑∑∑∑∑
42224
4
4
.3..6..4
n
f
n
f
n
f
n
f
n
f
n
f
s
i
K
uuuuuu
t
( )
4
4
.sn
xxf
Kt
∑ −
=
22
UKURANUKURAN
DISPERSIDISPERSI
23
SUMMARY
MEASURES
Central Tendency
DISPERSIONDISPERSION
Range
Relative
Dispersion
Coefficient
of Variation
Coefficient of
Quartile Variation
Standard
Score
Inter Quartile
Range
Variance
Standard
Deviation
Absolute
Dispersion
Mean
Deviation
• Sebuah bank swasta akan mempelajari
tentang banyaknya pengambilan uang
lewat anjungan tunai mandiri (ATM) setiap
harinya. Satu mesin ATM diambil yang
berlokasi di supermarket “ABC” Bandung.
Dan data dibawah ini adalah hasil
pencatatan tentang banyaknya
pengambilan uang lewat ATM tersebut per
hari pada bulan November 2011:
24
83 64 84 72 84 54 75 59 70 61
63 80 84 73 68 52 65 90 52 77
95 36 78 61 59 84 95 47 87 60
25
26
• Dari data diatas, Sdr. dapat menjelaskan
secara statistik deskriptip
27
DISPERSI ABSOLUT
1. Range / Jarak / Rentang ( R )
UNGROUPED DATA (UD):
R = Data terbesar – Data terkecil
= Xmax – Xmin
GROUPED DATA (GD) :
R = Titik tengah kelas terakhir - Titik tengah
kelas pertama
= Tepi atas kelas terakhir – Tepi bawah kelas
pertama
28
I. Dispersi Absolut
1. Range / Jarak / Rentang ( R )
UD :
R = Xmax – Xmin
GD :
R = Xmax – Xmin (titik tengah)
R = Xmax – Xmin (tepi kelas)
29
1. Range / Jarak / Rentang ( R )
UD :
R = 95 – 36 = 59
GD :
R = 99,5 – 39,5 = 60
R = 104,5 – 35,5 = 69
30
Artinya : selisih/beda/jarak pengambilan
uang lewat ATM setiap harinya di
supermarket “ABC” Bandung antara yang
tertinggi dan yang terendah, berkisar 60
kali, pada bulan November 2011
31
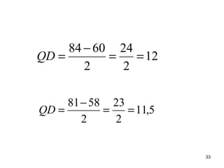
2. Quartile Deviation/Simpangan Kuartil
(QD)
UD & GD :
3 1
2
Q Q
QD
−
=
32
2
13 QQ
QD
−
=
Simpangan Kuartil
UD & GD
33
12
2
24
2
6084
==
−
=QD
5,11
2
23
2
5881
==
−
=QD
34
Artinya : simpangan kuartil pengambilan uang
lewat ATM setiap harinya di supermarket
“ABC” Bandung berkisar 12 kali, dengan rata-
rata pengambilan per hari 70 kali
35
3. Simpangan Baku ( s )
UD :
( )
n
XX
s
∑ −
==
2
σ
Cara panjang untuk n < 30
( )
1
2
−
−
==
∑
n
XX
sσ
Cara panjang untuk nCara panjang untuk n ≥≥ 3030
36
Cara pendek untuk n ≥ 30
Cara pendek untuk n < 30
( )
n
X
n
X
s
22
∑∑ −==σ
( )
)1(1
22
−
−
−
==
∑∑
nn
X
n
X
sσ
37
Cara panjang untuk n ≥ 30
Cara pendek untuk n ≥ 30
( ) 48,16
22
=−==
∑∑
n
X
n
X
sσ
( ) 48,16
2
=
−
==
∑
n
XX
sσ
38
GD :
Cara panjang untuk n ≥ 30
Cara panjang untuk n < 30
( )
n
XXf
s i∑ −
==
2
σ
( )
1
2
−
−
==
∑
n
XXf
s
i
σ
39
GD :
Cara pendek untuk n ≥ 30
Cara pendek untuk n < 30
22
)(
. 







−==
∑∑
n
fu
n
uf
isσ
( )
)1(1
)(
.
22
−
−
−
==
∑∑
nn
fu
n
uf
isσ
40
Cara panjang untuk GD :
Cara pendek untuk GD :
( ) 49,15
30
200.7
2
==
−
=
∑
n
XXf
s
( )
49,15
30
30
30
102
10
222
=




 −
−=







−=
∑∑
n
fu
n
uf
is
• Varians
• V=sxs atau(s^2)
41
42
• Artinya : rata – rata pengambilan uang
lewat ATM setiap harinya di supermarket
“ABC” Bandung berkisar 70 kali dengan
varians 225 kali.
43
2. DISPERSI RELATIF
UD & GD :
1. Coefficient of Variation / Koefisien Variasi
2. Co-efficient of Quartile Variation/ Koefisien
variasi Kuartil
100.
X
s
CV =
100.
13
13
QQ
QQ
CVQ
+
−
=
44
UD & GD :
1. Coefficient of Variation / Koefisien Variasi
01,21100.
40,70
7919,14
100. ===
X
s
CV
29,22100.
5,69
49193,15
100. ===
X
s
CV
45
UD & GD :
2. Co-efficient of Quartile Variation/ Koefisien
variasi Kuartil
67,16100.
144
24
100.
6084
6084
100.
13
13
==
+
−
=
+
−
=
QQ
QQ
CVQ
55,16100.
139
23
100.
5881
5881
100.
13
13
==
+
−
=
+
−
=
QQ
QQ
CVQ
46
Misalnya bank tersebut mencatat tentang
pengambilan uang lewat ATM setiap
harinya dari supermarket “XYZ” pada
bulan November 2011, yaitu rata-rata
dan simpangan baku adalah sebesar 85
kali dan 20 kali. Coba Sdr. hitung mana
yang lebih merata tentang distribusinya.
47
43,21100.
70
15
100."" ===
X
s
CV ABC
53,23100.
85
20
100."" ===
X
s
CV XYZ
48
Distribusi tentang pengambilan uang
lewat ATM setiap harinya pada bulan
November 2011, ternyata di supermarket
“ABC” lebih merata dibandingkan
dengan di supermarket “ XYZ ”.
(karena CV nya lebih kecil)
Berikut ini adalah nilai kuis Pengantar
Statistik Ekonomi dan Bisnis dari 13
mahasiswa di kelas A:
95 30 40 75 50 80 65 55 45 70
50 40 25
49
– Nilai mahasiswa di kelas B, untuk kuis mata
kuliah yang sama mempunyai nilai rata-rata
56 dan simpangan baku 30. Kelas manakah
yang lebih merata nilainya.
– Tomi (mahasiswa di kelas A) mendapatkan
nilai 70 sedangkan Doni (mahasiswa di kelas
B) mendapatkan nilai 77. Siapakah yang
mempunyai prestasi lebih baik (relative
terhadap kelasnya masing-masing)
50
51
12,37100.
38,55
56,20
100."" ===
A
A
A
X
s
CV
57,53100.
56
30
100."" ===
B
B
B
X
s
CV
Jadi yang lebih merata nilainya adalah kelas A
52
3. Standar Score / Angka Baku
Untuk membandingkan dua keadaan atau lebih,
diperlukan membandingkan pada dasar yang
sama, yaitu menentukan bilangan yang tidak
mempunyai satuan.
s
XX
Z
−
=
53
• Yang mempunyai nilai lebih baik, relatif
terhadap kelasnya masing-masing adalah
Tomi .
71,0
56,20
38,5570
=
−
=TomiZ
70,0
30
5677
=
−
=DoniZ
Seorang pemilik toko TV ingin memberikan
bonus kepada salah seorang
salesmannya. Tiga orang salesmannya
Telah mencapai target penjualan yang
ditentukan, dan pemilik toko tersebut akan
memberikan bonus kepada salesman
yang paling konsisten hasil penjualannya.
Data penjualan dari ke 3 salesman adalah
sbb:
54
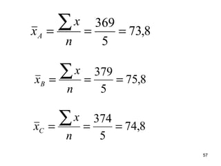
A 74 80 72 65 78
B 80 76 69 70 84
C 77 80 75 69 73
55
Peratanyaannya:
• Siapa diantara mereka yang berhak
mendapatkan bonus, jelaskan.
56
57
8,75
5
379
===
∑
n
x
xB
8,73
5
369
===
∑
n
x
xA
8,74
5
374
===
∑
n
x
xC
58
24,4
5
2,21
==
−
=
∑
n
xx
ADA
04,5
5
2,25
==
−
=
∑
n
xx
ADB
04,3
5
5,15
==
−
=
∑
n
xx
ADC
59
Cara panjang
Cara pendek
( )
8481,5
15
8,136
1
2
=
−
=
−
−
=
∑
n
xx
sA
( )
( )
( )
( )
8481,5
155
369
15
369.27
11
222
=
−
−
−
=
−
−
−
=
∑∑
nn
x
n
x
sI
60
Cara panjang
Cara pendek
( )
4187,6
15
8,164
1
2
=
−
=
−
−
=
∑
n
xx
sB
( )
( )
( )
( )
4187,6
155
379
15
893.28
11
222
=
−
−
−
=
−
−
−
=
∑∑
nn
x
n
x
sB
61
Cara panjang
Cara pendek
( )
1473,4
15
8,68
1
2
=
−
=
−
−
=
∑
n
xx
sC
( )
( )
( )
( )
1473,4
155
374
15
044.28
11
222
=
−
−
−
=
−
−
−
=
∑∑
nn
x
n
x
sB
62
92,7100
8,73
8481,5
100. =×==
x
s
CVA
47,8100
8,75
4187,6
100. =×==
x
s
CVB
54,5100
8,74
1473,4
100. =×==
x
s
CVC
63
Dari hasil perhitungan ternyata salesman
yang paling konsisten hasil penjualannya
dari ketiga salesman adalah C.
64
UKURAN KEMENCENGAN DAN
KERUNCINGAN
1. Ukuran Kemencengan ( Skewness )
Ukuran yang menunjukkan menceng tidak nya suatu
kurva Distribusi Frekuensi.
Kita kenal ada tiga macam bentuk kurva frekuensi
dari distribusi frekuensi, yaitu :
Menceng kekiri → Sk< 0 → negative skewed
Menceng kekanan →Sk >0 →positive skewed
Simetris → Sk = 0 → negative skewed
65
• Rumus PEARSON
Sk > + 0,5  Menceng sekali
Sk < + 0,5  agak Menceng
s
Mx
Sk
0−
=
( )
s
Mx
S e
k
−
=
3
66
Rumus BOWLEY
Sk > + 0,3  Menceng sekali
Sk < + 0,3  agak menceng
( ) ( )
( ) ( )1223
1223
QQQQ
QQQQ
Sk
−+−
−−−
=
67
Rumus MATEMATIS
(  dipakai bila interval sama)
( )
3
3
.sn
xxf
Sk
∑ −
=
68
2. Ukuran Keruncingan (Kurtosis)
Ukuran yang menunjukkan keruncingan dari
bentuk kurva frekuensi dari suatu
distribusi frekuensi.
Kita kenal tiga bentuk kurva frekuensi dalam
kurtosis, yaitu :
• Leptokurtik → Kt > 3
• Mezokurtik → Kt = 3
• Platykurtik → Kt < 3
69
1.
2.
















−







+−=
∑∑∑∑∑∑
42224
4
4
.3..6..4
n
f
n
f
n
f
n
f
n
f
n
f
s
i
K
uuuuuu
t
( )
4
4
.sn
xxf
Kt
∑ −
=
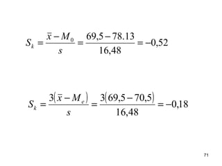
70
IV. Ukuran kemencengan (Sk) dan
keruncingan (Kt)
Diketahui dari soal sebelumnya :
= 69,5 fu = – 30
Me = Q2 = 70,5 fu2
= 102
Q1 = 58,07 fu4
= 906
Q3 = 80,61 n = 30
Mo = 78,13
s = 16,48
x
71
52,0
48,16
13.785,690
−=
−
=
−
=
s
Mx
Sk
( ) ( ) 18,0
48,16
5,705,6933
−=
−
=
−
=
s
Mx
S e
k
72
Ukuran kemencengan :
• Kurva dari DF tersebut normal
( ) ( )
( ) ( )1223
1223
QQQQ
QQQQ
Sk
−+−
−−−
=
( ) ( )
( ) ( )
1029,0
07,585,705,7061,80
07,585,705,7061,80
−=
−+−
−−−
=
73
Ukuran Keruncingan
















−







+−=
∑∑∑∑∑∑
42224
4
4
.3..6..4
n
f
n
f
n
f
n
f
n
f
n
f
s
i
K uuuuuu
t
( )
( ) 












 −
−




 −
+
−
−=
42
4
4
30
30
3
30
30
.
30
102
.6
30
30
.
30
102
.4
30
906
49,15
10
tK
74
Kt = 0,173697804 (30,2 + 13,6 + 20,4 – 1 )
Kt = 0,173697804 (61,2)
Kt = 10,63 → Leptokurtik

5. ukuran dispersi