Rangkaian AC Pararel
Simon Patabang, MT.
Universitas Atma Jaya Makassar
• Setiap impedansi Z yang diparalelkan dalam
rangkaian ac mempunyai beda tegangan yg sama,
baik besar, arah maupun fasenya.
Rangkaian Paralel
• Berdasarkan hukum Kirchof I diperoleh besarnya
arus It adalah It = i1 + i2 + i3
• Berdasarkan hukum Ohm, diperoleh persamaan
sebagai berikut It = Vt/ Zt
• Besarnya total impedansi yang paralel adalah :
• Untuk dua impedansi yang dihubungkan paralel,
persamaan menjadi :
tV
1. Rangkaian R-C Paralel
• Impedansi rangkaian adalah Z1 =
Xc dan Z2 = R.
• Arus Total I terbagi 2 yaitu IC,
mengalir pada cabang
kapasitor dan IR mengalir pada
cabang resistor .
• Total arus I merupakan
penjumlahan vektor IC dan IR.
 Tegangan pada R dan XC, besarnya sama karena
terhubung paralel yaitu V= Vm sin ω t.
 Arus pada R adalah sefasa dengan tegangan (V).
IR = V/R
 Arus pada cabang Xc adalah IC mendahului tegangan
sebesar 900.
IC = V/XC
 Sedangkan arus total I mendahului tegangan (v)
sebesar sudut φ.
I = IR + Ic
• Karena arus yang mengalir melalui resistor
dan kapasitor terjadi perbedaan fasa, untuk
itu hubungan arus (i) dapat ditentukan dengan
menggunakan persamaan kuadrat berikut;
Sehingga :
• Oleh karena itu, besarnya arus percabangan yang
mengalir menuju resistor dan kapasitor menentukan
besarnya impedansi (Z) secara keseluruhan dari
rangkaian
dimana
maka
• Besarnya perbedaan sudut (φ) antara
reaktansi kapasitif (XC) terhadap resistansi (R)
dapat ditentukan dengan menggunakan
persamaan :
atau
Contoh :
Suatu rangkaian dengan sumber tegangan listrik bolak-
balik 220 V / 50 Hz dirangkai secara paralel dengan
resistor yang memiliki nilai sebesar 100 Ω dan kapasitor
dengan kapasitas 7,5 μF. Berapakah nilai impedansi
rangkaian tersebut ?
Penyelesaian :
Diketahui : ƒ = 50 Hz
R = 100 Ω
C = 7,5 μF = 7,5 x 10-6 F
Ditanya : Z = ?
• Jawab :
Langkah pertama menghitung nilai reaktansi
kapasitif (XC) pada kapasitor :
• Jika nilai XC telah diketahui, selanjutnya menghitung
nilai impedansi (Z) dengan rumus impedansi
dihubungkan secara paralel :
2 Rangkaian Paralel RL
• Impedansi Z total Rangkaian:
1 2
1 2 1 2
.1 1 1
T
T
Z Z
atau Z
Z Z Z Z Z
  

dimana : Z1 = R + j0
Z2 = 0 + jXL
• Arus Total Rangkaian :
Arus sumber I terbagi menjadi IR dan IL, jadi
I = IR + IL, dimana :
• Total Tegangan Rangkaian
Tegangan pada R dan XL besarnya sama, yaitu sama
dengan tegangan sumber V.
V = VR = VL  Karena L , R, dan sumber hubungan
paralel.
L R
L
V V
I dan I
X R
 
• Berdasarkan grafik di atas, maka diperolah IT adalah:
• Sudut phasa θ dan Z dapat dihitung dengan rumus :
1
, ,XL
R T
I V
tg Z Z Z
I I
   
     
 
2 2
T R XLI I I 
• Impedansi Z total :
Nilai Z1 dan Z2 dapat kita cari menggunakan rumus
dibawah ini:
1 2
1 2 1 2
.1 1 1
T
T
Z Z
atau Z
Z Z Z Z Z
  

Contoh
• Penyelesaian :
3. Rangkaian RLC Paralel
• Impedansi (Z) pada
rangkaian paralel resistor,
induktor, dan kapasitor
menggunakan rumus
berikut :
Arus Total I
• Arus listrik (I) total pada rangkaian paralel resistor,
induktor, dan kapasitor dengan arus bolak-balik
dapat diketahui, jika arus listrik masing-masing pada
beban telah diketahui kemudian menghitung dengan
menggunakan rumus :
I = Arus listrik total pada rangkaian (A)
IR = Arus listrik yang mengalir pada beban resistor (A)
IL = Arus listrik yang mengalir pada beban induktor (A)
IC = Arus listrik yang mengalir pada beban kapasitor (A)
Tegangan Total V
• Nilai tegangan (V) pada rangkaian tersebut dapat
dihitung dengan menggunakan rumus yang berasal
sari hasil substitusi rumus hukum ohm :
Keterangan:
V = Tegangan listrik pada rangkaian (Volt)
I = Arus listrik pada rangkaian (A)
Z = Impedansi (Ω)
Sudut phasa
• Sudut phasa dapat diketahui dengan menggunakan
rumus berikut :
p
1
cos
R
Z
   
  
 
Sifat Rangkaian
1. Bersifat resistif apabila nilai arus listrik yang mengalir
pada induktor sama dengan arus listrik yang mengalir
pada kapasitor IL = IC, arus listrik total se fase dengan
tegangan.
2. Bersifat induktif apabila nilai arus listrik yang
mengalir pada induktor lebih besar dari pada arus
listrik yang mengalir pada kapasitor IL > IC, arus listrik
total tertinggal (Lag) terhadap tegangan.
3. Bersifat kapasitif apabila nilai arus listrik yang
mengalir pada induktor lebih kecil dari pada arus
listrik yang mengalir pada kapasitor IL < IC, arus listrik
total mendahului (lead) terhadap tegangan.
Contoh :
1. Suatu sumber tegangan bolak-balik memiliki nilai
frekuensi sebesar 50 Hz, dirangkai secara paralel
dengan beban-bebannya yang berupa resistor 30 Ω,
Induktor 300 mH, dan kapasitor 50 μF. Berapakah
nilai impedansi pada rangkaian tersebut?
Diketahui : f = 50 Hz
R = 30 Ω
L = 300 mH = 0,3 H
C = 50 μF = 5 x 10-5 F
Ditanya : Z =?
• Jawab :
Langkah pertama menghitung nilai reaktansi
induktif (XL), dan reaktansi kapasitif (XC) :
• Nilai impedansi (Z) total pada rangkaian tersebut :
2. Sebuah Resistor dengan resistansi 8 Ohm dihubung
seri dengan induktansi 0,0191 H kemudian diparalel
dengan kapasitor 398 mF dan resistansi 6 Ohm yang
dihubung seri. Rangkaian disuplay dengan tega-
ngan 200 V, 50 Hz.
Hitunglah:
a. Arus masing-masing cabang.
b. Arus total
c. Sudut fase antara arus dan tegangan
Penyelesaian :
Diketahui : Vm = 200 V, f = 50 HZ, R1=1,8 Ohm, L = 0,019 H,
R2= 6 Ohm, dan C = 398 mF
a. i1= V/Z1 dan i2 = V/Z2
XL = ωL dan Xc = 1/ωC
XL = 2πf.L = 2π. 50. 0,019 = 5,9714 Ω
XC = 1/(2πf.C) = 1/ (2π. 50.398. 10⁻³) = 8 mΩ
b. Arus total It = ?
It = i1 + i2
c. Sudut fase antara arus dan tegangan
Cos θ1 = R1/Z1
Cos θ1 = 1,8/6,24
Cos θ1 = 0,288462
θ1 = 73,2°
Cos θ2 = R2/Z2
Cos θ2 = 6/10
Cos θ2 = 0,6
θ2 = 53,1°
Z1 dan Z2 paralel maka Z = Z1. Z2 / (Z1 + Z2)



1,53102,7326,6
1,53102,7326,6 x
Zt
1,53sin101,53cos102,73sin26,62,73cos26,6
3,1266,62
jj
Zt



14807,7
3,1266,62
j
Zt






88,33023,16
3,1266,62
Zt
 42,92907,3Zt
Sudut fase antara arus dan tegangan adalah 92,42°,
bertanda negatip berarti arus terlambat terhadap
tegangan.
 1,53102dan2,7326,61 ZZ
 It = V/Zt  42,9219,51it

Rumus pembagi arus :
• Besarnya I1 dan I2 :
Contoh :
Tentukanlah arus pada tiap cabang rangkaian dengan rumus
pembagi arus
Penyelesaian :
Besarnya arus I1 adalah :
• Arus I2 pada cabang 2 :
• Admitansi adalah kebalikan dari impedansi Z. Admitansi
dinyatakan dengan simbol Y dan satuan mho
• Konduktansi adalah kebalikan dari impedansi R.
Admitansi dinyatakan dengan simbol G.
• Suseptansi adalah kebalikan dari impedansi X. Admitansi
dinyatakan dengan simbol B.
Admitansi, Konduktansi, dan Suseptansi
1
Y
Z

1
G
R

1
B
X

• Rangkaian paralel dengan Admitansi digambarkan
sebagai berikut :
• Persamaan menjadi
1 1 1
T T
j
Z R X
 
Y G j B 
1 2 3
1 1 1 1
..
TZ Z Z Z
   • Persamaan
menjadi 1 2 3 ...TY Y Y Y   
• Komponen real disebut konduktansi dengan simbol G
dan komponen imajiner disebut Suseptansi dengan
simbol B.
Hubungan Y, G, dan G
• Besarnya perbedaan sudut (ϕ) antara XC terhadap
resistansi R adalah :
tan
G Bc Bc
Cos Sin
Y Y G
    
cos sinG Y Bc Y  
tan
R
Xc
 
1 1
cos sin
R Xc
Y Y 
 
Admitansi untuk tiap elemen impedansi didefinisikan
sebagai berikut :
1. Admitansi Resistor
2. Admitansi Induktor
3. Admitansi Kapasitor
Besarnya arus pada tiap impedansi yang paralel.
Arus sumber Is adalah :
Contoh :
Tentukanlah impedansi dan admintansi dari
rangkaian berikut :
Penyelesaian :
Tentukanlah impedansi dan
admintansi dari tiap cabang
lebih dahulu.
• Cabang 1 terdiri dari R1 dan L1
• Cabang 2 terdiri dari R2 dan L2
• Cabang 3 terdiri dari R3 dan C
Ketiga cabang terhubung paralel maka :
Yt = Y1 + Y2 + Y3
Contoh :
Untuk rangkaian paralel R-C pada Gambar tentukanlah
a. Admitansi total dan impedansi
b. Arus pada setiap cabang
c. Nyatakan tegangan sumber dan arus pada
masing-masing cabang sebagai fungsi waktu
Penyelesaian :
Total admitansi dan impedansi :
Impedansi total adalah :
b. Arus pada tiap admitansi
c. Tegangan sumber dan arus sebagai fungsi waktu
Rangkaian Seri
Rangkaian seri digambarkan sebagai berikut :
Impesandi total Zt = Z1 + Z2 + Z3 + … Zn
Dan arus sumber adalah :
• Tegangan pada setiap impendansi
Dimana setiap tegangan Vn adalah :
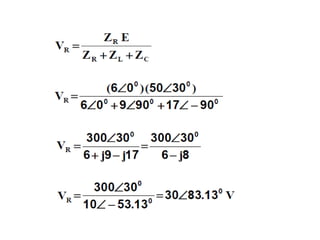
• Rumus pembagi tegangan :
dimana :
Zt = impedansi total
Vx = tegangan yang dicari
E = tegangan sumber rangkaian ac
2. Tentukanlah tegangan VR , VL, VC dan V1 pada
rangkaian berikut.
Penyelesaian :
Dengan rumus pembagi tegangan, maka tegangan tiap
komponen dihitung sbb :
Sekian

4 rangkaian ac paralel

  • 1.
    Rangkaian AC Pararel SimonPatabang, MT. Universitas Atma Jaya Makassar
  • 2.
    • Setiap impedansiZ yang diparalelkan dalam rangkaian ac mempunyai beda tegangan yg sama, baik besar, arah maupun fasenya. Rangkaian Paralel
  • 3.
    • Berdasarkan hukumKirchof I diperoleh besarnya arus It adalah It = i1 + i2 + i3 • Berdasarkan hukum Ohm, diperoleh persamaan sebagai berikut It = Vt/ Zt • Besarnya total impedansi yang paralel adalah : • Untuk dua impedansi yang dihubungkan paralel, persamaan menjadi : tV
  • 4.
    1. Rangkaian R-CParalel • Impedansi rangkaian adalah Z1 = Xc dan Z2 = R. • Arus Total I terbagi 2 yaitu IC, mengalir pada cabang kapasitor dan IR mengalir pada cabang resistor . • Total arus I merupakan penjumlahan vektor IC dan IR.
  • 5.
     Tegangan padaR dan XC, besarnya sama karena terhubung paralel yaitu V= Vm sin ω t.  Arus pada R adalah sefasa dengan tegangan (V). IR = V/R  Arus pada cabang Xc adalah IC mendahului tegangan sebesar 900. IC = V/XC  Sedangkan arus total I mendahului tegangan (v) sebesar sudut φ. I = IR + Ic
  • 6.
    • Karena arusyang mengalir melalui resistor dan kapasitor terjadi perbedaan fasa, untuk itu hubungan arus (i) dapat ditentukan dengan menggunakan persamaan kuadrat berikut; Sehingga :
  • 7.
    • Oleh karenaitu, besarnya arus percabangan yang mengalir menuju resistor dan kapasitor menentukan besarnya impedansi (Z) secara keseluruhan dari rangkaian dimana maka
  • 8.
    • Besarnya perbedaansudut (φ) antara reaktansi kapasitif (XC) terhadap resistansi (R) dapat ditentukan dengan menggunakan persamaan : atau
  • 9.
    Contoh : Suatu rangkaiandengan sumber tegangan listrik bolak- balik 220 V / 50 Hz dirangkai secara paralel dengan resistor yang memiliki nilai sebesar 100 Ω dan kapasitor dengan kapasitas 7,5 μF. Berapakah nilai impedansi rangkaian tersebut ? Penyelesaian : Diketahui : ƒ = 50 Hz R = 100 Ω C = 7,5 μF = 7,5 x 10-6 F Ditanya : Z = ?
  • 10.
    • Jawab : Langkahpertama menghitung nilai reaktansi kapasitif (XC) pada kapasitor :
  • 11.
    • Jika nilaiXC telah diketahui, selanjutnya menghitung nilai impedansi (Z) dengan rumus impedansi dihubungkan secara paralel :
  • 12.
    2 Rangkaian ParalelRL • Impedansi Z total Rangkaian: 1 2 1 2 1 2 .1 1 1 T T Z Z atau Z Z Z Z Z Z     dimana : Z1 = R + j0 Z2 = 0 + jXL
  • 13.
    • Arus TotalRangkaian : Arus sumber I terbagi menjadi IR dan IL, jadi I = IR + IL, dimana : • Total Tegangan Rangkaian Tegangan pada R dan XL besarnya sama, yaitu sama dengan tegangan sumber V. V = VR = VL  Karena L , R, dan sumber hubungan paralel. L R L V V I dan I X R  
  • 14.
    • Berdasarkan grafikdi atas, maka diperolah IT adalah: • Sudut phasa θ dan Z dapat dihitung dengan rumus : 1 , ,XL R T I V tg Z Z Z I I             2 2 T R XLI I I 
  • 15.
    • Impedansi Ztotal : Nilai Z1 dan Z2 dapat kita cari menggunakan rumus dibawah ini: 1 2 1 2 1 2 .1 1 1 T T Z Z atau Z Z Z Z Z Z    
  • 16.
  • 18.
    3. Rangkaian RLCParalel • Impedansi (Z) pada rangkaian paralel resistor, induktor, dan kapasitor menggunakan rumus berikut :
  • 19.
    Arus Total I •Arus listrik (I) total pada rangkaian paralel resistor, induktor, dan kapasitor dengan arus bolak-balik dapat diketahui, jika arus listrik masing-masing pada beban telah diketahui kemudian menghitung dengan menggunakan rumus : I = Arus listrik total pada rangkaian (A) IR = Arus listrik yang mengalir pada beban resistor (A) IL = Arus listrik yang mengalir pada beban induktor (A) IC = Arus listrik yang mengalir pada beban kapasitor (A)
  • 20.
    Tegangan Total V •Nilai tegangan (V) pada rangkaian tersebut dapat dihitung dengan menggunakan rumus yang berasal sari hasil substitusi rumus hukum ohm : Keterangan: V = Tegangan listrik pada rangkaian (Volt) I = Arus listrik pada rangkaian (A) Z = Impedansi (Ω)
  • 21.
    Sudut phasa • Sudutphasa dapat diketahui dengan menggunakan rumus berikut : p 1 cos R Z         
  • 22.
    Sifat Rangkaian 1. Bersifatresistif apabila nilai arus listrik yang mengalir pada induktor sama dengan arus listrik yang mengalir pada kapasitor IL = IC, arus listrik total se fase dengan tegangan. 2. Bersifat induktif apabila nilai arus listrik yang mengalir pada induktor lebih besar dari pada arus listrik yang mengalir pada kapasitor IL > IC, arus listrik total tertinggal (Lag) terhadap tegangan. 3. Bersifat kapasitif apabila nilai arus listrik yang mengalir pada induktor lebih kecil dari pada arus listrik yang mengalir pada kapasitor IL < IC, arus listrik total mendahului (lead) terhadap tegangan.
  • 23.
    Contoh : 1. Suatusumber tegangan bolak-balik memiliki nilai frekuensi sebesar 50 Hz, dirangkai secara paralel dengan beban-bebannya yang berupa resistor 30 Ω, Induktor 300 mH, dan kapasitor 50 μF. Berapakah nilai impedansi pada rangkaian tersebut? Diketahui : f = 50 Hz R = 30 Ω L = 300 mH = 0,3 H C = 50 μF = 5 x 10-5 F Ditanya : Z =?
  • 24.
    • Jawab : Langkahpertama menghitung nilai reaktansi induktif (XL), dan reaktansi kapasitif (XC) :
  • 25.
    • Nilai impedansi(Z) total pada rangkaian tersebut :
  • 26.
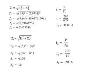
    2. Sebuah Resistordengan resistansi 8 Ohm dihubung seri dengan induktansi 0,0191 H kemudian diparalel dengan kapasitor 398 mF dan resistansi 6 Ohm yang dihubung seri. Rangkaian disuplay dengan tega- ngan 200 V, 50 Hz. Hitunglah: a. Arus masing-masing cabang. b. Arus total c. Sudut fase antara arus dan tegangan
  • 27.
    Penyelesaian : Diketahui :Vm = 200 V, f = 50 HZ, R1=1,8 Ohm, L = 0,019 H, R2= 6 Ohm, dan C = 398 mF a. i1= V/Z1 dan i2 = V/Z2 XL = ωL dan Xc = 1/ωC XL = 2πf.L = 2π. 50. 0,019 = 5,9714 Ω XC = 1/(2πf.C) = 1/ (2π. 50.398. 10⁻³) = 8 mΩ
  • 29.
    b. Arus totalIt = ? It = i1 + i2 c. Sudut fase antara arus dan tegangan Cos θ1 = R1/Z1 Cos θ1 = 1,8/6,24 Cos θ1 = 0,288462 θ1 = 73,2° Cos θ2 = R2/Z2 Cos θ2 = 6/10 Cos θ2 = 0,6 θ2 = 53,1° Z1 dan Z2 paralel maka Z = Z1. Z2 / (Z1 + Z2)
  • 30.
       1,53102,7326,6 1,53102,7326,6 x Zt 1,53sin101,53cos102,73sin26,62,73cos26,6 3,1266,62 jj Zt    14807,7 3,1266,62 j Zt       88,33023,16 3,1266,62 Zt  42,92907,3Zt Sudutfase antara arus dan tegangan adalah 92,42°, bertanda negatip berarti arus terlambat terhadap tegangan.  1,53102dan2,7326,61 ZZ  It = V/Zt  42,9219,51it 
  • 31.
    Rumus pembagi arus: • Besarnya I1 dan I2 :
  • 32.
    Contoh : Tentukanlah aruspada tiap cabang rangkaian dengan rumus pembagi arus Penyelesaian : Besarnya arus I1 adalah :
  • 33.
    • Arus I2pada cabang 2 :
  • 34.
    • Admitansi adalahkebalikan dari impedansi Z. Admitansi dinyatakan dengan simbol Y dan satuan mho • Konduktansi adalah kebalikan dari impedansi R. Admitansi dinyatakan dengan simbol G. • Suseptansi adalah kebalikan dari impedansi X. Admitansi dinyatakan dengan simbol B. Admitansi, Konduktansi, dan Suseptansi 1 Y Z  1 G R  1 B X 
  • 35.
    • Rangkaian paraleldengan Admitansi digambarkan sebagai berikut : • Persamaan menjadi 1 1 1 T T j Z R X   Y G j B  1 2 3 1 1 1 1 .. TZ Z Z Z    • Persamaan menjadi 1 2 3 ...TY Y Y Y   
  • 36.
    • Komponen realdisebut konduktansi dengan simbol G dan komponen imajiner disebut Suseptansi dengan simbol B.
  • 37.
    Hubungan Y, G,dan G • Besarnya perbedaan sudut (ϕ) antara XC terhadap resistansi R adalah : tan G Bc Bc Cos Sin Y Y G      cos sinG Y Bc Y   tan R Xc   1 1 cos sin R Xc Y Y   
  • 38.
    Admitansi untuk tiapelemen impedansi didefinisikan sebagai berikut : 1. Admitansi Resistor 2. Admitansi Induktor 3. Admitansi Kapasitor
  • 39.
    Besarnya arus padatiap impedansi yang paralel. Arus sumber Is adalah :
  • 40.
    Contoh : Tentukanlah impedansidan admintansi dari rangkaian berikut : Penyelesaian : Tentukanlah impedansi dan admintansi dari tiap cabang lebih dahulu.
  • 41.
    • Cabang 1terdiri dari R1 dan L1 • Cabang 2 terdiri dari R2 dan L2 • Cabang 3 terdiri dari R3 dan C Ketiga cabang terhubung paralel maka : Yt = Y1 + Y2 + Y3
  • 42.
    Contoh : Untuk rangkaianparalel R-C pada Gambar tentukanlah a. Admitansi total dan impedansi b. Arus pada setiap cabang c. Nyatakan tegangan sumber dan arus pada masing-masing cabang sebagai fungsi waktu
  • 43.
  • 44.
    Impedansi total adalah: b. Arus pada tiap admitansi c. Tegangan sumber dan arus sebagai fungsi waktu
  • 45.
    Rangkaian Seri Rangkaian seridigambarkan sebagai berikut : Impesandi total Zt = Z1 + Z2 + Z3 + … Zn Dan arus sumber adalah :
  • 46.
    • Tegangan padasetiap impendansi Dimana setiap tegangan Vn adalah : • Rumus pembagi tegangan : dimana : Zt = impedansi total Vx = tegangan yang dicari E = tegangan sumber rangkaian ac
  • 47.
    2. Tentukanlah teganganVR , VL, VC dan V1 pada rangkaian berikut. Penyelesaian : Dengan rumus pembagi tegangan, maka tegangan tiap komponen dihitung sbb :
  • 50.