Rangkaian RLC Pararel
Simon Patabang, MT.
Universitas Atma Jaya Makassar
• Setiap impedansi Z yang diparalelkan dalam
rangkaian ac mempunyai tegangan yg sama, baik
besar, arah maupun fasenya.
1. Rangkaian Paralel
• Berdasarkan hukum Kirchof diperoleh besarnya arus
It adalah It = i1 + i2 + i3
• Berdasarkan hukum Ohm, bersarnya arus It adalah
It = Vt/ Zt
• Total impedansi diperoleh dengan persamaan :
• Total Impedansi Zt untuk dua buah impedansi yang
dihubungkan paralel adalah :
1. Sebuah resistor 1,8 Ohm dihubungkan seri dengan
induktansi 0,0191 H kemudian diparalel dengan
kapasitor 398 μF dan resistor 6 Ohm yang
dihubungkan seri. Rangkaian disuplay dengan tega-
ngan AC 200 V, 50 Hz.
Hitunglah:
a. Arus masing-masing cabang.
b. Arus total
c. Sudut fase antara arus dan tegangan
d. Daya masing-masing cabang
Contoh :
Penyelesaian :
Diketahui :
Vm = 200 V, f = 50 HZ, R1=1,8
Ohm, L = 0,019 H, R2= 6 Ohm,
dan C = 398 μF
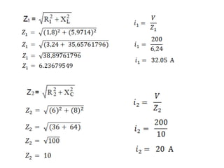
a. i1= V/Z1 dan i2 = V/Z2
XL = ωL = 2πf.L = 2π. 50. 0,019 = 5,9714 Ω
Xc = 1/ωC = 1/(2πf.C) = 1/ (2π. 50.398. 10⁻6) = 8 Ω
b. Arus total It = ?
It = i1 + i2
It = 32,05 + 20 = 52,05 A
c. Sudut fase antara arus dan tegangan
Cos θ1 = R1/Z1
Cos θ1 = 1,8/6,24
Cos θ1 = 0,288462
θ1 = 73,2°
Cos θ2 = R2/Z2
Cos θ2 = 6/10
Cos θ2 = 0,6
θ2 = 53,1°
Z1 dan Z2 paralel maka Z = Z1. Z2 / (Z1 + Z2)



1,53102,7326,6
1,53102,7326,6 x
Zt
1,53sin101,53cos102,73sin26,62,73cos26,6
3,1266,62
jj
Zt



14807,7
3,1266,62
j
Zt






88,33023,16
3,1266,62
Zt
 42,92907,3Zt
Sudut fase antara arus dan tegangan adalah 92,42°,
bertanda negatip berarti arus terlambat terhadap
tegangan. Beban bersifat induktif.
 1,53102dan2,7326,61 ZZ
 It = V/Zt  42,9219,51it

1. Daya Nyata : P = Vef.Ief. Cos θ
P1 = ½.V.I1 . Cos θ1
P1 = ½.200. 32,05 . 0,288462
P1 = 924,5 Watt
P2 = ½.V. I2 . Cos θ2
P2 = ½. 200. 20 . 0,6
P2 = 1,200 Watt
d. Daya tiap cabang
P (KW) = S (KVA) cos θ
Q (KVAR) = S (KVA) sin θ
S² = P² + Q²
2. Daya Reaktif : Q = ½.V.I. sin θ
sin θ1 = XL/Z1
Sin θ1 = 5,9714/6,24
Sin θ1 = 0,956955
Q1 = ½.V.I1 . Sin θ1
Q1 = ½. 200. 32,05 . 0,956955
Q1 = 3.067 VAR
Sin θ2 = XC/Z2
Sin θ2 = 0,008/10
Sin θ2 = 0,0008
Q2 = ½. V. I2 . SIn θ2
Q2 = ½. 200. 20 . 0,008
Q2 = 1,6 VAR
3. Daya Semu : S² = P² + Q²
P1 = 924,5 Watt , Q1 = 3.067 VAR
S1² = P1² + Q1²  S1² = (924,5) ² + (3.067)²
S1 = 3.203,309 VA
P2 = 1,200 Watt , Q2 = 1,6 VAR
S2² = P2² + Q2²  S2² = (1,200) ² + (1,6)²
S2 = 1200,001 VA
Rumus pembagi arus :
• Besarnya I1 dan I2 :
Contoh :
Tentukanlah arus pada tiap cabang rangkaian dengan rumus
pembagi arus
Penyelesaian :
Besarnya arus I1 adalah :
• Arus I2 pada cabang 2 :
Admitansi, konduktansi , dan Suseptansi
• Dalam rangkaian AC paralel dikenal istilah Admitansi,
konduktansi, dan Suseptansi.
• Admitansi adalah kebalikan dari impedansi
didefinisikan dengan persamaan Y = 1/Z.
• Admitansi dinyatakan dalam satuan mho (kebalikan
dari ohm).
• Persamaan admitansi untuk rangkaian pararel
didefinisikan sbb : Yt = Y1 + Y2 + Y3 + .... Yn
• Impedansi terdiri dari resistansi dan reaktansi
dengan persamaan Z = R + jX sedangkan Admitansi
terdiri dari suseptansi G dan konduktansi B dengan
persamaan Y = G + jB.
• Komponen real disebut konduktansi dengan simbol G
dan komponen imajiner disebut Suseptansi dengan
simbol B.
• Rangkaian paralel dengan Admitansi digambarkan
sebagai berikut :
Admitansi untuk tiap elemen impedansi didefinisikan
sebagai berikut :
1. Admitansi Resistor
2. Admitansi Induktor
3. Admitansi Kapasitor
Besarnya arus pada tiap impedansi yang paralel.
Contoh :
Tentukanlah impedansi dan
admintansi dari rangkaian berikut :
Penyelesaian :
Tentukan impedansi dan
admintansi dari tiap cabang
lebih dahulu.
• Cabang 1 terdiri dari R1 dan L1
• Cabang 2 terdiri dari R2 dan L2
• Cabang 3 terdiri dari R3 dan C
Ketiga cabang terhubung paralel maka :
Yt = Y1 + Y2 + Y3
Sifat Rangkaian AC Pada RLC Paralel
• Bersifat resistif apabila nilai arus listrik yang
mengalir pada induktor sama dengan arus listrik
yang mengalir pada kapasitor IL = IC, arus listrik
total se fase dengan tegangan.
• Bersifat induktif apabila nilai arus listrik yang
mengalir pada induktor lebih besar dari pada arus
listrik yang mengalir pada kapasitor IL > IC, arus
listrik total tertinggal (Lag) terhadap tegangan.
• Bersifat kapasitif apabila nilai arus listrik yang
mengalir pada induktor lebih kecil dari pada arus
listrik yang mengalir pada kapasitor IL < IC, arus
listrik total mendahului (lead) terhadap tegangan.
Contoh :
Untuk rangkaian paralel R-C pada Gambar, tentukanlah
a. Admitansi total dan impedansi
b. Arus pada setiap cabang
c. Nyatakan tegangan sumber dan arus pada masing-
masing cabang sebagai fungsi waktu
Penyelesaian :
Total admitansi dan impedansi :
Impedansi total adalah :
b. Arus pada tiap admitansi
c. Tegangan sumber dan arus sebagai fungsi waktu
Latihan
1. Suatu sumber tegangan bolak-
balik memiliki nilai frekuensi
sebesar 50 Hz, dirangkai secara
paralel dengan beban-
bebannya yang berupa resistor
yang memiliki nilai hambatan
30 Ω, Induktor dengan
induktansi 300 mH, dan
kapasitor dengan kapasitas 50
μF. Berapakah nilai admitansi
pada rangkaian tersebut?
Sekian

12 rangkaian rlc pararel

  • 1.
    Rangkaian RLC Pararel SimonPatabang, MT. Universitas Atma Jaya Makassar
  • 2.
    • Setiap impedansiZ yang diparalelkan dalam rangkaian ac mempunyai tegangan yg sama, baik besar, arah maupun fasenya. 1. Rangkaian Paralel
  • 3.
    • Berdasarkan hukumKirchof diperoleh besarnya arus It adalah It = i1 + i2 + i3 • Berdasarkan hukum Ohm, bersarnya arus It adalah It = Vt/ Zt • Total impedansi diperoleh dengan persamaan : • Total Impedansi Zt untuk dua buah impedansi yang dihubungkan paralel adalah :
  • 4.
    1. Sebuah resistor1,8 Ohm dihubungkan seri dengan induktansi 0,0191 H kemudian diparalel dengan kapasitor 398 μF dan resistor 6 Ohm yang dihubungkan seri. Rangkaian disuplay dengan tega- ngan AC 200 V, 50 Hz. Hitunglah: a. Arus masing-masing cabang. b. Arus total c. Sudut fase antara arus dan tegangan d. Daya masing-masing cabang Contoh :
  • 5.
    Penyelesaian : Diketahui : Vm= 200 V, f = 50 HZ, R1=1,8 Ohm, L = 0,019 H, R2= 6 Ohm, dan C = 398 μF a. i1= V/Z1 dan i2 = V/Z2 XL = ωL = 2πf.L = 2π. 50. 0,019 = 5,9714 Ω Xc = 1/ωC = 1/(2πf.C) = 1/ (2π. 50.398. 10⁻6) = 8 Ω
  • 7.
    b. Arus totalIt = ? It = i1 + i2 It = 32,05 + 20 = 52,05 A c. Sudut fase antara arus dan tegangan Cos θ1 = R1/Z1 Cos θ1 = 1,8/6,24 Cos θ1 = 0,288462 θ1 = 73,2° Cos θ2 = R2/Z2 Cos θ2 = 6/10 Cos θ2 = 0,6 θ2 = 53,1° Z1 dan Z2 paralel maka Z = Z1. Z2 / (Z1 + Z2)
  • 8.
       1,53102,7326,6 1,53102,7326,6 x Zt 1,53sin101,53cos102,73sin26,62,73cos26,6 3,1266,62 jj Zt    14807,7 3,1266,62 j Zt       88,33023,16 3,1266,62 Zt  42,92907,3Zt Sudutfase antara arus dan tegangan adalah 92,42°, bertanda negatip berarti arus terlambat terhadap tegangan. Beban bersifat induktif.  1,53102dan2,7326,61 ZZ  It = V/Zt  42,9219,51it 
  • 9.
    1. Daya Nyata: P = Vef.Ief. Cos θ P1 = ½.V.I1 . Cos θ1 P1 = ½.200. 32,05 . 0,288462 P1 = 924,5 Watt P2 = ½.V. I2 . Cos θ2 P2 = ½. 200. 20 . 0,6 P2 = 1,200 Watt d. Daya tiap cabang P (KW) = S (KVA) cos θ Q (KVAR) = S (KVA) sin θ S² = P² + Q²
  • 10.
    2. Daya Reaktif: Q = ½.V.I. sin θ sin θ1 = XL/Z1 Sin θ1 = 5,9714/6,24 Sin θ1 = 0,956955 Q1 = ½.V.I1 . Sin θ1 Q1 = ½. 200. 32,05 . 0,956955 Q1 = 3.067 VAR Sin θ2 = XC/Z2 Sin θ2 = 0,008/10 Sin θ2 = 0,0008 Q2 = ½. V. I2 . SIn θ2 Q2 = ½. 200. 20 . 0,008 Q2 = 1,6 VAR
  • 11.
    3. Daya Semu: S² = P² + Q² P1 = 924,5 Watt , Q1 = 3.067 VAR S1² = P1² + Q1²  S1² = (924,5) ² + (3.067)² S1 = 3.203,309 VA P2 = 1,200 Watt , Q2 = 1,6 VAR S2² = P2² + Q2²  S2² = (1,200) ² + (1,6)² S2 = 1200,001 VA
  • 12.
    Rumus pembagi arus: • Besarnya I1 dan I2 :
  • 13.
    Contoh : Tentukanlah aruspada tiap cabang rangkaian dengan rumus pembagi arus Penyelesaian : Besarnya arus I1 adalah :
  • 14.
    • Arus I2pada cabang 2 :
  • 15.
    Admitansi, konduktansi ,dan Suseptansi • Dalam rangkaian AC paralel dikenal istilah Admitansi, konduktansi, dan Suseptansi. • Admitansi adalah kebalikan dari impedansi didefinisikan dengan persamaan Y = 1/Z. • Admitansi dinyatakan dalam satuan mho (kebalikan dari ohm). • Persamaan admitansi untuk rangkaian pararel didefinisikan sbb : Yt = Y1 + Y2 + Y3 + .... Yn • Impedansi terdiri dari resistansi dan reaktansi dengan persamaan Z = R + jX sedangkan Admitansi terdiri dari suseptansi G dan konduktansi B dengan persamaan Y = G + jB.
  • 16.
    • Komponen realdisebut konduktansi dengan simbol G dan komponen imajiner disebut Suseptansi dengan simbol B.
  • 17.
    • Rangkaian paraleldengan Admitansi digambarkan sebagai berikut :
  • 18.
    Admitansi untuk tiapelemen impedansi didefinisikan sebagai berikut : 1. Admitansi Resistor 2. Admitansi Induktor 3. Admitansi Kapasitor
  • 19.
    Besarnya arus padatiap impedansi yang paralel. Contoh : Tentukanlah impedansi dan admintansi dari rangkaian berikut : Penyelesaian : Tentukan impedansi dan admintansi dari tiap cabang lebih dahulu.
  • 20.
    • Cabang 1terdiri dari R1 dan L1 • Cabang 2 terdiri dari R2 dan L2 • Cabang 3 terdiri dari R3 dan C Ketiga cabang terhubung paralel maka : Yt = Y1 + Y2 + Y3
  • 21.
    Sifat Rangkaian ACPada RLC Paralel • Bersifat resistif apabila nilai arus listrik yang mengalir pada induktor sama dengan arus listrik yang mengalir pada kapasitor IL = IC, arus listrik total se fase dengan tegangan. • Bersifat induktif apabila nilai arus listrik yang mengalir pada induktor lebih besar dari pada arus listrik yang mengalir pada kapasitor IL > IC, arus listrik total tertinggal (Lag) terhadap tegangan. • Bersifat kapasitif apabila nilai arus listrik yang mengalir pada induktor lebih kecil dari pada arus listrik yang mengalir pada kapasitor IL < IC, arus listrik total mendahului (lead) terhadap tegangan.
  • 22.
    Contoh : Untuk rangkaianparalel R-C pada Gambar, tentukanlah a. Admitansi total dan impedansi b. Arus pada setiap cabang c. Nyatakan tegangan sumber dan arus pada masing- masing cabang sebagai fungsi waktu
  • 23.
  • 24.
    Impedansi total adalah: b. Arus pada tiap admitansi c. Tegangan sumber dan arus sebagai fungsi waktu
  • 25.
    Latihan 1. Suatu sumbertegangan bolak- balik memiliki nilai frekuensi sebesar 50 Hz, dirangkai secara paralel dengan beban- bebannya yang berupa resistor yang memiliki nilai hambatan 30 Ω, Induktor dengan induktansi 300 mH, dan kapasitor dengan kapasitas 50 μF. Berapakah nilai admitansi pada rangkaian tersebut?
  • 26.