TRANSMISI DAYA LISTRIK
Tatap Muka 1 :
(Pengantar)
Materi
Ttp. Muka Bahasan
1 Pengantar Transmisi Daya Listrik
2 Karakteristik listrik pada saluran transmisi
3 Karakteristik listrik pada saluran transmisi
4 Konstanta A,B,C,D, panjang saluran
5 Rugi-rugi daya dan kapasitas hantar arus
6 Diagram lingkaran dan aliran daya
7 Perencanaan SUTT
8 Perencanaan SKTT
9 Skin effect, Feranti effecr, corona, noise
10 Tegangan lebih transien pada saluran transmisi
11 Proteksi saluran transmisi
12 Transmisi Arus Searah (DC)
13 Resume
Buku Ajar
1. ELECTRIC POWER TRANSMISSION SYSTEM ENGINEERING,
Turan Gonen
2. TRANSMISI DAYA LISTRIK, Prof. Ir. T.S. Hutauruk, M.Sc.
Materi Tatap Muka 1
• Pengertian umum
• Perencanaan Sistem Tenaga Listrik
• Perencanaan Sistem Transmisi
• Sistem tegangan transmisi• Sistem tegangan transmisi
• Komponen utama SUTT
Sistem Tenaga Listrik
Pembangkit
Trafo TT Trafo TM Trafo TR
Pusat Pembangkit
Listrik :
PLTU
PLTG
PLTGU
PLTP
PLTA
PLTD
Saluran Transmisi
SUTET 500 kV
SUTT 150 kV
SKTT 150 kV
SUTT 70 kV
Saluran Distribusi
SUTM 30 kV
SUTM 20 kV
SKTM 20 kV
SUTT 6 kV
SUTR 230 Volts
Pemakai :
Konsumen
KTR
KTM
KTT
Trafo TT Trafo TM Trafo TR
Pengertian umum
• Secara etimologis yang dimaksud transmisi adalah pengiriman;
jaringan atau penyaluran. Sedangkan penyaluran dapat diartikan :
proses; perbuatan; cara menyalurkan.
• Dalam sistem tenaga listrik, yang dimaksud transmisi (penyaluran)
adalah penyaluran energi listrik, yaitu : proses/ cara menyalurkan
energi listrik dari satu tempat ke tempat lainnya, misalnya :
– Dari pembangkit listrik ke gardu induk.– Dari pembangkit listrik ke gardu induk.
– Dari satu gardu induk ke gardu induk lainnya.
– Dari gardu induk ke jaring tegangan menengah dan gardu distribusi.
– Dari jaring distribusi tegangan menengah ke jaring tegangan rendah
dan instalasi pemanfaatan.
• Lebih spesisifik lagi dalam sietem tenaga listrik yang dimaksud
dengan Transmisi adalah Transmisi Tegangan Tinggi yaitu Saluran
Udara Tegangan Tinggi (SUTT) atau Saluran Udara Tegangan Ekstra
Tinggi (SUTET).
Pengertian umum
• Sistem transmisi tegangan tinggi, adalah sistem penyaluran
yang:
– Terdiri dari konduktor yang direntangkan antara tiang-tiang
(tower) melalui isolator-isolator, dengan sistem tegangan tinggi.
– Standar tegangan tinggi yang berlaku di Indonesia adalah : 70 KV
dan 150 KV.
– Transmisi 70 KV dan 150 KV ada di Pulau Jawa dan Pulau lainnya– Transmisi 70 KV dan 150 KV ada di Pulau Jawa dan Pulau lainnya
di Indonesia.
– Transmisi tegangan ekstra tinggi 275 KV dikembangkan di
Sumatera. Sedangkan yang 500 KV dikembangkan di Pulau Jawa.
• Perencanaan suatu sistem transmisi / penyaluran tegangan
tinggi, diawali dari studi perencanaan sistem tenaga listrik,
dilanjutkan dengan studi perencanaan sistem transmisi.
Economics & Demographics
Electricity Demand Forecast
Load shape
Perencanaan Sistem Tenaga Listrik (Electric Utility Planning)
Peak Demand Forecast
Generation Expansion
Planning
Reliability
Production Cost
Investment Cost
Transmission Planning
Distribution Planning
Data : Ramalan beban
Rencana Pembangkit
Jaringan eksisting
Data
Studi aliran daya :
Tambahkan transmisi baru
Studi hubung singkat Studi stabilitas sistem
Feedback
Hasil studi
Dapat diterima
Keputusan
Penambahan
transmisi baru
PERENCANAAN TRANSMISI
Jenis saluran transmisi
• Sebenarnya secara umum transmisi adalah proses
penyaluran energi listrik dari satu tempat ke tempat
lainnya, yang besaran tegangannya adalah mulai dari
tegangan ultra tinggi (TUT), tegangan ekstra tinggi
(TET), tegangan tinggi (TT), tegangan menengah (TM),
dan tegangan rendah (TR).dan tegangan rendah (TR).
• Namun di Indonesia untuk TET dan TT disebut saluran
transmisi, sedangkan untuk TM & TR disebut saluran
distribusi
• Konstruksi jenis saluran transmisi terdiri dari :
– saluran udara tegangan tinggi (SUTT) atau saluran udara
tegangan ekstra tinggi (SUTET)
– Saluran kabel tegangan tinggi (SKTT)
Saluran udara tegangan ekstra tinggi (SUTET)
• Pada umumnya digunakan pada pembangkitan dengan kapasitas
di atas 500 MW. Tujuannya adalah agar drop tegangan dan
penampang kawat dapat direduksi secara maksimal
• Permasalahan mendasar pembangunan SUTET adalah :
– konstruksi tiang (tower) yang besar dan tinggi, memerlukan tapak tanah
yang luas, memerlukan isolator yang banyak, sehingga pembangunannya
membutuhkan biaya yang besar.membutuhkan biaya yang besar.
– Masalah lain yang timbul dalam pembangunan SUTET, adalah masalah
sosial yang akhirnya berdampak pada masalah pembiayaan, antara lain :
– Timbulnya protes dari masyarakat yang menentang pembangunan SUTET.
– Permintaan ganti rugi tanah untuk tapak tower yang terlalu tinggi.
– Adanya permintaan ganti rugi sepanjang jalur SUTET dll.
• Pembangunan SUTET ini cukup efektif untuk jarak 100 km
sampai dengan 500 km.
Saluran udara tegangan tinggi (SUTT)
• Di Indonesia tegangan operasi antara 70 KV dan 150 KV.
• Konfigurasi jaringan pada umumnya single atau double sirkuit,
dimana 1 sirkuit terdiri dari 3 phasa dengan 3 atau 4 kawat. 1
kawat sebagai penghantar netral.
• Apabila kapasitas daya yang disalurkan besar, maka penghantar
pada masingmasing phasa berupa berkas konduktor yang terdiripada masingmasing phasa berupa berkas konduktor yang terdiri
dari dua atau empat kawat (Double atau Qudrapole) dan berkas
konduktor biasa disebut Bundle Conductor.
• Jika transmisi ini beroperasi secara radial, jarak terjauh yang
paling efektif adalah 100 km.
• Jika jarak transmisi lebih dari 100 km, maka tegangan jatuh (drop
voltage) terlalu besar, sehingga tegangan ini di ujung transmisi
menjadi rendah. Untuk mengatasi hal tersebut, maka sistem
transmisi dihubungkan secara ring atau interkoneksi.
• SKTT dipasang di kota kota kota-besar, dengan beberapa pertimbangan :
– Di tengah kota besar tidak memungkinkan dipasang SUTT, karena
sangat sulit mendapatkan tanah untuk tapak tower.
– Untuk ROW juga sangat sulit dan pasti timbul protes dari masyarakat,
karena padat bangunan dan banyak gedung-gedung tinggi.
– Pertimbangan keamanan dan estetika.
– Adanya permintaan dan pertumbuhan beban yang sangat tinggi.
Saluran kabel tegangan tinggi (SKTT)
• Jenis kabel yang digunakan :
– Kabel yang berisolasi (berbahan) poly etheline atau kabel jenis Cross
Link Poly Etheline (XLPE).
– Kabel yang isolasinya berbahan kertas yang diperkuat dengan minyak
(oil paper impregnated).
• Inti (core) kabel dan pertimbangan pemilihan :
– Single core dengan penampang 240 mm2 – 300 mm2 tiap core.
– Three core dengan penampang 240 mm2 – 800 mm2 tiap core.
– Pertimbangan fabrikasi, dan pemasangan di lapangan.
• Kelemahan SKTT :
– Memerlukan biaya yang lebih besar jika dibanding SUTT.
– Untuk transmisi antar pulau digunakan sub marine cable ini ternyata
rawan timbul gangguan. (arus laut, jangkar kapal, dll)
– Pada saat proses pembangunan memerlukan koordinasi dan
penanganan yang kompleks, karena harus melibatkan banyak pihak,
misal : pemerintah kota (Pemkot) sampai dengan jajaran terbawah,
PDAM, Telkom, Perum Gas, Dinas Perhubungan, Kepolisian, dll.
Saluran kabel tegangan tinggi (SKTT)
PDAM, Telkom, Perum Gas, Dinas Perhubungan, Kepolisian, dll.
• Panjang SKTT pada tiap haspel (cable drum), maksimum 300 meter. Untuk
desain dan pesanan khusus, misalnya untuk kabel laut, bisa dibuat tanpa
sambungan sesuai kebutuhan.
• Pada saat ini di Indonesia telah terpasang SKTT bawah laut (Sub Marine
Cable) dengan tegangan operasi 150 KV, yaitu :
– Sub marine cable 150 KV Gresik – Tajungan (Jawa – Madura). SKTT 150
KV yang dipasang di bawah laut dan di samping Jembatan Suramadu.
– Sub marine cable 150 KV Ketapang – Gilimanuk (Jawa – Bali).
– Direncanakan akan didibangun sub marine cable Jawa – Sumatera
Pertimbangan pembangunan SUTT
• Adanya pertambahan dan pertumbuhan beban sistem tenaga listrik.
• Karena pembangkit tenaga listrik pada umumnya lokasinya jauh dari
pusat-pusat beban, sehingga untuk menyalurkan energi listrik harus
dibangun transmisi tegangan tinggi.
• Pemilihan transmisi SUTT mempertimbangkan beberapa hal, antara lain :
– Biaya investasi (biaya pembangunan) jauh lebih murah jika dibanding transmisi
SKTT.
– Untuk penyaluran yang jaraknya jauh, SUTT lebih mudah, lebih cepat dan lebih– Untuk penyaluran yang jaraknya jauh, SUTT lebih mudah, lebih cepat dan lebih
praktis dalam pelaksanaan pembangunannya.
– Koordinasi pada saat pelaksanaan pembangunan, lebih mudah, dan tidak
melibatkan banyak pihak jika dibandingkan dengan SKTT.
– Pada saat beroperasi, jika terjadi gangguan mudah dalam perbaikannya.
– Route SUTT bisa melewati berbagai kondisi geografis, misal : dataran rendah
(tanah rata), pegunungan, sungai, persawahan, perbukitan, dan lainlain.
• Di Pulau Jawa, transmisi SUTT 150 KV telah terpasang secara sistem
interkoneksi. Sedangkan di Pulau-pulau besar lainnya sedang
dikembangkan menjadi sistem interkoneksi.
Ketentuan jarak aman/ ruang bebas (ROW)
• Transmisi tenaga listrik yang bertegangan tinggi (SUTET, SUTT, SKTT,
SKLTT), memiliki resiko tinggi terhadap keamanan dan kesehatan
lingkungan, terutama menyangkut masalah besarnya tegangan dan
pengaruh medan listrik yang ditimbulkannya.
• Satu hal penting yang harus diperhatikan dan dipenuhi, adalah ketentuan
jarak aman/ ruang bebas (ROW) pada daerah yang dilalui oleh jalur
transmisi tegangan tinggi.
• Dengan terpenuhinya jarak/ aman / ruang bebas (ROW) di sepanjang jalur• Dengan terpenuhinya jarak/ aman / ruang bebas (ROW) di sepanjang jalur
transmisi tegangan tinggi, maka :
– Keamanan dan kesehatan lingkungan dapat terpenuhi dengan baik.
– Dampak secara teknik, keamanan, kesehatan dan sosial, dapat
diterima oleh masyarakat.
• Pada jalur SUTT yang lama pada umumnya sepanjang jalur SUTT tidak
boleh didirikan bangunan. Tetapi saat ini di sepanjang jalur SUTT banyak
didirikan bangunan, dengan pertimbangan selama jarak aman/ ruang
bebas (ROW) dipenuhi, maka keselamatan dan kesehatan lingkungan akan
terpenuhi pula.
ROW
• Menurut jenis arusnya, Saluran Transmisi dibedakan menjadi:
a. Saluran Transmisi AC (Alternating Current)
b. Saluran Transmisi DC (Direct Current)
• Sebagian besar saluran transmisi menggunakan tegangan AC
• Sistem AC dapat dikelompokkan menjadi dua :
a. Sistem 1 Fasa dan
Saluran transmisi AC atau DC
a. Sistem 1 Fasa dan
b. Sistem 3 Fasa
• Kelebihan dari sistem 3 Fasa :
a. Daya yang disalurkan lebih besar
b. Nilai Sesaatnya konstan
c. Mempunyai medan maknet putar
• Oleh karena itu hampir seluruh penyaluran tenaga listrik di
dunia menggunakan sistem AC 3 Fasa.
• Di beberapa negara sudah mulai menggunakan sistem DC.
Penyaluran dengan tegang DC mempunyai keuntungan:
a. Isolasinya yang lebih sederhana
b. Daya guna (effisiensi) yang lebih tinggi (karena PF =1)
c. Tidak adanya masalah stabilitas, sehingga memungkinkan
penyaluran jarak jauh.
Saluran transmisi AC atau DC
penyaluran jarak jauh.
• Namun Persoalan ekonominya masih harus diperhitungkan.
– Sistem DC baru dianggap ekonomis bila jarak penyaluran
antara 400 sampai 600 km untuk saluran udara atau lebih
panjang dari 50 km untuk saluran bawah tanah.
– Hal ini terjadi karena biaya peralatan mengubah dari
tegangan AC ke DC dan sebaliknya (converter & inverter)
masih mahal.
Tegangan Transmisi
• Untuk daya yang sama, apabila tegangan transmisi ditinggikan, maka daya
guna penyaluran akan naik oleh karena rugi-rugi transmisi turun.
• Rugi-rugi tansmisi berbanding lurus dengan kuadrat arus saluran.
P rugi rugi = I 2 x R (watt)
• Namun demikian peninggian tegangan transmisi berarti juga penaikan
tingkat dan biaya isolasi peralatan dan gardu induk.
• Oleh karena itu Pemilihan Tegangan Transmisi dilakukan dengan• Oleh karena itu Pemilihan Tegangan Transmisi dilakukan dengan
memperhitungkan:
– Daya yang disalurkan
– Jumlah rangkaian
– Jarak penyaluran
– Keandalan (reliability)
– Biaya peralatan dan standarisasi peralatan
• Tegangan Transmisi yang dipakai di Indonesia : 70, 150, 275, 500 KV
Komponen utama SUTT
1. Menara transmisi/tiang transmisi
2. Isolator-isolator
3. Kawat penghantar (conductor)
4. Kawat tanah (ground wires)
Menara / tiang Transmisi
• Menara/tiang Transmisi adalah suatu bangunan penopang• Menara/tiang Transmisi adalah suatu bangunan penopang
saluran transmisi, yang bisa berupa menara baja, tiang baja,
tiang beton bertulang dan tiang kayu.
• Tiang baja, beton atau kayu umumnya digunakan pada saluran
dengan tegangan kerja relatif rendah (dibawah 70 KV)
Sedangkan untuk saluran transmisi tegangan tinggi dan ekstra
tinggi digunakan menara baja
• Menara baja dibagi sesuai fungsinya : menara dukung,
menara sudut, menara ujung, menara pencabangan.
Tipe Menara transmisi
A transmission lines has the following accessories
1-tower
2-cross arms
3-dampers
4-spacers
5-conductors5-conductors
6-insulators
7-ground wire
8-arching horn gap arrestors
7-bird guard
8-danger plate--------etc.
23
24
CLOSER LOOK OF DAMPER
25
Isolator
• Jenis isolator yang digunakan pada saluran transmisi adalah jenis porselin
atau gelas.
• Menurut konstruksinya dikenal tiga jenis isolator:
1. Isolator jenis Pin (pasak)
2. Isolator Jenis Line-post
3. Isolator jenis Suspension (gantung)
Komponen utama SUTT
4. Isolator jenis Strain
• Isolator Pin dan pos-saluran, digunakan pada saluran transmisi tegangan
menengah (SUTM)
• Isolator Suspension dan Strain dapat digandeng menjadi suatu rentengan
isolator untuk tegangan tinggi (SUTT) dan ekstra tinggi (SUTET). Jumlah
rentengannya tergantung kebutuhan.
Pin, Line-post, Supension & Strain insulator
Pin insulator Suspension
Line-post insulator Strain
Rantai Isolator
Isolator piring dirangakai di bagian
pengait tengahnya membentuk suatu
rantai.
Jumlah isolator piring ditentukan oleh
sistem tegangan yg digunakan,
Singgle string
amplitudo tegangan lebih petir dan
surja hubung serta tingkat pengotoran
isolator.
Rantai isolator dpt menggunakan tipe
gantung / tarik (suspension / tension).
Pengaruh ayunan angin juga harus
diperhatikan.
Singgle string
Double string
Komponen utama SUTT
Kawat Penghantar (Konduktor)
• Berfungsi untuk menyalurkan arus listrik dari satu tempat ke tempat lainnya.
• Jenis kawat yang digunakan :
• Kawat tembaga (Cu). Saat ini sudah jarang digunakan, karena harganya yang
mahal.
• Kawat ACSR (Alluminium Conductor Steel Reinforce) : Jenis inilah yang saat ini
banyak diginakan di Indonesia.
• Saat ini dikembangkan penggunaan T-ACSR (Thermal-Alluminium Steel Reinforce),
yang memiliki kemampuan hantar arus (KHA) kurang lebih 1,7 kali KHA ACSR.
• Pertimbangan lain penggunaan ACSR/T-ACSR, selain memenuhi ketentuan
standard teknik, juga memiliki kemampuan (kekuatan) mekanik yang lebih baik jika
Pertimbangan lain penggunaan ACSR/T-ACSR, selain memenuhi ketentuan
standard teknik, juga memiliki kemampuan (kekuatan) mekanik yang lebih baik jika
dibanding konduktor lain, misal : AAC, AAAC.
• Hal-hal yang perlu diperhatikan :
• Jika arus listrik mengalir pada penghantar, maka akan menimbulkan panas pada
penghantar dan akan menyebabkan terjadinya pemuaian pada penghantar, yang
pada akhirnya akan menyebabkan timbulnya penurunan andongan (lendutan).
• Konsdisi tersebut perlu adanya ketentuan standard suhu operasi maksimum
penghantar yang diijinkan. PLN menetapkan ketentuan suhu operasi maksimum
penghantar SUTT sebesar 750 C.
Kawat Penghantar
Jenis-jenis kawat penghantar yang bisa digunakan pada saluran
transmisi, antara lain : tembaga (Cu) dan Aluminium (Al).
Kawat penghantar aluminum terdiri dari berbagai jenis, sbb :
• AAC (All-Aluminium Conductor), kawat penghantar yang
seluruhnya terbuat dari aluminium.
Komponen utama SUTT
• AAAC (All-Aluminium Alloy Conductor), kawat penghantar
yang seluruhnya terbuat dari campuran aluminium.
• ACSR(aluminium Conductor Steel Reinforced), kawat
penghantar aluminium berinti kawat baja
• ACAR (Aluminium Conductor Alloy Reinforced), kawat
penghantar aluminium yang diperkuat dengan logam
campuran.
Kawat Penghantar & kawat tanah
• Kawat penghantar tembaga karena konduktifitas dan kuat tariknya
lebih tinggi. Tetapi untuk nilai tahanan yang sama tembaga lebih
berat dan lebih mahal. Oleh karena itu untuk saluran transmisi
saat ini peran kawat penghantar tembaga telah digantikan oleh
aluminium.
• Untuk memperbesar kuat tarik aluminium, digunakan campuran
Komponen utama SUTT
• Untuk memperbesar kuat tarik aluminium, digunakan campuran
aluminum (aluminium alloy). Pada SUTT dengan jarak antar tiang
menara yang jauh (ratusan meter), dibutuhkan kawat penghantar
dengan kuat tarik yang lebih tinggi, untuk itu digunakan kawat
penghantar jenis ACSR
• Kawat tanah atau “ground wire” juga disebut kawat pelindung
(shield wire), gunanya untuk melindungi kawat penghantar/ kawat
fasa dari sambaran petir langsung. Kawat tanah diletakkan diatas
kawat fasa dan biasanya terbuat dari baja yg lebih murah.
Pertimbangan pemilihan ukuran konduktor
Pertimbangan Mekanis
Pertimbangan Electrical
Kebutuhan Mechanical
Tensile Strength (For Tension)
Strain Strength(For Vibration)Strain Strength(For Vibration)
Kebutuhan Electrical
o Continuous current rating.
o Short time current carrying rating.
o Voltage drop
o Power loss
o Minimum dia to avoid corona
o Length of line
(b) High tensile
Strength
(a)High
Conductivity
CHARECTERISTICS OF CONDUCTING MATERIAL:-
33
(e) Low specific
Gravity.
(d) Low
cost
(C) Should not
Be brittle
ACSR—conductor used in overhead lines
1 2
3
34
Komponen pengaman SUTT
• Komponen pengaman (perlindungan) pada transmisi
tegangan tinggi (SUTT), memiliki fungsi penting sebagai
pengaman (perlindungan) SUTT secara menyeluruh.
• Komponen pengaman (perlindungan) pada SUTT, antara lain :
– Kawat Tanah (Ground Wire) dan perlengkapannya.
– Pentanahan tiang.– Pentanahan tiang.
– Jaringan pengaman (Safety Net).
– Bola pengaman (Balistor).
• Untuk kawat tanah (ground wire) dan pentanahan tiang,
dipasang di sepanjang jalur SUTT.
• Untuk jaringan pengaman ( Safety Net) dan bola pengaman
dipasang pada tempat-tempat tertentu jalur SUTT, sesuai
kondisi dan kebutuhan setempat.
Kawat tanah dan pentanahan tiang SUTT
• Adalah kawat pentanahan (grounding) yang berfungsi untuk
mengetanahkan arus listrik saat terjadinya gangguan (sambaran)
petir secara langsung.
• Pada umumnya ground wire terbuat dari kawat baja (steel wire)
dengan kekuatan St 35 atau St 50,.
• Jumlah ground wire pada SUTT, ada yang satu atau dua, tergantung
dari pucuk tower.dari pucuk tower.
• Pentanahan tiang dipasang pada masing-masing tower di sepanjang
jalur SUTT. Fungsi pentanahan tiang adalah untuk menyalurkan
arus listrik dari kawat tanah (ground wire) akibat terjadinya
sambaran petir.
• Pentanahan tiang terdiri dari kawat tembaga atau kawat baja yang
di klem pada pipa pentanahan dan ditanam di dekat pondasi tower
(tiang) SUTT.
Jaring pengaman dan bola pengaman SUTT
Jaring Pengaman
• Berfungsi untuk pengaman SUTT dari gangguan yang dapat
membahayakan SUTT tersebut dari lalu lintas yang berada di bawah SUTT
yang tingginya melebihi tinggi yang diijinkan.
• Fungsi lainnya adalah untuk menjaga kemungkinan putusnya penghantar
SUTT, sehingga tidak membahayakan lalu lintas yang melewati persilangan
dengan SUTT tersebut.
• Pada umumnya jaring pengaman dipasang di perlintasan (persilangan)• Pada umumnya jaring pengaman dipasang di perlintasan (persilangan)
jalan umum dengan jalur SUTT.
Bola Pengaman
• Dipasang sebagai tanda pada SUTT, untuk pengaman lalu lintas udara.
• Pada umumnya dipasang pada kawat tanah (Ground Wire) di daerah yang
banyak dilewati lalu lintas udara atau di dekat bandar udara (Bandara).
• Untuk pengaman pada malam hari, digunakan Balistor yang dipasang pada
kawat phasa dan bekerja atas dasar drop tegangan yang dapat menyalakan
ion pendar seperti lampu neon dengan warna kuning
Kawat Tanah
Kawat tanah berada diatas kawat konduktor phasa sepanjang
saluran dan ditanahkan pada setiap tiang.
» Melindungi kawat konduktor phasa dari sambaran petir langsung
» Mengurangi tegangan tinggi sepanjang isolator sewaktu terjadinya sambaran
langsung
Design criterion:Design criterion:
Sudut perlindungan
25°-30° s/d 220 KV
20° untuk 400 KV keatas
Kawat tanah harus mampu tahan terhadap arus surja petir singkat
hingga 100 kA tanpa mengakibatkan pemanasan berlebih
Kawat Tanah tipe OPGW
• Optical Ground Wire (OPGW)
• Keuntungan :
• Dapat melayani dua tujuan, sebagai kawat tanah dan
menyediakan media jalur komunikasi.
• Transmisi data melalui serat optik memiliki kecepatan
transfer data yang tinggi.
•
---By Dhananjay Jha, Engineer (E), SJVN
Konstruksi OPGW
OPGW
---By Dhananjay Jha, Engineer (E), SJVN
TRANSMISI DAYA LISTRIK
Tatap Muka 2 :
Karakteristik Saluran Transmisi
Materi Tatap Muka 2
Yang dimaksud dengan karakteristik listrik
saluran transmisi adalah konstanta saluran yaitu
• Resistansi/ Tahanan (R)
• Induktansi (L)
• Admitansi/ Konduktansi (G atau Y)• Admitansi/ Konduktansi (G atau Y)
• Kapasitansi (C)
Pada saluran udara konduktansi (G atau Y)
nilainya sangat kecil (pengaruhnya juga kecil)
sehingga dapat diabaikan
Resistansi
Resistansi atus searah (DC) dari suatu konduktor (kawat penghantar)
dinyatakan oleh
Dimana : l = panjang dari kawat penghantar;
A = luas penampang kawat,
ρ = resistivitas konductor.ρ = resistivitas konductor.
Sehingga resistansi DC per meter dari suatu konductor adalah
Resistivitas suatu konductor merupakan karakteristik dasar dari material
pembuatan konduktor. Bervariasi terhadap jenis dan temperatur dari
material. Pada temperatur sama, resistivitas dari aluminum lebih tinggi
dari pada tembaga.
Resistansi
Nilai resistivitas naik secara linier dengan temperatur dalam daerah temperatur
normal. Bila resistivitas pada suatu temperatur diketahui, nilai resistivitas pada
temperatur lain dpat diketahui dari persamaan berikut
Nilai resistivitas naik secara linier dengan temperatur dalam daerah temperatur
normal. Bila resistivitas pada suatu temperatur diketahui, nilai resistivitas pada
temperatur lain dpat diketahui dari persamaan berikut
Dimana T1 dan ρT1 adalah masing-masing temperatur dalam oC dan resistivitasDimana T1 dan ρT1 adalah masing-masing temperatur dalam oC dan resistivitasDimana T1 dan ρT1 adalah masing-masing temperatur dalam C dan resistivitas
pada titik 1, T2 dan ρT2 adalah temperatur dalam oC dan resistivitas pada titik 2,
dan M adalah konstanta temperatur sesuai materialnya.
Dimana T1 dan ρT1 adalah masing-masing temperatur dalam C dan resistivitas
pada titik 1, T2 dan ρT2 adalah temperatur dalam oC dan resistivitas pada titik 2,
dan M adalah konstanta temperatur sesuai materialnya.
Material Resistivity at 20oC [Ω⋅Ω⋅Ω⋅Ω⋅m] Temperature constant [oC]
Annealed copper 1.72⋅10-8 234.5
Hard-drawn copper 1.77⋅10-8 241.5
Aluminum 2.83⋅10-8 228.1
Iron 10.00⋅10-8 180.0
Silver 1.59⋅10-8 243.0
Resistansi
Diketahui bahwa perak dan tembaga merupakan material konductor
terbaik. Namun, aluminum, jauh lebih murah dan ringan, sehingga
umumnya saluran transmisi menggunakan konductor jenis ini. Konductor
dengan bahan aluminum harus memiliki diameter lebih besar
dibandingkan tembaga sebagai solusi untuk mengatasi resistivitas
aluminum yg lebih tinggi dr pada tembaga, sehingga almunium dpt
dibebani dengan arus yg sama.dibebani dengan arus yg sama.
Resistansi arus bolak balik (AC) dr suatu konductor selalu lebih tinggi
dari pada resistansi DC karena pengaruh dari skin effect yang memaksa
lebih banyak arus yang mengalir dipermukaan konduktor. Semakin tinggi
frekwensi arus semakin besar pengaruh skin effect .
Pada frekuensi listrik (50 Hz), pengaruh skin effect tidak terlalu besar.
Nilai resistansi A C dan DC biasanya dapat diketahui dari tabel konduktor.
Resistansi
Dalam tabel sering kita jumpai penampang kawat diberikan dalam satuan
“CircularMil” (CM). CM adalah penampang kawat yg mempunyai
diameter 1 mil = 1/1000 inch.
CM=1973 x (Penampang dalam mm2)
Atau:Atau:
Penampang dalam mm2 =5,067x10-4 x (Penampang dalam CM)
Umumnya kawat penghantar terdiri-dari kawat pilin (Stranded conductor),
maka sebagai faktor koreksi pengaruh dari kawat pilin, panjang kawat
dikalikan 1,02 (2% faktor koreksi)
Induktansi dan reaktansi induktif
Induktansi seri dari saluran transmisi terdiri dari dua komponen yaitu : induktansi
internal dan induktansi external , yang merupakan produk dari fulksi magnetik di
dalam (internal) dan diluar (eksternal) konduktor. Induktansi suatu saluran
transmisi didefinisikan sebagai jumlah fulksi gabungan [Wb-turns] yang dihasilkan
per amper arus yang mengalir pada saluran: l
1. Induktansi Internal:
Pada suatu konduktor dengan radius r yang membawa
arus I. Pada jarak x dari titik pusat konduktor, Intentitas
kuat medan magnit Hx dapat diperoleh dari hukum
Ampere sbb :
Dimana Hx adalah intensitas medan magnit disetiap titik sepanjang jalur tertutup,
dl adalah unit vector sepanjang jalur dan Ix adalah arus yang terdapat pada
jalur. Untuk bahan material yg homogen dan jalur lingkarang dengan radius x,
besar dari Hx adalah konstan, dan dl adalah selalu paralel dengan Hx.
Sehingga :
Induktansi dan reaktansi induktif
Selanjutnya diasumsikan arus terdistribusi merata pada konduktor:
Sehingga , intensitas magnetik pada radius x didalam konduktor adalah
Kerapatan fluksi pada jarak x dari titik pusat konduktor adalah :
Turunan deferensial dari fluksi magnetik yang terdapat pada pipa lingkaran
dengan ketebalan dx dan pda jarak x dari titik pusat konduktor adalah
Induktansi dan reaktansi induktif
dengan ketebalan dx dan pda jarak x dari titik pusat konduktor adalah
Fluksi lingkup per meter panjang karena fluksi yang terdapat pada pipa adalah
perkalian antara turunan deferensial fluksi dengan sebagian arus yang
terlingkupi adalah
Total fluksi lingkup internal per meter bisa diperoleh dari integral dari …
Sehingga induktansi internal per meter adalah
Induktansi dan reaktansi induktif
Sehingga induktansi internal per meter adalah
Bila permeabilitas relatif dari konduktor adalah 1 (non-ferromagnetic material,
seperti tembaga dan aluminium), induktansi per meter berkurang menjadi
Induktansi Eksternal
antara 2 titik diluar saluran
Guna mencari induktansi eksternal terhadap suatu
konduktor, perlu dihitung fluksi lingkup dari konduktor
yang disebabkan oleh hanya dari bagian fluksi antara
dua titik P1 and P2 yang berjarak D1 dan D2 dari titik
pusat konduktor.
Diluar konduktor intensitas magnetik pada jarak x dari
titik pusat konduktor adalahtitik pusat konduktor adalah
(9.16.1)
Karena semua arus ada dalam pipa.
Kerapatan fluksi pada jarak x dari titik pusat konduktor adalah
Turunan deferensial dari fluksi magnetik yang terdapat pada pipa lingkaran
dengan ketebalan dx dan pada jarak x dri titik pusat konduktor adalah
Fluksi yang terlingkup seluruhnya pada arus yang dibawa konduktor menjadi :
Induktansi Eksternal
antara 2 titik diluar saluran
Total fluksi lingkup eksternal per meter dapat diperoleh melalui integral dari…
Induktansi eksternal per meter iadalah
Induktansi
saluran transmisi satu-phasa 2 kawat
Menentukan induktansi seri dari saluran satu-
phasa 2 konduktor dengan radius masing-masing
r dan jarak antar konduktor D dimana keduanya
mengalirkan arus sebesar I dengan arah yang
berlawanan.
Mempertimbangkan dua jalur integrasi lingkaran,
maka integral garis sepanjang x1 menghasilkan
suatu intensitas magnetik , karena arus yang
dilingkupi oleh x1. nilainya tidak nol, sehingga :
Karena jalur radius x2 melingkupi kedua konduktor , dan besar arusnya sama
namun berlawanan arah, total arus yang dilingkupi sama dengan 0 dan , sehingga
tidak ada kontribusi ke induktansi total dari medan magnit pada jarak lebih besar
dari D.
Total induktansi dari kawat per unit panjang dari saluran transmisi ini adalah
jumlah dari induktansi internal dan induktansi eksternal antara permukaan
konduktor dengan radius (r) dan jarak antar konduktor (D):
Induktansi
saluran transmisi satu-phasa 2 kawat
Secara simetris , total induktansi dari kawat lain yang kedua adalah sama,
sehingga total induktansi dari saluran transmisi 2 kawat adalah :
Dimana r adalah radius masing-masing konduktor dan D adalah jarak antar
konduktor.
Induktansi saluran transmisi
Induktansi internal
Induktansi eksternal
Dan dengan menganggap D1 sama dengan jari-jari konduktor r dan D2 sama
dengan D, maka persamaan (6) akan menjadi:
Induktansi saluran transmisi
Dari persamaan (4) dan (7), maka induktansi konduktor karena fluks internal dan
eksternal dapat ditentukan sebagai berikut:
Dengan mensubstitusikan r’ = re-µr/4, maka :
Jika persamaan (9) dan persamaan (7) saling dibandingkan, maka nilai r’ dapat
dikatakan sebagai jari-jari fiktif konduktor berketebalan nol, sehingga tidak
mempunyai fluks internal. Namun, tetap mempunyai induktansi yang sama
dengan konduktor berjari-jari r.
Induktansi dari konduktor berkas
(bundle conductor)
Apabila konduktor suatu saluran transmisi terdiri dari n-berkas konduktor yang
terhubung secara paralel. Meskipun induktansi dari berkas yang berbeda bernilai
tidak sama, induktansi rata-rata dari masing-masing berkas tersebut bernilai sama
dengan Lav,x. Dengan mengasumsikan bahwa induktansi rata-rata yang diberikan
di atas merupakan induktansi dari n-berkas yang diparalelkan, maka total
induktansi pada konduktor berkas tersebut adalah :
GMR (Geometric Mean Radius) merupakan jari-jari fiktif konduktor berketebalan
nol, sehingga tidak mempunyai fluks internal. Namun, tetap mempunyai
induktansi yang sama dengan konduktor berjari-jari r, sedangkan GMD
(Geometric Mean Distance) merupakan suatu nilai yang menggantikan
konfigurasi asli konduktor-konduktor dengan sebuah jarak rata-rata hipotesis
(hypothetical mean distance) sehingga induktansi bersama dari konfigurasi
tersebut tetap sama. Besarnya GMD dan GMR adalah :
Induktansi dari konduktor berkas
(bundle conductor)
Perhitungan GMD dan GMR
Pada saluran transmisi tiga fasa, untuk mendapatkan induktansi yang seimbang
(sama pada tiap phasa), saluran transmisi perlu ditransposisikan sebanyak tiga
kali
GMD saluran transmisi 3 fasa :
Induktansi saluran transmisi
Berkas konduktor
2 kawat
Berkas konduktor
4 kawat
Reaktansi Induktif saluran transmisi
Reaktansi induktif dari saluran transmisi tergantung pada induktansi saluran dan
frekwensi dari tenaga listrik . Bila induktansi per unit panjang adalah l, maka
reaktansi induktif per unit panjang adalah
Dimana f adalah frekwensi sistem. Sehingga total induktansi seri dari saluranDimana f adalah frekwensi sistem. Sehingga total induktansi seri dari saluran
transmisi adalah
Dimana d adalah panjang saluran transmisi.
Induktansi saluran transmisi
(Kesimpulan)
1. Semakin besar jarak antar phasa pada saluran transmisi, semakin besar
induktansi saluran. Karena phasa-phasa pada SUTT harus berjarak yang
cukup untuk menjamin isolasi yang mencukupi , maka SUTT akan memiliki
induktansi yang lebih besar dari pada SUTM dan SUTR. Karena jarak antara
phasa pada SKTT adalah sangat kecil ,maka induktansi seri dari SKTT jauh
lebih kecil dari pada SUTT.
2. Semakin besar radius konduktor dari saluran transmisi, semakin kecil
induktansi dari saluran tsb. Pada SUTT dan SUTET, dari pada menggunakan
konduktor yang besar, tidak fleksibel dan berat dengan radius yang besar,konduktor yang besar, tidak fleksibel dan berat dengan radius yang besar,
sering digunakan bundle conductor yang terdiri dari dua atau lebih konduktor
dengan total radius mendekati diameter konduktor besar. Semakin banyak
konduktor dalam bundle conductor maka pendekatan luas penampangnya
semakin baik.
3. Untuk mencari nilai induktansi suatu saluran transmisi, terlebih dahulu dicari
besarnya nilai GMR dan GMD dari saluran tsb. Dengan mengetahui besarnya
induktansi saluran, diketahui pula reaktansi induktif saluran (XL). jadi GMR dan
GMD digunakan untuk mengetahui besarnya reaktansi induktif. Selain itu,
GMD dan GMR juga mampu mengetahui besarnya kapasitansi saluran dan
impedansi saluran, sehingga besarnya susut tegangan dapat dikendalikan
melalui parameter impedansi, kapasitif dan induktansi saluran transmisi.
Contoh soal
No.1.
Jika saluran transmisi tiga fasa dengan masing-masing satu fasa terdiri dari empat
kawat dengan konfigurasi sebagai berikut:
r = 30 mm = 0.03 m
D = 500 mm = 0.5 m
Durat = 7000 mm = 7 m
Dengan nilai permeabilitas µr = 1, maka:
Mencari GMR : (Persamaan 17)
Contoh soal
Mencari GMD :
Asumsi :
Contoh soal
Asumsi :
500 mm < 7000mm, maka 500mm bisa diabaikan dengan dianggap kecil.
Dab = 7 m
Dbc = 7 m
Dac = 14 m
Induktansi saluran transmisi :
Contoh soal
No. 2.
Jika saluran transmisi tiga fasa dengan masing-masing fasa terdiri dari empat
kawat dengan konfigurasi seperti gambar dibawah :
Ditanyakan : GMR, GMD, Induktansi (L) dan Reaktansi induktif (XL)
Jawaban :
Mencara GMR :
Mencari GMR : (Persamaan 17)
Contoh soal
Mencari GMD :
Mencari induktansi L
Contoh soal
Mencari reaktansi Induktif XL :
XL = 2 π f L
XL = 2 x 3.14 x 50 x 76.6 x 10-7 = 2.405x 10-3 Ώ/m
Kapasitansi dan reaktansi kapasitif
Bila tegangan V diterapkan pada sepasang konduktor yang dipisahkan oleh
suatu dielectric (udara), muatan dengan jumlah yang sama tetapi berlawanan
tanda terkumpul pada konduktor
Dimana C adalah kapasitansi antara pasangan konduktor.
Dalam sistem AC , suatu saluran transmisi menerima tegangan sinusoida yang
bervariasi terhadap waktu yang berbeda setiap fasanya. Tegangan yang
bervariasi terhadap waktu ini menyebabkan perubahan muatan yang tersimpan
pada konduktor. Perubahan muatan menghasilkan perubahan arus, yang akan
menaikkan arus yang melalui saluran transmisi, dan akan mempengaruhi faktor
daya dan jatuh tegangan pada saluran.
Kapasitansi dari saluran transmisi dapat diperoleh menggunakan hukum Gauss
sbb :
Dimana A menyatakan permukaan tertutup; dA adalah unit vector normal
tegak lurus ke permukaan tsb; q adalah muatan didalam permukaan ; D adalah
kerapatan fluksi listrik di permukaan:
Kapasitansi dan reaktansi kapasitif
kerapatan fluksi listrik di permukaan:
Dimana E adalah intensitas medan listrik dititik tersebut; ε adalah permitivitas
dari material/ bahan:
Permittivitas relatif dari material
Permittivitas ruang bebas adalah ε0 = 8.85⋅10-12 F/m
Garis fluksi listrik keluar secara uniform/ merata
keluar dari permukaan konduktor dengan muatan
positip di permukaannya. Pada kasus ini , vector
kerapatan fluksi D selalu parallel dengan vector
normal dA dan konstan disemua titik sepanjang
radius r. Sehingga :
Kapasitansi dan reaktansi kapasitif
Dimana l adalah panjang konduktor; q adalah
kerapatan muatan; Q adalah total muatan di
konduktor.
Sehingga kerapatan fluksi adalah
Intensitas medan listrik adalah
Perbedaan potential antara dua titik P1 dan P2 dapat diperoleh dari
Dimana dl adalah elemen diferensial tangensial ke jalur integrasi antara P1 dan
P2. tidak tergantung dari jalurnya.
Kapasitansi dan reaktansi kapasitif
P2. tidak tergantung dari jalurnya.
Pemilihan jalur dapat mempermudah
perhitungan.
Untuk P1 - Pint, vector E dan dl keduanya
paralel; sehingga , E⋅dl = Edx. untuk Pint –
P2 kedua vector berlawanan arah sehingg
E⋅dl = 0.
Kapasitansi saluran transmisi
satu phasa 2 kawat
Perbedaan potensial karena muatan
pada konduktor a dapat diperoleh
dari
Dengan cara yang sama, perbedaan potential karena muatan pada konduktor b
adalah
atau
Tegangan total antara kedua saluran adalah
Karena q1 = q2 = q, persamaan diatas menjadi
Kapasitansi saluran transmisi
satu phasa 2 kawat
Kapasitansi per unit panjang antara kedua konduktor saluran adalah
Sehingga :
Merupakan kapasitansi per unit panjang dari suatu saluran transmisi satu fasa
dua kawat.
Kapasitansi saluran transmisi
satu phasa 2 kawat
dua kawat.
Perbedaan potential antara masing-masing konduktor dan tanah (neutral)
adalah setengah dari perbedaan potential antara kedua konduktor. Sehingga
kapasitansi ke tanah dari saluran transmisi satu fasa dua kawat adalah
Kesimpulan :
1. Dengan cara yang sama kapasitansi untuk saluran tiga fasa dapat diketahui.
2. Semakin besar jarak antar fasa dari saluran transmisi, semakin kecil
kapasitansi saluran. Karena fasa-fasa pada SUTT harus dipisahkan dengan
jarak yang mencukupi untuk menjamin kecukupan isolasi saluran, maka SUTT
akan memiliki kapasitansi lebih rendah dibandingkan dengan SUTM dan
SUTR. Karena jarak antara fasa pada SKTT sangat rendah, kapasitansi shunt
SKTT jauh lebih besar dari pada SUTT. Oleh karena itu SKTT umumnya
Kapasitansi saluran transmisi
satu phasa 2 kawat
SKTT jauh lebih besar dari pada SUTT. Oleh karena itu SKTT umumnya
dipakai pada jarak yang pendek untuk meminimalkan kapasitansi
3. Semakin besar radius dari konduktor dari saluran transmisi, semakin besar
kapasitansi saluran. Sehingga konduktor berkas akan menaikkan kapasitansi
saluran . Saluran transmisi yang baik, adalah kompromi diantara berbagai
kebutuhan untuk induktansi seri yang rendah, kapasitansi shunt yng rendah,
dan pemisahan antar konduktor yang cukup untuk kebutuhan isolasi antar
fasa.
4. Nilai kapasitansi, induktansi dan resistansi saluran dapat diketahui dari tabel
konduktor
Admitansi kapasitif Shunt
Admitansi kapasitif shunt dari saluran transmisi tergantung pada kapasitansi
saluran transmisi dan frekuensi sistem. Apabila kapasitansi per unit panjang
adalah c, admitansi shunt per unit panjang adalah
Sehingga admitansi kapasitif shunt adalah
Dimana d adalah panjang dari saluran. Sehingga reaktansi kapasitif adalah
kebalikan dari admitansi:
Contoh soal
No.1:
Suatu saluran transmisi satu-fasa 8000 V, 60 Hz, terdiri dari dua aluminum
konduktor dengan radius 2 cm jarak antara kawat 1.2 m. Bila panjang saluran 30
km dan temperatur konduktor 200C,
a. Berapa resistansi seri per kilometer dari saluran ini?
b. Berapa induktansi seri per kilometer dari saluran ini?
c. Berapa kapasitansi shunt per kilometer dari saluran ini?
d. Berapa total reaktansi seri dari saluran ini?
e. Berapa total admitansi seri dari saluran ini?e. Berapa total admitansi seri dari saluran ini?
Jawaban :
a. Resisitansi seri saluran transmissi adalah
Dengan mengabaikan skin effect, resisitivitas saluran pada 200 adalah 2.83⋅10-8
Ω-m dan resistansi per kilometer adalah
Contoh soal
b. Induktansi seri per kilometer dari saluran transmisi adalah
c. Kapasitansi shunt per kilometer dari saluran transmisi adalah
d. Impedansi seri per kilometer dari saluran transmissi adalah
Sehingga total impedansi seri dari saluran adalah
Contoh soal
e. Admitansi shunt per kilometer dari saluran transmisi adalah
Total admitansi shunt dari saluran menjadi
Reaktansi Kapasitif shunt adalah
Tugas - 1
1. Tentukan resistansi DC dari konduktor tembaga (97,5%) dipilin dengan 3 lapis
berukuran 253 mm2 (500.000 CM) dalam Ohm per km pada suhu 25 oC, bila
diketahui ρ 25 = 1,8 mikro-Ohm-cm.
2. Suatu penghantar aluminium terdiri dari 37 kawat masing-masing dengan
diameter 0.333 cm. Hitunglah tahanan dc dalam ohm per kilometer pada 75°C.
Bila diketahui ρ aluminium 20°C = 2.83 x 10 – 8 -m
3. Suatu SUTT 345 kV, MVA base 100 MVA , 3 fasa dengan berkas konduktor per
fasa dan setiap fasa terdiri dari 2 konduktor, seperti gambar dibawah.
Konduktor yang digunakan ACSR 1113 kcmil. Jarak antar kedua konduktor (d)Konduktor yang digunakan ACSR 1113 kcmil. Jarak antar kedua konduktor (d)
dalam setiap berkas 12 inch, bila diasumsikan D12, D23 dan D31 masing-masing
adalah 26 feet, 26 feet dan 52 feet , tentukan :
a. Induktansi rata-rata per fasa dalam Henri/ meter
b. Reaktansi induktif per fasa dalam Ohm per km
c. Reaktansi seri dari saluran dalam per unit
d. Kapasitansi line-ke-netral dari saluran dalam Farad per meter
e. Reaktansi kapasitif ke netral dari saluran dalam Ohm per km
Tugas terstruktur
Baca dan pelajari buku Transmisi Daya Listrik
(TS. Hutauruk) Bab 2
TRANSMISI DAYA LISTRIK
Tatap Muka 3 :
Karakteristik Saluran Transmisi (2)
Induktansi dan kapasitansi saluran transmisi
1. Induktansi dan reaktansi rangkaian satu fasa
a. Induktansi kawat pilin
b. Perhitungan GMR dan GMD
2. Induktansi dan reaktansi induktif rangkaian tiga fasa
a. Jarak ketiga fasa sama
b. Jarak ketiga fasa tidak sama
3. Kapasitansi dan reaktansi kapasitif rangkaian tiga fasa
a. Rangkaian tiga fasa jarak sama
b. Rangkaian tiga fasa jarak tidak samab. Rangkaian tiga fasa jarak tidak sama
4. Konduktor berkas
a. Reaktansi induktif saluran tiga fasa dengan konduktor berkas
b. GMR konduktor berkas
c. Kapasitansi dan reaktansi kapasitif konduktor berkas
5. Saluran ganda tiga fasa
a. Reaktansi induktif saluran ganda tiga fasa
b. Reaktansi kapasitif saluran ganda tiga fasa
Induktansi dan reaktansi rangkaian satu fasa
Induktansi rangkaian satu fasa
L = La + Ld
• La : komponen pertama dan kedua adalah komponen kawat,
tergantung dari sifat kawat
Henrid
r
h
i
L 





++== −
12
1
7
ln
4
11
ln10.2
λ
tergantung dari sifat kawat
• Ld : komponen ketiga adalah komponen jarak-jarak kawat
• bila : ln digantikan dengan log, ln = 2,3026 log
dan panjang kawat (h) adalah 1 km = 1000 m, serta frekuensi f = 50
Hz, maka :
kmHenrid
r
L /log10857,0
1
log10.4605,0 12
1
3






++= −
Induktansi dan reaktansi rangkaian satu fasa
Reaktansi induktif : XL = 2π.f.L
Perhitungan GMR dan GMD
a. Radius rata-rata geometris (GMR)
Radius rata-rata geometris (GMR) dari suatu kawat bundar adalah
radius dari suatu silinder berdinding sangat tipis mendekati nol
kmOhmd
r
XL /log10857,0
1
log14467,0 12
1






++=
radius dari suatu silinder berdinding sangat tipis mendekati nol
sehingga induktansi silinder tsb sama dengan induktansi kawat asli
b. Jarak rata-rata geometris (GMD)
• Bila suatu lingkaran radius r terdapat n titik berjarak satu sama lain
sama, maka GMD antara titik2 tsb adalah
• GMD suatu titik thd lingkaran adalah jarak titik tsb thd pusat
lingkaran
• GMD dari dua lingkaran dengan jarak titik pusat d12 adalah d12
1−
= n
nrGMD
Induktansi dan reaktansi rangkaian satu fasa
b. GMR dan GMD penghantar konsentris (dipilin)
Umumnya konduktor saluan transmisi terdiri dari kawat-kawat yang
dipilin. Semua elemen kawat memiliki radius yang sama.
Jumlah elemen kawat dari suatu penghantar yang dipilin ditentukan
dalam rumus :
133 2
++= ppn
Dimana p merupakan jumlah lapisan kawat , tidak termasuk inti (yang
hanya 1 kawat). Jumlah kawat tiap lapisan = 6 p
i. Penghantar konsentris dengan 1 lapis (7 kawat)
Karena jarak tiap kawat berurutan adalah 2 r
GMR = 2,1767 r
5
62rGMD =
Induktansi dan reaktansi rangkaian satu fasa
ii. Penghantar konsentris dengan 2 lapis (19 kawat)
GMR = 3,788 r
iii. Penghantar konsentris dengan 3 lapis (37 kawat)
17
182rGMD =
35
362rGMD =
GMR = 5,3744 r
362rGMD =
Suatu saluran transmisi 1- fasa , 50 Hz, menggunakan konduktor tembaga keras
97,5%; 107,2 mm2 (4/0 atau 211.600CM), jumlah elemen kawat 19, radius efektif
0,6706 cm. Jarak antara kedua kawat 1,5 meter.
Tentukan Reaktansi induktif per kawat per fasa dalam Ohm/km.
Jawaban :
r1 = radius konduktor (meter) = 0,006706 meter
Contoh soal
12
1
log14467,010857,0
1
log14467,0 d
r
XL +





+=
r1 = radius konduktor (meter) = 0,006706 meter
d12 = jarak antara kawat (meter = 1,5 meter
kmOhmXL /3556,05,1log14467,010857,0
006706,0
1
log14467,0 =+





+=
Induktansi & reaktansi induktif rangkaian tiga fasa
D
D
D
a
bc
a. Jarak antara fasa sama (simetris)
Induktansi per fasa sama dengan
induktansi rangkaian satu fasa
kmHenrid
r
L /log10857,0
1
log10.4605,0 12
1
3






++= −
kmOhmd
r
XL /log10857,0
1
log14467,0 12 





++=
Induktansi per fasa
b. Jarak antara fasa tidak sama (asimetris)
Dimana : 3
312312 .. DDDGMD =
kmOhmd
r
XL /log10857,0log14467,0 12
1




kmHenriGMD
r
L /log10857,0
1
log10.4605,0
1
3






++= −
kmOhmGMD
r
XL /log10857,0
1
log14467,0
1






++=
Suatu saluran transmisi 3-fasa , 50 Hz, 150 kV menggunakan konduktor ACSR
282 mm2 (556.500CM), 30/7, konfigurasi horizontal datar dengan jarak antar
kawat 5,33 meter. Radius efektif kawat 1,21 cm = 0,0121 meter.
Tentukan (a). Jarak ekivalen kawat; (b). Reaktansi induktif per kawat per fasa
dalam Ohm/km.
Jawaban : (a). Jarak ekivalen kawat = GMD
Contoh soal
meterxxdddGMD ACBCAB 715,666,1033,533,5.. 33 ===
(b). Reaktansi induktif : XL = Xa + Xd
meterxxdddGMD ACBCAB 715,666,1033,533,5.. ===
GMD
r
XL log14467,010857,0
1
log14467,0
1
+





+=
kmOhmXL /4127,011965,029307,0715,6log14467,010857,0
0121,0
1
log14467,0 =+=+





+=
a. Kapasitansi saluran 3 fasa dengan jarak fasa sama
atau
Reaktansi kapasitif :
Farad
d
r
hf
V
q
C
an
a
12
1
ln
1
ln
..2
+
==
π
Kapasitansi & reaktansi kapasitif rangkaian tiga fasa
kmFarad
d
r
x
C /
log
1
log
10417,2
12
1
8
+
=
−
Reaktansi kapasitif :
b. Reaktansi Kapasitif saluran 3 fasa dengan jarak antar fasa tidak sama
3
312312 .. DDDGMD =
''
..2
1
daC XX
Cf
jX +==
π
kmMegaOhm
r
Xa /
1
log1317,0'
1
−= kmMegaOhmdXd /log1317,0' 12−=
kmMegaOhm
r
GMD
XX
Cf
jX daC /log1317,0''
..2
1
1
−=+==
π
Suatu saluran transmisi 3-fasa menggunakan konduktor ACSR 456 mm2
(900.000CM), konfigurasi horizontal datar dengan jarak antar kawat 4,2672 meter
(14 feet).
Frekuensi sistem 50 Hz. Diamater kawat 2,9515 cm.
Tentukan kapasitansi dan reaktansi kapasitif dari saluran tsb
Jawaban :
Contoh soal
meterxxdddGMD ACBCAB 3763,55344,82672,42672,4.. 33 === meterxxdddGMD ACBCAB 3763,55344,82672,42672,4.. ===
kmMegaOhm
r
GMD
jXC −−=−=





= 3373,0
01476,0
3763,5
log1317,0log1317,0'
1
kmFaradx
xXf
C
C
/100094,0
)103373,0.(50.2
1
..2
1 6
6
−
=
−
−=−=
ππ
Konduktor berkas (bundle)
Pada SUTET, bila saluran tiap fasa hanya menggunakan satu konduktor, rugi
corona dan interferensi komunikasi sudah sangat besar. Untuk itu pada tiap fasa
digunakan konduktor berkas dengan jumlah konduktor 2, 3, 4 atau lebih. Dengan
menggunakan konduktor berkas, reaktansi saluran akan lebih kecil sehingga
kapasitas hantar arus akan lebih besar.
Saluran transmisi 3 fasa yang panjang umumnya dilakukan transposisi diantara
fasanya, fluksi lingkup pada fasa A karena arus pada fasa B,
D
λAB = K iB ln lilitan-Weber
Dimana : dAB = jarak pusat konduktor berkas A ke pusat konduktor berkas B
DB = jarak pusat konduktor berkas B ke titik jauh
Dengan cara yang sama untuk fasa A karena arus fasa C
Induktansi konduktor berkas per fasa adalah :
AB
B
d
D
GMD
n
ddr
K
i
L n
A
A
A ln
1
ln...
1
ln
4
11
ln
1121
+






++++
==
λ
Pendekatan :
Reaktansi induktif konduktor berkas per fasa :
XL = 0,14467 log Ohm/km
Dimana :
GMR
GMD
Konduktor berkas
3 .. ACBCAB dddGMD = n
ndddrGMR 113121 ......'.= n113121
GMR dari konduktor berkas dimana sub konduktor mempunyai jarak-jarak
yang sama dan terletak pada suatu lingkaran dengan radius R adalah :
Bila jumlah sub konduktor 2, maka n = 2
Konduktor berkas
R R
S
R
r
RRrSrGMR
'
22'.'. 1
11 ===
Dimana: r1’ = GMR sub konduktor
SR
Konduktor berkas
Bila jumlah sub konduktor 3, maka n = 3
3
S
R=
3 13 2
1
3 2
1
'
33'.'.
R
r
RRrSrGMR ===
Bila jumlah sub konduktor 4, maka n = 4Bila jumlah sub konduktor 4, maka n = 4
2
S
R = 4 1 '
4
R
r
RGMR =
Bila jumlah sub konduktor n, maka bentuk umumnya adalah :
n
R
r
nRGMR
'
. 1
=
Konduktor berkas
GMDddd
r
h
e
Q
C
n
A
A
A
lnln...lnln
1
ln
2
11312
1
−





−−−
==
πε
Kapasitansi dan reaktansi kapasitif untuk konduktor berkas
Dengan pendekatan, reaktansi kapasitif :
Farad










=
n
eqa
R
rnR
jX
1
)(
1
log1317,0'
X’C = Xa’(eq) + Xd’ Mega Ohm-km
3 ..log1317,0' ACBCABd dddjX =
Suatu saluran transmisi 3-fasa menggunakan konduktor berkas dengan 2 sub-
konduktor per fasa. Jarak sub konduktor S = 0,4 meter dan jarak-jarak kawat
berkas sbb :
dAB = dBC = 7 meter
dAC = 14 meter
Radius sub konduktor = 1,725 cm
Tentukan reaktansi induktif dan kapasitif dari saluran tsb
Jawaban :
Contoh soal
r
RGMR
'
2 1
=Jawaban :
Dimana : R = ½. S
= 0,2 m
Jadi :
R
RGMR 2=
meterer 4/1
1
100
725,1
' −
=
meter
x
e
R
r
RGMR 0733,0
2,0100
.725,1
22,0
'
2
4/1
1
===
−
meterxxdddGMD ACBCAB 82,81477.. 33 ===
Jawaban :
Jadi :
Contoh soal
kmOhm
GMR
GMD
XL /301,0
0733,0
82,8
log14467,0log14467,0 ===
kmMegaOhm
R
rnR
jX
n
eqa −−=










−=










= 1423,0
01725,0
22,0
1
log1317,0
1
log1317,0'
1
)(
R
nR 






 2,0
22,01
kmMegaOhmxxdddjX ACBCABd −−=−== 1245,01477log1317,0..log1317,0' 33
XC’ = Xa’(eq) + Xd’
= - (0,1423+0,1245)
= - 0,2668 Mega-Ohm-km
Saluran ganda tiga fasa
Reaktansi induktif untuk saluran ganda tiga fasa
1=a
2=b
d12
d23
d13
5=e
6=f
d16
d25
d36
3=c 4=d
d36
Saluran 1 Saluran 2
Reaktansi induktif =
GMR
GMD
XL log14467,0=
12
564645353426242316151312 ........... ddddddddddddGMD =
( )6
362514
3
1 ...' dddrGMR =
Ohm/km/konduktor
Saluran ganda tiga fasa
Reaktansi kapasitif =






=
GMR
GMD
jXC log1317,0
Contoh soal
Suatu saluran transmisi ganda 3-fasa menggunakan konduktor dengan ukuran
sbb :
r1 ‘= 0,00698 m
r1 = 0,008626 m
Jarak antar konduktor sbb :
d12 = d23 = d45 = d56 = 3,0785 m
d13 = d46 = 6,096 m
d14 = d36 = 8,2013 m
d15 = d24 = d26 = d35 = 6,6751 md15 = d24 = d26 = d35 = 6,6751 m
d25 = 6,4008 m
d16 = d34 = 5,4864 m
Tentukan reaktansi induktif dan kapasitif dari saluran tsb
Jawaban : 12
564645353426242316151312 ........... ddddddddddddGMD =
meterxxxGMD 9165,44864,56751,6096,60785,312 2424
==
( )6
362514
3
1 ...' dddrGMR = meterxxGMR 2296,04008,62013,800698,06 23
==
Contoh soal
Jawaban :
Untuk perhitungan reaktansi kapasitif :
GMD nya sama, untuk GMR r1’ diganti dengan r1
konduktorkmOhmXL //1925,0
2296,0
9165,4
log14467,0 ==
( )6 3
... dddrGMR =
meterxxGMR 2552,04008,62013,8008626,06 23
==
konduktorkmMegaOhmjjXC /1692,0
2552,0
9165,4
log1317,0 −==
( )6
362514
3
1 ... dddrGMR =
Tugas – 2 (latihan soal)
1. Suatu saluran transmisi 3-fasa , 50 Hz, 230 kV menggunakan konduktor
ACSR 402,83 mm2 (795.000CM), konfigurasi horizontal datar dengan jarak
antar kawat 8,6 meter. Radius efektif kawat 2,21 cm.
Tentukan :
(a). Jarak efektif kawat (GMD);
(b). Reaktansi induktif per fasa dalam Ohm/km.
(c). Reaktansi kapasitif per fasa dalam MegaOhm/km
2. Suatu saluran transmisi 3-fasa , 50 Hz, menggunakan konduktor berkas2. Suatu saluran transmisi 3-fasa , 50 Hz, menggunakan konduktor berkas
dengan 4 sub-konduktor per fasa. Jarak sub konduktor S = 0,4 meter dan
jarak-jarak kawat berkas sbb :
dAB = dBC = 9 meter
dAC = 18 meter
sub konduktor merupakan ACSR 282 mm2 (556.500 CM), dengan diameter
sub konduktor = 2,3546 cm dan GMR = 0,9571 cm
Tentukan :
(a). reaktansi induktif per fasa dalam Ohm/km
(b). Kapasitansi dalam Farad/km
(c). Reaktansi kapasitif dalam MegaOhm/km
TRANSMISI DAYA LISTRIK
Tatap Muka 4 :
Pemodelan Saluran Transmisi serta
hubungan arus dan tegangan
Pemodelan saluran transmisi
Karakteristik saluran transmisi dinyatakan dengan parameter, resistansi, induktansi dan
kapasitansi yang tersebar sepanjang saluran.
The image cannot be displayed. Your computer may not have enough memory to open the image, or the image may have been corrupted. Restart your computer, and then open the file again. If the red x still appears, you may have to delete the image and then insert it again.
Namun memodelkan parameter yang tersebar sepanjang saluran tersebut adalah sulit.
Parameter-parameter tersebut, dapat didekati dengan beberapa resistor, induktor dan
kapasitor.
Namun, pendekatan ini tidak praktis, karena harus menghitung arus dan tegangan di
setiap titik sepanjang saluran. Dapat juga diselesaikan melalui persamaan deferensial
untuk saluran, namun juga tdk praktis, untuk sistem yang besar dengan banyak saluran
transmisi.
Untuk panjang SUTT < 80 km, dikategorikan sebagai saluran pendek. Dapat dimodelkan
dengan resistansi dan induktansi seri, karena kapasitansinya dapat diabaikan.
Untuk SUTT, reaktansi induktif pada 50 Hz umumnya
jauh lebih besar dari resistansi saluran.
Pemodelan saluran transmisi
Untuk panjang SUTT (80 – 250 km) dikategorikan
sebagai saluran transmisi dengan panjang menengah/
medium. Disini kapasitansi saluran sudah mulai
diperhitungkan. Dan dapat dimodelkan dengan dua
kapasitor dengan ukuran masing2 separohnya dikedua
ujung saluran.
Untuk SUTT dengan panjang > 250 km dikategorikan sebagai slauran transmisi panjang.
Saluran pendek
Saluran medium
Besarnya nilai resistansi, reaktansi seri (induktif) dan admitansi shunt dari suatu saluran
transmisi dapat dihitung sbb
ydY
xdX
rdR
=
=
=
Pemodelan saluran transmisi
Dimana r, x, dan y adalah resistansi, reaktansi, dan admitansi shunt per unit panjang
dan d adalah panjang dari saluran transmisi. Nilai r, x, dan y dapat du dari tabel
referensi konduktor saluran transmisi.
ydY =
Jaringan 2 kutub (2-port networks)
& konstanta ABCD
Suatu saluran transmisi dapat dinyatakan dengan
jaringan 2 kutub – yaitu suatu jaringan yg dapat
diisolasi dari lingkungan luarnya melalui dua
hubungan kutub, seperti pd gambar.
Bila jaringannya linier, berdasarkan teori rangkaian (analogous to Thevenin’s theorem)Bila jaringannya linier, berdasarkan teori rangkaian (analogous to Thevenin’s theorem)
menetapkan hubungan antara tegangan dan arus sisi krim dan sisi terima sbb :
Disini konstanta A dan D tanpa dimensi, konstanta B dengan unit Ω, dan konstanta C
diukur dalam Siemens (Mho). Konstnata-2 ini sering kali disebut sebagai konstanta umum
rangkaian, atau konstanta ABCD.
RRS
RRS
DICVI
BIAVV
+=
+=
Saluran transmisi pendek
Rangkaian ekivalen per fasa dari saluran pendek
VS dan VR adalah tegangan sisi kirim dan terima; IS
dan IR adalah arus sisi kirim dan terima. Diasumsikan
tidak ada admitansi saluran.
RS II =
Berdasarkan Hk. Kirchhoff terdapat hubungan untuk tegangan sbb
RS II =
IjXRIVZIVV LRRS ++=+=
IjXRIVV LSR −−=
Jaringan 2-kutub & kosntanta ABCD
Konstanta ABCD dapat diinterpretasikan secara physic. konstanta A menggambarkan effect
dari perubahan tegangan sisi terima terhadap tegangan sisi kirim; dan konstanta D
menggambarkan effect perubahan arus sisi terima terhadap arus sisi kirim. Kedua konstanta
A dan D tanpa dimensi.
Konstanta B menggambarkan effect perubahan srus sisi terima terhadap tegangan sisi
kirim. Konstanta C menggambarkan effect perubahan tagangan sisi terima terhadap arus sisi
kirim.
Saluran transmisi adalah jaringan linier 2 kutub, dan sering dinyatakan dengan model ABCD.
Untuk saluran pendek, IS = IR = I, dan konstanta ABCD saluran adalah
1
0
1
=
=
=
=
D
C
ZB
A
Diagram fasor saluran transmisi pendek
Tegangan bolak-balik (AC) biasanya dinyatakan dalam diagram fasor.
Beban dengan faktor daya lagging.
Beban dengan faktor daya unity (1,0).
Beban dengan faktor daya leading.
Untuk suatu tegangan kirim VS dan suatu besaran
arus, tegangan sisi terima VR akan lebih rendah
untuk beban lagging dan lebih tinggi untuk beban
leading .
Karakteristik saluran transmisi
Pada SUTT, nilai reaktansi XL normalnya jauh lebih besar dari resistansi R; sehingga
resistansi saluran sering kali diabaikan. Beberapa karakteristik penting saluran transmisi
adalah sbb
1. The effect of load changes
Diasumsikan sebuah generator
mensuplai sebuah beban melalui suatumensuplai sebuah beban melalui suatu
saluran transmisi, bagaimana pengaruh
kenaikan beban terhadap tegangan.
Diasumsikan generator ideal, kenaikan beban akan menaikan daya aktif dan reaktif keluar
dr generator begitu pula arus di saluran transmisi. Sementara tegangan sisi kirim tetap.
1) Apabila bebannya bertambah dengan faktor daya lagging yang sama, besaran arus di
saluran akan naik tetapi masih dengan sudut θ yang sama terhadap VR seperti
sebelumnya.
Jatuh tegangan pada reaktansi juga naik tetapi tetap dengan sudut yang sama.
Diasumsikan resistansi saluran = 0 dan perlu diingat
bahwa besaran tegangan sumber atau tegangan kirim
adalah konstan
Jatuh tegangan pada reaktansi jXLI akan berkisar antara
V and V .
Karakteristik saluran transmisi
IjXVV LRS +=
L
VR and VS.
Sehingga , bila beban lagging naik, tegangan sisi terima akan berkurang cukup besar
2) Sebaliknya , Naiknya beban dengan faktor daya
unity (1,0), akan sedikit menurunkan tegangan sisi
terima.
3) Sedangkan , naiknya beban dengan faktor
daya leading , maka tegangan sisi terima
juga akan naik
Ringkasan :
1. Bila beban lagging (inductive) pada sisi terima saluran meningkat, tegangan di sisi
Karakteristik saluran transmisi
1. Bila beban lagging (inductive) pada sisi terima saluran meningkat, tegangan di sisi
terima dari saluran akan turun cukup besar – nilai pengaturan tegangan (VR) akan
besar dan positif.
2. Bila beban unity-PF (resistive) pada sisi terima saluran meningkat, tegangan di sisi
terima dari saluran akan turun sedikit – nilai pengaturan tegangan (VR) akan kecil dan
positif..
3. Bila beban leading (capacitive) pada sisi terima saluran meningkat, tegangan di sisi
terima dari saluran akan naik – nilai pengaturan tegangan (VR) akan negatif..
Pengaturan tegangan (voltage regulation = VR) dari saluran transmisi adalah
%100.
Rfl
RflRnl
V
VV
VR
−
=
Karakteristik saluran transmisi
Dimana VRnl dan VRfl adalah tegangan no-load dan full-load pada sisi terima saluran.
Untuk saluran pendek : VRnl = VS dan VRfl = VR
Sehingga
%100.
R
RS
V
VV
VR
−
=
Saluran transmisi menengah
Pada saluran transmisi dengan panjang medium/ menengah (80 – 250 km) , nilai
kapasitansi saluran sudah mulai diperhitungkan. Dalam pemodelannya dapat
dipusatkan di satu titik (nominal T) atau pada dua titik (nominal PI).
Rangkaian ekivalen Nominal T
Relasi tegangan dan arus :
22
Z
I
Z
IVV SRRS ++=
Y
Z
IVIYVII RRRPRS 





++=+=
2
RRS I
ZY
YVI 





++=
2
1
The image cannot be displayed. Your computer may not have enough memory to open the image, or the image may have been corrupted. Restart your computer, and then open the file again. If the red x still appears, you may have to delete the image and then insert it again.
Saluran transmisi menengah
Maka :
RRS I
YZ
ZV
ZY
V 





++





+=
42
1
2
RRS I
ZY
YVI 





++=
2
1
Rangkaian ekivalen Nominal PI
Relasi tegangan dan arus :
2
Y
VII
ZIVV
RRP
PRS
+=
+=
Tetapi
Saluran transmisi menengah
Jadi :
RRS
RRRS
ZIV
ZY
V
Z
Y
VIVV
+





+=






++=
2
1
2
22
1
22
Y
ZIV
ZYY
VI
Y
VII RRRRSPS +





+++=+=
RRS I
ZY
V
ZY
YI 





++





+=
2
1
4
2
%100.
Rfl
RflRnl
V
VV
VR
−
=
Pengaturan tegangan untuk saluran menengah :
%100.2
1
R
R
S
V
V
ZY
V
VR
−
+
=atau
Pada saluran menengah, admitansi shunt
harus dimasukkan dalam perhitungan. Total
admitansi biasanya dimodelkan dengan
model Phi (π model) seperti gambar
disamping.
Arus yg melalui kapasitor sisi terima adalah
Saluran transmisi menengah
Arus yg melalui kapasitor sisi terima adalah
Dan arus yang melalui impedansi seri adalah
2
2
Y
VI RC =
RRser I
Y
VI +=
2
Dari Hk. Kirchhoff untuk tegangan, tegangan sisi kirim adalah
Arus sisi kirim menjadi
Saluran transmisi menengah
RRRRCRserS ZIV
ZY
VIIZVZIV +





+=++=+= 1
2
)( 2
RRSRCCserCS
I
ZY
V
ZY
YI
I
Y
V
Y
VIIIIII




++



+=
++=++=+=
11
22
211
Sehingga konstanta ABCD saluran transmisi menengah adalah
Bila kapasitansi shunt diabaikan, konstanta
ABCD menjadi sama dengan konstanta
saluran transmisi pendek.
RRS I
ZY
V
ZY
YI 





++





+= 1
2
1
4
1
2
1
4
1
2
+=






+=
=
+=
ZY
D
ZY
YC
ZB
ZY
A
2. Power flow in a transmission line
Daya aktif input ke saluran transmisi 3 fasa dapat dihitung sbb :
Dimana VS adalah besaran tegangan sumber (input) line-to-neutral dan VLL,S adalah
besaran tegangan sumber (input) line-to-line. Disini diasusmsikan untuk hubungan- Y!
Dengan cara yang sama , daya aktif output dari saluran transmisi adalah
Karakteristik saluran transmisi
SSSLLSSSin IVIVP θθ cos3cos3 ,==
IVIVP θθ cos3cos3 ==
Daya reaktif input ke saluran transmisi 3 fasa dapat dihitung sbb :
RRRLLRRRout IVIVP θθ cos3cos3 ,==
SSSLLSSSin IVIVQ θθ sin3sin3 ,==
Daya nyata input ke saluran transmisi 3 fasa adalah
Dan daya reaktif output adalah
RRRLLRRRout IVIVQ θθ sin3sin3 ,==
Karakteristik saluran transmisi
Dana daya nyata output adalah
SSLLSSin IVIVS ,33 ==
RRLLRRout IVIVS ,33 ==
Bila resistansi saluran R dapat diabaikan, daya output dari saluran transmisi dapat
disederhanakan sbb
Diagram fasor yang disederhanakan dari saluran
transmisi menunjukkan bahwa IS = IR = I.
Selanjutnya garis vertikal bc dapat dinyatakan
sebagai VS sinδ atau XLIcosθ. Sehingga:
Karakteristik saluran transmisi
SV
I
δ
θ
sin
cos =
Sehingga daya outputnya sbb:
Sehingga , daya yang disuplai oleh saluran transmisi tergantung pada sudut fasor antara
tegangan input dan output.
L
S
X
V
I
δ
θ
sin
cos =
L
RS
X
VV
P
δsin3
=
Daya maksimum yang disuplai oleh saluran transmisi akan terjadi apabila δ = 900:
Daya maksimum ini disebut steady-state stability limit dari saluran transmisi. Dalam
kenyataannya resistansi saluran transmisi adalah tidak = 0, sehingga, sebelum mencapai nilai
transfer daya maksimum sudah mengalami pemanasan pada Saluran transmisi . Secara tipikal
sudut daya pada beban penuh adalah 250 .
Karakteristik saluran transmisi
L
RS
X
VV
P
3
max =
sudut daya pada beban penuh adalah 250 .
Beberapa hal yang dapat disimpulkan dari persamaan daya diatas adalah:
1. Kemampuan transfer daya maksimum dari suatu saluran transmisi adalah fungsi dari
kwadrat tegangan nominalnya. Misalnya apabila semua parameter saluran sama, suatu
saluran transmisi 220 kV akan memiliki 4 kali kemampuan transfer daya dibandingkan
dengan saluran transmisi 110 kV .
Hal ini merupakan salah satu keuntungan menaikkan tegangan saluran transmisi… Namun
tegangan yang sangat tinggi akan menghasilkan medan elektromagnetik yang kuat, yang
menyebabkan interferensi dengan komunikasi dan menghasilkan efek corona – menyalanya
ion-ion udara yang akan meningkatkan losses.
2. Kemampuan transfer daya maksimum dari saluran transmisi : berbanding terbalik dengan
reaktansi seri, yang nilainya cukup besar untuk saluran panjang. Untuk itu di beberapa saluran
panjang menambahkan kapasitor seri untuk mengurangi reaktansi seri secara total,
sehingga meningkatkan kemampuan transfer daya saluran.
3. Dalam operasi normal suatu sistem tenaga listrik, besaran tegangan VS dan VR tidak
banyak berubah, sehingga, besarnya sudut δ akan mengendalikan daya yang mengalir
melalui saluran. Untuk itu dalam rangka mengendalikan aliran daya di saluran dapat
Karakteristik saluran transmisi
melalui saluran. Untuk itu dalam rangka mengendalikan aliran daya di saluran dapat
dilakukann dengan meletakkan suatu phase-shifting transformer disatu sisi saluran untuk
mengatur tegangan fasa.
3. Transmission line efficiencyEffisiensi saluran transmisi adalah
%100.
in
out
P
P
=η
4. Transmission line ratings
Salah satu faktor batasan utama dalam pengoperasian saluran transsmisi adalah pemanasan
pada resisitansi. Karena pemanasan ini adalah fungsi kwadrat arus yang mengalir di saluran
dan tidak bergantung pada sudut fasanya, saluran transmisi biasanya dioperasikan pada
tegangan dan daya nominal nya.
5. Transmission line limits
Terdapat Beberapa kendala praktis yang membatasi daya aktif dan reaktif yang dapat disuplai
oleh saluran transmisi. Kendala yang paling penting adalah :
Karakteristik saluran transmisi
5. Transmission line limits
oleh saluran transmisi. Kendala yang paling penting adalah :
1. Arus steady-state maksimum harus dibatasi untuk menghindari pemanasan berlebih pada
saluran transmisi . Rugi-rugi daya pada saluran dihitung dengan pendekatan sbb :
Semakin besar arus yang mengalir semakin besar rugi-rugi panas pada resistansi.
RIP Lloss
2
3=
2. Jatuh Tegangan pada saluran harus dibatasi sekitar 5%. Dengan kata lain rasio besaran
tegangan sisi terima terhadap tegangan sisi kirim adalah
Batasan ini menghindari terjadinya variasi tegangan yang berlebihan.
Karakteristik saluran transmisi
95,0≤
S
R
V
V
Batasan ini menghindari terjadinya variasi tegangan yang berlebihan.
3. Sudut daya δ pada saluran transmisi harus ≤ 300 untuk menjamin bahwa aliran daya pada
saluran transmisi cukup jauh dari static stability limit sehingga sistem tenaga listrik dapat
menangani apabila terjadi kondisi transient.
Diantara batasan-batasan tersebut ada yang lebih atau kurang penting pada suatu kondisi
tertentu yang berbeda. Pada saluran pendek, dimana reaktansi seri X adalah relatif kecil,
pemanasan pada resistansi biasanya membatasi daya yang dapat disuplai saluran. Pada
saluran yang lebih panjang yang beroperasi pada faktor dInya lagging , jatuh tegangan di
saluran biasanya menjadi faktor pembatas. Pada saluran yang lebih panjang yang beroperasi
pada faktor daya leading , maksimum sudut δ dapat menjadi faktor pembatas.
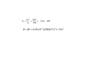
1. Suatu saluran transmisi 3 – fasa , 50 km, 70 kV, mempunyai konstanta
saluran sbb : R = 0,20 Ohm per km, X = 0,608 Ohm per km, Y = j4,0 x10-6 Mho
per km. Saluran transmisi tsb mensuplai beban 30 MW dengan faktor daya 0,9
lagging. Tegangan pada ujung beban 70 kV.
Tentukan :
a. Tegangan pada ujung kirim
b. Daya pada ujung kirim
c. Efisiensi transmisi
d. Pengaturan tegangan
Contoh soal - 1
Z
I
d. Pengaturan tegangan
Jawaban :
(a). Saluran transmisi ini termasuk saluran pendek IS = IR = I dan VS = VR + I.Z
PR = 30 MW, pf. 0,9 lagging
VR(LL) = 70 kV
VR(LN) = 70 / √3 kV = 40,4 kV
o
o
LLR
R
R Amp
xkVx
kW
pfV
P
I 84,2594,274
9,0703
84,25000.30
..3 )(
−∠=
−∠
==
Contoh soal - 1
( ) OhmjxjZ o
8,71324,301050608,02,0 ∠=+=+=
)(49,793,46324,6532,46324,6116,6416,40
96,45798,8416,408,713284,2594,274416,40
NLkVjjV
VoltxV
IZVV
S
S
RS
−∠=+=++=
∠+=∠−∠+=
+=
atau
−== )(28,81393,46 LLkVxkVVS −==
(b). Daya pada ujung kirim :
SSS IVP θcos3=
o
S 33,33)84,25(49,7 =−−=θ
MWkWxxxPS 34,32339,3233,33cos94,27428,813 ===
θR θS
(b). Efisiensi transmisi :
%6,92%100.
34,32
30
%100. ===
S
R
P
P
η
(b). Pengaturan tegangan :
%11,16%100.
7028,81
%100. =
−
=
−
= RS VV
VR
Contoh soal - 1
%11,16%100.
70
%100. ===
R
RS
V
VR
Saluran transmisi panjang
Untuk saluran transmisi panjang, menjadi kurang teliti apabila memodelkan admitansi
shunt dengan dua capacitor disetiap ujung saluran. Akan Lebih tepat dan teliti apabila baik
kapasitansi shunt dan impedansi seri dinyatakan dalam besaran yang terdistribusi
sepanjang saluran. Tegangan dan arus di saluran dihitung melalui persamaan deferensial
dari saluran.
Namun sebenarnya kita tetap bisa memodelkan saluran transmisi panjang sebagai
model nominal π , yaitu dengan impedansi seri yang dimodifikasi Z’ dan admitansi
shunt yang dimodifikasi Y’ . Selanjutnya melakukan perhitungan tegangan dan arusshunt yang dimodifikasi Y’ . Selanjutnya melakukan perhitungan tegangan dan arus
menggunakan model konstanta ABCD . Nilai impedansi seri dan admitansi shunt yg
dimodifikasi adalah sbb:
2/
)2/tanh(
'
sinh
'
d
d
YY
d
d
ZZ
γ
γ
γ
γ
=
=
Saluran transmisi panjang
Model ideal
Model pendekatan
Disini Z adalah impedansi seri saluran; Y adalah admitansi shunt saluran; d adalah
panjang saluran; γ adalah konstanta propagasi saluran:
Dimana y adalah admitansi shunt per kilometer dan z adalah impedansi seri per km.
Apabila γd semakin kecil, maka ekspresi ratio pada Z’ dan Y’ mendekati 1.0 dan model
tersebut menjadi model saluran transmisi menengah. Konstanta ABCD untuk saluran
Saluran transmisi panjang
yz=γ
tersebut menjadi model saluran transmisi menengah. Konstanta ABCD untuk saluran
transmisi panjang adalah
1
2
''
1
4
''
'
1
2
''
+=






+=
=
+=
YZ
D
YZ
YC
ZB
YZ
A
Tugas – 3 (latihan soal)
1. Suatu saluran transmisi 3-fasa , 200 km, 230 kV. Konstanta saluran transmisi
adalah Z = 0,54 ∟71,8o Ohm/km ; Y = 5,0 x 10-6 ∟90o Mho/km. Saluran
transmisi ini menyalurkan daya 150 MW dengan faktor daya 1,0 pada ujung
beban. Tegangan pada ujung beban 230 kV. Dengan menggunakan model
nominal PI, tentukan :
(a). Tegangan dan arus pada sisi kirim;
(b). Efisiensi transmisi.
(c). Pengaturan tegangan
2. Suatu saluran transmisi 3-fasa , 100 km, pada sisi terima terhubung ke beban
50 MW dengan faktor daya 0,85 lagging. Konstanta saluran transmisi tersebut
adalah Z = 95 ∟78o dan Y = 0,001 ∟90o S. Menggnakan model nominal T,
Tentukan :
(a). Konstanta A, B, C, D saluran transmisi tsb.
(b). Tegangan, arus dan faktor daya sisi kirim
(c). Efisiensi saluran transmisi.
TRANSMISI DAYA LISTRIK
Tatap Muka 5 :
Pemodelan Saluran Transmisi serta
hubungan arus dan tegangan (2)
Untuk saluran transmisi panjang, menjadi kurang teliti apabila memodelkan admitansi
shunt dengan dua capacitor disetiap ujung saluran. Akan Lebih tepat dan teliti apabila baik
kapasitansi shunt dan impedansi seri dinyatakan dalam besaran yang terdistribusi
sepanjang saluran. Tegangan dan arus di saluran dihitung melalui persamaan deferensial
dari saluran.
Saluran transmisi panjang
Pada model diatas berlaku :
x
x
x
x
Vy
dx
dI
Iz
dx
dV
== ;
Bila diturunkan thd x :
dx
dV
y
dx
Id
dx
dI
z
dx
Vd xxxx
== 2
2
2
2
;
(1)
(2)
Substitusi persamaan (1) ke (2) :
x
x
x
x
Iyz
dx
Id
Vyz
dx
Vd
== 2
2
2
2
;
Pada x=0, Vx = VR dan Ix = IR solusinya adalah :
RRRR IBVAIxyz
z
y
VxyzxV ..)sinh()(cosh)( +=+=
RRRR IDVCIxyzVxyz
z
y
xI ..)(cosh)sinh()( +=+=
2 Persamaan diatas dapat dituliskan sbb :
RcR IxZVxxV )sinh()(cosh)( γγ +=
RRc IxVxYxI )(cosh)sinh()( γγ +=
Dimana :
z
y
Y
y
z
Z
yz
c
c
=
=
=γ = konstanta propagasi per satuan panjang
= impedansi karakteristik per satuan panjang
= admitansi karakteristik per satuan panjang
βαγ j+=
=α Konstanta redaman (ukuran penurunan V dan I per satuan panjang)
=β Konstanta pergeseran fasa
RcRS IlZVlV )sinh()(cosh γγ +=
Apabila x = l, maka Vx = VS dan Ix = IS & persamaan tegangan dan arus menjadi:
IlVlYI )(cosh)sinh( γγ += RRcS IlVlYI )(cosh)sinh( γγ +=
Selain itu diketahui
)(sinh)(cosh 2
1
2
1 llll
eeleel γγγγ
γγ −−
−=+=
ljl
cRR
ljl
cRRS eeZIVeeZIVV βαβα −−
−++= )()( 2
1
2
1
ljl
RcR
ljl
RcRS eeIYVeeIYVI βαβα −−
−−+= )()( 2
1
2
1
Sehingga :
Suku pertama dari VS dan IS disebut gelombang datang (incident wave) dan suku kedua
disebut gelombang refelksi/ pantulan (reflected wave). Keduanya merupakan gelombang
berjalan.
Gelombang datang semakin berkurang nilai dan sudut fasanya menuju sisi terima,
sebaliknya gelombang pantul semakin membesar nilai dan sudut fasanya menuju sisi kirim.
Disetiap titik sepanjang saluran, terjadi superposisi antara gelombang datang dan
gelombang pantul.
Kondisi khusus :Kondisi khusus :
1. Bila kedua suku berbeda sudut fasa 180o ,maka kedua suku diatas akan saling
menghilangkan, sehingga : IR = 0 dan α = 0. kondisi ini terjadi pada saluran terbuka atau
tanpa beban
2. Bila saluran ditutup dengan inpedansi karakteristik Zc, yang merupakan impedansi
saluran yang panjangnya tak terhingga. pada kondisi ini tidak terdapat gelombang
pantul, sehingga : VR = IR Zc
Nilai Zc, untuk saluran transmisi tunggal sekitar 400 Ω dan untuk saluran ganda 200 Ω,
dengan sudut fasa antara 0 sampai dengan -15o
Panjang Gelombang
Untuk jarak x1 disepanjang saluran dimana βx1 = 2 π, maka vektor tegangan / arus akan
sefasa, maka jarak x1 disebut satu panjang gelombang (λ), dimana :
v
f
atau
f
vataufvdan
.2.2
.
2 π
β
β
π
λ
β
π
λ ====
v = kecepatan propagasi dan f = frekuensi gelombang
Untuk saluran udara tanpa rugi2 R = G = 0, maka :
Z = jX dan Y = jB = 1/X’
Daya karakteritik.
Daya karakteristik adalah daya maksimum yang dapat ditransmisikan bila tegangan sisi
terima (VR) adalah sama dengan tegangan sisi kirim (VS) dan dibebani dengan beban
yang sama dengan impedansi karakteristik saluran.
Bila rugi-rugi saluran diabaikan, R = 0 dan G = 0, maka daya karakteristik disebut daya
natural atau Surge Impedance Loading (SIL) = PN
Untuk saluran panjang :
lZjIlVlZIlVV oRRcRRS ββγγ sincossinh.cosh +=+=
LCfLCdan
C
L
Zo
.2πωβ ==
= = impedansi surja
= konstanta pergeseran fasa
l
Z
V
jlIl
Z
V
lII
o
R
R
c
R
RS ββγγ sincossinhcosh +=+=
Bila rugi-rugi diabaikan :
0)( =+= αβαγ danljl
Apabila
o
SS
o
RR
VV
VV
δ∠=
∠= 0 Maka :
lZ
VV
P
o
SR
R
β
δ
sin
sin
=
Harga maksimum PR diperoleh bila |VR| = |VS| = |V| dan ujung beban ditutup
dengan suatu beban yang sama dengan impedansi karaktersitik atau impedansi
surja saluran.
Harga |V2|/Zo disebut Daya Natural atau Pembebanan Impedansi Surja (Surge
Impedans Loading, disingkat SIL)
Jadi
2
Jadi
SIL
Z
V
PP
o
NR ===
2
Untuk SUTT :
Zo ≈ 400 Ohm
Sehingga : PN = 2,5 x Tegangan (kVL-L) kW
Harga maksimum β.l :
Dalam keadaan steady state, harga maksimum teoritis dari β.l = 90o.
Tetapi dalam praktek β.l harus dibatasi antara 20o sampai 30o, untuk menjaga
stabilitas saluran.
det/000.300
1
2
km
LC
v
lLCfl
==
= πβ
Harga β.l disebut panjang elektrik saluran, jadi jika β.l = 90o = 1,57 radian, maka
f
x
l
π2
000.30057,1
=
Untuk f = 50 Hz l = 1.500 km
Untuk f = 0 (DC) l = ~ (tak terhingga)
Dalam praktek, panjang saluran dibatasi oleh : Β.l = 30o = 0,523 radian
f
x
l
π2
000.300523,0
=
Untuk f = 50 Hz l = 500 km
Untuk f = 0 (DC) l = ~ (tak terhingga)
Memperbesar daya natural (PN)
Untuk memperbesar daya natural dpt dilakukan dengan cara :
1. Tegangan (kV) dinaikkan
2. Zo diturunkan, dengan cara :
C
L
Zo =
L : diturunkan dengan cara pemasangan kapasitor seri
C : dinaikkan dengan cara pemasangan kapasitor shunt
Pemilihan tegangan kerja, dapat dilakukan dengan 2 cara :
1. Berdasarkan Daya Natural
2. berdasarkan rumus empiris
5,2
)(5,2 2
2
N
o
N
P
kVataukWkV
Z
kV
P ===
100
5,5 makskW
lkV +=
l = panjang saluran dlm mile, ditentukan l = 100 mile
Rangkaian ekivalen
Untuk saluran transmisi panjang, menjadi kurang teliti apabila memodelkan admitansi
shunt dengan dua capacitor disetiap ujung saluran. Akan Lebih tepat dan teliti apabila baik
kapasitansi shunt dan impedansi seri dinyatakan dalam besaran yang terdistribusi
sepanjang saluran. Tegangan dan arus di saluran dihitung melalui persamaan deferensial
dari saluran.
Namun sebenarnya kita tetap bisa memodelkan saluran transmisi panjang sebagai
model nominal π , yaitu dengan impedansi seri yang dimodifikasi Z’ dan admitansi
shunt yang dimodifikasi Y’ . Selanjutnya melakukan perhitungan tegangan dan arusshunt yang dimodifikasi Y’ . Selanjutnya melakukan perhitungan tegangan dan arus
menggunakan model konstanta ABCD . Nilai impedansi seri dan admitansi shunt yg
dimodifikasi adalah sbb:
2/
)2/tanh(
'
sinh
'
d
d
YY
d
d
ZZ
γ
γ
γ
γ
=
=
Rangkaian ekivalen
Model ideal
Model pendekatan
Disini Z adalah impedansi seri saluran; Y adalah admitansi shunt saluran; d adalah
panjang saluran; γ adalah konstanta propagasi saluran:
Dimana y adalah admitansi shunt per kilometer dan z adalah impedansi seri per km.
Apabila γd semakin kecil, maka ekspresi ratio pada Z’ dan Y’ mendekati 1.0 dan model
tersebut menjadi model saluran transmisi menengah. Konstanta ABCD untuk saluran
Rangkaian ekivalen
yz=γ
tersebut menjadi model saluran transmisi menengah. Konstanta ABCD untuk saluran
transmisi panjang adalah
1
2
''
1
4
''
'
1
2
''
+=






+=
=
+=
YZ
D
YZ
YC
ZB
YZ
A
Contoh soal
1. Suatu saluran transmisi 3-fasa , tunggal, 300 km, 220 kV. Konstanta
saluran transmisi adalah
Z = 0 + j 0,48 Ohm/km ;
X’ = 0,30 Mega Ohm/km
Tentukan : (a) Impedansi karakteristik; (b) konstanta propagasi;
(c) Daya Natural ; (d ) panjang elektrik saluran
Jawaban :
X = 0,48 Ohm/km dan X’ = 0,3 x 106 Ohm-km
Z
OhmxXX
Y
Z
Zo 380)103,0)(48,0('. 6
====
kmradianxj
xjjZYj
/10265,10
10333,3)(48,0(
3
6
−
−
+=
==+=
γ
βαγ
MW
Z
kV
P
o
N 4,127
380
22022
===
oo
xl 8,21)3,57)(300)(10265.1(. 3
=== −
βθ
Contoh soal
2. Suatu saluran transmisi 3-fasa , tunggal, 200 km, 220 kV. Konstanta
saluran transmisi adalah
Z = 0,64 ∟71,8o Ohm/km ;
Y = 4,0 x 10-6 ∟90o Mho/km
Tentukan : (a) Impedansi karakteristik; (b) impedansi surja; (c) konstanta
propagasi; (d) Daya Natural ; (e ) konstanta panjang gelombang; (f)
panjang elektrik saluran
Jawaban :
Z o
o
8,7164,0
−∠=
∠
== Ohm
xY
Z
Z o
oc 1,9400
90104
8,7164,0
6
−∠=
∠
∠
== −
33
6
10)580,1253,0(9,80106,1
90104)(8,7164,0(
−−
−
+=∠=
∠∠==+=
xjx
xZYj
o
oo
γ
βαγ
Ohm
xY
jX
C
L
Zo 390
104
608,0
6
==== −
kmradianx /1058,1 3−
=β
oo
xl 1,18)3,57)(200)(1058,1(. 3
=== −
βθ
MW
Z
kV
P
o
N 1,124
390
22022
===
Tugas – 4 (latihan soal)
1. Suatu saluran transmisi 3-fasa , 300 km, 138 kV. Konstanta saluran transmisi
adalah Z = 0,105 + j 0,500 Ohm/km ; X’ = 0,3065 MegaOhm-km, tentukan :
(a). Impedansi karakteristik
(b). Impedansi surja.
(c). Konstanta propagasi
(d) Daya natural
(e) Konstanta panjang gelombang
(f) Panjang elektrik saluran
2. Suatu saluran transmisi 3-fasa , 400 km, 275 kV, Z = 300 ∟75o dan Y =
0,0025 ∟90o S.,
Tentukan :
(a). Impedansi karakteristik
(b). Impedansi surja.
(c). Konstanta propagasi
(d) Daya natural
(e) Konstanta panjang gelombang
(f) Panjang elektrik saluran
TRANSMISI DAYA LISTRIK
Tatap Muka 6 :
Diagram Lingkaran saluran Transmisi
Dalam sistem tenaga listrik, khususnya transmisi daya, sering dinyatakan dalam konstanta2
umum saluran. Saluran transmisi selalu dapat dinyatakan dalam suatu kotak dengan dua
terminal masuk dan kaluar, yang disebut sebagai kutub empat. Suatu rangkaian lisgtrik
dapat dinyatakan dalam suatu rangkaian kutub empat apabila tidak ada sumber tegangan
internal (bersifat pasif), impedansinya tidak tergantung dari arus (bersifat linier) dan
impedansinya tetap dilihat dari sisi mana saja, tidak tergantung arah arus. Saluran transmisi
memenuhi persyaratan ini.
Rangkaian kutub empat
Relasi tegangan dan arus :
RRS
RRS
DIVCI
BIVAV
+=
+=
Dan :
SSR
SSR
AICVI
BIDVV
+−=
−=
(1)
(2)
Rangkaian kutub empat
Saluran transmisi sebagai rangkaian kutub empat
Saluran Pendek
RS
RRS
II
ZIVV
+=
+=
0
Persamaan tegangan dan arus
Sehingga konstanta umum : A = 1 ; B = Z ; C = 0 ; D = 1
Rangkaian kutub empat
Saluran transmisi sebagai rangkaian kutub empat
Saluran Menengah
Rangkaian ekivalen Nominal T
Persamaan tegangan dan arusPersamaan tegangan dan arus
Sehingga konstanta umum :
RRS I
YZ
ZV
ZY
V 





++





+=
42
1
2
RRS I
ZY
YVI 





++=
2
1
ADYC
YZ
ZB
ZY
A ==+=+= ;;
4
;
2
1
2
Rangkaian kutub empat
Saluran transmisi sebagai rangkaian kutub empat
Saluran Menengah
Rangkaian ekivalen
Nominal PHI
Persamaan tegangan dan arus
Sehingga konstanta umum :
RRS I
ZY
YVI 





++=
2
1
4
;;
2
1
2
ZY
YCZB
ZY
DA +==+==
RRS ZIV
ZY
V +





+=
2
1
Rangkaian kutub empat
Saluran transmisi sebagai rangkaian kutub empat
Saluran Panjang
Rangkaian ekivalen
Nominal PHI
Persamaan tegangan dan arus
Sehingga konstanta umum saluran :
c
c
Z
l
ClZBlDA
γ
γγ
sinh
;sinh;cosh ====
RcRS IlZVlV )sinh()(cosh γγ +=
RR
c
S IlV
Z
l
I )(cosh)
sinh
( γ
γ
+=
• Dalam sistem tenaga listrik, khususnya dalam saluran transmisi, tegangan, arus dan
daya selalu berubah-ubah dari saat ke saat. Seperti telah dilihat bahwa dalam
perhitungan yang menyangkut tegangan, arus dan daya sangat panjang dan memakan
waktu. Oleh karena itu untuk menghemat waktu sangat menolong bila pemecahan
dilakukan secara grafik dengan pertolongan diagram lingkaran.
• Diagram lingkaran juga sangat menolong dalam perencanaan dan dalam bidang
operasi. Disamping itu dengan pertolongan diagram lingkaran dapat diterangkan hasil
yang diperoleh
• Dalam teknik tenaga listrik dikenal berbagai diagram lingkaran, salah satunya adalah
Diagram lingkaran
• Dalam teknik tenaga listrik dikenal berbagai diagram lingkaran, salah satunya adalah
diagram lingkaran daya saluran transmisi.
DIAGRAM LINGKARAN DAYA
Daya merupakan bilangan kompleks dan didefinisikan sebagai berikut:
dengan pengertian: + Q = daya reaktif induktif; - Q = daya reaktif kapasitif
jQPIVS +== ˆ
Persamaan tegangan dan arus :
Daya pada ujung beban:
Atau
Diagram lingkaran
RRRRR jQPIVS +== ˆ
R
S
RR
S
RRRS V
B
A
B
V
IdanV
B
A
B
V
IatauBIVAV ˆ
ˆ
ˆ
ˆ
ˆ
ˆ −=−=+=
VV
V
A
S RS
ˆˆ 2
+−=
Daya pada ujung kirim:
Maka :
B
VV
V
B
A
S RS
RR
ˆ
ˆ
ˆ
ˆ 2
+−=
SSSSSS
R
SSSR jQPIVSdanV
B
D
B
V
IatauBIDVV +==+−=−= ˆ
B
VV
V
B
D
S RS
SS
ˆ
ˆ
ˆ
ˆ 2
−=
Diagram lingkaran daya pada ujung beban :
Misalkan :
Maka persamaan Daya pada ujung beban menjadi :
Diagram lingkaran
oRS
RR
VV
V
A
S δ−∠+−=
ˆˆ
ˆ 2
o
SS
o
SS
o
RR VVatauVVdanVV δδ −∠=∠=∠= ˆ0
Pusat lingkaran :
Radius lingkaran :
RR
B
V
B
S δ−∠+−=
ˆˆ
2
ˆ
ˆ
RR V
B
A
H −=
B
VV
R RS
R =
Diagram lingkaran daya pada ujung beban :
Bila :
Diagram lingkaran
)()(
2
δβαβ −∠+−∠−=
B
VV
V
B
A
S RS
RR
∆∠=∠=∠= DDdanBBdanAA βα
Koordinat pusat lingkaran :
a. Horizontal :
b. Vertikal :
c. Radius : AmpVolt
B
VV RS
−=
WattV
B
A
R )cos(
2
αβ −−=
VarV
B
A
R )sin(
2
αβ −−=
Diagram lingkaran pada ujung beban
Diagram lingkaran daya pada ujung kirim :
Misalkan :
Maka persamaan Daya pada ujung beban menjadi :
Diagram lingkaran
o
RR
o
RR
o
SS VVatauVVdanVV δδ ∠=−∠=∠= ˆ0
)()(
2
δββ +∠−∆−∠=
B
VV
V
B
D
S RS
SS
Koordinat pusat lingkaran :
a. Horizontal :
b. Vertikal :
c. Radius :
BB
WattV
B
D
S )cos(
2
∆−= β
VarV
B
D
S )sin(
2
∆−= β
AmpVolt
B
VV RS
−=
Diagram lingkaran daya pada ujung kirim
Aliran daya pada saluran transmisi :
Diagram lingkaran
Suatu saluran transmisi dengan konstanta umum ABCD :
Daya pada ujung beban :
RRRRR jQPIVS +== ˆ
)()(
2
αβδβ −∠−−∠= R
RS
R V
B
A
B
VV
S
MWV
B
A
B
VV
P R
RS
R )cos()cos(
2
αβδβ −−−=
Bila VS dan VR tegangan jala-jala dalam kV, maka daya tiga fasa adalah :
MVARV
B
A
B
VV
Q R
RS
R )sin()sin(
2
αβδβ −−−=
Daya PR maksimum terjadi bila β = δ, jadi daya maksimum pada ujung beban :Daya PR maksimum terjadi bila β = δ, jadi daya maksimum pada ujung beban :
MWV
B
A
B
VV
P R
RS
maksR )cos(
2
)( αβ −−=
Dan pada saat ini daya reaktifnya adalah :
MVARV
B
A
Q RR )sin(
2
αβ −−=
Jadi supaya diperoleh daya maksimum, maka beban harus dengan faktor daya negatif
(leading). Titik untuk PR(max), sudah digambarkan pada diagram lingkaran pada ujung
beban.
Pada rangkaian ekivalen PHI, nilai B = Z∟θ dan bila saluran pendek A = 1 dan sudut α = 0
MW
Z
V
Z
VV
P RRS
maksR )cos(
2
)( θ−=
VVV
2
MWRx
Z
V
Z
VV
P RRS
maksR 2
2
)( −=
Untuk SUTT, nilai R biasanya jauh lebih kecil dari pada reaktansi X, sehingga :
o
R
X
90arctan ==θ
MW
X
VV
P RS
maksR δsin)( = MVAR
X
V
X
VV
Q RRS
R
2
cos −= δ
Umumnya nilai δ adalah kecil, maka : sinδ ≈ δ dan cos δ = 1
Sehingga :
MW
X
VV
P RS
maksR δ=)(
[ ] V
X
V
VV
X
V
X
V
X
VV
Q R
RS
RRRS
R ∆=−=−= .
2
Contoh soal
1. Suatu saluran transmisi fasa tiga 60 Hertz, panjang 100 km. Impedansi seri
0,2+j0,667 ohm/km, dan admintansi shunt 4,42x10-6 mho/km , tegangan pada
ujung beban 220 kV(L – L), dan beban 40 MW pada faktor daya 0,9
terbelakang. Dengan menggunakan representasi nominal PI tentukanlah:
a. Tegangan dan arus pada ujung kirim;
b. Faktor daya dan daya pada ujung kirim;
c. rugi transmisi dan efisiensi transmisi;
d. Pengaturan tegangan;
e. Konstanta umum ABCD;
f. Titik pusat dan radius dari diagram lingkaran daya ujung beban.f. Titik pusat dan radius dari diagram lingkaran daya ujung beban.
Solusi:
a. Tegangan dan arus pada ujung kirim.
Z = 0,2 + j 0,667 ohm/km = 20 + j66,7 Ohm untuk 100 km = 69,6 ∟73,3o
Y = j 4,42 x 10-6 mho/km = j 4,42 x 10-4 mho untuk 100 km
VR = 220 kV(L – L) = 127 kV (L-N)
PR = 40 MV, pf = 0,9 tebelakang
Amp
xx
I o
R 8,256,116
9,02203
000.40
−∠==
RRS ZIV
ZY
V +





+=
2
1
RRS I
ZY
YV
ZY
I 





++





+=
2
1
4
1
b. Faktor daya dan daya pada ujung kirim.
θS = 2,9o - 3,15o = -0,25o
Jadi faktor daya: cos(-0,25o) = 1,0
c. Rugi-rugi transmisi dan efisiensi transmisi.
- Rugi-rugi transmisi = 40,55 – 40 = 0,55 MW
MW
xxx
PS 55,40
000.1
0,15,1032,2263
==
- Rugi-rugi transmisi = 40,55 – 40 = 0,55 MW
- Efisiensi = 40/40,55 x 100% = 98,6%
d. Pengaturan tegangan.
)(127;%100% )(
)(
)()(
NLkVVx
V
VV
V FLR
FLR
FLRNLR
R −=
−
=
%35,4%100
127
12753,132
(%);)(53,132
9853,0
58,130
2
1
)( =
−
=−==
+
= xVRNLkV
ZY
V
V S
NLR
d. Konstanta umum ABCD.
e. Tentukanlah titik pusat dan radius dari diagram lingkaran daya ujung beban.
Persamaan diagram lingkaran daya pada ujung beban :
oo
jZBj
ZY
A 3,737,696,6620;09853,00044,09853,0
2
1 ∠=+==∠=+=+=
ADOhmxY
ZY
C o
=∠=+= −
;901038,4)
4
1( 4
Dimana :
|A| = 0,9853 ; |B| = 69,7 Ohm ; |C| = 4,38 x 10-4 Mho ; α = 0o ; |VR| = 220 kV(L-L) ;
β = 73,3o ; |VS| = 226,2 kV (L-L)
Jadi :
)()(
2
αβαβ −∠+−∠−=
B
VV
V
B
A
S RS
RR
MVA
x
xS
o
o
R
δ
δ
−∠+∠−=
−∠+∠−=
3,730,7143,732,684
)3,73(
7,69
2,226220
3,73220
7,69
9853,0 2
f. Titik pusat lingkaran:
Horisontal = -684,2 cos 73,3o = - 196,6 MW
Vertikal = -684,2 sin 73,3o = -655,3 MVAR
Radius lingkaran = 714 MVA
Tugas – 5 (latihan soal)
Suatu saluran transmisi fasa tiga 150 kV, 50 Hertz, panjang
110 km. Z = 0,2+j0,7 ohm/km, dan Y = j 4,0x10-4 mho/km ,
tegangan pada ujung beban 150 kV(L – L), dan beban 60 MW
pada faktor daya 0,9 terbelakang. Dengan menggunakan
representasi nominal PI tentukanlah:
a. Tegangan dan arus pada ujung kirim;
b. Faktor daya dan daya pada ujung kirim;b. Faktor daya dan daya pada ujung kirim;
c. rugi transmisi dan efisiensi transmisi;
d. Pengaturan tegangan;
e. Konstanta umum ABCD;
f. Titik pusat dan radius dari diagram lingkaran daya ujung
beban.

Transmisi Daya Listrik

  • 1.
    TRANSMISI DAYA LISTRIK TatapMuka 1 : (Pengantar)
  • 2.
    Materi Ttp. Muka Bahasan 1Pengantar Transmisi Daya Listrik 2 Karakteristik listrik pada saluran transmisi 3 Karakteristik listrik pada saluran transmisi 4 Konstanta A,B,C,D, panjang saluran 5 Rugi-rugi daya dan kapasitas hantar arus 6 Diagram lingkaran dan aliran daya 7 Perencanaan SUTT 8 Perencanaan SKTT 9 Skin effect, Feranti effecr, corona, noise 10 Tegangan lebih transien pada saluran transmisi 11 Proteksi saluran transmisi 12 Transmisi Arus Searah (DC) 13 Resume
  • 3.
    Buku Ajar 1. ELECTRICPOWER TRANSMISSION SYSTEM ENGINEERING, Turan Gonen 2. TRANSMISI DAYA LISTRIK, Prof. Ir. T.S. Hutauruk, M.Sc.
  • 4.
    Materi Tatap Muka1 • Pengertian umum • Perencanaan Sistem Tenaga Listrik • Perencanaan Sistem Transmisi • Sistem tegangan transmisi• Sistem tegangan transmisi • Komponen utama SUTT
  • 5.
    Sistem Tenaga Listrik Pembangkit TrafoTT Trafo TM Trafo TR Pusat Pembangkit Listrik : PLTU PLTG PLTGU PLTP PLTA PLTD Saluran Transmisi SUTET 500 kV SUTT 150 kV SKTT 150 kV SUTT 70 kV Saluran Distribusi SUTM 30 kV SUTM 20 kV SKTM 20 kV SUTT 6 kV SUTR 230 Volts Pemakai : Konsumen KTR KTM KTT Trafo TT Trafo TM Trafo TR
  • 6.
    Pengertian umum • Secaraetimologis yang dimaksud transmisi adalah pengiriman; jaringan atau penyaluran. Sedangkan penyaluran dapat diartikan : proses; perbuatan; cara menyalurkan. • Dalam sistem tenaga listrik, yang dimaksud transmisi (penyaluran) adalah penyaluran energi listrik, yaitu : proses/ cara menyalurkan energi listrik dari satu tempat ke tempat lainnya, misalnya : – Dari pembangkit listrik ke gardu induk.– Dari pembangkit listrik ke gardu induk. – Dari satu gardu induk ke gardu induk lainnya. – Dari gardu induk ke jaring tegangan menengah dan gardu distribusi. – Dari jaring distribusi tegangan menengah ke jaring tegangan rendah dan instalasi pemanfaatan. • Lebih spesisifik lagi dalam sietem tenaga listrik yang dimaksud dengan Transmisi adalah Transmisi Tegangan Tinggi yaitu Saluran Udara Tegangan Tinggi (SUTT) atau Saluran Udara Tegangan Ekstra Tinggi (SUTET).
  • 7.
    Pengertian umum • Sistemtransmisi tegangan tinggi, adalah sistem penyaluran yang: – Terdiri dari konduktor yang direntangkan antara tiang-tiang (tower) melalui isolator-isolator, dengan sistem tegangan tinggi. – Standar tegangan tinggi yang berlaku di Indonesia adalah : 70 KV dan 150 KV. – Transmisi 70 KV dan 150 KV ada di Pulau Jawa dan Pulau lainnya– Transmisi 70 KV dan 150 KV ada di Pulau Jawa dan Pulau lainnya di Indonesia. – Transmisi tegangan ekstra tinggi 275 KV dikembangkan di Sumatera. Sedangkan yang 500 KV dikembangkan di Pulau Jawa. • Perencanaan suatu sistem transmisi / penyaluran tegangan tinggi, diawali dari studi perencanaan sistem tenaga listrik, dilanjutkan dengan studi perencanaan sistem transmisi.
  • 8.
    Economics & Demographics ElectricityDemand Forecast Load shape Perencanaan Sistem Tenaga Listrik (Electric Utility Planning) Peak Demand Forecast Generation Expansion Planning Reliability Production Cost Investment Cost Transmission Planning Distribution Planning
  • 9.
    Data : Ramalanbeban Rencana Pembangkit Jaringan eksisting Data Studi aliran daya : Tambahkan transmisi baru Studi hubung singkat Studi stabilitas sistem Feedback Hasil studi Dapat diterima Keputusan Penambahan transmisi baru PERENCANAAN TRANSMISI
  • 10.
    Jenis saluran transmisi •Sebenarnya secara umum transmisi adalah proses penyaluran energi listrik dari satu tempat ke tempat lainnya, yang besaran tegangannya adalah mulai dari tegangan ultra tinggi (TUT), tegangan ekstra tinggi (TET), tegangan tinggi (TT), tegangan menengah (TM), dan tegangan rendah (TR).dan tegangan rendah (TR). • Namun di Indonesia untuk TET dan TT disebut saluran transmisi, sedangkan untuk TM & TR disebut saluran distribusi • Konstruksi jenis saluran transmisi terdiri dari : – saluran udara tegangan tinggi (SUTT) atau saluran udara tegangan ekstra tinggi (SUTET) – Saluran kabel tegangan tinggi (SKTT)
  • 11.
    Saluran udara teganganekstra tinggi (SUTET) • Pada umumnya digunakan pada pembangkitan dengan kapasitas di atas 500 MW. Tujuannya adalah agar drop tegangan dan penampang kawat dapat direduksi secara maksimal • Permasalahan mendasar pembangunan SUTET adalah : – konstruksi tiang (tower) yang besar dan tinggi, memerlukan tapak tanah yang luas, memerlukan isolator yang banyak, sehingga pembangunannya membutuhkan biaya yang besar.membutuhkan biaya yang besar. – Masalah lain yang timbul dalam pembangunan SUTET, adalah masalah sosial yang akhirnya berdampak pada masalah pembiayaan, antara lain : – Timbulnya protes dari masyarakat yang menentang pembangunan SUTET. – Permintaan ganti rugi tanah untuk tapak tower yang terlalu tinggi. – Adanya permintaan ganti rugi sepanjang jalur SUTET dll. • Pembangunan SUTET ini cukup efektif untuk jarak 100 km sampai dengan 500 km.
  • 12.
    Saluran udara tegangantinggi (SUTT) • Di Indonesia tegangan operasi antara 70 KV dan 150 KV. • Konfigurasi jaringan pada umumnya single atau double sirkuit, dimana 1 sirkuit terdiri dari 3 phasa dengan 3 atau 4 kawat. 1 kawat sebagai penghantar netral. • Apabila kapasitas daya yang disalurkan besar, maka penghantar pada masingmasing phasa berupa berkas konduktor yang terdiripada masingmasing phasa berupa berkas konduktor yang terdiri dari dua atau empat kawat (Double atau Qudrapole) dan berkas konduktor biasa disebut Bundle Conductor. • Jika transmisi ini beroperasi secara radial, jarak terjauh yang paling efektif adalah 100 km. • Jika jarak transmisi lebih dari 100 km, maka tegangan jatuh (drop voltage) terlalu besar, sehingga tegangan ini di ujung transmisi menjadi rendah. Untuk mengatasi hal tersebut, maka sistem transmisi dihubungkan secara ring atau interkoneksi.
  • 13.
    • SKTT dipasangdi kota kota kota-besar, dengan beberapa pertimbangan : – Di tengah kota besar tidak memungkinkan dipasang SUTT, karena sangat sulit mendapatkan tanah untuk tapak tower. – Untuk ROW juga sangat sulit dan pasti timbul protes dari masyarakat, karena padat bangunan dan banyak gedung-gedung tinggi. – Pertimbangan keamanan dan estetika. – Adanya permintaan dan pertumbuhan beban yang sangat tinggi. Saluran kabel tegangan tinggi (SKTT) • Jenis kabel yang digunakan : – Kabel yang berisolasi (berbahan) poly etheline atau kabel jenis Cross Link Poly Etheline (XLPE). – Kabel yang isolasinya berbahan kertas yang diperkuat dengan minyak (oil paper impregnated). • Inti (core) kabel dan pertimbangan pemilihan : – Single core dengan penampang 240 mm2 – 300 mm2 tiap core. – Three core dengan penampang 240 mm2 – 800 mm2 tiap core. – Pertimbangan fabrikasi, dan pemasangan di lapangan.
  • 14.
    • Kelemahan SKTT: – Memerlukan biaya yang lebih besar jika dibanding SUTT. – Untuk transmisi antar pulau digunakan sub marine cable ini ternyata rawan timbul gangguan. (arus laut, jangkar kapal, dll) – Pada saat proses pembangunan memerlukan koordinasi dan penanganan yang kompleks, karena harus melibatkan banyak pihak, misal : pemerintah kota (Pemkot) sampai dengan jajaran terbawah, PDAM, Telkom, Perum Gas, Dinas Perhubungan, Kepolisian, dll. Saluran kabel tegangan tinggi (SKTT) PDAM, Telkom, Perum Gas, Dinas Perhubungan, Kepolisian, dll. • Panjang SKTT pada tiap haspel (cable drum), maksimum 300 meter. Untuk desain dan pesanan khusus, misalnya untuk kabel laut, bisa dibuat tanpa sambungan sesuai kebutuhan. • Pada saat ini di Indonesia telah terpasang SKTT bawah laut (Sub Marine Cable) dengan tegangan operasi 150 KV, yaitu : – Sub marine cable 150 KV Gresik – Tajungan (Jawa – Madura). SKTT 150 KV yang dipasang di bawah laut dan di samping Jembatan Suramadu. – Sub marine cable 150 KV Ketapang – Gilimanuk (Jawa – Bali). – Direncanakan akan didibangun sub marine cable Jawa – Sumatera
  • 15.
    Pertimbangan pembangunan SUTT •Adanya pertambahan dan pertumbuhan beban sistem tenaga listrik. • Karena pembangkit tenaga listrik pada umumnya lokasinya jauh dari pusat-pusat beban, sehingga untuk menyalurkan energi listrik harus dibangun transmisi tegangan tinggi. • Pemilihan transmisi SUTT mempertimbangkan beberapa hal, antara lain : – Biaya investasi (biaya pembangunan) jauh lebih murah jika dibanding transmisi SKTT. – Untuk penyaluran yang jaraknya jauh, SUTT lebih mudah, lebih cepat dan lebih– Untuk penyaluran yang jaraknya jauh, SUTT lebih mudah, lebih cepat dan lebih praktis dalam pelaksanaan pembangunannya. – Koordinasi pada saat pelaksanaan pembangunan, lebih mudah, dan tidak melibatkan banyak pihak jika dibandingkan dengan SKTT. – Pada saat beroperasi, jika terjadi gangguan mudah dalam perbaikannya. – Route SUTT bisa melewati berbagai kondisi geografis, misal : dataran rendah (tanah rata), pegunungan, sungai, persawahan, perbukitan, dan lainlain. • Di Pulau Jawa, transmisi SUTT 150 KV telah terpasang secara sistem interkoneksi. Sedangkan di Pulau-pulau besar lainnya sedang dikembangkan menjadi sistem interkoneksi.
  • 16.
    Ketentuan jarak aman/ruang bebas (ROW) • Transmisi tenaga listrik yang bertegangan tinggi (SUTET, SUTT, SKTT, SKLTT), memiliki resiko tinggi terhadap keamanan dan kesehatan lingkungan, terutama menyangkut masalah besarnya tegangan dan pengaruh medan listrik yang ditimbulkannya. • Satu hal penting yang harus diperhatikan dan dipenuhi, adalah ketentuan jarak aman/ ruang bebas (ROW) pada daerah yang dilalui oleh jalur transmisi tegangan tinggi. • Dengan terpenuhinya jarak/ aman / ruang bebas (ROW) di sepanjang jalur• Dengan terpenuhinya jarak/ aman / ruang bebas (ROW) di sepanjang jalur transmisi tegangan tinggi, maka : – Keamanan dan kesehatan lingkungan dapat terpenuhi dengan baik. – Dampak secara teknik, keamanan, kesehatan dan sosial, dapat diterima oleh masyarakat. • Pada jalur SUTT yang lama pada umumnya sepanjang jalur SUTT tidak boleh didirikan bangunan. Tetapi saat ini di sepanjang jalur SUTT banyak didirikan bangunan, dengan pertimbangan selama jarak aman/ ruang bebas (ROW) dipenuhi, maka keselamatan dan kesehatan lingkungan akan terpenuhi pula.
  • 17.
  • 18.
    • Menurut jenisarusnya, Saluran Transmisi dibedakan menjadi: a. Saluran Transmisi AC (Alternating Current) b. Saluran Transmisi DC (Direct Current) • Sebagian besar saluran transmisi menggunakan tegangan AC • Sistem AC dapat dikelompokkan menjadi dua : a. Sistem 1 Fasa dan Saluran transmisi AC atau DC a. Sistem 1 Fasa dan b. Sistem 3 Fasa • Kelebihan dari sistem 3 Fasa : a. Daya yang disalurkan lebih besar b. Nilai Sesaatnya konstan c. Mempunyai medan maknet putar • Oleh karena itu hampir seluruh penyaluran tenaga listrik di dunia menggunakan sistem AC 3 Fasa.
  • 19.
    • Di beberapanegara sudah mulai menggunakan sistem DC. Penyaluran dengan tegang DC mempunyai keuntungan: a. Isolasinya yang lebih sederhana b. Daya guna (effisiensi) yang lebih tinggi (karena PF =1) c. Tidak adanya masalah stabilitas, sehingga memungkinkan penyaluran jarak jauh. Saluran transmisi AC atau DC penyaluran jarak jauh. • Namun Persoalan ekonominya masih harus diperhitungkan. – Sistem DC baru dianggap ekonomis bila jarak penyaluran antara 400 sampai 600 km untuk saluran udara atau lebih panjang dari 50 km untuk saluran bawah tanah. – Hal ini terjadi karena biaya peralatan mengubah dari tegangan AC ke DC dan sebaliknya (converter & inverter) masih mahal.
  • 20.
    Tegangan Transmisi • Untukdaya yang sama, apabila tegangan transmisi ditinggikan, maka daya guna penyaluran akan naik oleh karena rugi-rugi transmisi turun. • Rugi-rugi tansmisi berbanding lurus dengan kuadrat arus saluran. P rugi rugi = I 2 x R (watt) • Namun demikian peninggian tegangan transmisi berarti juga penaikan tingkat dan biaya isolasi peralatan dan gardu induk. • Oleh karena itu Pemilihan Tegangan Transmisi dilakukan dengan• Oleh karena itu Pemilihan Tegangan Transmisi dilakukan dengan memperhitungkan: – Daya yang disalurkan – Jumlah rangkaian – Jarak penyaluran – Keandalan (reliability) – Biaya peralatan dan standarisasi peralatan • Tegangan Transmisi yang dipakai di Indonesia : 70, 150, 275, 500 KV
  • 21.
    Komponen utama SUTT 1.Menara transmisi/tiang transmisi 2. Isolator-isolator 3. Kawat penghantar (conductor) 4. Kawat tanah (ground wires) Menara / tiang Transmisi • Menara/tiang Transmisi adalah suatu bangunan penopang• Menara/tiang Transmisi adalah suatu bangunan penopang saluran transmisi, yang bisa berupa menara baja, tiang baja, tiang beton bertulang dan tiang kayu. • Tiang baja, beton atau kayu umumnya digunakan pada saluran dengan tegangan kerja relatif rendah (dibawah 70 KV) Sedangkan untuk saluran transmisi tegangan tinggi dan ekstra tinggi digunakan menara baja • Menara baja dibagi sesuai fungsinya : menara dukung, menara sudut, menara ujung, menara pencabangan.
  • 22.
  • 23.
    A transmission lineshas the following accessories 1-tower 2-cross arms 3-dampers 4-spacers 5-conductors5-conductors 6-insulators 7-ground wire 8-arching horn gap arrestors 7-bird guard 8-danger plate--------etc. 23
  • 24.
  • 25.
    CLOSER LOOK OFDAMPER 25
  • 26.
    Isolator • Jenis isolatoryang digunakan pada saluran transmisi adalah jenis porselin atau gelas. • Menurut konstruksinya dikenal tiga jenis isolator: 1. Isolator jenis Pin (pasak) 2. Isolator Jenis Line-post 3. Isolator jenis Suspension (gantung) Komponen utama SUTT 4. Isolator jenis Strain • Isolator Pin dan pos-saluran, digunakan pada saluran transmisi tegangan menengah (SUTM) • Isolator Suspension dan Strain dapat digandeng menjadi suatu rentengan isolator untuk tegangan tinggi (SUTT) dan ekstra tinggi (SUTET). Jumlah rentengannya tergantung kebutuhan.
  • 27.
    Pin, Line-post, Supension& Strain insulator Pin insulator Suspension Line-post insulator Strain
  • 28.
    Rantai Isolator Isolator piringdirangakai di bagian pengait tengahnya membentuk suatu rantai. Jumlah isolator piring ditentukan oleh sistem tegangan yg digunakan, Singgle string amplitudo tegangan lebih petir dan surja hubung serta tingkat pengotoran isolator. Rantai isolator dpt menggunakan tipe gantung / tarik (suspension / tension). Pengaruh ayunan angin juga harus diperhatikan. Singgle string Double string
  • 29.
    Komponen utama SUTT KawatPenghantar (Konduktor) • Berfungsi untuk menyalurkan arus listrik dari satu tempat ke tempat lainnya. • Jenis kawat yang digunakan : • Kawat tembaga (Cu). Saat ini sudah jarang digunakan, karena harganya yang mahal. • Kawat ACSR (Alluminium Conductor Steel Reinforce) : Jenis inilah yang saat ini banyak diginakan di Indonesia. • Saat ini dikembangkan penggunaan T-ACSR (Thermal-Alluminium Steel Reinforce), yang memiliki kemampuan hantar arus (KHA) kurang lebih 1,7 kali KHA ACSR. • Pertimbangan lain penggunaan ACSR/T-ACSR, selain memenuhi ketentuan standard teknik, juga memiliki kemampuan (kekuatan) mekanik yang lebih baik jika Pertimbangan lain penggunaan ACSR/T-ACSR, selain memenuhi ketentuan standard teknik, juga memiliki kemampuan (kekuatan) mekanik yang lebih baik jika dibanding konduktor lain, misal : AAC, AAAC. • Hal-hal yang perlu diperhatikan : • Jika arus listrik mengalir pada penghantar, maka akan menimbulkan panas pada penghantar dan akan menyebabkan terjadinya pemuaian pada penghantar, yang pada akhirnya akan menyebabkan timbulnya penurunan andongan (lendutan). • Konsdisi tersebut perlu adanya ketentuan standard suhu operasi maksimum penghantar yang diijinkan. PLN menetapkan ketentuan suhu operasi maksimum penghantar SUTT sebesar 750 C.
  • 30.
    Kawat Penghantar Jenis-jenis kawatpenghantar yang bisa digunakan pada saluran transmisi, antara lain : tembaga (Cu) dan Aluminium (Al). Kawat penghantar aluminum terdiri dari berbagai jenis, sbb : • AAC (All-Aluminium Conductor), kawat penghantar yang seluruhnya terbuat dari aluminium. Komponen utama SUTT • AAAC (All-Aluminium Alloy Conductor), kawat penghantar yang seluruhnya terbuat dari campuran aluminium. • ACSR(aluminium Conductor Steel Reinforced), kawat penghantar aluminium berinti kawat baja • ACAR (Aluminium Conductor Alloy Reinforced), kawat penghantar aluminium yang diperkuat dengan logam campuran.
  • 31.
    Kawat Penghantar &kawat tanah • Kawat penghantar tembaga karena konduktifitas dan kuat tariknya lebih tinggi. Tetapi untuk nilai tahanan yang sama tembaga lebih berat dan lebih mahal. Oleh karena itu untuk saluran transmisi saat ini peran kawat penghantar tembaga telah digantikan oleh aluminium. • Untuk memperbesar kuat tarik aluminium, digunakan campuran Komponen utama SUTT • Untuk memperbesar kuat tarik aluminium, digunakan campuran aluminum (aluminium alloy). Pada SUTT dengan jarak antar tiang menara yang jauh (ratusan meter), dibutuhkan kawat penghantar dengan kuat tarik yang lebih tinggi, untuk itu digunakan kawat penghantar jenis ACSR • Kawat tanah atau “ground wire” juga disebut kawat pelindung (shield wire), gunanya untuk melindungi kawat penghantar/ kawat fasa dari sambaran petir langsung. Kawat tanah diletakkan diatas kawat fasa dan biasanya terbuat dari baja yg lebih murah.
  • 32.
    Pertimbangan pemilihan ukurankonduktor Pertimbangan Mekanis Pertimbangan Electrical Kebutuhan Mechanical Tensile Strength (For Tension) Strain Strength(For Vibration)Strain Strength(For Vibration) Kebutuhan Electrical o Continuous current rating. o Short time current carrying rating. o Voltage drop o Power loss o Minimum dia to avoid corona o Length of line
  • 33.
    (b) High tensile Strength (a)High Conductivity CHARECTERISTICSOF CONDUCTING MATERIAL:- 33 (e) Low specific Gravity. (d) Low cost (C) Should not Be brittle
  • 34.
    ACSR—conductor used inoverhead lines 1 2 3 34
  • 35.
    Komponen pengaman SUTT •Komponen pengaman (perlindungan) pada transmisi tegangan tinggi (SUTT), memiliki fungsi penting sebagai pengaman (perlindungan) SUTT secara menyeluruh. • Komponen pengaman (perlindungan) pada SUTT, antara lain : – Kawat Tanah (Ground Wire) dan perlengkapannya. – Pentanahan tiang.– Pentanahan tiang. – Jaringan pengaman (Safety Net). – Bola pengaman (Balistor). • Untuk kawat tanah (ground wire) dan pentanahan tiang, dipasang di sepanjang jalur SUTT. • Untuk jaringan pengaman ( Safety Net) dan bola pengaman dipasang pada tempat-tempat tertentu jalur SUTT, sesuai kondisi dan kebutuhan setempat.
  • 36.
    Kawat tanah danpentanahan tiang SUTT • Adalah kawat pentanahan (grounding) yang berfungsi untuk mengetanahkan arus listrik saat terjadinya gangguan (sambaran) petir secara langsung. • Pada umumnya ground wire terbuat dari kawat baja (steel wire) dengan kekuatan St 35 atau St 50,. • Jumlah ground wire pada SUTT, ada yang satu atau dua, tergantung dari pucuk tower.dari pucuk tower. • Pentanahan tiang dipasang pada masing-masing tower di sepanjang jalur SUTT. Fungsi pentanahan tiang adalah untuk menyalurkan arus listrik dari kawat tanah (ground wire) akibat terjadinya sambaran petir. • Pentanahan tiang terdiri dari kawat tembaga atau kawat baja yang di klem pada pipa pentanahan dan ditanam di dekat pondasi tower (tiang) SUTT.
  • 37.
    Jaring pengaman danbola pengaman SUTT Jaring Pengaman • Berfungsi untuk pengaman SUTT dari gangguan yang dapat membahayakan SUTT tersebut dari lalu lintas yang berada di bawah SUTT yang tingginya melebihi tinggi yang diijinkan. • Fungsi lainnya adalah untuk menjaga kemungkinan putusnya penghantar SUTT, sehingga tidak membahayakan lalu lintas yang melewati persilangan dengan SUTT tersebut. • Pada umumnya jaring pengaman dipasang di perlintasan (persilangan)• Pada umumnya jaring pengaman dipasang di perlintasan (persilangan) jalan umum dengan jalur SUTT. Bola Pengaman • Dipasang sebagai tanda pada SUTT, untuk pengaman lalu lintas udara. • Pada umumnya dipasang pada kawat tanah (Ground Wire) di daerah yang banyak dilewati lalu lintas udara atau di dekat bandar udara (Bandara). • Untuk pengaman pada malam hari, digunakan Balistor yang dipasang pada kawat phasa dan bekerja atas dasar drop tegangan yang dapat menyalakan ion pendar seperti lampu neon dengan warna kuning
  • 38.
    Kawat Tanah Kawat tanahberada diatas kawat konduktor phasa sepanjang saluran dan ditanahkan pada setiap tiang. » Melindungi kawat konduktor phasa dari sambaran petir langsung » Mengurangi tegangan tinggi sepanjang isolator sewaktu terjadinya sambaran langsung Design criterion:Design criterion: Sudut perlindungan 25°-30° s/d 220 KV 20° untuk 400 KV keatas Kawat tanah harus mampu tahan terhadap arus surja petir singkat hingga 100 kA tanpa mengakibatkan pemanasan berlebih
  • 39.
    Kawat Tanah tipeOPGW • Optical Ground Wire (OPGW) • Keuntungan : • Dapat melayani dua tujuan, sebagai kawat tanah dan menyediakan media jalur komunikasi. • Transmisi data melalui serat optik memiliki kecepatan transfer data yang tinggi. • ---By Dhananjay Jha, Engineer (E), SJVN
  • 40.
    Konstruksi OPGW OPGW ---By DhananjayJha, Engineer (E), SJVN
  • 41.
    TRANSMISI DAYA LISTRIK TatapMuka 2 : Karakteristik Saluran Transmisi
  • 42.
    Materi Tatap Muka2 Yang dimaksud dengan karakteristik listrik saluran transmisi adalah konstanta saluran yaitu • Resistansi/ Tahanan (R) • Induktansi (L) • Admitansi/ Konduktansi (G atau Y)• Admitansi/ Konduktansi (G atau Y) • Kapasitansi (C) Pada saluran udara konduktansi (G atau Y) nilainya sangat kecil (pengaruhnya juga kecil) sehingga dapat diabaikan
  • 43.
    Resistansi Resistansi atus searah(DC) dari suatu konduktor (kawat penghantar) dinyatakan oleh Dimana : l = panjang dari kawat penghantar; A = luas penampang kawat, ρ = resistivitas konductor.ρ = resistivitas konductor. Sehingga resistansi DC per meter dari suatu konductor adalah Resistivitas suatu konductor merupakan karakteristik dasar dari material pembuatan konduktor. Bervariasi terhadap jenis dan temperatur dari material. Pada temperatur sama, resistivitas dari aluminum lebih tinggi dari pada tembaga.
  • 44.
    Resistansi Nilai resistivitas naiksecara linier dengan temperatur dalam daerah temperatur normal. Bila resistivitas pada suatu temperatur diketahui, nilai resistivitas pada temperatur lain dpat diketahui dari persamaan berikut Nilai resistivitas naik secara linier dengan temperatur dalam daerah temperatur normal. Bila resistivitas pada suatu temperatur diketahui, nilai resistivitas pada temperatur lain dpat diketahui dari persamaan berikut Dimana T1 dan ρT1 adalah masing-masing temperatur dalam oC dan resistivitasDimana T1 dan ρT1 adalah masing-masing temperatur dalam oC dan resistivitasDimana T1 dan ρT1 adalah masing-masing temperatur dalam C dan resistivitas pada titik 1, T2 dan ρT2 adalah temperatur dalam oC dan resistivitas pada titik 2, dan M adalah konstanta temperatur sesuai materialnya. Dimana T1 dan ρT1 adalah masing-masing temperatur dalam C dan resistivitas pada titik 1, T2 dan ρT2 adalah temperatur dalam oC dan resistivitas pada titik 2, dan M adalah konstanta temperatur sesuai materialnya. Material Resistivity at 20oC [Ω⋅Ω⋅Ω⋅Ω⋅m] Temperature constant [oC] Annealed copper 1.72⋅10-8 234.5 Hard-drawn copper 1.77⋅10-8 241.5 Aluminum 2.83⋅10-8 228.1 Iron 10.00⋅10-8 180.0 Silver 1.59⋅10-8 243.0
  • 45.
    Resistansi Diketahui bahwa perakdan tembaga merupakan material konductor terbaik. Namun, aluminum, jauh lebih murah dan ringan, sehingga umumnya saluran transmisi menggunakan konductor jenis ini. Konductor dengan bahan aluminum harus memiliki diameter lebih besar dibandingkan tembaga sebagai solusi untuk mengatasi resistivitas aluminum yg lebih tinggi dr pada tembaga, sehingga almunium dpt dibebani dengan arus yg sama.dibebani dengan arus yg sama. Resistansi arus bolak balik (AC) dr suatu konductor selalu lebih tinggi dari pada resistansi DC karena pengaruh dari skin effect yang memaksa lebih banyak arus yang mengalir dipermukaan konduktor. Semakin tinggi frekwensi arus semakin besar pengaruh skin effect . Pada frekuensi listrik (50 Hz), pengaruh skin effect tidak terlalu besar. Nilai resistansi A C dan DC biasanya dapat diketahui dari tabel konduktor.
  • 46.
    Resistansi Dalam tabel seringkita jumpai penampang kawat diberikan dalam satuan “CircularMil” (CM). CM adalah penampang kawat yg mempunyai diameter 1 mil = 1/1000 inch. CM=1973 x (Penampang dalam mm2) Atau:Atau: Penampang dalam mm2 =5,067x10-4 x (Penampang dalam CM) Umumnya kawat penghantar terdiri-dari kawat pilin (Stranded conductor), maka sebagai faktor koreksi pengaruh dari kawat pilin, panjang kawat dikalikan 1,02 (2% faktor koreksi)
  • 47.
    Induktansi dan reaktansiinduktif Induktansi seri dari saluran transmisi terdiri dari dua komponen yaitu : induktansi internal dan induktansi external , yang merupakan produk dari fulksi magnetik di dalam (internal) dan diluar (eksternal) konduktor. Induktansi suatu saluran transmisi didefinisikan sebagai jumlah fulksi gabungan [Wb-turns] yang dihasilkan per amper arus yang mengalir pada saluran: l 1. Induktansi Internal: Pada suatu konduktor dengan radius r yang membawa arus I. Pada jarak x dari titik pusat konduktor, Intentitas kuat medan magnit Hx dapat diperoleh dari hukum Ampere sbb :
  • 48.
    Dimana Hx adalahintensitas medan magnit disetiap titik sepanjang jalur tertutup, dl adalah unit vector sepanjang jalur dan Ix adalah arus yang terdapat pada jalur. Untuk bahan material yg homogen dan jalur lingkarang dengan radius x, besar dari Hx adalah konstan, dan dl adalah selalu paralel dengan Hx. Sehingga : Induktansi dan reaktansi induktif Selanjutnya diasumsikan arus terdistribusi merata pada konduktor: Sehingga , intensitas magnetik pada radius x didalam konduktor adalah
  • 49.
    Kerapatan fluksi padajarak x dari titik pusat konduktor adalah : Turunan deferensial dari fluksi magnetik yang terdapat pada pipa lingkaran dengan ketebalan dx dan pda jarak x dari titik pusat konduktor adalah Induktansi dan reaktansi induktif dengan ketebalan dx dan pda jarak x dari titik pusat konduktor adalah Fluksi lingkup per meter panjang karena fluksi yang terdapat pada pipa adalah perkalian antara turunan deferensial fluksi dengan sebagian arus yang terlingkupi adalah
  • 50.
    Total fluksi lingkupinternal per meter bisa diperoleh dari integral dari … Sehingga induktansi internal per meter adalah Induktansi dan reaktansi induktif Sehingga induktansi internal per meter adalah Bila permeabilitas relatif dari konduktor adalah 1 (non-ferromagnetic material, seperti tembaga dan aluminium), induktansi per meter berkurang menjadi
  • 51.
    Induktansi Eksternal antara 2titik diluar saluran Guna mencari induktansi eksternal terhadap suatu konduktor, perlu dihitung fluksi lingkup dari konduktor yang disebabkan oleh hanya dari bagian fluksi antara dua titik P1 and P2 yang berjarak D1 dan D2 dari titik pusat konduktor. Diluar konduktor intensitas magnetik pada jarak x dari titik pusat konduktor adalahtitik pusat konduktor adalah (9.16.1) Karena semua arus ada dalam pipa. Kerapatan fluksi pada jarak x dari titik pusat konduktor adalah
  • 52.
    Turunan deferensial darifluksi magnetik yang terdapat pada pipa lingkaran dengan ketebalan dx dan pada jarak x dri titik pusat konduktor adalah Fluksi yang terlingkup seluruhnya pada arus yang dibawa konduktor menjadi : Induktansi Eksternal antara 2 titik diluar saluran Total fluksi lingkup eksternal per meter dapat diperoleh melalui integral dari… Induktansi eksternal per meter iadalah
  • 53.
    Induktansi saluran transmisi satu-phasa2 kawat Menentukan induktansi seri dari saluran satu- phasa 2 konduktor dengan radius masing-masing r dan jarak antar konduktor D dimana keduanya mengalirkan arus sebesar I dengan arah yang berlawanan. Mempertimbangkan dua jalur integrasi lingkaran, maka integral garis sepanjang x1 menghasilkan suatu intensitas magnetik , karena arus yang dilingkupi oleh x1. nilainya tidak nol, sehingga : Karena jalur radius x2 melingkupi kedua konduktor , dan besar arusnya sama namun berlawanan arah, total arus yang dilingkupi sama dengan 0 dan , sehingga tidak ada kontribusi ke induktansi total dari medan magnit pada jarak lebih besar dari D.
  • 54.
    Total induktansi darikawat per unit panjang dari saluran transmisi ini adalah jumlah dari induktansi internal dan induktansi eksternal antara permukaan konduktor dengan radius (r) dan jarak antar konduktor (D): Induktansi saluran transmisi satu-phasa 2 kawat Secara simetris , total induktansi dari kawat lain yang kedua adalah sama, sehingga total induktansi dari saluran transmisi 2 kawat adalah : Dimana r adalah radius masing-masing konduktor dan D adalah jarak antar konduktor.
  • 55.
    Induktansi saluran transmisi Induktansiinternal Induktansi eksternal Dan dengan menganggap D1 sama dengan jari-jari konduktor r dan D2 sama dengan D, maka persamaan (6) akan menjadi:
  • 56.
    Induktansi saluran transmisi Daripersamaan (4) dan (7), maka induktansi konduktor karena fluks internal dan eksternal dapat ditentukan sebagai berikut: Dengan mensubstitusikan r’ = re-µr/4, maka : Jika persamaan (9) dan persamaan (7) saling dibandingkan, maka nilai r’ dapat dikatakan sebagai jari-jari fiktif konduktor berketebalan nol, sehingga tidak mempunyai fluks internal. Namun, tetap mempunyai induktansi yang sama dengan konduktor berjari-jari r.
  • 57.
    Induktansi dari konduktorberkas (bundle conductor) Apabila konduktor suatu saluran transmisi terdiri dari n-berkas konduktor yang terhubung secara paralel. Meskipun induktansi dari berkas yang berbeda bernilai tidak sama, induktansi rata-rata dari masing-masing berkas tersebut bernilai sama dengan Lav,x. Dengan mengasumsikan bahwa induktansi rata-rata yang diberikan di atas merupakan induktansi dari n-berkas yang diparalelkan, maka total induktansi pada konduktor berkas tersebut adalah : GMR (Geometric Mean Radius) merupakan jari-jari fiktif konduktor berketebalan nol, sehingga tidak mempunyai fluks internal. Namun, tetap mempunyai induktansi yang sama dengan konduktor berjari-jari r, sedangkan GMD (Geometric Mean Distance) merupakan suatu nilai yang menggantikan konfigurasi asli konduktor-konduktor dengan sebuah jarak rata-rata hipotesis (hypothetical mean distance) sehingga induktansi bersama dari konfigurasi tersebut tetap sama. Besarnya GMD dan GMR adalah :
  • 58.
    Induktansi dari konduktorberkas (bundle conductor) Perhitungan GMD dan GMR Pada saluran transmisi tiga fasa, untuk mendapatkan induktansi yang seimbang (sama pada tiap phasa), saluran transmisi perlu ditransposisikan sebanyak tiga kali GMD saluran transmisi 3 fasa :
  • 59.
    Induktansi saluran transmisi Berkaskonduktor 2 kawat Berkas konduktor 4 kawat
  • 60.
    Reaktansi Induktif salurantransmisi Reaktansi induktif dari saluran transmisi tergantung pada induktansi saluran dan frekwensi dari tenaga listrik . Bila induktansi per unit panjang adalah l, maka reaktansi induktif per unit panjang adalah Dimana f adalah frekwensi sistem. Sehingga total induktansi seri dari saluranDimana f adalah frekwensi sistem. Sehingga total induktansi seri dari saluran transmisi adalah Dimana d adalah panjang saluran transmisi.
  • 61.
    Induktansi saluran transmisi (Kesimpulan) 1.Semakin besar jarak antar phasa pada saluran transmisi, semakin besar induktansi saluran. Karena phasa-phasa pada SUTT harus berjarak yang cukup untuk menjamin isolasi yang mencukupi , maka SUTT akan memiliki induktansi yang lebih besar dari pada SUTM dan SUTR. Karena jarak antara phasa pada SKTT adalah sangat kecil ,maka induktansi seri dari SKTT jauh lebih kecil dari pada SUTT. 2. Semakin besar radius konduktor dari saluran transmisi, semakin kecil induktansi dari saluran tsb. Pada SUTT dan SUTET, dari pada menggunakan konduktor yang besar, tidak fleksibel dan berat dengan radius yang besar,konduktor yang besar, tidak fleksibel dan berat dengan radius yang besar, sering digunakan bundle conductor yang terdiri dari dua atau lebih konduktor dengan total radius mendekati diameter konduktor besar. Semakin banyak konduktor dalam bundle conductor maka pendekatan luas penampangnya semakin baik. 3. Untuk mencari nilai induktansi suatu saluran transmisi, terlebih dahulu dicari besarnya nilai GMR dan GMD dari saluran tsb. Dengan mengetahui besarnya induktansi saluran, diketahui pula reaktansi induktif saluran (XL). jadi GMR dan GMD digunakan untuk mengetahui besarnya reaktansi induktif. Selain itu, GMD dan GMR juga mampu mengetahui besarnya kapasitansi saluran dan impedansi saluran, sehingga besarnya susut tegangan dapat dikendalikan melalui parameter impedansi, kapasitif dan induktansi saluran transmisi.
  • 62.
    Contoh soal No.1. Jika salurantransmisi tiga fasa dengan masing-masing satu fasa terdiri dari empat kawat dengan konfigurasi sebagai berikut: r = 30 mm = 0.03 m D = 500 mm = 0.5 m Durat = 7000 mm = 7 m Dengan nilai permeabilitas µr = 1, maka:
  • 63.
    Mencari GMR :(Persamaan 17) Contoh soal
  • 64.
    Mencari GMD : Asumsi: Contoh soal Asumsi : 500 mm < 7000mm, maka 500mm bisa diabaikan dengan dianggap kecil. Dab = 7 m Dbc = 7 m Dac = 14 m Induktansi saluran transmisi :
  • 65.
    Contoh soal No. 2. Jikasaluran transmisi tiga fasa dengan masing-masing fasa terdiri dari empat kawat dengan konfigurasi seperti gambar dibawah : Ditanyakan : GMR, GMD, Induktansi (L) dan Reaktansi induktif (XL) Jawaban : Mencara GMR :
  • 66.
    Mencari GMR :(Persamaan 17) Contoh soal
  • 67.
    Mencari GMD : Mencariinduktansi L Contoh soal Mencari reaktansi Induktif XL : XL = 2 π f L XL = 2 x 3.14 x 50 x 76.6 x 10-7 = 2.405x 10-3 Ώ/m
  • 68.
    Kapasitansi dan reaktansikapasitif Bila tegangan V diterapkan pada sepasang konduktor yang dipisahkan oleh suatu dielectric (udara), muatan dengan jumlah yang sama tetapi berlawanan tanda terkumpul pada konduktor Dimana C adalah kapasitansi antara pasangan konduktor. Dalam sistem AC , suatu saluran transmisi menerima tegangan sinusoida yang bervariasi terhadap waktu yang berbeda setiap fasanya. Tegangan yang bervariasi terhadap waktu ini menyebabkan perubahan muatan yang tersimpan pada konduktor. Perubahan muatan menghasilkan perubahan arus, yang akan menaikkan arus yang melalui saluran transmisi, dan akan mempengaruhi faktor daya dan jatuh tegangan pada saluran.
  • 69.
    Kapasitansi dari salurantransmisi dapat diperoleh menggunakan hukum Gauss sbb : Dimana A menyatakan permukaan tertutup; dA adalah unit vector normal tegak lurus ke permukaan tsb; q adalah muatan didalam permukaan ; D adalah kerapatan fluksi listrik di permukaan: Kapasitansi dan reaktansi kapasitif kerapatan fluksi listrik di permukaan: Dimana E adalah intensitas medan listrik dititik tersebut; ε adalah permitivitas dari material/ bahan: Permittivitas relatif dari material Permittivitas ruang bebas adalah ε0 = 8.85⋅10-12 F/m
  • 70.
    Garis fluksi listrikkeluar secara uniform/ merata keluar dari permukaan konduktor dengan muatan positip di permukaannya. Pada kasus ini , vector kerapatan fluksi D selalu parallel dengan vector normal dA dan konstan disemua titik sepanjang radius r. Sehingga : Kapasitansi dan reaktansi kapasitif Dimana l adalah panjang konduktor; q adalah kerapatan muatan; Q adalah total muatan di konduktor. Sehingga kerapatan fluksi adalah Intensitas medan listrik adalah
  • 71.
    Perbedaan potential antaradua titik P1 dan P2 dapat diperoleh dari Dimana dl adalah elemen diferensial tangensial ke jalur integrasi antara P1 dan P2. tidak tergantung dari jalurnya. Kapasitansi dan reaktansi kapasitif P2. tidak tergantung dari jalurnya. Pemilihan jalur dapat mempermudah perhitungan. Untuk P1 - Pint, vector E dan dl keduanya paralel; sehingga , E⋅dl = Edx. untuk Pint – P2 kedua vector berlawanan arah sehingg E⋅dl = 0.
  • 72.
    Kapasitansi saluran transmisi satuphasa 2 kawat Perbedaan potensial karena muatan pada konduktor a dapat diperoleh dari Dengan cara yang sama, perbedaan potential karena muatan pada konduktor b adalah atau
  • 73.
    Tegangan total antarakedua saluran adalah Karena q1 = q2 = q, persamaan diatas menjadi Kapasitansi saluran transmisi satu phasa 2 kawat Kapasitansi per unit panjang antara kedua konduktor saluran adalah
  • 74.
    Sehingga : Merupakan kapasitansiper unit panjang dari suatu saluran transmisi satu fasa dua kawat. Kapasitansi saluran transmisi satu phasa 2 kawat dua kawat. Perbedaan potential antara masing-masing konduktor dan tanah (neutral) adalah setengah dari perbedaan potential antara kedua konduktor. Sehingga kapasitansi ke tanah dari saluran transmisi satu fasa dua kawat adalah
  • 75.
    Kesimpulan : 1. Dengancara yang sama kapasitansi untuk saluran tiga fasa dapat diketahui. 2. Semakin besar jarak antar fasa dari saluran transmisi, semakin kecil kapasitansi saluran. Karena fasa-fasa pada SUTT harus dipisahkan dengan jarak yang mencukupi untuk menjamin kecukupan isolasi saluran, maka SUTT akan memiliki kapasitansi lebih rendah dibandingkan dengan SUTM dan SUTR. Karena jarak antara fasa pada SKTT sangat rendah, kapasitansi shunt SKTT jauh lebih besar dari pada SUTT. Oleh karena itu SKTT umumnya Kapasitansi saluran transmisi satu phasa 2 kawat SKTT jauh lebih besar dari pada SUTT. Oleh karena itu SKTT umumnya dipakai pada jarak yang pendek untuk meminimalkan kapasitansi 3. Semakin besar radius dari konduktor dari saluran transmisi, semakin besar kapasitansi saluran. Sehingga konduktor berkas akan menaikkan kapasitansi saluran . Saluran transmisi yang baik, adalah kompromi diantara berbagai kebutuhan untuk induktansi seri yang rendah, kapasitansi shunt yng rendah, dan pemisahan antar konduktor yang cukup untuk kebutuhan isolasi antar fasa. 4. Nilai kapasitansi, induktansi dan resistansi saluran dapat diketahui dari tabel konduktor
  • 76.
    Admitansi kapasitif Shunt Admitansikapasitif shunt dari saluran transmisi tergantung pada kapasitansi saluran transmisi dan frekuensi sistem. Apabila kapasitansi per unit panjang adalah c, admitansi shunt per unit panjang adalah Sehingga admitansi kapasitif shunt adalah Dimana d adalah panjang dari saluran. Sehingga reaktansi kapasitif adalah kebalikan dari admitansi:
  • 77.
    Contoh soal No.1: Suatu salurantransmisi satu-fasa 8000 V, 60 Hz, terdiri dari dua aluminum konduktor dengan radius 2 cm jarak antara kawat 1.2 m. Bila panjang saluran 30 km dan temperatur konduktor 200C, a. Berapa resistansi seri per kilometer dari saluran ini? b. Berapa induktansi seri per kilometer dari saluran ini? c. Berapa kapasitansi shunt per kilometer dari saluran ini? d. Berapa total reaktansi seri dari saluran ini? e. Berapa total admitansi seri dari saluran ini?e. Berapa total admitansi seri dari saluran ini? Jawaban : a. Resisitansi seri saluran transmissi adalah Dengan mengabaikan skin effect, resisitivitas saluran pada 200 adalah 2.83⋅10-8 Ω-m dan resistansi per kilometer adalah
  • 78.
    Contoh soal b. Induktansiseri per kilometer dari saluran transmisi adalah c. Kapasitansi shunt per kilometer dari saluran transmisi adalah d. Impedansi seri per kilometer dari saluran transmissi adalah Sehingga total impedansi seri dari saluran adalah
  • 79.
    Contoh soal e. Admitansishunt per kilometer dari saluran transmisi adalah Total admitansi shunt dari saluran menjadi Reaktansi Kapasitif shunt adalah
  • 80.
    Tugas - 1 1.Tentukan resistansi DC dari konduktor tembaga (97,5%) dipilin dengan 3 lapis berukuran 253 mm2 (500.000 CM) dalam Ohm per km pada suhu 25 oC, bila diketahui ρ 25 = 1,8 mikro-Ohm-cm. 2. Suatu penghantar aluminium terdiri dari 37 kawat masing-masing dengan diameter 0.333 cm. Hitunglah tahanan dc dalam ohm per kilometer pada 75°C. Bila diketahui ρ aluminium 20°C = 2.83 x 10 – 8 -m 3. Suatu SUTT 345 kV, MVA base 100 MVA , 3 fasa dengan berkas konduktor per fasa dan setiap fasa terdiri dari 2 konduktor, seperti gambar dibawah. Konduktor yang digunakan ACSR 1113 kcmil. Jarak antar kedua konduktor (d)Konduktor yang digunakan ACSR 1113 kcmil. Jarak antar kedua konduktor (d) dalam setiap berkas 12 inch, bila diasumsikan D12, D23 dan D31 masing-masing adalah 26 feet, 26 feet dan 52 feet , tentukan : a. Induktansi rata-rata per fasa dalam Henri/ meter b. Reaktansi induktif per fasa dalam Ohm per km c. Reaktansi seri dari saluran dalam per unit d. Kapasitansi line-ke-netral dari saluran dalam Farad per meter e. Reaktansi kapasitif ke netral dari saluran dalam Ohm per km
  • 81.
    Tugas terstruktur Baca danpelajari buku Transmisi Daya Listrik (TS. Hutauruk) Bab 2
  • 82.
    TRANSMISI DAYA LISTRIK TatapMuka 3 : Karakteristik Saluran Transmisi (2)
  • 83.
    Induktansi dan kapasitansisaluran transmisi 1. Induktansi dan reaktansi rangkaian satu fasa a. Induktansi kawat pilin b. Perhitungan GMR dan GMD 2. Induktansi dan reaktansi induktif rangkaian tiga fasa a. Jarak ketiga fasa sama b. Jarak ketiga fasa tidak sama 3. Kapasitansi dan reaktansi kapasitif rangkaian tiga fasa a. Rangkaian tiga fasa jarak sama b. Rangkaian tiga fasa jarak tidak samab. Rangkaian tiga fasa jarak tidak sama 4. Konduktor berkas a. Reaktansi induktif saluran tiga fasa dengan konduktor berkas b. GMR konduktor berkas c. Kapasitansi dan reaktansi kapasitif konduktor berkas 5. Saluran ganda tiga fasa a. Reaktansi induktif saluran ganda tiga fasa b. Reaktansi kapasitif saluran ganda tiga fasa
  • 84.
    Induktansi dan reaktansirangkaian satu fasa Induktansi rangkaian satu fasa L = La + Ld • La : komponen pertama dan kedua adalah komponen kawat, tergantung dari sifat kawat Henrid r h i L       ++== − 12 1 7 ln 4 11 ln10.2 λ tergantung dari sifat kawat • Ld : komponen ketiga adalah komponen jarak-jarak kawat • bila : ln digantikan dengan log, ln = 2,3026 log dan panjang kawat (h) adalah 1 km = 1000 m, serta frekuensi f = 50 Hz, maka : kmHenrid r L /log10857,0 1 log10.4605,0 12 1 3       ++= −
  • 85.
    Induktansi dan reaktansirangkaian satu fasa Reaktansi induktif : XL = 2π.f.L Perhitungan GMR dan GMD a. Radius rata-rata geometris (GMR) Radius rata-rata geometris (GMR) dari suatu kawat bundar adalah radius dari suatu silinder berdinding sangat tipis mendekati nol kmOhmd r XL /log10857,0 1 log14467,0 12 1       ++= radius dari suatu silinder berdinding sangat tipis mendekati nol sehingga induktansi silinder tsb sama dengan induktansi kawat asli b. Jarak rata-rata geometris (GMD) • Bila suatu lingkaran radius r terdapat n titik berjarak satu sama lain sama, maka GMD antara titik2 tsb adalah • GMD suatu titik thd lingkaran adalah jarak titik tsb thd pusat lingkaran • GMD dari dua lingkaran dengan jarak titik pusat d12 adalah d12 1− = n nrGMD
  • 86.
    Induktansi dan reaktansirangkaian satu fasa b. GMR dan GMD penghantar konsentris (dipilin) Umumnya konduktor saluan transmisi terdiri dari kawat-kawat yang dipilin. Semua elemen kawat memiliki radius yang sama. Jumlah elemen kawat dari suatu penghantar yang dipilin ditentukan dalam rumus : 133 2 ++= ppn Dimana p merupakan jumlah lapisan kawat , tidak termasuk inti (yang hanya 1 kawat). Jumlah kawat tiap lapisan = 6 p i. Penghantar konsentris dengan 1 lapis (7 kawat) Karena jarak tiap kawat berurutan adalah 2 r GMR = 2,1767 r 5 62rGMD =
  • 87.
    Induktansi dan reaktansirangkaian satu fasa ii. Penghantar konsentris dengan 2 lapis (19 kawat) GMR = 3,788 r iii. Penghantar konsentris dengan 3 lapis (37 kawat) 17 182rGMD = 35 362rGMD = GMR = 5,3744 r 362rGMD =
  • 88.
    Suatu saluran transmisi1- fasa , 50 Hz, menggunakan konduktor tembaga keras 97,5%; 107,2 mm2 (4/0 atau 211.600CM), jumlah elemen kawat 19, radius efektif 0,6706 cm. Jarak antara kedua kawat 1,5 meter. Tentukan Reaktansi induktif per kawat per fasa dalam Ohm/km. Jawaban : r1 = radius konduktor (meter) = 0,006706 meter Contoh soal 12 1 log14467,010857,0 1 log14467,0 d r XL +      += r1 = radius konduktor (meter) = 0,006706 meter d12 = jarak antara kawat (meter = 1,5 meter kmOhmXL /3556,05,1log14467,010857,0 006706,0 1 log14467,0 =+      +=
  • 89.
    Induktansi & reaktansiinduktif rangkaian tiga fasa D D D a bc a. Jarak antara fasa sama (simetris) Induktansi per fasa sama dengan induktansi rangkaian satu fasa kmHenrid r L /log10857,0 1 log10.4605,0 12 1 3       ++= − kmOhmd r XL /log10857,0 1 log14467,0 12       ++= Induktansi per fasa b. Jarak antara fasa tidak sama (asimetris) Dimana : 3 312312 .. DDDGMD = kmOhmd r XL /log10857,0log14467,0 12 1     kmHenriGMD r L /log10857,0 1 log10.4605,0 1 3       ++= − kmOhmGMD r XL /log10857,0 1 log14467,0 1       ++=
  • 90.
    Suatu saluran transmisi3-fasa , 50 Hz, 150 kV menggunakan konduktor ACSR 282 mm2 (556.500CM), 30/7, konfigurasi horizontal datar dengan jarak antar kawat 5,33 meter. Radius efektif kawat 1,21 cm = 0,0121 meter. Tentukan (a). Jarak ekivalen kawat; (b). Reaktansi induktif per kawat per fasa dalam Ohm/km. Jawaban : (a). Jarak ekivalen kawat = GMD Contoh soal meterxxdddGMD ACBCAB 715,666,1033,533,5.. 33 === (b). Reaktansi induktif : XL = Xa + Xd meterxxdddGMD ACBCAB 715,666,1033,533,5.. === GMD r XL log14467,010857,0 1 log14467,0 1 +      += kmOhmXL /4127,011965,029307,0715,6log14467,010857,0 0121,0 1 log14467,0 =+=+      +=
  • 91.
    a. Kapasitansi saluran3 fasa dengan jarak fasa sama atau Reaktansi kapasitif : Farad d r hf V q C an a 12 1 ln 1 ln ..2 + == π Kapasitansi & reaktansi kapasitif rangkaian tiga fasa kmFarad d r x C / log 1 log 10417,2 12 1 8 + = − Reaktansi kapasitif : b. Reaktansi Kapasitif saluran 3 fasa dengan jarak antar fasa tidak sama 3 312312 .. DDDGMD = '' ..2 1 daC XX Cf jX +== π kmMegaOhm r Xa / 1 log1317,0' 1 −= kmMegaOhmdXd /log1317,0' 12−= kmMegaOhm r GMD XX Cf jX daC /log1317,0'' ..2 1 1 −=+== π
  • 92.
    Suatu saluran transmisi3-fasa menggunakan konduktor ACSR 456 mm2 (900.000CM), konfigurasi horizontal datar dengan jarak antar kawat 4,2672 meter (14 feet). Frekuensi sistem 50 Hz. Diamater kawat 2,9515 cm. Tentukan kapasitansi dan reaktansi kapasitif dari saluran tsb Jawaban : Contoh soal meterxxdddGMD ACBCAB 3763,55344,82672,42672,4.. 33 === meterxxdddGMD ACBCAB 3763,55344,82672,42672,4.. === kmMegaOhm r GMD jXC −−=−=      = 3373,0 01476,0 3763,5 log1317,0log1317,0' 1 kmFaradx xXf C C /100094,0 )103373,0.(50.2 1 ..2 1 6 6 − = − −=−= ππ
  • 93.
    Konduktor berkas (bundle) PadaSUTET, bila saluran tiap fasa hanya menggunakan satu konduktor, rugi corona dan interferensi komunikasi sudah sangat besar. Untuk itu pada tiap fasa digunakan konduktor berkas dengan jumlah konduktor 2, 3, 4 atau lebih. Dengan menggunakan konduktor berkas, reaktansi saluran akan lebih kecil sehingga kapasitas hantar arus akan lebih besar. Saluran transmisi 3 fasa yang panjang umumnya dilakukan transposisi diantara fasanya, fluksi lingkup pada fasa A karena arus pada fasa B, D λAB = K iB ln lilitan-Weber Dimana : dAB = jarak pusat konduktor berkas A ke pusat konduktor berkas B DB = jarak pusat konduktor berkas B ke titik jauh Dengan cara yang sama untuk fasa A karena arus fasa C Induktansi konduktor berkas per fasa adalah : AB B d D GMD n ddr K i L n A A A ln 1 ln... 1 ln 4 11 ln 1121 +       ++++ == λ
  • 94.
    Pendekatan : Reaktansi induktifkonduktor berkas per fasa : XL = 0,14467 log Ohm/km Dimana : GMR GMD Konduktor berkas 3 .. ACBCAB dddGMD = n ndddrGMR 113121 ......'.= n113121
  • 95.
    GMR dari konduktorberkas dimana sub konduktor mempunyai jarak-jarak yang sama dan terletak pada suatu lingkaran dengan radius R adalah : Bila jumlah sub konduktor 2, maka n = 2 Konduktor berkas R R S R r RRrSrGMR ' 22'.'. 1 11 === Dimana: r1’ = GMR sub konduktor
  • 96.
    SR Konduktor berkas Bila jumlahsub konduktor 3, maka n = 3 3 S R= 3 13 2 1 3 2 1 ' 33'.'. R r RRrSrGMR === Bila jumlah sub konduktor 4, maka n = 4Bila jumlah sub konduktor 4, maka n = 4 2 S R = 4 1 ' 4 R r RGMR = Bila jumlah sub konduktor n, maka bentuk umumnya adalah : n R r nRGMR ' . 1 =
  • 97.
    Konduktor berkas GMDddd r h e Q C n A A A lnln...lnln 1 ln 2 11312 1 −      −−− == πε Kapasitansi danreaktansi kapasitif untuk konduktor berkas Dengan pendekatan, reaktansi kapasitif : Farad           = n eqa R rnR jX 1 )( 1 log1317,0' X’C = Xa’(eq) + Xd’ Mega Ohm-km 3 ..log1317,0' ACBCABd dddjX =
  • 98.
    Suatu saluran transmisi3-fasa menggunakan konduktor berkas dengan 2 sub- konduktor per fasa. Jarak sub konduktor S = 0,4 meter dan jarak-jarak kawat berkas sbb : dAB = dBC = 7 meter dAC = 14 meter Radius sub konduktor = 1,725 cm Tentukan reaktansi induktif dan kapasitif dari saluran tsb Jawaban : Contoh soal r RGMR ' 2 1 =Jawaban : Dimana : R = ½. S = 0,2 m Jadi : R RGMR 2= meterer 4/1 1 100 725,1 ' − = meter x e R r RGMR 0733,0 2,0100 .725,1 22,0 ' 2 4/1 1 === − meterxxdddGMD ACBCAB 82,81477.. 33 ===
  • 99.
    Jawaban : Jadi : Contohsoal kmOhm GMR GMD XL /301,0 0733,0 82,8 log14467,0log14467,0 === kmMegaOhm R rnR jX n eqa −−=           −=           = 1423,0 01725,0 22,0 1 log1317,0 1 log1317,0' 1 )( R nR         2,0 22,01 kmMegaOhmxxdddjX ACBCABd −−=−== 1245,01477log1317,0..log1317,0' 33 XC’ = Xa’(eq) + Xd’ = - (0,1423+0,1245) = - 0,2668 Mega-Ohm-km
  • 100.
    Saluran ganda tigafasa Reaktansi induktif untuk saluran ganda tiga fasa 1=a 2=b d12 d23 d13 5=e 6=f d16 d25 d36 3=c 4=d d36 Saluran 1 Saluran 2 Reaktansi induktif = GMR GMD XL log14467,0= 12 564645353426242316151312 ........... ddddddddddddGMD = ( )6 362514 3 1 ...' dddrGMR = Ohm/km/konduktor
  • 101.
    Saluran ganda tigafasa Reaktansi kapasitif =       = GMR GMD jXC log1317,0
  • 102.
    Contoh soal Suatu salurantransmisi ganda 3-fasa menggunakan konduktor dengan ukuran sbb : r1 ‘= 0,00698 m r1 = 0,008626 m Jarak antar konduktor sbb : d12 = d23 = d45 = d56 = 3,0785 m d13 = d46 = 6,096 m d14 = d36 = 8,2013 m d15 = d24 = d26 = d35 = 6,6751 md15 = d24 = d26 = d35 = 6,6751 m d25 = 6,4008 m d16 = d34 = 5,4864 m Tentukan reaktansi induktif dan kapasitif dari saluran tsb Jawaban : 12 564645353426242316151312 ........... ddddddddddddGMD = meterxxxGMD 9165,44864,56751,6096,60785,312 2424 == ( )6 362514 3 1 ...' dddrGMR = meterxxGMR 2296,04008,62013,800698,06 23 ==
  • 103.
    Contoh soal Jawaban : Untukperhitungan reaktansi kapasitif : GMD nya sama, untuk GMR r1’ diganti dengan r1 konduktorkmOhmXL //1925,0 2296,0 9165,4 log14467,0 == ( )6 3 ... dddrGMR = meterxxGMR 2552,04008,62013,8008626,06 23 == konduktorkmMegaOhmjjXC /1692,0 2552,0 9165,4 log1317,0 −== ( )6 362514 3 1 ... dddrGMR =
  • 104.
    Tugas – 2(latihan soal) 1. Suatu saluran transmisi 3-fasa , 50 Hz, 230 kV menggunakan konduktor ACSR 402,83 mm2 (795.000CM), konfigurasi horizontal datar dengan jarak antar kawat 8,6 meter. Radius efektif kawat 2,21 cm. Tentukan : (a). Jarak efektif kawat (GMD); (b). Reaktansi induktif per fasa dalam Ohm/km. (c). Reaktansi kapasitif per fasa dalam MegaOhm/km 2. Suatu saluran transmisi 3-fasa , 50 Hz, menggunakan konduktor berkas2. Suatu saluran transmisi 3-fasa , 50 Hz, menggunakan konduktor berkas dengan 4 sub-konduktor per fasa. Jarak sub konduktor S = 0,4 meter dan jarak-jarak kawat berkas sbb : dAB = dBC = 9 meter dAC = 18 meter sub konduktor merupakan ACSR 282 mm2 (556.500 CM), dengan diameter sub konduktor = 2,3546 cm dan GMR = 0,9571 cm Tentukan : (a). reaktansi induktif per fasa dalam Ohm/km (b). Kapasitansi dalam Farad/km (c). Reaktansi kapasitif dalam MegaOhm/km
  • 105.
    TRANSMISI DAYA LISTRIK TatapMuka 4 : Pemodelan Saluran Transmisi serta hubungan arus dan tegangan
  • 106.
    Pemodelan saluran transmisi Karakteristiksaluran transmisi dinyatakan dengan parameter, resistansi, induktansi dan kapasitansi yang tersebar sepanjang saluran. The image cannot be displayed. Your computer may not have enough memory to open the image, or the image may have been corrupted. Restart your computer, and then open the file again. If the red x still appears, you may have to delete the image and then insert it again. Namun memodelkan parameter yang tersebar sepanjang saluran tersebut adalah sulit. Parameter-parameter tersebut, dapat didekati dengan beberapa resistor, induktor dan kapasitor. Namun, pendekatan ini tidak praktis, karena harus menghitung arus dan tegangan di setiap titik sepanjang saluran. Dapat juga diselesaikan melalui persamaan deferensial untuk saluran, namun juga tdk praktis, untuk sistem yang besar dengan banyak saluran transmisi.
  • 107.
    Untuk panjang SUTT< 80 km, dikategorikan sebagai saluran pendek. Dapat dimodelkan dengan resistansi dan induktansi seri, karena kapasitansinya dapat diabaikan. Untuk SUTT, reaktansi induktif pada 50 Hz umumnya jauh lebih besar dari resistansi saluran. Pemodelan saluran transmisi Untuk panjang SUTT (80 – 250 km) dikategorikan sebagai saluran transmisi dengan panjang menengah/ medium. Disini kapasitansi saluran sudah mulai diperhitungkan. Dan dapat dimodelkan dengan dua kapasitor dengan ukuran masing2 separohnya dikedua ujung saluran. Untuk SUTT dengan panjang > 250 km dikategorikan sebagai slauran transmisi panjang. Saluran pendek Saluran medium
  • 108.
    Besarnya nilai resistansi,reaktansi seri (induktif) dan admitansi shunt dari suatu saluran transmisi dapat dihitung sbb ydY xdX rdR = = = Pemodelan saluran transmisi Dimana r, x, dan y adalah resistansi, reaktansi, dan admitansi shunt per unit panjang dan d adalah panjang dari saluran transmisi. Nilai r, x, dan y dapat du dari tabel referensi konduktor saluran transmisi. ydY =
  • 109.
    Jaringan 2 kutub(2-port networks) & konstanta ABCD Suatu saluran transmisi dapat dinyatakan dengan jaringan 2 kutub – yaitu suatu jaringan yg dapat diisolasi dari lingkungan luarnya melalui dua hubungan kutub, seperti pd gambar. Bila jaringannya linier, berdasarkan teori rangkaian (analogous to Thevenin’s theorem)Bila jaringannya linier, berdasarkan teori rangkaian (analogous to Thevenin’s theorem) menetapkan hubungan antara tegangan dan arus sisi krim dan sisi terima sbb : Disini konstanta A dan D tanpa dimensi, konstanta B dengan unit Ω, dan konstanta C diukur dalam Siemens (Mho). Konstnata-2 ini sering kali disebut sebagai konstanta umum rangkaian, atau konstanta ABCD. RRS RRS DICVI BIAVV += +=
  • 110.
    Saluran transmisi pendek Rangkaianekivalen per fasa dari saluran pendek VS dan VR adalah tegangan sisi kirim dan terima; IS dan IR adalah arus sisi kirim dan terima. Diasumsikan tidak ada admitansi saluran. RS II = Berdasarkan Hk. Kirchhoff terdapat hubungan untuk tegangan sbb RS II = IjXRIVZIVV LRRS ++=+= IjXRIVV LSR −−=
  • 111.
    Jaringan 2-kutub &kosntanta ABCD Konstanta ABCD dapat diinterpretasikan secara physic. konstanta A menggambarkan effect dari perubahan tegangan sisi terima terhadap tegangan sisi kirim; dan konstanta D menggambarkan effect perubahan arus sisi terima terhadap arus sisi kirim. Kedua konstanta A dan D tanpa dimensi. Konstanta B menggambarkan effect perubahan srus sisi terima terhadap tegangan sisi kirim. Konstanta C menggambarkan effect perubahan tagangan sisi terima terhadap arus sisi kirim. Saluran transmisi adalah jaringan linier 2 kutub, dan sering dinyatakan dengan model ABCD. Untuk saluran pendek, IS = IR = I, dan konstanta ABCD saluran adalah 1 0 1 = = = = D C ZB A
  • 112.
    Diagram fasor salurantransmisi pendek Tegangan bolak-balik (AC) biasanya dinyatakan dalam diagram fasor. Beban dengan faktor daya lagging. Beban dengan faktor daya unity (1,0). Beban dengan faktor daya leading. Untuk suatu tegangan kirim VS dan suatu besaran arus, tegangan sisi terima VR akan lebih rendah untuk beban lagging dan lebih tinggi untuk beban leading .
  • 113.
    Karakteristik saluran transmisi PadaSUTT, nilai reaktansi XL normalnya jauh lebih besar dari resistansi R; sehingga resistansi saluran sering kali diabaikan. Beberapa karakteristik penting saluran transmisi adalah sbb 1. The effect of load changes Diasumsikan sebuah generator mensuplai sebuah beban melalui suatumensuplai sebuah beban melalui suatu saluran transmisi, bagaimana pengaruh kenaikan beban terhadap tegangan. Diasumsikan generator ideal, kenaikan beban akan menaikan daya aktif dan reaktif keluar dr generator begitu pula arus di saluran transmisi. Sementara tegangan sisi kirim tetap. 1) Apabila bebannya bertambah dengan faktor daya lagging yang sama, besaran arus di saluran akan naik tetapi masih dengan sudut θ yang sama terhadap VR seperti sebelumnya.
  • 114.
    Jatuh tegangan padareaktansi juga naik tetapi tetap dengan sudut yang sama. Diasumsikan resistansi saluran = 0 dan perlu diingat bahwa besaran tegangan sumber atau tegangan kirim adalah konstan Jatuh tegangan pada reaktansi jXLI akan berkisar antara V and V . Karakteristik saluran transmisi IjXVV LRS += L VR and VS. Sehingga , bila beban lagging naik, tegangan sisi terima akan berkurang cukup besar 2) Sebaliknya , Naiknya beban dengan faktor daya unity (1,0), akan sedikit menurunkan tegangan sisi terima.
  • 115.
    3) Sedangkan ,naiknya beban dengan faktor daya leading , maka tegangan sisi terima juga akan naik Ringkasan : 1. Bila beban lagging (inductive) pada sisi terima saluran meningkat, tegangan di sisi Karakteristik saluran transmisi 1. Bila beban lagging (inductive) pada sisi terima saluran meningkat, tegangan di sisi terima dari saluran akan turun cukup besar – nilai pengaturan tegangan (VR) akan besar dan positif. 2. Bila beban unity-PF (resistive) pada sisi terima saluran meningkat, tegangan di sisi terima dari saluran akan turun sedikit – nilai pengaturan tegangan (VR) akan kecil dan positif.. 3. Bila beban leading (capacitive) pada sisi terima saluran meningkat, tegangan di sisi terima dari saluran akan naik – nilai pengaturan tegangan (VR) akan negatif..
  • 116.
    Pengaturan tegangan (voltageregulation = VR) dari saluran transmisi adalah %100. Rfl RflRnl V VV VR − = Karakteristik saluran transmisi Dimana VRnl dan VRfl adalah tegangan no-load dan full-load pada sisi terima saluran. Untuk saluran pendek : VRnl = VS dan VRfl = VR Sehingga %100. R RS V VV VR − =
  • 117.
    Saluran transmisi menengah Padasaluran transmisi dengan panjang medium/ menengah (80 – 250 km) , nilai kapasitansi saluran sudah mulai diperhitungkan. Dalam pemodelannya dapat dipusatkan di satu titik (nominal T) atau pada dua titik (nominal PI). Rangkaian ekivalen Nominal T Relasi tegangan dan arus : 22 Z I Z IVV SRRS ++= Y Z IVIYVII RRRPRS       ++=+= 2 RRS I ZY YVI       ++= 2 1
  • 118.
    The image cannotbe displayed. Your computer may not have enough memory to open the image, or the image may have been corrupted. Restart your computer, and then open the file again. If the red x still appears, you may have to delete the image and then insert it again. Saluran transmisi menengah Maka : RRS I YZ ZV ZY V       ++      += 42 1 2 RRS I ZY YVI       ++= 2 1 Rangkaian ekivalen Nominal PI Relasi tegangan dan arus : 2 Y VII ZIVV RRP PRS += += Tetapi
  • 119.
    Saluran transmisi menengah Jadi: RRS RRRS ZIV ZY V Z Y VIVV +      +=       ++= 2 1 2 22 1 22 Y ZIV ZYY VI Y VII RRRRSPS +      +++=+= RRS I ZY V ZY YI       ++      += 2 1 4 2 %100. Rfl RflRnl V VV VR − = Pengaturan tegangan untuk saluran menengah : %100.2 1 R R S V V ZY V VR − + =atau
  • 120.
    Pada saluran menengah,admitansi shunt harus dimasukkan dalam perhitungan. Total admitansi biasanya dimodelkan dengan model Phi (π model) seperti gambar disamping. Arus yg melalui kapasitor sisi terima adalah Saluran transmisi menengah Arus yg melalui kapasitor sisi terima adalah Dan arus yang melalui impedansi seri adalah 2 2 Y VI RC = RRser I Y VI += 2
  • 121.
    Dari Hk. Kirchhoffuntuk tegangan, tegangan sisi kirim adalah Arus sisi kirim menjadi Saluran transmisi menengah RRRRCRserS ZIV ZY VIIZVZIV +      +=++=+= 1 2 )( 2 RRSRCCserCS I ZY V ZY YI I Y V Y VIIIIII     ++    += ++=++=+= 11 22 211 Sehingga konstanta ABCD saluran transmisi menengah adalah Bila kapasitansi shunt diabaikan, konstanta ABCD menjadi sama dengan konstanta saluran transmisi pendek. RRS I ZY V ZY YI       ++      += 1 2 1 4 1 2 1 4 1 2 +=       += = += ZY D ZY YC ZB ZY A
  • 122.
    2. Power flowin a transmission line Daya aktif input ke saluran transmisi 3 fasa dapat dihitung sbb : Dimana VS adalah besaran tegangan sumber (input) line-to-neutral dan VLL,S adalah besaran tegangan sumber (input) line-to-line. Disini diasusmsikan untuk hubungan- Y! Dengan cara yang sama , daya aktif output dari saluran transmisi adalah Karakteristik saluran transmisi SSSLLSSSin IVIVP θθ cos3cos3 ,== IVIVP θθ cos3cos3 == Daya reaktif input ke saluran transmisi 3 fasa dapat dihitung sbb : RRRLLRRRout IVIVP θθ cos3cos3 ,== SSSLLSSSin IVIVQ θθ sin3sin3 ,==
  • 123.
    Daya nyata inputke saluran transmisi 3 fasa adalah Dan daya reaktif output adalah RRRLLRRRout IVIVQ θθ sin3sin3 ,== Karakteristik saluran transmisi Dana daya nyata output adalah SSLLSSin IVIVS ,33 == RRLLRRout IVIVS ,33 ==
  • 124.
    Bila resistansi saluranR dapat diabaikan, daya output dari saluran transmisi dapat disederhanakan sbb Diagram fasor yang disederhanakan dari saluran transmisi menunjukkan bahwa IS = IR = I. Selanjutnya garis vertikal bc dapat dinyatakan sebagai VS sinδ atau XLIcosθ. Sehingga: Karakteristik saluran transmisi SV I δ θ sin cos = Sehingga daya outputnya sbb: Sehingga , daya yang disuplai oleh saluran transmisi tergantung pada sudut fasor antara tegangan input dan output. L S X V I δ θ sin cos = L RS X VV P δsin3 =
  • 125.
    Daya maksimum yangdisuplai oleh saluran transmisi akan terjadi apabila δ = 900: Daya maksimum ini disebut steady-state stability limit dari saluran transmisi. Dalam kenyataannya resistansi saluran transmisi adalah tidak = 0, sehingga, sebelum mencapai nilai transfer daya maksimum sudah mengalami pemanasan pada Saluran transmisi . Secara tipikal sudut daya pada beban penuh adalah 250 . Karakteristik saluran transmisi L RS X VV P 3 max = sudut daya pada beban penuh adalah 250 . Beberapa hal yang dapat disimpulkan dari persamaan daya diatas adalah: 1. Kemampuan transfer daya maksimum dari suatu saluran transmisi adalah fungsi dari kwadrat tegangan nominalnya. Misalnya apabila semua parameter saluran sama, suatu saluran transmisi 220 kV akan memiliki 4 kali kemampuan transfer daya dibandingkan dengan saluran transmisi 110 kV . Hal ini merupakan salah satu keuntungan menaikkan tegangan saluran transmisi… Namun tegangan yang sangat tinggi akan menghasilkan medan elektromagnetik yang kuat, yang menyebabkan interferensi dengan komunikasi dan menghasilkan efek corona – menyalanya ion-ion udara yang akan meningkatkan losses.
  • 126.
    2. Kemampuan transferdaya maksimum dari saluran transmisi : berbanding terbalik dengan reaktansi seri, yang nilainya cukup besar untuk saluran panjang. Untuk itu di beberapa saluran panjang menambahkan kapasitor seri untuk mengurangi reaktansi seri secara total, sehingga meningkatkan kemampuan transfer daya saluran. 3. Dalam operasi normal suatu sistem tenaga listrik, besaran tegangan VS dan VR tidak banyak berubah, sehingga, besarnya sudut δ akan mengendalikan daya yang mengalir melalui saluran. Untuk itu dalam rangka mengendalikan aliran daya di saluran dapat Karakteristik saluran transmisi melalui saluran. Untuk itu dalam rangka mengendalikan aliran daya di saluran dapat dilakukann dengan meletakkan suatu phase-shifting transformer disatu sisi saluran untuk mengatur tegangan fasa. 3. Transmission line efficiencyEffisiensi saluran transmisi adalah %100. in out P P =η
  • 127.
    4. Transmission lineratings Salah satu faktor batasan utama dalam pengoperasian saluran transsmisi adalah pemanasan pada resisitansi. Karena pemanasan ini adalah fungsi kwadrat arus yang mengalir di saluran dan tidak bergantung pada sudut fasanya, saluran transmisi biasanya dioperasikan pada tegangan dan daya nominal nya. 5. Transmission line limits Terdapat Beberapa kendala praktis yang membatasi daya aktif dan reaktif yang dapat disuplai oleh saluran transmisi. Kendala yang paling penting adalah : Karakteristik saluran transmisi 5. Transmission line limits oleh saluran transmisi. Kendala yang paling penting adalah : 1. Arus steady-state maksimum harus dibatasi untuk menghindari pemanasan berlebih pada saluran transmisi . Rugi-rugi daya pada saluran dihitung dengan pendekatan sbb : Semakin besar arus yang mengalir semakin besar rugi-rugi panas pada resistansi. RIP Lloss 2 3=
  • 128.
    2. Jatuh Teganganpada saluran harus dibatasi sekitar 5%. Dengan kata lain rasio besaran tegangan sisi terima terhadap tegangan sisi kirim adalah Batasan ini menghindari terjadinya variasi tegangan yang berlebihan. Karakteristik saluran transmisi 95,0≤ S R V V Batasan ini menghindari terjadinya variasi tegangan yang berlebihan. 3. Sudut daya δ pada saluran transmisi harus ≤ 300 untuk menjamin bahwa aliran daya pada saluran transmisi cukup jauh dari static stability limit sehingga sistem tenaga listrik dapat menangani apabila terjadi kondisi transient. Diantara batasan-batasan tersebut ada yang lebih atau kurang penting pada suatu kondisi tertentu yang berbeda. Pada saluran pendek, dimana reaktansi seri X adalah relatif kecil, pemanasan pada resistansi biasanya membatasi daya yang dapat disuplai saluran. Pada saluran yang lebih panjang yang beroperasi pada faktor dInya lagging , jatuh tegangan di saluran biasanya menjadi faktor pembatas. Pada saluran yang lebih panjang yang beroperasi pada faktor daya leading , maksimum sudut δ dapat menjadi faktor pembatas.
  • 129.
    1. Suatu salurantransmisi 3 – fasa , 50 km, 70 kV, mempunyai konstanta saluran sbb : R = 0,20 Ohm per km, X = 0,608 Ohm per km, Y = j4,0 x10-6 Mho per km. Saluran transmisi tsb mensuplai beban 30 MW dengan faktor daya 0,9 lagging. Tegangan pada ujung beban 70 kV. Tentukan : a. Tegangan pada ujung kirim b. Daya pada ujung kirim c. Efisiensi transmisi d. Pengaturan tegangan Contoh soal - 1 Z I d. Pengaturan tegangan Jawaban : (a). Saluran transmisi ini termasuk saluran pendek IS = IR = I dan VS = VR + I.Z PR = 30 MW, pf. 0,9 lagging VR(LL) = 70 kV VR(LN) = 70 / √3 kV = 40,4 kV o o LLR R R Amp xkVx kW pfV P I 84,2594,274 9,0703 84,25000.30 ..3 )( −∠= −∠ ==
  • 130.
    Contoh soal -1 ( ) OhmjxjZ o 8,71324,301050608,02,0 ∠=+=+= )(49,793,46324,6532,46324,6116,6416,40 96,45798,8416,408,713284,2594,274416,40 NLkVjjV VoltxV IZVV S S RS −∠=+=++= ∠+=∠−∠+= += atau −== )(28,81393,46 LLkVxkVVS −== (b). Daya pada ujung kirim : SSS IVP θcos3= o S 33,33)84,25(49,7 =−−=θ MWkWxxxPS 34,32339,3233,33cos94,27428,813 === θR θS
  • 131.
    (b). Efisiensi transmisi: %6,92%100. 34,32 30 %100. === S R P P η (b). Pengaturan tegangan : %11,16%100. 7028,81 %100. = − = − = RS VV VR Contoh soal - 1 %11,16%100. 70 %100. === R RS V VR
  • 132.
    Saluran transmisi panjang Untuksaluran transmisi panjang, menjadi kurang teliti apabila memodelkan admitansi shunt dengan dua capacitor disetiap ujung saluran. Akan Lebih tepat dan teliti apabila baik kapasitansi shunt dan impedansi seri dinyatakan dalam besaran yang terdistribusi sepanjang saluran. Tegangan dan arus di saluran dihitung melalui persamaan deferensial dari saluran. Namun sebenarnya kita tetap bisa memodelkan saluran transmisi panjang sebagai model nominal π , yaitu dengan impedansi seri yang dimodifikasi Z’ dan admitansi shunt yang dimodifikasi Y’ . Selanjutnya melakukan perhitungan tegangan dan arusshunt yang dimodifikasi Y’ . Selanjutnya melakukan perhitungan tegangan dan arus menggunakan model konstanta ABCD . Nilai impedansi seri dan admitansi shunt yg dimodifikasi adalah sbb: 2/ )2/tanh( ' sinh ' d d YY d d ZZ γ γ γ γ = =
  • 133.
    Saluran transmisi panjang Modelideal Model pendekatan
  • 134.
    Disini Z adalahimpedansi seri saluran; Y adalah admitansi shunt saluran; d adalah panjang saluran; γ adalah konstanta propagasi saluran: Dimana y adalah admitansi shunt per kilometer dan z adalah impedansi seri per km. Apabila γd semakin kecil, maka ekspresi ratio pada Z’ dan Y’ mendekati 1.0 dan model tersebut menjadi model saluran transmisi menengah. Konstanta ABCD untuk saluran Saluran transmisi panjang yz=γ tersebut menjadi model saluran transmisi menengah. Konstanta ABCD untuk saluran transmisi panjang adalah 1 2 '' 1 4 '' ' 1 2 '' +=       += = += YZ D YZ YC ZB YZ A
  • 135.
    Tugas – 3(latihan soal) 1. Suatu saluran transmisi 3-fasa , 200 km, 230 kV. Konstanta saluran transmisi adalah Z = 0,54 ∟71,8o Ohm/km ; Y = 5,0 x 10-6 ∟90o Mho/km. Saluran transmisi ini menyalurkan daya 150 MW dengan faktor daya 1,0 pada ujung beban. Tegangan pada ujung beban 230 kV. Dengan menggunakan model nominal PI, tentukan : (a). Tegangan dan arus pada sisi kirim; (b). Efisiensi transmisi. (c). Pengaturan tegangan 2. Suatu saluran transmisi 3-fasa , 100 km, pada sisi terima terhubung ke beban 50 MW dengan faktor daya 0,85 lagging. Konstanta saluran transmisi tersebut adalah Z = 95 ∟78o dan Y = 0,001 ∟90o S. Menggnakan model nominal T, Tentukan : (a). Konstanta A, B, C, D saluran transmisi tsb. (b). Tegangan, arus dan faktor daya sisi kirim (c). Efisiensi saluran transmisi.
  • 136.
    TRANSMISI DAYA LISTRIK TatapMuka 5 : Pemodelan Saluran Transmisi serta hubungan arus dan tegangan (2)
  • 137.
    Untuk saluran transmisipanjang, menjadi kurang teliti apabila memodelkan admitansi shunt dengan dua capacitor disetiap ujung saluran. Akan Lebih tepat dan teliti apabila baik kapasitansi shunt dan impedansi seri dinyatakan dalam besaran yang terdistribusi sepanjang saluran. Tegangan dan arus di saluran dihitung melalui persamaan deferensial dari saluran. Saluran transmisi panjang Pada model diatas berlaku : x x x x Vy dx dI Iz dx dV == ; Bila diturunkan thd x : dx dV y dx Id dx dI z dx Vd xxxx == 2 2 2 2 ; (1) (2)
  • 138.
    Substitusi persamaan (1)ke (2) : x x x x Iyz dx Id Vyz dx Vd == 2 2 2 2 ; Pada x=0, Vx = VR dan Ix = IR solusinya adalah : RRRR IBVAIxyz z y VxyzxV ..)sinh()(cosh)( +=+= RRRR IDVCIxyzVxyz z y xI ..)(cosh)sinh()( +=+= 2 Persamaan diatas dapat dituliskan sbb : RcR IxZVxxV )sinh()(cosh)( γγ += RRc IxVxYxI )(cosh)sinh()( γγ += Dimana : z y Y y z Z yz c c = = =γ = konstanta propagasi per satuan panjang = impedansi karakteristik per satuan panjang = admitansi karakteristik per satuan panjang
  • 152.
    βαγ j+= =α Konstantaredaman (ukuran penurunan V dan I per satuan panjang) =β Konstanta pergeseran fasa RcRS IlZVlV )sinh()(cosh γγ += Apabila x = l, maka Vx = VS dan Ix = IS & persamaan tegangan dan arus menjadi: IlVlYI )(cosh)sinh( γγ += RRcS IlVlYI )(cosh)sinh( γγ += Selain itu diketahui )(sinh)(cosh 2 1 2 1 llll eeleel γγγγ γγ −− −=+= ljl cRR ljl cRRS eeZIVeeZIVV βαβα −− −++= )()( 2 1 2 1 ljl RcR ljl RcRS eeIYVeeIYVI βαβα −− −−+= )()( 2 1 2 1 Sehingga :
  • 153.
    Suku pertama dariVS dan IS disebut gelombang datang (incident wave) dan suku kedua disebut gelombang refelksi/ pantulan (reflected wave). Keduanya merupakan gelombang berjalan. Gelombang datang semakin berkurang nilai dan sudut fasanya menuju sisi terima, sebaliknya gelombang pantul semakin membesar nilai dan sudut fasanya menuju sisi kirim. Disetiap titik sepanjang saluran, terjadi superposisi antara gelombang datang dan gelombang pantul. Kondisi khusus :Kondisi khusus : 1. Bila kedua suku berbeda sudut fasa 180o ,maka kedua suku diatas akan saling menghilangkan, sehingga : IR = 0 dan α = 0. kondisi ini terjadi pada saluran terbuka atau tanpa beban 2. Bila saluran ditutup dengan inpedansi karakteristik Zc, yang merupakan impedansi saluran yang panjangnya tak terhingga. pada kondisi ini tidak terdapat gelombang pantul, sehingga : VR = IR Zc Nilai Zc, untuk saluran transmisi tunggal sekitar 400 Ω dan untuk saluran ganda 200 Ω, dengan sudut fasa antara 0 sampai dengan -15o
  • 154.
    Panjang Gelombang Untuk jarakx1 disepanjang saluran dimana βx1 = 2 π, maka vektor tegangan / arus akan sefasa, maka jarak x1 disebut satu panjang gelombang (λ), dimana : v f atau f vataufvdan .2.2 . 2 π β β π λ β π λ ==== v = kecepatan propagasi dan f = frekuensi gelombang Untuk saluran udara tanpa rugi2 R = G = 0, maka : Z = jX dan Y = jB = 1/X’
  • 155.
    Daya karakteritik. Daya karakteristikadalah daya maksimum yang dapat ditransmisikan bila tegangan sisi terima (VR) adalah sama dengan tegangan sisi kirim (VS) dan dibebani dengan beban yang sama dengan impedansi karakteristik saluran. Bila rugi-rugi saluran diabaikan, R = 0 dan G = 0, maka daya karakteristik disebut daya natural atau Surge Impedance Loading (SIL) = PN Untuk saluran panjang : lZjIlVlZIlVV oRRcRRS ββγγ sincossinh.cosh +=+= LCfLCdan C L Zo .2πωβ == = = impedansi surja = konstanta pergeseran fasa l Z V jlIl Z V lII o R R c R RS ββγγ sincossinhcosh +=+= Bila rugi-rugi diabaikan : 0)( =+= αβαγ danljl
  • 156.
    Apabila o SS o RR VV VV δ∠= ∠= 0 Maka: lZ VV P o SR R β δ sin sin = Harga maksimum PR diperoleh bila |VR| = |VS| = |V| dan ujung beban ditutup dengan suatu beban yang sama dengan impedansi karaktersitik atau impedansi surja saluran. Harga |V2|/Zo disebut Daya Natural atau Pembebanan Impedansi Surja (Surge Impedans Loading, disingkat SIL) Jadi 2 Jadi SIL Z V PP o NR === 2 Untuk SUTT : Zo ≈ 400 Ohm Sehingga : PN = 2,5 x Tegangan (kVL-L) kW
  • 157.
    Harga maksimum β.l: Dalam keadaan steady state, harga maksimum teoritis dari β.l = 90o. Tetapi dalam praktek β.l harus dibatasi antara 20o sampai 30o, untuk menjaga stabilitas saluran. det/000.300 1 2 km LC v lLCfl == = πβ Harga β.l disebut panjang elektrik saluran, jadi jika β.l = 90o = 1,57 radian, maka f x l π2 000.30057,1 = Untuk f = 50 Hz l = 1.500 km Untuk f = 0 (DC) l = ~ (tak terhingga) Dalam praktek, panjang saluran dibatasi oleh : Β.l = 30o = 0,523 radian f x l π2 000.300523,0 = Untuk f = 50 Hz l = 500 km Untuk f = 0 (DC) l = ~ (tak terhingga)
  • 158.
    Memperbesar daya natural(PN) Untuk memperbesar daya natural dpt dilakukan dengan cara : 1. Tegangan (kV) dinaikkan 2. Zo diturunkan, dengan cara : C L Zo = L : diturunkan dengan cara pemasangan kapasitor seri C : dinaikkan dengan cara pemasangan kapasitor shunt Pemilihan tegangan kerja, dapat dilakukan dengan 2 cara : 1. Berdasarkan Daya Natural 2. berdasarkan rumus empiris 5,2 )(5,2 2 2 N o N P kVataukWkV Z kV P === 100 5,5 makskW lkV += l = panjang saluran dlm mile, ditentukan l = 100 mile
  • 159.
    Rangkaian ekivalen Untuk salurantransmisi panjang, menjadi kurang teliti apabila memodelkan admitansi shunt dengan dua capacitor disetiap ujung saluran. Akan Lebih tepat dan teliti apabila baik kapasitansi shunt dan impedansi seri dinyatakan dalam besaran yang terdistribusi sepanjang saluran. Tegangan dan arus di saluran dihitung melalui persamaan deferensial dari saluran. Namun sebenarnya kita tetap bisa memodelkan saluran transmisi panjang sebagai model nominal π , yaitu dengan impedansi seri yang dimodifikasi Z’ dan admitansi shunt yang dimodifikasi Y’ . Selanjutnya melakukan perhitungan tegangan dan arusshunt yang dimodifikasi Y’ . Selanjutnya melakukan perhitungan tegangan dan arus menggunakan model konstanta ABCD . Nilai impedansi seri dan admitansi shunt yg dimodifikasi adalah sbb: 2/ )2/tanh( ' sinh ' d d YY d d ZZ γ γ γ γ = =
  • 160.
  • 161.
    Disini Z adalahimpedansi seri saluran; Y adalah admitansi shunt saluran; d adalah panjang saluran; γ adalah konstanta propagasi saluran: Dimana y adalah admitansi shunt per kilometer dan z adalah impedansi seri per km. Apabila γd semakin kecil, maka ekspresi ratio pada Z’ dan Y’ mendekati 1.0 dan model tersebut menjadi model saluran transmisi menengah. Konstanta ABCD untuk saluran Rangkaian ekivalen yz=γ tersebut menjadi model saluran transmisi menengah. Konstanta ABCD untuk saluran transmisi panjang adalah 1 2 '' 1 4 '' ' 1 2 '' +=       += = += YZ D YZ YC ZB YZ A
  • 162.
    Contoh soal 1. Suatusaluran transmisi 3-fasa , tunggal, 300 km, 220 kV. Konstanta saluran transmisi adalah Z = 0 + j 0,48 Ohm/km ; X’ = 0,30 Mega Ohm/km Tentukan : (a) Impedansi karakteristik; (b) konstanta propagasi; (c) Daya Natural ; (d ) panjang elektrik saluran Jawaban : X = 0,48 Ohm/km dan X’ = 0,3 x 106 Ohm-km Z OhmxXX Y Z Zo 380)103,0)(48,0('. 6 ==== kmradianxj xjjZYj /10265,10 10333,3)(48,0( 3 6 − − += ==+= γ βαγ MW Z kV P o N 4,127 380 22022 === oo xl 8,21)3,57)(300)(10265.1(. 3 === − βθ
  • 163.
    Contoh soal 2. Suatusaluran transmisi 3-fasa , tunggal, 200 km, 220 kV. Konstanta saluran transmisi adalah Z = 0,64 ∟71,8o Ohm/km ; Y = 4,0 x 10-6 ∟90o Mho/km Tentukan : (a) Impedansi karakteristik; (b) impedansi surja; (c) konstanta propagasi; (d) Daya Natural ; (e ) konstanta panjang gelombang; (f) panjang elektrik saluran Jawaban : Z o o 8,7164,0 −∠= ∠ == Ohm xY Z Z o oc 1,9400 90104 8,7164,0 6 −∠= ∠ ∠ == − 33 6 10)580,1253,0(9,80106,1 90104)(8,7164,0( −− − +=∠= ∠∠==+= xjx xZYj o oo γ βαγ Ohm xY jX C L Zo 390 104 608,0 6 ==== − kmradianx /1058,1 3− =β
  • 164.
    oo xl 1,18)3,57)(200)(1058,1(. 3 ===− βθ MW Z kV P o N 1,124 390 22022 ===
  • 165.
    Tugas – 4(latihan soal) 1. Suatu saluran transmisi 3-fasa , 300 km, 138 kV. Konstanta saluran transmisi adalah Z = 0,105 + j 0,500 Ohm/km ; X’ = 0,3065 MegaOhm-km, tentukan : (a). Impedansi karakteristik (b). Impedansi surja. (c). Konstanta propagasi (d) Daya natural (e) Konstanta panjang gelombang (f) Panjang elektrik saluran 2. Suatu saluran transmisi 3-fasa , 400 km, 275 kV, Z = 300 ∟75o dan Y = 0,0025 ∟90o S., Tentukan : (a). Impedansi karakteristik (b). Impedansi surja. (c). Konstanta propagasi (d) Daya natural (e) Konstanta panjang gelombang (f) Panjang elektrik saluran
  • 166.
    TRANSMISI DAYA LISTRIK TatapMuka 6 : Diagram Lingkaran saluran Transmisi
  • 167.
    Dalam sistem tenagalistrik, khususnya transmisi daya, sering dinyatakan dalam konstanta2 umum saluran. Saluran transmisi selalu dapat dinyatakan dalam suatu kotak dengan dua terminal masuk dan kaluar, yang disebut sebagai kutub empat. Suatu rangkaian lisgtrik dapat dinyatakan dalam suatu rangkaian kutub empat apabila tidak ada sumber tegangan internal (bersifat pasif), impedansinya tidak tergantung dari arus (bersifat linier) dan impedansinya tetap dilihat dari sisi mana saja, tidak tergantung arah arus. Saluran transmisi memenuhi persyaratan ini. Rangkaian kutub empat Relasi tegangan dan arus : RRS RRS DIVCI BIVAV += += Dan : SSR SSR AICVI BIDVV +−= −= (1) (2)
  • 168.
    Rangkaian kutub empat Salurantransmisi sebagai rangkaian kutub empat Saluran Pendek RS RRS II ZIVV += += 0 Persamaan tegangan dan arus Sehingga konstanta umum : A = 1 ; B = Z ; C = 0 ; D = 1
  • 169.
    Rangkaian kutub empat Salurantransmisi sebagai rangkaian kutub empat Saluran Menengah Rangkaian ekivalen Nominal T Persamaan tegangan dan arusPersamaan tegangan dan arus Sehingga konstanta umum : RRS I YZ ZV ZY V       ++      += 42 1 2 RRS I ZY YVI       ++= 2 1 ADYC YZ ZB ZY A ==+=+= ;; 4 ; 2 1 2
  • 170.
    Rangkaian kutub empat Salurantransmisi sebagai rangkaian kutub empat Saluran Menengah Rangkaian ekivalen Nominal PHI Persamaan tegangan dan arus Sehingga konstanta umum : RRS I ZY YVI       ++= 2 1 4 ;; 2 1 2 ZY YCZB ZY DA +==+== RRS ZIV ZY V +      += 2 1
  • 171.
    Rangkaian kutub empat Salurantransmisi sebagai rangkaian kutub empat Saluran Panjang Rangkaian ekivalen Nominal PHI Persamaan tegangan dan arus Sehingga konstanta umum saluran : c c Z l ClZBlDA γ γγ sinh ;sinh;cosh ==== RcRS IlZVlV )sinh()(cosh γγ += RR c S IlV Z l I )(cosh) sinh ( γ γ +=
  • 172.
    • Dalam sistemtenaga listrik, khususnya dalam saluran transmisi, tegangan, arus dan daya selalu berubah-ubah dari saat ke saat. Seperti telah dilihat bahwa dalam perhitungan yang menyangkut tegangan, arus dan daya sangat panjang dan memakan waktu. Oleh karena itu untuk menghemat waktu sangat menolong bila pemecahan dilakukan secara grafik dengan pertolongan diagram lingkaran. • Diagram lingkaran juga sangat menolong dalam perencanaan dan dalam bidang operasi. Disamping itu dengan pertolongan diagram lingkaran dapat diterangkan hasil yang diperoleh • Dalam teknik tenaga listrik dikenal berbagai diagram lingkaran, salah satunya adalah Diagram lingkaran • Dalam teknik tenaga listrik dikenal berbagai diagram lingkaran, salah satunya adalah diagram lingkaran daya saluran transmisi. DIAGRAM LINGKARAN DAYA Daya merupakan bilangan kompleks dan didefinisikan sebagai berikut: dengan pengertian: + Q = daya reaktif induktif; - Q = daya reaktif kapasitif jQPIVS +== ˆ
  • 173.
    Persamaan tegangan danarus : Daya pada ujung beban: Atau Diagram lingkaran RRRRR jQPIVS +== ˆ R S RR S RRRS V B A B V IdanV B A B V IatauBIVAV ˆ ˆ ˆ ˆ ˆ ˆ −=−=+= VV V A S RS ˆˆ 2 +−= Daya pada ujung kirim: Maka : B VV V B A S RS RR ˆ ˆ ˆ ˆ 2 +−= SSSSSS R SSSR jQPIVSdanV B D B V IatauBIDVV +==+−=−= ˆ B VV V B D S RS SS ˆ ˆ ˆ ˆ 2 −=
  • 174.
    Diagram lingkaran dayapada ujung beban : Misalkan : Maka persamaan Daya pada ujung beban menjadi : Diagram lingkaran oRS RR VV V A S δ−∠+−= ˆˆ ˆ 2 o SS o SS o RR VVatauVVdanVV δδ −∠=∠=∠= ˆ0 Pusat lingkaran : Radius lingkaran : RR B V B S δ−∠+−= ˆˆ 2 ˆ ˆ RR V B A H −= B VV R RS R =
  • 175.
    Diagram lingkaran dayapada ujung beban : Bila : Diagram lingkaran )()( 2 δβαβ −∠+−∠−= B VV V B A S RS RR ∆∠=∠=∠= DDdanBBdanAA βα Koordinat pusat lingkaran : a. Horizontal : b. Vertikal : c. Radius : AmpVolt B VV RS −= WattV B A R )cos( 2 αβ −−= VarV B A R )sin( 2 αβ −−=
  • 176.
  • 177.
    Diagram lingkaran dayapada ujung kirim : Misalkan : Maka persamaan Daya pada ujung beban menjadi : Diagram lingkaran o RR o RR o SS VVatauVVdanVV δδ ∠=−∠=∠= ˆ0 )()( 2 δββ +∠−∆−∠= B VV V B D S RS SS Koordinat pusat lingkaran : a. Horizontal : b. Vertikal : c. Radius : BB WattV B D S )cos( 2 ∆−= β VarV B D S )sin( 2 ∆−= β AmpVolt B VV RS −=
  • 178.
    Diagram lingkaran dayapada ujung kirim
  • 179.
    Aliran daya padasaluran transmisi : Diagram lingkaran Suatu saluran transmisi dengan konstanta umum ABCD : Daya pada ujung beban : RRRRR jQPIVS +== ˆ )()( 2 αβδβ −∠−−∠= R RS R V B A B VV S
  • 180.
    MWV B A B VV P R RS R )cos()cos( 2 αβδβ−−−= Bila VS dan VR tegangan jala-jala dalam kV, maka daya tiga fasa adalah : MVARV B A B VV Q R RS R )sin()sin( 2 αβδβ −−−= Daya PR maksimum terjadi bila β = δ, jadi daya maksimum pada ujung beban :Daya PR maksimum terjadi bila β = δ, jadi daya maksimum pada ujung beban : MWV B A B VV P R RS maksR )cos( 2 )( αβ −−= Dan pada saat ini daya reaktifnya adalah : MVARV B A Q RR )sin( 2 αβ −−=
  • 181.
    Jadi supaya diperolehdaya maksimum, maka beban harus dengan faktor daya negatif (leading). Titik untuk PR(max), sudah digambarkan pada diagram lingkaran pada ujung beban. Pada rangkaian ekivalen PHI, nilai B = Z∟θ dan bila saluran pendek A = 1 dan sudut α = 0 MW Z V Z VV P RRS maksR )cos( 2 )( θ−= VVV 2 MWRx Z V Z VV P RRS maksR 2 2 )( −= Untuk SUTT, nilai R biasanya jauh lebih kecil dari pada reaktansi X, sehingga : o R X 90arctan ==θ MW X VV P RS maksR δsin)( = MVAR X V X VV Q RRS R 2 cos −= δ
  • 182.
    Umumnya nilai δadalah kecil, maka : sinδ ≈ δ dan cos δ = 1 Sehingga : MW X VV P RS maksR δ=)( [ ] V X V VV X V X V X VV Q R RS RRRS R ∆=−=−= . 2
  • 183.
    Contoh soal 1. Suatusaluran transmisi fasa tiga 60 Hertz, panjang 100 km. Impedansi seri 0,2+j0,667 ohm/km, dan admintansi shunt 4,42x10-6 mho/km , tegangan pada ujung beban 220 kV(L – L), dan beban 40 MW pada faktor daya 0,9 terbelakang. Dengan menggunakan representasi nominal PI tentukanlah: a. Tegangan dan arus pada ujung kirim; b. Faktor daya dan daya pada ujung kirim; c. rugi transmisi dan efisiensi transmisi; d. Pengaturan tegangan; e. Konstanta umum ABCD; f. Titik pusat dan radius dari diagram lingkaran daya ujung beban.f. Titik pusat dan radius dari diagram lingkaran daya ujung beban. Solusi: a. Tegangan dan arus pada ujung kirim. Z = 0,2 + j 0,667 ohm/km = 20 + j66,7 Ohm untuk 100 km = 69,6 ∟73,3o Y = j 4,42 x 10-6 mho/km = j 4,42 x 10-4 mho untuk 100 km VR = 220 kV(L – L) = 127 kV (L-N) PR = 40 MV, pf = 0,9 tebelakang Amp xx I o R 8,256,116 9,02203 000.40 −∠==
  • 184.
    RRS ZIV ZY V +      += 2 1 RRSI ZY YV ZY I       ++      += 2 1 4 1
  • 185.
    b. Faktor dayadan daya pada ujung kirim. θS = 2,9o - 3,15o = -0,25o Jadi faktor daya: cos(-0,25o) = 1,0 c. Rugi-rugi transmisi dan efisiensi transmisi. - Rugi-rugi transmisi = 40,55 – 40 = 0,55 MW MW xxx PS 55,40 000.1 0,15,1032,2263 == - Rugi-rugi transmisi = 40,55 – 40 = 0,55 MW - Efisiensi = 40/40,55 x 100% = 98,6% d. Pengaturan tegangan. )(127;%100% )( )( )()( NLkVVx V VV V FLR FLR FLRNLR R −= − = %35,4%100 127 12753,132 (%);)(53,132 9853,0 58,130 2 1 )( = − =−== + = xVRNLkV ZY V V S NLR
  • 186.
    d. Konstanta umumABCD. e. Tentukanlah titik pusat dan radius dari diagram lingkaran daya ujung beban. Persamaan diagram lingkaran daya pada ujung beban : oo jZBj ZY A 3,737,696,6620;09853,00044,09853,0 2 1 ∠=+==∠=+=+= ADOhmxY ZY C o =∠=+= − ;901038,4) 4 1( 4 Dimana : |A| = 0,9853 ; |B| = 69,7 Ohm ; |C| = 4,38 x 10-4 Mho ; α = 0o ; |VR| = 220 kV(L-L) ; β = 73,3o ; |VS| = 226,2 kV (L-L) Jadi : )()( 2 αβαβ −∠+−∠−= B VV V B A S RS RR MVA x xS o o R δ δ −∠+∠−= −∠+∠−= 3,730,7143,732,684 )3,73( 7,69 2,226220 3,73220 7,69 9853,0 2
  • 187.
    f. Titik pusatlingkaran: Horisontal = -684,2 cos 73,3o = - 196,6 MW Vertikal = -684,2 sin 73,3o = -655,3 MVAR Radius lingkaran = 714 MVA
  • 188.
    Tugas – 5(latihan soal) Suatu saluran transmisi fasa tiga 150 kV, 50 Hertz, panjang 110 km. Z = 0,2+j0,7 ohm/km, dan Y = j 4,0x10-4 mho/km , tegangan pada ujung beban 150 kV(L – L), dan beban 60 MW pada faktor daya 0,9 terbelakang. Dengan menggunakan representasi nominal PI tentukanlah: a. Tegangan dan arus pada ujung kirim; b. Faktor daya dan daya pada ujung kirim;b. Faktor daya dan daya pada ujung kirim; c. rugi transmisi dan efisiensi transmisi; d. Pengaturan tegangan; e. Konstanta umum ABCD; f. Titik pusat dan radius dari diagram lingkaran daya ujung beban.