Rangkaian AC Pararel dan Seri
Simon Patabang, ST., MT.
Universitas Atma Jaya Makassar
• Setiap impedansi Z yang diparalelkan dalam
rangkaian ac mempunyai beda tegangan yg sama,
baik besar, arah maupun fasenya.
1. Rangkaian Paralel
• Berdasarkan hukum Kirchof diperoleh besarnya arus
It adalah It = i1 + i2 + i3
• Berdasarkan hukum Ohm, diperoleh persamaan
sebagai berikut It = Vt/ Zt
• Besarnya total impedansi diperoleh dengan
persamaan :
• Untuk dua impedansi yang dihubungkan paralel,
persamaan menjadi :
tV
1. Sebuah Resistor dengan resistansi 8 Ohm dihubung
seri dengan induktansi 0,0191 H kemudian diparalel
dengan kapasitor 398 mF dan resistansi 6 Ohm yang
dihubung seri. Rangkaian disuplay dengan tega-
ngan 200 V, 50 Hz.
Hitunglah:
a. Arus masing-masing cabang.
b. Arus total
c. Sudut fase antara arus dan tegangan
d. Daya masing-masing cabang
Contoh :
Penyelesaian :
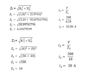
Diketahui : Vm = 200 V, f = 50 HZ, R1=1,8 Ohm, L = 0,019 H,
R2= 6 Ohm, dan C = 398 mF
a. i1= V/Z1 dan i2 = V/Z2
XL = ωL dan Xc = 1/ωC
XL = 2πf.L = 2π. 50. 0,019 = 5,9714 Ω
XC = 1/(2πf.C) = 1/ (2π. 50.398. 10⁻³) = 8 mΩ
b. Arus total It = ?
It = i1 + i2
It = 32,05 + 20 = 52,05 A
c. Sudut fase antara arus dan tegangan
Cos θ1 = R1/Z1
Cos θ1 = 1,8/6,24
Cos θ1 = 0,288462
θ1 = 73,2°
Cos θ2 = R2/Z2
Cos θ2 = 6/10
Cos θ2 = 0,6
θ2 = 53,1°
Z1 dan Z2 paralel maka Z = Z1. Z2 / (Z1 + Z2)



1,53102,7326,6
1,53102,7326,6 x
Zt
1,53sin101,53cos102,73sin26,62,73cos26,6
3,1266,62
jj
Zt



14807,7
3,1266,62
j
Zt






88,33023,16
3,1266,62
Zt
 42,92907,3Zt
Sudut fase antara arus dan tegangan adalah 92,42°,
bertanda negatip berarti arus terlambat terhadap
tegangan.
 1,53102dan2,7326,61 ZZ
 It = V/Zt  42,9219,51it

1. Daya Nyata : P = Vef.Ief. Cos θ
P1 = ½.V.I1 . Cos θ1
P1 = ½.200. 32,05 . 0,288462
P1 = 924,5 Watt
P2 = ½.V. I2 . Cos θ2
P2 = ½. 200. 20 . 0,6
P2 = 1,200 Watt
d. Daya tiap cabang
P (KW) = S (KVA) cos θ
Q (KVAR) = S (KVA) sin θ
S² = P² + Q²
2. Daya Reaktif : Q = ½.V.I. sin θ
sin θ1 = XL/Z1
Sin θ1 = 5,9714/6,24
Sin θ1 = 0,956955
Q1 = ½.V.I1 . Sin θ1
Q1 = ½. 200. 32,05 . 0,956955
Q1 = 3.067 VAR
Sin θ2 = XC/Z2
Sin θ2 = 0,008/10
Sin θ2 = 0,0008
Q2 = ½. V. I2 . SIn θ2
Q2 = ½. 200. 20 . 0,008
Q2 = 1,6 VAR
3. Daya Semu : S² = P² + Q²
P1 = 924,5 Watt , Q1 = 3.067 VAR
S1² = P1² + Q1²  S1² = (924,5) ² + (3.067)²
S1 = 3.203,309 VA
P2 = 1,200 Watt , Q2 = 1,6 VAR
S2² = P2² + Q2²  S2² = (1,200) ² + (1,6)²
S2 = 1200,001 VA
Rumus pembagi arus :
• Besarnya I1 dan I2 :
Contoh :
Tentukanlah arus pada tiap cabang rangkaian dengan rumus
pembagi arus
Penyelesaian :
Besarnya arus I1 adalah :
• Arus I2 pada cabang 2 :
Admitansi dan Suseptansi
• Kebalikan dari impedansi (Z) disebut admitansi
dengan simbol Y dengan persamaan Y = 1/Z.
• Admitansi dinyatakan dalam satuan mho (kebalikan
dari ohm).
• Persamaan admitansi untuk rangkaian pararel
didefinisikan sbb : Yt = Y1 + Y2 + Y3 + .... Yn
• Impedansi terdiri dari 2 komponen yaitu resistansi
dan Reaktansi dengan persamaan Z = R + jX
sedangkan Admitansi terdiri dari suseptansi G dan
konduktansi B dengan persamaan Y = G + jB.
• Komponen real disebut konduktansi dengan simbol G
dan komponen imajiner disebut Suseptansi dengan
simbol B.
• Rangkaian paralel dengan Admitansi digambarkan
sebagai berikut :
Admitansi untuk tiap elemen impedansi didefinisikan
sebagai berikut :
1. Admitansi Resistor
2. Admitansi Induktor
3. Admitansi Kapasitor
Besarnya arus pada tiap impedansi yang paralel.
Arus sumber Is adalah :
Contoh :
Tentukanlah impedansi dan
admintansi dari rangkaian berikut :
Penyelesaian :
Tentukanlah impedansi dan
admintansi dari tiap cabang
lebih dahulu.
• Cabang 1 terdiri dari R1 dan L1
• Cabang 2 terdiri dari R2 dan L2
• Cabang 3 terdiri dari R3 dan C
Ketiga cabang terhubung paralel maka :
Yt = Y1 + Y2 + Y3
Contoh :
Untuk rangkaian paralel R-C pada Gambar 7. tentukanlah
a. Admitansi total dan impedansi
b. Arus pada setiap cabang
c. Nyatakan tegangan sumber dan arus pada masing-
masing cabang sebagai fungsi waktu
Penyelesaian :
Total admitansi dan impedansi :
Impedansi total adalah :
b. Arus pada tiap admitansi
c. Tegangan sumber dan arus sebagai fungsi waktu
Rangkaian Seri
Rangkaian seri digambarkan sebagai berikut :
Impesandi total Zt = Z1 + Z2 + Z3 + … Zn
Dan arus sumber adalah :
• Tegangan pada setiap impendansi
Dimana setiap tegangan Vn adalah :
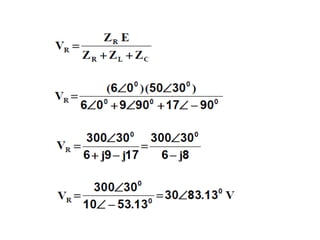
• Rumus pembagi tegangan :
dimana :
Zt = impedansi total
Vx = tegangan yang dicari
E = tegangan sumber rangkaian ac
2. Tentukanlah tegangan VR , VL, VC dan V1 pada
rangkaian berikut.
Penyelesaian :
Dengan rumus pembagi tegangan, maka tegangan tiap
komponen dihitung sbb :
Sekian

rangkaian ac seri dan pararel

  • 1.
    Rangkaian AC Parareldan Seri Simon Patabang, ST., MT. Universitas Atma Jaya Makassar
  • 2.
    • Setiap impedansiZ yang diparalelkan dalam rangkaian ac mempunyai beda tegangan yg sama, baik besar, arah maupun fasenya. 1. Rangkaian Paralel
  • 3.
    • Berdasarkan hukumKirchof diperoleh besarnya arus It adalah It = i1 + i2 + i3 • Berdasarkan hukum Ohm, diperoleh persamaan sebagai berikut It = Vt/ Zt • Besarnya total impedansi diperoleh dengan persamaan : • Untuk dua impedansi yang dihubungkan paralel, persamaan menjadi : tV
  • 4.
    1. Sebuah Resistordengan resistansi 8 Ohm dihubung seri dengan induktansi 0,0191 H kemudian diparalel dengan kapasitor 398 mF dan resistansi 6 Ohm yang dihubung seri. Rangkaian disuplay dengan tega- ngan 200 V, 50 Hz. Hitunglah: a. Arus masing-masing cabang. b. Arus total c. Sudut fase antara arus dan tegangan d. Daya masing-masing cabang Contoh :
  • 5.
    Penyelesaian : Diketahui :Vm = 200 V, f = 50 HZ, R1=1,8 Ohm, L = 0,019 H, R2= 6 Ohm, dan C = 398 mF a. i1= V/Z1 dan i2 = V/Z2 XL = ωL dan Xc = 1/ωC XL = 2πf.L = 2π. 50. 0,019 = 5,9714 Ω XC = 1/(2πf.C) = 1/ (2π. 50.398. 10⁻³) = 8 mΩ
  • 7.
    b. Arus totalIt = ? It = i1 + i2 It = 32,05 + 20 = 52,05 A c. Sudut fase antara arus dan tegangan Cos θ1 = R1/Z1 Cos θ1 = 1,8/6,24 Cos θ1 = 0,288462 θ1 = 73,2° Cos θ2 = R2/Z2 Cos θ2 = 6/10 Cos θ2 = 0,6 θ2 = 53,1° Z1 dan Z2 paralel maka Z = Z1. Z2 / (Z1 + Z2)
  • 8.
       1,53102,7326,6 1,53102,7326,6 x Zt 1,53sin101,53cos102,73sin26,62,73cos26,6 3,1266,62 jj Zt    14807,7 3,1266,62 j Zt       88,33023,16 3,1266,62 Zt  42,92907,3Zt Sudutfase antara arus dan tegangan adalah 92,42°, bertanda negatip berarti arus terlambat terhadap tegangan.  1,53102dan2,7326,61 ZZ  It = V/Zt  42,9219,51it 
  • 9.
    1. Daya Nyata: P = Vef.Ief. Cos θ P1 = ½.V.I1 . Cos θ1 P1 = ½.200. 32,05 . 0,288462 P1 = 924,5 Watt P2 = ½.V. I2 . Cos θ2 P2 = ½. 200. 20 . 0,6 P2 = 1,200 Watt d. Daya tiap cabang P (KW) = S (KVA) cos θ Q (KVAR) = S (KVA) sin θ S² = P² + Q²
  • 10.
    2. Daya Reaktif: Q = ½.V.I. sin θ sin θ1 = XL/Z1 Sin θ1 = 5,9714/6,24 Sin θ1 = 0,956955 Q1 = ½.V.I1 . Sin θ1 Q1 = ½. 200. 32,05 . 0,956955 Q1 = 3.067 VAR Sin θ2 = XC/Z2 Sin θ2 = 0,008/10 Sin θ2 = 0,0008 Q2 = ½. V. I2 . SIn θ2 Q2 = ½. 200. 20 . 0,008 Q2 = 1,6 VAR
  • 11.
    3. Daya Semu: S² = P² + Q² P1 = 924,5 Watt , Q1 = 3.067 VAR S1² = P1² + Q1²  S1² = (924,5) ² + (3.067)² S1 = 3.203,309 VA P2 = 1,200 Watt , Q2 = 1,6 VAR S2² = P2² + Q2²  S2² = (1,200) ² + (1,6)² S2 = 1200,001 VA
  • 12.
    Rumus pembagi arus: • Besarnya I1 dan I2 :
  • 13.
    Contoh : Tentukanlah aruspada tiap cabang rangkaian dengan rumus pembagi arus Penyelesaian : Besarnya arus I1 adalah :
  • 14.
    • Arus I2pada cabang 2 :
  • 15.
    Admitansi dan Suseptansi •Kebalikan dari impedansi (Z) disebut admitansi dengan simbol Y dengan persamaan Y = 1/Z. • Admitansi dinyatakan dalam satuan mho (kebalikan dari ohm). • Persamaan admitansi untuk rangkaian pararel didefinisikan sbb : Yt = Y1 + Y2 + Y3 + .... Yn • Impedansi terdiri dari 2 komponen yaitu resistansi dan Reaktansi dengan persamaan Z = R + jX sedangkan Admitansi terdiri dari suseptansi G dan konduktansi B dengan persamaan Y = G + jB.
  • 16.
    • Komponen realdisebut konduktansi dengan simbol G dan komponen imajiner disebut Suseptansi dengan simbol B.
  • 17.
    • Rangkaian paraleldengan Admitansi digambarkan sebagai berikut :
  • 18.
    Admitansi untuk tiapelemen impedansi didefinisikan sebagai berikut : 1. Admitansi Resistor 2. Admitansi Induktor 3. Admitansi Kapasitor
  • 19.
    Besarnya arus padatiap impedansi yang paralel. Arus sumber Is adalah : Contoh : Tentukanlah impedansi dan admintansi dari rangkaian berikut : Penyelesaian : Tentukanlah impedansi dan admintansi dari tiap cabang lebih dahulu.
  • 20.
    • Cabang 1terdiri dari R1 dan L1 • Cabang 2 terdiri dari R2 dan L2 • Cabang 3 terdiri dari R3 dan C Ketiga cabang terhubung paralel maka : Yt = Y1 + Y2 + Y3
  • 21.
    Contoh : Untuk rangkaianparalel R-C pada Gambar 7. tentukanlah a. Admitansi total dan impedansi b. Arus pada setiap cabang c. Nyatakan tegangan sumber dan arus pada masing- masing cabang sebagai fungsi waktu
  • 22.
  • 23.
    Impedansi total adalah: b. Arus pada tiap admitansi c. Tegangan sumber dan arus sebagai fungsi waktu
  • 24.
    Rangkaian Seri Rangkaian seridigambarkan sebagai berikut : Impesandi total Zt = Z1 + Z2 + Z3 + … Zn Dan arus sumber adalah :
  • 25.
    • Tegangan padasetiap impendansi Dimana setiap tegangan Vn adalah : • Rumus pembagi tegangan : dimana : Zt = impedansi total Vx = tegangan yang dicari E = tegangan sumber rangkaian ac
  • 26.
    2. Tentukanlah teganganVR , VL, VC dan V1 pada rangkaian berikut. Penyelesaian : Dengan rumus pembagi tegangan, maka tegangan tiap komponen dihitung sbb :
  • 29.