OSN Fisika
Bedah soal
2005(kab/kota)
56 http://ibnu2003.blogspot.com
1. Pembahasan
Rotasi koordinat T( π‘Ž, 𝑏) menjadi T’( π‘Žβ€², 𝑏′) dengan melihat
diagram vektor adalah :
π‘Žβ€²
= π‘Ž π‘₯ + 𝑏 𝑦 = π‘Žπ‘π‘œπ‘ πœƒ + π‘π‘ π‘–π‘›πœƒ
π‘Žβ€²
= βˆ’π‘Ž 𝑦 + 𝑏π‘₯ = βˆ’π‘Žπ‘ π‘–π‘›πœƒ + π‘π‘π‘œπ‘ πœƒ
2. Pembahasan
kecepatan benda dapat bertambah, walaupun percepatannya
berkurang. Percepatan merupakan perubahan kecepatan setiap
selang waktu tertentu.
Anggap benda mula-mula diam. Misalkan sebuah bernda
bergerak dengan percepatannya berkurang tiap selang waktu
tertentu, maka walaupun mengalami pengurangan percepatan,
tetapi kecepatan benda tetap bertambah. selama percepatan
benda bertanda positif maka nilai kecepatannya selalu
bertambah.
π‘Œ
𝑋′
π‘Œβ€²
𝑇
𝑏
πœƒ
π‘Ž
π‘‹πœƒ
𝑏′
π‘Žβ€²
π‘Ž
𝑏
𝑏 π‘₯
𝑏 𝑦
π‘Ž π‘₯
π‘Ž 𝑦
𝑑(𝑠)
π‘Ž(π‘šπ‘ βˆ’2
)
𝑑(𝑠)
𝑣(π‘šπ‘ βˆ’1
)
OSN Fisika
Bedah soal
2005(kab/kota)
57 http://ibnu2003.blogspot.com
3. Pembahasan
bidan datar yang kasar memiliki
a. koefisien gesek statis ( πœ‡ 𝑠) yang besarnya (0 ≀ πœ‡ 𝑠 ≀ 1)
b. koefisien gesek kinetik ( πœ‡ π‘˜) nilainya (0 ≀ πœ‡ π‘˜ ≀ 1)
c. secara umum bahwa ( πœ‡ π‘˜ < πœ‡ 𝑠)
persyaratan benda bergerak bila :
𝐹 > πœ‡ π‘˜ 𝑁 β‡Œ 𝐹 > πœ‡ π‘˜ π‘šπ‘”
untuk gaya lebih kecil dari berat benda ( 𝐹 < 𝑀), gaya F
berkemungkinan mengasilkan percepatandengan nilai koefisien
gesek antara massa dan bidang kasar memenuhi ( 𝐹 > πœ‡ π‘˜ π‘šπ‘”)
4. Pembahasan
π‘šπ‘œπ‘šπ‘’π‘› π‘ π‘–π‘™π‘–π‘›π‘‘π‘’π‘Ÿ, 𝐼 = π‘šπ‘Ÿ2
/2
π‘˜π‘’π‘π‘’π‘π‘Žπ‘‘π‘Žπ‘› π‘ π‘–π‘™π‘–π‘›π‘‘π‘’π‘Ÿ π‘šπ‘’π‘›π‘”π‘”π‘’π‘™π‘–π‘›π‘‘π‘–π‘›π‘” = 𝑣1
π‘˜π‘’π‘π‘’π‘π‘Žπ‘‘π‘Žπ‘› π‘ π‘–π‘™π‘–π‘›π‘‘π‘’π‘Ÿ 𝑠𝑙𝑖𝑝 = 𝑣2
a. untuk silinder menggelinding, kecepatannya ( 𝑣1), maka
hukum kekekalan enegi mekaniknya
π‘šπ‘”β„Ž =
1
2
π‘šπ‘£1
2
+
1
2
πΌπœ”1
2
kecepatan sudut silinder ( πœ”1
2
=
𝑣1
2
π‘Ÿ2
)
maka :
π‘šπ‘”β„Ž =
1
2
π‘šπ‘£1
2
+
1
2
(
π‘šπ‘Ÿ2
2
)
𝑣1
2
π‘Ÿ2
π‘”β„Ž =
3
4
𝑣1
2
∴ 𝑣1 = √
4π‘”β„Ž
3
b. untuk silinder tidak mengelinding, hanya melakukan gerak
translasi, maka kecepatan silinder ( 𝑣2) sesuai dengan hukum
kekekalan energi mekanik adalah :
π‘šπ‘”β„Ž =
1
2
π‘šπ‘£2
2
∴ 𝑣2 = √2π‘”β„Ž
OSN Fisika
Bedah soal
2005(kab/kota)
58 http://ibnu2003.blogspot.com
c. perbandingan kedua kecepatan menjadi :
∴
𝑣1
𝑣2
=
√4π‘”β„Ž
3
√2π‘”β„Ž
= √
2
3
5. Pembahasan
Asumsikan pasir ditimbang di permukaan bumi
a. massa total jam pasir dengan pasirnya adalah m dan
dipengaruhi perceptapan gravitasi sebesar g, maka berat
totalnya menjadi ( 𝑀 = π‘šπ‘”).
b. berat jam pasir dan tabungnya bergantung pada percepatan
gravitasi bumi. jika percepatan gravitasi bumi homogen atau
sama maka berat jam pasir dan pasirnya bersifat tetap.
c. jika percepatan gravitasi tidak homogen, maka percepatan
gravitasi berbanding terbalik dengan kuadrat jarak antara
massa m dan massa bumi M,
∴ 𝑔 =
πΊπ‘šπ‘€
π‘Ÿ2
d. jika pasir sudah jatuh semua maka percepatan gravitasimya
menjadi ( 𝑔′) yang dialami m akan lebih besar karena jarak
antara pusat massa m dan M semakin kecil sehingga nilai
( 𝑔′) semakin besar dan berat sistem jam pasir akan berubah
bertambah berat jika percepatan gravitasinya tidak homogen.
Timbangan
pada t = 1 jam
Timbangan
pada t = 0 jam
Timbangan
pada t = 0,001 jam
OSN Fisika
Bedah soal
2005(kab/kota)
59 http://ibnu2003.blogspot.com
6. Pembahasan
perubahan maksimum panjang pegas x terjadi saat kecepatan
sesaat kedua benda sama ( 𝑣)
a. hukum kekekalan momentum linier
π‘š1 𝑣1 + π‘š2 𝑣2 = ( π‘š1 + π‘š2) 𝑣
𝑣 =
π‘š1 𝑣1 + π‘š2 𝑣2
π‘š1 + π‘š2
b. hukum kekekalan energi sistem adalah :
1
2
π‘š1 𝑣1
2
+
1
2
π‘š2 𝑣2
2
=
1
2
( π‘š1 + π‘š2) 𝑣2
+
1
2
π‘˜π‘₯2
π‘˜π‘₯2( π‘š1 + π‘š2) = π‘š1 π‘š2[𝑣1
2
+ 𝑣2
2
βˆ’ 2𝑣1 𝑣2]
untuk :
𝑣1
2
+ 𝑣2
2
βˆ’ 2𝑣1 𝑣2 = ( 𝑣1 βˆ’ 𝑣2)2
sehingga :
π‘˜π‘₯2( π‘š1 + π‘š2) = π‘š1 π‘š2( 𝑣1 βˆ’ 𝑣2)2
π‘₯2
=
π‘š1 π‘š2( 𝑣1 βˆ’ 𝑣2)2
π‘˜( π‘š1 + π‘š2)
∴ π‘₯ = √
π‘š1 π‘š2( 𝑣1 βˆ’ 𝑣2)2
π‘˜( π‘š1 + π‘š2)
7. Pembahasan
kemudi mobil dalam keadaan diam lebih sulit daripada mobil
dalam keadaan bergerak karena :
a. kemudi pada waktu mobil diam dibutuhkan momen gaya
yang lebih besar daripada momen gaya ketika mobil bergerak
∴ 𝜏 π‘šπ‘œπ‘π‘™.π‘‘π‘–π‘Žπ‘š > 𝜏 π‘šπ‘œπ‘π‘–π‘™.π‘π‘’π‘Ÿπ‘”π‘’π‘Ÿπ‘Žπ‘˜
b. ketika mobil bergerak koefisien gesek statisnya lebih kecil
dari keofisien gesek statis maksimumnya ketika diam,
sehingga torsi yang dibutuhkan untuk memutar lebih kecil.
∴ πœ‡ 𝑠(π‘π‘’π‘Ÿπ‘”π‘’π‘Ÿπ‘Žπ‘˜) < πœ‡ 𝑠(π‘‘π‘–π‘Žπ‘š)
c. bila mobil semakin cepat, maka akan lebih mudah memutar
kemudi mobil karena momen gaya gesek yang pekerja pada
ban semakin kecil
OSN Fisika
Bedah soal
2005(kab/kota)
60 http://ibnu2003.blogspot.com
8. Pembahasan
hukum kekekalan momentum sudut dengan meninjau titik atas
batang sebagai acuan.
π‘š1 𝑣𝑑 = (𝐼𝑏𝑑𝑔 + 𝐼 π‘π‘Žπ‘Ÿ )πœ”
dengan momen inersia batang ( 𝐼𝑏𝑑𝑔 = π‘š2 𝑑2
/3) dan momen
inersia partikel ( 𝐼𝑏𝑑𝑔 = π‘š1 𝑑2
), maka :
π‘š1 𝑣𝑑 = (
π‘š2 𝑑2
3
+ π‘š1 𝑑2
)πœ”
kecepatan benda ( π‘š1)
𝑣 = √2π‘”β„Ž
sehingga :
3π‘š1√2π‘”β„Ž = (3π‘š1 + π‘š2)π‘‘πœ”
∴ πœ” =
3π‘š1√2π‘”β„Ž
(3π‘š1 + π‘š2)𝑑
dengan titik bawah sebagai acuan, energi potensialnya sama
dengan nol. pada saat tersebut batang membentuk sudut ( πœƒ),
perpindahan pusat partikel
β„Ž1 = 𝑑(1 βˆ’ π‘π‘œπ‘ πœƒ)
perpindahan pusat massa massa batang
β„Ž2 =
𝑑(1 βˆ’ π‘π‘œπ‘ πœƒ)
2
persamaan hukum kekekalan energi sistem adalah :
π‘š1
𝑑
πœƒ
π‘š2 β„Ž
β„Ž1
β„Ž2
𝑣
OSN Fisika
Bedah soal
2005(kab/kota)
61 http://ibnu2003.blogspot.com
1
2
(𝐼𝑏𝑑𝑔 + 𝐼 π‘π‘Žπ‘Ÿ)πœ”2
= π‘š1 π‘”β„Ž1 + π‘š2 π‘”β„Ž2
6π‘š1
2
π‘”β„Ž
(3π‘š1 + π‘š2)
= 2π‘š1 π‘”β„Ž1 + 2π‘š2 π‘”β„Ž2
6π‘š1
2
β„Ž
(3π‘š1 + π‘š2)
= (2π‘š1 + π‘š2)𝑑[1βˆ’ π‘π‘œπ‘ πœƒ]
1 βˆ’ π‘π‘œπ‘ πœƒ =
6π‘š1
2
β„Ž
(3π‘š1 + π‘š2)(2π‘š1 + π‘š2)𝑑
π‘π‘œπ‘ πœƒ = 1 βˆ’
6π‘š1
2
β„Ž
(3π‘š1 + π‘š2)(2π‘š1 + π‘š2)𝑑
∴ πœƒ = π‘Žπ‘Ÿπ‘π‘π‘œπ‘  [1 βˆ’
6π‘š1
2
β„Ž
(3π‘š1 + π‘š2)(2π‘š1 + π‘š2)𝑑
]
9. Pembahasan
( 𝑣𝑓) = kecepatan jupiter
untuk mempermudah penyelesaian soal ini, harus diasumsikan
bahwa :
a. jarak antara jupiter dan planet ketika kecepatan planet ( 𝑣)
dan ( 𝑣’)sanyat jauh sehingga energi potensial dapat
diabaikan.
b. jarak antara planet dan jupiter terhadap matahari sangat
jauh,maka mata hari sebagai acuan selalu diam.
1
2
π‘šπ‘£2
+
1
2
𝑀𝑣𝑓
2
=
1
2
π‘šπ‘£β€²2
+
1
2
𝑀𝑣𝑓
β€²2
dengan ( 𝑣𝑓
β€²
) kecepatan jupiter setelah kecepatan planet
menjadi ( 𝑣’).
𝑣𝑓 𝑀
𝑣
𝑣′
OSN Fisika
Bedah soal
2005(kab/kota)
62 http://ibnu2003.blogspot.com
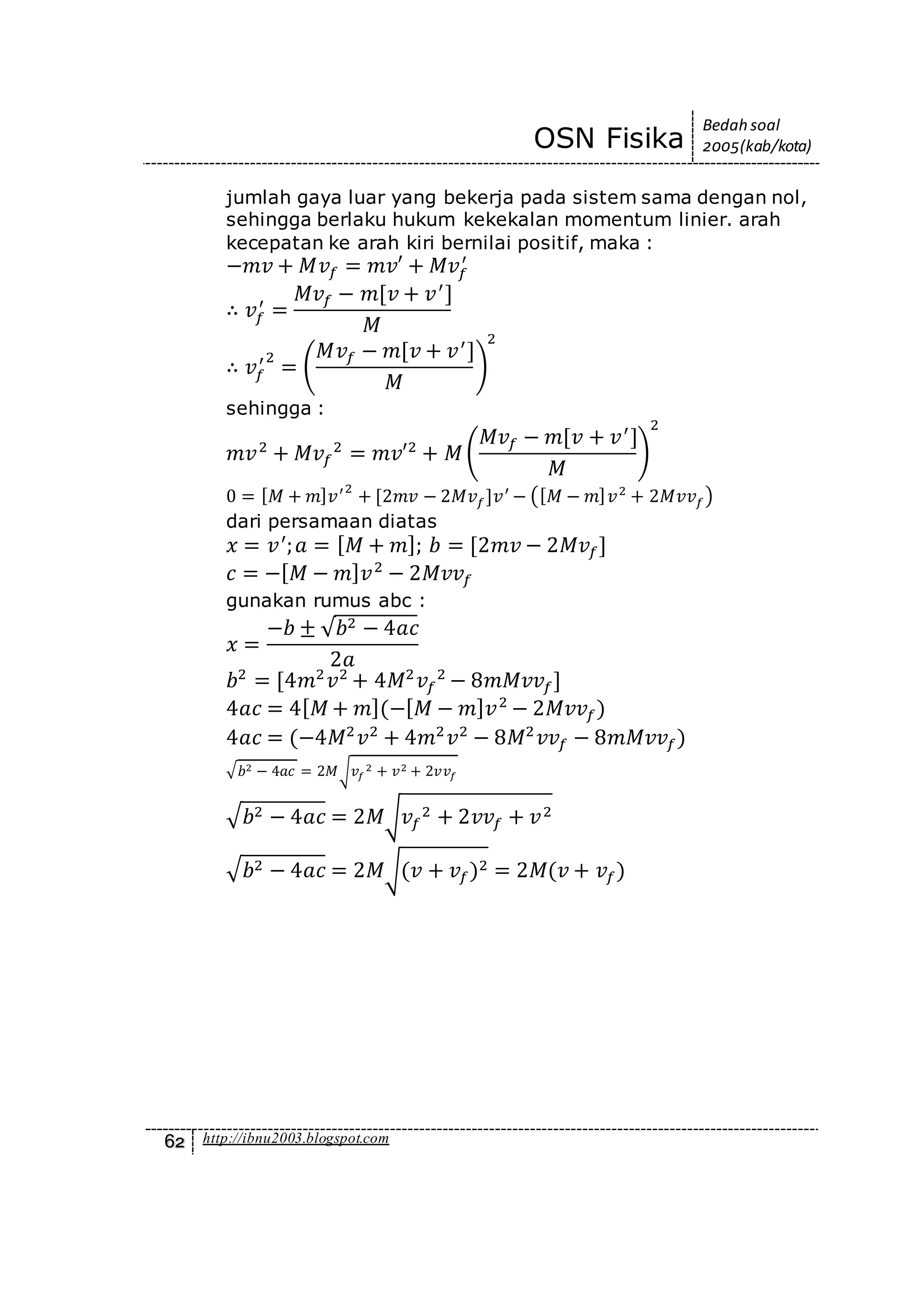
jumlah gaya luar yang bekerja pada sistem sama dengan nol,
sehingga berlaku hukum kekekalan momentum linier. arah
kecepatan ke arah kiri bernilai positif, maka :
βˆ’π‘šπ‘£ + 𝑀𝑣𝑓 = π‘šπ‘£β€² + 𝑀𝑣𝑓
β€²
∴ 𝑣𝑓
β€²
=
𝑀𝑣𝑓 βˆ’ π‘š[𝑣 + 𝑣′
]
𝑀
∴ 𝑣𝑓
β€²2
= (
𝑀𝑣𝑓 βˆ’ π‘š[𝑣 + 𝑣′
]
𝑀
)
2
sehingga :
π‘šπ‘£2
+ 𝑀𝑣𝑓
2
= π‘šπ‘£β€²2
+ 𝑀(
𝑀𝑣𝑓 βˆ’ π‘š[𝑣 + 𝑣′
]
𝑀
)
2
0 = [ 𝑀 + π‘š] 𝑣′2
+ [2π‘šπ‘£ βˆ’ 2𝑀𝑣 𝑓]𝑣′
βˆ’ ([ 𝑀 βˆ’ π‘š] 𝑣2
+ 2𝑀𝑣𝑣 𝑓)
dari persamaan diatas
π‘₯ = 𝑣′
; π‘Ž = [ 𝑀 + π‘š]; 𝑏 = [2π‘šπ‘£ βˆ’ 2𝑀𝑣𝑓]
𝑐 = βˆ’[ 𝑀 βˆ’ π‘š] 𝑣2
βˆ’ 2𝑀𝑣𝑣𝑓
gunakan rumus abc :
π‘₯ =
βˆ’π‘ Β± √ 𝑏2 βˆ’ 4π‘Žπ‘
2π‘Ž
𝑏2
= [4π‘š2
𝑣2
+ 4𝑀2
𝑣𝑓
2
βˆ’ 8π‘šπ‘€π‘£π‘£π‘“]
4π‘Žπ‘ = 4[ 𝑀 + π‘š](βˆ’[ 𝑀 βˆ’ π‘š] 𝑣2
βˆ’ 2𝑀𝑣𝑣𝑓)
4π‘Žπ‘ = (βˆ’4𝑀2
𝑣2
+ 4π‘š2
𝑣2
βˆ’ 8𝑀2
𝑣𝑣𝑓 βˆ’ 8π‘šπ‘€π‘£π‘£π‘“)
√ 𝑏2 βˆ’ 4π‘Žπ‘ = 2π‘€βˆš 𝑣𝑓
2 + 𝑣2 + 2𝑣𝑣𝑓
√ 𝑏2 βˆ’ 4π‘Žπ‘ = 2π‘€βˆš 𝑣𝑓
2 + 2𝑣𝑣𝑓 + 𝑣2
√ 𝑏2 βˆ’ 4π‘Žπ‘ = 2π‘€βˆš(𝑣 + 𝑣𝑓)2 = 2𝑀(𝑣 + 𝑣𝑓)
OSN Fisika
Bedah soal
2005(kab/kota)
63 http://ibnu2003.blogspot.com
sehingga :
𝑣′ =
βˆ’[π‘šπ‘£ βˆ’ 𝑀𝑣𝑓] Β± 𝑀(𝑣 + 𝑣𝑓)
[ 𝑀 + π‘š]
𝑣′ =
βˆ’π‘šπ‘£ + 𝑀𝑣𝑓 + 𝑀𝑣 + 𝑀𝑣𝑓
[ 𝑀 + π‘š]
tanda positif artinya pesawat memutari planet pada arah
yang berlawanan.
∴ 𝑣′ =
2𝑀𝑣𝑓 + [𝑀 βˆ’ π‘š]𝑣
[ 𝑀 + π‘š]
10. Pembahasan
a. gunakan sumbu x. Tunjukkan bahwa ketika mata pancing X;
bagian panjang tali yang bergerak ( 𝐿 βˆ’
π‘₯
2
).
Jawab :
𝐿′
= 𝐿 βˆ’
π‘₯
2
b. Asumsikan bahwa tali uniform dengan kerapatan linier
( 𝜌)(massa per panjang tali). Berapakah massa tali yang
masih bergerak ?
jawab :
massa total tali ( π‘šπ‘™π‘‡) adalah massa tali yang masih bergerak
π‘šπ‘™π‘‡ = πœŒπΏβ€²
= 𝜌 (𝐿 βˆ’
π‘₯
2
)
c. Tentukan laju bagian bawah yang bergerak dan mata
pancing, asumsikan bahwa laju awal ( 𝑣0 = 6π‘š/𝑠), panjang
tali L=20m, massa mata pancing ( π‘š 𝑓 = 0,8π‘”π‘Ÿ) dan rapat
linier ( 𝜌 = 1,3π‘”π‘Ÿπ‘šβˆ’1
)
Jawab :
massa tali ( π‘šπ‘™ = πœŒπ‘™), maka hukum kekekalan energi menjadi
1
2
π‘šπ‘™ 𝑣0
2
+
1
2
π‘š 𝑓 𝑣0
2
=
1
2
π‘šπ‘™π‘‡ 𝑣2
+
1
2
π‘š 𝑓 𝑣2
𝐿 π‘₯/2
π‘₯
𝐿′
OSN Fisika
Bedah soal
2005(kab/kota)
64 http://ibnu2003.blogspot.com
[πœŒπ‘™ + π‘š 𝑓]𝑣0
2
= [𝜌 (𝐿 βˆ’
π‘₯
2
) + π‘š 𝑓] 𝑣2
∴ 𝑣 = 𝑣0√
πœŒπ‘™ + π‘š 𝑓
𝜌(𝐿 βˆ’
π‘₯
2
) + π‘š 𝑓
masukkan nilainya
𝑣 = 6√
26,8
26,8βˆ’ 0,65π‘₯
= √
964,8
26,8βˆ’ 0,65π‘₯
d. plot kelajuan mata pancing v terhadap posisi x
π‘₯ = 0 ⇋ 𝑣 = 6π‘š/𝑠
π‘₯ = 10 ⇋ 𝑣 = 6,89 β‰ˆ 6,9π‘š/𝑠
π‘₯ = 20 ⇋ 𝑣 = 8,36 β‰ˆ 8,4π‘š/𝑠
grafik ( π‘₯ β†’ 𝑣)
10
8
6
10
20

2005 osnk fisika (tkunci)

  • 1.
    OSN Fisika Bedah soal 2005(kab/kota) 56http://ibnu2003.blogspot.com 1. Pembahasan Rotasi koordinat T( π‘Ž, 𝑏) menjadi T’( π‘Žβ€², 𝑏′) dengan melihat diagram vektor adalah : π‘Žβ€² = π‘Ž π‘₯ + 𝑏 𝑦 = π‘Žπ‘π‘œπ‘ πœƒ + π‘π‘ π‘–π‘›πœƒ π‘Žβ€² = βˆ’π‘Ž 𝑦 + 𝑏π‘₯ = βˆ’π‘Žπ‘ π‘–π‘›πœƒ + π‘π‘π‘œπ‘ πœƒ 2. Pembahasan kecepatan benda dapat bertambah, walaupun percepatannya berkurang. Percepatan merupakan perubahan kecepatan setiap selang waktu tertentu. Anggap benda mula-mula diam. Misalkan sebuah bernda bergerak dengan percepatannya berkurang tiap selang waktu tertentu, maka walaupun mengalami pengurangan percepatan, tetapi kecepatan benda tetap bertambah. selama percepatan benda bertanda positif maka nilai kecepatannya selalu bertambah. π‘Œ 𝑋′ π‘Œβ€² 𝑇 𝑏 πœƒ π‘Ž π‘‹πœƒ 𝑏′ π‘Žβ€² π‘Ž 𝑏 𝑏 π‘₯ 𝑏 𝑦 π‘Ž π‘₯ π‘Ž 𝑦 𝑑(𝑠) π‘Ž(π‘šπ‘ βˆ’2 ) 𝑑(𝑠) 𝑣(π‘šπ‘ βˆ’1 )
  • 2.
    OSN Fisika Bedah soal 2005(kab/kota) 57http://ibnu2003.blogspot.com 3. Pembahasan bidan datar yang kasar memiliki a. koefisien gesek statis ( πœ‡ 𝑠) yang besarnya (0 ≀ πœ‡ 𝑠 ≀ 1) b. koefisien gesek kinetik ( πœ‡ π‘˜) nilainya (0 ≀ πœ‡ π‘˜ ≀ 1) c. secara umum bahwa ( πœ‡ π‘˜ < πœ‡ 𝑠) persyaratan benda bergerak bila : 𝐹 > πœ‡ π‘˜ 𝑁 β‡Œ 𝐹 > πœ‡ π‘˜ π‘šπ‘” untuk gaya lebih kecil dari berat benda ( 𝐹 < 𝑀), gaya F berkemungkinan mengasilkan percepatandengan nilai koefisien gesek antara massa dan bidang kasar memenuhi ( 𝐹 > πœ‡ π‘˜ π‘šπ‘”) 4. Pembahasan π‘šπ‘œπ‘šπ‘’π‘› π‘ π‘–π‘™π‘–π‘›π‘‘π‘’π‘Ÿ, 𝐼 = π‘šπ‘Ÿ2 /2 π‘˜π‘’π‘π‘’π‘π‘Žπ‘‘π‘Žπ‘› π‘ π‘–π‘™π‘–π‘›π‘‘π‘’π‘Ÿ π‘šπ‘’π‘›π‘”π‘”π‘’π‘™π‘–π‘›π‘‘π‘–π‘›π‘” = 𝑣1 π‘˜π‘’π‘π‘’π‘π‘Žπ‘‘π‘Žπ‘› π‘ π‘–π‘™π‘–π‘›π‘‘π‘’π‘Ÿ 𝑠𝑙𝑖𝑝 = 𝑣2 a. untuk silinder menggelinding, kecepatannya ( 𝑣1), maka hukum kekekalan enegi mekaniknya π‘šπ‘”β„Ž = 1 2 π‘šπ‘£1 2 + 1 2 πΌπœ”1 2 kecepatan sudut silinder ( πœ”1 2 = 𝑣1 2 π‘Ÿ2 ) maka : π‘šπ‘”β„Ž = 1 2 π‘šπ‘£1 2 + 1 2 ( π‘šπ‘Ÿ2 2 ) 𝑣1 2 π‘Ÿ2 π‘”β„Ž = 3 4 𝑣1 2 ∴ 𝑣1 = √ 4π‘”β„Ž 3 b. untuk silinder tidak mengelinding, hanya melakukan gerak translasi, maka kecepatan silinder ( 𝑣2) sesuai dengan hukum kekekalan energi mekanik adalah : π‘šπ‘”β„Ž = 1 2 π‘šπ‘£2 2 ∴ 𝑣2 = √2π‘”β„Ž
  • 3.
    OSN Fisika Bedah soal 2005(kab/kota) 58http://ibnu2003.blogspot.com c. perbandingan kedua kecepatan menjadi : ∴ 𝑣1 𝑣2 = √4π‘”β„Ž 3 √2π‘”β„Ž = √ 2 3 5. Pembahasan Asumsikan pasir ditimbang di permukaan bumi a. massa total jam pasir dengan pasirnya adalah m dan dipengaruhi perceptapan gravitasi sebesar g, maka berat totalnya menjadi ( 𝑀 = π‘šπ‘”). b. berat jam pasir dan tabungnya bergantung pada percepatan gravitasi bumi. jika percepatan gravitasi bumi homogen atau sama maka berat jam pasir dan pasirnya bersifat tetap. c. jika percepatan gravitasi tidak homogen, maka percepatan gravitasi berbanding terbalik dengan kuadrat jarak antara massa m dan massa bumi M, ∴ 𝑔 = πΊπ‘šπ‘€ π‘Ÿ2 d. jika pasir sudah jatuh semua maka percepatan gravitasimya menjadi ( 𝑔′) yang dialami m akan lebih besar karena jarak antara pusat massa m dan M semakin kecil sehingga nilai ( 𝑔′) semakin besar dan berat sistem jam pasir akan berubah bertambah berat jika percepatan gravitasinya tidak homogen. Timbangan pada t = 1 jam Timbangan pada t = 0 jam Timbangan pada t = 0,001 jam
  • 4.
    OSN Fisika Bedah soal 2005(kab/kota) 59http://ibnu2003.blogspot.com 6. Pembahasan perubahan maksimum panjang pegas x terjadi saat kecepatan sesaat kedua benda sama ( 𝑣) a. hukum kekekalan momentum linier π‘š1 𝑣1 + π‘š2 𝑣2 = ( π‘š1 + π‘š2) 𝑣 𝑣 = π‘š1 𝑣1 + π‘š2 𝑣2 π‘š1 + π‘š2 b. hukum kekekalan energi sistem adalah : 1 2 π‘š1 𝑣1 2 + 1 2 π‘š2 𝑣2 2 = 1 2 ( π‘š1 + π‘š2) 𝑣2 + 1 2 π‘˜π‘₯2 π‘˜π‘₯2( π‘š1 + π‘š2) = π‘š1 π‘š2[𝑣1 2 + 𝑣2 2 βˆ’ 2𝑣1 𝑣2] untuk : 𝑣1 2 + 𝑣2 2 βˆ’ 2𝑣1 𝑣2 = ( 𝑣1 βˆ’ 𝑣2)2 sehingga : π‘˜π‘₯2( π‘š1 + π‘š2) = π‘š1 π‘š2( 𝑣1 βˆ’ 𝑣2)2 π‘₯2 = π‘š1 π‘š2( 𝑣1 βˆ’ 𝑣2)2 π‘˜( π‘š1 + π‘š2) ∴ π‘₯ = √ π‘š1 π‘š2( 𝑣1 βˆ’ 𝑣2)2 π‘˜( π‘š1 + π‘š2) 7. Pembahasan kemudi mobil dalam keadaan diam lebih sulit daripada mobil dalam keadaan bergerak karena : a. kemudi pada waktu mobil diam dibutuhkan momen gaya yang lebih besar daripada momen gaya ketika mobil bergerak ∴ 𝜏 π‘šπ‘œπ‘π‘™.π‘‘π‘–π‘Žπ‘š > 𝜏 π‘šπ‘œπ‘π‘–π‘™.π‘π‘’π‘Ÿπ‘”π‘’π‘Ÿπ‘Žπ‘˜ b. ketika mobil bergerak koefisien gesek statisnya lebih kecil dari keofisien gesek statis maksimumnya ketika diam, sehingga torsi yang dibutuhkan untuk memutar lebih kecil. ∴ πœ‡ 𝑠(π‘π‘’π‘Ÿπ‘”π‘’π‘Ÿπ‘Žπ‘˜) < πœ‡ 𝑠(π‘‘π‘–π‘Žπ‘š) c. bila mobil semakin cepat, maka akan lebih mudah memutar kemudi mobil karena momen gaya gesek yang pekerja pada ban semakin kecil
  • 5.
    OSN Fisika Bedah soal 2005(kab/kota) 60http://ibnu2003.blogspot.com 8. Pembahasan hukum kekekalan momentum sudut dengan meninjau titik atas batang sebagai acuan. π‘š1 𝑣𝑑 = (𝐼𝑏𝑑𝑔 + 𝐼 π‘π‘Žπ‘Ÿ )πœ” dengan momen inersia batang ( 𝐼𝑏𝑑𝑔 = π‘š2 𝑑2 /3) dan momen inersia partikel ( 𝐼𝑏𝑑𝑔 = π‘š1 𝑑2 ), maka : π‘š1 𝑣𝑑 = ( π‘š2 𝑑2 3 + π‘š1 𝑑2 )πœ” kecepatan benda ( π‘š1) 𝑣 = √2π‘”β„Ž sehingga : 3π‘š1√2π‘”β„Ž = (3π‘š1 + π‘š2)π‘‘πœ” ∴ πœ” = 3π‘š1√2π‘”β„Ž (3π‘š1 + π‘š2)𝑑 dengan titik bawah sebagai acuan, energi potensialnya sama dengan nol. pada saat tersebut batang membentuk sudut ( πœƒ), perpindahan pusat partikel β„Ž1 = 𝑑(1 βˆ’ π‘π‘œπ‘ πœƒ) perpindahan pusat massa massa batang β„Ž2 = 𝑑(1 βˆ’ π‘π‘œπ‘ πœƒ) 2 persamaan hukum kekekalan energi sistem adalah : π‘š1 𝑑 πœƒ π‘š2 β„Ž β„Ž1 β„Ž2 𝑣
  • 6.
    OSN Fisika Bedah soal 2005(kab/kota) 61http://ibnu2003.blogspot.com 1 2 (𝐼𝑏𝑑𝑔 + 𝐼 π‘π‘Žπ‘Ÿ)πœ”2 = π‘š1 π‘”β„Ž1 + π‘š2 π‘”β„Ž2 6π‘š1 2 π‘”β„Ž (3π‘š1 + π‘š2) = 2π‘š1 π‘”β„Ž1 + 2π‘š2 π‘”β„Ž2 6π‘š1 2 β„Ž (3π‘š1 + π‘š2) = (2π‘š1 + π‘š2)𝑑[1βˆ’ π‘π‘œπ‘ πœƒ] 1 βˆ’ π‘π‘œπ‘ πœƒ = 6π‘š1 2 β„Ž (3π‘š1 + π‘š2)(2π‘š1 + π‘š2)𝑑 π‘π‘œπ‘ πœƒ = 1 βˆ’ 6π‘š1 2 β„Ž (3π‘š1 + π‘š2)(2π‘š1 + π‘š2)𝑑 ∴ πœƒ = π‘Žπ‘Ÿπ‘π‘π‘œπ‘  [1 βˆ’ 6π‘š1 2 β„Ž (3π‘š1 + π‘š2)(2π‘š1 + π‘š2)𝑑 ] 9. Pembahasan ( 𝑣𝑓) = kecepatan jupiter untuk mempermudah penyelesaian soal ini, harus diasumsikan bahwa : a. jarak antara jupiter dan planet ketika kecepatan planet ( 𝑣) dan ( 𝑣’)sanyat jauh sehingga energi potensial dapat diabaikan. b. jarak antara planet dan jupiter terhadap matahari sangat jauh,maka mata hari sebagai acuan selalu diam. 1 2 π‘šπ‘£2 + 1 2 𝑀𝑣𝑓 2 = 1 2 π‘šπ‘£β€²2 + 1 2 𝑀𝑣𝑓 β€²2 dengan ( 𝑣𝑓 β€² ) kecepatan jupiter setelah kecepatan planet menjadi ( 𝑣’). 𝑣𝑓 𝑀 𝑣 𝑣′
  • 7.
    OSN Fisika Bedah soal 2005(kab/kota) 62http://ibnu2003.blogspot.com jumlah gaya luar yang bekerja pada sistem sama dengan nol, sehingga berlaku hukum kekekalan momentum linier. arah kecepatan ke arah kiri bernilai positif, maka : βˆ’π‘šπ‘£ + 𝑀𝑣𝑓 = π‘šπ‘£β€² + 𝑀𝑣𝑓 β€² ∴ 𝑣𝑓 β€² = 𝑀𝑣𝑓 βˆ’ π‘š[𝑣 + 𝑣′ ] 𝑀 ∴ 𝑣𝑓 β€²2 = ( 𝑀𝑣𝑓 βˆ’ π‘š[𝑣 + 𝑣′ ] 𝑀 ) 2 sehingga : π‘šπ‘£2 + 𝑀𝑣𝑓 2 = π‘šπ‘£β€²2 + 𝑀( 𝑀𝑣𝑓 βˆ’ π‘š[𝑣 + 𝑣′ ] 𝑀 ) 2 0 = [ 𝑀 + π‘š] 𝑣′2 + [2π‘šπ‘£ βˆ’ 2𝑀𝑣 𝑓]𝑣′ βˆ’ ([ 𝑀 βˆ’ π‘š] 𝑣2 + 2𝑀𝑣𝑣 𝑓) dari persamaan diatas π‘₯ = 𝑣′ ; π‘Ž = [ 𝑀 + π‘š]; 𝑏 = [2π‘šπ‘£ βˆ’ 2𝑀𝑣𝑓] 𝑐 = βˆ’[ 𝑀 βˆ’ π‘š] 𝑣2 βˆ’ 2𝑀𝑣𝑣𝑓 gunakan rumus abc : π‘₯ = βˆ’π‘ Β± √ 𝑏2 βˆ’ 4π‘Žπ‘ 2π‘Ž 𝑏2 = [4π‘š2 𝑣2 + 4𝑀2 𝑣𝑓 2 βˆ’ 8π‘šπ‘€π‘£π‘£π‘“] 4π‘Žπ‘ = 4[ 𝑀 + π‘š](βˆ’[ 𝑀 βˆ’ π‘š] 𝑣2 βˆ’ 2𝑀𝑣𝑣𝑓) 4π‘Žπ‘ = (βˆ’4𝑀2 𝑣2 + 4π‘š2 𝑣2 βˆ’ 8𝑀2 𝑣𝑣𝑓 βˆ’ 8π‘šπ‘€π‘£π‘£π‘“) √ 𝑏2 βˆ’ 4π‘Žπ‘ = 2π‘€βˆš 𝑣𝑓 2 + 𝑣2 + 2𝑣𝑣𝑓 √ 𝑏2 βˆ’ 4π‘Žπ‘ = 2π‘€βˆš 𝑣𝑓 2 + 2𝑣𝑣𝑓 + 𝑣2 √ 𝑏2 βˆ’ 4π‘Žπ‘ = 2π‘€βˆš(𝑣 + 𝑣𝑓)2 = 2𝑀(𝑣 + 𝑣𝑓)
  • 8.
    OSN Fisika Bedah soal 2005(kab/kota) 63http://ibnu2003.blogspot.com sehingga : 𝑣′ = βˆ’[π‘šπ‘£ βˆ’ 𝑀𝑣𝑓] Β± 𝑀(𝑣 + 𝑣𝑓) [ 𝑀 + π‘š] 𝑣′ = βˆ’π‘šπ‘£ + 𝑀𝑣𝑓 + 𝑀𝑣 + 𝑀𝑣𝑓 [ 𝑀 + π‘š] tanda positif artinya pesawat memutari planet pada arah yang berlawanan. ∴ 𝑣′ = 2𝑀𝑣𝑓 + [𝑀 βˆ’ π‘š]𝑣 [ 𝑀 + π‘š] 10. Pembahasan a. gunakan sumbu x. Tunjukkan bahwa ketika mata pancing X; bagian panjang tali yang bergerak ( 𝐿 βˆ’ π‘₯ 2 ). Jawab : 𝐿′ = 𝐿 βˆ’ π‘₯ 2 b. Asumsikan bahwa tali uniform dengan kerapatan linier ( 𝜌)(massa per panjang tali). Berapakah massa tali yang masih bergerak ? jawab : massa total tali ( π‘šπ‘™π‘‡) adalah massa tali yang masih bergerak π‘šπ‘™π‘‡ = πœŒπΏβ€² = 𝜌 (𝐿 βˆ’ π‘₯ 2 ) c. Tentukan laju bagian bawah yang bergerak dan mata pancing, asumsikan bahwa laju awal ( 𝑣0 = 6π‘š/𝑠), panjang tali L=20m, massa mata pancing ( π‘š 𝑓 = 0,8π‘”π‘Ÿ) dan rapat linier ( 𝜌 = 1,3π‘”π‘Ÿπ‘šβˆ’1 ) Jawab : massa tali ( π‘šπ‘™ = πœŒπ‘™), maka hukum kekekalan energi menjadi 1 2 π‘šπ‘™ 𝑣0 2 + 1 2 π‘š 𝑓 𝑣0 2 = 1 2 π‘šπ‘™π‘‡ 𝑣2 + 1 2 π‘š 𝑓 𝑣2 𝐿 π‘₯/2 π‘₯ 𝐿′
  • 9.
    OSN Fisika Bedah soal 2005(kab/kota) 64http://ibnu2003.blogspot.com [πœŒπ‘™ + π‘š 𝑓]𝑣0 2 = [𝜌 (𝐿 βˆ’ π‘₯ 2 ) + π‘š 𝑓] 𝑣2 ∴ 𝑣 = 𝑣0√ πœŒπ‘™ + π‘š 𝑓 𝜌(𝐿 βˆ’ π‘₯ 2 ) + π‘š 𝑓 masukkan nilainya 𝑣 = 6√ 26,8 26,8βˆ’ 0,65π‘₯ = √ 964,8 26,8βˆ’ 0,65π‘₯ d. plot kelajuan mata pancing v terhadap posisi x π‘₯ = 0 ⇋ 𝑣 = 6π‘š/𝑠 π‘₯ = 10 ⇋ 𝑣 = 6,89 β‰ˆ 6,9π‘š/𝑠 π‘₯ = 20 ⇋ 𝑣 = 8,36 β‰ˆ 8,4π‘š/𝑠 grafik ( π‘₯ β†’ 𝑣) 10 8 6 10 20