Multiple Integral
Double Integrals over Rectangles
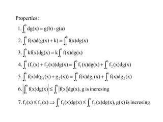
Remark :
)(point.sample
acalledisx1,2,...n,i],x,[xxChoose4.
Pofnorm}Thex,,x,xmax{|P|3.
n,1,2,i,x-xxDefine2.
b],[aofpartitionacalledisPThen
bxxxaand}x,,x,{xPLet1.
ii1-ii
n21
1-iii
n10n10
取樣點
=∈
∆∆∆=
==∆
=<<<==



∑∫ =
→
=∆=
n
1i
ii
b
a 0P||
SofareaThex)xf(limf(x)dx
b],[aonfofintegraldefiniteThe5.
f(x)}y0b,xa|y){(x,S ≤≤≤≤=
[2,3][1,2]2.
4}y21,x0|Ry){(x,[2,4][0,1]1.
Rectangle:Example
d}ycb,xa|Ry){(x,d][c,b][a,R
RrectangleclosedA6.
2
2
×
≤≤≤≤∈=×
≤≤≤≤∈=×=
Double Integrals and Volumes
V(S)-SofvolumethefindTo
y)}f(x,zR,0y)(x,|Rz)y,{(x,Sd],[c,b][a,RLet 3
≤≤∈∈=×=
lssubintervaintoRrectangletheDivide
f(x)dxdefinetoSimilarly
b
a∫
∑∑
∑∑
= =
= =
∆≈
∆
∆∆=∆
==×=
==∆
=∆=
n
1j
m
1i
ij
*
ij
*
ij
n
1j
m
1i
ij
*
ij
*
ij
ij
*
ij
*
ij
jiijij
j1-ji1-iij
1-jjjj1-j
1-iii
i1-i
A)y,f(xV(S)i.e
A)y,f(xeapproximatcanSofvolumeThe
Reachin)y,(xpointsampleachoose
yxAisRofareaThe
n1,j;m1,i]y,[y]x,[xRDefine
n1,2,j,y-yy],y,[ylsubintervaninto
dividedisd][c,and,x-xxm,1,2,i
]x,[xlsubintervamintodividedisb][a,



n1,2j;m1,2i,R
diagonallongesttheoflengththedenote|P|Let
ij  ==
∑∑∫∫
∫∫
= =
→
∆=
m
1i
n
1j
ij
*
ij
*
ij
0P||
R
R
A)y,f(xlimy)dAf(x,
y)dAf(x,isRrectangleover thefofintegraldoubleThe
:Definition
∫∫ ∫∫
∫∫ ∫∫ ∫∫
∫∫ ∫∫
≥
∈∀≥
+=+
=
R R
R R R
R R
y)dAg(x,y)dAf(x,
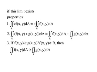
thenR,y)(x,y)g(x,y)f(x,If3.
y)dAg(x,y)dAf(x,y))dAg(x,y)(f(x,2.
y)dAf(x,cy)dAcf(x,1.
:properties
existslimitthisif
Ronintegrableisfthencurves,smooth
ofnumberfiniteaonexceptRoncontinuousisfIf(ii)
RonintegrableisfthenR,oncontinuousisfIf(i)
Rrectabgleclosedon theboundedbefLet
1Theorem
Roverfofintegraldoublethecalledisy)dAf(x,2.
existA)y,f(xlimifR,onintegrableisf1.
:Definition
R
m
1i
n
1j
ij
*
ij
*
ij
0P||
∫∫
∑∑= =
→
∆
ww),(o,oncontinuousnotisf
(0,1)oncontinuousnotisf
0x0,
0x,
x
y
y)f(x,3.
Roncontinuousisf
)[0,)[0,Rx,yxy)f(x,2.
Roncontinuousisf
][0,2][0,Ry)(x,sinxy,y)f(x,1.
:Example
RoncontinuousisfthenR,b)(a,allatcontinuousisfIf2.
b)(a,atcontinuousisfthenb),f(a,y)f(x,limIf1.
:Definition
2
b)(a,y)(x,
∀




=
≠
=
∞×∞=+=
×=∈=
∈
=
→
ππ
Iterated Integrals
integraliteratedancalledis)dxy)dyf(x,(A(x)dx
y)dxf(x,B(y)y)dy,f(x,A(x)Let1.
d][c,b][a,Ry),f(x,functionFor
:Remark
)dyydxx(A(y)dyConsider
y
3
26
1
3
3
x
yydxxA(y)Lety,Fixed
b
a
d
c
b
a
d
c
b
a
2
0
3
1
2
2
0
3
3
1
2
∫ ∫∫
∫ ∫
∫ ∫∫
∫
=
==
×=
=
=⋅==
∫ ∫
∫ ∫
∫ ∫
∫ ∫∫ ∫
∫ ∫∫ ∫
∫ ∫∫ ∫
+
+
+
=
=
3
0
2
1
8
0
4
0
2
4
0
8
0
2
3
0
4
1
2
3
0
4
1
2
d
c
b
a
d
c
b
a
b
a
d
c
b
a
d
c
2y)dxdy(3x(v)
)dxdyy8x-(64
4
1
(iv)
)dydxy8x-(64
4
1
(iii)
ydydxx(ii)ydxdyx(i)
evaluate:Example
)dxy)dyf(x,(y)dydxf(x,3.
)dxy)dyf(x,(y)dydxf(x,2.
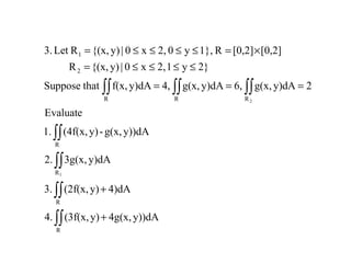
1}y02,x-1|y){(x,Rwhere,dA
x1
y1
Find4.
][0,][0,Rwhere,xcosxydAFind3.
0-)
0
sin2y
2
1
(-
cos2y)dy-(1dy
0
2
(-cosxy)ysinxydxdyBut
?ysinxydydxysinxydA:Ans
][0,[0,2]Rwhere,ysinxydAFind2.
[1,3][0,2]RwheredA,)3y-(xFind1.
:Ex
y)dydxf(x,y)dxdyf(x,y)dAf(x,
thed],[c,b][a,RoncontinuousisfIf
Theorem)s(Fubini'2Theorem
R
R
000
2
0
2
0 0
R
R
R
2
b
a
d
c
d
c
b
a
R
≤≤≤≤=
+
+
×=
===
==
==
×=
×=
==
×=
∫∫
∫∫
∫∫∫ ∫
∫ ∫∫∫
∫∫
∫∫
∫ ∫∫ ∫∫∫
ππ
ππ
π
π
π
πππ
π
{ }
1y)dAsin(xD
thatshow[0,1],[0,1]RIf2.
2y14,x34,
2y13,x11,
1y04,x12,
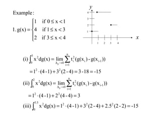
y)f(x,2.
2y04,x33,
2y03,x12,
y)f(x,1.
functiongiventheisfwherey)dA,f(x,
Evaluate,2y03,x1|y)(x,RLet1.
Exercises
R
R
≤+≤
×=





≤≤≤≤
≤≤<≤
≤≤≤≤
=



≤≤≤<
≤≤≤≤
=
≤≤≤≤=
∫∫
∫∫
∫∫
∫∫
∫∫
∫∫
∫∫ ∫∫ ∫∫
+
+
===
≤≤≤≤=
×=≤≤≤≤=
R
R
R
R
R R R
2
1
y))dA4g(x,y)(3f(x,4.
4)dAy)(2f(x,3.
y)dA3g(x,2.
y))dAg(x,-y)(4f(x,1.
Evaluate
2y)dAg(x,6,y)dAg(x,4,y)dAf(x,thatSuppose
2}y12,x0|y){(x,R
[0,2][0,2]R1},y02,x0|y){(x,RLet3.
1
2
∫ ∫
∫ ∫
∫ ∫
∫ ∫
∫ ∫
∫ ∫
∫ ∫
+
=
2
2-
1
1-
2
2-
3
1
1-
2
2
2-
1
1-
32
2
0
2
0 2
0
1
0
1
0
1
0
xy
2
0
3
1
2
dydx|y|[x](vii)
dydxy][x(vi)
dydx|yx|(v)
dydx
x1
y
(iv)
xsinydxdy(iii)
dxdyxe(ii)
yxy)f(x,wherey)dydx,f(x,(i)
integralsinteratedtheofeachEvaluate4.
π
{ }
2}y,13x0|y){(x,R,dAx1xy(v)
[0,1][0,1]R,dAxye(iv)
1}y02,x-1|y){(x,RdA,
y2
x1
(iii)
]
3
[0,]
6
[0,Ry)dA,xcos(x(ii)
3y02,x1y)(x,R)dA,3xy-(2y(i)
integraldoubletheCalculate5.
R
2
R
yx
R
R
R
32
22
≤≤≤≤=+
×=
≤≤≤≤=
+
+
×=+
≤≤≤≤=
∫∫
∫∫
∫∫
∫∫
∫∫
ππ
∫ ∫ ∫∫
∫ ∫∫ ∫
∫ ∫ ∫∫
+
≤≤≤≤
++=
+
1
0
4
0
3
2x
y
y
0
x
1
0
1
y
3
1
0
3
3y
x
1
0
1
0
x2
x-1
2
x
0
2
dydxe(vi)dxdy2ye(v)
dxdyx1(iv)dxdye(iii)
)dydxy-(3x(ii)dydxcosx(i)
integralinteratedtheEvaluate7.
4)y10,x(-1|y){(x,
rectangletheaboveand15y2xZ
planeunder thelyingsolidtheofvolumetheFind6.
2
2
2
1zyxand
0z0,y0,xplanesby theBounded(ii)
2zy
and2yxcylindersby theBounded(i)
solidgiventheofvolumetheFind9.
1}yx|y){(x,DwheredA,y-x-1Evaluate8.
222
222
22
D
22
=++
===
=+
=+
≤+=∫∫


 ∈
=
DinnotbutRinisy)(x,if0
Dy)(x,ify)f(x,
y)F(x,
Double Integral over General Regions
functionnewaDefineD.on
definedfunctionaisfR,DandregionboundedabeDLet ⊂
function.continuoustwoareh,hwhere
d},yc(y),hx(y)h|y){(x,D
ifIItypeofbetosaidisDregionplaneA3.
function.continuoustwoareg,gwhere
(x)},gy(x)gb,xa|y){(x,D
ifItypeofbetosaidisDregionplaneA2.
y)dAF(x,y)dAf(x,
isDoverfofintegraldoubleThe1.
:Definition
21
21
21
21
D R
≤≤≤≤=
≤≤≤≤=
=∫∫ ∫∫
d}yc(y),hx(y)h|y){(x,Dwhere
y)dxdyf(x,y)dAf(x,
thenDregionIItypeaoncontinuousisfIf2.
y)dydxf(x,y)dAf(x,then
(x)},gy(x)gb,xa|y){(x,D
such thatDregionItypeaoncontinuousisfIf1.
:Properties
IIType},y1x2y1,y-1|y){(x,D2.
IType1},ysinx,x0|y){(x,D1.
:Example
21
D
d
c
(y)h
h
D
b
a
(x)g
g
21
22
2
1
2
1(y)
2
1(x)
≤≤≤≤=
=
=
≤≤≤≤=
+≤≤≤≤=
≤≤≤≤=
∫∫ ∫ ∫
∫∫ ∫ ∫
π
2
2
1
-1
2
3
1-
1
)x
2
1
-xx
2
3
x
4
1
-x
2
1
(
dx4x-x
2
3
3x
2
3
2x-xx
)dx)(2x-)x((1
2
3
)2x-xx(1
3y)dydx(x3y)dA(x
:Ans
}x1y2x1,x-1|y){(x,DWhere
3y)dA(xEvaluate1.
:Example
5342
1
1-
44233
1
1-
222222
D
1
1-
x1
2x
22
D
2
2
=+=++=
++++=
+++=
+=+
+≤≤≤≤=
+
∫
∫
∫∫ ∫ ∫
∫∫
+
62xyparabolatheand1-xylinethe
byboundedregiontheisDxydA whereEvaluate2.
2
D
+==
∫∫
36xydxdyxydA
4}y2-1,yx
2
6-y
|y){(x,
}62xy?5,x-3|y){(x,D
:Sol
D
4
2-
1y
2
6-y
2
2 ==
≤≤+≤≤=
+≤≤≤≤=
∫∫ ∫ ∫
+
:Sol
2z2yxand0z0,x2y,x
planesby theboundedontetrahedrtheofvolumetheFind3.
=++===
3
1
2y)dydx-x-(22ydA-x-2V
}
2
x-2
y
2
x
1,x0|y){(x,D
D
1
0
2
x-2
2
x
=
==
≤≤≤≤=
∫∫ ∫ ∫所求
y}x01,y0|y){(x,
1}yx1,x0|y){(x,D
:Sol
)dydxcos(yEvaluate5.
cos1)-(1
2
1
;)dydxsin(yEvaluate4.
1
0
1
x
2
1
0
1
x
2
≤≤≤≤=
≤≤≤≤=
∫ ∫
∫ ∫
Double Integrals in Polar Coordinates
βθαθ ≤≤≤≤= b,ra|){(r,RConsider
Polar rectangle
Example :
3
2
)
3
-
2
()1-(3
2
1
2
3
-
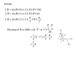
2)1-3(A(R)isRofareaThe
}
23
3,r1|){(r,R3.
}03,r1|){(r,R2.
}201,r0|){(r,R1.
22
22
π
ππ
π
ππ
ππ
π
θ
π
θ
πθθ
πθθ
=
⋅=
⋅⋅=
≤≤≤≤=
≤≤≤≤=
≤≤≤≤=
n1,jm;1,i-,r-rrWhere
rr
)r-)(rr(r
2
1
r
2
1
-r
2
1
A
isA-RofareaThe
},rrr|){(r,R4.
1,-jjj1-iii
ji
*
i
j1-ii1-iij
2
1-ij
2
iij
ijij
j1-ji1-iij
 ===∆=∆
∆∆=
∆+=∆∆=∆
∆
≤≤≤≤=
θθθ
θ
θθθ
θθθθ
∫ ∫
∑∑
∑∑
→
∆∆=
∆
= =
= =
β
α
θθθ
θθθ
θθ
b
a
m
1i
n
1j
ji
*
i
*
j
*
i
*
j
*
i
m
1i
n
1j
ij
*
j
*
i
*
j
*
i
)rdrdrsin,f(rcos
r)rsinr,cosf(r
A)sinr,cosf(r
isRonfofsumRiemanuThe
∫∫ ∫ ∫
∫∫ ∫ ∫
=
≤≤≤≤=
=
≤≤
≤≤≤≤=
D
)(h
)(h
21
R
b
a
2
1
)rdrdrsin,f(rcosy)dAf(x,
thenDoncontinuousisfIfregion.
polorabe)}(hr)(h,|){(r,DLet2.
)rdrdrsin,f(rcosy)dAf(x,
thenR,oncontinuousisfIf2-0andrectangle
polarabe}b,ra|){(r,RLet1.
Properties
β
α
θ
θ
β
α
θθθ
θθβθαθ
θθθ
παβ
βθαθ
π
θθθ
θθθ
πθθ
π
π
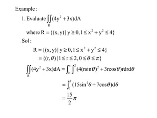
2
15
)d7cos(15sin
)rdrd3rcos)(4(rsin3x)dA(4y
}02,r1|){(r,
4}yx10,y|y){(x,R
:Sol
4}yx10,y|y){(x,Rerewh
3x)dA(4yEvaluate1.
:Example
0
2
R
0
2
1
22
22
22
R
2
=
+=
+=+
≤≤≤≤=
≤+≤≥=
≤+≤≥=
+
∫
∫∫ ∫ ∫
∫∫
2
)rdrdr-(1
)dAy-x-(1V
}201,r0|){(r,D
:Sol
y-x-1zparaboloidtheand
0zplaneby theboundedsolidtheofvolumetheFind2.
2
0
1
0
2
D
22
22
π
θ
πθθ
π
=
=
=
≤≤≤≤=
=
=
∫ ∫
∫∫
π
θθ
πθθ
π π
)de
2
1
-
2
1
(limdrdrelim
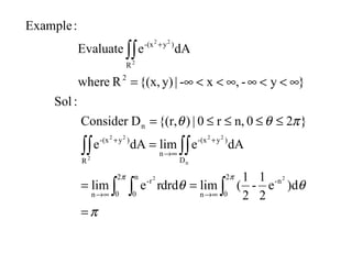
dAelimdAe
}20n,r0|){(r,DConsider
:Sol
}y-,x-|y){(x,Rewher
dAeEvaluate
:Example
2
0
2
0
n-
n
n
0
r-
n
D
)y(x-
n
R
)y(x-
n
2
R
)y(x-
22
n
22
2
22
2
22
=
==
=
≤≤≤≤=
∞<<∞∞<<∞=
∫ ∫∫
∫∫∫∫
∫∫
∞→∞→
+
∞→
+
+
The Cross Product
nofdirectionin thepointsyour thumbthen,btoafromanglethe
throughcurlhandrightyouroffingerstheIf:rulehand-rightby the
givenisdirectionwhoseandbandabothlar toperpendicutorvec
unitaisnand,0,bandabetweenangletheisrewhe
n)sin|b||a(|bavectortheisbandaofproductcrossThe2.
cos|b||a|baisbandaofproductinnerThe1.
vectorsldimensionathreenonzerotwobeba,Let
θ
πθθ
θ
θ
≤≤
=×
=⋅
Definition
Example :
a
θ
bn
.1 .2
a
b
n
ab-ba3.
-jkij,ik(iii)
-ijki,kj(ii)
-kijk,ji(i)
(0,0,1)k(0,1,0),j(1,0,0),i2.
0baifonlyandifparallelarebanda1.
Properties
×=×
=×=×
=×=×
=×=×
===
=×
k
bb
aa
j
bb
aa
-i
bb
aa
bbb
aaa
kji
)ba-ba,ba-ba,ba-b(aba
then),b,b,(bb),a,a,(aaIf5.
DbDaD)ba((iii)
Daba)Db(a(ii)
)b(ca)bac(b)a(c(i)
scalarabeacLet4.
21
21
31
31
32
32
321
321
122131132332
321321
3
+==
=×
==
×+×=×+
×+×=+×
×=×=×
.6
a
b
θ
R b |ba|A(R)
isRofareaThe
×=
kj-iandjibothtoorthogonalrsunit vectotwoFind4.
baFindk,-jibk,jia3.
k13j-43iba
(2,7,-5)b(1,3,4),a2.
5k3j-6i
021
31-2
kji
ab
5k-3j-6i
31-2
021
kji
ba
(2,-1,3)b(1,2,0),a1.
Example
++
×+=++=
++=×
==
++==×
==×
==
Ssurfaceparametricacalledis
RDv)(u,,
v)z(u,z
v)y(u,y
v)x(u,x
such that
Rz)y,(x,pointsallofsetThe2.
t,
y(t)y
x(t)x
:curveparametric1.
:Definition
2
3





⊂∈
=
=
=
∈



≤≤
=
=
βα
Surface Area
Rvv,y4,zxhaveweS,z)y,(x,anyFor
surfaceparametricaisS
2sinu}zv,y2cosu,x|z)y,{(x,S1.
:Example
22
∈==+∈
====
x
z
y
)2,0,0(
0)r-(rnplanetheofequationA vector
planetheofvectornormalaisn
z)y,(x,rwhere0)r-(rnbydenotedisplaneThe4.
vectornormalacalledisnvectororthogonalThis
plane.thetoorthogonalisnvectoraandplanethe
in)z,y,(xPrpointabydeterminedisspaceinplaneA3.
:Definition
0
0
00000
=⋅
==⋅
=
x
z
y
r
0r
),,( zyx
n
),,( 00000 zyxpr =
02)-14(z3)-20(y1)-12(x:Sol
R(5,2,0)Q(3,-1,6),P(1,3,2),
pointshethrough tpassesthatplanetheofequationanFind
:Example
(1,2,3)n6},3z2yx|z)y,{(x,S3.
(2,-4,1)n0},z4y-2x|z)y,{(x,S2.
0}4)-z1,y3,-(x(1,2,4)|z)y,{(x,S1.
:Example
=++
==++=
==+=
=+⋅=

72)
42
2
(cos,
42
2
nn
nn
cos
planesebetween thanglethebeLet
(1,-2,3)n(1,1,1),nareplanestheseofvectorsnormalThe
:Sol
23z2y-xand1zyxplaneebetween thangletheFind
:Example
anglethehavetorsvec
normaltheirifisSandSplanesebetween thangleThe6.
parallelarevectorsnormaltheirifparallelareplaneTwo5.
:Definition
1-
21
21
21
21
≈==
⋅
=
==
=+=++
θθ
θ
θ
θ
9
y
y)f(3,
2x,
x
f(x,1)
y,xy)f(x,z
:Example
2
=
∂
∂
=
∂
∂
==
1L
2L
)1,(:1 xfzC =
),3(:2 yfzC =
x
y
z
ii Coflinetangenttheis1,2,i,L =
0rrifsmoothcalledisSsurfaceThe(v)
k
u
)v,z(u
j
u
)v,y(u
i
u
)v,x(u
r
isectortangent vThecoSimlarly t(iv)
k
v
)v,z(u
j
v
)v,y(u
i
v
)v,x(u
r
obtainedis)v,z(uz),v,y(uy
)v,x(uxwhere)z,y,(x-Patcector totangent vThe(iii)
Sonlyingccurvegrida
definesanduparametersingletheoffunctionvectorais)vr(u,(ii)
Sonlyingccurvegrida
definesandvparametersingletheoffunctionvectoraisv),r(ui)(
)v,(uFixedv)kz(u,v)jy(u,v)ix(u,v)r(u,
v)}x(u,xv),y(u,yv),z(u,z|z)y,{(x,S
bydefinedbeandsurfaceparametricabeSLet
:Definition
vu
000000
u
2
000000
v
000000
00000001
2
0
1
0
00
≠×
∂
∂
+
∂
∂
+
∂
∂
=
∂
∂
+
∂
∂
+
∂
∂
=
==
=
++=
====
Exercises 2
pageofoutofpage
theintodirectedisuwhether vdetermineand|vu|Find2.
(0,2,4)b(1,2,0),a(iii)
(5,-2,-1)b(1,2,-3),a(ii)
(3,0,1)b(-2,3,4),a(i)
ab,baproductcrosstheFind1.
××
==
==
==
××
5|| =u
6|| =u
6|| =u
)2,0,1(=u
5|| =v
8|| =v
)2,1,1(=v
8|| =v

60 
60

150
y)f(x,limFind(ii)
(0,0)atcontinuousnotisy)f(x,thatshow(i)
(0,0)y)(x,if,1
(0,0)y)(x,if,
yx
xy
y)f(x,
functionheConsider t4.
not?or whywhy(0,0)?atcontinuousfIs
(0,0)y)(x,if,0
(0,0)y)(x,if,
yx
yx
y)f(x,
functionheConsider t3.
o)(o,y)(x,
22
24
2
→




=
≠
+=




=
≠
+=
followingin theregiontheisDwhere,xydAEvaluate5.
D
∫∫
D
x
y
2
xy =
2
1
y =
2yx =+
∫∫ ≤+≤=
D
222
4}yx1|y){(x,Dwhere)dA,sin(xyEvaluate6.
∫∫
∫∫
=+=+
D
2
2222
D
2
dAxyEvaluate8.
4yxcircletheand42yx
ellipseebetween thregiontheisDwheredA,xEvaluate7.
D
2
4
(2,4)
∫ ∫ ∫ ∫
∫ ∫∫ ∫
π θ π
π θπ θ
θ
θθθθ
0
Sin
0 0
Siny
0
22
0
Cos-1
0
2
0
Cos
0
2
dxdyx(iv)drdr(iii)
drdrSin(ii)drdSinr(i)
integralsiteratedtheEvaluate9.
{ }
∫ ∫
∫∫∫∫
∫ ∫
∫ ∫
∫∫
≤+=
++
+
+
=+
+
3
4
4
3
5Sec-
0
23
222
D
22
D
22
2
1
x-2x
0
2
1
-
22
1
0
y-1
0
22
22
D
yx
drdSinr
evaluatethenandscoordinaterrectangulaSwitch to12.
4yx|y)(x,D
wheredA,|yxSin|,yxSin(iii)
dydx)y(x(ii)
)dxdyySin(x(i)
Evaluate11.
4yx
byenclosedregiontheisDwhere,dAeEvaluate10.
2
2
22
π
π
θ
θθ
π
∫ ∫ ∫ ∫ ∫ ∫
∫ ∫ ∫∫ ∫ ∫
+
≤≤=
≤≤=
≤+=+==
=+=
3
0
x-9
0
x
0
1
0
2x
x
yx
0
0
2
0
z-4
0
1
0
z
0
y
0
3
22
22
2
2
2xydzdydx(iv)yzdydzdx(iii)
yzsinydxdzd(ii)xyzdxdydz(i)
integraliteratedtheEvaluate16.
9x4,xy(ii)
2x0,xy(i)
axis-xabout the
curvegiventherotatingbyobtainedsurfacetheofareatheFind15.
1vuv,-uzv,uyuv,xsurfacetheofareatheFind14.
9zplanethebelowyxzsurfacetheofareatheFind13.
π
),,(coordinateSpherical1.
:Example
k
v
z
j
v
y
i
v
x
rk
u
z
j
u
y
i
u
x
rwhere
dA|rr|A(S)isSofareasurfacethen theD,domain
parametert thethroughourangesv)(u,asoncejustcoveredisSand
Dv)(u,v)k,z(u,v)jy(u,v)ix(u,v)r(u,
equationby thegivenisandsurfaceparametricsmoothabeSLet1.
Definition
vu
D
vu
φθρ
∂
∂
+
∂
∂
+
∂
∂
=
∂
∂
+
∂
∂
+
∂
∂
=
×=
∈++=
∫∫
x
y
z
0
φ
θ
φ ),,p(
z)y,p(x,
φθρ
cosz
00,sinsiny
cossinx
zyx|op|where 222
φρ
πφρθφρ
θφρ
ρ
=
≤≤≥=
=
++==
4
,cos
4
2sin1cossinx
4
,2cos2cosz
2)2(11zyx(i)
:Sol
,-2)3(0,2(iii),0,1)3((ii))2(1,1,(i)
scoordinatesphericalr torectangulafromChange3.
2
1
3
cos1z
4
6
4
sin
3
sin1y
4
6
4
cos
3
sin1x)
3
,
4
(1,
coordinateSphericalscoordinaterrectangulatheFind.2
222222
π
θθ
π
θφρ
π
φφφρ
ρ
π
ππ
ππππ
==⇒=
==⇒=
=++=++=
=⋅=
=⋅=
=⋅=
ksin16cosjsin16sin-icos-16sin
4sin-sin4coscos4cos
0cos4sinsin4sin-
kji
rr
k)4(-sinjsin4cosicos4cosr
k0jcos4sinisin-4sinrcaculate
}0,20|),{(D),(and
k4cosjsin4sinicos4sin),r(
isequationparametricThe:Sol
SofareasurfacetheFind(ii)
4radiusofsphericalaofsurfaceThe-S
20,0
4cosz,sin4siny,cos4sinx|z)y,(x,
S(i)
Ssurfaceparametric.4
22
φφθφθφ
φθφθφ
θφθφ
φθφθφ
θφθφ
πφπθφθφθ
φθφθφφθ
πθπφ
φθφθφ
φθ
φ
θ
+=
=×
⋅+⋅+⋅=
⋅+⋅+⋅=
≤≤≤≤=∈
⋅+⋅+⋅=






≤≤≤≤
===
=
∫∫
∫∫ ∫ ∫
×=
⋅==×=
=
++=×
D
vu
D
0
2
0
22222
dA|rr|A(S)1.
Remark
164dd16sindA|rr|A(S)
16sin
)sin(16cos)sin(-16sin)cos(-16sin|rr|
Thus
π π
φθ
φθ
πφθφ
φ
φφθφθφ
u
v
v∆
u∆
ijR
),( vur
x
y
z
ur
vr
ijS
y)k)f(x,yjxiy)r(x,(
dA)
y
z
()
x
z
(1A(S)
isSofareasurfaceThe
D}y)(x,y),f(x,z|z)y,{(x,S2.
dArr
vu)r(r)A(SA(S)
vu|rr||rvru|)A(S
SofareaThe
D
22
D
vu
vuij
vuvuij
ij
++=
∂
∂
+
∂
∂
+=
∈==
×→
∆∆⋅×≈=
∆∆×=⋅∆×⋅∆≈
∫∫
∫∫
∑ ∑

Triple Integrals
zwidthequalof]z,[[zlssubinterva
nintodividedaisf][e,y,widthequalof]y,[[ylssubinterva
mintodividedad]is[c,x,widthequalof]x,[xlssubinterval
intodividedisb][a,box.rrectangulaabef][e,d][c,b][a,BLet
:Definition
[0,2][1,3][0,1]B1.
:Example
f][e,d][c,b][a,
f}zed,ycb,xa|z)y,{(x,B
:boxrRectangula
k1-k
j1-j
i1-i
∆
∆
∆
××=
××=
××=
≤≤≤≤≤≤=
existslimitthisif
v)z,y,f(xlimz)dvy,f(x,
isBboxover thefofintergraltripleThe4.
v)z,y,f(xsumRiemanntripleThe3.
zyxvBofvolumeThe2.
]z,[z]y,[y]x,[xB1.
*
ijk
*
ijk
l
1i
m
1j
n
1k
*
ijk
B
0nm,l,
*
ijk
*
ijk
l
1i
m
1j
n
1k
*
ijk
ijk
k1-kj1-ji1-iijk
∆=
∆
∆⋅∆⋅∆=∆→
××=
∑∑∑∫∫∫
∑∑∑
= = =
→
= = =
?yzdvxdefinetoHow
y}-x-1zx2,y01,x0|z)y,{(x,E3.
[0,2][1,3][-1,1]Bwhere,yz)dv(xEvaluate2.
[1,2][1,2][0,1]Bwhere,dvxyzEvaluate1.
:Example
z)dxdydzy,f(x,z)dvy,f(x,then
f][e,d][c,b][a,BoncontinuousisfIf
Theorem)sbini'Theorem(Fu
E
2
B
B
2
B
f
e
d
c
b
a
=
≤≤≤≤≤≤=
××=+
××=
=
××=
∫∫∫
∫∫∫
∫∫∫
∫∫∫ ∫ ∫ ∫
dydxz)dzy,f(x,z)dvy,f(x,then
y)}(x,zy)(x,(x),gy(x)gb,xa|z)y,{(x,EIf2.
dAz)dzy,f(x,z)dvy,f(x,then
y)}(x,zy)(x,D,y)(x,|z)y,{(x,EIf1.
properties
z)dvy,F(x,z)dvy,f(x,Define
Ez)y,if(x,0
Ez)y,if(x,z)y,f(x,
z)y,F(x,defineandE,B
boxrrectangulaaConsiderE.regionboundedgeneralaFor
E
b
a
g
g
2121
E D
21
E B
1(x)
1(x)
y)2(x,
y)1(x,
y)2(x,
y)1(x,
∫∫∫ ∫ ∫ ∫
∫∫∫ ∫∫ ∫
∫∫∫ ∫∫∫
=
≤≤≤≤≤≤=





=
≤≤∈=
=



∉
∈
=⊃
φ
φ
φ
φ
φφ
φφ
}x-yzx-y-4,yx2,x-2|z)y,{(x,E2.
zdzdydxzdv
y}-x-1z0x,-1y01,x0|z)y,{(x,E1.
:Examle
222
1
0
x-1
0
y-x-1
0
E
≤≤≤≤≤≤=
=
≤≤≤≤≤≤=
∫ ∫ ∫∫∫∫
x
z
y
22
zxy +=
15
128
dydzdxxzdvxz
4}yxz,x-4zx-42,-x-2|z)y,{(x,E
2
2-
x-4
x-4-
4
xz
22
E
22
2222
2
2 22
π
=+=+
≤≤+≤≤≤≤=
∫ ∫ ∫∫∫∫ +
Riemann-Stieltjes Integral
integralStieltjes-Riemannnamely theintegral,generalmoreaconsiderWe
)18661826( − )18941856( −
integralRiemanntheofthatsimilar toisb][a,ong(x)
respect towithf(x)ofintegralStieltjes-RiemannThe
?f(x)dg(x)definetoHow2.
integralRiemannx)xf(limf(x)dx1.
:Remark
b
a
i
n
1i
i
0p||
b
a
∫
∑∫
=
←∆=
=
→
∫
∑
∑
<
><
→∆→∆=
=
=∆∆=
=<<<<<=
=
=
=
b
a
n
1i
ii
i1-i
i1-iii
n
1i
ii
n1-n210
n10
|f(x)dg(x)-g)f,S(p,|
such that0aexiststhere0anyforif
b][a,ong(x)respect towithintegrableStieltjes-Riemannisf(x)2.
0pasMg)f(tg)f,S(p,1.
:Definition
n1,2,i],x,[xintervalin the
pointaistand)g(x-)g(xgwhere,g)f(tg)f,S(p,
g)f,S(p,sumtheDefinebxxxxxai.e
b][a,ofpartitionabe}x,x,{xPLet
ε
δε



∫∫
∫∫
∫
∫
+
++
==∈
<∆
4
2-
x
2
0.5
3
1
x2
0
2
b
a
b
a
i1-ii
p
1)d(sinxe,cosxdlnx
1)de(x,1)dcosx(x1.
:Example
b][a,ong(x)to
respectwithfofintegralStieltjes-RiemannThe-f(x)dg(x)1.
:Notation
Mf(x)dg(x)n where1,2,i],x,[xpoint ttheof
choiceanyforand,normawithb][a,ofPpartitionanyfor
2
π
δ

31)-(220)-(11])[x-]([xtlimxd[x]3.
0cos0)-(cos2
4
1
0
cos2x)
2
1
(-
2
1-
dxsin2x
2
1-
x2cosxsinxd
2
1
-)dxcosx(-sinxcosxdcosx2.
5
136
0
2
)xx
5
3
()dx3x(3xdx3x)1(x2))d(x1(x1.
:Example
(x)dxf(x)g'f(x)dg(x)
thenb],[a,on(x)g'derivativecontinuousahasg(x)where
b][a,ong(x)respect towithintegrableStieltjes-Riemannisf(x)thatSuppose
Theorem9.2
b][a,ong(x)respect towithintegrableStieltjes-Riemannisf(x)thenb][a,
oncontinuousisf(x)Ifb].[a,ong)(decreasinincreasingmonotonebeg(x)Let
Theorem9.1
n
1i
1-iii
2
0 0
0000
2
0
35242
2
0
23
2
0
2
b
a
b
a
p
=⋅+⋅==
===
===
=+=+=⋅+=++
=
∑∫
∫∫∫∫
∫∫∫
∫ ∫
=
→∆
π
π
ππππ
∫ ∑=
+
=
=








=
≤≤
≤≤
≤≤
=
=<<<<=
b
a
i
n
1i
i1-i
n21
n1n
n1-nn
212
11
n21n21
))f(c-(f(x)dg(x)Then
,c,c,cat xcontinuousisandb][a,onboundedisf(x)If
xc,
cxc,
cxc,
cxa,
g(x)
such thatb,cccawhere,c,c,cat x
tiesdiscontinujumpwithb][a,ondefinedfunctionstepabeg(x)Let
Theorem9.3
λλ
λ
λ
λ
λ








<≤
<≤
<≤
=
4x3if2
3x1if4
1x0if1
g(x)1.
:Example
1 2 3 4
1
2
3
4
x
y
-152)-(22.54)-(231)-(41dg(x)x(iii)
34)-(421)-(41
))g(x-)(g(xtlimdg(x)x(ii)
-1518-34)-(231)-(41
))g(x-)(g(xtlimdg(x)x(i)
222
3.5
0
2
22
2
0
n
1i
1-ii
2
i
0
2
22
3
0
n
1i
1-ii
2
i
0
2
p
p
=++⋅=
=+⋅=
=
==+⋅=
=
∫
∫ ∑
∫ ∑
=
→∆
=
→∆
[0,1]on1)R(3xe12.
][0,on)R(xcosx1.
:Example
b][a,ong(x)respect to
withintegrableStieltjes-Riemannisfb][a,onR(g)f1.
:Notation
cos3cos2cos1
])[-]([cos2)-(3cos31)-(2cos20)-(1cos1
cosxd[x]cosxd[x]cosxd[x]cosxd[x]cosxd[x]
:Example
f(x)dg(x)f(x)dg(x)f(x)dg(x)f(x)dg(x)1.
:Remark
4x
2
3
3
2
2
10
1
0
c
c
c
c
b
a
c
a
2
n
1-n
2
1
1
+∈+
∈
≡∈
++=
+⋅+⋅+⋅=
+++=
+++=
∫∫∫∫ ∫
∫∫∫ ∫
π
πππ
ππ

∫ ∫
∫ ∫ ∫
∫ ∫ ∫
=
∈∈
=+
=+
∈
b
a
b
a
2
0
2
0
222
c
a
b
c
b
a
g(x)df(x)-f(a)g(a)-f(b)g(b)f(x)dg(x)
haveweandb][a,onR(f)gthenb],[a,onR(g)fIf
Theorem9.5
cosxdxcosxdxcosxdx1.
:Example
f(x)dg(x)f(x)dg(x)f(x)dg(x)
haveweandexistsalsothirdthen the
exist,(1)inintegralsthreetheoftwoIfb),(a,cthatAssume
Theorem9.4
π π
π
π
incresingisg(x),(x)dg(x)fdg(x)(x)f(x)f(x)f7.
incresingisgdg(x),f(x)f(x)dg(x)6.
(x)f(x)dg(x)f(x)dg(x))g(x)f(x)d(g5.
(x)dg(x)f(x)dg(x)f(x))dg(x)f(x)(f4.
f(x)dg(x)kkf(x)dg(x)3.
f(x)dg(x)k)f(x)d(g(x)2.
g(a)-g(b)dg(x)1.
:Properties
b
a
2
b
a
121
b
a
b
a
b
a
2
b
a
1
b
a
21
b
a
2
b
a
1
b
a
21
b
a
b
a
b
a
b
a
b
a
∫∫
∫∫
∫∫∫
∫∫∫
∫ ∫
∫ ∫
∫
≤⇒≤
≤
+=+
+=+
=
=+
=
∫
∫
∫
∫
∫
∫
∫
∫
=
=
+
=+
=+
=+
=
=
⋅=



≤<+
=
=∈
4
3
4
1
1
1-
6
0
2
5
0
x
5
0
2
4
6
1
0
2x
b
a
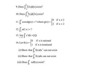
?[x]d[2x]8.
?
x
1-e1
1
|]dx[|7.
?|x-3|[x])d(x6.
?[x])d(xe5.
?)d[x]1(x4.
?xdtanx3.
?xde2.
hf(a)f(x)dg(x)thatShow
bxaifhc
axifc
g(x)b],c[a,f(x)let1.
:Exercise
π
π
∫
∫
∫
∫
∫
∫
∫
∫



=
+
=



>
≤
==
+
→
2
0
2
0
2
0
2
1
t
1x
1
1-
0
4
5
4
1
4
5
4
1
exist?xdf(x)Does(iii)
existnotcanf(x)dxthatShow(ii)
existnotcanf(x)dxthatShow(i)
irrationalisxif1
rationalisxif0
f(x)Let14.
[t])d(telim13.
?|x|xd12.
2xif2
2xif0
g(x)where?cosxdg(x)11.
exist?[x]d[2x]Does10.
exist?[2x]d[x]Does9.
x
π

1574 multiple integral