Chapter 8: Partial Derivatives Section 8.3 Written by Dr. Julia Arnold Associate Professor of Mathematics Tidewater Community College, Norfolk Campus, Norfolk, VA With Assistance from a VCCS LearningWare Grant
In this lesson you will learn about partial derivatives of a function of two variables about partial derivatives of a function of three or more variables higher-order partial derivative
Partial derivatives are defined as derivatives of a function of multiple variables when all but the variable of interest are held fixed during the differentiation.  Definition of Partial Derivatives of a Function of Two Variables If z = f(x,y), the the first partial derivatives of f with respect to x and y are the functions f x  and f y  defined by Provided the limits exist.
To find the partial derivatives, hold one variable constant and differentiate with respect to the other. Example 1:  Find the partial derivatives f x  and f y  for the function
To find the partial derivatives, hold one variable constant and differentiate with respect to the other. Example 1:  Find the partial derivatives f x  and f y  for the function Solution:
Notation for First Partial Derivative For z = f(x,y), the partial derivatives fx and fy are denoted by The first partials evaluated at the point (a,b) are denoted by
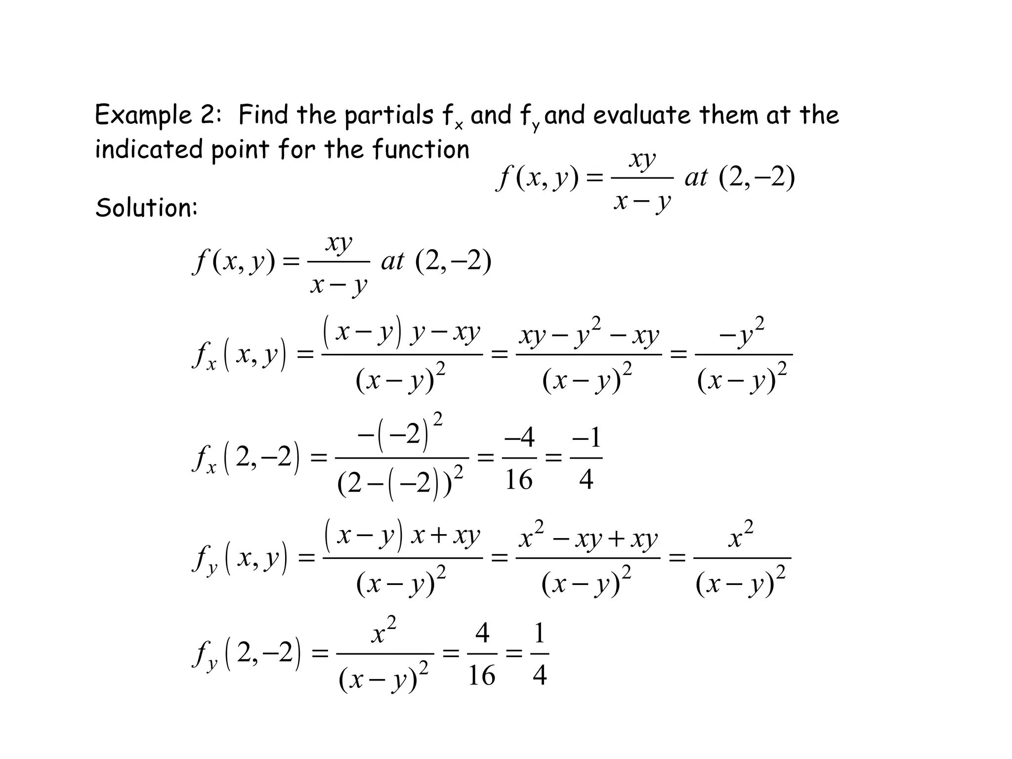
Example 2:  Find the partials f x  and f y  and evaluate them at the indicated point for the function
Example 2:  Find the partials f x  and f y  and evaluate them at the indicated point for the function  Solution:
The following slide shows the geometric interpretation of the partial derivative.  For a fixed x, z = f(x 0 ,y) represents the curve formed by intersecting the surface z = f(x,y) with the plane x = x 0. represents the slope of this curve at the point (x 0 ,y 0 ,f(x 0 ,y 0 )) Thanks to  http://astro.temple.edu/~dhill001/partial-demo/ For the animation.
 
Definition of Partial Derivatives of a Function of Three or More Variables If w = f(x,y,z), then there are three partial derivatives each of which is formed by holding two of the variables In general, if where all but the kth variable is held constant
Notation for Higher Order Partial Derivatives Below are the different 2 nd  order partial derivatives: Differentiate twice with respect to x Differentiate twice with respect to y Differentiate first with respect to x and then with respect to y Differentiate first with respect to y and then with respect to x
Theorem If f is a function of x and y such that f xy  and f yx  are continuous on an open disk R, then, for every (x,y) in R, f xy (x,y)= f yx (x,y) Example 3: Find all of the second partial derivatives of  Work the problem first then check.
Example 3: Find all of the second partial derivatives of  Notice that f xy  = f yx
Example 4:  Find the following partial derivatives for the function  a.  b.  c. d. e. Work it out then go to the next slide.
Example 4:  Find the following partial derivatives for the function  a.  b.  Again, notice that the 2 nd  partials f xz  = f zx
c. d. e. Notice All Are Equal
Go to BB for your exercises.

Bai giang Dao ham rieng

  • 1.
    Chapter 8: PartialDerivatives Section 8.3 Written by Dr. Julia Arnold Associate Professor of Mathematics Tidewater Community College, Norfolk Campus, Norfolk, VA With Assistance from a VCCS LearningWare Grant
  • 2.
    In this lessonyou will learn about partial derivatives of a function of two variables about partial derivatives of a function of three or more variables higher-order partial derivative
  • 3.
    Partial derivatives aredefined as derivatives of a function of multiple variables when all but the variable of interest are held fixed during the differentiation. Definition of Partial Derivatives of a Function of Two Variables If z = f(x,y), the the first partial derivatives of f with respect to x and y are the functions f x and f y defined by Provided the limits exist.
  • 4.
    To find thepartial derivatives, hold one variable constant and differentiate with respect to the other. Example 1: Find the partial derivatives f x and f y for the function
  • 5.
    To find thepartial derivatives, hold one variable constant and differentiate with respect to the other. Example 1: Find the partial derivatives f x and f y for the function Solution:
  • 6.
    Notation for FirstPartial Derivative For z = f(x,y), the partial derivatives fx and fy are denoted by The first partials evaluated at the point (a,b) are denoted by
  • 7.
    Example 2: Find the partials f x and f y and evaluate them at the indicated point for the function
  • 8.
    Example 2: Find the partials f x and f y and evaluate them at the indicated point for the function Solution:
  • 9.
    The following slideshows the geometric interpretation of the partial derivative. For a fixed x, z = f(x 0 ,y) represents the curve formed by intersecting the surface z = f(x,y) with the plane x = x 0. represents the slope of this curve at the point (x 0 ,y 0 ,f(x 0 ,y 0 )) Thanks to http://astro.temple.edu/~dhill001/partial-demo/ For the animation.
  • 10.
  • 11.
    Definition of PartialDerivatives of a Function of Three or More Variables If w = f(x,y,z), then there are three partial derivatives each of which is formed by holding two of the variables In general, if where all but the kth variable is held constant
  • 12.
    Notation for HigherOrder Partial Derivatives Below are the different 2 nd order partial derivatives: Differentiate twice with respect to x Differentiate twice with respect to y Differentiate first with respect to x and then with respect to y Differentiate first with respect to y and then with respect to x
  • 13.
    Theorem If fis a function of x and y such that f xy and f yx are continuous on an open disk R, then, for every (x,y) in R, f xy (x,y)= f yx (x,y) Example 3: Find all of the second partial derivatives of Work the problem first then check.
  • 14.
    Example 3: Findall of the second partial derivatives of Notice that f xy = f yx
  • 15.
    Example 4: Find the following partial derivatives for the function a. b. c. d. e. Work it out then go to the next slide.
  • 16.
    Example 4: Find the following partial derivatives for the function a. b. Again, notice that the 2 nd partials f xz = f zx
  • 17.
    c. d. e.Notice All Are Equal
  • 18.
    Go to BBfor your exercises.