λύσεις θεμάτων 1
ΘΕΜΑ 1
Δίνεται
1 x
f(x) ln
x
−
=
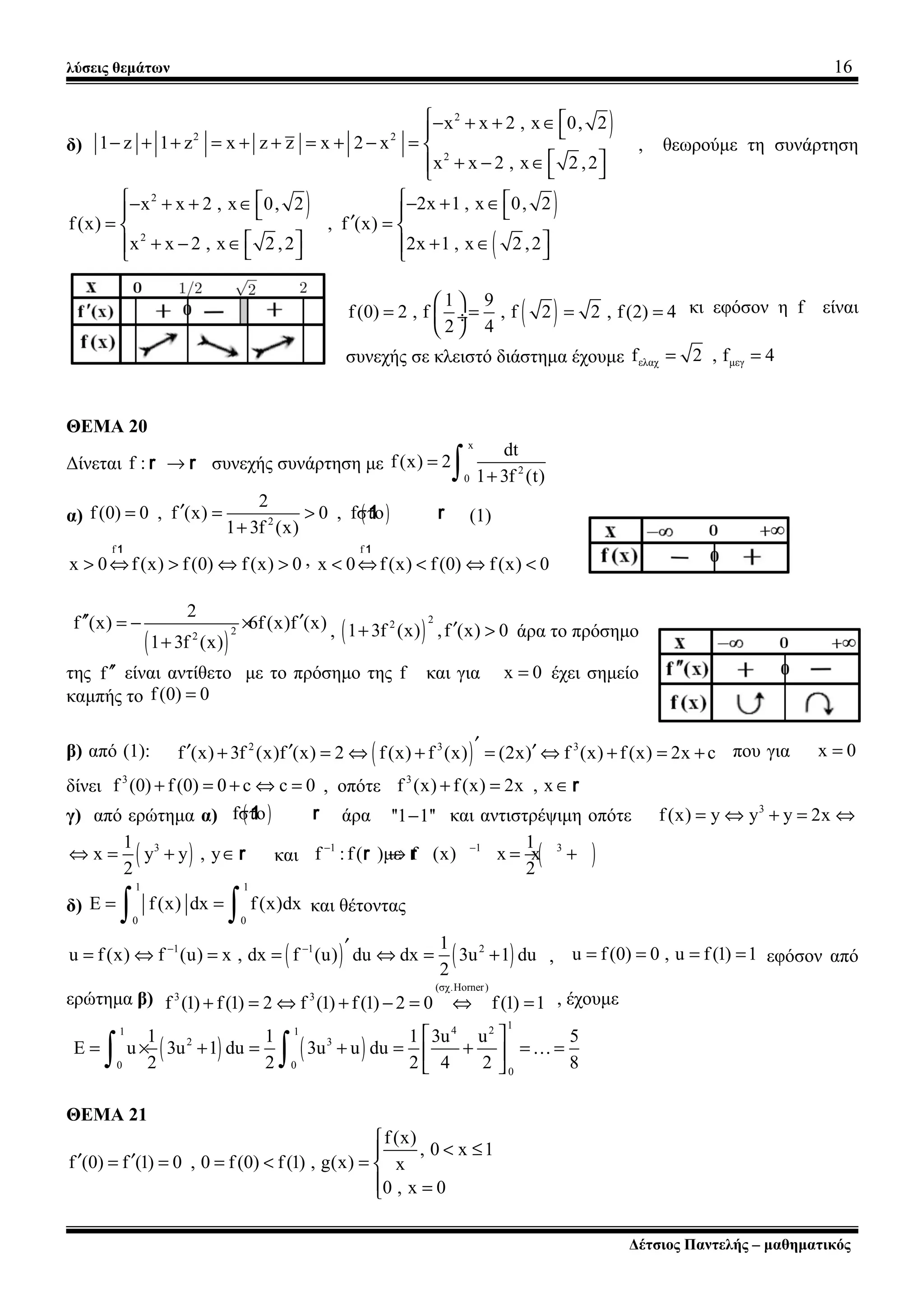
α) ( ) ( )
1 x
0 1 x x 0 x 0,1 A
x
−
> ⇔ − > ⇔ ∈ = ,
( )
( )
1
f (x) 0 ,άρα f στο Α
1 x x
′ = − <
−
2
β)
x 0
1 x
u
x
1 x ux 0 x 0
lim
x
1 x
lim f(x) lim ln lim ln u
x+ +
+→
− 
= ÷
 
− →+∞ → →
=+∞ ÷
 
−
= = = +∞ ,
x 1
1 x
u
x
1 xx 1 x 1 u 0
lim 0
x
1 x
lim f(x) lim ln lim ln u
x− − +
−→
− 
= ÷
 
− → → →
= ÷
 
−
= = = −∞ , άρα
( )f(A) ,= −∞ + ∞
γ) εφόσον f γνησίως φθίνουσα είναι και ''1 1''− άρα αντιστρέψιμη ,
1 x
f(x) y y ln
x
−
= ⇔ = ⇔
( )y 1 1
y x
1 x 1 1
e x ,οπότε f : 0,1 με f (x)
x 1 e 1 e
− −−
⇔ = ⇔ = → =
+ +
r
δ)
x x x1 1 1 1 11 x
x x x 00 0 0 0
1 1 e e (1 e ) 2e
E f (x) dx dx dx 1 dx x ln(e 1) ln
1 e 1 e 1 e e 1
− ′ + − +
 = = = = − = − + = ÷  + + + + ∫ ∫ ∫ ∫
ΘΕΜΑ 2
Δίνεται
ln x
f(x) x
2 x
= −
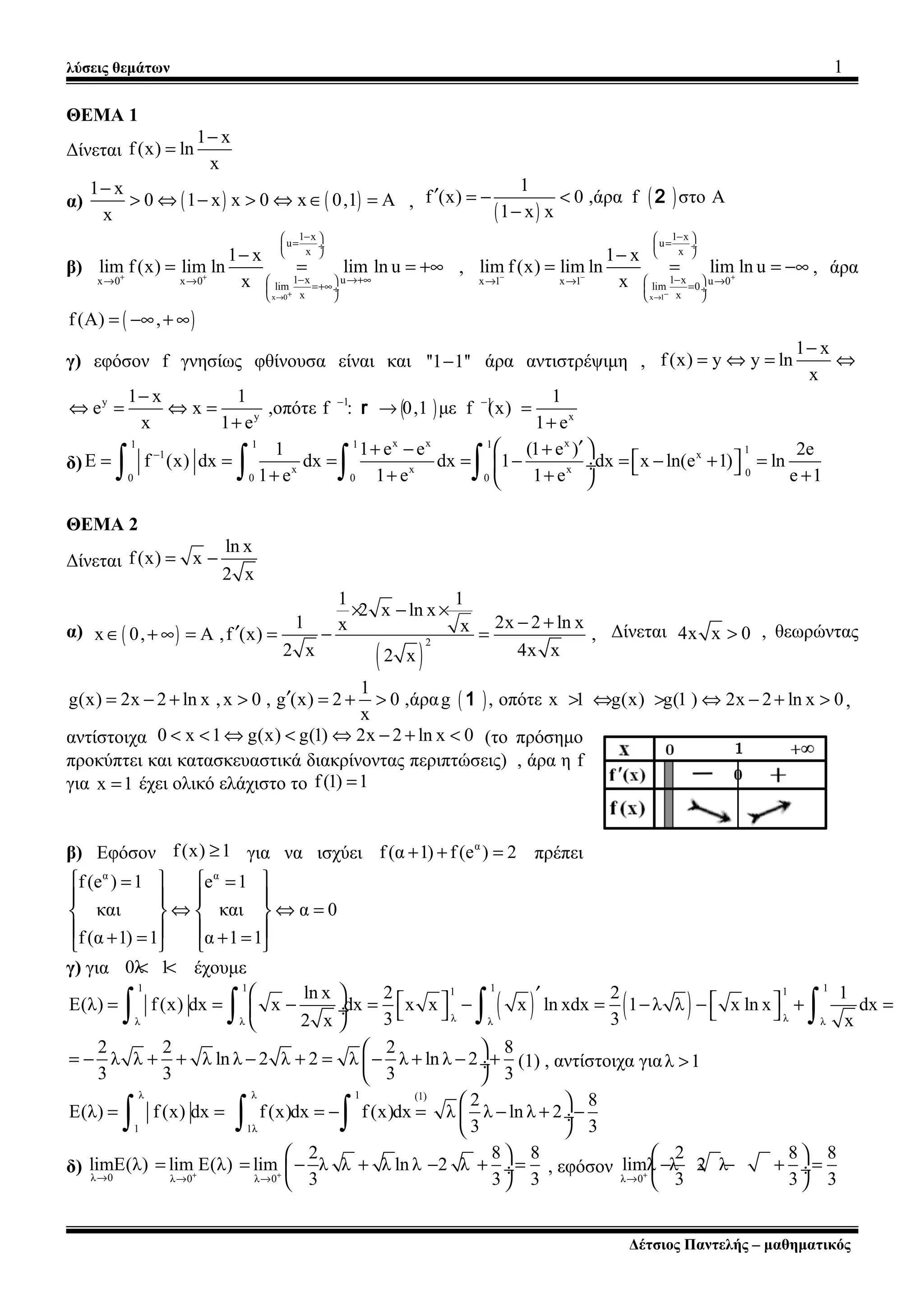
α) ( )
( )
2
1 1
2 x ln x
1 2x 2 ln xx xx 0, A ,f (x) ,
2 x 4x x2 x
× − ×
− +
′∈ + ∞ = = − = Δίνεται 4x x 0> , θεωρώντας
( )
1
g(x) 2x 2 ln x ,x 0 , g (x) 2 0 ,άραg , οπότε x 1 g(x) g(1 ) 2x 2 ln x 0
x
′= − + > = + > > ⇔ > ⇔ − + >1 ,
αντίστοιχα 0 x 1 g(x) g(1) 2x 2 ln x 0< < ⇔ < ⇔ − + < (το πρόσημο
προκύπτει και κατασκευαστικά διακρίνοντας περιπτώσεις) , άρα η f
για x 1= έχει ολικό ελάχιστο το f(1) 1=
β) Εφόσον f(x) 1≥ για να ισχύει α
f(α 1) f(e ) 2+ + = πρέπει
α α
f(e ) 1 e 1
και και α 0
f(α 1) 1 α 1 1
   = =
   
⇔ ⇔ =   
   + = + =   
γ) για 0λ 1< < έχουμε
( ) ( )
1 1 1 11 1
λ λλ λ λ λ
ln x 2 2 1
Ε(λ) f(x) dx x dx x x x ln xdx 1 λ λ x ln x dx
3 32 x x
  ′   = = − = − = − − + = ÷     ∫ ∫ ∫ ∫
2 2 2 8
λ λ λ ln λ 2 λ 2 λ λ ln λ 2
3 3 3 3
 
= − + + − + = − + − + ÷
 
(1) , αντίστοιχα γιαλ 1>
λ
1
Ε(λ) f (x) dx= =
∫
λ 1 (1)
1λ
f(x)dx f(x)dx= − =
∫ ∫
2 8
λ λ ln λ 2
3 3
 
− + − ÷
 
δ) λ 0 λ 0 λ 0
2 8 8
limΕ(λ) lim Ε(λ) lim λ λ λ ln λ 2 λ
3 3 3+ +→ → →
 
= = − + − + = ÷
 
, εφόσον
λ 0
2 8 8
limλ λ 2 λ
3 3 3+
→
 
− − + = ÷
 
Δέτσιος Παντελής – μαθηματικός
λύσεις θεμάτων 2
και ( ) ( )
( )
( )DLHλ 0 λ 0 λ 0 λ 0 λ 0
1
lnλlnλ λlimλ ln λ lim lim lim lim 2 λ 0
1 1
1
λ 2λ λ
λ
+ + + + +
−∞ 
 ÷
+∞ 
→ → → → →
′
= = = = − =
′  −
 ÷
 
λ λ λ
2 8 2 lnλ 2 8
limΕ(λ) lim λ λ λ ln λ 2 λ lim λ λ
3 3 3λ λ 3λ λ→+∞ →+∞ →+∞
  
= − + − = − + − = +∞ ÷  ÷
   
, εφόσον
λ λ
2 2 8 2
lim 0 , limλ λ
3λ 33λ λ→+∞ →+∞
 
+ − = > = +∞ ÷
 
και
( )
( )
( )λ DLH λ λ
lnλlnλ 1
lim lim lim 0
λ λλ
−∞ 
 ÷
+∞ 
→+∞ →+∞ →+∞
′
= = = =
′
ΘΕΜΑ 3
Δίνεται η συνάρτηση x
f(x) e x 1−
= + −
α) x ∈r ,
x
x x x
x x
1 e 1
f (x) e 1 1 , e 0,f (x) 0 e 1 0 x 0,
e e
− −
′ ′= − + = − + = > > ⇔ − > ⇔ > f (x) 0 x 0′ < ⇔ <
ο πίνακας μεταβολών φαίνεται δίπλα και άρα η f για x 0= έχει ολικό
ελάχιστο το f(0) 0= , επίσης
( )f
x 0 f(x) f(0) f(x) 0< ⇔ > ⇔ >
2
,
( )f
x 0 f(x) f(0) f(x) 0> ⇔ > ⇔ >
1
, άρα για το πρόσημο της f έχουμε
β) ( )x
x x xx x x x x
1 1 1
lim f(x) lim x 1 , lim f(x) lim x 1 lim 1 xe 1
e e e→+∞ →+∞ →−∞ →−∞ →−∞
     
= + − = +∞ = + − = + − = +∞ ÷  ÷  ÷
     
, εφόσον
( ) ( )
x
x x x xx x x DLH x x
1 x (x) 1
lim , lim xe lim lim lim 0
e e (e ) e
−∞ 
 ÷
+∞ 
− − −→−∞ →−∞ →−∞ →−∞ →−∞
′ 
= +∞ = = = = ÷ ′ − 
και
x
x
lim (1 xe ) 1 0
→−∞
+ = > άρα το
σύνολο τιμών αφού έχει ελάχιστο το 0 , είναι [ )f(A) 0,= + ∞ , η εξίσωση γίνεται
x
(e 0)
x x x x
e (x 1)αe 1 x 1 α e e x 1 α f(x) α
>
− −
− = − ⇔ − = − ⇔ + − = ⇔ = , αν ( ) [ )1 2Α ,0 , Α 0,= −∞ = + ∞ τότε
έχουμε ( ) [ )1 2f(A ) 0, , f(A ) 0,= + ∞ = + ∞ οπότε
• αν α 0< η εξίσωση είναι αδύνατη εφόσον α f(A)∉
• αν α 0= η εξίσωση έχει μοναδική λύση την x 0=
• αν α 0> η εξίσωση έχει δύο λύσεις εφόσον 1 2α f(A ) , α f (A )∈ ∈ και σε κάθε ένα από τα
διαστήματα 1 2A ,A η f είναι γνησίως μονότονη
γ) θεωρώντας [ )
2
x xx
g(x) 1 x e , x 0, , g (x) 1 x e f(x) 0
2
− −
′= − + − ∈ + ∞ = − + + = > από ερώτημα α) , άρα
( ) 2 2g
x xx x
x 0 g(x) g(0) 1 x e 0 1 x e
2 2
− −
> ⇔ > ⇔ − + − > ⇔ − + >
1
δ) για την εξίσωση ( )2
f(x) f x ln x= + η x 1= είναι προφανής λύση και αν ( )2
f(x) f x ln x− = τότε
•
( )f
2 2 2
x 1τότε ln x 0 , x x 1 f (x ) f(x) f(x) f(x ) 0> > > > ⇔ > ⇔ − <
1
, αδύνατη
Δέτσιος Παντελής – μαθηματικός
λύσεις θεμάτων 3
•
( )f
2 2 2
0 x 1τότε ln x 0 , 0 x x f(x ) f(x) f(x) f(x ) 0< < < < < ⇔ < ⇔ − >
1
, αδύνατη εφόσον τα δύο μέλη
της εξίσωσης είναι ετερόσημοι αριθμοί , άρα η x 1= είναι μοναδική λύση
ΘΕΜΑ 4
Δίνεται f συνεχής στο [ ]α,β , παραγωγίσιμη στο ( )α,β με f(α) α , f (β) β= =
α) για την [ ]g(x) f(x) x ,εφόσον g(α) f(α) α 0 , g(β) f(β) β 0,στ ο α,β= − = − = = − = ισχύουν οι
προϋποθέσεις Θ. Rolle , άρα υπάρχει ( )ξ α,β ώστε g (ξ) 0 f (ξ) 1 0 f (ξ) 1′ ′ ′∈ = ⇔ − = ⇔ =
β) θεωρώντας γ ( )α,β∈ με 1 2γ α d , β γ d− = − = ώστε 1 2d d β α
2 1 3
−
= = , προκύπτει ( )1
2
dβ α
3
= − οπότε
( )
2α 2β
γ α β α
3 3
+
= + − = και για την f από Θ.Μ.Τ. στα [ ] [ ]α,γ και γ,β υπάρχουν ( )1ξ α,γ∈
( )2και ξ γ,β∈ ώστε ( ) ( )1 2
f (γ) f(α) f(β) f(γ)
fξ και f ξ
γ α β γ
− −
′ ′= =
− −
, άρα 1 2
f(γ) f (α)
2f (ξ ) f (ξ ) 2
α 2β
α
3
−
′ ′+ = +
+
−
( )3 f(γ) f (α) f(β) f (γ)f(β) f(γ) f(γ) f(α) f(β) f(γ) 3(β α)
2 3
α 2β β α β α β α β αβ 2
3 3 3
− + −− − − −
+ = + = = =
+ − − − −−
γ) για την
2α β 2α β 2α β α β β α
h(x) f(x) , h(α) f(α) α 0 και h(β) 0
3 3 3 3 3
+ + + − −
= − = − = − = < = > οπότε
h(α) h(β) 0× < και εφόσον h συνεχής από Θ. Bolzano υπάρχει ( )0 0xα,β ώστε h(x ) 0∈ = ⇔
0
2α β
f(x )
3
+
⇔ = (μπορεί να προκύψει και από Θ.Ε.Τ. εφόσον
2α β
f(α) α β f(β)
3
+
= < < = )
δ) για την f από Θ.Μ.Τ. στα [ ] [ ]0 0α,x και x ,β υπάρχουν ( )1 0xα,x∈ ( )2 0και x x ,β∈ ώστε
( ) ( )0 0
1 2
0 0
f(x ) f(α) f(β) f(x )
f xκαι f x
xα β x
− −
′ ′= =
− −
, άρα
( ) ( ) ( )0 0 0 00 0
1 2
3 xα 3 β x 3 x α β xxα β x1 2
2 2 3
2α β 2α βf (x ) f (x )β α 2(β α) β αα β
3 3
− − − + −− −
+ = + = + = =
+ +′ ′ − − −− −
ΘΕΜΑ 5
Δίνεται ( )f : 0,με f(1) 1+ ∞ → =r , παραγωγίσιμη με 3 2
x f (x) 2x x 2′ + = + για κάθε x 0>
α) 3 2 3 2
3 2 2
1 2 2 1 2
x f (x) 2x x 2 x f (x) x 2 2x f (x) f (x) ln x
x x x x x
′ ′ ′ ′ ′+ = + ⇔ = + − ⇔ = + − ⇔ = − + ⇔ ÷
 
2 2
1 2 1 2
f(x) ln x c , f(1) 1 c 0οπότε f(x) ln x , x 0
x x x x
⇔ = − + + = ⇔ = = − + >
β) ( )
2
3
x 2x 2
f (x) 0για x 0 , άρα f στο 0,
x
− +
′ = > > + ∞1
( )2 2 2x x x 0 x 0 x 0
1 2 1 2 1
lim f(x) lim ln x , lim f(x) lim ln x lim ln x 2x 1
x x x x x+ + +→+∞ →+∞ → → →
     
= − + = +∞ = − + = + − = −∞ ÷  ÷  ÷
     
εφόσον 2
x 0 x 0 x 0
1
lim ln x , lim(2x 1) 1 0 , lim
x+ + +
→ → →
= −∞ − = − < = +∞ άρα f(A) = r , η εξίσωση γίνεται
Δέτσιος Παντελής – μαθηματικός
λύσεις θεμάτων 4
2
1 2α
2015
α
2 2
1 2α 1 2
α e ln α 2015 ln α 2015 f(α) 2015
α α α
−
+ −
= ⇔ = + ⇔ − + = ⇔ = , 2015 f(A)∈ = r κι εφόσον
( )f 1 είναι και ''1 1''− άρα υπάρχει μοναδικό α ( )0,∈ + ∞ ώστε f(α) 2015=
γ) πρέπει 2ημx 0 ημx 2 , που ισχύει και 2 x 0 x 2− > ⇔ < − > ⇔ < , οπότε
( ) ( )
( )f
f 2ημx f(2 x) 0 f 2 ημx f(2 x) 2 ημx 2 x ημx x− − − > ⇔ − > − ⇔ − > − ⇔ <
1
, είναι γνωστό ότι ισχύει
ημx x ,x 0 x ημx x< ≠ ⇔ − < < , άρα αν
• x 0 , xημx x> − < < οπότε ( )x 0,2∈
• x 0 , xημx x< < < − και η ανίσωση αδύνατη, οπότε η λύση τελικά είναι 0 x 2< <
δ) για την f στο
1
,1
2
 
  
έχουμε ότι είναι συνεχής και
1
f(1) 1 0και f ln 2 0
2
 
= > = − < ÷
 
, άρα από
Θ. Bolzano υπάρχει 0 0
1
x ,1ώστε f(x ) 0
2
 
∈ = ÷
 
κι εφόσον ( )f 1 είναι μοναδικό στο ( )∞+,0
x x x x x
2 2
1 1 1 1 2 1
g (x) e ln x , g (x) e ln x e e ln x e f(x)
x x x x x x
       ′ ′′= + = + + − = + − = ÷  ÷  ÷  ÷
       
, οπότε
( )x
e 0
x
0g (x) 0 e f(x) 0 f(x) 0 x x
>
′′ = ⇔ = ⇔ = ⇔ = ,
( )f
0 0x x f(x) f(x ) f (x) 0 g (x) 0′′> ⇔ > ⇔ > ⇔ >
1
,
( )f
0 00 x x f(x) f(x ) f(x) 0 g (x) 0′′< < ⇔ < ⇔ < ⇔ <
1
και η g παρουσιάζει μοναδικό σημείο καμπής για 0x x=
ΘΕΜΑ 6
Δίνεται η συνάρτηση
2
αx βx 1
f(x)
x 1
+ +
=
−
α)
( )2 2α 0
2 2x x x
f(x)αx βx 1 αx
lim lim limα 1
x x x x
≠
→+∞ →+∞ →+∞
+ +
= = = =
−
( )
( )2 2
x x x
β 1 x 1xβx 1 x x
lim f(x) x lim limβ 1 0 β 1
x 1 x 1→+∞ →+∞ →+∞
+ ++ + − +
− = = = + = ⇔ = −
− −
β)
( ) ( )( )
( ) ( )
2 2 2
2 2
x x 1 (x 1) x x 1 x 1 x 2x
f (x)
x 1 x 1
′ ′− + − − − + − −
′ = = =
− −
L ,
( )
3
2
f (x)
x 1
′′ = =
−
L , οπότε ο πίνακας μεταβολών της f
διαμορφώνεται όπως φαίνεται στον πίνακα και η f για x 0= έχει
τοπικό μέγιστο το f(0) 1= − και για x 2= τοπικό ελάχιστο το
f(2) 3=
γ) παρατηρούμε ότι αν ( )x 1,∈ + ∞ τότε f(x) f (0) 3≥ = , άρα εφόσον 2 4
x 1 , x 1 1+ + > για κάθε x 0≠ ,
για να ισχύει ( ) ( )2 4
f x 1 f x 1 6+ + + = πρέπει ( ) ( )
2 2
2 4
4 4
x 1 2 x 1
f x 1 f x 1 3
x 1 2 x 1
   + = =   
+ = + = ⇔ ⇔ ⇔   
+ = =      
x 1ή x 1⇔ = = −
Δέτσιος Παντελής – μαθηματικός
λύσεις θεμάτων 5
δ)
20 0 0 0
0
1
1 1 1 1
x x 1 1 1
E f (x) x dx x dx dx dx ln x 1 ln 2
x 1 x 1 x 1 −
− − − −
− + −
= − = − = = = − −  = − − −∫ ∫ ∫ ∫
ΘΕΜΑ 7
Δίνεται η συνάρτηση x
f(x) e x 1= + −
α) ( )x
f (x) e 1 0 , fστο άρα ''1 1'' και αντιστρέψιμη′ = + > −1 r x x
lim f(x) , lim f(x)
→−∞ →+∞
= −∞ = +∞ οπότε
( )1
f
D f(A) ,− = = −∞ + ∞ = r
β) ε: ( )1 1
y f (e) f (e) (x e)− − ′− = × −
( )f ''1 1''
1
f (e)κ f(κ) e f(1) κ 1
−
−
= ⇔ = = ⇔ = δηλ. 1
f (e) 1−
=
( )1
f f (x) x , x−
= ∈r , οπότε εφόσον 1
f −
παραγωγίσιμη έχουμε ( ) ( )1 1
f f (x) f (x) 1 (1)− − ′′ × =
για ( ) ( ) ( ) ( ) ( )1 1 1 1 1
x e , f f (e) f (e) 1 f 1 f (e) 1 f (e)
e 1
− − − −′ ′ ′′ ′= × = ⇔ × = ⇔ =
+
΄,
άρα ε:
1 1 1
y 1 (x e) y x
e 1 e 1 e 1
− = − ⇔ = +
+ + +
γ) από α) x x
f (x) e 1 0 , f (x) e 0′ ′′= + > = > , από (1) εφόσον ( )1
f f (x) 0−
′ > έχουμε ( )
( )
1
1
1
f (x)
f f (x)
−
−
′ =
′
κι εφόσον η f′ είναι παραγωγίσιμη θα είναι και η ( )1
f − ′ με
( )
( )( )
( )( )
( )( )
( )( )
1 1 1
1
2 2
1 1
f f (x) f f (x) f (x)
f (x) 0
f f (x) f f (x)
− − −
−
− −
′ ′′ ′′′′ = − = − <
′ ′
αφού ( )1
f (x), f (x), f (x) 0− ′′′ ′ > , άρα 1
f −
κοίλη
δ) ε:
y 0 11 1
y x x 1 , f(0) 0 f (0) 0με x 0
e 1 e 1
= −
= + → = − = ⇔ = =
+ +
μοναδική λύση εφόσον f ''1 1''− ,
επίσης η 1
f −
κοίλη άρα η εφαπτομένη είναι
πάνω από την γραφική της παράσταση κι
έτσι το εμβαδόν είναι
( )e
1
ΑΒΓ 1
0
1 e 2
E EΕ (e 1) 1 f (x)dx
2 2
∗
− −
= − = + × − =
∫
( ) 1 1 1
1 1 1 2 2 2u f (x) f(u) x , dx f (u)du ,u f (0) f(u ) 0 u 0,u f (e) f(u ) e u 1− − −
′∗ = ⇔ = = = ⇔ = ⇔ = = ⇔ = ⇔ =
οπότε [ ]
12e 1 1
11 u
0
0 0 0
0
u 3
f (x)dx uf (u)du uf (u) f(u)du f(1) f(0) e u
2 2
−  
′= = − = − − + − = = 
 ∫ ∫ ∫ K
Δέτσιος Παντελής – μαθηματικός
λύσεις θεμάτων 6
ΘΕΜΑ 8
Δίνεται f : →r r συνεχής με f(0) 0= και
1 1
f (x)συν 2xημ , x 0
x x
′ + = ≠
α) ( ) ( ) ( )2 2 21 1 1 1
f (x) 2xημ συνx x ημ x ημ x ημ , x ,0 0,
x x x x
′ ′   ′′ = − = + = ∈ −∞ ∪ + ∞ ÷  ÷
   
2
2
1
xημ c , x 0
x
1
f(x) xημ k , x 0
x
0 , x 0

+ <


= + >

=


, f συνεχής στο 0 άρα x 0 x 0
lim f(x) lim f(x) f(0) 0 (1)+ −
→ →
= = =
2 2 2 2 2 21 1 1
xημ x ημ x x x ημ x
x x x
= ≤ ⇔ − ≤ ≤ οπότε από κριτήριο παρεμβολής
2
x 0
1
lim xημ 0
x→
 
= ÷
 
και
από (1) έχουμε c k 0= = άρα τελικά
2 1
xημ , x 0
f(x) x
0 , x 0

≠
= 
 =
,
κριτήριο
x 0 x 0παρεμβολής
f(x) f(0) 1
f (0) lim lim xημ 0
x 0 x→ →
−
′ = = =
−
, ε: y f(0) f (0)(x 0) y 0 (x x)′ ′− = − ⇔ =
β)
1 1 1 1
f(x) 0 x 0ή ημ 0 κπ , κ x , x 0, άρα κ 0
x xκπ π
 
= ⇔ = = ⇔ = ∈ ⇔ = ∈ >  
Z και τα κοινά σημεία
είναι κ
1
Ο(0,0) και Α ,0 με κ 1,2,3,
κπ
 
= = ÷
 
K
γ)
1
u 0
x
x x u 0
f(x) 1ημu
lim lim xημ lim 1
x x u+
 
= > ÷
 
→+∞ →+∞ →
 
= = = ÷
 
( ) ( )
1 0
u 0
x 0
2
2 2 2x x DLHu 0 u 0 u 0 u 0
1ημu 1 ημu u (ημu u) 1 συνu
lim f(x) x lim xημ x lim lim lim lim 0
x u u u (u ) 2u+ + + +
   
= > ÷  ÷
   
→+∞ →+∞ → → → →
′− − −   
− = − = − = = = = ÷  ÷ ′   
άρα η ευθεία y x= πλάγια ασύμπτωτη στο ∞+
δ)
( )
21 1 1 1
π π π π
4 4 21 1 1 1
2π 2π 2π 2π
1 1
xημ ημf(x) x xE g(x) dx dx dx dx
x x x
∗
= = =− = −
∫ ∫ ∫ ∫ και θέτοντας 2
1 1
u , du
x x
= = −
έχουμε [ ]
π
π
2π
2π
Eημudu συνu συνπ συν2π 2= = − = − + =
∫
( )
1 1 1 1 1
x , x ,οπότε ημ 0 f(x) 0
2π π 2π π x
 
∗ ∈ ⇔ ≤ ≤ ≤ ⇔ ≤  
ΘΕΜΑ 9
Δίνονται ( )2x x1
f(x) 4e 1 x 1 , x , g(x) x , xκαι h(x) e
2
= − − ∈ = ≥ =r
Δέτσιος Παντελής – μαθηματικός
λύσεις θεμάτων 7
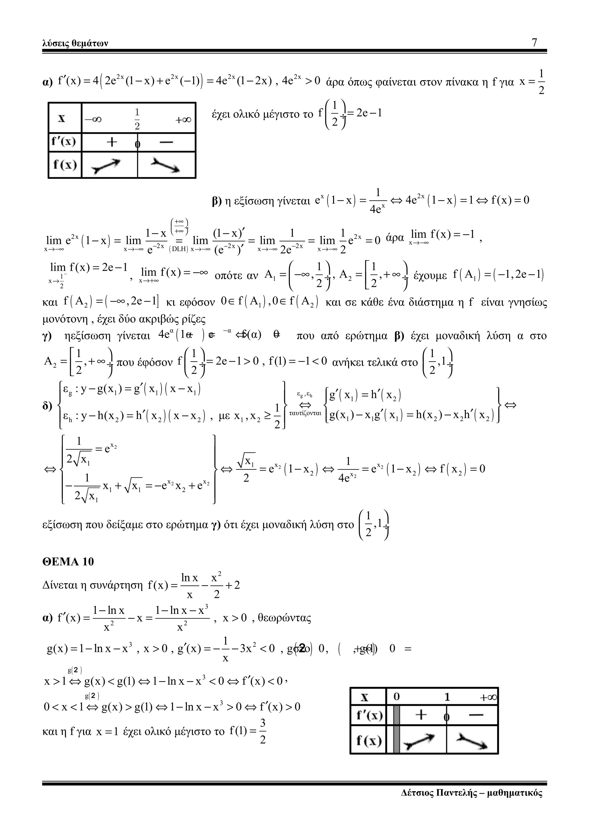
α) ( )2x 2x 2x 2x
f (x) 4 2e (1 x) e ( 1) 4e (1 2x) , 4e 0′ = − + − = − > άρα όπως φαίνεται στον πίνακα η f για
1
x
2
=
έχει ολικό μέγιστο το
1
f 2e 1
2
 
= − ÷
 
β) η εξίσωση γίνεται ( ) ( )x 2x
x
1
e 1 x 4e 1 x 1 f(x) 0
4e
− = ⇔ − = ⇔ =
( ) ( )
2x 2x
2x 2x 2xx x DLH x x x
1 x (1 x) 1 1
lim e 1 x lim lim lim lim e 0
e (e ) 2e 2
+∞ 
 ÷
+∞ 
− − −→−∞ →−∞ →−∞ →−∞ →−∞
′− −
− = = = = =
′
άρα x
lim f(x) 1
→−∞
= − ,
1
x
2
lim f(x) 2e 1−
→
= −
, x
lim f(x)
→+∞
= −∞ οπότε αν 1 2
1 1
A , , A ,
2 2
   
= −∞ = + ∞ ÷ ÷   
έχουμε ( ) ( )1f A 1,2e 1= − −
και ( ) ( ]2f A ,2e 1= −∞ − κι εφόσον ( ) ( )1 20 f A ,0 f A∈ ∈ και σε κάθε ένα διάστημα η f είναι γνησίως
μονότονη , έχει δύο ακριβώς ρίζες
γ) ηεξίσωση γίνεται ( )α α
4e 1α e f(α) 0−
− = ⇔ = που από ερώτημα β) έχει μοναδική λύση α στο
2
1
A ,
2
 
= + ∞÷ 
που έφόσον
1
f 2e 1 0 , f(1) 1 0
2
 
= − > = − < ÷
 
ανήκει τελικά στο
1
,1
2
 
 ÷
 
δ)
( ) ( )
( ) ( )
( ) ( )
( ) ( )
g hg 1 1 1 ε ,ε
1 2
ταυτίζονται
1 1 1 2 2 2h 2 2 2 1 2
ε : y g(x ) g x x x
g x h x
1
g(x ) x g x h(x ) x h xε : y h(x ) h x x x , με x ,x
2
′− = −  ′ ′=    
⇔ ⇔   
′ ′− = −′− = − ≥     
 
( ) ( ) ( )
2
2 2
2
2 2
x
1 x x1
2 2 2x
x x
1 1 2
1
1
e
2 x x 1
e 1 x e 1 x f x 0
1 2 4e
x x e x e
2 x
 
= 
 
⇔ ⇔ = − ⇔ = − ⇔ = 
 − + = − +
 
 
εξίσωση που δείξαμε στο ερώτημα γ) ότι έχει μοναδική λύση στο
1
,1
2
 
 ÷
 
ΘΕΜΑ 10
Δίνεται η συνάρτηση
2
ln x x
f(x) 2
x 2
= − +
α)
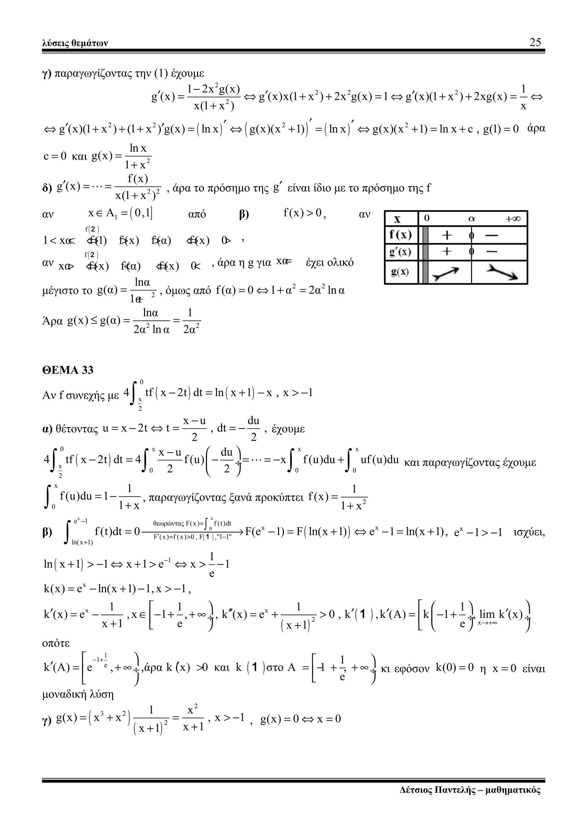
3
2 2
1 ln x 1 ln x x
f (x) x , x 0
x x
− − −
′ = − = > , θεωρώντας
( ) ( )3 21
g(x) 1 ln x x , x 0 , g (x) 3x 0 , gστο 0, , g(1) 0
x
′= − − > = − − < + ∞ =2
( )g
3
x 1 g(x) g(1) 1 ln x x 0 f (x) 0′> ⇔ < ⇔ − − < ⇔ <
2
,
( )g
3
0 x 1 g(x) g(1) 1 ln x x 0 f (x) 0′< < ⇔ > ⇔ − − > ⇔ >
2
και η f για x 1= έχει ολικό μέγιστο το
3
f(1)
2
=
Δέτσιος Παντελής – μαθηματικός
λύσεις θεμάτων 8
β) η εξίσωση γίνεται ( )
( )3
3 x 2α 42ln x x
2ln x x x 2α 4 f(x) α
2x 2x 2x
−
= + − ⇔ = + ⇔ =
( ) ( )x 0 x 0 x 0
ln x 1
lim f(x) ,εφόσον lim lim ln x
x x+ + +
→ → →
 
= −∞ = = +∞ × −∞ = −∞ ÷
 
, x
lim f(x)
→+∞
= −∞ εφόσον
( )x DLH x x
ln x (ln x) 1
lim lim lim 0
x (x) x
+∞ 
 ÷
+∞ 
→+∞ →+∞ →+∞
′
= = =
′
και
2
x
x
lim 2
2→+∞
 
− + = −∞ ÷
 
, άρα αν ( ) [ )1 2Α 0,1 , Α 1,= = + ∞ τότε
έχουμε 1 2
3 3
f(A ) , , f(A ) ,
2 2
   
= −∞ = −∞ ÷     
οπότε
• αν
3
α
2
> η εξίσωση είναι αδύνατη εφόσον 1 2α f(A ),f(A )∉
• αν
3
α
2
= η εξίσωση έχει μοναδική λύση την x 1=
• αν
3
α
2
< η εξίσωση έχει δύο λύσεις ( ) ( )1 2x 0,1 ,x 1,∈ ∈ + ∞ εφόσον 1 2α f(A ) , α f (A )∈ ∈ και σε
κάθε ένα από τα διαστήματα 1 2A ,A η f είναι γνησίως μονότονη
γ) ( )
t2 2 3t t t t
2
1 1 1 1
1
ln x x x 1 x
f(x)dx 2 dx ln x ln xdx 2 dx ln x 2x
x 2 2 2 6
     ′= − + = − − = − + = ÷  ÷  
     ∫ ∫ ∫ ∫
3
21 t 11
ln t 2t
2 6 6
= − + − , οπότε
( )
3 2t
2 3
3 2 3t t t1
1 t 11 ln t 1 2 11 1
lim f(x)dx lim ln t 2t lim t
2 6 6 2t 6 t 6t 6→+∞ →+∞ →+∞
     
= − + − = − + − = +∞ × − = −∞ ÷  ÷  ÷
    ∫ εφόσον
( )
( ) ( )
( )
22
3 3 2 3 3t DLH t t t DLH t
ln t ln t ln tln t ln t 1
lim lim lim lim lim 0
2t (2t ) 3t 3t 9t
+∞ +∞   
 ÷  ÷
+∞ +∞   
→+∞ →+∞ →+∞ →+∞ →+∞
′ ′
= = = = =
′
δ) εφόσον μεγ
3
f
2
= θα ισχύει
3 3
f(α) , f(β) και f(α) f (β) 3
2 2
≤ ≤ + ≤ , 2
γ 3 3+ ≥ οπότε για να ισχύει
πρέπει 2
2
3
f(α) f(β) 3 f(α) f(β)
α 1 και β 1 και γ 02
3γ 3
γ 0
 
+ = = =   
⇔ ⇔ = = =   
+ =   = 
ΘΕΜΑ 11
Δίνεται η συνάρτηση
1
f(x) x ln 1 ln x
x
 
= + + ÷
 
α)
1 1 1 1 1 1 1
f (x) ln 1 x 1 ln 1 0
1x x x x x x 11
x
     ′ = + + + + = + + − > ÷  ÷  ÷
+     +
για κάθε x 0> ως άθροισμα
θετικών, εφόσον
1 1 1 1 1 1
1 1 ln 1 0 , 0 x x 1 0
x x x x 1 x x 1
 
+ > ⇔ + > < < + ⇔ > ⇔ − > ÷
+ + 
οπότε η f γνησίως
αύξουσα ( )1 )στο ( )0,+ ∞ άρα ''1 1''− και αντιστρέψιμη
( )
x 0
1
u 1
x
u DLH u1x 0
lim 1
x
1 ln u 1
lim x ln 1 lim lim 0
x u 1 u+
+→
+∞   
= + ÷  ÷
+∞   
→+∞ →+∞  →
+ =+∞ ÷ ÷
  
 
+ = = = ÷
− 
κι εφόσον x 0
lim ln x+
→
= −∞ ισχύει x 0
lim f(x)+
→
= −∞ ,
Δέτσιος Παντελής – μαθηματικός
λύσεις θεμάτων 9
( )
x
1 0
u 1
x 0
x u 1 DLH u 11
lim 1 1
x
1 ln u 1
lim xln 1 lim lim 1
x u 1 u
→+∞
   
= + ÷  ÷
   
→+∞ → →  
+ = ÷ ÷
  
 
+ = = = ÷
− 
κι εφόσον x
lim ln x
→+∞
= +∞ ισχύει x
lim f(x)
→+∞
= +∞ , οπότε
( )f(A) ,= −∞ + ∞ = r
β) η εξίσωση γίνεται
x
x 1 1
ln ln x 2015 xln 1 ln x 2015 f(x) 2015, x 0
x x
+   
⇔ + = ⇔ + + = ⇔ = > ÷  ÷
   
κι εφόσον 2015 f(A)∈
και η f είναι ''1 1''− η εξίσωση έχει μοναδική θετική ρίζα
γ) ( ) ( )1
1 1
ff
f : D f(A) , f (A) D 0,−
− −
= = −∞ + ∞ = → = = + ∞r , είναι γνωστό ότι η 1
f −
έχει το ίδιο είδος
μονοτονίας με την f άρα γνησίως αύξουσα , οπότε ( )1 1 1
x x
f (A) lim f (x), lim f (x)− − −
→−∞ →+∞
= κι επομένως
1
x
lim f (x)−
→+∞
= +∞ κι έχοντας υπόψη ότι 1
u f (x) f(u) x−
= ⇔ = το όριο γίνεται
( )
( )1
x u DLH u u
x f (x) f(u) u f (u) 1 1
lim lim lim lim 1
x 1 f(u) 1 f (u) f (u)
+∞ 
 ÷− ∗+∞ 
→+∞ →+∞ →+∞ →+∞
′  + + +
= = = + =+ ∞ ÷′ ′− −  
( ) u u u
1 1 1 1
lim f (u) lim ln 1 ln(1 0) 0 0 0 , f (u) 0άρα lim
u u u 1 f (u)→+∞ →+∞ →+∞
  ′ ′∗ = + + − = + + − = > = +∞ ÷ ÷ ′+  
δ)
( )
( )
( )
2x 12 2 2 2
f (x) 01 1 1 1
1 x 1
E f(x) dx x ln 1 ln x dx ln 1 dx x ln x
x 2 x
>
>
′      ′= = + + = + + = ÷ ÷  ÷ ÷
      ∫ ∫ ∫ ∫
[ ]
2 22 2 2
22
2 1
1 1 1
1
1 1 x x 1 1 3 1 x
x ln 1 dx x ln x dx 4ln ln 2 dx 2ln 2 1
2 x 2 x 1 x 2 2 2 x 1
      
= + − − + − = − + + − = ÷  ÷  ÷  + +       ∫ ∫ ∫
( ) [ ]
2
1
1 1 3 1
4ln3 5ln 2 x ln(x 1) 2ln 2 1 ln3
2 2 2 2
= − + − + + − = = −K
ΘΕΜΑ 12
Δίνεται f : →r r κοίλη με
x 1
f(x) 3x
lim 2και f(2) 3
x 1→
−
= =
−
α) f κοίλη άρα ( )f′ 2 , f συνεχής οπότε x 1
f(1) limf(x) 3
→
= =
( )
x 1 x 1 x 1
3 x 1f(x) 3x f(x) 3 3 3x f(x) f (1)
lim 2 lim 2 lim 2 f (1) 3 2 f (1) 5
x 1 x 1 x 1 x 1→ → →
 − − − + − −
′ ′= ⇔ = ⇔ − = ⇔ − = ⇔ = ÷ ÷ ÷− − − −  
για την εφαπτομένη της fC στο Μ(1,f(1)) έχουμε ε: y f(1) f (1)(x 1) y 3 5(x 1) y 5x 2′− = − ⇔ − = − ⇔ = −
κι εφόσον η f κοίλη η fC θα είναι κάτω από την ευθεία ε δηλ. f(x) 5x 2 2 5x f(x) 0≤ − ⇔ − + ≤ με το
'' ''= να ισχύει μόνο όταν x 1= (σημείο επαφής)
β) f(1) f(2) 3= = άρα από Θ. Rolle υπάρχει ( )0 0x 1,2ώστε f (x ) 0′∈ = κι εφόσον ( )f′ 2 είναι ''1 1''−
και το 0x μοναδικό, επιπλέον
(f )
0 0x x f (x) f (x ) f (x) 0
′
′ ′ ′< ⇔ > ⇔ >
2
(f )
0 0x x f (x) f (x ) f (x) 0
′
′ ′ ′< ⇔ > ⇔ >
2
και η f για 0x x= έχει ολικό
μέγιστο
Δέτσιος Παντελής – μαθηματικός
λύσεις θεμάτων 10
γ) θεωρούμε τη συνάρτηση
x
0
F(x) f(t)dt=
∫ με
1
F (x) f(x) 0,x ,
5
 ′ = < ∈ −∞ ÷
 
εφόσον από ερώτημα α) για
1
x
5
= έχουμε
1
f 1
5
 
≤ − ÷
 
και από ερώτημα β)
1
f f 1 0
5
0
1 1
x 1 x f(x) f f(x) 0
5 5
 
≤− < ÷
  
< < < ⇔ < → < ÷
 
1
, άρα ( )
1
Fστο , οπότε και ''1 1''
5
 
−∞ − ÷
 
2 και η
εξίσωση γίνεται
2x 0 2x F''1 1''
x x 0
f(t)dt 0 f(t)dt f(t)dt 0 F(2x) F(x) 2x x x 0
−
= ⇔ + = ⇔ = ⇔ = ⇔ =
∫ ∫ ∫
Παρατήρηση: σ’ αυτές τις ασκήσεις μπορούμε να εργαστούμε και ως εξής, εφόσον f(x) 0< τότε αν
2x 2x
x x
x 2xή x 2x θα ισχύει f(t)dt 0 ή f(t)dt 0< > < >
∫ ∫ αντίστοιχα, άτοπο εφόσον πρέπει
2x
x
f(t)dt 0=
∫ , άρα 2x x x 0= ⇔ =
δ) από ερώτημα α) για
2
x
5
= έχουμε
2
f 0
5
 
≤ ÷
 
και από ερώτημα β)
2
f f 0
5
0
2 2
x 1 x f(x) f f(x) 0
5 5
 
≤ ÷
  
< < < ⇔ < → < ÷
 
1
,
x
2 2
0
g (x) 2x f(t)dt x f(x) 2xF(x) x f(x)′ = + = +
∫ ,
2 2
x 0 , f(x) 0άρα x f(x) 0≥ < ≤ , επίσης 2xF(x) 0≤ κατασκευαστικά διακρίνοντας δύο περπτώσεις
2
x 0και 0 x
5
≤ ≤ < ή από Θ.Μ.Τ. για την F στο [ ] [ ]0,xή x,0 υπάρχει ( ) ( )ξ 0,x ή ξ x,0∈ ∈ ώστε
F(x) F(0)
F (ξ) F(x) xf(ξ)
x 0
−
′ = ⇔ =
−
και 2 2
2χF(x) 2x f(ξ) 0 εφόσον f(ξ) 0 και x 0= ≤ < ≥ , άρα τελικά
2
g (x) 0 ,x ,
5
 ′ ≤ ∈ −∞ ÷
 
με το '' ''= να ισχύει μόνο για x 0= κι έτσι η g γνησίως φθίνουσα στο
2
,
5
 
−∞ ÷
 
ΘΕΜΑ 13
Δίνεται ( )f : 0,+ ∞ → r συνεχής με
x
1
1 f(t)
f(x) 2x 1 dt , x 0
x t
= − − − >
∫
α) ( ) ( )2
2
1 f(x) 1
f (x) 2 xf (x) 2x f(x) x f(x) xf (x) x ln x
x x x
′′′ ′ ′= + − ⇔ = + − ⇔ + = + ⇔
( ) ( )2 2 ln x 1
xf(x) x ln x xf(x) x ln x c , f(1) 0 c 1οπότε f(x) x , x 0
x
−′′⇔ = + ⇔ = + + = ⇔ = − = + >
β)
2
2
x 2 ln x
f (x) 0, x 0
x
+ −
′ = > > εφόσον θεωρώντας
( )2
g(x) x 2 ln x , x 0,= + − ∈ + ∞ ,
2
2x 1
g (x)
x
−
′ = και άρα η g για
2
x
2
= έχει ελάχιστο το
2 5 ln 2
g 0
2 2
  +
= > ÷ ÷
 
οπότε
Δέτσιος Παντελής – μαθηματικός
λύσεις θεμάτων 11
2
g(x) g 0
2
 
≥ > ÷ ÷
 
, έτσι ( ) ( )fστο 0, + ∞1 κι εφόσον f(1) 0=
έχουμε
( )f
x 1 f(x) f(1) 0> ⇔ > =
1
,
( )f
0 x 1 f(x) f(1) 0< < ⇔ < =
1
οπότε το
πρόσημο της f διαμορφώνεται όπως φαίνεται στον πίνακα
( ) ( ) ( )x 0 x 0
ln x 1 1
lim lim ln x 1
x x+ +
→ →
−
= − = +∞ × −∞ = −∞ άρα x 0
lim f(x)+
→
= −∞ και η ευθεία x 0= ( )y y′
κατακόρυφη ασύμπτωτη από δεξιά στο 0
( )2 2 2x DLH x x
ln x 1 (ln x 1) 1
lim lim lim 0
x (x ) 2x
+∞ 
 ÷
+∞ 
→+∞ →+∞ →+∞
′− −
= = =
′
και 2x x
f(x) ln x 1
lim lim 1 1 0 1
x x→+∞ →+∞
− 
= + = + = ÷
 
( ) ( )x x DLH x x
ln x 1 (ln x 1) 1
lim f(x) x lim lim lim 0
x (x) x
+∞ 
 ÷
+∞ 
→+∞ →+∞ →+∞ →+∞
′− −
− = = = =
′
άρα η y x= πλάγια ασύμπτωτη στο +∞
γ) ( ) ( )
121 1 1 1
λ λ λ λ
λ
ln x 1 1 ln x ln x
E(λ) f(x) x dx dx dx ln x 1 ln x dx ln x
x x 2
 − − ′= − = = = − = − = 
 ∫ ∫ ∫ ∫
2
lnλ
lnλ
2
= − +
δ) ( )
( )2
f
2
f ''1 1''
z ln z 1
z ln z 1 0 f z f(1) z 1
z −
+ −
+ = ⇔ = ⇔ = ⇔ =
1
, οπότε ο γεωμετρικός τόπος των
εικόνων των z είναι κύκλος με κέντρο Ο(0,0) και ακτίνα 1
ΘΕΜΑ 14
Δίνεται [ )f : 0,+ ∞ → r συνεχής με x
f(0) 1και 2x f (x) e , x 0′= < < >
α) ( )f (x) 2x 0 , x 0,′ > > ∈ + ∞ κι εφόσον f συνεχής στο 0, θα είναι f ( ) [ )στο 0,+ ∞1
( )2
f (x) 2x 0 f(x) x 0′′ − > ⇔ − > δηλ. η ( ) [ )2
g(x) f(x) xστο 0,= − + ∞1
g
2 2
x 0 g(x) g(0) f(x) x f(0) f (x) x 1> ⇔ > ⇔ − > ⇔ > +
1
( )x x
f (x) e 0 f(x) e 0′′ − < ⇔ − < δηλ. η ( ) [ )x
h(x) f(x) eστο 0,= − + ∞2
h
x x
x 0 h(x) h(0) f(x) e f(0) 1 f(x) e> ⇔ < ⇔ − < − ⇔ <
2
β)
( )
2 x
κριτήριο
2 x παρεμβολής
x 0
x 0 x 0
x 1 f(x) e
lim f(x) 1 f(0)
lim x 1 1 lim e +
+ +
→
→ →
 + < < 
→ = = 
+ = =  
,
2
2
1 1
0 x 1 f (x) 0
x 1 f(x)
< + < ⇔ > >
+
κι
εφόσον 2x
1
lim 0
x 1→+∞
=
+
από κριτήριο παρεμβολής x
1
lim 0
f(x)→+∞
= οπότε
f (x) 0
x x
1
lim f(x) lim
1
f(x)
>
→+∞ →+∞
= = + ∞
και
το σύνολο τιμών είναι [ )f(A) 1,= + ∞
γ) θεωρούμε [ ]2
φ(x) f(x) 2x , x 1,2= − ∈ , από ερώτημα α) για x 1και x 2= = έχουμε 2 f(1) e< < και
2
5 f(2) e 8< < < οπότε φ(1) f(1) 2 0 , φ(2) f(2) 8 0= − > = − < , άρα από Θ. Bolzano υπάρχει ( )0x 1,2∈
ώστε
2
0 0 0φ(x ) 0 f(x ) 2x= ⇔ =
δ)
1 1f (x) 0
0 0
E(Ω) f(x) dx f(x)dx
>
= =
∫ ∫ , εφόσον 2 x
x 1 f(x) e+ < < θα ισχύει
Δέτσιος Παντελής – μαθηματικός
λύσεις θεμάτων 12
( )
131 1 1 12 x x
00 0 0
0
x 4
x 1 dx f(x)dx e dx x E(Ω) e E(Ω) e 1 e
3 3
 
 + < < ⇔ + < < ⇔ < < − <   
 ∫ ∫ ∫
ΘΕΜΑ 15
Δίνεται ( )f : 0,+ ∞ → r η οποία είναι δύο φορές παραγωγίσιμη με f(1) e , f (1) 0′= = και ισχύει
1
x
xf (x) f(x) eγια κάθε x 0′ = − >
α) ( )
( )
1
1 1 1x
x x x
2 2
f (x)x x f(x) e f(x)
xf (x) f(x) e f (x)x x f(x) e e
x x x
′′ ′′ −   ′′ ′= − ⇔ − = − ⇔ = − ⇔ = ⇔ ÷ ÷
   
1 1 1x 1
x x x
f(x) f(x)
e c f(1) e c e e c c 0 , e f(x) xe
x x
=
⇔ = + → = + ⇔ = + ⇔ = = ⇔ =
β)
1 1 1 1 1
x x x x x
1 1 x 1
f (x) e xe e 1 e ,x 0 ,e 0
x x x
′ −   ′ = + = − = > > ÷  ÷
   
για x 1= η f έχει ολικό ελάχιστο το f(1) e= , f(x) f (1)≥ ⇔
x x1 1
x x xx x
x 1
xe e 1 xe e x e e
e e
   
⇔ ≥ > ⇔ ≥ ⇔ ≥ ⇔ ≥ ÷  ÷
  
γ)
( )
1
u1 u ux
ux
u DLH u ux 0 x 0
e (e )
lim f(x) lim xe lim lim lim e
u (u)+ +
+∞ 
=  ÷
+∞ 
→+∞ →+∞ →+∞→ →
  ′
= = = = = +∞ ÷
′ 
, άρα η ευθεία x 0= ( )y y′ κατακόρυφη
ασύμπτωτη από δεξιά στο 0
1
u1
x
ux
x x u 0
f(x)
lim lim e lim e 1
x +
=
→+∞ →+∞ →
= = = , ( ) ( )
01
u1 u u 0x
x
x x DLHu 0 u 0
e 1 e 1
lim f(x) x lim xe x lim lim
u u u+ +
 
=  ÷
 
→+∞ →+∞ → →
     −
− = − = − = = ÷  ÷  ÷
    
( )
( )
u
u
u 0 u 0
e 1
lim lim e 1
u
+ +
→ →
′−
= = =
′
, άρα η y x 1= + πλάγια ασύμπτωτη στο +∞
1 1
x x
1
f(x) x 1 xe x 1 e 1 , x 0
x
> + ⇔ > + ⇔ > + > , θεωρώντας [ )x
g(x) e x 1 , x 0, ,= − − ∈ + ∞ έχουμε
x
g (x) e 1 0′ = − > , άρα ( ) [ )gστο 0, + ∞1 και
g
x x
x 0 g(x) g(0) e x 1 0 e x 1 ,για κάθε x 0> ⇔ > ⇔ − − > ⇔ > + >
1
κι εφόσον
1
0
x
> θα ισχύει
1
x
1
e 1
x
> +
δ)
2 2
1 1
E f(x) x 1 dx (f(x) x 1)dx= − − = − −
∫ ∫ εφόσον από ερώτημα γ) ισχύει f(x) x 1> +
f
1 x 2 f(1) f(x) f(2) e f (x) 2 e e x 1 f(x) x 1 2 e x 1≤ ≤ ⇔ ≤ ≤ ⇔ ≤ ≤ ⇔ − − ≤ − − ≤ − −
1
κι εφόσον το '' ''=
ισχύει μόνο για x 1 , x 2= = αντίστοιχα, έχουμε
( ) ( ) ( ) ( ) ( )
2 22 22 2 2
1 1 1
1 1
x x
e x 1 dx f(x) x 1 dx 2 e x 1 dx e 1 x E 2 e 1 x
2 2
   
− − < − − < − − ⇔ − + − < < − + − ⇔   
   ∫ ∫ ∫
( ) ( )1 1 5 5
2 (e 1)2 (e 1) E 2 2 e 1 2 2 e 1 e E 2 e
2 2 2 2
⇔ − + − + − − < < − + − + − − ⇔ − < < −
ΘΕΜΑ 16
Δέτσιος Παντελής – μαθηματικός
λύσεις θεμάτων 13
Δίνεται συνάρτηση f : →r r με f(0) 0= , παραγωγίσιμη και
f (x) f (x)
f (x)
x
e x , f (x)e 1
x e
′≠ − + =
+
για
κάθε x ∈r
α) f (x)
g(x) e x 0= + ≠ κι εφόσον g συνεχής , διατηρεί σταθερό πρόσημο , f (0)
g(0) e 0 1 0= + = > , άρα
g(x) 0> για κάθε x ∈r
( )
2
f (x) f (x) 2
f (x)
x x 1 x
f (x)e 1 x e g (x)g(x) x g (x)
x e g(x) 2 2
′′   ′′ ′+ = ⇔ + = ⇔ = ⇔ = ⇔ ÷ ÷
+    
x 0
2 2 21 1 1 1
g (x) x c g (0) c c
2 2 2 2
=
⇔ = + → = ⇔ = άρα
g(x) 0
2 2 2 21 1 1
g (x) x g (x) x 1
2 2 2
>
= + ⇔ = + ⇔
( )2 f (x) 2 f (x) 2 2
g(x) x 1 e x x 1 e x 1 x f(x) ln x 1 x⇔ = + ⇔ + = + ⇔ = + − ⇔ = + −
2
2
2 2 2 2 2
1 2x 1 x x 1 1
f (x) 1 f (x) x 1 1 0 , x
x 1 x 2 x 1 x 1 x x 1 x 1
  − +
′ ′= − = × = − ⇔ + + = ∈ ÷
+ − + + − + + 
r
β) ( )2
1
f (x) 0 , fστο
x 1
′ = − <
+
2 r οπότε ''1 1''− και αντιστρέψιμη
( )
x 0
2 2
2 2x x x
1 1
lim x 1 x lim x 1 x lim x 1 1
x x
<
→−∞ →−∞ →−∞
    
+ − = + − = − + − = +∞ ÷  ÷ ÷  ÷ ÷    
, άρα
( )( )
2
u x 1 x
2
x x u
lim f(x) lim ln x 1 x lim ln u
= + −
→−∞ →−∞ →+∞
= + − = = +∞ ,
( )
( ) ( )
( )
2 2
2
x x x2
2
x 1 x x 1 x 1
lim x 1 x lim lim 0
1x 1 x x 1 1
x
→+∞ →+∞ →+∞
+ − × + +
+ − = = =
 + + + + ÷
 
, άρα
( )( )
2
u x 1 x 0
2
x x u 0
lim f(x) lim ln x 1 x lim ln u+
= + − >
→+∞ →+∞ →
= + − = = −∞ και ( )f(A) ,= −∞ + ∞ = r
2y y y
y 2 y 2 2y 2 y 2
y
1 e e e
y f(x) e x 1 x e x x 1 e x 2xe x 1 x
2e 2
−
− −
= ⇔ = + − ⇔ + = + ⇔ + + = + ⇔ = = άρα
1
f :−
→r r με
x x
1 e e
f (x)
2
−
− −
=
γ) αν
1 x x
f (x) e e
h(x) ,
συνx 2συνx
− −
−
= = τότε
1 x x x x
f ( x) e e e e
h( x) h(x),
συν( x) 2συνx 2συνx
− − −
− − −
− = = = − = −
−
δηλ. h περιττή
οπότε
1
1ln ln 2
2
ln2 ln 2
f (x)
dx h(x)dx 0
συνx
− −
= =
∫ ∫
Παρατήρηση: ισχύει γενικά ότι αν h περιττή τότε
α
α
h(x)dx 0
−
=
∫
δ)
f
0 x 1 f(0) f(x) 0 f(x)≤ ≤ ⇔ ≥ ⇔ ≥
2
οπότε
( ) ( ) [ ]
1 1 1 1 1
12
0
0 0 0 0 0
E f(x) dx f(x)dx ln x 1 x dx x f(x)dx xf(x) xf (x)dx′ ′= = − = − + − = − = − + =
∫ ∫ ∫ ∫ ∫
( )
( )
( ) ( )
21 1 1
2
2 2 00 0
x 1x
f(1) dx ln 2 1 dx ln 2 1 x 1 ln 2 1 1 2
x 1 2 x 1
′+−  = − + = − − − = − − − + = − − + −
 + +∫ ∫
Δέτσιος Παντελής – μαθηματικός
λύσεις θεμάτων 14
ΘΕΜΑ 17
Δίνονται δύο συναρτήσεις [ ]f,g : 2,3 → r συνεχείς στο [ ]2,3 παραγωγίσιμες στο ( )2,3 με f (x) 0′ ≠
για κάθε ( )x 2,3∈ και ( ) ( )2
2x 5 g(x) x 5x 6 g (x)′− ≠ − + (1) για κάθε [ ]x 2,3∈
α) f (x) 0′ ≠ άρα f ''1 1''− , γιατί αν υπάρχουν ( )1 2x ,x 2,3∈ με 1 2 1 2x xκαι f(x ) f(x )≠ = από Θ. Rolle
υπάρχει ( ) ( ) ( )0 1 2 2 1x x ,xή x ,x 2,3∈ ⊆ με 0f (x ) 0′ = , άτοπο
θεωρώντας h(x) 5f(x) 2f(2) 3f(3)= − − , έχουμε ( ) ( )h(2) 3 f(2) f(3) , h(3) 2 f(2) f(3)= − = − − και
( )
2
h(2) h(3) 6 f (2) f(3) 0× = − − < εφόσον f(2) f(3)≠ και άρα από Θ. Bolzano υπάρχει ( )ξ 2,3∈ ώστε
2f (2) 3f(3)
h(ξ) 0 5f(ξ) 2f(2) 3f(3) f(ξ)
5
+
= ⇔ = + ⇔ = , που εφόσον f ''1 1''− είναι μοναδικό
β) από Θ.Μ.Τ. υπάρχουν ( ) ( )1 2ξ 2,ξ , ξ ξ,3∈ ∈ ώστε
1
2f (2) 3f(3)
f(2)
f(ξ) f(2) 5f (ξ )
ξ 2 ξ 2
+
−
−
′ = = =
− −
( )
( )
3 f(3) f(2)
5ξ 2
−
=
−
και ( )
( )2
2f(2) 3f(3)
f (3) 2 f(3) f(2)f(3) f(ξ) 5f (ξ )
3ξ 3 ξ 5 3 ξ
+
− −−
′ = = =
− − −
οπότε
( ) ( )
( )
( )
2
1 2
6 f(3) f(2)
fξ f ξ 0
25ξ 2 (3 ξ)
−
′ ′ = >
− −
εφόσον
ξ 2 0
2ξ 3
3ξ 0
− > 
< < ⇔  
− < 
γ) από (1) για x 2= έχουμε g(2) 0 g (2) g(2) 0′− ≠ × ⇔ ≠ και για x 3= έχουμε g(3) 0 g (3) g(3) 0′≠ × ⇔ ≠
αν g(x) 0≠ για κάθε ( )x 2,3∈ τότε για την
2
x 5x 6
φ(x)
g(x)
− +
= στο [ ]2,3 ισχύει Θ. Rolle, άρα υπάρχει
( )0x 2,3∈ ώστε
( )
( ) ( )
( ) ( )
2
0 0 0 0 0 2
0 0 0 0 0 02
0
2x 5 g(x ) x 5x 6 g (x )
φ x 0 0 2x 5 g(x ) x 5x 6 g (x )
g (x )
′− − − +
′ ′= ⇔ = ⇔ − = − + , άτοπο
από (1), επομένως δεν ισχύει g(x) 0≠ για κάθε ( )x 2,3∈ δηλ. υπάρχει ( )α 2,3∈ ώστε g(α) 0=
δ) g (x) 0′ > για κάθε ( )x 2,3∈ , για την g από Θ.Μ.Τ. στο [ ]2,3 υπάρχει ( )β α,3∈ ώστε
( ) ( )
g(3) g(α)
gβ g(3) g β (3 α)
3α
−
′ ′= ⇔ = −
−
(2)
( ) ( )
g (β) 0 (2)
α β 3 α β 3 3 α 3 β 0 g (β)(3 α) g β 3 β g(3) g β)(3 β)
′ >
′ ′ ′< < ⇔ − > − > − ⇔ − > − > ⇔ − > − ⇔ > −
ΘΕΜΑ 18
Δίνεται ( )f : 1,1− → r παραγωγίσιμη με f (0) 2′ = − και ( )
x y
f(x) f(y) f ,για κάθε x, y 1,1
1 xy
 +
+ = ∈ − ÷
+ 
α) για y 0= έχουμε
x 0 x 0
f(x) f(0) f(x)
f(x) f(0) f(x) f(0) 0 , 2 f (0) lim lim
x 0 x→ →
−
′+ = ⇔ = − = = =
−
παραγωγίζοντας ως προς x έχουμε
( ) ( ) ( ) ( )
( ) ( )
2
2 2
x y 1 xy x y 1 xyx y x y 1 y
f (x) f f
1 xy 1 xy1 xy 1 xy
′ ′+ + − + +   + + −
′ ′ ′= = ÷  ÷
+ ++ +   
που για x 0= δίνει
Δέτσιος Παντελής – μαθηματικός
λύσεις θεμάτων 15
( )2
2
2
f (0) 1 y f (y) f (y)
y 1
′ ′ ′= − ⇔ =
−
, οπότε
x x
2
0 0
2
f (y)dy dy
y 1
′ = ⇔
−∫ ∫
[ ]
( )x 1,1x
xx
0 0
0
1 1
f(y) dy f(x) f(0) ln y 1 ln y 1 f(x) ln x 1 ln x 1
y 1 y 1
∈ −
 
⇔ = − ⇔ − =  − − +  ⇔ = − − + ⇔ ÷  − + ∫
1 x
f(x) ln(1 x) ln(x 1) f(x) ln
1 x
−
⇔ = − − + ⇔ =
+
β) ( ) ( ) ( )2
2
f (x) 0 , x 1,1 , fστο 1,1
x 1
′ = < ∈ − −
−
2 οπότε ''1 1''− και αντιστρέψιμη
( )
y
y y y y y
y
1 x 1 x 1 e
f(x) y ln y e 1 x e xe 1 e 1 e x x
1 x 1 x 1 e
− − −
= ⇔ = ⇔ = ⇔ − = + ⇔ − = + ⇔ =
+ + +
1 x
u
1 x
ux 1 x 1
1 x
lim f(x) lim ln lim ln u
1 x+ +
−
=
+
→+∞→− →−
−
= = = +∞
+
,
1 x
u
1 x
x 1 x 1 u 0
1 x
lim f(x) lim ln lim ln u
1 x− − +
−
=
+
→ → →
−
= = = −∞
+
, f(A) = r άρα
( )
x
1 1
x
1 e
f : 1,1με f (x)
1 e
− − −
→ − =
+
r
γ)
x1 1
1
x
0 0
e 1
E f (x) dx dx
e 1
− −
= =
+∫ ∫ , οπότε θέτοντας
x x du
e u , e dx du udx du dx
u
= = ⇔ = ⇔ = ,
x 0 u 1 , x 1 u e= ⇔ = = ⇔ = έχουμε
( )e e e
1 1 1
u 1 du A B 1 2
E du du
u 1 u u u 1 u u 1
∗
− −   
= × = + = + = ÷  ÷
+ + +   ∫ ∫ ∫
[ ]
( ) ( ) ( )
e2 2 2
e
1
1
u 1 e 1 e 1
ln u 2ln(u 1) ln ln ln 4 ln
u e 4e
 + + +
= − + + = = − = 
  
( )
( ) A B 1 B 2A B u Au 1 A B
A 1 A 1u(u 1) u u 1 u(u 1)
+ = =+ +    −
∗ = + = ⇔ ⇔   
= − = −+ + +    
δ) θεωρούμε συνάρτηση ( )
2
x x
g(x) f(x) e 1 , x 1,1
2
= − + + ∈ − , ( )x
g (x) f (x) e x 0 , x 1,1′ ′= − + < ∈ −
εφόσον από ερώτημα β) x x
f (x) 0 , e x x e 0′ < > ⇔ − < , οπότε g( )και ''1 1'' στο ( 1,1)− −2 ,
g(0) f(0) 1 0 1 0= − + + = και άρα η x 0= μοναδική λύση της εξίσωσης , αφού είναι ισοδύναμη με την
g(x) 0=
ΘΕΜΑ 19
Δίνεται zμε z 1 και 1 z x∈ = − =c
α) x 1 z AM= − = , οπότε εφόσον ΑΜ χορδή κύκλου με διάμετρο 2 θα
ισχύει 0 x AM 2≤ = ≤ , με x 0= όταν A M≡ και x 2= όταν B M≡ ,
άρα [ ]x 0,2∈
β) ( ) ( )
2 22 2 2 2 2
1 z x 1 z 1 z x 1 z z zz x 1 z z z x z z 2 x− = ⇔ − − = ⇔ − − + = ⇔ − − + = ⇔ + = −
γ) ( )2 2
1 z zz z z z z z z z z z+ = + = + = × + = +
Δέτσιος Παντελής – μαθηματικός
λύσεις θεμάτων 16
δ)
)2
2 2
2
x x 2 , x 0, 2
1 z 1 z x z z x 2 x
x x 2 , x 2 ,2
 − + + ∈ 
− + + = + + = + − = 
 + − ∈  
, θεωρούμε τη συνάρτηση
) )
(
2
2
2x 1 , x 0, 2x x 2 , x 0, 2
f(x) , f (x)
x x 2 , x 2 ,2 2x 1 , x 2 ,2
  − + ∈− + + ∈   
′= = 
  + − ∈ + ∈    
( )1 9
f(0) 2 , f , f 2 2 , f(2) 4
2 4
 
= = = = ÷
 
κι εφόσον η f είναι
συνεχής σε κλειστό διάστημα έχουμε ελαχ μεγf 2 , f 4= =
ΘΕΜΑ 20
Δίνεται f : →r r συνεχής συνάρτηση με
x
2
0
dt
f(x) 2
1 3f (t)
=
+∫
α) ( )2
2
f(0) 0 , f (x) 0 , fστο
1 3f (x)
′= = >
+
1 r (1)
f
x 0 f(x) f(0) f(x) 0> ⇔ > ⇔ >
1
,
f
x 0 f(x) f(0) f(x) 0< ⇔ < ⇔ <
1
( )
22
2
f (x) 6f(x)f (x)
1 3f (x)
′′ ′= − ×
+
, ( )
22
1 3f (x) ,f (x) 0′+ > άρα το πρόσημο
της f′′ είναι αντίθετο με το πρόσημο της f και για x 0= έχει σημείο
καμπής το f(0) 0=
β) από (1): ( )2 3 3
f (x) 3f (x)f (x) 2 f(x) f (x) (2x) f (x) f(x) 2x c′′ ′ ′+ = ⇔ + = ⇔ + = + που για x 0=
δίνει 3
f (0) f (0) 0 c c 0+ = + ⇔ = , οπότε 3
f (x) f(x) 2x , x+ = ∈r
γ) από ερώτημα α) ( )fστο1 r άρα ''1 1''− και αντιστρέψιμη οπότε 3
f(x) y y y 2x= ⇔ + = ⇔
( )31
x y y , y
2
⇔ = + ∈ r και ( )1 1 31
f :f( )με f (x) x x
2
− −
→ = +r r
δ)
1 1
0 0
E f(x) dx f(x)dx= =
∫ ∫ και θέτοντας
( ) ( )1 1 21
u f(x) f (u) x , dx f (u) du dx 3u 1 du
2
− − ′= ⇔ = = ⇔ = + , u f(0) 0 , u f(1) 1= = = = εφόσον από
ερώτημα β)
(σχ.Horner)
3 3
f (1) f(1) 2 f (1) f(1) 2 0 f(1) 1+ = ⇔ + − = ⇔ = , έχουμε
( ) ( )
14 21 1
2 3
0 0
0
1 1 1 3u u 5
E u 3u 1 du 3u u du
2 2 2 4 2 8
 
= × + = + = + = = 
 ∫ ∫ K
ΘΕΜΑ 21
f(x)
, 0 x 1
f (0) f (1) 0 , 0 f(0) f(1) , g(x) x
0 , x 0

< ≤
′ ′= = = < = 
 =
Δέτσιος Παντελής – μαθηματικός
λύσεις θεμάτων 17
α)
x 0 x 0 x 0
f(x) f(x) f (0)
g(0) 0 , lim g(x) lim lim f (0) 0
x x 0+ + +
→ → →
−
′= = = = =
−
β) αν
( ) 2
x 1 x 1 x 1
f(x)
f(1)
f (x)x f(x) g(x) g(1) f(x) f(1)xxx 0,1 g (x) , g (1) lim lim lim
x x 1 x 1 x(x 1)− − −
→ → →
−′ − − −
′ ′∈ = = = = =
− − −
_ _
x 1 x 1
f(x) f(1)x f(1) f(1) 1 f(x) f (1) f(1)(x 1)
lim lim f (1) f(1) f(1) 0
x(x 1) x x 1 x(x 1)→ →
 − + − − −
′= = × − = − = − < ÷
− − − 
γ) αν g έχει μέγιστο στο 1 τότε g(x) g(1)≤ , άρα αφού g(x) g(1) 0και x 1 0− ≤ − < ,
x 1
g(x) g(1)
g (1) lim 0
x 1−
→
−
′ = ≥
−
, δηλ. g (1) 0′ ≥ άτοπο από β)
στο 0 δεν μπορεί εφόσον g(0) 0 f(1) g(1)= < = δηλ. υπάρχει αποτέλεσμα μεγαλύτερο από το g(0) .
Εφόσον όμως g συνεχής στο [0 , 1] έχει μέγιστο και αφού δεν είναι στα άκρα το έχει σε εσωτερικό
σημείο του [0 , 1]
δ) αν ( )0x 0,1∈ το σημείο που η g έχει μέγιστο από Θ. Fermat ( )0 0 0 0g x 0 f (x )x f(x ) 0 (1)′ ′= ⇔ − =
0 0 0 0 0 0 0 0 0ε : y f(x ) f (x )(x x ) , O (ε) f(x ) f (x )( x ) f (x )x f (x ) 0′ ′ ′− = − ∈ ⇔ − = − ⇔ − = που ισχύει από (1)
ΘΕΜΑ 22
[ ]f :α,β → r , παραγωγίσιμη με f (x) 0′ ≠ για κάθε ( )xα,β∈ και οι μιγαδικοί
α
1z e if(α)= + ,
β
2z f (β) ie= + και
2
2
4wγ
w ,γ
3 3w
= − ∈r
α) w δεν είναι πραγματικός σημαίνει ότι η εξίσωση
4 3
3w 4wγ 0− + = δεν έχει πραγματικές ρίζες. Θεωρώ
4 3
g(x) 3x 4xγ= − + , x ∈r 2
g (x) 12x (x 1)′ = −
0 x 0ή x 1= ⇔ = = Από τον πίνακα μεταβολών η g έχει
ολικό ελάχιστο το g(1)γ 1= − κι εφόσον x x
lim f(x) lim f(x)
→+∞ →+∞
= = +∞ η g έχει σύνολο τιμών
[ )g(A)γ 1,= − + ∞ , άρα για να μην έχει πραγματική λύση η g(x) 0= πρέπει γ 1 0 γ 1− > ⇔ >
β) ( )
2α 2 2α 2
1α 0 , z 1 e f (α) 1 e f (α) 1≥ = ⇔ + = ⇔ + = . 2α 2
2α 0 e 1και εφόσον f (α) 0≥ ⇔ ≥ ≥ πρέπει
1α 0 και f(0) 0, οπότε z 1= = =
γ) ( )α β α β
1 2z z e f(β) f(α)e e f(α)f(β i+
= − + + ,
α β
1 2Im(z z ) 0 f(α)f(β) e 0+
= ⇔ = − < , οπότε για την f από
Θ. Bolzano υπάρχει 0 0x (α,β) ώστε f(x ) 0∈ = και αφού f (x) 0′ ≠ η f είναι «1-1» άρα το 0x μοναδικό.
δ)
(γ)
1 2 α β
f(α) f(β)
u z z I
e e
= ∈ ⇔ = άρα για την συνάρτηση x
f(x)
h(x)
e
= ισχύουν προϋποθέσεις Θ. Rolle στο
[α , β], οπότε υπάρχει ( )ξ α,β ώστε h (ξ) 0 f (ξ) f (ξ)′ ′∈ = ⇔ ⇔ =LL
ΘΕΜΑ 23
x
f(t) t , t 0= > x 1
f (t) xt −
′ =
α) από Θ.Μ.Τ. υπάρχει 1ξ (3,4)∈ τέτοιο, ώστε
x 1 x x
1 1
f(4) f(3)
f (ξ ) xξ 4 3
4 3
−−
′ = ⇔ = −
−
Δέτσιος Παντελής – μαθηματικός
λύσεις θεμάτων 18
β)
x 1
(α)
x x x x x 1 x 1 1 1
1 2
2 2
ξ ξ
4 3 6 5 xξ xξ x 0 ή 0 με 0
ξ ξ
−
− −  
− = − ⇔ = ⇔ = = ≠ ÷
 
οπότε x 1 0 x 1− = ⇔ =
γ) ( )
1
2
ξ
1x 1
ξ(x 0)
x x x x x 1 x 1 1
1 2
2
ξ
4 5 3 6 xξ ξ 0 1 x 1 0 x 1
ξ
 
< ÷−
>  
− −  
+ > + ⇔ ⇔ − > ⇔ > ⇔ − < ⇔ > ÷
 
L
( )
1x x x x1
x x x x
0
0
4 5 3 6 3 4 2 5
4 5 3 6 dx 0 0
ln 4 ln5 ln3 ln 6 ln 4 ln5 ln3 ln 6
 
+ − − > ⇔ + − − > ⇔ ⇔ + > + 
 ∫ L
δ) εφόσον g κυρτή ή κοίλη έχουμε ότι ( ) ( )g΄ή g′ ′1 2 άρα αρκεί να έχουμε σύγκριση δύο
αποτελεσμάτων της g′ . Από (γ) έχουμε
1 2(2 x 3 4 x 5)(Θ.Μ.Τ.
1 2 1 2g(3) g(4) g(2) g(5) g(3) g(2) g(5) g(4) g (x ) g (x ) x x
< < < < <
′ ′+ > + ⇔ − > − ⇔ > ⇔ < , άρα η g′ δεν
μπορεί να είναι ( )1 , είναι ( )2 , άρα g κοίλη
ΘΕΜΑ 24
( )f : 0, ,παραγωγίσιμη με f(1) 1 , f(x) 0 ,x 0 και xf (x ) 2f(x) 0,′+ ∞ → = ≠ > + <r για κάθε x 0>
α) f(x) 0≠ κι εφόσον συνεχής ως παραγωγίσιμη, διατηρεί σταθερό πρόσημο, όμως f(1) 1 0= > , άρα
( )f(x) 0 , x 0,> ∈ + ∞ . Έχουμε ( )
f (x) 2
xf (x) 2f(x) lnf (x) 2ln x 0
f (x) x
′ ′′ < − ⇔ < − ⇔ + < , θεωρώντας
λοιπόν την ( )2
g(x) lnf(x) 2ln x ln x f(x)= + = ισχύει ( )g (x) 0για x 0,′ < ∈ + ∞ , άρα ( )g 2 στο
( )0,+ ∞ , οπότε έχουμε
( )
( )
g
2
2
1
0 x 1 g(x) g(1) ln x f(x) 0 f(x)
x
< < ⇔ > ⇔ > ⇔ ⇔ >L
2
και αντίστοιχα όταν
( )g
2
1
x 1 g(x) g(1) f(x)
x
> ⇔ < ⇔ ⇔ <L
2
β)
( )2
κριτήριο
παρεμβολής
x 0
2
x 0
1
f(x) , x 0,1
x
lim f(x)
1
lim
x
+
+
→
→

> ∈ 
→ = +∞
= +∞

, άρα η x 0 (yy )′= κατακόρυφη όταν x 0+
→
( )3
κριτήριο
παρεμβολής x
3x
f(x) 1
0 , x 1,
f(x)x x
lim 0
1 x
lim 0
x
→+∞
→+∞

< < ∈ +∞ 
→ =
=

,
( )2
κριτήριο
παρεμβολής x
2x
1
0 f(x) , x 1,
x
lim f(x) 0
1
lim 0
x
→+∞
→+∞

< < ∈ +∞ 
→ =
=

άρα η y 0 (xx )′= οριζόντια όταν x → +∞
γ) από Θ.Μ.Τ. για την f
1
υπάρχει ξ ,2
2
1
f(2) f
5 5 1 152
2f (ξ) 5 0 f (ξ) f (2) f
12 2 2 42
2
 
∈ ÷
 
 
−  ÷
  ′ ′+ < ⇔ < − → < − ⇔ − < − ÷
 −
Δέτσιος Παντελής – μαθηματικός
λύσεις θεμάτων 19
από α)
( )
1
0 f(2)
4 1 1 15
f(2) f 4
1 1 2 4 4
f 4 f 4
2 2
+

< <   
→ − < − = −  ÷
     > ⇔ − < − ÷  ÷     
δ)
1
λ
λ
1
f(x)dx ,αν 0 λ 1
E(λ)
f(x)dx ,αν λ 1

< ≤

= 
 >

∫
∫
, οπότε αν
( )
11 1
0λ 1
με ολοκλήρωση2 2
λ λ λ
1 1 1 1
x 0,1 ,f(x) f(x)dx dx E(λ) 1
x x xλ
< <  
∈ > → > ⇔ > − = −  ∫ ∫ Όμως
λ 0
1
lim 1
λ+
→
 
− = +∞ ÷
 
και άρα από κριτήριο παρεμβολής λ 0
lim E(λ)+
→
= +∞
( )
λλ λ
λ 1
με ολοκλήρωση2 2
1 1 1
1 1 1 1
x 1, f(x) f(x)dx dx E(λ) 1 1 λ 0
x x xλ
>  
∈ + ∞ < → < ⇔ < − = − < ⇔ >  ∫ ∫ , ισχύει
ΘΕΜΑ 25
( ) x
f (x) x 2 e−
′′ = − , x ∈r , η ευθεία ε : y 2x 1= − πλάγια ασύμπτωτη στο +∞ και
2
2
4 5
z ,z
z z
∗
= − ∈c
α)
x
f(x)
lim 2 (1)
x→+∞
= ( )x
lim f(x) 2x 1 (2)
→+∞
− = −
( ) [ ] ( ) ( ) ( )
x x x xxxt t t t
0 00 0 0 0
f (t)dt t 2 e dt f (t) t 2 e dt f (x) f (0) t 2 e e dt− − − −′′′ ′ ′ ′  = − ⇔ = − − ⇔ − = − − + ⇔ ∫ ∫ ∫ ∫
f (0) c
x
f (x) e (1 x) 1 c
′ =
−
′⇔ = − − +L
Άρα ( )
x x
t
0 0
f (t)dt e (1 t) c 1 dt−
′ = − + − ⇔
∫ ∫
x x x
t t
0 0 0
f(x) f(0) e dt te dt (c 1)dt− −
− = − + − ⇔
∫ ∫ ∫ ⇔L
f (0) k
x
f(x) xe (c 1)x k
=
−
⇔ = + − + ,
(1)
x
x x
f(x) k
lim lim e c 1 2 c 1 c 3
x x
−
→+∞ →+∞
 
= + − + ⇔ = − ⇔ = ÷
 
,
( ) ( )
(2)
x
x x
lim f(x) 2x lim xe 2x k 2x 1 k−
→+∞ →+∞
− = + + − ⇔− = Άρα x
f(x) xe 2x 1 , x−
= + − ∈r
β)
x
x
2e x 1
f (x)
e
− +
′ = , θεωρούμε x
g(x) 2e x 1,x= − + ∈r μ x
g (x) 2e 1 0 x ln 2′ = − = ⇔ = −
g(x) g( ln 2) 0≥ − > , x
e 0> άρα f (x) 0′ > και ( )f 1 οπότε και «1-1»
επομένως αντιστρέψιμη. x x
lim f(x) , lim f(x)
→−∞ →+∞
= −∞ = +∞ και άρα
1
f
D f(A) ( , )− = = −∞ + ∞ = r
γ) f "1 1"4 4
f(x 4x 5) 1 f(0) x 4x 5 0−
− + = − = → − + = .
Θεωρώ 4 3
h(x) x 4x 5 ,x ,h (x) 4x 4 0 x 1′= − + ∈ = − = ⇔ =r Από τον πίνακα μεταβολών για x 1= η h
έχει ολικό ελάχιστο το h(1) 2= κι εφόσον x x
lim h(x) lim h(x)
→−∞ →+∞
= = +∞ είναι [ )h(A) 2,= + ∞ , οπότε αφού
το 0 δεν ανήκει στο σύνολο τιμών η εξίσωση δεν έχει πραγματικές ρίζες.
Δέτσιος Παντελής – μαθηματικός
λύσεις θεμάτων 20
2 4
2
4 5
z z 4z 5 0
z z
= − ⇔ − + = , αν z πραγματικός τότε η εξίσωση
4
x 4x 5 0− + = θα είχε πραγματική ρίζα, άτοπο
δ)
1
1
e 1
1
E f (x) dx
+
−
−
=
∫ , 1
u f (x) x f(u)−
= ⇔ = άρα dx f (u)du′= ,
f "1 1"
1
f "1 1"
1
x 1,u f ( 1) f(u) 1 f(0) u 0
1 1 1
x 1 ,u f (1 ) f(u) 1 f (1) u 1
e e e
−
−
−
−
 
= − = − ⇔ = − = ⇔ = ÷
 ÷
= + = + ⇔ = + = ⇔ = ÷
 
άρα [ ]
1 1 1u 0
1
0
0 0 0
3
E u f (u)du uf (u)du uf(u) f(u)du
e
>
′ ′= = = − = =
∫ ∫ ∫ L
ΘΕΜΑ 26
Aν f συνεχής στο ( )
x
2
1
f (t)
0,με f(x) e dt
t
+ ∞ = −
∫
α)
1 1 1 1
x x x x
2 2
f (x) 1
f (x) f (x) f(x) 0 e f (x) e f(x) 0 e f(x) 0 e f(x) c
x x
− − − −
′ ′   
′ ′ ′= − ⇔ + = ⇔ + = ⇔ = ⇔ = ÷  ÷
   
1 1
x x
2
1
f(1) eάρα c 1,f(x) e ,f (x) e 0
x
′= = = = − < άρα ( )f 2 ,
1 1
x x
3 4
2 1
f (x) e e 0
x x
′′ = + > άρα f κυρτή
β) η εξίσωση που θέλουμε να δείξουμε ότι έχει λύση ( )0x 1,2∈ είναι
x
1
12
θεωρώνταςx
F(x) f (t)dt1
f(x)dx e F(2) F (x) F (x) F(2) 0
=
′ ′= → = ⇔ − =
∫∫ , με Bolzano δεν ισχύουν οι προϋποθέσεις
άρα θεωρώ την G(x) F(x) F(2)x= − , παράγουσα δηλ. της αντίστοιχης συνάρτησης και ελέγχω
προϋποθέσεις για Θ. Rolle. G(1) F(2) , G(2) F(2)= − = − άρα από Θ. Rolle υπάρχει ( )0x 1,2∈ ώστε
0
12
x
0
1
G (x ) 0 f(x)dx e′ = ⇔ ⇔ =
∫L . ( )G (x) f(x) F(2),G (x) f (x) 0,G′ ′′ ′ ′= − = < 2 άρα 0x μοναδικό
( )∗ και με Θ.Μ.Τ. για την F στο [1 , 2]
γ)
x
1
f (t)dt ex e F(x) ex e F(x) ex e 0= − ⇔ = − ⇔ − + =
∫ Θεωρώ ( )h(x) F(x) ex e,x 0,= − + ∈ + ∞
h(1) F(1) e e 0= − + = , h (x) F (x) e f(x) e f(x) f(1)′ ′= − = − = − ,
( )f
x 1 f(x) f (1) h (x) 0′> ⇔ < ⇔ <
2
,
( )f
0 x 1 f(x) f(1) h (x) 0′< < ⇔ > ⇔ >
2
, άρα η x 1= μοναδική λύση
( )∗ και ε : y F(1) F (1)(x 1) y ex e′− = − ⇔ = − , F (x) f(x) , F (x) f (x) 0′ ′′ ′= = < από α) άρα η F κοίλη
οπότε η γραφική της παράσταση βρίσκεται κάτω από την εφαπτομένη ε δηλ. F(x) ex e< − και το " "=
ισχύει μόνο όταν x 1=
δ)
3
x
x
f(t)
G(x) dt
t 1
=
−∫ , x 1άρα x 1+
→ > και 3
x x< οπότε
Δέτσιος Παντελής – μαθηματικός
λύσεις θεμάτων 21
( ) 3f (t 1 0)
3 3 f(x) f(t) f(x )
x t x f(x) f(t) f(x )
t 1 t 1 t 1
− >
≤ ≤ ⇔ ≥ ≥ ⇔ ≥ ≥
− − −
2
και
3 3 3 3x x x
x x x
f (x) f(t) f(x )
dt dt dt
t 1 t 1 t 1
≥ ≥
− − −∫ ∫ ∫ ,
3 3
x x
3
x x
1 1
f(x) dt G(x) f(x ) dt
t 1 t 1
≥ ≥
− −∫ ∫ ( ) ( )2 3 2
f(x)ln x x 1 G(x) f(x )ln x x 1⇔ + + ≥ ≥ + +
( ) ( )2 3 2
x 1 x 1
lim f(x)ln x x 1 lim f(x )ln x x 1 eln3+ +
→ →
+ + = + + = , άρα από κριτήριο παρεμβολής x 1
lim G(x) eln3+
→
=
ΘΕΜΑ 27
f , g : →r r παραγωγίσιμες με
x x
2
1 1
f (t)dt g(t)dt x 2x 1 , x= + − + ∈
∫ ∫ r
α) με παραγώγιση f(x) g(x) 2x 2= + − , εφόσον η ευθεία y x= πλάγια ασύμπτωτη στο +∞ ισχύει
( )x x
f(x)
lim 1και lim f(x) x 0
x→+∞ →+∞
= − = , x x
g(x) f(x) 2
lim lim 2 1 2 0 1
x x x→+∞ →+∞
 
= − + = − + = − ÷
 
( ) ( )x x
lim g(x) x lim f(x) x 2 0 2 2
→+∞ →+∞
+ = − + = + = , άρα η ευθεία y x 2= − + πλάγια ασύμπτωτη της
gστο + ∞
β) 1 2 1 2x 1 x , g(x ) g(x ) 0< < = = , 1 1 1 1f(x ) g(x ) 2x 2 2(x 1) 0= + − = − < , 2 2f(x ) 2(x 1) 0= = − >L , άρα
από Θ. Bolzano υπάρχει 0 1 2 0x (x ,x ) ,ώστε f(x ) 0∈ = (1)
γ)
2 2 1 2
0 0 0 1
E f(x) g(x) dx 2 x 1 dx 2 (1 x)dx (x 1)dx 2
 
= − = − = − + − = = ÷
 ∫ ∫ ∫ ∫ L
δ)
0 2
2 0 2 2 0 2
2
f(x) 2x x x
f (x) f (x)(x x) f (x) 2x x x f (x)(x x) f (x) 2x (x x )
x x
+ − −
′ ′ ′= ⇔ − = + − − ⇔ − − = − + ⇔
−
( ) ( )2
2 0 2f(x)(x x) x (x x )x ′′⇔ − = − + Θεωρώ
2
2 0 2H(x) f(x)(x x) x (x x )x= − − + + [ ]0 2x x ,x∈
( )1
2
0 0 0 2 0 2 0H(x ) x (x x )x x x=− + + = ,
2
2 2 0 2 2 0 2H(x ) x (x x )x x x= − + + = , 0 2H(x ) H(x )= , άρα από
Θ.Rolle υπάρχει ( )0 2α x ,x∈ ώστε
0 2
2
f(α) 2α x x
H (α) 0 f (α)
xα
+ − −
′ ′= ⇔ ⇔ =
−
L
ΘΕΜΑ 28
x1 xf (x)
f(x) xf (x) ,x 0 (1)και g(x) e ημx
x
′+
′+ = > =
α) ( )
(0 x)
2 2 1
xf(x) x f (x) 1 xf (x) x x f (x) xf(x) 1 (x 1)f (x) f(x)
x
<
′ ′ ′ ′+ = + ⇔ − + = ⇔ − + = ⇔
( ) ( )(x 1)f(x) ln x (x 1)f(x) ln x c′ ′⇔ − = ⇔ − = + , από (1) f(1) 1= άρα c 0= και
ln x
f(x) ,0 x 1
x 1
= < ≠
−
,
αν x 1= τότε εφόσον f παραγωγίσιμη στο 1 είναι και συνεχής άρα
0
0
x 1 x 1 DLH
ln x
f(1) limf(x) lim 1
x 1
 
 ÷
 
→ →
= = =
−
, οπότε
ln x
, 0 x 1
f(x) x 1
1 , x 1

< ≠
= −
 =
β)
( )
( ) ( )2
1
1 ln x
xf (x) ,x 0,1 1,
x 1
− −
′ = ∈ ∪ + ∞
−
Θεωρώ ( ) 2
1 1 x
h(x) 1 ln x , x 0, , h (x)
x x
−
′= − − ∈ + ∞ =
Δέτσιος Παντελής – μαθηματικός
λύσεις θεμάτων 22
αν 0 x 1,h(x) h(1) 0< ≠ < =
οπότε f (x) 0′ < κι εφόσον η f είναι
συνεχής στο 1 θα είναι τελικά ( )f 2
στο ( )0,+ ∞ άρα "1 1"−
x x DLH xx 0 x 0
ln x ln x 1
lim f(x) lim , lim f(x) lim lim 0
x 1 x 1 x+ +
∞ 
 ÷
∞ 
→+∞ →+∞ →+∞→ →
= = +∞ = = =
− −
( ) 1
f
f(A) 0, D −= + ∞ =
γ) αν 1 2x x< με ( ) ( )1 1f g(x 1 f g(x= = τότε ( ) ( )
f "1 1"
1 1 1 2f g(x f(1) f g(x g(x ) g(x ) 1
−
= = ⇔ = = (1)
( )x x x
eσυνx 1 0 συνx e 0 ημx e 0− − ′+ = ⇔ + = ⇔ − = Θεωρώ [ ]x
1 2F(x)ημx e , x x ,x−
= − ∈
1
1
1 1 1
x (1)
x 1 1
1 1 1 x x x
eημx 1 g(x ) 11
F(x )ημx e ημx 0
e e e
− − −
= − = − = = = , 2F(x ) 0= =L άρα για την F από Θ.Rolle
υπάρχει ( )1 2ξ x ,x∈ ώστε ξ
F (ξ) 0 e συνξ 1 0′ = ⇔ ⇔ + =L
δ) x 0 x 0 u 1
u 1 x 1, lim(1 x) 1 , lim f (1 x) lim f(u) f(1) 1+ + +
→ → →
= + > + = + = = = ,
5 5
x 0
lim f (1 x) 1 1 0+
→
+ = = >
( )
3x 2
x 0
lim e 1ημ x 0+
→
− = , όταν x 0+
→ είναι ( )
3x 2
e 1 0 ,ημ x 0− > > άρα
( )
3x 2x 0
1
lim
e 1ημ x
+
→
= +∞
−
, οπότε
( )
5
3x 2x 0
f (1 x)
lim
e 1ημ x
+
→
+
= +∞
−
ΘΕΜΑ 29
2
1 4 x 1
f(x) ln x x , g(x) ln x 2 , h(x)
x 1 ln xx
−
= − + = − + =
+
α) ( ) ( )
2
x 11 1 1
f (x) 0 , x 1,
x 2 x 2x x 2x x
−
′ = − − = = − < ∈ + ∞L ,
( ) [ )fστο 1, , x 1 f (x) f(1) f (x) 0+ ∞ > ⇔ < ⇔ <2 ,
( )
( )
( )
( )
2
2 2
x 11 4
g (x) 0 ,x 1,
x x 1 x x 1
−
′ = − = = > ∈ + ∞
+ +
L
( ) [ )gστο 1, , x 1 g(x) g(1) g(x) 0+ ∞ > ⇔ > ⇔ >1
β)
(ln x 0)
x 1 x 1 1
x x ln x x 1 ln x ln x x 0 f(x) 0
ln x x x x
>
−
< ⇔ < − ⇔ < − ⇔ − + < ⇔ < ισχύει από α)
(ln x 0)
x 1 x 1 2x 2 4
2x 2 (x 1)ln x ln x 2 ln x 0 g(x)
ln x 2 x 1 x 1
>
− + −
< ⇔ − < + ⇔ < ⇔ − < ⇔ <
+ +
ισχύει από β)
γ)
2 22 2 2
3 3 3
2 2 2
x 1 x 1
E h(x) dx dx dx
ln x ln x
− −
= = =
∫ ∫ ∫ , από β) για
2
2 2x 1
x x : 2x x 1
ln x
−
→ < < +
232 222 2
33 3
322 2
2
7 x 49
2xdx x , (x 1)dx x
4 3 24
 
 = = + = + =  
 ∫ ∫ , άρα
7 49
E
4 24
< <
δ) αν
x
3
2
F(x) h(t)dt=
∫ η εξίσωση γίνεται 2F(x) 4x 5 0− + = , θεωρώντας
3
φ(x) 2F(x) 4x 5 ,x ,2
2
 
= − + ∈  
,
3
φ 1 0 , φ(2) 2F(2) 3 0
2
 
= − < = − > ÷
 
,
(γ)
7 3
F(2) E
4 2
= > >
Δέτσιος Παντελής – μαθηματικός
λύσεις θεμάτων 23
από Θ.Bolzano υπάρχει
3
α ,2
2
 
∈ ÷
 
ώστε φ(α) 0 2F(α) 4α 5= ⇔ = − (1)
η εξίσωση γίνεται
(1)
2α 2 2α 2 4α 5 2F(α)
h(x) 1 F (x) 1 F (x) F (x)
2α 3 2α 3 2α 3 2α 3
− − −
′ ′ ′− = ⇔ = + ⇔ = ⇔ = ⇔
− − − −
3
F(α) F
2
F (x)
3
α
2
 
−  ÷
 ′⇔ =
−
, οπότε από Θ.Μ.Τ. για την F υπάρχει
3
β ,α
2
 
∈ ÷
 
ώστε
3
F(α) F
2α 22
F (β) h(β) 1
3 2α 3α
2
 
−  ÷ − ′ = ⇔ ⇔ − =
−−
L
ΘΕΜΑ 30
Αν f συνεχής στο ( )0,+ ∞ με
2
x
2 2
2
x
4 t
3x tf dt 2x ln x 4x 1 , (1) x 0
x x
 
+ = + − > ÷
 ∫
α) για
t
u t xu , dt xdu
x
= ⇔ = = έχουμε
2
x x
2
x 1
t
tf dt x uf (u)du
x
 
= ÷
 ∫ ∫ , οπότε η (1) γίνεται
x
2 2
1
3x uf(u)du 2x ln x 4x 1+ = + −
∫ και παραγωγίζοντας έχουμε 6x 4xf(x) 4x ln x 2x 4+ = + + ⇔
1
f(x) ln x 1
x
⇔ = + −
β) 2
x 1
f (x) , x 0
x
−
′ = > για x 1= η f έχει ελάχιστο το f(1) 0=
γ) 3
2 x
f (x) ,x 0
x
−
′′ = > για x 2= η f έχει σημείο καμπής το
1
f(2) ln 2
2
= − + ,
ε:
1
y f(2) f (2)(x 2) y x 1 ln 2
4
′− = − ⇔ = − +
δ) το χωρίο βρίσκεται δεξιά του 2 , όπου η f είναι κοίλη άρα η εφαπτομένη ε βρίσκεται πάνω από τη
γραφική παράσταση της f οπότε
( )
e2 2e
2
2
1 1 x e 7
E x ln 2 ln x dx x ln 2 x ln x x ln x e 1 ln 2
4 x 8 8 2
  
= + − − = + − + − = + + − ÷  
   ∫
ΘΕΜΑ 31
Αν f παραγωγίσιμη με f (x)
e f (x) x 1 (1) , x+ = + ∈r
Δέτσιος Παντελής – μαθηματικός
λύσεις θεμάτων 24
α) από την (1) για x 0= προκύπτει f (0)
e f(0) 1 0 (2)+ − = , θεωρώ
x x
h(x) e x 1 , h (x) e 1 0 , h( )στο′= + − = + > 1 r , άρα "1 1"− και η (2) γίνεται
( )
h"1 1"
h f(0) 0 h(0) f(0) 0
−
= = ⇔ = , ( ) ( ) ( )x x
h lim h(x), lim h(x) ,
→−∞ →+∞
= = −∞ + ∞ =r r
( )f (x)
1
f (x) 0 , f
e 1
′ = >
+
1 , άρα "1 1"− και αντιστρέψιμη και εφόσον
( ) ( )
h"1 1"
1 1
h f(x) x h h (x) f(x) h (x)
−
− −
= = ⇔ = άρα x 1
h(x) e x 1 f (x)−
= + − =
β)
( )
f (x)
2f (x)
1
f (x) e f (x) 0
e 1
′′ ′= − <
+
άρα η f είναι κοίλη, g(x) xf (x) f(x),x 0,g (x) xf (x) 0′ ′ ′′= − ≥ = <
( )g
x 0 g(x) g(0) xf (x) f(x) 0 xf (x) f(x)′ ′> ⇔ < ⇔ − < ⇔ <
2
,
x 1
k(x) f(x) ,x 0, k (x) f (x) 0
2 2
′ ′= − ≥ = − <
διότι
( )f
f (x) f (x)
f (x)
1 1 1
x 0 f(x) f(0) f(x) 0 e 1 e 1 2 f (x)
e 1 2 2
′> ⇔ > ⇔ > ⇔ > ⇔ + > ⇔ < ⇔ <
+
1
( )k
x x
x 0 k(x) k(0) f(x) 0 f(x)
2 2
> ⇔ < ⇔ − < ⇔ <
2
γ) εφόσον για x 0> είναι f(x) 0> ,
1
0
E f(x)dx=
∫ , από β) f(x) xf (x)′> οπότε
[ ]
1 1 1
1
0
0 0 0
f(x)dx xf (x)dx E xf(x) f(x)dx E f(1) E 2E f(1)′> ⇔ > − ⇔ > − ⇔ >
∫ ∫ ∫
δ) αν ( )
x
0
F x f (t)dt=
∫ με F (x) f(x)′ = ,
2x 7x
x 3x
f(t)dt f (t)dt 0 F(2x) F(7x) F(x) F(3x)+ = ⇔ + = +
∫ ∫
( )x 0 ,F (x) f(x) 0, F′> = > 1
( )F
0 x 2x F(x) F(2x)
F(x) F(3x) F(2x) F(7x)
0 3x 7x F(3x) F(7x)
< < <   
⇔ ⇔ + < +   
< < <   
1
( )x 0 ,F (x) f (x) 0, F′< = < 2
( )F
2x x 0 F(2x) F(x)
F(2x) F(7x) F(x) F(3x)
7x 3x 0 F(7x) F(3x)
< < >   
⇔ ⇔ + > +   
< < >   
2
κι εφόσον η x 0= είναι λύση είναι και η μοναδική.
ΘΕΜΑ 32
Αν 2 2
f(x) 1 x 2x ln x= + − ,
2x
2
1
1 2t g(t)
g(x) dt (1) , x 0
t(1 t )
−
= >
+∫
α) f (x) 4x ln x′ = −
Για x 1= η f έχει ολικό μέγιστο το
f(1) 2= , άρα f(x) 2 , x 0≤ >
β) ( ) ( ) 2
2
DLHx 0 x 0 x 0 x 0
2
2
ln xln x x
lim x ln x lim lim lim 0
1 21
x
x
+ + + +
∞ 
 ÷
∞ 
→ → → →
′ −
= = = =
′ 
 ÷
 
, x 0
lim f(x) 1+
→
= ,
( )( )2
x x
lim f(x) lim 1 x 1 2ln x
→+∞ →+∞
= + − = −∞ , ( ] ( ) ( ] ( )1 1 1A 0,1 , f A 1,2 , 0 f A= = ∉
[ ) ( ) ( ] ( )2 2 2A 1, , f A ,2 , 0 f A= + ∞ = −∞ ∈ άρα υπάρχει α 2A∈ ώστε f(α) 0= κι εφόσον f ( )2 είναι
μοναδικό.
Δέτσιος Παντελής – μαθηματικός
λύσεις θεμάτων 25
γ) παραγωγίζοντας την (1) έχουμε
2
2 2 2
2
1 2x g(x) 1
g (x) g (x)x(1 x ) 2x g(x) 1 g (x)(1 x ) 2xg(x)
x(1 x ) x
−
′ ′ ′= ⇔ + + = ⇔ + + = ⇔
+
( ) ( ) ( )2 2 2 2
g (x)(1 x ) (1 x ) g(x) ln x g(x)(x 1) ln x g(x)(x 1) ln x c , g(1) 0′′ ′′ ′⇔ + + + = ⇔ + = ⇔ + = + = άρα
c 0= και 2
ln x
g(x)
1 x
=
+
δ) 2 2
f(x)
g (x)
x(1 x )
′ = =
+
L , άρα το πρόσημο της g′ είναι ίδιο με το πρόσημο της f
αν ( ]1x A 0,1∈ = από β) f(x) 0> , αν
( )f
1 xα f(1) f (x) f(α) f(x) 0< < ⇔ > > ⇔ >
2
,
αν
( )f
xα f(x) f(α) f(x) 0> ⇔ < ⇔ <
2
, άρα η g για xα= έχει ολικό
μέγιστο το 2
lnα
g(α)
1α
=
+
, όμως από 2 2
f(α) 0 1 α 2α ln α= ⇔ + =
Άρα 2 2
lnα 1
g(x) g(α)
2α ln α 2α
≤ = =
ΘΕΜΑ 33
Αν f συνεχής με ( ) ( )
0
x
2
4 tf x 2t dt ln x 1 x , x 1− = + − > −
∫
α) θέτοντας
x u du
u x 2t t , dt ,
2 2
−
= − ⇔ = = − έχουμε
( )
0 x x x
x
0 0 0
2
x u du
4 tf x 2t dt 4 f(u) x f(u)du uf(u)du
2 2
−  
− = − = = − + ÷
 ∫ ∫ ∫ ∫L και παραγωγίζοντας έχουμε
x
0
1
f (u)du 1
1 x
= −
+∫ , παραγωγίζοντας ξανά προκύπτει 2
1
f(x)
1 x
=
+
β) ( ) ( )
xx
0
e 1 θεωρώντας F(x) f (t)dt
x x
F (x) f (x) 0 , F ,"1 1"
ln(x 1)
f(t)dt 0 F(e 1) F ln(x 1) e 1 ln(x 1),
− =
′ = > −
+
∫
= → − = + ⇔ − = +
∫ 1
x
e 1 1− > − ισχύει,
( ) 1 1
ln x 1 1 x 1 e x 1
e
−
+ > − ⇔ + > ⇔ > −
x
k(x) e ln(x 1) 1,x 1= − + − > − ,
( )
( )x x
2 x
1 1 1 1
k (x) e ,x 1 , , k (x) e 0 , k ,k (A) k 1 , lim k (x)
x 1 e ex 1 →+∞
    ′ ′′ ′ ′ ′= − ∈ − + + ∞ = + > = − +÷  ÷ ÷+    +  
1
οπότε
( )
1
1
e
1
k (A) e , ,άρα k (x) 0 και k στο Α 1 ,
e
− +   ′ ′= + ∞ > = − + + ∞÷ ÷  
1 κι εφόσον k(0) 0= η x 0= είναι
μοναδική λύση
γ) ( )
( )
2
3 2
2
1 x
g(x) x x , x 1
x 1x 1
= + = > −
++
, g(x) 0 x 0= ⇔ =
Δέτσιος Παντελής – μαθηματικός
λύσεις θεμάτων 26
12 21 1
0 0
0
x 1 x 1
E dx x 1 dx x ln(x 1) ln 2
x 1 x 1 2 2
  
= = − + = − + + = = − + ÷  
+ +   ∫ ∫ L
δ) ( )
( )2x x
3x 2x x x x
2x
e e 1
h(x) e e f(e )ημe ημe
1 e
− −
+
= + =
+
, θέτοντας x
e u−
= ,
x x
x x
lim e 0 , lim e− −
→+∞ →−∞
= = +∞
έχουμε
( )2 1
2 2x u 0 u 0
u u 1ημu (u 1)ημu
lim h(x) lim lim 1
1 u (1 u )u+ +
− −
−→+∞ → →
+ +
= = =
+ +
, άρα η ε : y 1= οριζόντια ασύμπτωτη στο
+∞ ,
( )2 1
2 2 2x u u u
u u 1ημu (u 1)ημu u 1 ημu
lim h(x) lim lim lim 0 0 0
1 u (1 u )u 1 u u
− −
−→−∞ →+∞ →+∞ →+∞
+ + + 
= = = × = × = ÷
+ + + 
, άρα η y 0=
οριζόντια στο −∞ .
( )u 0
ημuημu 1 1 ημu 1
u u u u u u
>
= ≤ ⇔ − ≤ ≤ και από κριτήριο παρεμβολής
u
ημu
lim 0
u→+∞
=
ΘΕΜΑ 34
Δίνεται η f συνεχής στο [ )0,+∞ με f (x) 0αν x 0> > ,
( )x
2 2
1
t 1 f(t)1
f(x) dt,x 0
ex x
−
= − >
∫ και
x
1
F(x) f(t)dt,x 0= ≥
∫
α) ( )
x
2
1
1
x f(x) t 1 f(t)dt
e
= − −
∫ , παραγωγίζουμε και
( ) ( )2
2
f (x) 1 3 1 1
x f (x) 3x 1 f(x) 0 ln f(x) 3ln x lnf (x) 3ln x c
f(x) x x x x
′′  ′′ + − = ⇔ = − ⇔ = − − ⇔ = − − + ÷
 
1
f(1) c 0
e
= → = άρα
1 1
3ln xx x
3
1 1
ln f(x) 3ln x f(x) e e e , x 0
x x
− −
−
= − − ⇔ = × = > . Η f συνεχής στο 0 άρα
( )
1 1
u
3 2x x
3 u u
3 u u uux 0 x 0 x 0 x 0 x 0 x 0
e u 3u 6u
f(0) lim f(x) lim lim u e lim lim lim lim 6e 0
x e e e+ + + + + +
∞ ∞ ∞       
− =− ÷  ÷  ÷  ÷
∞ ∞ ∞       
− − −→−∞→ → → → → →
= = = − = = = = =
− −
β) 2
1 3x
f (x) f(x) ,x 0,f(x) 0
x
−
′ = > > άρα όπως φαίνεται από τον πίνακα
μεταβολών η f έχει ολικό μέγιστο για
1
x
3
= το 3
1 27
f
3 e
 
= ÷
 
x
f(0) 0 , lim f(x) 0
→+∞
= = άρα 3
27
f(A) 0,
e
 
=   
( ) ( )3
3
27
e f x ln x 1 27 0 f x ln x 1
e
+ − − = ⇔ + − = με x 1 ln x 0,x ln x 1 x ln x 1 0> ⇔ > + > ⇔ + − > κι
εφόσον το 3
27
e
είναι αποτέλεσμα της f μόνο για
1
x
3
= πρέπει
1
x ln x 1 3x 3ln x 4 0,x 1
3
+ − = ⇔ + − = >
θεωρώντας g(x) 3x 3ln x 4= + − , g(1) 1 0 , g(e) 3e 1 0= − < = − > άρα από Θ. Bolzano υπάρχει
0x (1,e)∈ ώστε 0g(x ) 0= κι εφόσον ( )
3
g (x) 3 0 , g
x
′ = + > 1 είναι και μοναδικό
γ) θέτοντας 2
1 1
u , du dt
t t
= − = έχουμε
1 11 1x
x xu u ut x
3 11 1 1
1
F(x) e dt ue du u(e ) du ue
t
− −− −
−− −
′  = = − = − = − + ∫ ∫ ∫
1 1
x u x
1
1 2
e du 1 e , x 0
x e
− −
−
 
+ = = + − > ÷
 ∫ L
Δέτσιος Παντελής – μαθηματικός
λύσεις θεμάτων 27
δ) ( )
1
u1 x
ux
x x u 0
1 2 2 2
lim F(x) lim 1 e lim 1 u e 1
x e e e−
 
=− ÷
 −
→+∞ →+∞ →
    
= + − = − − = − ÷ ÷  ÷
    
( )
3 2 2 3 2 e
F (x) f(x) 0 , F , 1 x 2 F(x) F(2) F(x) 1 0
e e2 e 2 e
− ′ = > < < ⇔ < = − ⇔ − − < < ÷
 
1 , άρα
1 1 12 2 2
x x x
1 1 1
2 1 1
E F(x) 1 dx 1 e 1 dx e e 1 dx
e x x
− − −       
= − − − = − + − = − + − = ÷  ÷ ÷  ÷ ÷
        
∫ ∫ ∫
( ) ( ) ( )
1 1 1 1 1 12 2 2
x x x x x x
2
1 1 1
1 1
x e xe 1 dx x e xe 1 dx x e x e 1 dx
x x
− − − − − −
 ′ ′    ′ ′ ′ ÷ ÷= − + − = − + − − = − + − = ÷  ÷ ÷  ÷ ÷       
∫ ∫ ∫
( )
2
21 12
x x
1
1
e 11 2
xe x dx xe x 1
e ee
− −
′ −   
= − − = − − = + − = ÷  
   
∫
ΘΕΜΑ 35
Αν f παραγωγίσιμη στο r με 2f(2x) f(x) 2x− = (1) και ( )
2
2
1
F(x) x f xt dt x 3 (2), x= − + ∈
∫ r
α) εφόσον f παραγωγίσιμη από Θ.Μ.Τ. υπάρχουν ( ) ( )1 2θ 0,1 και θ 1,2∈ ∈ ώστε
1 2
f(1) f(0) f(2) f(1)
f (θ ) 2f (θ ) 2 2f(2) f (0) f(1) 0
1 0 2 1
− −
′ ′+ = + = − − =
− −
x 0 x 1
(1) f(0) 0 , (1) 2f(2) f(1) 0
= =
→ = → − =
β) θέτοντας u tx , du xdt= = έχουμε
2 2x 2x x
1 x 0 0
x f (xt)dt f(u)du f(u)du f(u)du= = −
∫ ∫ ∫ ∫ οπότε η (2)
γίνεται
2x x
2
0 0
F(x) f(u)du f(u)du x 3= − − +
∫ ∫ και παραγωγίζοντας έχουμε
(1)
F (x) 2f(2x) f(x) 2x 0′ = − − = άρα F σταθερή
F(0) 3
F(x) c c 3 , F(x) 3
=
= → = =
γ)
2
2
2x 2x x 1 12 2
4x 2x x 2
2
f(u)du 1 1
F(x) 3 f(u)du x 3 3 f(u)du x
f(u)du 2 4
=
=

= =

= ⇔ − + = ⇔ = → 
 = =

∫
∫ ∫
∫
Οπότε
4 2 4
1 1 2
I f(x)dx f(x)dx f(x)dx 1 4 5= = + = + =
∫ ∫ ∫
δ) η εξίσωση γίνεται
( )
x 0 x x x
x x x
0 x 0 0 0
2 f(2t)dt f(t)dt e 2f(2t)dt f(t)dt e 0 2f (2t) f(t) dt e 0+ = ⇔ − − = ⇔ − − = ⇔
∫ ∫ ∫ ∫ ∫
x xx 2 x 2 x
00
2tdt e 0 t e 0 x e 0 ⇔ − = ⇔ − = ⇔ − = ∫ , θεωρώντας
[ ]2 x 1
g(x) x e ,x 1,0 , g(0) 1 0 , g( 1) 1 0
e
= − ∈ − = − < − = − > οπότε από Θ. Bolzano υπάρχει α ( )1,0∈ −
ώστε g(a) 0= κι εφόσον [ ] ( )x
g (x) 2x e 0όταν x 1,0 ,g′ = − < ∈ − 2 , θα είναι και μοναδικό.
Δέτσιος Παντελής – μαθηματικός
λύσεις θεμάτων 28
ΘΕΜΑ 36
Δίνεται f συνεχής στο [ )0,+ ∞ , γνησίως αύξουσα και
x
x 0
1
lim f(t)dt 0
x→+∞
=
∫ (1)
α) θεωρώντας
x
0
F(x) f(t)dt , F (x) f(x) ,F(0) 0′= = =
∫ η ανισότητα γίνεται
x 2x
0 x
1 1 F(x) F(0) F(2x) F(x)
f(t)dt f(x) f (t)dt F (x)
x x x 0 2x x
− −
′< < ⇔ < <
− −∫ ∫ , από Θ.Μ.Τ. για την F υπάρχουν
( )1 2ξ 0,x και ξ (x,2x)∈ ∈ ώστε
1 2 1 2
F(x) F(0) F(2x) F(x) F(x) F(2x) F(x)
F (ξ ) και F (ξ ) f(ξ ) και f(ξ )
x 0 2x x x x
− − −
′ ′= = ⇔ = =
− −
(2)
( )f x 2x(2)
1 2 1 2
0 x
1 1
0ξ x ξ 2x f(ξ ) f(x) f (ξ ) f(t)dt f (x) f(t)dt
x x
< < < < ⇔ < < ⇔ < <
∫ ∫
1
β) ( ) )x
f , f(A) f(0), lim f(x)
→+∞
=

1
από (1)
x
x x0
1 F(x)
lim f (t)dt lim 0
x x→+∞ →+∞
= =
∫ ,
2x
x x xx
1 F(2x) F(x) F(2x) F(x)
lim f(t)dt lim lim 2 2 0 0 0
x x 2x x→+∞ →+∞ →+∞
−  
= = − = × − = ÷
 ∫ , οπότε από ανισότητα του α)
και κριτήριο παρεμβολής x
lim f(x) 0
→+∞
= και [ )f(A) f(0),0= άρα f(x) 0<
γ) εφόσον f(x) 0< έχουμε
4
1
E f(x)dx= −
∫ και άρα η ανισότητα γίνεται
4
1
f(1) 2f(2) f(x)dx+ <
∫ , από
το α) για
1 2
0 1
x 1: f(t)dt f(1) f(t)dt (3)= < <
∫ ∫ και για
2 4 4
0 2 2
1 1
x 2: f(t)dt f(2) f(t)dt 2f (2) f(t)dt
2 2
= < < ⇔ <
∫ ∫ ∫ άρα
2 4 4
1 2 1
f(1) 2f(2) f(x)dx f(x)dx f(x)dx+ < + =
∫ ∫ ∫
δ) η εξίσωση γίνεται
x
0
f(x) f(t)dt 0− =
∫ , οπότε θεωρώντας
x
0
g(x) f(x) f(t)dt= −
∫ έχουμε
1
0
g(0) f (0) 0 , g(1) f(1) f(t)dt 0= < = − >
∫ από (3) , άρα από Θ. Bolzano υπάρχει α ( )0,1∈ ώστε
α
0
g(α) 0 f(α) f(t)dt F(α)= ⇔ = =
∫ (4) Από Θ.Μ.Τ. για την F υπάρχει ( )β 0,α∈ ώστε να ισχύει
(4)
F(α) F(0) f(α)
F (α) f(β) f(α) αf(β)
α 0 α
−
′ = ⇔ = ⇔ =
−
, οπότε η ανισότητα γίνεται
( )αf(β) βf(β) α β f (β) 0< ⇔ − < που ισχύει εφόσον β α , f (β) 0< <
ΘΕΜΑ 37
Δίνεται f δύο φορές παραγωγίσιμη στο r , περιττή, άρα f(0) 0= , με εφαπτομένη στο 0x 0= παράλληλη
στην ευθεία ε: y x 2= + άρα f (0) 1′ = , τέτοια ώστε ( )2
x 1 f (x) 4xf (x) 2f(x) 0,x′′ ′+ + + = ∈r και
2
g(x) x f (x) ,x= ∈r
Δέτσιος Παντελής – μαθηματικός
λύσεις θεμάτων 29
α)
(1)
2 2
g (x) 2xf(x) x f (x) , g (x) 2f(x) 4xf (x) x f (x) f (x)′ ′ ′′ ′ ′′ ′′= + = + + =− , άρα g (x) f (x) c′ ′= − + και
g(x) f(x) cx k= − + + , από f (0) 1′ = και f(0) 0= έχουμε c 1,k 0= = οπότε
2
2
x
g(x) f(x) x x f(x) f(x) x f(x)
x 1
= − + ⇔ = − + ⇔ =
+
β)
( )
( )
( )
22
2 32 2
2x 3 x1 x
f (x) , f (x)
x 1 x 1
− −−
′ ′′= =
+ +
Σημεία καμπής
3
f( 3)
4
−
− = ,
3
f( 3)
4
= ,f(0) 0=
Τοπικό μέγιστο
1
f(1)
2
= , τοπικό ελάχιστο
1
f( 1)
2
−
− =
γ)
( )
( )
( )
2 23
22 2
x x 3x
g(x) , g (x) 0, g
x 1 x 1
+
′= = >
+ +
1 άρα η εξίσωση γίνεται
( ) ( ) ( ) ( ) ( ) ( )( ) ( )( ) ( )
2 3 2x 2 x x 2 x 333e 1 1 ln x 1 e 1 1ln x 1 e 1 1 ln x 1 e 1 1 ln x 1− + + = − + + ⇔ − + + = − + + ⇔
( )
( )
( )
( )
( )
3x 3
x x
2 2x
e 1 ln x 1
g(e 1) g ln(x 1 e 1 ln(x 1)
ln x 1 1e 1 1
− +
⇔ = ⇔ − = + ⇔ − = +
+ +− +
, θεωρώ την συνάρτηση
( )
x x x
2
1 1
h(x) e 1 ln(x 1), x 1 , h (x) e , h (x) e 0 , h ( )
x 1 x 1
′ ′′ ′= − − + > − = − = + >
+ +
1
( ) [ )x 0 h (x) h (0) h (x) 0 ,hστο 0,′ ′ ′> ⇔ > ⇔ > + ∞1
( ) ( ]1 x 0 h (x) h (0) h (x) 0 ,hστο 1,0′ ′ ′− < < ⇔ < ⇔ < −2 , οπότε εφόσον h(0) 0= η x 0= είναι
μοναδική λύση
δ) η εξίσωση γίνεται
2
x 3x 3
0
2x g(t)dt 2x 1
− +
= −
∫ , οπότε θεωρώντας
2
x 3x 3
0
G(x) 2x g(t)dt 2x 1
− +
= − +
∫
έχουμε
31 1 1
2 2
0 0 0
t t
G(0) 1 0 ,G(1) 2 g(t)dt 1 2 dt 1 2 t dt 1
t 1 t 1
 
= > = − = − = − − = ÷
+ + ∫ ∫ ∫
( )
12
2
0
t 1
ln t 1 1 ln 2 0
2 2
 
= − + − = − < 
 
, άρα από Θ. Bolzano υπάρχει α ( )0,1∈ ώστε G(α) 0= ⇔
2
α 3α 3
0
2α 1
g(t)dt
2α
− +
−
⇔ =
∫
ΘΕΜΑ 38
Δίνεται f κυρτή με f(x) 0 ,για κάθε x> ∈r και [ ]
2 x
0 0
f(x)dx 1 , g(x) f (t) f(2 t) dt , x= = + − ∈
∫ ∫ r
α) f κυρτή άρα ( )f′ 1 , ( )g (x) f(x) f(2 x) 0 ,g ,g(0) 0,x 0 g(x) 0 ,x 0 g(x) 0′ = + − > = > ⇔ > < ⇔ <1
β)
f "1 1"
g (x) f (x) f (2 x) 0 f (x) f (2 x) x 1
′ −
′′ ′ ′ ′ ′= − − = ⇔ = − ⇔ =
Δέτσιος Παντελής – μαθηματικός
λύσεις θεμάτων 30
( )f
g (x) 0 f (x) f (2 x) x 2 x x 1
′
′′ ′ ′> ⇔ > − ⇔ > − ⇔ >
1
( )f
g (x) 0 f (x) f (2 x) x 2 x x 1
′
′′ ′ ′< ⇔ < − ⇔ < − ⇔ <
1
Για x 1= η g έχει σημείο καμπής το g(1)
[ ]
1 2 1 2 1
0 0 2 0 2
g(1) f(t) f(2 t) dt f(t)dt f(t)dt f(2 t)dt f (2 t)dt= + − = + + − + −
∫ ∫ ∫ ∫ ∫ (1)
2 0 2u 2 t
du dt0 2 0
f(2 t)dt f (u)( du) f(u)du 1
= −
=−
− = − = =
∫ ∫ ∫ (2),
1 1 1u 2 t
du dt2 0 0
f(2 t)dt f (u)( du) f(u)du
= −
=−
− = − = −
∫ ∫ ∫ και η
(1) γίνεται
2 1 1 2 2
1 0 0 1 0
g(1) 1 f(t)dt 1 f(u)du 2 f(u)du f(t)dt 2 f(t)dt 2 1 1
 
= − + − = − + = − = − = ÷
 ∫ ∫ ∫ ∫ ∫
γ)
2 2 2 2 (2)
0 0 0 0
E g (x)dx g (x)dx f(x)dx f(2 x)dx 1 1 2′ ′= = = + − = + =
∫ ∫ ∫ ∫
δ) θεωρώντας
x
0
F(x) f(t)dt , F (x) f(x)′= =
∫ η εξίσωση γίνεται ( )xF (x) F(x) 1 xF(x) x 0′′ + = ⇔ − =
οπότε θεωρώντας G(x) xF(x) x= − έχουμε
2
0
G(0) 0 , G(2) 2F(2) 2 2 f(t)dt 2 2 1 2 0= = − = − = × − =
∫ , και
από Θ. Rolle υπάρχει α ( )0,2∈ ώστε
α
0
G (α) 0 F(α) αF (α) 1 0 αf(α) f(x)dx 1′ ′= ⇔ + − = ⇔ ⇔ + =
∫L
ΘΕΜΑ 39
Δίνεται ( )
ημx
f(x) , x 0,π
x
= ∈
α) 2
xσυνx ημx π
f (x) ,x 0,
x 2
−  ′ = ∈ ÷
 
θεωρώ
π
h(x) xσυνx ημx ,x 0,
2
 
= − ∈  
π
h (x) xημx 0,x 0,
2
 ′ = − < ∈ ÷
 
( )
π π
hστο 0, , 0 x h(0) h(x) 0 xσυνx ημx
2 2
 
< < ⇔ > ⇔ > −  
2 , οπότε
π
f (x) 0,x 0,
2
 ′ < ∈ ÷
 
και ( )
π
fστο 0,
2
 
  
2 άρα
π π ημx 2 2
x f(x) fημx x
2 2 xπ π
 
< ⇔ > ⇔ > ⇔ > ÷
 
π π
2 2
π π
4 4
ημx ημx
E dx dx
x x
= =
∫ ∫ ,
ημx 2
xπ
> άρα
π π
2 2
π π
4 4
ημx 2 2 π π 1 1
dx dxΕ Ε
xπ π 2 4 2 2
 
> ⇔ > − = ⇔ > ÷
 ∫ ∫
β) η εξίσωση γίνεται ( ) ( )
π
x
2
π
4
4 4x 3 f(t)dtπ 1 x ημx− = −
∫ , θεωρώντας
( ) ( )
π
x
2
π
4
g(x) 4 4x 3 f (t)dtπ 1 x ημx= − − −
∫ έχουμε
π
2
π
4
3π 3
gημ 0 , g(1) 4 f(t)dt 4E 2 0
4 4 4
 
= − < = = > > ÷
  ∫
άρα από Θ. Bolzano υπάρχει α
3
,1
4
 
∈ ÷
 
ώστε g(α) 0= ⇔ ⇔L
π
α
2
π
4
4 f(t)dt
πημα
1α 4α 3
=
− −
∫
γ)
( )
( )
π π π π
0uσυνx
2 2 2 2
2 2 2π π π π 1
duσυνx dx
3 3 3 3 2
συνx1 1ημx 1
E dx dx dx dx du
xf(x)ημx ημ x 1 συν x 1 u
=
′=
′− −
= = = = = =
− −∫ ∫ ∫ ∫ ∫
Δέτσιος Παντελής – μαθηματικός
λύσεις θεμάτων 31
( ) ( )
1 1 1
2 2 2
0 0 0
1 1
1 A B 2 2du du du
u 1 1 u u 1 1 u u 1 1 u
 
− − ÷−  
= = − = − = ÷ ÷
− + − + − +   ÷
 
∫ ∫ ∫
1
2
0
1 1 1
du
2 u 1 u 1
 
= − − = ÷
− + ∫
1
2
0
1 u 1 ln3
ln
2 u 1 2
 − 
= − = = + 
L
δ)
2 2 2 2
2 2 4 4
2 2 22 2 2 2 2x 0 x 0 x 0 x 0
4
1ημ x x ημ x x
1 1ημ x x 1 3x xlim 1 lim lim lim
xημ xx f (x) xημ x 1 3ημx
x x
→ → → →
− −
−
  −
− = = = = = − ÷
  
 ÷
 
0 0
22 2 2 2 20 0
4 3 2 2x 0 DHL x 0 DHL x 0 x 0 x 0
ημ x x ημxσυνx x συν x ημ x 1 2ημ x 1 ημx 1
lim lim lim lim lim
x 2x 6x 6x 3 x 3
   
 ÷  ÷
   
→ → → → →
 − − − − −  
= = = = − = − ÷ ÷ ÷  
ΘΕΜΑ 40
Δίνεται f συνεχής στο [ )0,+ ∞ με
1
2 x
2
f(1) , x f (x) f(x) e 0 , x 0
e
−
′= − + = > και μιγαδικός z με z 0≠
α)
1
1 1 1x
2 x x x
2 2 2 2
1 e 1 1
x f (x) f(x) e 0 f (x) f (x) 0 e f (x) e f(x)
x x x x
−
−    ′ ′ ′− + = ⇔ + − + = ⇔ + − = − ⇔ ÷  ÷
   
1 1 1
x x x
1 1 2 1
e f(x) e f(x) c , f(1) c 1 , f(x) 1 e , x 0
x x e x
−
′ ′     
⇔ = ⇔ = + = ⇔ = = + > ÷  ÷  ÷
    
f συνεχής στο 0 άρα
1
y
1 x
yx
yy yx 0 x 0
y DLH
1 1 y
f(0) lim f (x) lim 1 e lim lim e 0
x e+ +
∞ 
=−  ÷
∞ 
−
−→−∞ →−∞→ →
→−∞
− 
= = + = ÷
  = =
β) ( )
1 1 1 1 1 11 1 1 1
x x x x x x
λ λ λ λ
1 1
E 1 e dx e e dx x e x e dx xe dx
x x
− − − − − −
 ′ ′       ′ ÷= + = + = + = = ÷  ÷  ÷ ÷  ÷       
 
∫ ∫ ∫ ∫
11 1
xλ
λ
1
xeλe
e
− − 
= = − 
 
γ) ( )
1
x
3
e
f (x) 0 , x 0,
x
−
′ = > ∈ + ∞ άρα ( ) [ )fστο 0, + ∞1
1
y
1 x
y 0x
x x y
y 0
1
lim f(x) lim 1 e lim (1 y)e 1 e 1
x −
=−
−
→+∞ →+∞ →−∞
→
 
= + − = × = ÷
  = άρα η ευθεία y 1= οριζόντια ασύμπτωτη
( ) [ ) ( ) ) [ )x
fστο Α 0, , f A f (0), lim f(x) 0,1
→+∞
= + ∞ = =

1 άρα f(x) 1<
δ)
zz
1 1 1 1 1
1 1 1 , 1 1
z z z z z
 
+ ≤ + = + + ≤ + ÷ ÷
 
, οπότε αρκεί
z 1 1
z z1 1 1 1 1 1
1 e z ln 1 1 ln 1 1 e 1 e 1
z z z z z z
−       
+ < ⇔ + < ⇔ + < ⇔ + < ⇔ + < ⇔ ÷  ÷  ÷  ÷ ÷  ÷  ÷  ÷
       
Δέτσιος Παντελής – μαθηματικός
λύσεις θεμάτων 32
( )f z 1< που ισχύει από γ) εφόσον z 0>
ΘΕΜΑ 41
Δίνεται f με f(0) 1= , παραγωγίσιμη στο [ )0,+ ∞ , γνησίως αύξουσα, κυρτή, άρα και ( )f′ 1 και
22 t
u tu
tx t tu 0
t
0
t
tt t
DLH
e e t
εφόσον lim lim lim
21 u 2e
f(t)dt , x 0
tF(x) x
1 , x 0
1 1
lim lim e 0
2e 2
+
=−−
−→−∞ →−∞→
→−∞
∞ 
 ÷
∞ 
−→−∞ →−∞
 
− ÷
= = ÷ − ÷>
=  ÷
 ÷ =  ÷
= = ÷
 
=
∫
=
α) αν x 0= είναι προφανής η ισότητα,
( )f
x 0 , 0 t x f(0) f(t) f(x) 1 f(t) f(x)> ≤ ≤ ⇔ ≤ ≤ ⇔ ≤ ≤
1
κι εφόσον
το " "= δεν ισχύει παντού
x x x x xx 0
0 0 0 0 0
1
dt f(t)dt f(x)dt x f(t)dt xf(x) 1 f (t)dt f(x)
x
>
< < ⇔ < < ⇔ < <
∫ ∫ ∫ ∫ ∫
δηλ. 1 F(x) f (x)< < , άρα 1 F(x) f (x) , x 0≤ ≤ ≥
β) [ )
x
0 x
2
0
xf(x) f(t)dt
, x 0
F (x) , G(x) f(t)dt ,x 0, , G (x) f(x) f(0) 1 0x
1
f (0) , x 0
2

−
>
′ ′= = ∈ + ∞ = > = >

′ =

∫
∫
0
0
2
x 0 x 0 x 0 x 0
DLH
F(x) F(0) G(x) x G (x) 1 f(x) f(0) 1
F (0) lim lim lim lim f (0)
x 0 x 2x 2(x 0) 2+ + + +
 
 ÷
 
→ → → →
′− − − −
′ ′= = = =
− −= , για την G από
Θ.Μ.Τ. υπάρχει ( )ξ 0,x∈ ώστε
G(x) G(0) G(x)
G (ξ)
x 0 x
−
′ = =
−
(1)
( )G (1)
G(x)
0ξ x G (ξ) G (x) G (x) G(x) xG (x)
x
′
′ ′ ′ ′< < ⇔ < ⇔ < ⇔ <
1
, άρα 2
xG (x) G(x)
F (x) 0
x
′ −
′ = > και
( ) [ )Fστο 0, + ∞1
γ) η εφαπτομένη της f στο 1 είναι ε: y f (1)(x 1) f(1)′= − + κι εφόσον η f κυρτή η ε θα είναι κάτω από την
fC δηλ. f(x) f (1)x f (1) f(1)′ ′≥ − + (2) ,
( )f
x 0
f(x) 1
1 0 f (1) f (0) lim 0
x+
′
→
−
′ ′> ⇔ > = ≥
1
άρα ( ) ( )x x
lim f (1)x f (1) f(1) lim f (1)x
→+∞ →+∞
′ ′ ′− + = = +∞ οπότε από (2)
και x
lim f(x)
→+∞
= +∞
( )f
0 t f(0) f(t)≤ ⇔ ≤
1
άρα για
x x
0 0
x 0 , dt f(t)dt x G(x)> ≤ ⇔ ≤
∫ ∫ , οπότε εφόσον x
lim x
→+∞
= +∞ θα είναι
και x
lim G(x)
→+∞
= +∞ ,
x x x x
DLH
G(x)
lim F(x) lim lim G (x) lim f(x)
x
∞ 
 ÷
∞ 
→+∞ →+∞ →+∞ →+∞
′= = = +∞
= , άρα
) [ )x
F(A) F(0), lim F(x) 1,
→+∞
= = + ∞

δ) έχοντας υπόψη ότι 2
1 1
F (x) G(x) G (x), x 0
x x
′ ′= − + > η ανισότητα γίνεται
Δέτσιος Παντελής – μαθηματικός
λύσεις θεμάτων 33
αβ 0
2 2
β α β α G(α) G(β) G (β)
G(α) αG (β) G(β) G(α) G(β) αG (β)
α β α β α β β
> ′
′ ′− > − ⇔ > − + ⇔ > − + ⇔
2
G(α)
F (β)
α
′⇔ > (3) άρα από Θ.Μ.Τ για την F υπάρχει ( )β 0,α∈ ώστε 2
F(α) F(0) G(α) α
F (β)
α 0 α
− −
′ = =
−
οπότε η (3) γίνεται 2 2
G(α) G(α) α
α 0
α α
−
⇔ > ⇔ > που ισχύει
ΘΕΜΑ 42
Δίνεται f δύο φορές παραγωγίσιμη με f(2) 0 , f (x) 0 , x′′= < ∈r άρα ( )fκαι "1 1"′ −2 και
x
4 x
g(x) f (t)dt
−
=
∫
α)
x 4 x
0 0
g(x) f(t)dt f(t)dt , g (x) f (x) f(4 x)
−
′= − = + −
∫ ∫ g (x) f (x) f (4 x)′′ ′ ′= − −
f ("1 1")
g (x) 0 f (x) f (4 x) x 4 x x 2
′ −
′′ ′ ′= ⇔ = − ⇔ = − ⇔ =
β)
( )f
g (x) 0 f (x) f (4 x) x 4 x x 2 , g (x) 0 x 2
′
′′ ′ ′ ′′> ⇔ > − ⇔ < − ⇔ < < ⇔ ⇔ >L
2
η g για x 2= έχει σημείο καμπής το g(2) 0=
γ) η ανισότητα γίνεται
3 4
1 0
2 f(t)dt f(t)dt 2g(3) g(4) g(3) g(2) g(4) g(3)> ⇔ > ⇔ − > −
∫ ∫
από Θ.Μ.Τ. για την g υπάρχουν ( ) ( )1 2ξ 2,3 , ξ 3,4∈ ∈ ώστε 1 2g (ξ ) g(3) g(2) και g (ξ ) g(4) g(3)′ ′= − = −
( ) ( )
g ( )
1 2 1 22ξ 3 ξ 4 g ξ g ξ g(3) g(2) g(4) g(3) 2g(3) g(4)
′
′ ′< < < < ⇔ > ⇔ − > − ⇔ >
2
δ) η ανισότητα γίνεται ( )
x 1
x 1
x e
x 1
4 x e
f(t)dt 0 g x e g(2)
−
−
+
−
− −
> ⇔ + >
∫
από β) [ ) ( ]g 2, , x 2 g (x) g (2) g (x) 0,g ,2 , x 2 g (x) g (2) g (x) 0′ ′ ′ ′ ′ ′ ′ ′+ ∞ > ⇔ < ⇔ < −∞ < ⇔ < ⇔ <2 1
άρα η gστο2 r , οπότε x 1
x e 2−
+ < , θεωρώντας x x
h(x) x e , h (x) 1 e 0 ,άρα h στο′= + = + > )1 r
x 1 x 1
x e 2 x 1 e 1 h(x 1) h(0) x 1 0 x 1− −
+ < ⇔ − + < ⇔ − < ⇔ − < ⇔ <
ΘΕΜΑ 43
Δίνεται η συνάρτηση f με f(1) 1= , συνεχής στο r και τέτοια ώστε να ισχύει
( )
2
x x
t 1
1 1
2 z 5i f(t)dt z 5i e dt 12 x 1 ,x ,z−
+ ≤ + + − ∈ ∈
∫ ∫ r c
α) θεωρώντας ( )
2
x x
t 1
1 1
g(x) 2 z 5i f(t)dt z 5i e dt 12 x 1 ,x−
= + − + − − ∈
∫ ∫ r η ανισότητα γίνεται
g(x) 0 g(1)≤ = δηλ. η g για x 1= έχει μέγιστο κι εφόσον είναι παραγωγίσιμη με
2
x 1
g (x) 2 z 5i f(x) z 5i 2xe 12−
′ = + − + − από Θ. Fermat g (1) 0 2 z 5i 2 z 5i 12 0′ = ⇔ + − + − = ⇔
Δέτσιος Παντελής – μαθηματικός
λύσεις θεμάτων 34
M(z),E(5i)
E ( 5i)
z 5i z 5i 6 ME ME 6′ −
′⇔ + − − = → − = άρα υπερβολή με d 2α 6 α 3 , γ 5 , β 4= = ⇔ = = = κι
εφόσον ΜΕ ΜΕ′ > είναι μόνο ο πάνω κλάδος της δηλ.
2 2
y x
1με y 3
9 16
− = ≥
β)
2
2 2x 3
y 1 9 y h(x) x 16 , x , y 3
16 4
 
= + ⇔ = = + ∈ ≥ ÷
 
r
(αλγεβρικά)
( ) ( ) ( )22 23 9
A(1,0) , M x, x 16 , d A,M x 1 x 16 , x
4 16
 
+ = − + + ∈ ÷
 
r , θεωρώντας
( ) ( ) ( )
2 29 9 16
k(x) x 1 x 16 , x , k (x) 2 x 1 2x x
16 16 25
′= − + + ∈ = − + ⇔ ⇔ =Lr
άρα η k και συνεπώς η d(A,M) γίνεται ελάχιστη όταν
16
x
25
= οπότε
16 3 641
M ,
25 25
 
 ÷ ÷
 
(γεωμετρικά)
το σημείο Μ της hC που είναι πλησιέστερο στο
A(1,0) είναι αυτό που η εφαπτομένη στο Μ είναι
κάθετη στην ΑΜ δηλ.
0 0
ε ΑΜ
0 0
9x y
λ λ 1 1
16y x 1
× = − ⇔ × = − ⇔
−
( )0 0 0
16
9x 16 x 1 x
25
⇔ = − − ⇔ =
γ)
( )2 2 2
3 16
h (x) , h (x) 0
4 x 16 x 16 x 16
′ ′′= = >
+ + +
, η h είναι κυρτή , η εφαπτομένη κάτω από την
γραφική της παράσταση και η ελάχιστη απόσταση στο σημείο που η εφαπτομένη είναι παράλληλη στην
ευθεία (ζ), άρα
2
3 2 3x 3 2
h (x)
8 84 x 16
′ = ⇔ = ⇔
+
x 0
2
x 2
x 4
2x 16
>
⇔ = ⇔ ⇔ =
+
L , B(4,3 2)
( )
ελαχ 2
2
3 2
4 3 2
8 12 41
d d(Β,ζ)
41
3 2
1
8
× −
= = = =
 
+ − ÷
 
L
Δέτσιος Παντελής – μαθηματικός
λύσεις θεμάτων 35
δ) ( )
x
1
Η(x) h(t)dt , H (x) h(x) 0 ,H ,x 1 H(x) H(1) 0′= = > < ⇔ < =
∫ 1 , άρα
( ) [ ]
1 1 1 1
1 2
0
0 0 0 0
3
E H(x)dx x H(x)dx xH(x) xh(x)dx H(1) x x 16dx
4
′= − = − = − + = − + + =
∫ ∫ ∫ ∫
2
17
u x 16 2
2udu 2xdx
4
3 17 17
u du 16
4 4
= +
=
→ = = = −
∫ L
ΘΕΜΑ 44
Δίνεται f συνεχής στο [ )0,+ ∞ με ( )
4 2x e
0 e
x
2t 3 f(t)dt x dt , x 0
2t ln t
+ = + ≥
∫ ∫ (1)
α)
4 u ln te 4 4
1e 1dt
du
t
1 du
dt u 1
2t ln t 2 u
=
=
 = = =∫ ∫ άρα η (1) γίνεται ( )
x
2
0
2t 3 f(t)dt x x+ = +
∫ και
παραγωγίζοντας ( )
2x 1
2x 3 f(x) 1 2x f(x)
2x 3
+
+ = + ⇔ =
+
β) [ ]
α α
α
1
1 1
2x 1 2
E(α) dx 1 dx x ln(2x 3) α ln(2α 3) 1 ln5
2x 3 2x 3
+  
= = − = − + = − + − + ÷
+ + ∫ ∫
γ) ( )α α
ln(2α 3)
limα ln(2α 3) lim α 1
α→+∞ →+∞
+ 
− + = − = +∞ ÷
 
διότι
α DLH α
ln(2α 3) 2
lim lim 0
α 2α 3
∞ 
 ÷
∞ 
→+∞ →+∞
+
= =
+
άρα
α
limΕ(α)
→+∞
= +∞
δ)
t1
x
0
h(x) f(t)e dt=
∫ ,
x t 1 t 1f (t) 0ex 0
0 x x x x
t 1
0 t 1 0 e e e f(t) f(t)e f(t)e
x x
>>
≤ ≤ ⇔ ≤ ≤ ⇔ ≤ ≤ ⇔ ≤ ≤
1
, οπότε
t 1 11 1 1 1 1
x x x
0 0 0 0 0
f(t)dt f (t)e dt f (t)e dt f(t)dt h(x) e f(t)dt≤ ≤ ⇔ ≤ ≤
∫ ∫ ∫ ∫ ∫ (1)
[ ]
1
u11 x1 ux
0 x u 0 u 00
3
f(t)dt t ln(2t 3) 1 ln , lim e lim e 1
5 + +
=
→+∞ → →
= − + = + = =
∫ , οπότε η (1) γίνεται
1
x
3 3
1 ln h(x) e 1 ln
5 5
 
+ ≤ ≤ + ÷
 
και από κριτήριο παρεμβολής
x
3
lim h(x) 1 ln
5→+∞
= +
ΘΕΜΑ 45
Δίνεται συνάρτηση f συνεχής στο [ ]1,9 και ( ) ( ) ( )
3 3 9
2 2 2
1 1 1
62
f t dt 2 f t dt 2 f t dt
3
+ = −
∫ ∫ ∫
α) ( ) ( )
333 3
2 2 2
1 1
1
4t 62
2t 1 dt 4t 4t 1 dt 2t t
3 3
 
− = − + = − + = 
 ∫ ∫
β) [ ] [ ] [ ]2
t 1,9και t 1,9 t 1,3∈ ∈ ⇔ ∈ ,
2
9 3 3
u t u t 2 2
dt 2udu
1 1 1
f(t)dt 2 uf(u )dt 2 tf(t )dt= ⇔ =
=
→ =
∫ ∫ ∫ , οπότε
( ) ( ) ( ) ( ) ( ) ( )( )
3 3 3 3 3 222 2 2 2 2
1 1 1 1 1
f t dt 2 f t dt 4 tf t dt 2t 1 dt f t 2t 1 dt 0+ = − − ⇔ − − =
∫ ∫ ∫ ∫ ∫
( ) ( )( )
2
2
g(t) f t 2t 1 0= − − ≥ κι εφόσον
3
1
g(t)dt 0=
∫ πρέπει 2
g(t) 0 f(t ) 2t 1= ⇔ = −
Δέτσιος Παντελής – μαθηματικός
λύσεις θεμάτων 36
t 0
2
t x t x
>
= ⇔ = οπότε [ ]
1 1
f(x) 2 x 1 ,x 1,9 , f (x) , f (x) 0
x 2x x
′ ′′= − ∈ = = − < , άρα f κοίλη
γ) [ ]h(x) f(x)λx 1 0 , x 1,9= − − ≤ ∈ , 2 2
1λ x 1 1 1 1
h (x) 0 x ,λ 1 3 1 9 1
λ 3 λ λx
−
′ = = ⇔ = < < ⇔ > > ⇔ > >
η h για 2
1
x
λ
= έχει μέγιστο το 2
1 1 2λ
h
λ λ
− 
= ÷
 
, δηλ.
1 2λ
h(x)
λ
−
≤ άρα πρέπει
λ 01 2λ 1
0λ
λ 2
>−
≤ ⇔ ≥ , ελαχ
1
λ
2
=
δ) 0 0
1
f (x ) x 4
2
′ = ⇔ = ε:
1
y f(4) f (4)(x 4) y x 1
2
′− = − ⇔ = + , εφόσον f κοίλη η ε είναι πάνω από την
γραφική της παράσταση και την ακουμπάει μόνο στο σημείο Μ(4,3) , δηλ. κάθε σημείο της fC είναι
κάτω από την ευθεία κι επειδή η ζ: x 2y 7 0 / /− + = ε και βρίσκεται πάνω απ’ αυτήν, θα είναι
( )
ελαχ 22
4 2 3 7 5
d d(M,ζ) 5
51 2
− × +
= = = =
+ −
ΘΕΜΑ 46
Δίνεται f παραγωγίσιμη και γνησίως μονότονη στο r με f(0) 1= και
2x
2
x e
t
0 1
g(x) e dt ln tdt,x 0= + ≥
∫ ∫
και x
h(x) e x= +
α) [ ]
1
f (x) x x x
xu f (t) f (u) t1
dt f (u)du 0
1 0 0 0
f (t)dt uf (u)du uf(u) f(u)du xf(x) f(u)du
−
= ⇔ =−
′=
′→ = − = −
∫ ∫ ∫ ∫ άρα έχουμε
x x
0 0
F(x) f(t)dt xf(x) f(u)du xf(x) 0= + − − =
∫ ∫ ή
( )1
x
F (x) f(x) f f(x) f (x) f(x) xf (x) 0−
′ ′ ′= + − − =
14243 …
β) ( ) ( ) ( ) ( )2 2 2 2 2 2 2
x x x x x x x
g (x) e ln e e x e x e xe g(x) xe c,g(0) 0
′ ′ ′′′ = + = + = ⇔ = + = άρα c 0= και
2
x
g(x) xe= (αλλιώς από α) για
2
t 1
f(t) e , f (t) ln t−
= = )
γ) ( )x
h (x) e 1 0 , h′ = + > 1 άρα αντιστρέψιμη με 1
h
D h(A)− = = r
1
1
1
e 1 1 1
u h (x) h(u) x ,dx h (u)du1 u
h (1) u h(u) 1 u 0,
1 0 0
h (e 1) u h(u) e 1 u 1
3
E h (x) dx u h (u)du (ue u)du
2
−
−
−
+
′= ⇔ = =−
= ⇔ = ⇔ =
+ = ⇔ = + ⇔ =
′= → = + = =
∫ ∫ ∫ L
δ) ε: ( ) ( )1 1
y h (e 1) h e 1 (x e 1)− − ′− + = + − − ( )( )1
h h x x−
= ,
( )( )( ) ( ) ( )1
x e 11 1 1 1
h (e 1) 1
1
h h x h (x) 1 h (1) h (e 1) 1 h (e 1)
e 1
−
= +− − − −
+ =
′ ′ ′′ ′= → + = ⇔ + =
+
άρα ε:
1
y x
e 1
=
+
ΘΕΜΑ 47
Δίνεται f συνεχής στο r και
x u
x
0 1
g(x) f(t)dt du e 1 0 , x
 
= + − ≥ ∈ ÷
 ∫ ∫ r
α)
u
1
h(u) f(t)dt=
∫ οπότε
x
x
0
g(x) h(u)du e 1 0 g(0)= + − ≥ =
∫ δηλ. η g για x 0= έχει ελάχιστο κι
εφόσον παραγωγίσιμη με x
g (x) h(x) e′ = + , από Θ. Fermat
1
0
g (0) 0 f(t)dt 1′ = ⇔ =
∫
Δέτσιος Παντελής – μαθηματικός
λύσεις θεμάτων 37
β) η εξίσωση γίνεται ( )
x x x
0 0 0
1
3 f(t)dt dt 1 3 f(t)dt ln x 1 1 0
t 1
− = ⇔ − + − =
+∫ ∫ ∫ Θεωρώντας την
( )
x
0
φ(x) 3 f(t)dt ln x 1 1 , x [0,1]= − + − ∈
∫ έχουμε φ(0) 1 0 ,φ(1) 2 ln 2 0= − < = − > άρα από Θ.Bolzano
υπάρχει ( )0x 0,1∈ ώστε 0φ(x ) 0=
γ) η εξίσωση γίνεται
x
2
0
f(x) 4x 1 0 f(t)dt 2x x 0
′ 
− + = ⇔ − + = ÷
 ∫ , θεωρώντας λοιπόν την
[ ]
x
2
0
F(x) f(t)dt 2x x , x 0,1= − + ∈
∫ έχουμε F(0) F(1) 0= = , άρα από Θ.Rolle υπάρχει ( )ξ 0,1∈ ώστε
F (ξ) 0 f(ξ) 4ξ 1′ = ⇔ = −
δ) Η ανισότητα για β x= γίνεται ( )
x
0
G(x) f (t)dt αα x
α x x
G (x) f (x)0 0
e G(α)
e f(t)dt (α 1) f (t)dt f(x) e G(x)
α 1
=
−
′ =
∫  ′> − + ⇔ > ÷ − ∫ ∫ ,
οπότε για την x
H(x) e G(x)= από Θ.Μ.Τ. υπάρχει ( )β 0,1∈ ώστε
α
Η(α) Η(1) e G(α) e
Η (β)
α 1 α 1
− −
′ = =
− −
,
οπότε αρκεί
α α
e G(α) e e G(α)
Η (β) e 0
α 1 α 1
−
′ = < ⇔ >
− −
που ισχύει
ΘΕΜΑ 48
Δίνεται η f δύο φορές παραγωγίσιμη και ( )2
f(0) 0 , f (0) 1 , x 1 f (x) 4xf (x) 2f(x) 12x,x′ ′′ ′= = + + + = ∈ r
και
f(x)
g(x) ,x 0
x
= ≠
α) ( )( ) ( ) ( )2 2 2 2
x 1 f (x) 2xf(x) 6x x 1 f (x) 2xf(x) 6x c
′ ′′ ′+ + = ⇔ + + = + για x 0= προκύπτει c 1= οπότε
( ) ( )( ) ( ) ( )2 2 2 3 2 3
x 1 f (x) 2xf(x) 6x 1 x 1 f(x) 2x x x 1 f(x) 2x x k
′ ′′+ + = + ⇔ + = + ⇔ + = + + για x 0=
προκύπτει k 0= οπότε
3
2
2x x
f(x)
x 1
+
=
+
β)
( )
( )
4 2
22
2x 5x 1
f (x) 0 ,f
x 1
+ +
′ = >
+
1 άρα αντιστρέψιμη με 1
f
D f(A)− = = r
[ ]
1
1
1
3
1 1
12 u f (x) f (u) x ,dx f (u)du1
f (0) u f (u) 0 u 0, 0
0 0 0
f (3/2) u f (u) 3/2 u 1
E f (x) dx u f (u)du uf(u) f(u)du
−
−
−
′= ⇔ = =−
= ⇔ = ⇔ =
= ⇔ = ⇔ =
′= → = − =
∫ ∫ ∫
( )
3
1 2
2 2
2
0 0
3 3 x 3 3 1 1 ln 2
f 2x dx f x ln x 1
2 2 x 1 2 2 2 2
+       
= − − = − − + = = ÷  ÷  ÷  +       ∫ L
γ)
( ) ( ) ( )2 2 2 2 2 22x 2x 2x xf ''1 1''
x x 2 1 x x 2 1 2x 2 2
x 2e x 1 x 2e x 1 ex 2e x 12e 1 2e 1 (2e 1)e
f f
e e ex e e e ex e e 1 e x 1
−
− − − −
 + + + + + +
 ÷= ⇔ = ⇔ = ⇔ ÷  ÷+ + + + + +   
( )
( )
( )
( )
( ) ( )
3 3x x
f ''1 1''
x x
2 2x
2 e e 2 ex ex
f e f ex e ex
ex 1e 1
−+ +
⇔ = ⇔ = ⇔ =
++
, θεωρώντας x x
h(x) e ex, h (x) e e′= − = −
Δέτσιος Παντελής – μαθηματικός
λύσεις θεμάτων 38
Εφόσον h(1) 0= όπως φαίνεται και από τον πίνακα μεταβολών η εξίσωση έχει μοναδική λύση την x 1=
δ)
( )
( ) [ ]
2
22 2
f(x) 2x 1 2x
g(x) , g (x) 0 , x 0 , gστο 1,2
x x 1 x 1
+
′= = = > >
+ +
1
3 9 5 1 2
1 x 2 g(1) g(x) g(2) g(x)
2 5 9 g(x) 3
< < ⇔ < < ⇔ < < ⇔ < < άρα
2 2
1 1
3 9 5 1 2
g(x)dxκαι dx
2 5 9 g(x) 3
< < < <
∫ ∫ οπότε
2 2
1 1
5 1 6
g(x)dx dx
6 g(x) 5
< × <
∫ ∫
ΘΕΜΑ 49
Δίνεται συνάρτηση f παραγωγίσιμη στο ( )0,+ ∞ με f (1) 1′ = και f(xy) xf(y) yf(x) , x, y 0 (1)= + >
α) παραγωγίζοντας ως προς y έχουμε f (xy)x xf (y) f (x)′ ′= + και για y 1= έχουμε
( )
( )
( )
x 0
2
xf (x) x f(x) 1 f (x)
f (x)x xf (1) f(x) xf (x) x f(x) x ln x
x x x
> ′ ′′ −  ′ ′′ ′ ′= + ⇔ − = ⇔ = ⇔ = ⇔ ÷
 
f(x)
ln x c
x
⇔ = + , από την (1) για x y 1= = προκύπτει f(1) 0= οπότε c 0= και f(x) x ln x=
β) θεωρούμε
2 1 x
h(x) 2x ln x x 1,x 0 , h (x) 2ln x 2 2x , h (x) 2 , x 0
x
−
′ ′′= − + > = + − = >
h (x) h (1) 0′ ′≥ = εφόσον η h′ για x 1= έχει μέγιστο άρα η ( )h 1 κι
εφόσον h(1) 0= η x 1= είναι μοναδική λύση
γ)
2 21 1 112
1 21 1 1
ee e e
x 1 1 e 3
E x ln xdx ln xdx x ln x xdx
2 2 2 4e
′  −
 = − = − = − + = = ÷  
 ∫ ∫ ∫ L
δ)
2
x
x
tg(t)
F(x) dt
f(t)
=
∫ ,
2 2g tln t 0
2 2
t 1
xg(x) tg(t) x g(x )
1 x t x g(x) g(t) g(x )
t ln t t ln t t ln t
>
>
< ≤ ≤ ⇔ ≤ ≤ ⇔ ≤ ≤
1
άρα με x 0>
έχουμε
2 2 2 2 22 2x x x x x
2 2
x x x x x
xg(x) tg(t) x g(x ) 1 1
dt dt dt xg(x) dt F(x) x g(x ) dt
t ln t t ln t t ln t t ln t t ln t
≤ ≤ ⇔ ≤ ≤
∫ ∫ ∫ ∫ ∫ κι
εφόσον
( )
( )
2 2
2 2x x
x
x
x x
ln t1 ln x
dt dt ln ln t ln ln 2
t ln t ln t ln x
′
= = = =  ∫ ∫
2 2
x 1 x 1
lim xg(x) lim x g(x ) g(1) 1+ +
→ →
= = = από
κριτήριο παρεμβολής x 1
lim F(x) ln 2+
→
=
ΘΕΜΑ 50
Δίνεται f παραγωγίσιμη στο ( ),2−∞ με
1
f (0)
2
= και ( ) ( )2 x f (x) x 1 f(x) , x 2′− = − <
Δέτσιος Παντελής – μαθηματικός
λύσεις θεμάτων 39
α) ( )
x 1 1
f (x) f(x) 0 f (x) 1 f(x) 0 f (x) x ln(2 x) f (x) 0
x 2 x 2
−   ′′ ′ ′+ = ⇔ + + = ⇔ + + − = ÷
− − 
, πολ/ντας με
x ln(2 x) x
e e (2 x)+ −
= − έχουμε ( ) ( )x ln(2 x) x
e f(x) 0 e 2 x f(x) c+ − ′ = ⇔ − = και για x 0= προκύπτει c 1= οπότε
( )
x
x
1 e
f(x)
e 2 x 2 x
−
= =
− −
β)
( )
x
2
e (x 1)
f (x)
2 x
−
−
′ =
−
,
x x
x
x DLH xx 2 x 2
x 2
2 x 0
1 e e
f(1) , lim f(x) lim , lim lim e
e 2 x 2 x− −
∞ 
 ÷− − ∞ 
−
→−∞ →−∞→ →
<
− >
= = = +∞ = = +∞
− −
( ] ( )1 1
1
A ,1 , f A ,
e
 
= −∞ = + ∞÷ 
( ) ( )2 2
1
A 1,2 , f A ,
e
 
= = + ∞ ÷
 
, ( )
1
f A ,
e
 
= + ∞÷ 
u f (x)
1 ln f(x) f(x) ln u u 1
=
+ = ⇔ = − ισχύει μόνο όταν u 1= άρα f(x) 1= κι εφόσον ( ) ( )1 21 f A , 1 f A∈ ∈ η
εξίσωση έχει ακριβώς δύο ρίζες
γ)
f
2 2
2 2
1 1 1 1 1
0 x 1 f(0) f(x) f(1) f(x) f (x) 4 e
e 2 e 4 f (x)
< < ⇔ > > ⇔ < < ⇔ < < ⇔ < <
2
, οπότε
1 1
2
2
0 0
1 1 1
f(x)dxκαι 4 dx e
e 2 f (x)
< < < <
∫ ∫ και άρα
21 1
2
0 0
4 1 e
f(x)dx dx
e f (x) 2
< × <
∫ ∫
δ) η εξίσωση γίνεται
x x
2
0 0
dt
9 f (t)dt 4x 8
f (t)
× = +
∫ ∫ , θεωρώντας
[ ]
x x
2
0 0
dt
H(x) 9 f(t)dt 4x 8 , x 0,1
f (t)
= × − − ∈
∫ ∫ , έχουμε
1 1
2
0 0
k
1
H(0) 8 0, H(1) 9 f(x)dx dx 12 0
f (x)
= − < = × − >
∫ ∫14444244443
διότι από γ)
( )2
12 3 e4 e 36 12e
k 9k 12 0
e 2 e e
−−
< < ⇔ − > = > , οπότε από Θ.Bolzano υπάρχει ( )α 0,1∈ ώστε
Η(α) 0= ⇔
α
α2
0
0
dt 4α 8
9
f (t)
f(t)dt
+
=
∫
∫
Δέτσιος Παντελής – μαθηματικός

λυσεις 1 50

  • 1.
    λύσεις θεμάτων 1 ΘΕΜΑ1 Δίνεται 1 x f(x) ln x − = α) ( ) ( ) 1 x 0 1 x x 0 x 0,1 A x − > ⇔ − > ⇔ ∈ = , ( ) ( ) 1 f (x) 0 ,άρα f στο Α 1 x x ′ = − < − 2 β) x 0 1 x u x 1 x ux 0 x 0 lim x 1 x lim f(x) lim ln lim ln u x+ + +→ −  = ÷   − →+∞ → → =+∞ ÷   − = = = +∞ , x 1 1 x u x 1 xx 1 x 1 u 0 lim 0 x 1 x lim f(x) lim ln lim ln u x− − + −→ −  = ÷   − → → → = ÷   − = = = −∞ , άρα ( )f(A) ,= −∞ + ∞ γ) εφόσον f γνησίως φθίνουσα είναι και ''1 1''− άρα αντιστρέψιμη , 1 x f(x) y y ln x − = ⇔ = ⇔ ( )y 1 1 y x 1 x 1 1 e x ,οπότε f : 0,1 με f (x) x 1 e 1 e − −− ⇔ = ⇔ = → = + + r δ) x x x1 1 1 1 11 x x x x 00 0 0 0 1 1 e e (1 e ) 2e E f (x) dx dx dx 1 dx x ln(e 1) ln 1 e 1 e 1 e e 1 − ′ + − +  = = = = − = − + = ÷  + + + + ∫ ∫ ∫ ∫ ΘΕΜΑ 2 Δίνεται ln x f(x) x 2 x = − α) ( ) ( ) 2 1 1 2 x ln x 1 2x 2 ln xx xx 0, A ,f (x) , 2 x 4x x2 x × − × − + ′∈ + ∞ = = − = Δίνεται 4x x 0> , θεωρώντας ( ) 1 g(x) 2x 2 ln x ,x 0 , g (x) 2 0 ,άραg , οπότε x 1 g(x) g(1 ) 2x 2 ln x 0 x ′= − + > = + > > ⇔ > ⇔ − + >1 , αντίστοιχα 0 x 1 g(x) g(1) 2x 2 ln x 0< < ⇔ < ⇔ − + < (το πρόσημο προκύπτει και κατασκευαστικά διακρίνοντας περιπτώσεις) , άρα η f για x 1= έχει ολικό ελάχιστο το f(1) 1= β) Εφόσον f(x) 1≥ για να ισχύει α f(α 1) f(e ) 2+ + = πρέπει α α f(e ) 1 e 1 και και α 0 f(α 1) 1 α 1 1    = =     ⇔ ⇔ =       + = + =    γ) για 0λ 1< < έχουμε ( ) ( ) 1 1 1 11 1 λ λλ λ λ λ ln x 2 2 1 Ε(λ) f(x) dx x dx x x x ln xdx 1 λ λ x ln x dx 3 32 x x   ′   = = − = − = − − + = ÷     ∫ ∫ ∫ ∫ 2 2 2 8 λ λ λ ln λ 2 λ 2 λ λ ln λ 2 3 3 3 3   = − + + − + = − + − + ÷   (1) , αντίστοιχα γιαλ 1> λ 1 Ε(λ) f (x) dx= = ∫ λ 1 (1) 1λ f(x)dx f(x)dx= − = ∫ ∫ 2 8 λ λ ln λ 2 3 3   − + − ÷   δ) λ 0 λ 0 λ 0 2 8 8 limΕ(λ) lim Ε(λ) lim λ λ λ ln λ 2 λ 3 3 3+ +→ → →   = = − + − + = ÷   , εφόσον λ 0 2 8 8 limλ λ 2 λ 3 3 3+ →   − − + = ÷   Δέτσιος Παντελής – μαθηματικός
  • 2.
    λύσεις θεμάτων 2 και( ) ( ) ( ) ( )DLHλ 0 λ 0 λ 0 λ 0 λ 0 1 lnλlnλ λlimλ ln λ lim lim lim lim 2 λ 0 1 1 1 λ 2λ λ λ + + + + + −∞   ÷ +∞  → → → → → ′ = = = = − = ′  −  ÷   λ λ λ 2 8 2 lnλ 2 8 limΕ(λ) lim λ λ λ ln λ 2 λ lim λ λ 3 3 3λ λ 3λ λ→+∞ →+∞ →+∞    = − + − = − + − = +∞ ÷  ÷     , εφόσον λ λ 2 2 8 2 lim 0 , limλ λ 3λ 33λ λ→+∞ →+∞   + − = > = +∞ ÷   και ( ) ( ) ( )λ DLH λ λ lnλlnλ 1 lim lim lim 0 λ λλ −∞   ÷ +∞  →+∞ →+∞ →+∞ ′ = = = = ′ ΘΕΜΑ 3 Δίνεται η συνάρτηση x f(x) e x 1− = + − α) x ∈r , x x x x x x 1 e 1 f (x) e 1 1 , e 0,f (x) 0 e 1 0 x 0, e e − − ′ ′= − + = − + = > > ⇔ − > ⇔ > f (x) 0 x 0′ < ⇔ < ο πίνακας μεταβολών φαίνεται δίπλα και άρα η f για x 0= έχει ολικό ελάχιστο το f(0) 0= , επίσης ( )f x 0 f(x) f(0) f(x) 0< ⇔ > ⇔ > 2 , ( )f x 0 f(x) f(0) f(x) 0> ⇔ > ⇔ > 1 , άρα για το πρόσημο της f έχουμε β) ( )x x x xx x x x x 1 1 1 lim f(x) lim x 1 , lim f(x) lim x 1 lim 1 xe 1 e e e→+∞ →+∞ →−∞ →−∞ →−∞       = + − = +∞ = + − = + − = +∞ ÷  ÷  ÷       , εφόσον ( ) ( ) x x x x xx x x DLH x x 1 x (x) 1 lim , lim xe lim lim lim 0 e e (e ) e −∞   ÷ +∞  − − −→−∞ →−∞ →−∞ →−∞ →−∞ ′  = +∞ = = = = ÷ ′ −  και x x lim (1 xe ) 1 0 →−∞ + = > άρα το σύνολο τιμών αφού έχει ελάχιστο το 0 , είναι [ )f(A) 0,= + ∞ , η εξίσωση γίνεται x (e 0) x x x x e (x 1)αe 1 x 1 α e e x 1 α f(x) α > − − − = − ⇔ − = − ⇔ + − = ⇔ = , αν ( ) [ )1 2Α ,0 , Α 0,= −∞ = + ∞ τότε έχουμε ( ) [ )1 2f(A ) 0, , f(A ) 0,= + ∞ = + ∞ οπότε • αν α 0< η εξίσωση είναι αδύνατη εφόσον α f(A)∉ • αν α 0= η εξίσωση έχει μοναδική λύση την x 0= • αν α 0> η εξίσωση έχει δύο λύσεις εφόσον 1 2α f(A ) , α f (A )∈ ∈ και σε κάθε ένα από τα διαστήματα 1 2A ,A η f είναι γνησίως μονότονη γ) θεωρώντας [ ) 2 x xx g(x) 1 x e , x 0, , g (x) 1 x e f(x) 0 2 − − ′= − + − ∈ + ∞ = − + + = > από ερώτημα α) , άρα ( ) 2 2g x xx x x 0 g(x) g(0) 1 x e 0 1 x e 2 2 − − > ⇔ > ⇔ − + − > ⇔ − + > 1 δ) για την εξίσωση ( )2 f(x) f x ln x= + η x 1= είναι προφανής λύση και αν ( )2 f(x) f x ln x− = τότε • ( )f 2 2 2 x 1τότε ln x 0 , x x 1 f (x ) f(x) f(x) f(x ) 0> > > > ⇔ > ⇔ − < 1 , αδύνατη Δέτσιος Παντελής – μαθηματικός
  • 3.
    λύσεις θεμάτων 3 • ()f 2 2 2 0 x 1τότε ln x 0 , 0 x x f(x ) f(x) f(x) f(x ) 0< < < < < ⇔ < ⇔ − > 1 , αδύνατη εφόσον τα δύο μέλη της εξίσωσης είναι ετερόσημοι αριθμοί , άρα η x 1= είναι μοναδική λύση ΘΕΜΑ 4 Δίνεται f συνεχής στο [ ]α,β , παραγωγίσιμη στο ( )α,β με f(α) α , f (β) β= = α) για την [ ]g(x) f(x) x ,εφόσον g(α) f(α) α 0 , g(β) f(β) β 0,στ ο α,β= − = − = = − = ισχύουν οι προϋποθέσεις Θ. Rolle , άρα υπάρχει ( )ξ α,β ώστε g (ξ) 0 f (ξ) 1 0 f (ξ) 1′ ′ ′∈ = ⇔ − = ⇔ = β) θεωρώντας γ ( )α,β∈ με 1 2γ α d , β γ d− = − = ώστε 1 2d d β α 2 1 3 − = = , προκύπτει ( )1 2 dβ α 3 = − οπότε ( ) 2α 2β γ α β α 3 3 + = + − = και για την f από Θ.Μ.Τ. στα [ ] [ ]α,γ και γ,β υπάρχουν ( )1ξ α,γ∈ ( )2και ξ γ,β∈ ώστε ( ) ( )1 2 f (γ) f(α) f(β) f(γ) fξ και f ξ γ α β γ − − ′ ′= = − − , άρα 1 2 f(γ) f (α) 2f (ξ ) f (ξ ) 2 α 2β α 3 − ′ ′+ = + + − ( )3 f(γ) f (α) f(β) f (γ)f(β) f(γ) f(γ) f(α) f(β) f(γ) 3(β α) 2 3 α 2β β α β α β α β αβ 2 3 3 3 − + −− − − − + = + = = = + − − − −− γ) για την 2α β 2α β 2α β α β β α h(x) f(x) , h(α) f(α) α 0 και h(β) 0 3 3 3 3 3 + + + − − = − = − = − = < = > οπότε h(α) h(β) 0× < και εφόσον h συνεχής από Θ. Bolzano υπάρχει ( )0 0xα,β ώστε h(x ) 0∈ = ⇔ 0 2α β f(x ) 3 + ⇔ = (μπορεί να προκύψει και από Θ.Ε.Τ. εφόσον 2α β f(α) α β f(β) 3 + = < < = ) δ) για την f από Θ.Μ.Τ. στα [ ] [ ]0 0α,x και x ,β υπάρχουν ( )1 0xα,x∈ ( )2 0και x x ,β∈ ώστε ( ) ( )0 0 1 2 0 0 f(x ) f(α) f(β) f(x ) f xκαι f x xα β x − − ′ ′= = − − , άρα ( ) ( ) ( )0 0 0 00 0 1 2 3 xα 3 β x 3 x α β xxα β x1 2 2 2 3 2α β 2α βf (x ) f (x )β α 2(β α) β αα β 3 3 − − − + −− − + = + = + = = + +′ ′ − − −− − ΘΕΜΑ 5 Δίνεται ( )f : 0,με f(1) 1+ ∞ → =r , παραγωγίσιμη με 3 2 x f (x) 2x x 2′ + = + για κάθε x 0> α) 3 2 3 2 3 2 2 1 2 2 1 2 x f (x) 2x x 2 x f (x) x 2 2x f (x) f (x) ln x x x x x x ′ ′ ′ ′ ′+ = + ⇔ = + − ⇔ = + − ⇔ = − + ⇔ ÷   2 2 1 2 1 2 f(x) ln x c , f(1) 1 c 0οπότε f(x) ln x , x 0 x x x x ⇔ = − + + = ⇔ = = − + > β) ( ) 2 3 x 2x 2 f (x) 0για x 0 , άρα f στο 0, x − + ′ = > > + ∞1 ( )2 2 2x x x 0 x 0 x 0 1 2 1 2 1 lim f(x) lim ln x , lim f(x) lim ln x lim ln x 2x 1 x x x x x+ + +→+∞ →+∞ → → →       = − + = +∞ = − + = + − = −∞ ÷  ÷  ÷       εφόσον 2 x 0 x 0 x 0 1 lim ln x , lim(2x 1) 1 0 , lim x+ + + → → → = −∞ − = − < = +∞ άρα f(A) = r , η εξίσωση γίνεται Δέτσιος Παντελής – μαθηματικός
  • 4.
    λύσεις θεμάτων 4 2 12α 2015 α 2 2 1 2α 1 2 α e ln α 2015 ln α 2015 f(α) 2015 α α α − + − = ⇔ = + ⇔ − + = ⇔ = , 2015 f(A)∈ = r κι εφόσον ( )f 1 είναι και ''1 1''− άρα υπάρχει μοναδικό α ( )0,∈ + ∞ ώστε f(α) 2015= γ) πρέπει 2ημx 0 ημx 2 , που ισχύει και 2 x 0 x 2− > ⇔ < − > ⇔ < , οπότε ( ) ( ) ( )f f 2ημx f(2 x) 0 f 2 ημx f(2 x) 2 ημx 2 x ημx x− − − > ⇔ − > − ⇔ − > − ⇔ < 1 , είναι γνωστό ότι ισχύει ημx x ,x 0 x ημx x< ≠ ⇔ − < < , άρα αν • x 0 , xημx x> − < < οπότε ( )x 0,2∈ • x 0 , xημx x< < < − και η ανίσωση αδύνατη, οπότε η λύση τελικά είναι 0 x 2< < δ) για την f στο 1 ,1 2      έχουμε ότι είναι συνεχής και 1 f(1) 1 0και f ln 2 0 2   = > = − < ÷   , άρα από Θ. Bolzano υπάρχει 0 0 1 x ,1ώστε f(x ) 0 2   ∈ = ÷   κι εφόσον ( )f 1 είναι μοναδικό στο ( )∞+,0 x x x x x 2 2 1 1 1 1 2 1 g (x) e ln x , g (x) e ln x e e ln x e f(x) x x x x x x        ′ ′′= + = + + − = + − = ÷  ÷  ÷  ÷         , οπότε ( )x e 0 x 0g (x) 0 e f(x) 0 f(x) 0 x x > ′′ = ⇔ = ⇔ = ⇔ = , ( )f 0 0x x f(x) f(x ) f (x) 0 g (x) 0′′> ⇔ > ⇔ > ⇔ > 1 , ( )f 0 00 x x f(x) f(x ) f(x) 0 g (x) 0′′< < ⇔ < ⇔ < ⇔ < 1 και η g παρουσιάζει μοναδικό σημείο καμπής για 0x x= ΘΕΜΑ 6 Δίνεται η συνάρτηση 2 αx βx 1 f(x) x 1 + + = − α) ( )2 2α 0 2 2x x x f(x)αx βx 1 αx lim lim limα 1 x x x x ≠ →+∞ →+∞ →+∞ + + = = = = − ( ) ( )2 2 x x x β 1 x 1xβx 1 x x lim f(x) x lim limβ 1 0 β 1 x 1 x 1→+∞ →+∞ →+∞ + ++ + − + − = = = + = ⇔ = − − − β) ( ) ( )( ) ( ) ( ) 2 2 2 2 2 x x 1 (x 1) x x 1 x 1 x 2x f (x) x 1 x 1 ′ ′− + − − − + − − ′ = = = − − L , ( ) 3 2 f (x) x 1 ′′ = = − L , οπότε ο πίνακας μεταβολών της f διαμορφώνεται όπως φαίνεται στον πίνακα και η f για x 0= έχει τοπικό μέγιστο το f(0) 1= − και για x 2= τοπικό ελάχιστο το f(2) 3= γ) παρατηρούμε ότι αν ( )x 1,∈ + ∞ τότε f(x) f (0) 3≥ = , άρα εφόσον 2 4 x 1 , x 1 1+ + > για κάθε x 0≠ , για να ισχύει ( ) ( )2 4 f x 1 f x 1 6+ + + = πρέπει ( ) ( ) 2 2 2 4 4 4 x 1 2 x 1 f x 1 f x 1 3 x 1 2 x 1    + = =    + = + = ⇔ ⇔ ⇔    + = =       x 1ή x 1⇔ = = − Δέτσιος Παντελής – μαθηματικός
  • 5.
    λύσεις θεμάτων 5 δ) 200 0 0 0 1 1 1 1 1 x x 1 1 1 E f (x) x dx x dx dx dx ln x 1 ln 2 x 1 x 1 x 1 − − − − − − + − = − = − = = = − −  = − − −∫ ∫ ∫ ∫ ΘΕΜΑ 7 Δίνεται η συνάρτηση x f(x) e x 1= + − α) ( )x f (x) e 1 0 , fστο άρα ''1 1'' και αντιστρέψιμη′ = + > −1 r x x lim f(x) , lim f(x) →−∞ →+∞ = −∞ = +∞ οπότε ( )1 f D f(A) ,− = = −∞ + ∞ = r β) ε: ( )1 1 y f (e) f (e) (x e)− − ′− = × − ( )f ''1 1'' 1 f (e)κ f(κ) e f(1) κ 1 − − = ⇔ = = ⇔ = δηλ. 1 f (e) 1− = ( )1 f f (x) x , x− = ∈r , οπότε εφόσον 1 f − παραγωγίσιμη έχουμε ( ) ( )1 1 f f (x) f (x) 1 (1)− − ′′ × = για ( ) ( ) ( ) ( ) ( )1 1 1 1 1 x e , f f (e) f (e) 1 f 1 f (e) 1 f (e) e 1 − − − −′ ′ ′′ ′= × = ⇔ × = ⇔ = + ΄, άρα ε: 1 1 1 y 1 (x e) y x e 1 e 1 e 1 − = − ⇔ = + + + + γ) από α) x x f (x) e 1 0 , f (x) e 0′ ′′= + > = > , από (1) εφόσον ( )1 f f (x) 0− ′ > έχουμε ( ) ( ) 1 1 1 f (x) f f (x) − − ′ = ′ κι εφόσον η f′ είναι παραγωγίσιμη θα είναι και η ( )1 f − ′ με ( ) ( )( ) ( )( ) ( )( ) ( )( ) 1 1 1 1 2 2 1 1 f f (x) f f (x) f (x) f (x) 0 f f (x) f f (x) − − − − − − ′ ′′ ′′′′ = − = − < ′ ′ αφού ( )1 f (x), f (x), f (x) 0− ′′′ ′ > , άρα 1 f − κοίλη δ) ε: y 0 11 1 y x x 1 , f(0) 0 f (0) 0με x 0 e 1 e 1 = − = + → = − = ⇔ = = + + μοναδική λύση εφόσον f ''1 1''− , επίσης η 1 f − κοίλη άρα η εφαπτομένη είναι πάνω από την γραφική της παράσταση κι έτσι το εμβαδόν είναι ( )e 1 ΑΒΓ 1 0 1 e 2 E EΕ (e 1) 1 f (x)dx 2 2 ∗ − − = − = + × − = ∫ ( ) 1 1 1 1 1 1 2 2 2u f (x) f(u) x , dx f (u)du ,u f (0) f(u ) 0 u 0,u f (e) f(u ) e u 1− − − ′∗ = ⇔ = = = ⇔ = ⇔ = = ⇔ = ⇔ = οπότε [ ] 12e 1 1 11 u 0 0 0 0 0 u 3 f (x)dx uf (u)du uf (u) f(u)du f(1) f(0) e u 2 2 −   ′= = − = − − + − = =   ∫ ∫ ∫ K Δέτσιος Παντελής – μαθηματικός
  • 6.
    λύσεις θεμάτων 6 ΘΕΜΑ8 Δίνεται f : →r r συνεχής με f(0) 0= και 1 1 f (x)συν 2xημ , x 0 x x ′ + = ≠ α) ( ) ( ) ( )2 2 21 1 1 1 f (x) 2xημ συνx x ημ x ημ x ημ , x ,0 0, x x x x ′ ′   ′′ = − = + = ∈ −∞ ∪ + ∞ ÷  ÷     2 2 1 xημ c , x 0 x 1 f(x) xημ k , x 0 x 0 , x 0  + <   = + >  =   , f συνεχής στο 0 άρα x 0 x 0 lim f(x) lim f(x) f(0) 0 (1)+ − → → = = = 2 2 2 2 2 21 1 1 xημ x ημ x x x ημ x x x x = ≤ ⇔ − ≤ ≤ οπότε από κριτήριο παρεμβολής 2 x 0 1 lim xημ 0 x→   = ÷   και από (1) έχουμε c k 0= = άρα τελικά 2 1 xημ , x 0 f(x) x 0 , x 0  ≠ =   = , κριτήριο x 0 x 0παρεμβολής f(x) f(0) 1 f (0) lim lim xημ 0 x 0 x→ → − ′ = = = − , ε: y f(0) f (0)(x 0) y 0 (x x)′ ′− = − ⇔ = β) 1 1 1 1 f(x) 0 x 0ή ημ 0 κπ , κ x , x 0, άρα κ 0 x xκπ π   = ⇔ = = ⇔ = ∈ ⇔ = ∈ >   Z και τα κοινά σημεία είναι κ 1 Ο(0,0) και Α ,0 με κ 1,2,3, κπ   = = ÷   K γ) 1 u 0 x x x u 0 f(x) 1ημu lim lim xημ lim 1 x x u+   = > ÷   →+∞ →+∞ →   = = = ÷   ( ) ( ) 1 0 u 0 x 0 2 2 2 2x x DLHu 0 u 0 u 0 u 0 1ημu 1 ημu u (ημu u) 1 συνu lim f(x) x lim xημ x lim lim lim lim 0 x u u u (u ) 2u+ + + +     = > ÷  ÷     →+∞ →+∞ → → → → ′− − −    − = − = − = = = = ÷  ÷ ′    άρα η ευθεία y x= πλάγια ασύμπτωτη στο ∞+ δ) ( ) 21 1 1 1 π π π π 4 4 21 1 1 1 2π 2π 2π 2π 1 1 xημ ημf(x) x xE g(x) dx dx dx dx x x x ∗ = = =− = − ∫ ∫ ∫ ∫ και θέτοντας 2 1 1 u , du x x = = − έχουμε [ ] π π 2π 2π Eημudu συνu συνπ συν2π 2= = − = − + = ∫ ( ) 1 1 1 1 1 x , x ,οπότε ημ 0 f(x) 0 2π π 2π π x   ∗ ∈ ⇔ ≤ ≤ ≤ ⇔ ≤   ΘΕΜΑ 9 Δίνονται ( )2x x1 f(x) 4e 1 x 1 , x , g(x) x , xκαι h(x) e 2 = − − ∈ = ≥ =r Δέτσιος Παντελής – μαθηματικός
  • 7.
    λύσεις θεμάτων 7 α)( )2x 2x 2x 2x f (x) 4 2e (1 x) e ( 1) 4e (1 2x) , 4e 0′ = − + − = − > άρα όπως φαίνεται στον πίνακα η f για 1 x 2 = έχει ολικό μέγιστο το 1 f 2e 1 2   = − ÷   β) η εξίσωση γίνεται ( ) ( )x 2x x 1 e 1 x 4e 1 x 1 f(x) 0 4e − = ⇔ − = ⇔ = ( ) ( ) 2x 2x 2x 2x 2xx x DLH x x x 1 x (1 x) 1 1 lim e 1 x lim lim lim lim e 0 e (e ) 2e 2 +∞   ÷ +∞  − − −→−∞ →−∞ →−∞ →−∞ →−∞ ′− − − = = = = = ′ άρα x lim f(x) 1 →−∞ = − , 1 x 2 lim f(x) 2e 1− → = − , x lim f(x) →+∞ = −∞ οπότε αν 1 2 1 1 A , , A , 2 2     = −∞ = + ∞ ÷ ÷    έχουμε ( ) ( )1f A 1,2e 1= − − και ( ) ( ]2f A ,2e 1= −∞ − κι εφόσον ( ) ( )1 20 f A ,0 f A∈ ∈ και σε κάθε ένα διάστημα η f είναι γνησίως μονότονη , έχει δύο ακριβώς ρίζες γ) ηεξίσωση γίνεται ( )α α 4e 1α e f(α) 0− − = ⇔ = που από ερώτημα β) έχει μοναδική λύση α στο 2 1 A , 2   = + ∞÷  που έφόσον 1 f 2e 1 0 , f(1) 1 0 2   = − > = − < ÷   ανήκει τελικά στο 1 ,1 2    ÷   δ) ( ) ( ) ( ) ( ) ( ) ( ) ( ) ( ) g hg 1 1 1 ε ,ε 1 2 ταυτίζονται 1 1 1 2 2 2h 2 2 2 1 2 ε : y g(x ) g x x x g x h x 1 g(x ) x g x h(x ) x h xε : y h(x ) h x x x , με x ,x 2 ′− = −  ′ ′=     ⇔ ⇔    ′ ′− = −′− = − ≥        ( ) ( ) ( ) 2 2 2 2 2 2 x 1 x x1 2 2 2x x x 1 1 2 1 1 e 2 x x 1 e 1 x e 1 x f x 0 1 2 4e x x e x e 2 x   =    ⇔ ⇔ = − ⇔ = − ⇔ =   − + = − +     εξίσωση που δείξαμε στο ερώτημα γ) ότι έχει μοναδική λύση στο 1 ,1 2    ÷   ΘΕΜΑ 10 Δίνεται η συνάρτηση 2 ln x x f(x) 2 x 2 = − + α) 3 2 2 1 ln x 1 ln x x f (x) x , x 0 x x − − − ′ = − = > , θεωρώντας ( ) ( )3 21 g(x) 1 ln x x , x 0 , g (x) 3x 0 , gστο 0, , g(1) 0 x ′= − − > = − − < + ∞ =2 ( )g 3 x 1 g(x) g(1) 1 ln x x 0 f (x) 0′> ⇔ < ⇔ − − < ⇔ < 2 , ( )g 3 0 x 1 g(x) g(1) 1 ln x x 0 f (x) 0′< < ⇔ > ⇔ − − > ⇔ > 2 και η f για x 1= έχει ολικό μέγιστο το 3 f(1) 2 = Δέτσιος Παντελής – μαθηματικός
  • 8.
    λύσεις θεμάτων 8 β)η εξίσωση γίνεται ( ) ( )3 3 x 2α 42ln x x 2ln x x x 2α 4 f(x) α 2x 2x 2x − = + − ⇔ = + ⇔ = ( ) ( )x 0 x 0 x 0 ln x 1 lim f(x) ,εφόσον lim lim ln x x x+ + + → → →   = −∞ = = +∞ × −∞ = −∞ ÷   , x lim f(x) →+∞ = −∞ εφόσον ( )x DLH x x ln x (ln x) 1 lim lim lim 0 x (x) x +∞   ÷ +∞  →+∞ →+∞ →+∞ ′ = = = ′ και 2 x x lim 2 2→+∞   − + = −∞ ÷   , άρα αν ( ) [ )1 2Α 0,1 , Α 1,= = + ∞ τότε έχουμε 1 2 3 3 f(A ) , , f(A ) , 2 2     = −∞ = −∞ ÷      οπότε • αν 3 α 2 > η εξίσωση είναι αδύνατη εφόσον 1 2α f(A ),f(A )∉ • αν 3 α 2 = η εξίσωση έχει μοναδική λύση την x 1= • αν 3 α 2 < η εξίσωση έχει δύο λύσεις ( ) ( )1 2x 0,1 ,x 1,∈ ∈ + ∞ εφόσον 1 2α f(A ) , α f (A )∈ ∈ και σε κάθε ένα από τα διαστήματα 1 2A ,A η f είναι γνησίως μονότονη γ) ( ) t2 2 3t t t t 2 1 1 1 1 1 ln x x x 1 x f(x)dx 2 dx ln x ln xdx 2 dx ln x 2x x 2 2 2 6      ′= − + = − − = − + = ÷  ÷        ∫ ∫ ∫ ∫ 3 21 t 11 ln t 2t 2 6 6 = − + − , οπότε ( ) 3 2t 2 3 3 2 3t t t1 1 t 11 ln t 1 2 11 1 lim f(x)dx lim ln t 2t lim t 2 6 6 2t 6 t 6t 6→+∞ →+∞ →+∞       = − + − = − + − = +∞ × − = −∞ ÷  ÷  ÷     ∫ εφόσον ( ) ( ) ( ) ( ) 22 3 3 2 3 3t DLH t t t DLH t ln t ln t ln tln t ln t 1 lim lim lim lim lim 0 2t (2t ) 3t 3t 9t +∞ +∞     ÷  ÷ +∞ +∞    →+∞ →+∞ →+∞ →+∞ →+∞ ′ ′ = = = = = ′ δ) εφόσον μεγ 3 f 2 = θα ισχύει 3 3 f(α) , f(β) και f(α) f (β) 3 2 2 ≤ ≤ + ≤ , 2 γ 3 3+ ≥ οπότε για να ισχύει πρέπει 2 2 3 f(α) f(β) 3 f(α) f(β) α 1 και β 1 και γ 02 3γ 3 γ 0   + = = =    ⇔ ⇔ = = =    + =   =  ΘΕΜΑ 11 Δίνεται η συνάρτηση 1 f(x) x ln 1 ln x x   = + + ÷   α) 1 1 1 1 1 1 1 f (x) ln 1 x 1 ln 1 0 1x x x x x x 11 x      ′ = + + + + = + + − > ÷  ÷  ÷ +     + για κάθε x 0> ως άθροισμα θετικών, εφόσον 1 1 1 1 1 1 1 1 ln 1 0 , 0 x x 1 0 x x x x 1 x x 1   + > ⇔ + > < < + ⇔ > ⇔ − > ÷ + +  οπότε η f γνησίως αύξουσα ( )1 )στο ( )0,+ ∞ άρα ''1 1''− και αντιστρέψιμη ( ) x 0 1 u 1 x u DLH u1x 0 lim 1 x 1 ln u 1 lim x ln 1 lim lim 0 x u 1 u+ +→ +∞    = + ÷  ÷ +∞    →+∞ →+∞  → + =+∞ ÷ ÷      + = = = ÷ −  κι εφόσον x 0 lim ln x+ → = −∞ ισχύει x 0 lim f(x)+ → = −∞ , Δέτσιος Παντελής – μαθηματικός
  • 9.
    λύσεις θεμάτων 9 () x 1 0 u 1 x 0 x u 1 DLH u 11 lim 1 1 x 1 ln u 1 lim xln 1 lim lim 1 x u 1 u →+∞     = + ÷  ÷     →+∞ → →   + = ÷ ÷      + = = = ÷ −  κι εφόσον x lim ln x →+∞ = +∞ ισχύει x lim f(x) →+∞ = +∞ , οπότε ( )f(A) ,= −∞ + ∞ = r β) η εξίσωση γίνεται x x 1 1 ln ln x 2015 xln 1 ln x 2015 f(x) 2015, x 0 x x +    ⇔ + = ⇔ + + = ⇔ = > ÷  ÷     κι εφόσον 2015 f(A)∈ και η f είναι ''1 1''− η εξίσωση έχει μοναδική θετική ρίζα γ) ( ) ( )1 1 1 ff f : D f(A) , f (A) D 0,− − − = = −∞ + ∞ = → = = + ∞r , είναι γνωστό ότι η 1 f − έχει το ίδιο είδος μονοτονίας με την f άρα γνησίως αύξουσα , οπότε ( )1 1 1 x x f (A) lim f (x), lim f (x)− − − →−∞ →+∞ = κι επομένως 1 x lim f (x)− →+∞ = +∞ κι έχοντας υπόψη ότι 1 u f (x) f(u) x− = ⇔ = το όριο γίνεται ( ) ( )1 x u DLH u u x f (x) f(u) u f (u) 1 1 lim lim lim lim 1 x 1 f(u) 1 f (u) f (u) +∞   ÷− ∗+∞  →+∞ →+∞ →+∞ →+∞ ′  + + + = = = + =+ ∞ ÷′ ′− −   ( ) u u u 1 1 1 1 lim f (u) lim ln 1 ln(1 0) 0 0 0 , f (u) 0άρα lim u u u 1 f (u)→+∞ →+∞ →+∞   ′ ′∗ = + + − = + + − = > = +∞ ÷ ÷ ′+   δ) ( ) ( ) ( ) 2x 12 2 2 2 f (x) 01 1 1 1 1 x 1 E f(x) dx x ln 1 ln x dx ln 1 dx x ln x x 2 x > > ′      ′= = + + = + + = ÷ ÷  ÷ ÷       ∫ ∫ ∫ ∫ [ ] 2 22 2 2 22 2 1 1 1 1 1 1 1 x x 1 1 3 1 x x ln 1 dx x ln x dx 4ln ln 2 dx 2ln 2 1 2 x 2 x 1 x 2 2 2 x 1        = + − − + − = − + + − = ÷  ÷  ÷  + +       ∫ ∫ ∫ ( ) [ ] 2 1 1 1 3 1 4ln3 5ln 2 x ln(x 1) 2ln 2 1 ln3 2 2 2 2 = − + − + + − = = −K ΘΕΜΑ 12 Δίνεται f : →r r κοίλη με x 1 f(x) 3x lim 2και f(2) 3 x 1→ − = = − α) f κοίλη άρα ( )f′ 2 , f συνεχής οπότε x 1 f(1) limf(x) 3 → = = ( ) x 1 x 1 x 1 3 x 1f(x) 3x f(x) 3 3 3x f(x) f (1) lim 2 lim 2 lim 2 f (1) 3 2 f (1) 5 x 1 x 1 x 1 x 1→ → →  − − − + − − ′ ′= ⇔ = ⇔ − = ⇔ − = ⇔ = ÷ ÷ ÷− − − −   για την εφαπτομένη της fC στο Μ(1,f(1)) έχουμε ε: y f(1) f (1)(x 1) y 3 5(x 1) y 5x 2′− = − ⇔ − = − ⇔ = − κι εφόσον η f κοίλη η fC θα είναι κάτω από την ευθεία ε δηλ. f(x) 5x 2 2 5x f(x) 0≤ − ⇔ − + ≤ με το '' ''= να ισχύει μόνο όταν x 1= (σημείο επαφής) β) f(1) f(2) 3= = άρα από Θ. Rolle υπάρχει ( )0 0x 1,2ώστε f (x ) 0′∈ = κι εφόσον ( )f′ 2 είναι ''1 1''− και το 0x μοναδικό, επιπλέον (f ) 0 0x x f (x) f (x ) f (x) 0 ′ ′ ′ ′< ⇔ > ⇔ > 2 (f ) 0 0x x f (x) f (x ) f (x) 0 ′ ′ ′ ′< ⇔ > ⇔ > 2 και η f για 0x x= έχει ολικό μέγιστο Δέτσιος Παντελής – μαθηματικός
  • 10.
    λύσεις θεμάτων 10 γ)θεωρούμε τη συνάρτηση x 0 F(x) f(t)dt= ∫ με 1 F (x) f(x) 0,x , 5  ′ = < ∈ −∞ ÷   εφόσον από ερώτημα α) για 1 x 5 = έχουμε 1 f 1 5   ≤ − ÷   και από ερώτημα β) 1 f f 1 0 5 0 1 1 x 1 x f(x) f f(x) 0 5 5   ≤− < ÷    < < < ⇔ < → < ÷   1 , άρα ( ) 1 Fστο , οπότε και ''1 1'' 5   −∞ − ÷   2 και η εξίσωση γίνεται 2x 0 2x F''1 1'' x x 0 f(t)dt 0 f(t)dt f(t)dt 0 F(2x) F(x) 2x x x 0 − = ⇔ + = ⇔ = ⇔ = ⇔ = ∫ ∫ ∫ Παρατήρηση: σ’ αυτές τις ασκήσεις μπορούμε να εργαστούμε και ως εξής, εφόσον f(x) 0< τότε αν 2x 2x x x x 2xή x 2x θα ισχύει f(t)dt 0 ή f(t)dt 0< > < > ∫ ∫ αντίστοιχα, άτοπο εφόσον πρέπει 2x x f(t)dt 0= ∫ , άρα 2x x x 0= ⇔ = δ) από ερώτημα α) για 2 x 5 = έχουμε 2 f 0 5   ≤ ÷   και από ερώτημα β) 2 f f 0 5 0 2 2 x 1 x f(x) f f(x) 0 5 5   ≤ ÷    < < < ⇔ < → < ÷   1 , x 2 2 0 g (x) 2x f(t)dt x f(x) 2xF(x) x f(x)′ = + = + ∫ , 2 2 x 0 , f(x) 0άρα x f(x) 0≥ < ≤ , επίσης 2xF(x) 0≤ κατασκευαστικά διακρίνοντας δύο περπτώσεις 2 x 0και 0 x 5 ≤ ≤ < ή από Θ.Μ.Τ. για την F στο [ ] [ ]0,xή x,0 υπάρχει ( ) ( )ξ 0,x ή ξ x,0∈ ∈ ώστε F(x) F(0) F (ξ) F(x) xf(ξ) x 0 − ′ = ⇔ = − και 2 2 2χF(x) 2x f(ξ) 0 εφόσον f(ξ) 0 και x 0= ≤ < ≥ , άρα τελικά 2 g (x) 0 ,x , 5  ′ ≤ ∈ −∞ ÷   με το '' ''= να ισχύει μόνο για x 0= κι έτσι η g γνησίως φθίνουσα στο 2 , 5   −∞ ÷   ΘΕΜΑ 13 Δίνεται ( )f : 0,+ ∞ → r συνεχής με x 1 1 f(t) f(x) 2x 1 dt , x 0 x t = − − − > ∫ α) ( ) ( )2 2 1 f(x) 1 f (x) 2 xf (x) 2x f(x) x f(x) xf (x) x ln x x x x ′′′ ′ ′= + − ⇔ = + − ⇔ + = + ⇔ ( ) ( )2 2 ln x 1 xf(x) x ln x xf(x) x ln x c , f(1) 0 c 1οπότε f(x) x , x 0 x −′′⇔ = + ⇔ = + + = ⇔ = − = + > β) 2 2 x 2 ln x f (x) 0, x 0 x + − ′ = > > εφόσον θεωρώντας ( )2 g(x) x 2 ln x , x 0,= + − ∈ + ∞ , 2 2x 1 g (x) x − ′ = και άρα η g για 2 x 2 = έχει ελάχιστο το 2 5 ln 2 g 0 2 2   + = > ÷ ÷   οπότε Δέτσιος Παντελής – μαθηματικός
  • 11.
    λύσεις θεμάτων 11 2 g(x)g 0 2   ≥ > ÷ ÷   , έτσι ( ) ( )fστο 0, + ∞1 κι εφόσον f(1) 0= έχουμε ( )f x 1 f(x) f(1) 0> ⇔ > = 1 , ( )f 0 x 1 f(x) f(1) 0< < ⇔ < = 1 οπότε το πρόσημο της f διαμορφώνεται όπως φαίνεται στον πίνακα ( ) ( ) ( )x 0 x 0 ln x 1 1 lim lim ln x 1 x x+ + → → − = − = +∞ × −∞ = −∞ άρα x 0 lim f(x)+ → = −∞ και η ευθεία x 0= ( )y y′ κατακόρυφη ασύμπτωτη από δεξιά στο 0 ( )2 2 2x DLH x x ln x 1 (ln x 1) 1 lim lim lim 0 x (x ) 2x +∞   ÷ +∞  →+∞ →+∞ →+∞ ′− − = = = ′ και 2x x f(x) ln x 1 lim lim 1 1 0 1 x x→+∞ →+∞ −  = + = + = ÷   ( ) ( )x x DLH x x ln x 1 (ln x 1) 1 lim f(x) x lim lim lim 0 x (x) x +∞   ÷ +∞  →+∞ →+∞ →+∞ →+∞ ′− − − = = = = ′ άρα η y x= πλάγια ασύμπτωτη στο +∞ γ) ( ) ( ) 121 1 1 1 λ λ λ λ λ ln x 1 1 ln x ln x E(λ) f(x) x dx dx dx ln x 1 ln x dx ln x x x 2  − − ′= − = = = − = − =   ∫ ∫ ∫ ∫ 2 lnλ lnλ 2 = − + δ) ( ) ( )2 f 2 f ''1 1'' z ln z 1 z ln z 1 0 f z f(1) z 1 z − + − + = ⇔ = ⇔ = ⇔ = 1 , οπότε ο γεωμετρικός τόπος των εικόνων των z είναι κύκλος με κέντρο Ο(0,0) και ακτίνα 1 ΘΕΜΑ 14 Δίνεται [ )f : 0,+ ∞ → r συνεχής με x f(0) 1και 2x f (x) e , x 0′= < < > α) ( )f (x) 2x 0 , x 0,′ > > ∈ + ∞ κι εφόσον f συνεχής στο 0, θα είναι f ( ) [ )στο 0,+ ∞1 ( )2 f (x) 2x 0 f(x) x 0′′ − > ⇔ − > δηλ. η ( ) [ )2 g(x) f(x) xστο 0,= − + ∞1 g 2 2 x 0 g(x) g(0) f(x) x f(0) f (x) x 1> ⇔ > ⇔ − > ⇔ > + 1 ( )x x f (x) e 0 f(x) e 0′′ − < ⇔ − < δηλ. η ( ) [ )x h(x) f(x) eστο 0,= − + ∞2 h x x x 0 h(x) h(0) f(x) e f(0) 1 f(x) e> ⇔ < ⇔ − < − ⇔ < 2 β) ( ) 2 x κριτήριο 2 x παρεμβολής x 0 x 0 x 0 x 1 f(x) e lim f(x) 1 f(0) lim x 1 1 lim e + + + → → →  + < <  → = =  + = =   , 2 2 1 1 0 x 1 f (x) 0 x 1 f(x) < + < ⇔ > > + κι εφόσον 2x 1 lim 0 x 1→+∞ = + από κριτήριο παρεμβολής x 1 lim 0 f(x)→+∞ = οπότε f (x) 0 x x 1 lim f(x) lim 1 f(x) > →+∞ →+∞ = = + ∞ και το σύνολο τιμών είναι [ )f(A) 1,= + ∞ γ) θεωρούμε [ ]2 φ(x) f(x) 2x , x 1,2= − ∈ , από ερώτημα α) για x 1και x 2= = έχουμε 2 f(1) e< < και 2 5 f(2) e 8< < < οπότε φ(1) f(1) 2 0 , φ(2) f(2) 8 0= − > = − < , άρα από Θ. Bolzano υπάρχει ( )0x 1,2∈ ώστε 2 0 0 0φ(x ) 0 f(x ) 2x= ⇔ = δ) 1 1f (x) 0 0 0 E(Ω) f(x) dx f(x)dx > = = ∫ ∫ , εφόσον 2 x x 1 f(x) e+ < < θα ισχύει Δέτσιος Παντελής – μαθηματικός
  • 12.
    λύσεις θεμάτων 12 () 131 1 1 12 x x 00 0 0 0 x 4 x 1 dx f(x)dx e dx x E(Ω) e E(Ω) e 1 e 3 3    + < < ⇔ + < < ⇔ < < − <     ∫ ∫ ∫ ΘΕΜΑ 15 Δίνεται ( )f : 0,+ ∞ → r η οποία είναι δύο φορές παραγωγίσιμη με f(1) e , f (1) 0′= = και ισχύει 1 x xf (x) f(x) eγια κάθε x 0′ = − > α) ( ) ( ) 1 1 1 1x x x x 2 2 f (x)x x f(x) e f(x) xf (x) f(x) e f (x)x x f(x) e e x x x ′′ ′′ −   ′′ ′= − ⇔ − = − ⇔ = − ⇔ = ⇔ ÷ ÷     1 1 1x 1 x x x f(x) f(x) e c f(1) e c e e c c 0 , e f(x) xe x x = ⇔ = + → = + ⇔ = + ⇔ = = ⇔ = β) 1 1 1 1 1 x x x x x 1 1 x 1 f (x) e xe e 1 e ,x 0 ,e 0 x x x ′ −   ′ = + = − = > > ÷  ÷     για x 1= η f έχει ολικό ελάχιστο το f(1) e= , f(x) f (1)≥ ⇔ x x1 1 x x xx x x 1 xe e 1 xe e x e e e e     ⇔ ≥ > ⇔ ≥ ⇔ ≥ ⇔ ≥ ÷  ÷    γ) ( ) 1 u1 u ux ux u DLH u ux 0 x 0 e (e ) lim f(x) lim xe lim lim lim e u (u)+ + +∞  =  ÷ +∞  →+∞ →+∞ →+∞→ →   ′ = = = = = +∞ ÷ ′  , άρα η ευθεία x 0= ( )y y′ κατακόρυφη ασύμπτωτη από δεξιά στο 0 1 u1 x ux x x u 0 f(x) lim lim e lim e 1 x + = →+∞ →+∞ → = = = , ( ) ( ) 01 u1 u u 0x x x x DLHu 0 u 0 e 1 e 1 lim f(x) x lim xe x lim lim u u u+ +   =  ÷   →+∞ →+∞ → →      − − = − = − = = ÷  ÷  ÷      ( ) ( ) u u u 0 u 0 e 1 lim lim e 1 u + + → → ′− = = = ′ , άρα η y x 1= + πλάγια ασύμπτωτη στο +∞ 1 1 x x 1 f(x) x 1 xe x 1 e 1 , x 0 x > + ⇔ > + ⇔ > + > , θεωρώντας [ )x g(x) e x 1 , x 0, ,= − − ∈ + ∞ έχουμε x g (x) e 1 0′ = − > , άρα ( ) [ )gστο 0, + ∞1 και g x x x 0 g(x) g(0) e x 1 0 e x 1 ,για κάθε x 0> ⇔ > ⇔ − − > ⇔ > + > 1 κι εφόσον 1 0 x > θα ισχύει 1 x 1 e 1 x > + δ) 2 2 1 1 E f(x) x 1 dx (f(x) x 1)dx= − − = − − ∫ ∫ εφόσον από ερώτημα γ) ισχύει f(x) x 1> + f 1 x 2 f(1) f(x) f(2) e f (x) 2 e e x 1 f(x) x 1 2 e x 1≤ ≤ ⇔ ≤ ≤ ⇔ ≤ ≤ ⇔ − − ≤ − − ≤ − − 1 κι εφόσον το '' ''= ισχύει μόνο για x 1 , x 2= = αντίστοιχα, έχουμε ( ) ( ) ( ) ( ) ( ) 2 22 22 2 2 1 1 1 1 1 x x e x 1 dx f(x) x 1 dx 2 e x 1 dx e 1 x E 2 e 1 x 2 2     − − < − − < − − ⇔ − + − < < − + − ⇔       ∫ ∫ ∫ ( ) ( )1 1 5 5 2 (e 1)2 (e 1) E 2 2 e 1 2 2 e 1 e E 2 e 2 2 2 2 ⇔ − + − + − − < < − + − + − − ⇔ − < < − ΘΕΜΑ 16 Δέτσιος Παντελής – μαθηματικός
  • 13.
    λύσεις θεμάτων 13 Δίνεταισυνάρτηση f : →r r με f(0) 0= , παραγωγίσιμη και f (x) f (x) f (x) x e x , f (x)e 1 x e ′≠ − + = + για κάθε x ∈r α) f (x) g(x) e x 0= + ≠ κι εφόσον g συνεχής , διατηρεί σταθερό πρόσημο , f (0) g(0) e 0 1 0= + = > , άρα g(x) 0> για κάθε x ∈r ( ) 2 f (x) f (x) 2 f (x) x x 1 x f (x)e 1 x e g (x)g(x) x g (x) x e g(x) 2 2 ′′   ′′ ′+ = ⇔ + = ⇔ = ⇔ = ⇔ ÷ ÷ +     x 0 2 2 21 1 1 1 g (x) x c g (0) c c 2 2 2 2 = ⇔ = + → = ⇔ = άρα g(x) 0 2 2 2 21 1 1 g (x) x g (x) x 1 2 2 2 > = + ⇔ = + ⇔ ( )2 f (x) 2 f (x) 2 2 g(x) x 1 e x x 1 e x 1 x f(x) ln x 1 x⇔ = + ⇔ + = + ⇔ = + − ⇔ = + − 2 2 2 2 2 2 2 1 2x 1 x x 1 1 f (x) 1 f (x) x 1 1 0 , x x 1 x 2 x 1 x 1 x x 1 x 1   − + ′ ′= − = × = − ⇔ + + = ∈ ÷ + − + + − + +  r β) ( )2 1 f (x) 0 , fστο x 1 ′ = − < + 2 r οπότε ''1 1''− και αντιστρέψιμη ( ) x 0 2 2 2 2x x x 1 1 lim x 1 x lim x 1 x lim x 1 1 x x < →−∞ →−∞ →−∞      + − = + − = − + − = +∞ ÷  ÷ ÷  ÷ ÷     , άρα ( )( ) 2 u x 1 x 2 x x u lim f(x) lim ln x 1 x lim ln u = + − →−∞ →−∞ →+∞ = + − = = +∞ , ( ) ( ) ( ) ( ) 2 2 2 x x x2 2 x 1 x x 1 x 1 lim x 1 x lim lim 0 1x 1 x x 1 1 x →+∞ →+∞ →+∞ + − × + + + − = = =  + + + + ÷   , άρα ( )( ) 2 u x 1 x 0 2 x x u 0 lim f(x) lim ln x 1 x lim ln u+ = + − > →+∞ →+∞ → = + − = = −∞ και ( )f(A) ,= −∞ + ∞ = r 2y y y y 2 y 2 2y 2 y 2 y 1 e e e y f(x) e x 1 x e x x 1 e x 2xe x 1 x 2e 2 − − − = ⇔ = + − ⇔ + = + ⇔ + + = + ⇔ = = άρα 1 f :− →r r με x x 1 e e f (x) 2 − − − = γ) αν 1 x x f (x) e e h(x) , συνx 2συνx − − − = = τότε 1 x x x x f ( x) e e e e h( x) h(x), συν( x) 2συνx 2συνx − − − − − − − = = = − = − − δηλ. h περιττή οπότε 1 1ln ln 2 2 ln2 ln 2 f (x) dx h(x)dx 0 συνx − − = = ∫ ∫ Παρατήρηση: ισχύει γενικά ότι αν h περιττή τότε α α h(x)dx 0 − = ∫ δ) f 0 x 1 f(0) f(x) 0 f(x)≤ ≤ ⇔ ≥ ⇔ ≥ 2 οπότε ( ) ( ) [ ] 1 1 1 1 1 12 0 0 0 0 0 0 E f(x) dx f(x)dx ln x 1 x dx x f(x)dx xf(x) xf (x)dx′ ′= = − = − + − = − = − + = ∫ ∫ ∫ ∫ ∫ ( ) ( ) ( ) ( ) 21 1 1 2 2 2 00 0 x 1x f(1) dx ln 2 1 dx ln 2 1 x 1 ln 2 1 1 2 x 1 2 x 1 ′+−  = − + = − − − = − − − + = − − + −  + +∫ ∫ Δέτσιος Παντελής – μαθηματικός
  • 14.
    λύσεις θεμάτων 14 ΘΕΜΑ17 Δίνονται δύο συναρτήσεις [ ]f,g : 2,3 → r συνεχείς στο [ ]2,3 παραγωγίσιμες στο ( )2,3 με f (x) 0′ ≠ για κάθε ( )x 2,3∈ και ( ) ( )2 2x 5 g(x) x 5x 6 g (x)′− ≠ − + (1) για κάθε [ ]x 2,3∈ α) f (x) 0′ ≠ άρα f ''1 1''− , γιατί αν υπάρχουν ( )1 2x ,x 2,3∈ με 1 2 1 2x xκαι f(x ) f(x )≠ = από Θ. Rolle υπάρχει ( ) ( ) ( )0 1 2 2 1x x ,xή x ,x 2,3∈ ⊆ με 0f (x ) 0′ = , άτοπο θεωρώντας h(x) 5f(x) 2f(2) 3f(3)= − − , έχουμε ( ) ( )h(2) 3 f(2) f(3) , h(3) 2 f(2) f(3)= − = − − και ( ) 2 h(2) h(3) 6 f (2) f(3) 0× = − − < εφόσον f(2) f(3)≠ και άρα από Θ. Bolzano υπάρχει ( )ξ 2,3∈ ώστε 2f (2) 3f(3) h(ξ) 0 5f(ξ) 2f(2) 3f(3) f(ξ) 5 + = ⇔ = + ⇔ = , που εφόσον f ''1 1''− είναι μοναδικό β) από Θ.Μ.Τ. υπάρχουν ( ) ( )1 2ξ 2,ξ , ξ ξ,3∈ ∈ ώστε 1 2f (2) 3f(3) f(2) f(ξ) f(2) 5f (ξ ) ξ 2 ξ 2 + − − ′ = = = − − ( ) ( ) 3 f(3) f(2) 5ξ 2 − = − και ( ) ( )2 2f(2) 3f(3) f (3) 2 f(3) f(2)f(3) f(ξ) 5f (ξ ) 3ξ 3 ξ 5 3 ξ + − −− ′ = = = − − − οπότε ( ) ( ) ( ) ( ) 2 1 2 6 f(3) f(2) fξ f ξ 0 25ξ 2 (3 ξ) − ′ ′ = > − − εφόσον ξ 2 0 2ξ 3 3ξ 0 − >  < < ⇔   − <  γ) από (1) για x 2= έχουμε g(2) 0 g (2) g(2) 0′− ≠ × ⇔ ≠ και για x 3= έχουμε g(3) 0 g (3) g(3) 0′≠ × ⇔ ≠ αν g(x) 0≠ για κάθε ( )x 2,3∈ τότε για την 2 x 5x 6 φ(x) g(x) − + = στο [ ]2,3 ισχύει Θ. Rolle, άρα υπάρχει ( )0x 2,3∈ ώστε ( ) ( ) ( ) ( ) ( ) 2 0 0 0 0 0 2 0 0 0 0 0 02 0 2x 5 g(x ) x 5x 6 g (x ) φ x 0 0 2x 5 g(x ) x 5x 6 g (x ) g (x ) ′− − − + ′ ′= ⇔ = ⇔ − = − + , άτοπο από (1), επομένως δεν ισχύει g(x) 0≠ για κάθε ( )x 2,3∈ δηλ. υπάρχει ( )α 2,3∈ ώστε g(α) 0= δ) g (x) 0′ > για κάθε ( )x 2,3∈ , για την g από Θ.Μ.Τ. στο [ ]2,3 υπάρχει ( )β α,3∈ ώστε ( ) ( ) g(3) g(α) gβ g(3) g β (3 α) 3α − ′ ′= ⇔ = − − (2) ( ) ( ) g (β) 0 (2) α β 3 α β 3 3 α 3 β 0 g (β)(3 α) g β 3 β g(3) g β)(3 β) ′ > ′ ′ ′< < ⇔ − > − > − ⇔ − > − > ⇔ − > − ⇔ > − ΘΕΜΑ 18 Δίνεται ( )f : 1,1− → r παραγωγίσιμη με f (0) 2′ = − και ( ) x y f(x) f(y) f ,για κάθε x, y 1,1 1 xy  + + = ∈ − ÷ +  α) για y 0= έχουμε x 0 x 0 f(x) f(0) f(x) f(x) f(0) f(x) f(0) 0 , 2 f (0) lim lim x 0 x→ → − ′+ = ⇔ = − = = = − παραγωγίζοντας ως προς x έχουμε ( ) ( ) ( ) ( ) ( ) ( ) 2 2 2 x y 1 xy x y 1 xyx y x y 1 y f (x) f f 1 xy 1 xy1 xy 1 xy ′ ′+ + − + +   + + − ′ ′ ′= = ÷  ÷ + ++ +    που για x 0= δίνει Δέτσιος Παντελής – μαθηματικός
  • 15.
    λύσεις θεμάτων 15 ()2 2 2 f (0) 1 y f (y) f (y) y 1 ′ ′ ′= − ⇔ = − , οπότε x x 2 0 0 2 f (y)dy dy y 1 ′ = ⇔ −∫ ∫ [ ] ( )x 1,1x xx 0 0 0 1 1 f(y) dy f(x) f(0) ln y 1 ln y 1 f(x) ln x 1 ln x 1 y 1 y 1 ∈ −   ⇔ = − ⇔ − =  − − +  ⇔ = − − + ⇔ ÷  − + ∫ 1 x f(x) ln(1 x) ln(x 1) f(x) ln 1 x − ⇔ = − − + ⇔ = + β) ( ) ( ) ( )2 2 f (x) 0 , x 1,1 , fστο 1,1 x 1 ′ = < ∈ − − − 2 οπότε ''1 1''− και αντιστρέψιμη ( ) y y y y y y y 1 x 1 x 1 e f(x) y ln y e 1 x e xe 1 e 1 e x x 1 x 1 x 1 e − − − = ⇔ = ⇔ = ⇔ − = + ⇔ − = + ⇔ = + + + 1 x u 1 x ux 1 x 1 1 x lim f(x) lim ln lim ln u 1 x+ + − = + →+∞→− →− − = = = +∞ + , 1 x u 1 x x 1 x 1 u 0 1 x lim f(x) lim ln lim ln u 1 x− − + − = + → → → − = = = −∞ + , f(A) = r άρα ( ) x 1 1 x 1 e f : 1,1με f (x) 1 e − − − → − = + r γ) x1 1 1 x 0 0 e 1 E f (x) dx dx e 1 − − = = +∫ ∫ , οπότε θέτοντας x x du e u , e dx du udx du dx u = = ⇔ = ⇔ = , x 0 u 1 , x 1 u e= ⇔ = = ⇔ = έχουμε ( )e e e 1 1 1 u 1 du A B 1 2 E du du u 1 u u u 1 u u 1 ∗ − −    = × = + = + = ÷  ÷ + + +   ∫ ∫ ∫ [ ] ( ) ( ) ( ) e2 2 2 e 1 1 u 1 e 1 e 1 ln u 2ln(u 1) ln ln ln 4 ln u e 4e  + + + = − + + = = − =     ( ) ( ) A B 1 B 2A B u Au 1 A B A 1 A 1u(u 1) u u 1 u(u 1) + = =+ +    − ∗ = + = ⇔ ⇔    = − = −+ + +     δ) θεωρούμε συνάρτηση ( ) 2 x x g(x) f(x) e 1 , x 1,1 2 = − + + ∈ − , ( )x g (x) f (x) e x 0 , x 1,1′ ′= − + < ∈ − εφόσον από ερώτημα β) x x f (x) 0 , e x x e 0′ < > ⇔ − < , οπότε g( )και ''1 1'' στο ( 1,1)− −2 , g(0) f(0) 1 0 1 0= − + + = και άρα η x 0= μοναδική λύση της εξίσωσης , αφού είναι ισοδύναμη με την g(x) 0= ΘΕΜΑ 19 Δίνεται zμε z 1 και 1 z x∈ = − =c α) x 1 z AM= − = , οπότε εφόσον ΑΜ χορδή κύκλου με διάμετρο 2 θα ισχύει 0 x AM 2≤ = ≤ , με x 0= όταν A M≡ και x 2= όταν B M≡ , άρα [ ]x 0,2∈ β) ( ) ( ) 2 22 2 2 2 2 1 z x 1 z 1 z x 1 z z zz x 1 z z z x z z 2 x− = ⇔ − − = ⇔ − − + = ⇔ − − + = ⇔ + = − γ) ( )2 2 1 z zz z z z z z z z z z+ = + = + = × + = + Δέτσιος Παντελής – μαθηματικός
  • 16.
    λύσεις θεμάτων 16 δ) )2 22 2 x x 2 , x 0, 2 1 z 1 z x z z x 2 x x x 2 , x 2 ,2  − + + ∈  − + + = + + = + − =   + − ∈   , θεωρούμε τη συνάρτηση ) ) ( 2 2 2x 1 , x 0, 2x x 2 , x 0, 2 f(x) , f (x) x x 2 , x 2 ,2 2x 1 , x 2 ,2   − + ∈− + + ∈    ′= =    + − ∈ + ∈     ( )1 9 f(0) 2 , f , f 2 2 , f(2) 4 2 4   = = = = ÷   κι εφόσον η f είναι συνεχής σε κλειστό διάστημα έχουμε ελαχ μεγf 2 , f 4= = ΘΕΜΑ 20 Δίνεται f : →r r συνεχής συνάρτηση με x 2 0 dt f(x) 2 1 3f (t) = +∫ α) ( )2 2 f(0) 0 , f (x) 0 , fστο 1 3f (x) ′= = > + 1 r (1) f x 0 f(x) f(0) f(x) 0> ⇔ > ⇔ > 1 , f x 0 f(x) f(0) f(x) 0< ⇔ < ⇔ < 1 ( ) 22 2 f (x) 6f(x)f (x) 1 3f (x) ′′ ′= − × + , ( ) 22 1 3f (x) ,f (x) 0′+ > άρα το πρόσημο της f′′ είναι αντίθετο με το πρόσημο της f και για x 0= έχει σημείο καμπής το f(0) 0= β) από (1): ( )2 3 3 f (x) 3f (x)f (x) 2 f(x) f (x) (2x) f (x) f(x) 2x c′′ ′ ′+ = ⇔ + = ⇔ + = + που για x 0= δίνει 3 f (0) f (0) 0 c c 0+ = + ⇔ = , οπότε 3 f (x) f(x) 2x , x+ = ∈r γ) από ερώτημα α) ( )fστο1 r άρα ''1 1''− και αντιστρέψιμη οπότε 3 f(x) y y y 2x= ⇔ + = ⇔ ( )31 x y y , y 2 ⇔ = + ∈ r και ( )1 1 31 f :f( )με f (x) x x 2 − − → = +r r δ) 1 1 0 0 E f(x) dx f(x)dx= = ∫ ∫ και θέτοντας ( ) ( )1 1 21 u f(x) f (u) x , dx f (u) du dx 3u 1 du 2 − − ′= ⇔ = = ⇔ = + , u f(0) 0 , u f(1) 1= = = = εφόσον από ερώτημα β) (σχ.Horner) 3 3 f (1) f(1) 2 f (1) f(1) 2 0 f(1) 1+ = ⇔ + − = ⇔ = , έχουμε ( ) ( ) 14 21 1 2 3 0 0 0 1 1 1 3u u 5 E u 3u 1 du 3u u du 2 2 2 4 2 8   = × + = + = + = =   ∫ ∫ K ΘΕΜΑ 21 f(x) , 0 x 1 f (0) f (1) 0 , 0 f(0) f(1) , g(x) x 0 , x 0  < ≤ ′ ′= = = < =   = Δέτσιος Παντελής – μαθηματικός
  • 17.
    λύσεις θεμάτων 17 α) x0 x 0 x 0 f(x) f(x) f (0) g(0) 0 , lim g(x) lim lim f (0) 0 x x 0+ + + → → → − ′= = = = = − β) αν ( ) 2 x 1 x 1 x 1 f(x) f(1) f (x)x f(x) g(x) g(1) f(x) f(1)xxx 0,1 g (x) , g (1) lim lim lim x x 1 x 1 x(x 1)− − − → → → −′ − − − ′ ′∈ = = = = = − − − _ _ x 1 x 1 f(x) f(1)x f(1) f(1) 1 f(x) f (1) f(1)(x 1) lim lim f (1) f(1) f(1) 0 x(x 1) x x 1 x(x 1)→ →  − + − − − ′= = × − = − = − < ÷ − − −  γ) αν g έχει μέγιστο στο 1 τότε g(x) g(1)≤ , άρα αφού g(x) g(1) 0και x 1 0− ≤ − < , x 1 g(x) g(1) g (1) lim 0 x 1− → − ′ = ≥ − , δηλ. g (1) 0′ ≥ άτοπο από β) στο 0 δεν μπορεί εφόσον g(0) 0 f(1) g(1)= < = δηλ. υπάρχει αποτέλεσμα μεγαλύτερο από το g(0) . Εφόσον όμως g συνεχής στο [0 , 1] έχει μέγιστο και αφού δεν είναι στα άκρα το έχει σε εσωτερικό σημείο του [0 , 1] δ) αν ( )0x 0,1∈ το σημείο που η g έχει μέγιστο από Θ. Fermat ( )0 0 0 0g x 0 f (x )x f(x ) 0 (1)′ ′= ⇔ − = 0 0 0 0 0 0 0 0 0ε : y f(x ) f (x )(x x ) , O (ε) f(x ) f (x )( x ) f (x )x f (x ) 0′ ′ ′− = − ∈ ⇔ − = − ⇔ − = που ισχύει από (1) ΘΕΜΑ 22 [ ]f :α,β → r , παραγωγίσιμη με f (x) 0′ ≠ για κάθε ( )xα,β∈ και οι μιγαδικοί α 1z e if(α)= + , β 2z f (β) ie= + και 2 2 4wγ w ,γ 3 3w = − ∈r α) w δεν είναι πραγματικός σημαίνει ότι η εξίσωση 4 3 3w 4wγ 0− + = δεν έχει πραγματικές ρίζες. Θεωρώ 4 3 g(x) 3x 4xγ= − + , x ∈r 2 g (x) 12x (x 1)′ = − 0 x 0ή x 1= ⇔ = = Από τον πίνακα μεταβολών η g έχει ολικό ελάχιστο το g(1)γ 1= − κι εφόσον x x lim f(x) lim f(x) →+∞ →+∞ = = +∞ η g έχει σύνολο τιμών [ )g(A)γ 1,= − + ∞ , άρα για να μην έχει πραγματική λύση η g(x) 0= πρέπει γ 1 0 γ 1− > ⇔ > β) ( ) 2α 2 2α 2 1α 0 , z 1 e f (α) 1 e f (α) 1≥ = ⇔ + = ⇔ + = . 2α 2 2α 0 e 1και εφόσον f (α) 0≥ ⇔ ≥ ≥ πρέπει 1α 0 και f(0) 0, οπότε z 1= = = γ) ( )α β α β 1 2z z e f(β) f(α)e e f(α)f(β i+ = − + + , α β 1 2Im(z z ) 0 f(α)f(β) e 0+ = ⇔ = − < , οπότε για την f από Θ. Bolzano υπάρχει 0 0x (α,β) ώστε f(x ) 0∈ = και αφού f (x) 0′ ≠ η f είναι «1-1» άρα το 0x μοναδικό. δ) (γ) 1 2 α β f(α) f(β) u z z I e e = ∈ ⇔ = άρα για την συνάρτηση x f(x) h(x) e = ισχύουν προϋποθέσεις Θ. Rolle στο [α , β], οπότε υπάρχει ( )ξ α,β ώστε h (ξ) 0 f (ξ) f (ξ)′ ′∈ = ⇔ ⇔ =LL ΘΕΜΑ 23 x f(t) t , t 0= > x 1 f (t) xt − ′ = α) από Θ.Μ.Τ. υπάρχει 1ξ (3,4)∈ τέτοιο, ώστε x 1 x x 1 1 f(4) f(3) f (ξ ) xξ 4 3 4 3 −− ′ = ⇔ = − − Δέτσιος Παντελής – μαθηματικός
  • 18.
    λύσεις θεμάτων 18 β) x1 (α) x x x x x 1 x 1 1 1 1 2 2 2 ξ ξ 4 3 6 5 xξ xξ x 0 ή 0 με 0 ξ ξ − − −   − = − ⇔ = ⇔ = = ≠ ÷   οπότε x 1 0 x 1− = ⇔ = γ) ( ) 1 2 ξ 1x 1 ξ(x 0) x x x x x 1 x 1 1 1 2 2 ξ 4 5 3 6 xξ ξ 0 1 x 1 0 x 1 ξ   < ÷− >   − −   + > + ⇔ ⇔ − > ⇔ > ⇔ − < ⇔ > ÷   L ( ) 1x x x x1 x x x x 0 0 4 5 3 6 3 4 2 5 4 5 3 6 dx 0 0 ln 4 ln5 ln3 ln 6 ln 4 ln5 ln3 ln 6   + − − > ⇔ + − − > ⇔ ⇔ + > +   ∫ L δ) εφόσον g κυρτή ή κοίλη έχουμε ότι ( ) ( )g΄ή g′ ′1 2 άρα αρκεί να έχουμε σύγκριση δύο αποτελεσμάτων της g′ . Από (γ) έχουμε 1 2(2 x 3 4 x 5)(Θ.Μ.Τ. 1 2 1 2g(3) g(4) g(2) g(5) g(3) g(2) g(5) g(4) g (x ) g (x ) x x < < < < < ′ ′+ > + ⇔ − > − ⇔ > ⇔ < , άρα η g′ δεν μπορεί να είναι ( )1 , είναι ( )2 , άρα g κοίλη ΘΕΜΑ 24 ( )f : 0, ,παραγωγίσιμη με f(1) 1 , f(x) 0 ,x 0 και xf (x ) 2f(x) 0,′+ ∞ → = ≠ > + <r για κάθε x 0> α) f(x) 0≠ κι εφόσον συνεχής ως παραγωγίσιμη, διατηρεί σταθερό πρόσημο, όμως f(1) 1 0= > , άρα ( )f(x) 0 , x 0,> ∈ + ∞ . Έχουμε ( ) f (x) 2 xf (x) 2f(x) lnf (x) 2ln x 0 f (x) x ′ ′′ < − ⇔ < − ⇔ + < , θεωρώντας λοιπόν την ( )2 g(x) lnf(x) 2ln x ln x f(x)= + = ισχύει ( )g (x) 0για x 0,′ < ∈ + ∞ , άρα ( )g 2 στο ( )0,+ ∞ , οπότε έχουμε ( ) ( ) g 2 2 1 0 x 1 g(x) g(1) ln x f(x) 0 f(x) x < < ⇔ > ⇔ > ⇔ ⇔ >L 2 και αντίστοιχα όταν ( )g 2 1 x 1 g(x) g(1) f(x) x > ⇔ < ⇔ ⇔ <L 2 β) ( )2 κριτήριο παρεμβολής x 0 2 x 0 1 f(x) , x 0,1 x lim f(x) 1 lim x + + → →  > ∈  → = +∞ = +∞  , άρα η x 0 (yy )′= κατακόρυφη όταν x 0+ → ( )3 κριτήριο παρεμβολής x 3x f(x) 1 0 , x 1, f(x)x x lim 0 1 x lim 0 x →+∞ →+∞  < < ∈ +∞  → = =  , ( )2 κριτήριο παρεμβολής x 2x 1 0 f(x) , x 1, x lim f(x) 0 1 lim 0 x →+∞ →+∞  < < ∈ +∞  → = =  άρα η y 0 (xx )′= οριζόντια όταν x → +∞ γ) από Θ.Μ.Τ. για την f 1 υπάρχει ξ ,2 2 1 f(2) f 5 5 1 152 2f (ξ) 5 0 f (ξ) f (2) f 12 2 2 42 2   ∈ ÷     −  ÷   ′ ′+ < ⇔ < − → < − ⇔ − < − ÷  − Δέτσιος Παντελής – μαθηματικός
  • 19.
    λύσεις θεμάτων 19 απόα) ( ) 1 0 f(2) 4 1 1 15 f(2) f 4 1 1 2 4 4 f 4 f 4 2 2 +  < <    → − < − = −  ÷      > ⇔ − < − ÷  ÷      δ) 1 λ λ 1 f(x)dx ,αν 0 λ 1 E(λ) f(x)dx ,αν λ 1  < ≤  =   >  ∫ ∫ , οπότε αν ( ) 11 1 0λ 1 με ολοκλήρωση2 2 λ λ λ 1 1 1 1 x 0,1 ,f(x) f(x)dx dx E(λ) 1 x x xλ < <   ∈ > → > ⇔ > − = −  ∫ ∫ Όμως λ 0 1 lim 1 λ+ →   − = +∞ ÷   και άρα από κριτήριο παρεμβολής λ 0 lim E(λ)+ → = +∞ ( ) λλ λ λ 1 με ολοκλήρωση2 2 1 1 1 1 1 1 1 x 1, f(x) f(x)dx dx E(λ) 1 1 λ 0 x x xλ >   ∈ + ∞ < → < ⇔ < − = − < ⇔ >  ∫ ∫ , ισχύει ΘΕΜΑ 25 ( ) x f (x) x 2 e− ′′ = − , x ∈r , η ευθεία ε : y 2x 1= − πλάγια ασύμπτωτη στο +∞ και 2 2 4 5 z ,z z z ∗ = − ∈c α) x f(x) lim 2 (1) x→+∞ = ( )x lim f(x) 2x 1 (2) →+∞ − = − ( ) [ ] ( ) ( ) ( ) x x x xxxt t t t 0 00 0 0 0 f (t)dt t 2 e dt f (t) t 2 e dt f (x) f (0) t 2 e e dt− − − −′′′ ′ ′ ′  = − ⇔ = − − ⇔ − = − − + ⇔ ∫ ∫ ∫ ∫ f (0) c x f (x) e (1 x) 1 c ′ = − ′⇔ = − − +L Άρα ( ) x x t 0 0 f (t)dt e (1 t) c 1 dt− ′ = − + − ⇔ ∫ ∫ x x x t t 0 0 0 f(x) f(0) e dt te dt (c 1)dt− − − = − + − ⇔ ∫ ∫ ∫ ⇔L f (0) k x f(x) xe (c 1)x k = − ⇔ = + − + , (1) x x x f(x) k lim lim e c 1 2 c 1 c 3 x x − →+∞ →+∞   = + − + ⇔ = − ⇔ = ÷   , ( ) ( ) (2) x x x lim f(x) 2x lim xe 2x k 2x 1 k− →+∞ →+∞ − = + + − ⇔− = Άρα x f(x) xe 2x 1 , x− = + − ∈r β) x x 2e x 1 f (x) e − + ′ = , θεωρούμε x g(x) 2e x 1,x= − + ∈r μ x g (x) 2e 1 0 x ln 2′ = − = ⇔ = − g(x) g( ln 2) 0≥ − > , x e 0> άρα f (x) 0′ > και ( )f 1 οπότε και «1-1» επομένως αντιστρέψιμη. x x lim f(x) , lim f(x) →−∞ →+∞ = −∞ = +∞ και άρα 1 f D f(A) ( , )− = = −∞ + ∞ = r γ) f "1 1"4 4 f(x 4x 5) 1 f(0) x 4x 5 0− − + = − = → − + = . Θεωρώ 4 3 h(x) x 4x 5 ,x ,h (x) 4x 4 0 x 1′= − + ∈ = − = ⇔ =r Από τον πίνακα μεταβολών για x 1= η h έχει ολικό ελάχιστο το h(1) 2= κι εφόσον x x lim h(x) lim h(x) →−∞ →+∞ = = +∞ είναι [ )h(A) 2,= + ∞ , οπότε αφού το 0 δεν ανήκει στο σύνολο τιμών η εξίσωση δεν έχει πραγματικές ρίζες. Δέτσιος Παντελής – μαθηματικός
  • 20.
    λύσεις θεμάτων 20 24 2 4 5 z z 4z 5 0 z z = − ⇔ − + = , αν z πραγματικός τότε η εξίσωση 4 x 4x 5 0− + = θα είχε πραγματική ρίζα, άτοπο δ) 1 1 e 1 1 E f (x) dx + − − = ∫ , 1 u f (x) x f(u)− = ⇔ = άρα dx f (u)du′= , f "1 1" 1 f "1 1" 1 x 1,u f ( 1) f(u) 1 f(0) u 0 1 1 1 x 1 ,u f (1 ) f(u) 1 f (1) u 1 e e e − − − −   = − = − ⇔ = − = ⇔ = ÷  ÷ = + = + ⇔ = + = ⇔ = ÷   άρα [ ] 1 1 1u 0 1 0 0 0 0 3 E u f (u)du uf (u)du uf(u) f(u)du e > ′ ′= = = − = = ∫ ∫ ∫ L ΘΕΜΑ 26 Aν f συνεχής στο ( ) x 2 1 f (t) 0,με f(x) e dt t + ∞ = − ∫ α) 1 1 1 1 x x x x 2 2 f (x) 1 f (x) f (x) f(x) 0 e f (x) e f(x) 0 e f(x) 0 e f(x) c x x − − − − ′ ′    ′ ′ ′= − ⇔ + = ⇔ + = ⇔ = ⇔ = ÷  ÷     1 1 x x 2 1 f(1) eάρα c 1,f(x) e ,f (x) e 0 x ′= = = = − < άρα ( )f 2 , 1 1 x x 3 4 2 1 f (x) e e 0 x x ′′ = + > άρα f κυρτή β) η εξίσωση που θέλουμε να δείξουμε ότι έχει λύση ( )0x 1,2∈ είναι x 1 12 θεωρώνταςx F(x) f (t)dt1 f(x)dx e F(2) F (x) F (x) F(2) 0 = ′ ′= → = ⇔ − = ∫∫ , με Bolzano δεν ισχύουν οι προϋποθέσεις άρα θεωρώ την G(x) F(x) F(2)x= − , παράγουσα δηλ. της αντίστοιχης συνάρτησης και ελέγχω προϋποθέσεις για Θ. Rolle. G(1) F(2) , G(2) F(2)= − = − άρα από Θ. Rolle υπάρχει ( )0x 1,2∈ ώστε 0 12 x 0 1 G (x ) 0 f(x)dx e′ = ⇔ ⇔ = ∫L . ( )G (x) f(x) F(2),G (x) f (x) 0,G′ ′′ ′ ′= − = < 2 άρα 0x μοναδικό ( )∗ και με Θ.Μ.Τ. για την F στο [1 , 2] γ) x 1 f (t)dt ex e F(x) ex e F(x) ex e 0= − ⇔ = − ⇔ − + = ∫ Θεωρώ ( )h(x) F(x) ex e,x 0,= − + ∈ + ∞ h(1) F(1) e e 0= − + = , h (x) F (x) e f(x) e f(x) f(1)′ ′= − = − = − , ( )f x 1 f(x) f (1) h (x) 0′> ⇔ < ⇔ < 2 , ( )f 0 x 1 f(x) f(1) h (x) 0′< < ⇔ > ⇔ > 2 , άρα η x 1= μοναδική λύση ( )∗ και ε : y F(1) F (1)(x 1) y ex e′− = − ⇔ = − , F (x) f(x) , F (x) f (x) 0′ ′′ ′= = < από α) άρα η F κοίλη οπότε η γραφική της παράσταση βρίσκεται κάτω από την εφαπτομένη ε δηλ. F(x) ex e< − και το " "= ισχύει μόνο όταν x 1= δ) 3 x x f(t) G(x) dt t 1 = −∫ , x 1άρα x 1+ → > και 3 x x< οπότε Δέτσιος Παντελής – μαθηματικός
  • 21.
    λύσεις θεμάτων 21 () 3f (t 1 0) 3 3 f(x) f(t) f(x ) x t x f(x) f(t) f(x ) t 1 t 1 t 1 − > ≤ ≤ ⇔ ≥ ≥ ⇔ ≥ ≥ − − − 2 και 3 3 3 3x x x x x x f (x) f(t) f(x ) dt dt dt t 1 t 1 t 1 ≥ ≥ − − −∫ ∫ ∫ , 3 3 x x 3 x x 1 1 f(x) dt G(x) f(x ) dt t 1 t 1 ≥ ≥ − −∫ ∫ ( ) ( )2 3 2 f(x)ln x x 1 G(x) f(x )ln x x 1⇔ + + ≥ ≥ + + ( ) ( )2 3 2 x 1 x 1 lim f(x)ln x x 1 lim f(x )ln x x 1 eln3+ + → → + + = + + = , άρα από κριτήριο παρεμβολής x 1 lim G(x) eln3+ → = ΘΕΜΑ 27 f , g : →r r παραγωγίσιμες με x x 2 1 1 f (t)dt g(t)dt x 2x 1 , x= + − + ∈ ∫ ∫ r α) με παραγώγιση f(x) g(x) 2x 2= + − , εφόσον η ευθεία y x= πλάγια ασύμπτωτη στο +∞ ισχύει ( )x x f(x) lim 1και lim f(x) x 0 x→+∞ →+∞ = − = , x x g(x) f(x) 2 lim lim 2 1 2 0 1 x x x→+∞ →+∞   = − + = − + = − ÷   ( ) ( )x x lim g(x) x lim f(x) x 2 0 2 2 →+∞ →+∞ + = − + = + = , άρα η ευθεία y x 2= − + πλάγια ασύμπτωτη της gστο + ∞ β) 1 2 1 2x 1 x , g(x ) g(x ) 0< < = = , 1 1 1 1f(x ) g(x ) 2x 2 2(x 1) 0= + − = − < , 2 2f(x ) 2(x 1) 0= = − >L , άρα από Θ. Bolzano υπάρχει 0 1 2 0x (x ,x ) ,ώστε f(x ) 0∈ = (1) γ) 2 2 1 2 0 0 0 1 E f(x) g(x) dx 2 x 1 dx 2 (1 x)dx (x 1)dx 2   = − = − = − + − = = ÷  ∫ ∫ ∫ ∫ L δ) 0 2 2 0 2 2 0 2 2 f(x) 2x x x f (x) f (x)(x x) f (x) 2x x x f (x)(x x) f (x) 2x (x x ) x x + − − ′ ′ ′= ⇔ − = + − − ⇔ − − = − + ⇔ − ( ) ( )2 2 0 2f(x)(x x) x (x x )x ′′⇔ − = − + Θεωρώ 2 2 0 2H(x) f(x)(x x) x (x x )x= − − + + [ ]0 2x x ,x∈ ( )1 2 0 0 0 2 0 2 0H(x ) x (x x )x x x=− + + = , 2 2 2 0 2 2 0 2H(x ) x (x x )x x x= − + + = , 0 2H(x ) H(x )= , άρα από Θ.Rolle υπάρχει ( )0 2α x ,x∈ ώστε 0 2 2 f(α) 2α x x H (α) 0 f (α) xα + − − ′ ′= ⇔ ⇔ = − L ΘΕΜΑ 28 x1 xf (x) f(x) xf (x) ,x 0 (1)και g(x) e ημx x ′+ ′+ = > = α) ( ) (0 x) 2 2 1 xf(x) x f (x) 1 xf (x) x x f (x) xf(x) 1 (x 1)f (x) f(x) x < ′ ′ ′ ′+ = + ⇔ − + = ⇔ − + = ⇔ ( ) ( )(x 1)f(x) ln x (x 1)f(x) ln x c′ ′⇔ − = ⇔ − = + , από (1) f(1) 1= άρα c 0= και ln x f(x) ,0 x 1 x 1 = < ≠ − , αν x 1= τότε εφόσον f παραγωγίσιμη στο 1 είναι και συνεχής άρα 0 0 x 1 x 1 DLH ln x f(1) limf(x) lim 1 x 1    ÷   → → = = = − , οπότε ln x , 0 x 1 f(x) x 1 1 , x 1  < ≠ = −  = β) ( ) ( ) ( )2 1 1 ln x xf (x) ,x 0,1 1, x 1 − − ′ = ∈ ∪ + ∞ − Θεωρώ ( ) 2 1 1 x h(x) 1 ln x , x 0, , h (x) x x − ′= − − ∈ + ∞ = Δέτσιος Παντελής – μαθηματικός
  • 22.
    λύσεις θεμάτων 22 αν0 x 1,h(x) h(1) 0< ≠ < = οπότε f (x) 0′ < κι εφόσον η f είναι συνεχής στο 1 θα είναι τελικά ( )f 2 στο ( )0,+ ∞ άρα "1 1"− x x DLH xx 0 x 0 ln x ln x 1 lim f(x) lim , lim f(x) lim lim 0 x 1 x 1 x+ + ∞   ÷ ∞  →+∞ →+∞ →+∞→ → = = +∞ = = = − − ( ) 1 f f(A) 0, D −= + ∞ = γ) αν 1 2x x< με ( ) ( )1 1f g(x 1 f g(x= = τότε ( ) ( ) f "1 1" 1 1 1 2f g(x f(1) f g(x g(x ) g(x ) 1 − = = ⇔ = = (1) ( )x x x eσυνx 1 0 συνx e 0 ημx e 0− − ′+ = ⇔ + = ⇔ − = Θεωρώ [ ]x 1 2F(x)ημx e , x x ,x− = − ∈ 1 1 1 1 1 x (1) x 1 1 1 1 1 x x x eημx 1 g(x ) 11 F(x )ημx e ημx 0 e e e − − − = − = − = = = , 2F(x ) 0= =L άρα για την F από Θ.Rolle υπάρχει ( )1 2ξ x ,x∈ ώστε ξ F (ξ) 0 e συνξ 1 0′ = ⇔ ⇔ + =L δ) x 0 x 0 u 1 u 1 x 1, lim(1 x) 1 , lim f (1 x) lim f(u) f(1) 1+ + + → → → = + > + = + = = = , 5 5 x 0 lim f (1 x) 1 1 0+ → + = = > ( ) 3x 2 x 0 lim e 1ημ x 0+ → − = , όταν x 0+ → είναι ( ) 3x 2 e 1 0 ,ημ x 0− > > άρα ( ) 3x 2x 0 1 lim e 1ημ x + → = +∞ − , οπότε ( ) 5 3x 2x 0 f (1 x) lim e 1ημ x + → + = +∞ − ΘΕΜΑ 29 2 1 4 x 1 f(x) ln x x , g(x) ln x 2 , h(x) x 1 ln xx − = − + = − + = + α) ( ) ( ) 2 x 11 1 1 f (x) 0 , x 1, x 2 x 2x x 2x x − ′ = − − = = − < ∈ + ∞L , ( ) [ )fστο 1, , x 1 f (x) f(1) f (x) 0+ ∞ > ⇔ < ⇔ <2 , ( ) ( ) ( ) ( ) 2 2 2 x 11 4 g (x) 0 ,x 1, x x 1 x x 1 − ′ = − = = > ∈ + ∞ + + L ( ) [ )gστο 1, , x 1 g(x) g(1) g(x) 0+ ∞ > ⇔ > ⇔ >1 β) (ln x 0) x 1 x 1 1 x x ln x x 1 ln x ln x x 0 f(x) 0 ln x x x x > − < ⇔ < − ⇔ < − ⇔ − + < ⇔ < ισχύει από α) (ln x 0) x 1 x 1 2x 2 4 2x 2 (x 1)ln x ln x 2 ln x 0 g(x) ln x 2 x 1 x 1 > − + − < ⇔ − < + ⇔ < ⇔ − < ⇔ < + + ισχύει από β) γ) 2 22 2 2 3 3 3 2 2 2 x 1 x 1 E h(x) dx dx dx ln x ln x − − = = = ∫ ∫ ∫ , από β) για 2 2 2x 1 x x : 2x x 1 ln x − → < < + 232 222 2 33 3 322 2 2 7 x 49 2xdx x , (x 1)dx x 4 3 24    = = + = + =    ∫ ∫ , άρα 7 49 E 4 24 < < δ) αν x 3 2 F(x) h(t)dt= ∫ η εξίσωση γίνεται 2F(x) 4x 5 0− + = , θεωρώντας 3 φ(x) 2F(x) 4x 5 ,x ,2 2   = − + ∈   , 3 φ 1 0 , φ(2) 2F(2) 3 0 2   = − < = − > ÷   , (γ) 7 3 F(2) E 4 2 = > > Δέτσιος Παντελής – μαθηματικός
  • 23.
    λύσεις θεμάτων 23 απόΘ.Bolzano υπάρχει 3 α ,2 2   ∈ ÷   ώστε φ(α) 0 2F(α) 4α 5= ⇔ = − (1) η εξίσωση γίνεται (1) 2α 2 2α 2 4α 5 2F(α) h(x) 1 F (x) 1 F (x) F (x) 2α 3 2α 3 2α 3 2α 3 − − − ′ ′ ′− = ⇔ = + ⇔ = ⇔ = ⇔ − − − − 3 F(α) F 2 F (x) 3 α 2   −  ÷  ′⇔ = − , οπότε από Θ.Μ.Τ. για την F υπάρχει 3 β ,α 2   ∈ ÷   ώστε 3 F(α) F 2α 22 F (β) h(β) 1 3 2α 3α 2   −  ÷ − ′ = ⇔ ⇔ − = −− L ΘΕΜΑ 30 Αν f συνεχής στο ( )0,+ ∞ με 2 x 2 2 2 x 4 t 3x tf dt 2x ln x 4x 1 , (1) x 0 x x   + = + − > ÷  ∫ α) για t u t xu , dt xdu x = ⇔ = = έχουμε 2 x x 2 x 1 t tf dt x uf (u)du x   = ÷  ∫ ∫ , οπότε η (1) γίνεται x 2 2 1 3x uf(u)du 2x ln x 4x 1+ = + − ∫ και παραγωγίζοντας έχουμε 6x 4xf(x) 4x ln x 2x 4+ = + + ⇔ 1 f(x) ln x 1 x ⇔ = + − β) 2 x 1 f (x) , x 0 x − ′ = > για x 1= η f έχει ελάχιστο το f(1) 0= γ) 3 2 x f (x) ,x 0 x − ′′ = > για x 2= η f έχει σημείο καμπής το 1 f(2) ln 2 2 = − + , ε: 1 y f(2) f (2)(x 2) y x 1 ln 2 4 ′− = − ⇔ = − + δ) το χωρίο βρίσκεται δεξιά του 2 , όπου η f είναι κοίλη άρα η εφαπτομένη ε βρίσκεται πάνω από τη γραφική παράσταση της f οπότε ( ) e2 2e 2 2 1 1 x e 7 E x ln 2 ln x dx x ln 2 x ln x x ln x e 1 ln 2 4 x 8 8 2    = + − − = + − + − = + + − ÷      ∫ ΘΕΜΑ 31 Αν f παραγωγίσιμη με f (x) e f (x) x 1 (1) , x+ = + ∈r Δέτσιος Παντελής – μαθηματικός
  • 24.
    λύσεις θεμάτων 24 α)από την (1) για x 0= προκύπτει f (0) e f(0) 1 0 (2)+ − = , θεωρώ x x h(x) e x 1 , h (x) e 1 0 , h( )στο′= + − = + > 1 r , άρα "1 1"− και η (2) γίνεται ( ) h"1 1" h f(0) 0 h(0) f(0) 0 − = = ⇔ = , ( ) ( ) ( )x x h lim h(x), lim h(x) , →−∞ →+∞ = = −∞ + ∞ =r r ( )f (x) 1 f (x) 0 , f e 1 ′ = > + 1 , άρα "1 1"− και αντιστρέψιμη και εφόσον ( ) ( ) h"1 1" 1 1 h f(x) x h h (x) f(x) h (x) − − − = = ⇔ = άρα x 1 h(x) e x 1 f (x)− = + − = β) ( ) f (x) 2f (x) 1 f (x) e f (x) 0 e 1 ′′ ′= − < + άρα η f είναι κοίλη, g(x) xf (x) f(x),x 0,g (x) xf (x) 0′ ′ ′′= − ≥ = < ( )g x 0 g(x) g(0) xf (x) f(x) 0 xf (x) f(x)′ ′> ⇔ < ⇔ − < ⇔ < 2 , x 1 k(x) f(x) ,x 0, k (x) f (x) 0 2 2 ′ ′= − ≥ = − < διότι ( )f f (x) f (x) f (x) 1 1 1 x 0 f(x) f(0) f(x) 0 e 1 e 1 2 f (x) e 1 2 2 ′> ⇔ > ⇔ > ⇔ > ⇔ + > ⇔ < ⇔ < + 1 ( )k x x x 0 k(x) k(0) f(x) 0 f(x) 2 2 > ⇔ < ⇔ − < ⇔ < 2 γ) εφόσον για x 0> είναι f(x) 0> , 1 0 E f(x)dx= ∫ , από β) f(x) xf (x)′> οπότε [ ] 1 1 1 1 0 0 0 0 f(x)dx xf (x)dx E xf(x) f(x)dx E f(1) E 2E f(1)′> ⇔ > − ⇔ > − ⇔ > ∫ ∫ ∫ δ) αν ( ) x 0 F x f (t)dt= ∫ με F (x) f(x)′ = , 2x 7x x 3x f(t)dt f (t)dt 0 F(2x) F(7x) F(x) F(3x)+ = ⇔ + = + ∫ ∫ ( )x 0 ,F (x) f(x) 0, F′> = > 1 ( )F 0 x 2x F(x) F(2x) F(x) F(3x) F(2x) F(7x) 0 3x 7x F(3x) F(7x) < < <    ⇔ ⇔ + < +    < < <    1 ( )x 0 ,F (x) f (x) 0, F′< = < 2 ( )F 2x x 0 F(2x) F(x) F(2x) F(7x) F(x) F(3x) 7x 3x 0 F(7x) F(3x) < < >    ⇔ ⇔ + > +    < < >    2 κι εφόσον η x 0= είναι λύση είναι και η μοναδική. ΘΕΜΑ 32 Αν 2 2 f(x) 1 x 2x ln x= + − , 2x 2 1 1 2t g(t) g(x) dt (1) , x 0 t(1 t ) − = > +∫ α) f (x) 4x ln x′ = − Για x 1= η f έχει ολικό μέγιστο το f(1) 2= , άρα f(x) 2 , x 0≤ > β) ( ) ( ) 2 2 DLHx 0 x 0 x 0 x 0 2 2 ln xln x x lim x ln x lim lim lim 0 1 21 x x + + + + ∞   ÷ ∞  → → → → ′ − = = = = ′   ÷   , x 0 lim f(x) 1+ → = , ( )( )2 x x lim f(x) lim 1 x 1 2ln x →+∞ →+∞ = + − = −∞ , ( ] ( ) ( ] ( )1 1 1A 0,1 , f A 1,2 , 0 f A= = ∉ [ ) ( ) ( ] ( )2 2 2A 1, , f A ,2 , 0 f A= + ∞ = −∞ ∈ άρα υπάρχει α 2A∈ ώστε f(α) 0= κι εφόσον f ( )2 είναι μοναδικό. Δέτσιος Παντελής – μαθηματικός
  • 25.
    λύσεις θεμάτων 25 γ)παραγωγίζοντας την (1) έχουμε 2 2 2 2 2 1 2x g(x) 1 g (x) g (x)x(1 x ) 2x g(x) 1 g (x)(1 x ) 2xg(x) x(1 x ) x − ′ ′ ′= ⇔ + + = ⇔ + + = ⇔ + ( ) ( ) ( )2 2 2 2 g (x)(1 x ) (1 x ) g(x) ln x g(x)(x 1) ln x g(x)(x 1) ln x c , g(1) 0′′ ′′ ′⇔ + + + = ⇔ + = ⇔ + = + = άρα c 0= και 2 ln x g(x) 1 x = + δ) 2 2 f(x) g (x) x(1 x ) ′ = = + L , άρα το πρόσημο της g′ είναι ίδιο με το πρόσημο της f αν ( ]1x A 0,1∈ = από β) f(x) 0> , αν ( )f 1 xα f(1) f (x) f(α) f(x) 0< < ⇔ > > ⇔ > 2 , αν ( )f xα f(x) f(α) f(x) 0> ⇔ < ⇔ < 2 , άρα η g για xα= έχει ολικό μέγιστο το 2 lnα g(α) 1α = + , όμως από 2 2 f(α) 0 1 α 2α ln α= ⇔ + = Άρα 2 2 lnα 1 g(x) g(α) 2α ln α 2α ≤ = = ΘΕΜΑ 33 Αν f συνεχής με ( ) ( ) 0 x 2 4 tf x 2t dt ln x 1 x , x 1− = + − > − ∫ α) θέτοντας x u du u x 2t t , dt , 2 2 − = − ⇔ = = − έχουμε ( ) 0 x x x x 0 0 0 2 x u du 4 tf x 2t dt 4 f(u) x f(u)du uf(u)du 2 2 −   − = − = = − + ÷  ∫ ∫ ∫ ∫L και παραγωγίζοντας έχουμε x 0 1 f (u)du 1 1 x = − +∫ , παραγωγίζοντας ξανά προκύπτει 2 1 f(x) 1 x = + β) ( ) ( ) xx 0 e 1 θεωρώντας F(x) f (t)dt x x F (x) f (x) 0 , F ,"1 1" ln(x 1) f(t)dt 0 F(e 1) F ln(x 1) e 1 ln(x 1), − = ′ = > − + ∫ = → − = + ⇔ − = + ∫ 1 x e 1 1− > − ισχύει, ( ) 1 1 ln x 1 1 x 1 e x 1 e − + > − ⇔ + > ⇔ > − x k(x) e ln(x 1) 1,x 1= − + − > − , ( ) ( )x x 2 x 1 1 1 1 k (x) e ,x 1 , , k (x) e 0 , k ,k (A) k 1 , lim k (x) x 1 e ex 1 →+∞     ′ ′′ ′ ′ ′= − ∈ − + + ∞ = + > = − +÷  ÷ ÷+    +   1 οπότε ( ) 1 1 e 1 k (A) e , ,άρα k (x) 0 και k στο Α 1 , e − +   ′ ′= + ∞ > = − + + ∞÷ ÷   1 κι εφόσον k(0) 0= η x 0= είναι μοναδική λύση γ) ( ) ( ) 2 3 2 2 1 x g(x) x x , x 1 x 1x 1 = + = > − ++ , g(x) 0 x 0= ⇔ = Δέτσιος Παντελής – μαθηματικός
  • 26.
    λύσεις θεμάτων 26 1221 1 0 0 0 x 1 x 1 E dx x 1 dx x ln(x 1) ln 2 x 1 x 1 2 2    = = − + = − + + = = − + ÷   + +   ∫ ∫ L δ) ( ) ( )2x x 3x 2x x x x 2x e e 1 h(x) e e f(e )ημe ημe 1 e − − + = + = + , θέτοντας x e u− = , x x x x lim e 0 , lim e− − →+∞ →−∞ = = +∞ έχουμε ( )2 1 2 2x u 0 u 0 u u 1ημu (u 1)ημu lim h(x) lim lim 1 1 u (1 u )u+ + − − −→+∞ → → + + = = = + + , άρα η ε : y 1= οριζόντια ασύμπτωτη στο +∞ , ( )2 1 2 2 2x u u u u u 1ημu (u 1)ημu u 1 ημu lim h(x) lim lim lim 0 0 0 1 u (1 u )u 1 u u − − −→−∞ →+∞ →+∞ →+∞ + + +  = = = × = × = ÷ + + +  , άρα η y 0= οριζόντια στο −∞ . ( )u 0 ημuημu 1 1 ημu 1 u u u u u u > = ≤ ⇔ − ≤ ≤ και από κριτήριο παρεμβολής u ημu lim 0 u→+∞ = ΘΕΜΑ 34 Δίνεται η f συνεχής στο [ )0,+∞ με f (x) 0αν x 0> > , ( )x 2 2 1 t 1 f(t)1 f(x) dt,x 0 ex x − = − > ∫ και x 1 F(x) f(t)dt,x 0= ≥ ∫ α) ( ) x 2 1 1 x f(x) t 1 f(t)dt e = − − ∫ , παραγωγίζουμε και ( ) ( )2 2 f (x) 1 3 1 1 x f (x) 3x 1 f(x) 0 ln f(x) 3ln x lnf (x) 3ln x c f(x) x x x x ′′  ′′ + − = ⇔ = − ⇔ = − − ⇔ = − − + ÷   1 f(1) c 0 e = → = άρα 1 1 3ln xx x 3 1 1 ln f(x) 3ln x f(x) e e e , x 0 x x − − − = − − ⇔ = × = > . Η f συνεχής στο 0 άρα ( ) 1 1 u 3 2x x 3 u u 3 u u uux 0 x 0 x 0 x 0 x 0 x 0 e u 3u 6u f(0) lim f(x) lim lim u e lim lim lim lim 6e 0 x e e e+ + + + + + ∞ ∞ ∞        − =− ÷  ÷  ÷  ÷ ∞ ∞ ∞        − − −→−∞→ → → → → → = = = − = = = = = − − β) 2 1 3x f (x) f(x) ,x 0,f(x) 0 x − ′ = > > άρα όπως φαίνεται από τον πίνακα μεταβολών η f έχει ολικό μέγιστο για 1 x 3 = το 3 1 27 f 3 e   = ÷   x f(0) 0 , lim f(x) 0 →+∞ = = άρα 3 27 f(A) 0, e   =    ( ) ( )3 3 27 e f x ln x 1 27 0 f x ln x 1 e + − − = ⇔ + − = με x 1 ln x 0,x ln x 1 x ln x 1 0> ⇔ > + > ⇔ + − > κι εφόσον το 3 27 e είναι αποτέλεσμα της f μόνο για 1 x 3 = πρέπει 1 x ln x 1 3x 3ln x 4 0,x 1 3 + − = ⇔ + − = > θεωρώντας g(x) 3x 3ln x 4= + − , g(1) 1 0 , g(e) 3e 1 0= − < = − > άρα από Θ. Bolzano υπάρχει 0x (1,e)∈ ώστε 0g(x ) 0= κι εφόσον ( ) 3 g (x) 3 0 , g x ′ = + > 1 είναι και μοναδικό γ) θέτοντας 2 1 1 u , du dt t t = − = έχουμε 1 11 1x x xu u ut x 3 11 1 1 1 F(x) e dt ue du u(e ) du ue t − −− − −− − ′  = = − = − = − + ∫ ∫ ∫ 1 1 x u x 1 1 2 e du 1 e , x 0 x e − − −   + = = + − > ÷  ∫ L Δέτσιος Παντελής – μαθηματικός
  • 27.
    λύσεις θεμάτων 27 δ)( ) 1 u1 x ux x x u 0 1 2 2 2 lim F(x) lim 1 e lim 1 u e 1 x e e e−   =− ÷  − →+∞ →+∞ →      = + − = − − = − ÷ ÷  ÷      ( ) 3 2 2 3 2 e F (x) f(x) 0 , F , 1 x 2 F(x) F(2) F(x) 1 0 e e2 e 2 e − ′ = > < < ⇔ < = − ⇔ − − < < ÷   1 , άρα 1 1 12 2 2 x x x 1 1 1 2 1 1 E F(x) 1 dx 1 e 1 dx e e 1 dx e x x − − −        = − − − = − + − = − + − = ÷  ÷ ÷  ÷ ÷          ∫ ∫ ∫ ( ) ( ) ( ) 1 1 1 1 1 12 2 2 x x x x x x 2 1 1 1 1 1 x e xe 1 dx x e xe 1 dx x e x e 1 dx x x − − − − − −  ′ ′    ′ ′ ′ ÷ ÷= − + − = − + − − = − + − = ÷  ÷ ÷  ÷ ÷        ∫ ∫ ∫ ( ) 2 21 12 x x 1 1 e 11 2 xe x dx xe x 1 e ee − − ′ −    = − − = − − = + − = ÷       ∫ ΘΕΜΑ 35 Αν f παραγωγίσιμη στο r με 2f(2x) f(x) 2x− = (1) και ( ) 2 2 1 F(x) x f xt dt x 3 (2), x= − + ∈ ∫ r α) εφόσον f παραγωγίσιμη από Θ.Μ.Τ. υπάρχουν ( ) ( )1 2θ 0,1 και θ 1,2∈ ∈ ώστε 1 2 f(1) f(0) f(2) f(1) f (θ ) 2f (θ ) 2 2f(2) f (0) f(1) 0 1 0 2 1 − − ′ ′+ = + = − − = − − x 0 x 1 (1) f(0) 0 , (1) 2f(2) f(1) 0 = = → = → − = β) θέτοντας u tx , du xdt= = έχουμε 2 2x 2x x 1 x 0 0 x f (xt)dt f(u)du f(u)du f(u)du= = − ∫ ∫ ∫ ∫ οπότε η (2) γίνεται 2x x 2 0 0 F(x) f(u)du f(u)du x 3= − − + ∫ ∫ και παραγωγίζοντας έχουμε (1) F (x) 2f(2x) f(x) 2x 0′ = − − = άρα F σταθερή F(0) 3 F(x) c c 3 , F(x) 3 = = → = = γ) 2 2 2x 2x x 1 12 2 4x 2x x 2 2 f(u)du 1 1 F(x) 3 f(u)du x 3 3 f(u)du x f(u)du 2 4 = =  = =  = ⇔ − + = ⇔ = →   = =  ∫ ∫ ∫ ∫ Οπότε 4 2 4 1 1 2 I f(x)dx f(x)dx f(x)dx 1 4 5= = + = + = ∫ ∫ ∫ δ) η εξίσωση γίνεται ( ) x 0 x x x x x x 0 x 0 0 0 2 f(2t)dt f(t)dt e 2f(2t)dt f(t)dt e 0 2f (2t) f(t) dt e 0+ = ⇔ − − = ⇔ − − = ⇔ ∫ ∫ ∫ ∫ ∫ x xx 2 x 2 x 00 2tdt e 0 t e 0 x e 0 ⇔ − = ⇔ − = ⇔ − = ∫ , θεωρώντας [ ]2 x 1 g(x) x e ,x 1,0 , g(0) 1 0 , g( 1) 1 0 e = − ∈ − = − < − = − > οπότε από Θ. Bolzano υπάρχει α ( )1,0∈ − ώστε g(a) 0= κι εφόσον [ ] ( )x g (x) 2x e 0όταν x 1,0 ,g′ = − < ∈ − 2 , θα είναι και μοναδικό. Δέτσιος Παντελής – μαθηματικός
  • 28.
    λύσεις θεμάτων 28 ΘΕΜΑ36 Δίνεται f συνεχής στο [ )0,+ ∞ , γνησίως αύξουσα και x x 0 1 lim f(t)dt 0 x→+∞ = ∫ (1) α) θεωρώντας x 0 F(x) f(t)dt , F (x) f(x) ,F(0) 0′= = = ∫ η ανισότητα γίνεται x 2x 0 x 1 1 F(x) F(0) F(2x) F(x) f(t)dt f(x) f (t)dt F (x) x x x 0 2x x − − ′< < ⇔ < < − −∫ ∫ , από Θ.Μ.Τ. για την F υπάρχουν ( )1 2ξ 0,x και ξ (x,2x)∈ ∈ ώστε 1 2 1 2 F(x) F(0) F(2x) F(x) F(x) F(2x) F(x) F (ξ ) και F (ξ ) f(ξ ) και f(ξ ) x 0 2x x x x − − − ′ ′= = ⇔ = = − − (2) ( )f x 2x(2) 1 2 1 2 0 x 1 1 0ξ x ξ 2x f(ξ ) f(x) f (ξ ) f(t)dt f (x) f(t)dt x x < < < < ⇔ < < ⇔ < < ∫ ∫ 1 β) ( ) )x f , f(A) f(0), lim f(x) →+∞ =  1 από (1) x x x0 1 F(x) lim f (t)dt lim 0 x x→+∞ →+∞ = = ∫ , 2x x x xx 1 F(2x) F(x) F(2x) F(x) lim f(t)dt lim lim 2 2 0 0 0 x x 2x x→+∞ →+∞ →+∞ −   = = − = × − = ÷  ∫ , οπότε από ανισότητα του α) και κριτήριο παρεμβολής x lim f(x) 0 →+∞ = και [ )f(A) f(0),0= άρα f(x) 0< γ) εφόσον f(x) 0< έχουμε 4 1 E f(x)dx= − ∫ και άρα η ανισότητα γίνεται 4 1 f(1) 2f(2) f(x)dx+ < ∫ , από το α) για 1 2 0 1 x 1: f(t)dt f(1) f(t)dt (3)= < < ∫ ∫ και για 2 4 4 0 2 2 1 1 x 2: f(t)dt f(2) f(t)dt 2f (2) f(t)dt 2 2 = < < ⇔ < ∫ ∫ ∫ άρα 2 4 4 1 2 1 f(1) 2f(2) f(x)dx f(x)dx f(x)dx+ < + = ∫ ∫ ∫ δ) η εξίσωση γίνεται x 0 f(x) f(t)dt 0− = ∫ , οπότε θεωρώντας x 0 g(x) f(x) f(t)dt= − ∫ έχουμε 1 0 g(0) f (0) 0 , g(1) f(1) f(t)dt 0= < = − > ∫ από (3) , άρα από Θ. Bolzano υπάρχει α ( )0,1∈ ώστε α 0 g(α) 0 f(α) f(t)dt F(α)= ⇔ = = ∫ (4) Από Θ.Μ.Τ. για την F υπάρχει ( )β 0,α∈ ώστε να ισχύει (4) F(α) F(0) f(α) F (α) f(β) f(α) αf(β) α 0 α − ′ = ⇔ = ⇔ = − , οπότε η ανισότητα γίνεται ( )αf(β) βf(β) α β f (β) 0< ⇔ − < που ισχύει εφόσον β α , f (β) 0< < ΘΕΜΑ 37 Δίνεται f δύο φορές παραγωγίσιμη στο r , περιττή, άρα f(0) 0= , με εφαπτομένη στο 0x 0= παράλληλη στην ευθεία ε: y x 2= + άρα f (0) 1′ = , τέτοια ώστε ( )2 x 1 f (x) 4xf (x) 2f(x) 0,x′′ ′+ + + = ∈r και 2 g(x) x f (x) ,x= ∈r Δέτσιος Παντελής – μαθηματικός
  • 29.
    λύσεις θεμάτων 29 α) (1) 22 g (x) 2xf(x) x f (x) , g (x) 2f(x) 4xf (x) x f (x) f (x)′ ′ ′′ ′ ′′ ′′= + = + + =− , άρα g (x) f (x) c′ ′= − + και g(x) f(x) cx k= − + + , από f (0) 1′ = και f(0) 0= έχουμε c 1,k 0= = οπότε 2 2 x g(x) f(x) x x f(x) f(x) x f(x) x 1 = − + ⇔ = − + ⇔ = + β) ( ) ( ) ( ) 22 2 32 2 2x 3 x1 x f (x) , f (x) x 1 x 1 − −− ′ ′′= = + + Σημεία καμπής 3 f( 3) 4 − − = , 3 f( 3) 4 = ,f(0) 0= Τοπικό μέγιστο 1 f(1) 2 = , τοπικό ελάχιστο 1 f( 1) 2 − − = γ) ( ) ( ) ( ) 2 23 22 2 x x 3x g(x) , g (x) 0, g x 1 x 1 + ′= = > + + 1 άρα η εξίσωση γίνεται ( ) ( ) ( ) ( ) ( ) ( )( ) ( )( ) ( ) 2 3 2x 2 x x 2 x 333e 1 1 ln x 1 e 1 1ln x 1 e 1 1 ln x 1 e 1 1 ln x 1− + + = − + + ⇔ − + + = − + + ⇔ ( ) ( ) ( ) ( ) ( ) 3x 3 x x 2 2x e 1 ln x 1 g(e 1) g ln(x 1 e 1 ln(x 1) ln x 1 1e 1 1 − + ⇔ = ⇔ − = + ⇔ − = + + +− + , θεωρώ την συνάρτηση ( ) x x x 2 1 1 h(x) e 1 ln(x 1), x 1 , h (x) e , h (x) e 0 , h ( ) x 1 x 1 ′ ′′ ′= − − + > − = − = + > + + 1 ( ) [ )x 0 h (x) h (0) h (x) 0 ,hστο 0,′ ′ ′> ⇔ > ⇔ > + ∞1 ( ) ( ]1 x 0 h (x) h (0) h (x) 0 ,hστο 1,0′ ′ ′− < < ⇔ < ⇔ < −2 , οπότε εφόσον h(0) 0= η x 0= είναι μοναδική λύση δ) η εξίσωση γίνεται 2 x 3x 3 0 2x g(t)dt 2x 1 − + = − ∫ , οπότε θεωρώντας 2 x 3x 3 0 G(x) 2x g(t)dt 2x 1 − + = − + ∫ έχουμε 31 1 1 2 2 0 0 0 t t G(0) 1 0 ,G(1) 2 g(t)dt 1 2 dt 1 2 t dt 1 t 1 t 1   = > = − = − = − − = ÷ + + ∫ ∫ ∫ ( ) 12 2 0 t 1 ln t 1 1 ln 2 0 2 2   = − + − = − <    , άρα από Θ. Bolzano υπάρχει α ( )0,1∈ ώστε G(α) 0= ⇔ 2 α 3α 3 0 2α 1 g(t)dt 2α − + − ⇔ = ∫ ΘΕΜΑ 38 Δίνεται f κυρτή με f(x) 0 ,για κάθε x> ∈r και [ ] 2 x 0 0 f(x)dx 1 , g(x) f (t) f(2 t) dt , x= = + − ∈ ∫ ∫ r α) f κυρτή άρα ( )f′ 1 , ( )g (x) f(x) f(2 x) 0 ,g ,g(0) 0,x 0 g(x) 0 ,x 0 g(x) 0′ = + − > = > ⇔ > < ⇔ <1 β) f "1 1" g (x) f (x) f (2 x) 0 f (x) f (2 x) x 1 ′ − ′′ ′ ′ ′ ′= − − = ⇔ = − ⇔ = Δέτσιος Παντελής – μαθηματικός
  • 30.
    λύσεις θεμάτων 30 ()f g (x) 0 f (x) f (2 x) x 2 x x 1 ′ ′′ ′ ′> ⇔ > − ⇔ > − ⇔ > 1 ( )f g (x) 0 f (x) f (2 x) x 2 x x 1 ′ ′′ ′ ′< ⇔ < − ⇔ < − ⇔ < 1 Για x 1= η g έχει σημείο καμπής το g(1) [ ] 1 2 1 2 1 0 0 2 0 2 g(1) f(t) f(2 t) dt f(t)dt f(t)dt f(2 t)dt f (2 t)dt= + − = + + − + − ∫ ∫ ∫ ∫ ∫ (1) 2 0 2u 2 t du dt0 2 0 f(2 t)dt f (u)( du) f(u)du 1 = − =− − = − = = ∫ ∫ ∫ (2), 1 1 1u 2 t du dt2 0 0 f(2 t)dt f (u)( du) f(u)du = − =− − = − = − ∫ ∫ ∫ και η (1) γίνεται 2 1 1 2 2 1 0 0 1 0 g(1) 1 f(t)dt 1 f(u)du 2 f(u)du f(t)dt 2 f(t)dt 2 1 1   = − + − = − + = − = − = ÷  ∫ ∫ ∫ ∫ ∫ γ) 2 2 2 2 (2) 0 0 0 0 E g (x)dx g (x)dx f(x)dx f(2 x)dx 1 1 2′ ′= = = + − = + = ∫ ∫ ∫ ∫ δ) θεωρώντας x 0 F(x) f(t)dt , F (x) f(x)′= = ∫ η εξίσωση γίνεται ( )xF (x) F(x) 1 xF(x) x 0′′ + = ⇔ − = οπότε θεωρώντας G(x) xF(x) x= − έχουμε 2 0 G(0) 0 , G(2) 2F(2) 2 2 f(t)dt 2 2 1 2 0= = − = − = × − = ∫ , και από Θ. Rolle υπάρχει α ( )0,2∈ ώστε α 0 G (α) 0 F(α) αF (α) 1 0 αf(α) f(x)dx 1′ ′= ⇔ + − = ⇔ ⇔ + = ∫L ΘΕΜΑ 39 Δίνεται ( ) ημx f(x) , x 0,π x = ∈ α) 2 xσυνx ημx π f (x) ,x 0, x 2 −  ′ = ∈ ÷   θεωρώ π h(x) xσυνx ημx ,x 0, 2   = − ∈   π h (x) xημx 0,x 0, 2  ′ = − < ∈ ÷   ( ) π π hστο 0, , 0 x h(0) h(x) 0 xσυνx ημx 2 2   < < ⇔ > ⇔ > −   2 , οπότε π f (x) 0,x 0, 2  ′ < ∈ ÷   και ( ) π fστο 0, 2      2 άρα π π ημx 2 2 x f(x) fημx x 2 2 xπ π   < ⇔ > ⇔ > ⇔ > ÷   π π 2 2 π π 4 4 ημx ημx E dx dx x x = = ∫ ∫ , ημx 2 xπ > άρα π π 2 2 π π 4 4 ημx 2 2 π π 1 1 dx dxΕ Ε xπ π 2 4 2 2   > ⇔ > − = ⇔ > ÷  ∫ ∫ β) η εξίσωση γίνεται ( ) ( ) π x 2 π 4 4 4x 3 f(t)dtπ 1 x ημx− = − ∫ , θεωρώντας ( ) ( ) π x 2 π 4 g(x) 4 4x 3 f (t)dtπ 1 x ημx= − − − ∫ έχουμε π 2 π 4 3π 3 gημ 0 , g(1) 4 f(t)dt 4E 2 0 4 4 4   = − < = = > > ÷   ∫ άρα από Θ. Bolzano υπάρχει α 3 ,1 4   ∈ ÷   ώστε g(α) 0= ⇔ ⇔L π α 2 π 4 4 f(t)dt πημα 1α 4α 3 = − − ∫ γ) ( ) ( ) π π π π 0uσυνx 2 2 2 2 2 2 2π π π π 1 duσυνx dx 3 3 3 3 2 συνx1 1ημx 1 E dx dx dx dx du xf(x)ημx ημ x 1 συν x 1 u = ′= ′− − = = = = = = − −∫ ∫ ∫ ∫ ∫ Δέτσιος Παντελής – μαθηματικός
  • 31.
    λύσεις θεμάτων 31 () ( ) 1 1 1 2 2 2 0 0 0 1 1 1 A B 2 2du du du u 1 1 u u 1 1 u u 1 1 u   − − ÷−   = = − = − = ÷ ÷ − + − + − +   ÷   ∫ ∫ ∫ 1 2 0 1 1 1 du 2 u 1 u 1   = − − = ÷ − + ∫ 1 2 0 1 u 1 ln3 ln 2 u 1 2  −  = − = = +  L δ) 2 2 2 2 2 2 4 4 2 2 22 2 2 2 2x 0 x 0 x 0 x 0 4 1ημ x x ημ x x 1 1ημ x x 1 3x xlim 1 lim lim lim xημ xx f (x) xημ x 1 3ημx x x → → → → − − −   − − = = = = = − ÷     ÷   0 0 22 2 2 2 20 0 4 3 2 2x 0 DHL x 0 DHL x 0 x 0 x 0 ημ x x ημxσυνx x συν x ημ x 1 2ημ x 1 ημx 1 lim lim lim lim lim x 2x 6x 6x 3 x 3      ÷  ÷     → → → → →  − − − − −   = = = = − = − ÷ ÷ ÷   ΘΕΜΑ 40 Δίνεται f συνεχής στο [ )0,+ ∞ με 1 2 x 2 f(1) , x f (x) f(x) e 0 , x 0 e − ′= − + = > και μιγαδικός z με z 0≠ α) 1 1 1 1x 2 x x x 2 2 2 2 1 e 1 1 x f (x) f(x) e 0 f (x) f (x) 0 e f (x) e f(x) x x x x − −    ′ ′ ′− + = ⇔ + − + = ⇔ + − = − ⇔ ÷  ÷     1 1 1 x x x 1 1 2 1 e f(x) e f(x) c , f(1) c 1 , f(x) 1 e , x 0 x x e x − ′ ′      ⇔ = ⇔ = + = ⇔ = = + > ÷  ÷  ÷      f συνεχής στο 0 άρα 1 y 1 x yx yy yx 0 x 0 y DLH 1 1 y f(0) lim f (x) lim 1 e lim lim e 0 x e+ + ∞  =−  ÷ ∞  − −→−∞ →−∞→ → →−∞ −  = = + = ÷   = = β) ( ) 1 1 1 1 1 11 1 1 1 x x x x x x λ λ λ λ 1 1 E 1 e dx e e dx x e x e dx xe dx x x − − − − − −  ′ ′       ′ ÷= + = + = + = = ÷  ÷  ÷ ÷  ÷          ∫ ∫ ∫ ∫ 11 1 xλ λ 1 xeλe e − −  = = −    γ) ( ) 1 x 3 e f (x) 0 , x 0, x − ′ = > ∈ + ∞ άρα ( ) [ )fστο 0, + ∞1 1 y 1 x y 0x x x y y 0 1 lim f(x) lim 1 e lim (1 y)e 1 e 1 x − =− − →+∞ →+∞ →−∞ →   = + − = × = ÷   = άρα η ευθεία y 1= οριζόντια ασύμπτωτη ( ) [ ) ( ) ) [ )x fστο Α 0, , f A f (0), lim f(x) 0,1 →+∞ = + ∞ = =  1 άρα f(x) 1< δ) zz 1 1 1 1 1 1 1 1 , 1 1 z z z z z   + ≤ + = + + ≤ + ÷ ÷   , οπότε αρκεί z 1 1 z z1 1 1 1 1 1 1 e z ln 1 1 ln 1 1 e 1 e 1 z z z z z z −        + < ⇔ + < ⇔ + < ⇔ + < ⇔ + < ⇔ ÷  ÷  ÷  ÷ ÷  ÷  ÷  ÷         Δέτσιος Παντελής – μαθηματικός
  • 32.
    λύσεις θεμάτων 32 ()f z 1< που ισχύει από γ) εφόσον z 0> ΘΕΜΑ 41 Δίνεται f με f(0) 1= , παραγωγίσιμη στο [ )0,+ ∞ , γνησίως αύξουσα, κυρτή, άρα και ( )f′ 1 και 22 t u tu tx t tu 0 t 0 t tt t DLH e e t εφόσον lim lim lim 21 u 2e f(t)dt , x 0 tF(x) x 1 , x 0 1 1 lim lim e 0 2e 2 + =−− −→−∞ →−∞→ →−∞ ∞   ÷ ∞  −→−∞ →−∞   − ÷ = = ÷ − ÷> =  ÷  ÷ =  ÷ = = ÷   = ∫ = α) αν x 0= είναι προφανής η ισότητα, ( )f x 0 , 0 t x f(0) f(t) f(x) 1 f(t) f(x)> ≤ ≤ ⇔ ≤ ≤ ⇔ ≤ ≤ 1 κι εφόσον το " "= δεν ισχύει παντού x x x x xx 0 0 0 0 0 0 1 dt f(t)dt f(x)dt x f(t)dt xf(x) 1 f (t)dt f(x) x > < < ⇔ < < ⇔ < < ∫ ∫ ∫ ∫ ∫ δηλ. 1 F(x) f (x)< < , άρα 1 F(x) f (x) , x 0≤ ≤ ≥ β) [ ) x 0 x 2 0 xf(x) f(t)dt , x 0 F (x) , G(x) f(t)dt ,x 0, , G (x) f(x) f(0) 1 0x 1 f (0) , x 0 2  − > ′ ′= = ∈ + ∞ = > = >  ′ =  ∫ ∫ 0 0 2 x 0 x 0 x 0 x 0 DLH F(x) F(0) G(x) x G (x) 1 f(x) f(0) 1 F (0) lim lim lim lim f (0) x 0 x 2x 2(x 0) 2+ + + +    ÷   → → → → ′− − − − ′ ′= = = = − −= , για την G από Θ.Μ.Τ. υπάρχει ( )ξ 0,x∈ ώστε G(x) G(0) G(x) G (ξ) x 0 x − ′ = = − (1) ( )G (1) G(x) 0ξ x G (ξ) G (x) G (x) G(x) xG (x) x ′ ′ ′ ′ ′< < ⇔ < ⇔ < ⇔ < 1 , άρα 2 xG (x) G(x) F (x) 0 x ′ − ′ = > και ( ) [ )Fστο 0, + ∞1 γ) η εφαπτομένη της f στο 1 είναι ε: y f (1)(x 1) f(1)′= − + κι εφόσον η f κυρτή η ε θα είναι κάτω από την fC δηλ. f(x) f (1)x f (1) f(1)′ ′≥ − + (2) , ( )f x 0 f(x) 1 1 0 f (1) f (0) lim 0 x+ ′ → − ′ ′> ⇔ > = ≥ 1 άρα ( ) ( )x x lim f (1)x f (1) f(1) lim f (1)x →+∞ →+∞ ′ ′ ′− + = = +∞ οπότε από (2) και x lim f(x) →+∞ = +∞ ( )f 0 t f(0) f(t)≤ ⇔ ≤ 1 άρα για x x 0 0 x 0 , dt f(t)dt x G(x)> ≤ ⇔ ≤ ∫ ∫ , οπότε εφόσον x lim x →+∞ = +∞ θα είναι και x lim G(x) →+∞ = +∞ , x x x x DLH G(x) lim F(x) lim lim G (x) lim f(x) x ∞   ÷ ∞  →+∞ →+∞ →+∞ →+∞ ′= = = +∞ = , άρα ) [ )x F(A) F(0), lim F(x) 1, →+∞ = = + ∞  δ) έχοντας υπόψη ότι 2 1 1 F (x) G(x) G (x), x 0 x x ′ ′= − + > η ανισότητα γίνεται Δέτσιος Παντελής – μαθηματικός
  • 33.
    λύσεις θεμάτων 33 αβ0 2 2 β α β α G(α) G(β) G (β) G(α) αG (β) G(β) G(α) G(β) αG (β) α β α β α β β > ′ ′ ′− > − ⇔ > − + ⇔ > − + ⇔ 2 G(α) F (β) α ′⇔ > (3) άρα από Θ.Μ.Τ για την F υπάρχει ( )β 0,α∈ ώστε 2 F(α) F(0) G(α) α F (β) α 0 α − − ′ = = − οπότε η (3) γίνεται 2 2 G(α) G(α) α α 0 α α − ⇔ > ⇔ > που ισχύει ΘΕΜΑ 42 Δίνεται f δύο φορές παραγωγίσιμη με f(2) 0 , f (x) 0 , x′′= < ∈r άρα ( )fκαι "1 1"′ −2 και x 4 x g(x) f (t)dt − = ∫ α) x 4 x 0 0 g(x) f(t)dt f(t)dt , g (x) f (x) f(4 x) − ′= − = + − ∫ ∫ g (x) f (x) f (4 x)′′ ′ ′= − − f ("1 1") g (x) 0 f (x) f (4 x) x 4 x x 2 ′ − ′′ ′ ′= ⇔ = − ⇔ = − ⇔ = β) ( )f g (x) 0 f (x) f (4 x) x 4 x x 2 , g (x) 0 x 2 ′ ′′ ′ ′ ′′> ⇔ > − ⇔ < − ⇔ < < ⇔ ⇔ >L 2 η g για x 2= έχει σημείο καμπής το g(2) 0= γ) η ανισότητα γίνεται 3 4 1 0 2 f(t)dt f(t)dt 2g(3) g(4) g(3) g(2) g(4) g(3)> ⇔ > ⇔ − > − ∫ ∫ από Θ.Μ.Τ. για την g υπάρχουν ( ) ( )1 2ξ 2,3 , ξ 3,4∈ ∈ ώστε 1 2g (ξ ) g(3) g(2) και g (ξ ) g(4) g(3)′ ′= − = − ( ) ( ) g ( ) 1 2 1 22ξ 3 ξ 4 g ξ g ξ g(3) g(2) g(4) g(3) 2g(3) g(4) ′ ′ ′< < < < ⇔ > ⇔ − > − ⇔ > 2 δ) η ανισότητα γίνεται ( ) x 1 x 1 x e x 1 4 x e f(t)dt 0 g x e g(2) − − + − − − > ⇔ + > ∫ από β) [ ) ( ]g 2, , x 2 g (x) g (2) g (x) 0,g ,2 , x 2 g (x) g (2) g (x) 0′ ′ ′ ′ ′ ′ ′ ′+ ∞ > ⇔ < ⇔ < −∞ < ⇔ < ⇔ <2 1 άρα η gστο2 r , οπότε x 1 x e 2− + < , θεωρώντας x x h(x) x e , h (x) 1 e 0 ,άρα h στο′= + = + > )1 r x 1 x 1 x e 2 x 1 e 1 h(x 1) h(0) x 1 0 x 1− − + < ⇔ − + < ⇔ − < ⇔ − < ⇔ < ΘΕΜΑ 43 Δίνεται η συνάρτηση f με f(1) 1= , συνεχής στο r και τέτοια ώστε να ισχύει ( ) 2 x x t 1 1 1 2 z 5i f(t)dt z 5i e dt 12 x 1 ,x ,z− + ≤ + + − ∈ ∈ ∫ ∫ r c α) θεωρώντας ( ) 2 x x t 1 1 1 g(x) 2 z 5i f(t)dt z 5i e dt 12 x 1 ,x− = + − + − − ∈ ∫ ∫ r η ανισότητα γίνεται g(x) 0 g(1)≤ = δηλ. η g για x 1= έχει μέγιστο κι εφόσον είναι παραγωγίσιμη με 2 x 1 g (x) 2 z 5i f(x) z 5i 2xe 12− ′ = + − + − από Θ. Fermat g (1) 0 2 z 5i 2 z 5i 12 0′ = ⇔ + − + − = ⇔ Δέτσιος Παντελής – μαθηματικός
  • 34.
    λύσεις θεμάτων 34 M(z),E(5i) E( 5i) z 5i z 5i 6 ME ME 6′ − ′⇔ + − − = → − = άρα υπερβολή με d 2α 6 α 3 , γ 5 , β 4= = ⇔ = = = κι εφόσον ΜΕ ΜΕ′ > είναι μόνο ο πάνω κλάδος της δηλ. 2 2 y x 1με y 3 9 16 − = ≥ β) 2 2 2x 3 y 1 9 y h(x) x 16 , x , y 3 16 4   = + ⇔ = = + ∈ ≥ ÷   r (αλγεβρικά) ( ) ( ) ( )22 23 9 A(1,0) , M x, x 16 , d A,M x 1 x 16 , x 4 16   + = − + + ∈ ÷   r , θεωρώντας ( ) ( ) ( ) 2 29 9 16 k(x) x 1 x 16 , x , k (x) 2 x 1 2x x 16 16 25 ′= − + + ∈ = − + ⇔ ⇔ =Lr άρα η k και συνεπώς η d(A,M) γίνεται ελάχιστη όταν 16 x 25 = οπότε 16 3 641 M , 25 25    ÷ ÷   (γεωμετρικά) το σημείο Μ της hC που είναι πλησιέστερο στο A(1,0) είναι αυτό που η εφαπτομένη στο Μ είναι κάθετη στην ΑΜ δηλ. 0 0 ε ΑΜ 0 0 9x y λ λ 1 1 16y x 1 × = − ⇔ × = − ⇔ − ( )0 0 0 16 9x 16 x 1 x 25 ⇔ = − − ⇔ = γ) ( )2 2 2 3 16 h (x) , h (x) 0 4 x 16 x 16 x 16 ′ ′′= = > + + + , η h είναι κυρτή , η εφαπτομένη κάτω από την γραφική της παράσταση και η ελάχιστη απόσταση στο σημείο που η εφαπτομένη είναι παράλληλη στην ευθεία (ζ), άρα 2 3 2 3x 3 2 h (x) 8 84 x 16 ′ = ⇔ = ⇔ + x 0 2 x 2 x 4 2x 16 > ⇔ = ⇔ ⇔ = + L , B(4,3 2) ( ) ελαχ 2 2 3 2 4 3 2 8 12 41 d d(Β,ζ) 41 3 2 1 8 × − = = = =   + − ÷   L Δέτσιος Παντελής – μαθηματικός
  • 35.
    λύσεις θεμάτων 35 δ)( ) x 1 Η(x) h(t)dt , H (x) h(x) 0 ,H ,x 1 H(x) H(1) 0′= = > < ⇔ < = ∫ 1 , άρα ( ) [ ] 1 1 1 1 1 2 0 0 0 0 0 3 E H(x)dx x H(x)dx xH(x) xh(x)dx H(1) x x 16dx 4 ′= − = − = − + = − + + = ∫ ∫ ∫ ∫ 2 17 u x 16 2 2udu 2xdx 4 3 17 17 u du 16 4 4 = + = → = = = − ∫ L ΘΕΜΑ 44 Δίνεται f συνεχής στο [ )0,+ ∞ με ( ) 4 2x e 0 e x 2t 3 f(t)dt x dt , x 0 2t ln t + = + ≥ ∫ ∫ (1) α) 4 u ln te 4 4 1e 1dt du t 1 du dt u 1 2t ln t 2 u = =  = = =∫ ∫ άρα η (1) γίνεται ( ) x 2 0 2t 3 f(t)dt x x+ = + ∫ και παραγωγίζοντας ( ) 2x 1 2x 3 f(x) 1 2x f(x) 2x 3 + + = + ⇔ = + β) [ ] α α α 1 1 1 2x 1 2 E(α) dx 1 dx x ln(2x 3) α ln(2α 3) 1 ln5 2x 3 2x 3 +   = = − = − + = − + − + ÷ + + ∫ ∫ γ) ( )α α ln(2α 3) limα ln(2α 3) lim α 1 α→+∞ →+∞ +  − + = − = +∞ ÷   διότι α DLH α ln(2α 3) 2 lim lim 0 α 2α 3 ∞   ÷ ∞  →+∞ →+∞ + = = + άρα α limΕ(α) →+∞ = +∞ δ) t1 x 0 h(x) f(t)e dt= ∫ , x t 1 t 1f (t) 0ex 0 0 x x x x t 1 0 t 1 0 e e e f(t) f(t)e f(t)e x x >> ≤ ≤ ⇔ ≤ ≤ ⇔ ≤ ≤ ⇔ ≤ ≤ 1 , οπότε t 1 11 1 1 1 1 x x x 0 0 0 0 0 f(t)dt f (t)e dt f (t)e dt f(t)dt h(x) e f(t)dt≤ ≤ ⇔ ≤ ≤ ∫ ∫ ∫ ∫ ∫ (1) [ ] 1 u11 x1 ux 0 x u 0 u 00 3 f(t)dt t ln(2t 3) 1 ln , lim e lim e 1 5 + + = →+∞ → → = − + = + = = ∫ , οπότε η (1) γίνεται 1 x 3 3 1 ln h(x) e 1 ln 5 5   + ≤ ≤ + ÷   και από κριτήριο παρεμβολής x 3 lim h(x) 1 ln 5→+∞ = + ΘΕΜΑ 45 Δίνεται συνάρτηση f συνεχής στο [ ]1,9 και ( ) ( ) ( ) 3 3 9 2 2 2 1 1 1 62 f t dt 2 f t dt 2 f t dt 3 + = − ∫ ∫ ∫ α) ( ) ( ) 333 3 2 2 2 1 1 1 4t 62 2t 1 dt 4t 4t 1 dt 2t t 3 3   − = − + = − + =   ∫ ∫ β) [ ] [ ] [ ]2 t 1,9και t 1,9 t 1,3∈ ∈ ⇔ ∈ , 2 9 3 3 u t u t 2 2 dt 2udu 1 1 1 f(t)dt 2 uf(u )dt 2 tf(t )dt= ⇔ = = → = ∫ ∫ ∫ , οπότε ( ) ( ) ( ) ( ) ( ) ( )( ) 3 3 3 3 3 222 2 2 2 2 1 1 1 1 1 f t dt 2 f t dt 4 tf t dt 2t 1 dt f t 2t 1 dt 0+ = − − ⇔ − − = ∫ ∫ ∫ ∫ ∫ ( ) ( )( ) 2 2 g(t) f t 2t 1 0= − − ≥ κι εφόσον 3 1 g(t)dt 0= ∫ πρέπει 2 g(t) 0 f(t ) 2t 1= ⇔ = − Δέτσιος Παντελής – μαθηματικός
  • 36.
    λύσεις θεμάτων 36 t0 2 t x t x > = ⇔ = οπότε [ ] 1 1 f(x) 2 x 1 ,x 1,9 , f (x) , f (x) 0 x 2x x ′ ′′= − ∈ = = − < , άρα f κοίλη γ) [ ]h(x) f(x)λx 1 0 , x 1,9= − − ≤ ∈ , 2 2 1λ x 1 1 1 1 h (x) 0 x ,λ 1 3 1 9 1 λ 3 λ λx − ′ = = ⇔ = < < ⇔ > > ⇔ > > η h για 2 1 x λ = έχει μέγιστο το 2 1 1 2λ h λ λ −  = ÷   , δηλ. 1 2λ h(x) λ − ≤ άρα πρέπει λ 01 2λ 1 0λ λ 2 >− ≤ ⇔ ≥ , ελαχ 1 λ 2 = δ) 0 0 1 f (x ) x 4 2 ′ = ⇔ = ε: 1 y f(4) f (4)(x 4) y x 1 2 ′− = − ⇔ = + , εφόσον f κοίλη η ε είναι πάνω από την γραφική της παράσταση και την ακουμπάει μόνο στο σημείο Μ(4,3) , δηλ. κάθε σημείο της fC είναι κάτω από την ευθεία κι επειδή η ζ: x 2y 7 0 / /− + = ε και βρίσκεται πάνω απ’ αυτήν, θα είναι ( ) ελαχ 22 4 2 3 7 5 d d(M,ζ) 5 51 2 − × + = = = = + − ΘΕΜΑ 46 Δίνεται f παραγωγίσιμη και γνησίως μονότονη στο r με f(0) 1= και 2x 2 x e t 0 1 g(x) e dt ln tdt,x 0= + ≥ ∫ ∫ και x h(x) e x= + α) [ ] 1 f (x) x x x xu f (t) f (u) t1 dt f (u)du 0 1 0 0 0 f (t)dt uf (u)du uf(u) f(u)du xf(x) f(u)du − = ⇔ =− ′= ′→ = − = − ∫ ∫ ∫ ∫ άρα έχουμε x x 0 0 F(x) f(t)dt xf(x) f(u)du xf(x) 0= + − − = ∫ ∫ ή ( )1 x F (x) f(x) f f(x) f (x) f(x) xf (x) 0− ′ ′ ′= + − − = 14243 … β) ( ) ( ) ( ) ( )2 2 2 2 2 2 2 x x x x x x x g (x) e ln e e x e x e xe g(x) xe c,g(0) 0 ′ ′ ′′′ = + = + = ⇔ = + = άρα c 0= και 2 x g(x) xe= (αλλιώς από α) για 2 t 1 f(t) e , f (t) ln t− = = ) γ) ( )x h (x) e 1 0 , h′ = + > 1 άρα αντιστρέψιμη με 1 h D h(A)− = = r 1 1 1 e 1 1 1 u h (x) h(u) x ,dx h (u)du1 u h (1) u h(u) 1 u 0, 1 0 0 h (e 1) u h(u) e 1 u 1 3 E h (x) dx u h (u)du (ue u)du 2 − − − + ′= ⇔ = =− = ⇔ = ⇔ = + = ⇔ = + ⇔ = ′= → = + = = ∫ ∫ ∫ L δ) ε: ( ) ( )1 1 y h (e 1) h e 1 (x e 1)− − ′− + = + − − ( )( )1 h h x x− = , ( )( )( ) ( ) ( )1 x e 11 1 1 1 h (e 1) 1 1 h h x h (x) 1 h (1) h (e 1) 1 h (e 1) e 1 − = +− − − − + = ′ ′ ′′ ′= → + = ⇔ + = + άρα ε: 1 y x e 1 = + ΘΕΜΑ 47 Δίνεται f συνεχής στο r και x u x 0 1 g(x) f(t)dt du e 1 0 , x   = + − ≥ ∈ ÷  ∫ ∫ r α) u 1 h(u) f(t)dt= ∫ οπότε x x 0 g(x) h(u)du e 1 0 g(0)= + − ≥ = ∫ δηλ. η g για x 0= έχει ελάχιστο κι εφόσον παραγωγίσιμη με x g (x) h(x) e′ = + , από Θ. Fermat 1 0 g (0) 0 f(t)dt 1′ = ⇔ = ∫ Δέτσιος Παντελής – μαθηματικός
  • 37.
    λύσεις θεμάτων 37 β)η εξίσωση γίνεται ( ) x x x 0 0 0 1 3 f(t)dt dt 1 3 f(t)dt ln x 1 1 0 t 1 − = ⇔ − + − = +∫ ∫ ∫ Θεωρώντας την ( ) x 0 φ(x) 3 f(t)dt ln x 1 1 , x [0,1]= − + − ∈ ∫ έχουμε φ(0) 1 0 ,φ(1) 2 ln 2 0= − < = − > άρα από Θ.Bolzano υπάρχει ( )0x 0,1∈ ώστε 0φ(x ) 0= γ) η εξίσωση γίνεται x 2 0 f(x) 4x 1 0 f(t)dt 2x x 0 ′  − + = ⇔ − + = ÷  ∫ , θεωρώντας λοιπόν την [ ] x 2 0 F(x) f(t)dt 2x x , x 0,1= − + ∈ ∫ έχουμε F(0) F(1) 0= = , άρα από Θ.Rolle υπάρχει ( )ξ 0,1∈ ώστε F (ξ) 0 f(ξ) 4ξ 1′ = ⇔ = − δ) Η ανισότητα για β x= γίνεται ( ) x 0 G(x) f (t)dt αα x α x x G (x) f (x)0 0 e G(α) e f(t)dt (α 1) f (t)dt f(x) e G(x) α 1 = − ′ = ∫  ′> − + ⇔ > ÷ − ∫ ∫ , οπότε για την x H(x) e G(x)= από Θ.Μ.Τ. υπάρχει ( )β 0,1∈ ώστε α Η(α) Η(1) e G(α) e Η (β) α 1 α 1 − − ′ = = − − , οπότε αρκεί α α e G(α) e e G(α) Η (β) e 0 α 1 α 1 − ′ = < ⇔ > − − που ισχύει ΘΕΜΑ 48 Δίνεται η f δύο φορές παραγωγίσιμη και ( )2 f(0) 0 , f (0) 1 , x 1 f (x) 4xf (x) 2f(x) 12x,x′ ′′ ′= = + + + = ∈ r και f(x) g(x) ,x 0 x = ≠ α) ( )( ) ( ) ( )2 2 2 2 x 1 f (x) 2xf(x) 6x x 1 f (x) 2xf(x) 6x c ′ ′′ ′+ + = ⇔ + + = + για x 0= προκύπτει c 1= οπότε ( ) ( )( ) ( ) ( )2 2 2 3 2 3 x 1 f (x) 2xf(x) 6x 1 x 1 f(x) 2x x x 1 f(x) 2x x k ′ ′′+ + = + ⇔ + = + ⇔ + = + + για x 0= προκύπτει k 0= οπότε 3 2 2x x f(x) x 1 + = + β) ( ) ( ) 4 2 22 2x 5x 1 f (x) 0 ,f x 1 + + ′ = > + 1 άρα αντιστρέψιμη με 1 f D f(A)− = = r [ ] 1 1 1 3 1 1 12 u f (x) f (u) x ,dx f (u)du1 f (0) u f (u) 0 u 0, 0 0 0 0 f (3/2) u f (u) 3/2 u 1 E f (x) dx u f (u)du uf(u) f(u)du − − − ′= ⇔ = =− = ⇔ = ⇔ = = ⇔ = ⇔ = ′= → = − = ∫ ∫ ∫ ( ) 3 1 2 2 2 2 0 0 3 3 x 3 3 1 1 ln 2 f 2x dx f x ln x 1 2 2 x 1 2 2 2 2 +        = − − = − − + = = ÷  ÷  ÷  +       ∫ L γ) ( ) ( ) ( )2 2 2 2 2 22x 2x 2x xf ''1 1'' x x 2 1 x x 2 1 2x 2 2 x 2e x 1 x 2e x 1 ex 2e x 12e 1 2e 1 (2e 1)e f f e e ex e e e ex e e 1 e x 1 − − − − −  + + + + + +  ÷= ⇔ = ⇔ = ⇔ ÷  ÷+ + + + + +    ( ) ( ) ( ) ( ) ( ) ( ) 3 3x x f ''1 1'' x x 2 2x 2 e e 2 ex ex f e f ex e ex ex 1e 1 −+ + ⇔ = ⇔ = ⇔ = ++ , θεωρώντας x x h(x) e ex, h (x) e e′= − = − Δέτσιος Παντελής – μαθηματικός
  • 38.
    λύσεις θεμάτων 38 Εφόσονh(1) 0= όπως φαίνεται και από τον πίνακα μεταβολών η εξίσωση έχει μοναδική λύση την x 1= δ) ( ) ( ) [ ] 2 22 2 f(x) 2x 1 2x g(x) , g (x) 0 , x 0 , gστο 1,2 x x 1 x 1 + ′= = = > > + + 1 3 9 5 1 2 1 x 2 g(1) g(x) g(2) g(x) 2 5 9 g(x) 3 < < ⇔ < < ⇔ < < ⇔ < < άρα 2 2 1 1 3 9 5 1 2 g(x)dxκαι dx 2 5 9 g(x) 3 < < < < ∫ ∫ οπότε 2 2 1 1 5 1 6 g(x)dx dx 6 g(x) 5 < × < ∫ ∫ ΘΕΜΑ 49 Δίνεται συνάρτηση f παραγωγίσιμη στο ( )0,+ ∞ με f (1) 1′ = και f(xy) xf(y) yf(x) , x, y 0 (1)= + > α) παραγωγίζοντας ως προς y έχουμε f (xy)x xf (y) f (x)′ ′= + και για y 1= έχουμε ( ) ( ) ( ) x 0 2 xf (x) x f(x) 1 f (x) f (x)x xf (1) f(x) xf (x) x f(x) x ln x x x x > ′ ′′ −  ′ ′′ ′ ′= + ⇔ − = ⇔ = ⇔ = ⇔ ÷   f(x) ln x c x ⇔ = + , από την (1) για x y 1= = προκύπτει f(1) 0= οπότε c 0= και f(x) x ln x= β) θεωρούμε 2 1 x h(x) 2x ln x x 1,x 0 , h (x) 2ln x 2 2x , h (x) 2 , x 0 x − ′ ′′= − + > = + − = > h (x) h (1) 0′ ′≥ = εφόσον η h′ για x 1= έχει μέγιστο άρα η ( )h 1 κι εφόσον h(1) 0= η x 1= είναι μοναδική λύση γ) 2 21 1 112 1 21 1 1 ee e e x 1 1 e 3 E x ln xdx ln xdx x ln x xdx 2 2 2 4e ′  −  = − = − = − + = = ÷    ∫ ∫ ∫ L δ) 2 x x tg(t) F(x) dt f(t) = ∫ , 2 2g tln t 0 2 2 t 1 xg(x) tg(t) x g(x ) 1 x t x g(x) g(t) g(x ) t ln t t ln t t ln t > > < ≤ ≤ ⇔ ≤ ≤ ⇔ ≤ ≤ 1 άρα με x 0> έχουμε 2 2 2 2 22 2x x x x x 2 2 x x x x x xg(x) tg(t) x g(x ) 1 1 dt dt dt xg(x) dt F(x) x g(x ) dt t ln t t ln t t ln t t ln t t ln t ≤ ≤ ⇔ ≤ ≤ ∫ ∫ ∫ ∫ ∫ κι εφόσον ( ) ( ) 2 2 2 2x x x x x x ln t1 ln x dt dt ln ln t ln ln 2 t ln t ln t ln x ′ = = = =  ∫ ∫ 2 2 x 1 x 1 lim xg(x) lim x g(x ) g(1) 1+ + → → = = = από κριτήριο παρεμβολής x 1 lim F(x) ln 2+ → = ΘΕΜΑ 50 Δίνεται f παραγωγίσιμη στο ( ),2−∞ με 1 f (0) 2 = και ( ) ( )2 x f (x) x 1 f(x) , x 2′− = − < Δέτσιος Παντελής – μαθηματικός
  • 39.
    λύσεις θεμάτων 39 α)( ) x 1 1 f (x) f(x) 0 f (x) 1 f(x) 0 f (x) x ln(2 x) f (x) 0 x 2 x 2 −   ′′ ′ ′+ = ⇔ + + = ⇔ + + − = ÷ − −  , πολ/ντας με x ln(2 x) x e e (2 x)+ − = − έχουμε ( ) ( )x ln(2 x) x e f(x) 0 e 2 x f(x) c+ − ′ = ⇔ − = και για x 0= προκύπτει c 1= οπότε ( ) x x 1 e f(x) e 2 x 2 x − = = − − β) ( ) x 2 e (x 1) f (x) 2 x − − ′ = − , x x x x DLH xx 2 x 2 x 2 2 x 0 1 e e f(1) , lim f(x) lim , lim lim e e 2 x 2 x− − ∞   ÷− − ∞  − →−∞ →−∞→ → < − > = = = +∞ = = +∞ − − ( ] ( )1 1 1 A ,1 , f A , e   = −∞ = + ∞÷  ( ) ( )2 2 1 A 1,2 , f A , e   = = + ∞ ÷   , ( ) 1 f A , e   = + ∞÷  u f (x) 1 ln f(x) f(x) ln u u 1 = + = ⇔ = − ισχύει μόνο όταν u 1= άρα f(x) 1= κι εφόσον ( ) ( )1 21 f A , 1 f A∈ ∈ η εξίσωση έχει ακριβώς δύο ρίζες γ) f 2 2 2 2 1 1 1 1 1 0 x 1 f(0) f(x) f(1) f(x) f (x) 4 e e 2 e 4 f (x) < < ⇔ > > ⇔ < < ⇔ < < ⇔ < < 2 , οπότε 1 1 2 2 0 0 1 1 1 f(x)dxκαι 4 dx e e 2 f (x) < < < < ∫ ∫ και άρα 21 1 2 0 0 4 1 e f(x)dx dx e f (x) 2 < × < ∫ ∫ δ) η εξίσωση γίνεται x x 2 0 0 dt 9 f (t)dt 4x 8 f (t) × = + ∫ ∫ , θεωρώντας [ ] x x 2 0 0 dt H(x) 9 f(t)dt 4x 8 , x 0,1 f (t) = × − − ∈ ∫ ∫ , έχουμε 1 1 2 0 0 k 1 H(0) 8 0, H(1) 9 f(x)dx dx 12 0 f (x) = − < = × − > ∫ ∫14444244443 διότι από γ) ( )2 12 3 e4 e 36 12e k 9k 12 0 e 2 e e −− < < ⇔ − > = > , οπότε από Θ.Bolzano υπάρχει ( )α 0,1∈ ώστε Η(α) 0= ⇔ α α2 0 0 dt 4α 8 9 f (t) f(t)dt + = ∫ ∫ Δέτσιος Παντελής – μαθηματικός