1ο
ΓΕΝΙΚΟ ΛΥΚΕΙΟ ΚΩ
ΔΙΑΓΩΝΙΣΜΑ 1ου
ΤΕΤΡΑΜΗΝΟΥ
ΣΤΟ ΜΑΘΗΜΑ ΤΗΣ ΦΥΣΙΚΗΣ A΄ ΛΥΚΕΙΟΥ
ΤΜΗΜΑ A…… - Κως 18/12/2014
ΕΠΩΝΥΜΟ ………………………………………………………ΟΝΟΜΑ………………………………
ΘΕΜΑ 1ο
Στις ερωτήσεις 1, και 2 να επιλέξετε την σωστή απάντηση:
1.1. Η μονάδα της δύναμης στο S.I. είναι:
α.
s
m
Kg1 β. 2
s
m
Kg1 γ. mKg1 ⋅ δ.
m
s
Kg1
2
(μονάδες 1)
1.2. Ένα σώμα επιταχύνεται ομαλά όταν η δύναμη που το επιταχύνει
είναι:
α. Σταθερή κατά μέτρο και κατεύθυνση.
β. Είναι μηδενική.
γ. Ανάλογη του διαστήματος που διανύει.
δ. Αντιστρόφως ανάλογη του διαστήματος που διανύει.
ε. H τιμή της μεγαλώνει με σταθερό ρυθμό.
(μονάδες 1)
1.3. Ένα σώμα κινείται ευθύγραμμα σε οριζόντιο δάπεδο και
επιταχύνεται για κάποιο χρονικό διάστημα. Μετά αρχίζει να
επιβραδύνεται.
Να χαρακτηρίσετε με το γράμμα (Σ) τις σωστές προτάσεις και με το
γράμμα (Λ) τις λανθασμένες.
α. Το σώμα αποκτά τη μέγιστη ταχύτητά του τη στιγμή που αρχίζει
να επιβραδύνεται.
β. Το σώμα δέχεται συνισταμένη δύναμη που είναι αρχικά ομόρροπη
της κίνησης και μετά είναι αντίρροπη της κίνησης.
γ. H συνισταμένη δύναμη που δέχεται το σώμα είναι μηδέν όταν
αποκτά τη μέγιστη ταχύτητά του.
δ. H συνισταμένη των δυνάμεων που δέχεται το σώμα είναι σταθερή.
(μονάδες 4)
1.4. Ποια σχέση εκφράζει τον 2o
νόμο του Νεύτωνα; Να εξηγήσετε τα
μεγέθη και να γράψετε τις μονάδες τους στο S.I.
(μονάδες 2)
ΘΕΜΑ 2ο
2.Α. Σε ένα σώμα, ασκούνται οι αντίρροπες δυνάμεις F1 = 40Ν και
F2 = 20Ν το σώμα αποκτά επιτάχυνση α = 0,3m/s2
. Ποια επιτάχυνση θα
έχει το σώμα όταν καταργηθεί η F2;
Σελίδα 1 από 5
Βαθμός:Α
2.Α.1. Επιλέξετε την σωστή απάντηση:
α. 2
s
m
2,0 β. 2
s
m
4,0 γ. 2
s
m
6,0
2.Α.2. Δικαιολόγηση την επιλογή σου.
(μονάδες 1+2)
2.Β. Όταν σε ένα σώμα μάζας m=5 Kg ασκείται δύναμη F=10 N κινείται
με σταθερή ταχύτητα 8 m/s. Ενώ κινείται, διπλασιάζουμε την δύναμη.
Τι ταχύτητα θα αποκτήσει μετά από 2 sec;
2.Β.1. Επιλέξετε την σωστή απάντηση:
α.
s
m
12 β.
s
m
18 γ.
s
m
24
2.Β.2. Δικαιολόγηση την επιλογή σου.
(μονάδες 1+2)
ΘΕΜΑ 3ο
3. Ένα αυτοκίνητο έχει μάζα m = 800kg και κινείται σ' έναν
ευθύγραμμο δρόμο με σταθερή ταχύτητα υο. Ξαφνικά ο οδηγός φρενάρει
αναπτύσσοντας με σταθερή δύναμη στα φρένα F = 2.000 N και
ακινητοποιεί το αυτοκίνητο μετά από διαδρομή s = 20m.
3.Α. Να βρείτε την επιβράδυνση του αυτοκινήτου.
3.Β. Να βρείτε την αρχική ταχύτητα υο του αυτοκινήτου.
3.Γ. Να υπολογίσετε τη χρονική διάρκεια της επιβραδυνόμενης
κίνησης.
(μονάδες 2+2+2)
ΚΑΛΗ ΕΠΙΤΥΧΙΑ
Σελίδα 2 από 5
φύλλο απαντήσεων
ΘΕΜΑ 1ο
1.1 β
1.2 α
1.3 α-Σ, β-Σ, γ-ΣΛ, δ-Λ
1.4 amF ⋅= F: δύναμη Ν, m: μάζα Kg, α: επιτάχυνση m/s2
.
ΘΕΜΑ 2ο
2.Α.1 (β)
2.Α.2
2
2
222
1
1
21
21
121
22
11
/4,0
3,0
40
303,0
40
1040
sma
aaam
am
F
FF
amF
amFF
amF
amF
=⇒=⇒=
−
⇒
⋅
⋅
=
−
⇒



⋅=
⋅=−
⇒



⋅=
⋅=
ολ
ολ
2.Β.1 (α)
2.Β.2 Αφού κινείται με σταθερή ταχύτητα θα υπάρχει άλλη μια δύναμη έστω Τ ίσου μέτρου με
την F και αντίθετης φοράς δηλαδή Τ=-30 Ν. Οπότε όταν διπλασιαστεί η δύναμη και γίνει 20 Ν, η
συνισταμένη δύναμη θα είναι:
Fολ=20-10=10 Ν και η επιτάχυνση που αποκτά:
2
m/s2
5
10
=⇒=⇒=⇒⋅= aa
m
F
aamF
μετά από 2 sec η ταχύτητα του θα γίνει: m/s12228 =⇒⋅+=⇒⋅+= υυυυ ο ta
ΘΕΜΑ 3ο
3.1.
2
m/s5,2
800
000.2
=⇒=⇒=⇒⋅= aa
m
F
aamF
3.2. – 3.3
tt
t
⋅=⇒⋅−=⇒



=
⋅−=
αυαυ
υ
αυυ
οο
ο
0
0
(1)
⇒
⋅
=⇒
⋅
=⇒⋅−⋅=⇒⋅−⋅⋅=⇒




⋅=
⋅−⋅=
a
x
t
t
xttaxtttax
ta
ttx
o
2
22
1
2
1
2
1 2
222
2
α
αα
υ
αυο
sec416
5,2
202
=⇒=⇒
⋅
=⇒ ttt
(1) m/sec1045,2 =⇒⋅= οο υυ
Σελίδα 3 από 5
1ο
ΓΕΝΙΚΟ ΛΥΚΕΙΟ ΚΩ
ΔΙΑΓΩΝΙΣΜΑ 1ου
ΤΕΤΡΑΜΗΝΟΥ
ΣΤΟ ΜΑΘΗΜΑ ΤΗΣ ΦΥΣΙΚΗΣ A΄ ΛΥΚΕΙΟΥ
ΤΜΗΜΑ A…… - Κως 18/12/2014
ΕΠΩΝΥΜΟ ………………………………………………………ΟΝΟΜΑ………………………………
ΘΕΜΑ 1ο
Στις ερωτήσεις 1, και 2 να επιλέξετε την σωστή απάντηση:
1.1. Η μονάδα της δύναμης στο S.I. είναι:
α. mKg ⋅1 β.
m
s
Kg
2
1 γ. 2
1
s
m
Kg δ.
s
m
Kg1
(μονάδες 1)
1.2. Ένα σώμα επιταχύνεται ομαλά όταν η δύναμη που το επιταχύνει
είναι:
α. H τιμή της μεγαλώνει με σταθερό ρυθμό.
β. Αντιστρόφως ανάλογη του διαστήματος που διανύει.
γ. Ανάλογη του διαστήματος που διανύει.
δ. Σταθερή κατά μέτρο και κατεύθυνση.
ε. Είναι μηδενική.
(μονάδες 1)
1.3. Ένα σώμα κινείται ευθύγραμμα σε οριζόντιο δάπεδο και
επιταχύνεται για κάποιο χρονικό διάστημα. Μετά αρχίζει να
επιβραδύνεται.
Να χαρακτηρίσετε με το γράμμα (Σ) τις σωστές προτάσεις και με το
γράμμα (Λ) τις λανθασμένες.
α. H συνισταμένη των δυνάμεων που δέχεται το σώμα είναι σταθερή.
β. Το σώμα δέχεται συνισταμένη δύναμη που είναι αρχικά ομόρροπη
της κίνησης και μετά είναι αντίρροπη της κίνησης.
γ. H συνισταμένη δύναμη που δέχεται το σώμα είναι μηδέν όταν
αποκτά τη μέγιστη ταχύτητά του.
δ. Το σώμα αποκτά τη μέγιστη ταχύτητά του τη στιγμή που αρχίζει
να επιβραδύνεται.
(μονάδες 4)
1.4. Ποια σχέση εκφράζει τον 2o
νόμο του Νεύτωνα; Να εξηγήσετε τα
μεγέθη και να γράψετε τις μονάδες τους στο S.I.
(μονάδες 2)
ΘΕΜΑ 2ο
2.Α. Σε ένα σώμα, ασκούνται οι αντίρροπες δυνάμεις F1 = 30Ν και
F2 = 20Ν το σώμα αποκτά επιτάχυνση α = 0,2m/s2
. Ποια επιτάχυνση θα
έχει το σώμα όταν καταργηθεί η F2;
Σελίδα 4 από 5
Βαθμός:Β
2.Α.1. Επιλέξετε την σωστή απάντηση:
α. 2
s
m
2,0 β. 2
s
m
4,0 γ. 2
s
m
6,0
2.Α.2. Δικαιολόγηση την επιλογή σου.
(μονάδες 1+2)
2.Β. Όταν σε ένα σώμα μάζας m=10 Kg ασκείται δύναμη F=30 N
κινείται με σταθερή ταχύτητα 15 m/s. Ενώ κινείται, διπλασιάζουμε
την δύναμη. Τι ταχύτητα θα αποκτήσει μετά από 3 sec;
2.Β.1. Επιλέξετε την σωστή απάντηση:
α.
s
m
18 β.
s
m
24 γ.
s
m
30
2.Β.2. Δικαιολόγηση την επιλογή σου.
(μονάδες 1+2)
ΘΕΜΑ 3ο
3. Ένα αυτοκίνητο έχει μάζα m = 1.200kg και κινείται σ' έναν
ευθύγραμμο δρόμο με σταθερή ταχύτητα υο. Ξαφνικά ο οδηγός φρενάρει
αναπτύσσοντας με σταθερή δύναμη στα φρένα F = 3.600 N και
ακινητοποιεί το αυτοκίνητο μετά από διαδρομή s = 54 m.
3.Α. Να βρείτε την επιβράδυνση του αυτοκινήτου.
3.Β. Να βρείτε την αρχική ταχύτητα υο του αυτοκινήτου.
3.Γ. Να υπολογίσετε τη χρονική διάρκεια της επιβραδυνόμενης
κίνησης.
(μονάδες 2+2+2)
Σελίδα 5 από 5
φύλλο απαντήσεων
ΘΕΜΑ 1ο
1.1 γ
1.2 δ
1.3 α-Λ, β-Σ, γ-ΣΛ, δ-Σ
1.4 amF ⋅= F: δύναμη Ν, m: μάζα Kg, α: επιτάχυνση m/s2
.
ΘΕΜΑ 2ο
2.Α.1 (γ)
2.Α.2
2
2
222
1
1
21
21
121
22
11
s/m6,0
2,0
30
102,0
30
2030
m
m
F
FF
mF
mFF
mF
mF
=α⇒
α
=⇒
α
=
−
⇒
α⋅
α⋅
=
−
⇒



α⋅=
α⋅=−
⇒



α⋅=
α⋅=
ολ
ολ
2.Β.1 (γ)
2.Β.2 Αφού κινείται με σταθερή ταχύτητα θα υπάρχει άλλη μια δύναμη έστω Τ ίσου μέτρου με
την F και αντίθετης φοράς δηλαδή Τ=-30 Ν. Οπότε όταν διπλασιαστεί η δύναμη και γίνει 60 Ν, η
συνισταμένη δύναμη θα είναι:
Fολ=60-30=30 Ν και η επιτάχυνση που αποκτά:
2
m/s3
10
30
m
F
mF =α⇒=α⇒=α⇒α⋅=
μετά από 2 sec η ταχύτητα του θα γίνει: m/s243315ta =υ⇒⋅+=υ⇒⋅+υ=υ ο
ΘΕΜΑ 3ο
3.1.
2
m/s3
1.200
600.3
m
F
mF =α⇒=α⇒=α⇒α⋅=
3.2. – 3.3
tt
t
⋅=⇒⋅−=⇒



=
⋅−=
αυαυ
υ
αυυ
οο
ο
0
0 (1)
⇒
⋅
=⇒
⋅
=⇒⋅−⋅=⇒⋅−⋅⋅=⇒




⋅=
⋅−⋅=
a
x
t
t
xttaxtttax
ta
ttx
o
2
22
1
2
1
2
1 2
222
2
α
αα
υ
αυο
sec6t36t
3
542
t =⇒=⇒
⋅
=⇒
(1) m/sec1863 =υ⇒⋅=υ οο
Σελίδα 6 από 5
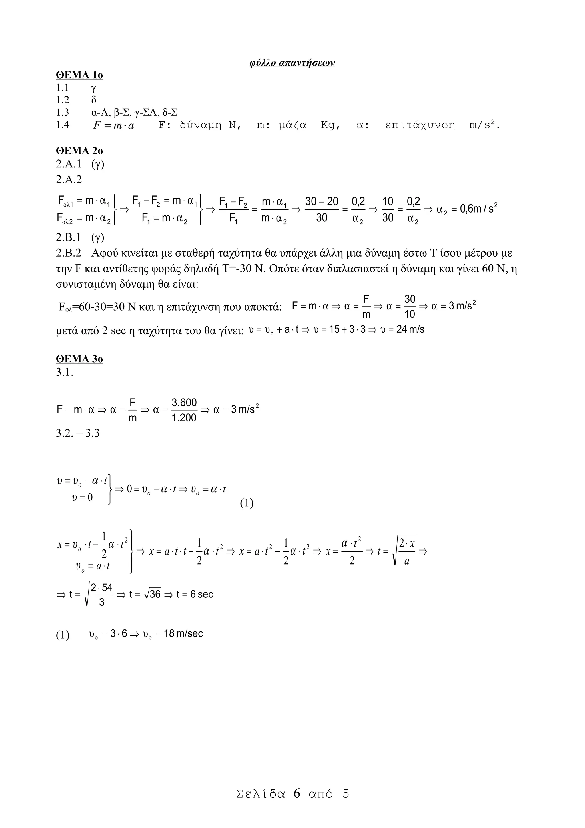
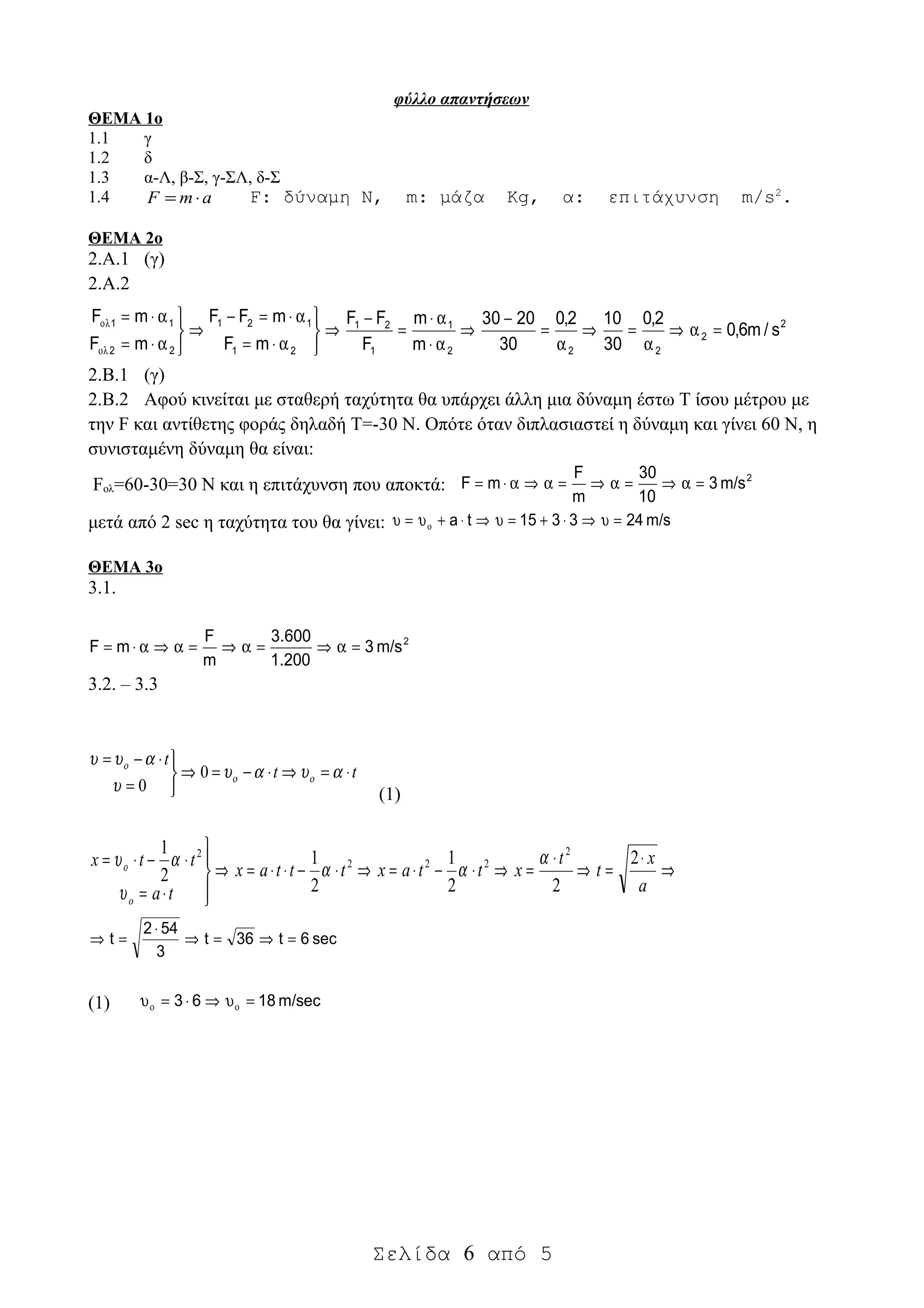
φύλλο απαντήσεων
ΘΕΜΑ 1ο
1.1 γ
1.2 δ
1.3 α-Λ, β-Σ, γ-ΣΛ, δ-Σ
1.4 amF ⋅= F: δύναμη Ν, m: μάζα Kg, α: επιτάχυνση m/s2
.
ΘΕΜΑ 2ο
2.Α.1 (γ)
2.Α.2
2
2
222
1
1
21
21
121
22
11
s/m6,0
2,0
30
102,0
30
2030
m
m
F
FF
mF
mFF
mF
mF
=α⇒
α
=⇒
α
=
−
⇒
α⋅
α⋅
=
−
⇒



α⋅=
α⋅=−
⇒



α⋅=
α⋅=
ολ
ολ
2.Β.1 (γ)
2.Β.2 Αφού κινείται με σταθερή ταχύτητα θα υπάρχει άλλη μια δύναμη έστω Τ ίσου μέτρου με
την F και αντίθετης φοράς δηλαδή Τ=-30 Ν. Οπότε όταν διπλασιαστεί η δύναμη και γίνει 60 Ν, η
συνισταμένη δύναμη θα είναι:
Fολ=60-30=30 Ν και η επιτάχυνση που αποκτά:
2
m/s3
10
30
m
F
mF =α⇒=α⇒=α⇒α⋅=
μετά από 2 sec η ταχύτητα του θα γίνει: m/s243315ta =υ⇒⋅+=υ⇒⋅+υ=υ ο
ΘΕΜΑ 3ο
3.1.
2
m/s3
1.200
600.3
m
F
mF =α⇒=α⇒=α⇒α⋅=
3.2. – 3.3
tt
t
⋅=⇒⋅−=⇒



=
⋅−=
αυαυ
υ
αυυ
οο
ο
0
0 (1)
⇒
⋅
=⇒
⋅
=⇒⋅−⋅=⇒⋅−⋅⋅=⇒




⋅=
⋅−⋅=
a
x
t
t
xttaxtttax
ta
ttx
o
2
22
1
2
1
2
1 2
222
2
α
αα
υ
αυο
sec6t36t
3
542
t =⇒=⇒
⋅
=⇒
(1) m/sec1863 =υ⇒⋅=υ οο
Σελίδα 6 από 5

διαγώνισμα Α Λυκείου 18-12-14

  • 1.
    1ο ΓΕΝΙΚΟ ΛΥΚΕΙΟ ΚΩ ΔΙΑΓΩΝΙΣΜΑ1ου ΤΕΤΡΑΜΗΝΟΥ ΣΤΟ ΜΑΘΗΜΑ ΤΗΣ ΦΥΣΙΚΗΣ A΄ ΛΥΚΕΙΟΥ ΤΜΗΜΑ A…… - Κως 18/12/2014 ΕΠΩΝΥΜΟ ………………………………………………………ΟΝΟΜΑ……………………………… ΘΕΜΑ 1ο Στις ερωτήσεις 1, και 2 να επιλέξετε την σωστή απάντηση: 1.1. Η μονάδα της δύναμης στο S.I. είναι: α. s m Kg1 β. 2 s m Kg1 γ. mKg1 ⋅ δ. m s Kg1 2 (μονάδες 1) 1.2. Ένα σώμα επιταχύνεται ομαλά όταν η δύναμη που το επιταχύνει είναι: α. Σταθερή κατά μέτρο και κατεύθυνση. β. Είναι μηδενική. γ. Ανάλογη του διαστήματος που διανύει. δ. Αντιστρόφως ανάλογη του διαστήματος που διανύει. ε. H τιμή της μεγαλώνει με σταθερό ρυθμό. (μονάδες 1) 1.3. Ένα σώμα κινείται ευθύγραμμα σε οριζόντιο δάπεδο και επιταχύνεται για κάποιο χρονικό διάστημα. Μετά αρχίζει να επιβραδύνεται. Να χαρακτηρίσετε με το γράμμα (Σ) τις σωστές προτάσεις και με το γράμμα (Λ) τις λανθασμένες. α. Το σώμα αποκτά τη μέγιστη ταχύτητά του τη στιγμή που αρχίζει να επιβραδύνεται. β. Το σώμα δέχεται συνισταμένη δύναμη που είναι αρχικά ομόρροπη της κίνησης και μετά είναι αντίρροπη της κίνησης. γ. H συνισταμένη δύναμη που δέχεται το σώμα είναι μηδέν όταν αποκτά τη μέγιστη ταχύτητά του. δ. H συνισταμένη των δυνάμεων που δέχεται το σώμα είναι σταθερή. (μονάδες 4) 1.4. Ποια σχέση εκφράζει τον 2o νόμο του Νεύτωνα; Να εξηγήσετε τα μεγέθη και να γράψετε τις μονάδες τους στο S.I. (μονάδες 2) ΘΕΜΑ 2ο 2.Α. Σε ένα σώμα, ασκούνται οι αντίρροπες δυνάμεις F1 = 40Ν και F2 = 20Ν το σώμα αποκτά επιτάχυνση α = 0,3m/s2 . Ποια επιτάχυνση θα έχει το σώμα όταν καταργηθεί η F2; Σελίδα 1 από 5 Βαθμός:Α
  • 2.
    2.Α.1. Επιλέξετε τηνσωστή απάντηση: α. 2 s m 2,0 β. 2 s m 4,0 γ. 2 s m 6,0 2.Α.2. Δικαιολόγηση την επιλογή σου. (μονάδες 1+2) 2.Β. Όταν σε ένα σώμα μάζας m=5 Kg ασκείται δύναμη F=10 N κινείται με σταθερή ταχύτητα 8 m/s. Ενώ κινείται, διπλασιάζουμε την δύναμη. Τι ταχύτητα θα αποκτήσει μετά από 2 sec; 2.Β.1. Επιλέξετε την σωστή απάντηση: α. s m 12 β. s m 18 γ. s m 24 2.Β.2. Δικαιολόγηση την επιλογή σου. (μονάδες 1+2) ΘΕΜΑ 3ο 3. Ένα αυτοκίνητο έχει μάζα m = 800kg και κινείται σ' έναν ευθύγραμμο δρόμο με σταθερή ταχύτητα υο. Ξαφνικά ο οδηγός φρενάρει αναπτύσσοντας με σταθερή δύναμη στα φρένα F = 2.000 N και ακινητοποιεί το αυτοκίνητο μετά από διαδρομή s = 20m. 3.Α. Να βρείτε την επιβράδυνση του αυτοκινήτου. 3.Β. Να βρείτε την αρχική ταχύτητα υο του αυτοκινήτου. 3.Γ. Να υπολογίσετε τη χρονική διάρκεια της επιβραδυνόμενης κίνησης. (μονάδες 2+2+2) ΚΑΛΗ ΕΠΙΤΥΧΙΑ Σελίδα 2 από 5
  • 3.
    φύλλο απαντήσεων ΘΕΜΑ 1ο 1.1β 1.2 α 1.3 α-Σ, β-Σ, γ-ΣΛ, δ-Λ 1.4 amF ⋅= F: δύναμη Ν, m: μάζα Kg, α: επιτάχυνση m/s2 . ΘΕΜΑ 2ο 2.Α.1 (β) 2.Α.2 2 2 222 1 1 21 21 121 22 11 /4,0 3,0 40 303,0 40 1040 sma aaam am F FF amF amFF amF amF =⇒=⇒= − ⇒ ⋅ ⋅ = − ⇒    ⋅= ⋅=− ⇒    ⋅= ⋅= ολ ολ 2.Β.1 (α) 2.Β.2 Αφού κινείται με σταθερή ταχύτητα θα υπάρχει άλλη μια δύναμη έστω Τ ίσου μέτρου με την F και αντίθετης φοράς δηλαδή Τ=-30 Ν. Οπότε όταν διπλασιαστεί η δύναμη και γίνει 20 Ν, η συνισταμένη δύναμη θα είναι: Fολ=20-10=10 Ν και η επιτάχυνση που αποκτά: 2 m/s2 5 10 =⇒=⇒=⇒⋅= aa m F aamF μετά από 2 sec η ταχύτητα του θα γίνει: m/s12228 =⇒⋅+=⇒⋅+= υυυυ ο ta ΘΕΜΑ 3ο 3.1. 2 m/s5,2 800 000.2 =⇒=⇒=⇒⋅= aa m F aamF 3.2. – 3.3 tt t ⋅=⇒⋅−=⇒    = ⋅−= αυαυ υ αυυ οο ο 0 0 (1) ⇒ ⋅ =⇒ ⋅ =⇒⋅−⋅=⇒⋅−⋅⋅=⇒     ⋅= ⋅−⋅= a x t t xttaxtttax ta ttx o 2 22 1 2 1 2 1 2 222 2 α αα υ αυο sec416 5,2 202 =⇒=⇒ ⋅ =⇒ ttt (1) m/sec1045,2 =⇒⋅= οο υυ Σελίδα 3 από 5
  • 4.
    1ο ΓΕΝΙΚΟ ΛΥΚΕΙΟ ΚΩ ΔΙΑΓΩΝΙΣΜΑ1ου ΤΕΤΡΑΜΗΝΟΥ ΣΤΟ ΜΑΘΗΜΑ ΤΗΣ ΦΥΣΙΚΗΣ A΄ ΛΥΚΕΙΟΥ ΤΜΗΜΑ A…… - Κως 18/12/2014 ΕΠΩΝΥΜΟ ………………………………………………………ΟΝΟΜΑ……………………………… ΘΕΜΑ 1ο Στις ερωτήσεις 1, και 2 να επιλέξετε την σωστή απάντηση: 1.1. Η μονάδα της δύναμης στο S.I. είναι: α. mKg ⋅1 β. m s Kg 2 1 γ. 2 1 s m Kg δ. s m Kg1 (μονάδες 1) 1.2. Ένα σώμα επιταχύνεται ομαλά όταν η δύναμη που το επιταχύνει είναι: α. H τιμή της μεγαλώνει με σταθερό ρυθμό. β. Αντιστρόφως ανάλογη του διαστήματος που διανύει. γ. Ανάλογη του διαστήματος που διανύει. δ. Σταθερή κατά μέτρο και κατεύθυνση. ε. Είναι μηδενική. (μονάδες 1) 1.3. Ένα σώμα κινείται ευθύγραμμα σε οριζόντιο δάπεδο και επιταχύνεται για κάποιο χρονικό διάστημα. Μετά αρχίζει να επιβραδύνεται. Να χαρακτηρίσετε με το γράμμα (Σ) τις σωστές προτάσεις και με το γράμμα (Λ) τις λανθασμένες. α. H συνισταμένη των δυνάμεων που δέχεται το σώμα είναι σταθερή. β. Το σώμα δέχεται συνισταμένη δύναμη που είναι αρχικά ομόρροπη της κίνησης και μετά είναι αντίρροπη της κίνησης. γ. H συνισταμένη δύναμη που δέχεται το σώμα είναι μηδέν όταν αποκτά τη μέγιστη ταχύτητά του. δ. Το σώμα αποκτά τη μέγιστη ταχύτητά του τη στιγμή που αρχίζει να επιβραδύνεται. (μονάδες 4) 1.4. Ποια σχέση εκφράζει τον 2o νόμο του Νεύτωνα; Να εξηγήσετε τα μεγέθη και να γράψετε τις μονάδες τους στο S.I. (μονάδες 2) ΘΕΜΑ 2ο 2.Α. Σε ένα σώμα, ασκούνται οι αντίρροπες δυνάμεις F1 = 30Ν και F2 = 20Ν το σώμα αποκτά επιτάχυνση α = 0,2m/s2 . Ποια επιτάχυνση θα έχει το σώμα όταν καταργηθεί η F2; Σελίδα 4 από 5 Βαθμός:Β
  • 5.
    2.Α.1. Επιλέξετε τηνσωστή απάντηση: α. 2 s m 2,0 β. 2 s m 4,0 γ. 2 s m 6,0 2.Α.2. Δικαιολόγηση την επιλογή σου. (μονάδες 1+2) 2.Β. Όταν σε ένα σώμα μάζας m=10 Kg ασκείται δύναμη F=30 N κινείται με σταθερή ταχύτητα 15 m/s. Ενώ κινείται, διπλασιάζουμε την δύναμη. Τι ταχύτητα θα αποκτήσει μετά από 3 sec; 2.Β.1. Επιλέξετε την σωστή απάντηση: α. s m 18 β. s m 24 γ. s m 30 2.Β.2. Δικαιολόγηση την επιλογή σου. (μονάδες 1+2) ΘΕΜΑ 3ο 3. Ένα αυτοκίνητο έχει μάζα m = 1.200kg και κινείται σ' έναν ευθύγραμμο δρόμο με σταθερή ταχύτητα υο. Ξαφνικά ο οδηγός φρενάρει αναπτύσσοντας με σταθερή δύναμη στα φρένα F = 3.600 N και ακινητοποιεί το αυτοκίνητο μετά από διαδρομή s = 54 m. 3.Α. Να βρείτε την επιβράδυνση του αυτοκινήτου. 3.Β. Να βρείτε την αρχική ταχύτητα υο του αυτοκινήτου. 3.Γ. Να υπολογίσετε τη χρονική διάρκεια της επιβραδυνόμενης κίνησης. (μονάδες 2+2+2) Σελίδα 5 από 5
  • 6.
    φύλλο απαντήσεων ΘΕΜΑ 1ο 1.1γ 1.2 δ 1.3 α-Λ, β-Σ, γ-ΣΛ, δ-Σ 1.4 amF ⋅= F: δύναμη Ν, m: μάζα Kg, α: επιτάχυνση m/s2 . ΘΕΜΑ 2ο 2.Α.1 (γ) 2.Α.2 2 2 222 1 1 21 21 121 22 11 s/m6,0 2,0 30 102,0 30 2030 m m F FF mF mFF mF mF =α⇒ α =⇒ α = − ⇒ α⋅ α⋅ = − ⇒    α⋅= α⋅=− ⇒    α⋅= α⋅= ολ ολ 2.Β.1 (γ) 2.Β.2 Αφού κινείται με σταθερή ταχύτητα θα υπάρχει άλλη μια δύναμη έστω Τ ίσου μέτρου με την F και αντίθετης φοράς δηλαδή Τ=-30 Ν. Οπότε όταν διπλασιαστεί η δύναμη και γίνει 60 Ν, η συνισταμένη δύναμη θα είναι: Fολ=60-30=30 Ν και η επιτάχυνση που αποκτά: 2 m/s3 10 30 m F mF =α⇒=α⇒=α⇒α⋅= μετά από 2 sec η ταχύτητα του θα γίνει: m/s243315ta =υ⇒⋅+=υ⇒⋅+υ=υ ο ΘΕΜΑ 3ο 3.1. 2 m/s3 1.200 600.3 m F mF =α⇒=α⇒=α⇒α⋅= 3.2. – 3.3 tt t ⋅=⇒⋅−=⇒    = ⋅−= αυαυ υ αυυ οο ο 0 0 (1) ⇒ ⋅ =⇒ ⋅ =⇒⋅−⋅=⇒⋅−⋅⋅=⇒     ⋅= ⋅−⋅= a x t t xttaxtttax ta ttx o 2 22 1 2 1 2 1 2 222 2 α αα υ αυο sec6t36t 3 542 t =⇒=⇒ ⋅ =⇒ (1) m/sec1863 =υ⇒⋅=υ οο Σελίδα 6 από 5
  • 7.
    φύλλο απαντήσεων ΘΕΜΑ 1ο 1.1γ 1.2 δ 1.3 α-Λ, β-Σ, γ-ΣΛ, δ-Σ 1.4 amF ⋅= F: δύναμη Ν, m: μάζα Kg, α: επιτάχυνση m/s2 . ΘΕΜΑ 2ο 2.Α.1 (γ) 2.Α.2 2 2 222 1 1 21 21 121 22 11 s/m6,0 2,0 30 102,0 30 2030 m m F FF mF mFF mF mF =α⇒ α =⇒ α = − ⇒ α⋅ α⋅ = − ⇒    α⋅= α⋅=− ⇒    α⋅= α⋅= ολ ολ 2.Β.1 (γ) 2.Β.2 Αφού κινείται με σταθερή ταχύτητα θα υπάρχει άλλη μια δύναμη έστω Τ ίσου μέτρου με την F και αντίθετης φοράς δηλαδή Τ=-30 Ν. Οπότε όταν διπλασιαστεί η δύναμη και γίνει 60 Ν, η συνισταμένη δύναμη θα είναι: Fολ=60-30=30 Ν και η επιτάχυνση που αποκτά: 2 m/s3 10 30 m F mF =α⇒=α⇒=α⇒α⋅= μετά από 2 sec η ταχύτητα του θα γίνει: m/s243315ta =υ⇒⋅+=υ⇒⋅+υ=υ ο ΘΕΜΑ 3ο 3.1. 2 m/s3 1.200 600.3 m F mF =α⇒=α⇒=α⇒α⋅= 3.2. – 3.3 tt t ⋅=⇒⋅−=⇒    = ⋅−= αυαυ υ αυυ οο ο 0 0 (1) ⇒ ⋅ =⇒ ⋅ =⇒⋅−⋅=⇒⋅−⋅⋅=⇒     ⋅= ⋅−⋅= a x t t xttaxtttax ta ttx o 2 22 1 2 1 2 1 2 222 2 α αα υ αυο sec6t36t 3 542 t =⇒=⇒ ⋅ =⇒ (1) m/sec1863 =υ⇒⋅=υ οο Σελίδα 6 από 5