Rectangular Hyperbola
Rectangular Hyperbola
A hyperbola whose asymptotes are perpendicular to each other
Rectangular Hyperbola
A hyperbola whose asymptotes are perpendicular to each other
      b b
           1
      a a
Rectangular Hyperbola
A hyperbola whose asymptotes are perpendicular to each other
      b b
            1
      a a
         b2  a 2
          ba
Rectangular Hyperbola
   A hyperbola whose asymptotes are perpendicular to each other
        b b
                 1
         a a
              b2  a 2
               ba
 hyperbola has the equation;
          x2 y2
           2
              2 1
          a a
          x2  y2  a2
Rectangular Hyperbola
   A hyperbola whose asymptotes are perpendicular to each other
        b b
                 1
        a a
              b2  a 2
               ba
 hyperbola has the equation;         a 2 e 2  1  a 2
         x2 y2
           2
              2 1
         a a
          x2  y2  a2
Rectangular Hyperbola
   A hyperbola whose asymptotes are perpendicular to each other
        b b
                 1
        a a
              b2  a 2
               ba
 hyperbola has the equation;         a 2 e 2  1  a 2
         x2 y2                              e2  1  1
           2
              2 1
         a a
                                               e2  2
          x2  y2  a2
                                                e 2
Rectangular Hyperbola
   A hyperbola whose asymptotes are perpendicular to each other
        b b
                 1
        a a
              b2  a 2
               ba
 hyperbola has the equation;         a 2 e 2  1  a 2
         x2 y2                              e2  1  1
           2
              2 1
         a a
                                               e2  2
          x2  y2  a2
                                                e 2
                                       eccentricity is 2
y       Y
    P  x, y 

                 x


      X
y       Y
                     In order to make the
    P  x, y        asymptotes the coordinate
                     axes we need to rotate the
                 x   curve 45 degrees
                     anticlockwise.
      X
y               Y
                                                   In order to make the
                           P  x, y               asymptotes the coordinate
                                                   axes we need to rotate the
                                            x      curve 45 degrees
                                                   anticlockwise.
                               X
i.e. P x, y   x  iy is multiplied by cis 45
y               Y
                                                   In order to make the
                           P  x, y               asymptotes the coordinate
                                                   axes we need to rotate the
                                            x      curve 45 degrees
                                                   anticlockwise.
                                X
i.e. P x, y   x  iy is multiplied by cis 45
  x  iy cos 45  i sin 45 
    x  iy 
                1       1 
                  i      
               2        2
y               Y
                                                   In order to make the
                           P  x, y               asymptotes the coordinate
                                                   axes we need to rotate the
                                            x      curve 45 degrees
                                                   anticlockwise.
                                X
i.e. P x, y   x  iy is multiplied by cis 45
  x  iy cos 45  i sin 45 
    x  iy 
                  1        1 
                     i      
                2           2
       1
           x  iy 1  i 
        2
       1
           x  ix  iy  y 
        2
      x y x y
                      i
         2          2
y              Y
                                               In order to make the
                          P  x, y            asymptotes the coordinate
                                               axes we need to rotate the
                                           x   curve 45 degrees
                                               anticlockwise.
                                X
i.e. P x, y   x  iy is multiplied by cis 45
  x  iy cos 45  i sin 45 
                1 i 1                         x y             x y
    x  iy                         X                  Y
                2           2                    2                2
       1
           x  iy 1  i 
        2
       1
           x  ix  iy  y 
        2
      x y x y
                      i
         2          2
y              Y
                                           In order to make the
                        P  x, y          asymptotes the coordinate
                                           axes we need to rotate the
                                       x   curve 45 degrees
                                           anticlockwise.
                                X
i.e. P x, y   x  iy is multiplied by cis 45
  x  iy cos 45  i sin 45 
                1 i 1                         x y            x y
    x  iy                         X                   Y
                2           2                    2               2
       1                                               x2  y2
           x  iy 1  i                      XY 
        2                                                 2
       1
           x  ix  iy  y 
        2
      x y x y
                      i
         2          2
y              Y
                                           In order to make the
                        P  x, y          asymptotes the coordinate
                                           axes we need to rotate the
                                       x   curve 45 degrees
                                           anticlockwise.
                                X
i.e. P x, y   x  iy is multiplied by cis 45
  x  iy cos 45  i sin 45 
                1 i 1                         x y            x y
    x  iy                         X                   Y
                2           2                    2               2
       1                                               x2  y2
           x  iy 1  i                      XY 
        2                                                 2
       1                                               a2
           x  ix  iy  y                     XY 
        2                                              2
      x y x y
                      i
         2          2
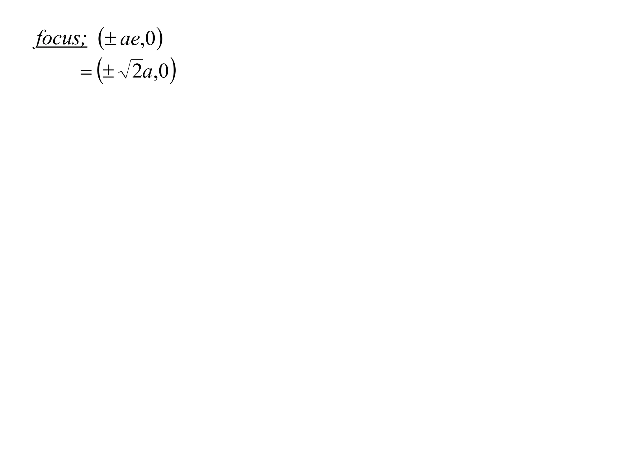
focus;  ae,0 
       2a,0 
focus;  ae,0 
        2a,0 

     1  1 i
  2a        
     2    2 
 a  ai
focus;  ae,0 
         2a,0 

     1  1 i
  2a            
     2      2 
 a  ai
  focus a, a 
a
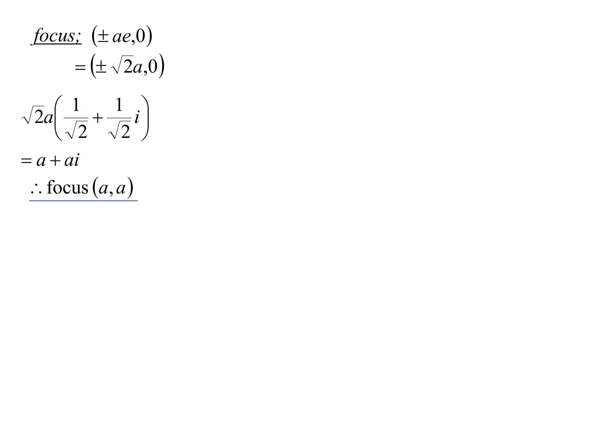
 focus;  ae,0     directrix;   x
                                      e
         2a,0                       a
                                  x
                                         2
     1  1 i
  2a            
     2      2 
 a  ai
  focus a, a 
a
 focus;  ae,0     directrix;   x
                                         e
         2a,0                          a
                                  x
                                            2
     1  1 i
  2a                  directrices are || to y axis
     2      2 
                        when rotated || to y   x
 a  ai
  focus a, a 
a
 focus;  ae,0     directrix;   x
                                         e
         2a,0                          a
                                  x
                                            2
     1  1 i
  2a                  directrices are || to y axis
     2      2 
                        when rotated || to y   x
 a  ai
                       thus in form x  y  k  0
  focus a, a 
a
 focus;  ae,0       directrix;   x
                                           e
         2a,0                            a
                                    x
                                              2
     1  1 i
  2a                    directrices are || to y axis
     2      2 
                          when rotated || to y   x
 a  ai
                          thus in form x  y  k  0
  focus a, a                                          2a
                     Now distance between directrices is
                                                          2
a
 focus;  ae,0         directrix;   x
                                             e
         2a,0                              a
                                      x
                                                2
     1  1 i
  2a                      directrices are || to y axis
     2      2 
                             when rotated || to y   x
 a  ai
                             thus in form x  y  k  0
  focus a, a                                             2a
                      Now distance between directrices is
                                                              2
                                                            a
                      distance from origin to directrix is
                                                             2
a
 focus;  ae,0         directrix;   x
                                             e
         2a,0                              a
                                      x
                                                2
     1  1 i
  2a                      directrices are || to y axis
     2      2 
                             when rotated || to y   x
 a  ai
                             thus in form x  y  k  0
  focus a, a                                             2a
                      Now distance between directrices is
                                                              2
                                                            a
                      distance from origin to directrix is
                                                             2
                                   00k        a
                                             
                                        2        2
a
 focus;  ae,0         directrix;   x
                                             e
         2a,0                              a
                                      x
                                                2
     1  1 i
  2a                      directrices are || to y axis
     2      2 
                             when rotated || to y   x
 a  ai
                             thus in form x  y  k  0
  focus a, a                                             2a
                      Now distance between directrices is
                                                              2
                                                            a
                      distance from origin to directrix is
                                                             2
                                   00k        a
                                             
                                        2        2
                                       k a
                                        k  a
a
 focus;  ae,0         directrix;   x
                                             e
         2a,0                              a
                                      x
                                                2
     1  1 i
  2a                      directrices are || to y axis
     2      2 
                             when rotated || to y   x
 a  ai
                             thus in form x  y  k  0
  focus a, a                                             2a
                      Now distance between directrices is
                                                              2
                                                            a
                      distance from origin to directrix is
                                                             2
                                   00k        a
                                             
                                        2        2
                                       k a
                                       k  a
                            directrices are x  y   a
The rectangular hyperbola with x and y axes as aymptotes,
has the equation;
                                1 2
                            xy  a
                                2
 where;
          foci :  a, a 

         directrices : x  y   a
         eccentricity  2
The rectangular hyperbola with x and y axes as aymptotes,
has the equation;
                                1 2
                            xy  a
                                2
 where;
          foci :  a, a 

         directrices : x  y   a
         eccentricity  2

Parametric Coordinates of xy  c 2
The rectangular hyperbola with x and y axes as aymptotes,
has the equation;
                                1 2
                            xy  a
                                2
 where;
          foci :  a, a 

         directrices : x  y   a
         eccentricity  2

Parametric Coordinates of xy  c 2
                                          c
                    x  ct           y
                                          t
The rectangular hyperbola with x and y axes as aymptotes,
has the equation;
                                1 2
                            xy  a
                                2
where;
          foci :  a, a 

         directrices : x  y   a
         eccentricity  2

Parametric Coordinates of xy  c 2
                                          c
                    x  ct           y
                                          t

  Tangent: x  t 2 y  2ct
The rectangular hyperbola with x and y axes as aymptotes,
has the equation;
                                1 2
                            xy  a
                                2
where;
          foci :  a, a 

         directrices : x  y   a
         eccentricity  2

Parametric Coordinates of xy  c 2
                                           c
                    x  ct            y
                                           t

  Tangent: x  t 2 y  2ct           Normal: t 3 x  ty  ct 4  1
e.g. (i) (1991)
                  The hyperbola H is xy= 4
a) Sketch H showing where H intersects the axis of symmetry.
e.g. (i) (1991)
                  The hyperbola H is xy= 4
a) Sketch H showing where H intersects the axis of symmetry.
            y          y=x



                             x
e.g. (i) (1991)
                  The hyperbola H is xy= 4
a) Sketch H showing where H intersects the axis of symmetry.
            y          y=x
                                             xy  4
                      2,2
                                             x2  4
                              x
    2,2                                   x  2
e.g. (i) (1991)
                  The hyperbola H is xy= 4
a) Sketch H showing where H intersects the axis of symmetry.
              y               y=x
                                              xy  4
                      2,2
                                              x2  4
                              x
    2,2                                    x  2

                              2t , 2  is x  t 2 y  4t
b) Show that the tangent at P        
                                   t
e.g. (i) (1991)
                  The hyperbola H is xy= 4
a) Sketch H showing where H intersects the axis of symmetry.
              y               y=x
                                              xy  4
                      2,2
                                              x2  4
                              x
    2,2                                    x  2

                              2t , 2  is x  t 2 y  4t
b) Show that the tangent at P        
                                   t
      4
   y
      x
   dy    4
       2
   dx    x
e.g. (i) (1991)
                  The hyperbola H is xy= 4
a) Sketch H showing where H intersects the axis of symmetry.
              y               y=x
                                              xy  4
                      2,2
                                              x2  4
                              x
    2,2                                    x  2

                              2t , 2  is x  t 2 y  4t
b) Show that the tangent at P        
                                   t
      4                   dy          4
   y        when x  2t ,  
      x                   dx        2t 2
   dy    4
       2                      1
                               2
   dx    x                       t
e.g. (i) (1991)
                  The hyperbola H is xy= 4
a) Sketch H showing where H intersects the axis of symmetry.
              y               y=x
                                             xy  4
                      2,2
                                             x2  4
                              x
    2,2                                   x  2

                              2t , 2  is x  t 2 y  4t
b) Show that the tangent at P        
                                   t
      4                   dy          4                 2    1
   y        when x  2t ,                         y    2  x  2t 
      x                   dx        2t 2
                                                        t   t
   dy    4
       2                      1
                               2
   dx    x                       t
e.g. (i) (1991)
                  The hyperbola H is xy= 4
a) Sketch H showing where H intersects the axis of symmetry.
              y               y=x
                                              xy  4
                      2,2
                                              x2  4
                              x
    2,2                                    x  2

                              2t , 2  is x  t 2 y  4t
b) Show that the tangent at P        
                                   t
      4                   dy          4                    2      1
   y        when x  2t ,                          y    2  x  2t 
      x                   dx        2t 2
                                                           t     t
   dy    4                      1                t 2 y  2t   x  2t
       2                     2
   dx    x                       t                  x  t 2 y  4t
 2 s, 2 
c) s  0, s  t , show that the tangents at P and Q
          2    2
                                                            
                                                         s

   intersect at M  4 st , 4 
                              
                    st st
 2 s, 2 
c) s  0, s  t , show that the tangents at P and Q
          2     2
                                                            
                                                         s

   intersect at M  4 st , 4 
                              
                    st st
  P : x  t 2 y  4t
  Q : x  s 2 y  4s
 2 s, 2 
c) s  0, s  t , show that the tangents at P and Q
                2    2
                                                            
                                                         s

   intersect at M  4 st , 4 
                              
                    st st
  P : x  t 2 y  4t
  Q : x  s 2 y  4s
   t   2
             s 2 y  4t  4 s
 2 s, 2 
c) s  0, s  t , show that the tangents at P and Q
                  2     2
                                                            
                                                         s

   intersect at M  4 st , 4 
                              
                    st st
    P : x  t 2 y  4t
   Q : x  s 2 y  4s
     t   2
               s 2 y  4t  4 s
t  s t  s  y  4t  s 
                          4
                      y
                         st
 2 s, 2 
c) s  0, s  t , show that the tangents at P and Q
                  2     2
                                                            
                                                         s

   intersect at M  4 st , 4 
                              
                    st st
    P : x  t 2 y  4t                     4t 2
                                        x       4t
   Q : x  s 2 y  4s                      st
     t   2
               s 2 y  4t  4 s
t  s t  s  y  4t  s 
                          4
                      y
                         st
 2 s, 2 
c) s  0, s  t , show that the tangents at P and Q
                 2     2
                                                            
                                                         s

   intersect at M  4 st , 4 
                              
                    st st
    P : x  t 2 y  4t                     4t 2
                                        x       4t
   Q : x  s 2 y  4s                      st
     t   2
               s y  4t  4 s
                 2
                                      x
                                         4 st  4t 2  4t 2
                                               st
t  s t  s  y  4t  s            4 st
                         4             
                     y                  st
                        st
 2 s, 2 
c) s  0, s  t , show that the tangents at P and Q        
                 2     2

                                                         s

   intersect at M  4 st , 4 
                              
                    st st
    P : x  t 2 y  4t                           4t 2
                                              x       4t
   Q : x  s 2 y  4s                            st
     t   2
               s y  4t  4 s
                 2
                                             x
                                                4 st  4t 2  4t 2
                                                      st
t  s t  s  y  4t  s                   4 st
                         4                    
                     y                         st
                        st

                                      4 st , 4 
                               M is           
                                      st st
1
d) Suppose that s     , show that the locus of M is a straight
                     t
  line through the origin, but not including the origin.
1
d) Suppose that s     , show that the locus of M is a straight
                     t
  line through the origin, but not including the origin.
          4 st                     4
       x                      y
          st                     st
1
d) Suppose that s     , show that the locus of M is a straight
                     t
  line through the origin, but not including the origin.
           4 st                    4
       x                      y
           st                    st
        1
     s
         t
    st  1
1
d) Suppose that s     , show that the locus of M is a straight
                     t
  line through the origin, but not including the origin.
           4 st                    4
       x                      y
           st                    st
        1
     s
         t
    st  1
       4
    x
       st
1
d) Suppose that s     , show that the locus of M is a straight
                     t
  line through the origin, but not including the origin.
           4 st                    4
       x                      y
           st                    st
        1
     s
         t
    st  1
       4                      y
                                   4
    x
       st                        st
                                 x
1
d) Suppose that s     , show that the locus of M is a straight
                     t
  line through the origin, but not including the origin.
           4 st                      4
       x                        y
           st                      st
        1
     s
         t
    st  1
       4                        y
                                     4
    x
       st                          st
                                   x


                       y  x
1
d) Suppose that s     , show that the locus of M is a straight
                     t
  line through the origin, but not including the origin.
           4 st                      4
       x                        y
           st                      st
        1
     s
         t
    st  1
       4                        y
                                     4
    x
       st                          st
                                   x

                                     4
                       y  x           0, thus M  0,0 
                                    st
1
d) Suppose that s     , show that the locus of M is a straight
                     t
  line through the origin, but not including the origin.
           4 st                    4
       x                      y
           st                    st
        1
     s
         t
    st  1
       4                      y
                                   4
    x
       st                        st
                                 x

                                     4
                   y  x               0, thus M  0,0 
                                   st
           locus of M is y   x, excluding 0,0 
(ii) Show that PS  PS   2a


                                    P  x, y 

                    S          S                x
(ii) Show that PS  PS   2a
                         y
                                    P  x, y 

                    S          S                x



 By definition of an ellipse;
(ii) Show that PS  PS   2a
                         y
                                    P  x, y 
                                                 M

                    S          S                     x
           a
     x                                         x
                                                      a
           e                                          e
 By definition of an ellipse;
 PS  PS   ePM
(ii) Show that PS  PS   2a
                         y
                                    P  x, y 
         M                                      M

                    S          S                     x
           a
     x                                         x
                                                      a
           e                                          e
 By definition of an ellipse;
 PS  PS   ePM  ePM 
(ii) Show that PS  PS   2a
                         y
                                    P  x, y 
         M                                      M

                    S          S                     x
           a
     x                                         x
                                                      a
           e                                          e
 By definition of an ellipse;
 PS  PS   ePM  ePM 
            e PM  PM 
               2a 
            e 
               e 
            2a
(ii) Show that PS  PS   2a
                         y
                                    P  x, y 
         M                                      M

                    S          S                     x
           a
     x                                         x
                                                      a
           e                                          e
 By definition of an ellipse;
 PS  PS   ePM  ePM 
            e PM  PM              Exercise 6D; 3, 4, 7, 10, 11a,
               2a 
            e 
                                          12, 14, 19, 21, 26, 29,
               e                              31, 43, 47
            2a

X2 T03 05 rectangular hyperbola (2010)

  • 1.
  • 2.
    Rectangular Hyperbola A hyperbolawhose asymptotes are perpendicular to each other
  • 3.
    Rectangular Hyperbola A hyperbolawhose asymptotes are perpendicular to each other b b   1 a a
  • 4.
    Rectangular Hyperbola A hyperbolawhose asymptotes are perpendicular to each other b b   1 a a b2  a 2 ba
  • 5.
    Rectangular Hyperbola A hyperbola whose asymptotes are perpendicular to each other b b   1 a a b2  a 2 ba  hyperbola has the equation; x2 y2 2  2 1 a a x2  y2  a2
  • 6.
    Rectangular Hyperbola A hyperbola whose asymptotes are perpendicular to each other b b   1 a a b2  a 2 ba  hyperbola has the equation; a 2 e 2  1  a 2 x2 y2 2  2 1 a a x2  y2  a2
  • 7.
    Rectangular Hyperbola A hyperbola whose asymptotes are perpendicular to each other b b   1 a a b2  a 2 ba  hyperbola has the equation; a 2 e 2  1  a 2 x2 y2 e2  1  1 2  2 1 a a e2  2 x2  y2  a2 e 2
  • 8.
    Rectangular Hyperbola A hyperbola whose asymptotes are perpendicular to each other b b   1 a a b2  a 2 ba  hyperbola has the equation; a 2 e 2  1  a 2 x2 y2 e2  1  1 2  2 1 a a e2  2 x2  y2  a2 e 2  eccentricity is 2
  • 9.
    y Y P  x, y  x X
  • 10.
    y Y In order to make the P  x, y  asymptotes the coordinate axes we need to rotate the x curve 45 degrees anticlockwise. X
  • 11.
    y Y In order to make the P  x, y  asymptotes the coordinate axes we need to rotate the x curve 45 degrees anticlockwise. X i.e. P x, y   x  iy is multiplied by cis 45
  • 12.
    y Y In order to make the P  x, y  asymptotes the coordinate axes we need to rotate the x curve 45 degrees anticlockwise. X i.e. P x, y   x  iy is multiplied by cis 45  x  iy cos 45  i sin 45    x  iy  1 1   i   2 2
  • 13.
    y Y In order to make the P  x, y  asymptotes the coordinate axes we need to rotate the x curve 45 degrees anticlockwise. X i.e. P x, y   x  iy is multiplied by cis 45  x  iy cos 45  i sin 45    x  iy  1 1   i   2 2 1   x  iy 1  i  2 1   x  ix  iy  y  2 x y x y   i 2 2
  • 14.
    y Y In order to make the P  x, y  asymptotes the coordinate axes we need to rotate the x curve 45 degrees anticlockwise. X i.e. P x, y   x  iy is multiplied by cis 45  x  iy cos 45  i sin 45   1 i 1  x y x y   x  iy   X  Y  2 2 2 2 1   x  iy 1  i  2 1   x  ix  iy  y  2 x y x y   i 2 2
  • 15.
    y Y In order to make the P  x, y  asymptotes the coordinate axes we need to rotate the x curve 45 degrees anticlockwise. X i.e. P x, y   x  iy is multiplied by cis 45  x  iy cos 45  i sin 45   1 i 1  x y x y   x  iy   X  Y  2 2 2 2 1 x2  y2   x  iy 1  i  XY  2 2 1   x  ix  iy  y  2 x y x y   i 2 2
  • 16.
    y Y In order to make the P  x, y  asymptotes the coordinate axes we need to rotate the x curve 45 degrees anticlockwise. X i.e. P x, y   x  iy is multiplied by cis 45  x  iy cos 45  i sin 45   1 i 1  x y x y   x  iy   X  Y  2 2 2 2 1 x2  y2   x  iy 1  i  XY  2 2 1 a2   x  ix  iy  y  XY  2 2 x y x y   i 2 2
  • 17.
    focus;  ae,0   2a,0 
  • 18.
    focus;  ae,0   2a,0   1  1 i 2a   2 2   a  ai
  • 19.
    focus;  ae,0   2a,0   1  1 i 2a   2 2   a  ai  focus a, a 
  • 20.
    a focus; ae,0  directrix; x e   2a,0  a x 2  1  1 i 2a   2 2   a  ai  focus a, a 
  • 21.
    a focus; ae,0  directrix; x e   2a,0  a x 2  1  1 i 2a  directrices are || to y axis  2 2   when rotated || to y   x  a  ai  focus a, a 
  • 22.
    a focus; ae,0  directrix; x e   2a,0  a x 2  1  1 i 2a  directrices are || to y axis  2 2   when rotated || to y   x  a  ai thus in form x  y  k  0  focus a, a 
  • 23.
    a focus; ae,0  directrix; x e   2a,0  a x 2  1  1 i 2a  directrices are || to y axis  2 2   when rotated || to y   x  a  ai thus in form x  y  k  0  focus a, a  2a Now distance between directrices is 2
  • 24.
    a focus; ae,0  directrix; x e   2a,0  a x 2  1  1 i 2a  directrices are || to y axis  2 2   when rotated || to y   x  a  ai thus in form x  y  k  0  focus a, a  2a Now distance between directrices is 2 a  distance from origin to directrix is 2
  • 25.
    a focus; ae,0  directrix; x e   2a,0  a x 2  1  1 i 2a  directrices are || to y axis  2 2   when rotated || to y   x  a  ai thus in form x  y  k  0  focus a, a  2a Now distance between directrices is 2 a  distance from origin to directrix is 2 00k a  2 2
  • 26.
    a focus; ae,0  directrix; x e   2a,0  a x 2  1  1 i 2a  directrices are || to y axis  2 2   when rotated || to y   x  a  ai thus in form x  y  k  0  focus a, a  2a Now distance between directrices is 2 a  distance from origin to directrix is 2 00k a  2 2 k a k  a
  • 27.
    a focus; ae,0  directrix; x e   2a,0  a x 2  1  1 i 2a  directrices are || to y axis  2 2   when rotated || to y   x  a  ai thus in form x  y  k  0  focus a, a  2a Now distance between directrices is 2 a  distance from origin to directrix is 2 00k a  2 2 k a k  a  directrices are x  y   a
  • 28.
    The rectangular hyperbolawith x and y axes as aymptotes, has the equation; 1 2 xy  a 2 where; foci :  a, a  directrices : x  y   a eccentricity  2
  • 29.
    The rectangular hyperbolawith x and y axes as aymptotes, has the equation; 1 2 xy  a 2 where; foci :  a, a  directrices : x  y   a eccentricity  2 Parametric Coordinates of xy  c 2
  • 30.
    The rectangular hyperbolawith x and y axes as aymptotes, has the equation; 1 2 xy  a 2 where; foci :  a, a  directrices : x  y   a eccentricity  2 Parametric Coordinates of xy  c 2 c x  ct y t
  • 31.
    The rectangular hyperbolawith x and y axes as aymptotes, has the equation; 1 2 xy  a 2 where; foci :  a, a  directrices : x  y   a eccentricity  2 Parametric Coordinates of xy  c 2 c x  ct y t Tangent: x  t 2 y  2ct
  • 32.
    The rectangular hyperbolawith x and y axes as aymptotes, has the equation; 1 2 xy  a 2 where; foci :  a, a  directrices : x  y   a eccentricity  2 Parametric Coordinates of xy  c 2 c x  ct y t Tangent: x  t 2 y  2ct Normal: t 3 x  ty  ct 4  1
  • 33.
    e.g. (i) (1991) The hyperbola H is xy= 4 a) Sketch H showing where H intersects the axis of symmetry.
  • 34.
    e.g. (i) (1991) The hyperbola H is xy= 4 a) Sketch H showing where H intersects the axis of symmetry. y y=x x
  • 35.
    e.g. (i) (1991) The hyperbola H is xy= 4 a) Sketch H showing where H intersects the axis of symmetry. y y=x xy  4 2,2 x2  4 x  2,2 x  2
  • 36.
    e.g. (i) (1991) The hyperbola H is xy= 4 a) Sketch H showing where H intersects the axis of symmetry. y y=x xy  4 2,2 x2  4 x  2,2 x  2  2t , 2  is x  t 2 y  4t b) Show that the tangent at P   t
  • 37.
    e.g. (i) (1991) The hyperbola H is xy= 4 a) Sketch H showing where H intersects the axis of symmetry. y y=x xy  4 2,2 x2  4 x  2,2 x  2  2t , 2  is x  t 2 y  4t b) Show that the tangent at P   t 4 y x dy 4  2 dx x
  • 38.
    e.g. (i) (1991) The hyperbola H is xy= 4 a) Sketch H showing where H intersects the axis of symmetry. y y=x xy  4 2,2 x2  4 x  2,2 x  2  2t , 2  is x  t 2 y  4t b) Show that the tangent at P   t 4 dy 4 y when x  2t ,   x dx 2t 2 dy 4  2 1  2 dx x t
  • 39.
    e.g. (i) (1991) The hyperbola H is xy= 4 a) Sketch H showing where H intersects the axis of symmetry. y y=x xy  4 2,2 x2  4 x  2,2 x  2  2t , 2  is x  t 2 y  4t b) Show that the tangent at P   t 4 dy 4 2 1 y when x  2t ,   y    2  x  2t  x dx 2t 2 t t dy 4  2 1  2 dx x t
  • 40.
    e.g. (i) (1991) The hyperbola H is xy= 4 a) Sketch H showing where H intersects the axis of symmetry. y y=x xy  4 2,2 x2  4 x  2,2 x  2  2t , 2  is x  t 2 y  4t b) Show that the tangent at P   t 4 dy 4 2 1 y when x  2t ,   y    2  x  2t  x dx 2t 2 t t dy 4 1 t 2 y  2t   x  2t  2  2 dx x t x  t 2 y  4t
  • 41.
     2 s,2  c) s  0, s  t , show that the tangents at P and Q 2 2   s intersect at M  4 st , 4    st st
  • 42.
     2 s,2  c) s  0, s  t , show that the tangents at P and Q 2 2   s intersect at M  4 st , 4    st st P : x  t 2 y  4t Q : x  s 2 y  4s
  • 43.
     2 s,2  c) s  0, s  t , show that the tangents at P and Q 2 2   s intersect at M  4 st , 4    st st P : x  t 2 y  4t Q : x  s 2 y  4s t 2  s 2 y  4t  4 s
  • 44.
     2 s,2  c) s  0, s  t , show that the tangents at P and Q 2 2   s intersect at M  4 st , 4    st st P : x  t 2 y  4t Q : x  s 2 y  4s t 2  s 2 y  4t  4 s t  s t  s  y  4t  s  4 y st
  • 45.
     2 s,2  c) s  0, s  t , show that the tangents at P and Q 2 2   s intersect at M  4 st , 4    st st P : x  t 2 y  4t 4t 2 x  4t Q : x  s 2 y  4s st t 2  s 2 y  4t  4 s t  s t  s  y  4t  s  4 y st
  • 46.
     2 s,2  c) s  0, s  t , show that the tangents at P and Q 2 2   s intersect at M  4 st , 4    st st P : x  t 2 y  4t 4t 2 x  4t Q : x  s 2 y  4s st t 2  s y  4t  4 s 2 x 4 st  4t 2  4t 2 st t  s t  s  y  4t  s  4 st 4  y st st
  • 47.
     2 s,2  c) s  0, s  t , show that the tangents at P and Q  2 2  s intersect at M  4 st , 4    st st P : x  t 2 y  4t 4t 2 x  4t Q : x  s 2 y  4s st t 2  s y  4t  4 s 2 x 4 st  4t 2  4t 2 st t  s t  s  y  4t  s  4 st 4  y st st  4 st , 4   M is    st st
  • 48.
    1 d) Suppose thats  , show that the locus of M is a straight t line through the origin, but not including the origin.
  • 49.
    1 d) Suppose thats  , show that the locus of M is a straight t line through the origin, but not including the origin. 4 st 4 x y st st
  • 50.
    1 d) Suppose thats  , show that the locus of M is a straight t line through the origin, but not including the origin. 4 st 4 x y st st 1 s t st  1
  • 51.
    1 d) Suppose thats  , show that the locus of M is a straight t line through the origin, but not including the origin. 4 st 4 x y st st 1 s t st  1 4 x st
  • 52.
    1 d) Suppose thats  , show that the locus of M is a straight t line through the origin, but not including the origin. 4 st 4 x y st st 1 s t st  1 4 y 4 x st st  x
  • 53.
    1 d) Suppose thats  , show that the locus of M is a straight t line through the origin, but not including the origin. 4 st 4 x y st st 1 s t st  1 4 y 4 x st st  x  y  x
  • 54.
    1 d) Suppose thats  , show that the locus of M is a straight t line through the origin, but not including the origin. 4 st 4 x y st st 1 s t st  1 4 y 4 x st st  x 4  y  x  0, thus M  0,0  st
  • 55.
    1 d) Suppose thats  , show that the locus of M is a straight t line through the origin, but not including the origin. 4 st 4 x y st st 1 s t st  1 4 y 4 x st st  x 4  y  x  0, thus M  0,0  st  locus of M is y   x, excluding 0,0 
  • 56.
    (ii) Show thatPS  PS   2a P  x, y  S S x
  • 57.
    (ii) Show thatPS  PS   2a y P  x, y  S S x By definition of an ellipse;
  • 58.
    (ii) Show thatPS  PS   2a y P  x, y  M S S x a x x a e e By definition of an ellipse; PS  PS   ePM
  • 59.
    (ii) Show thatPS  PS   2a y P  x, y  M M S S x a x x a e e By definition of an ellipse; PS  PS   ePM  ePM 
  • 60.
    (ii) Show thatPS  PS   2a y P  x, y  M M S S x a x x a e e By definition of an ellipse; PS  PS   ePM  ePM   e PM  PM   2a   e   e   2a
  • 61.
    (ii) Show thatPS  PS   2a y P  x, y  M M S S x a x x a e e By definition of an ellipse; PS  PS   ePM  ePM   e PM  PM  Exercise 6D; 3, 4, 7, 10, 11a,  2a   e  12, 14, 19, 21, 26, 29,  e  31, 43, 47  2a