Water-soluble Vitamins
R. C. Gupta
Professor and Head
Dept. of Biochemistry
National Institute of Medical Sciences
Jaipur, India
Vitamins:
A heterogeneous group of
organic compounds
Essential for animals and
human beings
Required in very minute
quantities
EMB-RCG
Vitamins do not provide energy
But their dietary intake is essential
They perform some functions vital for
normal health, growth and reproduction
EMB-RCG
Deficiencies of vitamins produce specific
diseases
These can be cured by taking the deficient
vitamins or foods containing the vitamins
EMB-RCG
Several deficiency diseases were
discovered long before the discovery of
the vitamins
In some instances, the treatment was
discovered before the discovery of the
vitamin e.g. scurvy and beriberi
EMB-RCG
Scurvy was common in sailors going on
long voyages
It was debilitating and even fatal
EMB-RCG
A poster on scurvy
James Lind cured scurvy by giving lemons
Vitamin C was discovered much later
Beriberi was common in people whose
staple diet consisted of polished rice
It was cured by giving them rice
polishings; thiamin was discovered later
EMB-RCG
The chemical natures of vitamins were not
known at the time of their discovery
Hence, they were named after the letters
of the alphabet
These names have now been largely
replaced by chemical names
EMB-RCG
Vitamins can be classified into
two groups on the basis of their
solubility:
Water-soluble vitamins
Fat-soluble vitamins
EMB-RCG
Water-soluble vitamins
Soluble in water
Not stored in the body
Excess intake is wasteful
Excess intake doesn’t cause toxicity
EMB-RCG
Water-soluble vitamins
include:
Vitamin B-complex family
Vitamin C
EMB-RCG
B-complex family comprises:
Thiamin
Riboflavin
Niacin
Pantothenic acid
Pyridoxine
Biotin
Folic acid
Cobalamin
EMB-RCG
As water-soluble vitamins are not stored
in the body, they must be taken every day
Losses can occur during cooking as some
of them are heat-labile
EMB-RCG
Some water-soluble vitamins can be
synthesized by intestinal bacteria
If intestinal bacteria are destroyed, e.g. by
antibiotic therapy, extra intake is required
EMB-RCG
Thiamin (vitamin B1) is heat-stable in acidic
medium but not in basic medium
It is oxidized by mild oxidizing agents to
thiochrome which is biologically inactive
It is made up of a substituted pyrimidine
linked by a methylene bridge to substituted
thiazole
Thiamin
Thiamin forms a coenzyme, thiamin
pyrophosphate (TPP)
It is also known as thiamin diphosphate
(TDP)
Functions
Thiamin pyrophosphate
C
C
C CH
CC
CH
‒ CH2 ‒ CH2 ‒ O ‒ P ‒ O ‒ P ‒OH
S
N
N
NH2
Ι
‒ CH2 ‒ N+
ΙΙ ΙΙ
ΙΙ
O O
OHOH
Ι
CH3
H3C‒
TPP is a coenzyme for:
1. Transketolase
2. a-Keto acid dehydrogenases
Transketolase is a coenzyme in the
hexose monophosphate shunt
a-Keto acid dehydrogenases include:
• Pyruvate dehydrogenase
• a-Ketoglutarate dehydrogenase
• Branched-chain a-keto acid
dehydrogenase
Activity of a-keto acid dehydrogenases
is impaired in thiamin deficiency
This can limit the availability of energy
Sources of
thiamin
Yeast
Kidney
FishMeat
Pulses
Liver
Cereals Nuts
In cereals, thiamin is present mainly in the
outer layer of the grain
Removal of the outer layer, e.g. by milling,
causes considerable loss of thiamin
The recommended daily allowance (RDA)
for thiamin is 0.5 mg/1,000 kcal of energy
or 1-1.5 mg/day in adults
The requirement increases in alcoholics
and in hyper-metabolic states e.g. fever,
pregnancy, hyperthyroidism etc
Requirement
People consuming polished rice or refined
wheat flour are prone to thiamin deficiency
Outer layer of the grain is removed while
refining wheat flour or polishing rice
Deficiency
Refined white flour has much less
thiamin than whole wheat flour
Refined white flour Whole wheat flour
Parboiling of rice decreases the loss of
thiamin
Polished rice Parboiled rice
During parboiling, paddy is soaked in warm
water for a few hours and is, then, steam-
dried
Thiamin percolates into the deeper part of
the grain
Polishing of parboiled rice leads to a limited
loss of thiamin
Alcoholics are prone to thiamin deficiency
as alcohol impairs:
• Absorption of thiamin
• Conversion of thiamin into TPP
Deficiency of thiamin
causes beriberi which
affects:
Central nervous system
Cardiovascular system
Gastrointestinal tract
EMB-RCG
Thiamin deficiency causes peripheral
neuritis involving sensory and motor nerves
Sensory involvement leads to hyper-
aesthesia, numbness, tingling and pain
Motor involvement leads to muscular
weakness, sluggish reflexes, ataxia and
paralysis
Central nervous system
The heart muscle becomes weak resulting
in congestive heart failure
This, in turn, causes oedema and ascites
Cardiovascular system
Oedema Ascites
Involvement of gastrointestinal tract
causes:
• Anorexia
• Dyspepsia
• Constipation
Gastrointestinal tract
Oedema is a common feature if cardio-
vascular system is involved
Hence, beriberi mainly involving cardio-
vascular system is known as wet beriberi
Involvement of central nervous system
doesn’t cause oedema
Hence, beriberi mainly involving central
nervous system is known as dry beriberi
Mixed beriberi is more common in which
different systems are involved in varying
degrees
Infantile beriberi can occur when mother is
deficient in thiamin
It usually occurs between two and six
months of age
It is mainly the wet form of beriberi with
pronounced oedema
Vomiting, diarrhoea, hoarseness and
weight loss are common in infantile beriberi
The disease responds promptly to thiamin
administration
Laboratory findings in beriberi are:
• Increased pyruvic acid level in blood
• Decreased thiamin concentration in RBCs
• Decreased transketolase activity in RBCs
Riboflavin was known in the past as
vitamin B2
It is heat-stable in neutral and acidic
medium but not in basic medium
Its aqueous solution is unstable in sunlight
and ultraviolet light
Riboflavin
Chemically, riboflavin is 6,7-dimethyl-9-D-
ribityl isoalloxazine
Riboflavin can be readily reduced to
leucoriboflavin
Riboflavin (6,7-dimethyl-9-D-ribityl isoalloxazine)
H C—3
||
1
2
45
6
7
8 9
10
CH —C—C—C—CH OH2 2
H
|
OH
|
OH
|
OH
|
H
|
H
|
3
NN
N
H C—3 O
NH
O
NH
N
Functions
Riboflavin functions in the
form of two coenzymes:
Flavin
mononucleotide
(FMN)
Flavin adenine
dinucleotide
(FAD)
FMN and FAD can undergo reversible
oxidation and reduction
They participate in a number of oxidation-
reduction reactions as coenzymes
Riboflavin portion of FMN and FAD can
reversibly combine with two hydrogen
atoms
H C—3
||
CH — C — C — C — CH — O — P — OH2 2
H
|
OH
|
OH
|
OH
|
H
|
H
|
NN
N
H C—3 O
NH
O
||
|
OH
H C —3
||
H
NN
N
H
H C —3 O
NH
FMNH2
FMN
AH2
A
CH — C — C — C — CH — O — P — OH2 2
H
|
OH
|
OH
|
OH
|
H
|
H
|
O
||
|
OH
O
O
FMN
FMNH2
H
H
FMN is a:
Constituent of respiratory
chain
Constituent of microsomal
hydroxylase system
Coenzyme for L-amino
acid oxidase
EMB-RCG
HC—3
||
NN
N
HC—3 O
NH
FAD
HC—3
||
N
HC—3 O
NH
H
N
N
H
AH 2
A
N
N
N
N
NH 2
NH 2
H
|
OH
|
OH
|
OH
|
OH
|
H
|
H
|
O
||
CH— C — C — C — CH— O — P — O — P — O — CH222
OH
|
O
||
|
|
N
N
OH
OH
H
H
OH
OH
H
H
H
H
H
H
O
O
N
N
FADH 2
H
|
OH
|
OH
|
OH
|
OH
|
H
|
H
|
O
||
CH— C — C — C — CH— O — P — O — P — O — CH222
OH
|
O
||
O
O
FAD
FADH2
AH2
A
H
H
FAD is a:
Constituent of respiratory
chain
Constituent of microsomal
hydroxylase system
Coenzyme for many
enzymes
EMB-RCG
Some enzymes requiring FAD as a
coenzyme are:
• D-Amino acid oxidase
• Acyl CoA dehydrogenase
• Succinate dehydrogenase
• Glycerol-3-phosphate dehydrogenase
• Xanthine oxidase
• Sphingosine reductase
• Pyruvate dehydrogenase
• a-Ketoglutarate dehydrogenase
Dietary
sources of
riboflavin
Milk Dairy products Eggs
Meat Nuts Leafy vegetables
Kidney Liver
The recommended daily allowance (RDA)
for riboflavin is 0.6 mg/1,000 kcal
Or it is 2 mg/day for adults
Requirement
An isolated deficiency of riboflavin is rare
It is generally combined with other
deficiencies
Deficiency
Angular stomatitis
(fissures at the angles of mouth)
Cheilosis (cracked and swollen lips)
Glossitis
(swollen, painful, magenta-coloured tongue)
Seborrheic dermatitis (rough and scaly skin)
Corneal vascularisation
(growth of blood vessels into the cornea)
Clinical features of deficiency are:
Angular stomatitis and glossitis
Laboratory diagnosis of riboflavin deficiency
is difficult
Serum and urinary riboflavin are low in
severe deficiency
Erythrocyte riboflavin is decreased
The urinary excretion of riboflavin after a
test dose is decreased
Niacin was known in the past as anti-
pellagra factor, pellagra-preventing factor
and vitamin B3
It occurs in two forms, niacin (nicotinic
acid) and niacinamide (nicotinamide)
Niacin
Niacin and niacinamide are equally active
Niacin is converted into niacinamide in the
body
Niacin
(nicotinic acid)
Niacinamide
(nicotinamide)
N N
–COOH –CONH2
Functions
Niacin performs its functions in the
form of two coenzymes:
Nicotinamide
adenine dinucleotide
(NAD)
Nicotinamide
adenine dinucleotide
phosphate (NADP)
Nicotinamide combines with ribose and
phosphoric acid to form a nucleotide
This combines with an adenine nucleotide
to form a dinucleotide
— CONH2
CH — O — P — O — P — O — CH2 2
NN
+
N
NH2
|
N
OH*OH
HH
OHOH
HH
H H HH
OO
N
OH
|
OH
|
O O
|| ||
NAD (in NADP, —OH* is esterified with phosphoric acid)
Nicotinamide adenine dinucleotide (NAD)
— CONH2
CH — O — P — O — P — O — CH2 2
NN
+
N
NH2
|
N
OH*OH
HH
OHOH
HH
H H HH
OO
N
OH
|
OH
|
O O
|| ||
NAD (in NADP, —OH* is esterified with phosphoric acid)
OH
Ι
P
Ι
=‒ OHO
Nicotinamide adenine dinucleotide phosphate
(NADP)
NAD and NADP can undergo reversible
oxidation and reduction
They can act as coenzymes for several
oxido-reductases
CH CHC — CONH2 C — CONH2
N
|
R
+
N
|
R
CH CHCH CH
CH CH2
NAD (or NADP )
+ +
NADH (or NADPH)
AH2 A
+ H
+
CH2CH
N+
NAD and NADP act as coenzymes in
many metabolic pathways such as:
• Glycolysis
• Hexose monophosphate shunt
• Citric acid cycle
• Synthesis of fatty acids and steroids
• Oxidation of fatty acids
• Oxidative deamination of amino acids
NAD generally acts as coenzyme in
catabolic pathways
NADP generally acts as coenzyme in
anabolic pathways
Some enzymes which require NAD as a
coenzyme are:
• Lactate dehydrogenase
• Pyruvate dehydrogenase
• Isocitrate dehydrogenase
• a-Ketoglutarate dehydrogenase
• Malate dehydrogenase
• b-Hydroxyacyl CoA dehydrogenase
• Glutamate dehydrogenase
• IMP dehydrogenase
NAD is also a
constituent of:
Respiratory
chain
Microsomal
hydroxylase
system
Examples of enzymes requiring NADP
as a coenzyme are:
• Glucose-6-phosphate dehydrogenase
• 6-Phosphogluconate dehydrogenase
• b-Ketoacyl CoA reductase
• a,b-Unsaturated acyl CoA reductase
• Squalene synthetase
• Cholesterol 7-a-hydroxylase
• Thioredoxin reductase
• Haem oxygenase
Sources of niacin
Eggs
Fish Tomatoes
Green leafy
vegetables
Milk Meat
Niacin is also synthesized in human beings
from tryptophan
It has been shown that 1 mg of niacin is
synthesized from 60 mg of tryptophan
Pyridoxal phosphate is required as a
coenzyme for synthesis of niacin
Excess of leucine inhibits the conversion
of tryptophan into niacin
The daily requirement for niacin is 6.6
mg/1,000 kcal
Or the adult requirement can be taken as
20 mg/day
Requirement
Deficiency of niacin causes pellagra
Clinical features are stomatitis, glossitis,
diarrhoea, dermatitis and dementia
If untreated, the disease can be fatal
Deficiency
Dermatitis usually affects the exposed
parts of the body
Dermatitis in pellagra
Pellagra is common in people consuming
maize and sorghum as their staple food
These two are poor in niacin and
tryptophan, and rich in leucine
Pantothenic acid was known in the past as
vitamin B5
It is heat-stable in neutral medium but not
in acidic or basic medium
It is not destroyed by oxidizing or reducing
agents
Pantothenic acid
Pantoic acid
Pantothenic acid
b-Alanine
Pantothenic acid is made up of
pantoic acid and b-alanine
Functions
• Coenzyme A
(CoA)
• Acyl carrier
protein (ACP)
Pantothenic acid
performs its
functions as a
constituent of:
Both these contain pantothenic acid in the
form of 4’-phosphopantetheine
Pantothenic acid is first phosphorylated at
C4 of the pantoic acid residue
The product is 4’-phosphopantothenic acid
This combines with cysteine to form 4’-
phosphopantothenyl cysteine
CH — C — CH — C — N — CH — CH —2 2 2 C — N — CH — CH — SH2
CH3
|
H
|
H
|
COOH
|
O
||
O
||
CH3
| ||
OHO
|
O = P — OH
4´-Phosphopantothenic acid Cysteine
4´-Phosphopantothenyl cysteine
|
OH
Decarboxylation of the cysteine residue
converts 4’-phosphopantothenyl cysteine
into 4’-phosphopantetheine
4’-Phosphopantetheine is linked with AMP
to form dephosphocoenzyme A
Ribose moiety of dephosphocoenzyme A is
phosphorylated at C3 to form coenzyme A
N
N
NH2
|
N
OH
H
O
H
H
N
O = P — OH
H
|
|
CH2
|
O = P — OH
CH C CH C N CH CH2 2 2— — — — — — — C — N — CH — CH — SH2 2
CH3
|
H
|
H
|
O
||
O
||
CH3
| |
OH
|
O
|
|
O
O
|
O = P — OH
|
O
Coenzyme A
N
NN
N
O
In ACP, 4’-phosphopantetheine is esterified
with a serine residue of the protein
The –SH group of 4’-phosphopantetheine
remains free
Coenzyme A is also represented as CoA-
SH as its terminal –SH group binds various
compounds
Coenzyme A participates in a variety of
reactions in the metabolism of carbo-
hydrates, lipids and amino acids
Role of Coenzyme A
Examples of reactions requiring
coenzyme A are:
• Oxidative decarboxylation of a-keto
acids
• Activation of fatty acids
• Activation of some amino acids
A number of coenzymes are required in
this multi-step reaction
Coenzyme A is one of them
Oxidative decarboxylation of
a-keto acids
R ‒ C ‒ COOH + CoA‒SH + NAD+
O
‖
R ‒ C ~ S‒CoA + NADH + H+ + CO2
O
‖
a-Keto acid
Acyl CoA
Oxidative decarboxylation
Pyruvate is converted into acetyl CoA by
oxidative decarboxylation
a-Ketoglutarate is converted into succinyl
CoA by oxidative decarboxylation
Before fatty acids can take part in any
reaction, they have to be converted into
their CoA derivatives
This reaction, known as activation of fatty
acids, is catalysed by acyl CoA synthetase
(thiokinase)
Activation of fatty acids
R ‒ CH2 ‒ COOH + CoA‒SH + ATP
R ‒ CH2 ‒ C ~ S‒CoA + AMP + PPi
O
‖
Fatty acid
Acyl CoA
Activation of fatty acid
Some amino acids are converted into their
CoA derivatives before they can be
metabolized
Examples are leucine, isoleucine and
valine
Activation of amino acids
An important role of CoA is to provide
active acetate (acetyl CoA)
Active acetate is required for synthesis of
fatty acids, cholesterol, ketone bodies,
acetylcholine etc
Coenzyme A also forms active succinate
(succinyl CoA)
Active succinate is required for haem
synthesis and for gluconeogenesis from
some amino acids
Pantothenic acid is a constituent of acyl
carrier protein (ACP) also
ACP is a part of the multienzyme complex
which catalyses de novo synthesis of fatty
acids
Role of acyl carrier protein
Pantothenic acid is widely distributed in
animal and plant foods
It is also synthesized by intestinal bacteria
Sources
Dietary sources of
pantothenic acid
LiverKidney Meat
Eggs
Wheat Peas
Sweet
potatoes
Yeast
The recommended daily intake is 10 mg
A smaller intake may be sufficient for
infants and children
Requirement
Deficiency of pantothenic acid has not
been reported in human beings
In animals, deficiency causes loss of
weight, loss of hair, greying of hair,
anaemia and necrosis of adrenal glands
Deficiency
Human deficiency can be produced
experimentally
It leads to neurological and gastrointestinal
disturbances
Pyridoxine was known in the past as
vitamin B6
It consists of three closely related pyridine
derivatives
These are pyridoxine, pyridoxal and
pyridoxamine
All the three are equally active as vitamins
Pyridoxine
CH OH
|
2 CHO
|
CH NH2 2
|
—CH OH2 —CH OH2 —CH OH2HO— HO— HO—
H C—3 H C—3 H C—3
N N N
Pyridoxine Pyridoxal Pyridoxamine
N N N
Pyridoxine, pyridoxal and pyridoxamine
are converted into coenzymes
The conzymes are:
• Pyridoxine phosphate
• Pyridoxal phosphate
• Pyridoxamine phosphate
Functions
Pyridoxine, pyridoxal and pyridoxamine are
phosphorylated by a common enzyme
The three coenzymes are interconvertible
The phosphate group is provided by ATP
The enzyme is pyridoxal kinase
N
HO‒
H3C‒
‒CH2OH
CH2OH
Ι
CH2OH
Ι
HO‒
H3C‒
‒CH2‒O‒P‒OH
+ ATP + ADP
‖
O
OH
Pyridoxine Pyridoxine phosphate
Pyridoxal
kinase
N
I
N
HO‒
H3C‒
‒CH2OH
CHO
I
CHO
I
HO‒
H3C‒
‒CH2‒O‒P‒OH
+ ATP + ADP
‖
O
OH
Pyridoxal Pyridoxal phosphate
Pyridoxal
kinase
N
I
N
HO‒
H3C‒
‒CH2OH
CH2NH2
I
CH2NH2
I
HO‒
H3C‒
‒CH2‒O‒P‒OH
+ ATP + ADP
‖
O
OH
Pyridoxamine Pyridoxamine phosphate
Pyridoxal
kinase
N
I
Vitamin B6 coenzymes are required mainly
in the metabolism of amino acids
Pyridoxal phosphate (PLP) can form a
Schiff base with an amino acid
Schiff base
The amino acid, thus bound, can undergo
various reactions
Ι
‖
Ι
H3C‒
HO‒ ‒CH2‒O‒ P
C‒H
R‒CH‒COOH
N
N
The amino acid bound to pyridoxal
phosphate can undergo:
• Transamination
• Deamination
• Decarboxylation
• Transulphuration
• Desulphydration
Pyridoxal phosphate is also required
in:
• Metabolism of tryptophan
• Synthesis of haem
• Cellular uptake of amino acids
• Formation of g-amino butyric acid
• Glycogenolysis
These reactions are catalysed by specific
transaminases
The amino group of an amino acid is
transferred to an a-keto acid
This results in the formation of a new
amino acid and a new a-keto acid
PLP acts as a carrier of the amino group
Transamination
Transamination reactions are important
in:
• Formation of new amino acids
• Catabolism of amino acids
 Subjects deficient in thiamin retain most of the
test dose in tissues and excrete less in urine
 Measurement of transketolase activity in
erythrocytes can confirm the diagnosis
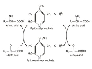
NH2 NH2
| |
R — CH — COOH1
R — C — COOH1
R — CH — COOH2
CHO
|
|
HO—
HO—
H C—3
H C—3
N
N
—CH O — P2—
—CH O — P2—
CH NH2 2
Amino acid
Pyridoxal phosphate
Pyridoxamine phosphate
Amino acid
a-Keto acid
O
||
R — C — COOH2
a-Keto acid
O
||
N
N
Deamination
PLP acts as a coenzyme for:
• Serine deaminase
• Threonine deaminase
Decarboxylation
PLP is a coenzyme for
decarboxylases acting on:
• Glutamate
• Arginine
• Tyrosine
PLP is a coenzyme for cystathionine
synthetase and cystathionine g-lyase
These two transfer sulphur from
homocysteine to serine forming cysteine
Transulphuration
PLP is a coenzyme for cysteine
desulphydrase
This enzyme removes the sulphydryl group
from cysteine
Desulphydration
One of the intermediates in the catabolism
of tryptophan is 3-hydroxykynurenine
This is converted into 3-hydroxyanthranilic
acid by kynureninase, a PLP-dependent
enzyme
Tryptophan metabolism
When PLP is not available, 3-hydroxy-
anthranilic acid is not formed
3-Hydroxykynurenine is spontaneously
converted into xanthurenic acid
Xanthurenic acid, which is an alternate
metabolite, is excreted in urine
Tryptophan 3-Hydroxy-
kynurenine
Kynureninase
3-Hydroxy-
anthranilic acid
Excreted in
urineAcetoacetyl CoA
Xanthurenic
acid
Sponta-
neous
Urinary xanthurenic acid excretion is an
indicator of pyridoxine deficiency
PLP
In the presence of PLP In absence of PLP
One of the enzymes involved in the
synthesis of haem is d-aminolevulinic acid
synthetase
This enzyme requires PLP as a coenzyme
Synthesis of haem
Cellular uptake of L-amino acids is an
active process
This requires the participation of pyridoxal
phosphate
Cellular uptake of amino acids
Gamma-amino butyric acid (GABA) acts as
a neurotransmitter in brain
It is formed by the action of glutamate
decarboxylase on glutamate
PLP is required as a coenzyme in this
reaction
Formation of g-amino butyric acid
Phosphorylase is a key enzyme of glyco-
genolysis
Phosphorylase requires PLP as a
coenzyme
Glycogenolysis
Sources of pyridoxine include animal as
well as plant foods
Another source is bacterial synthesis in
the intestine
Sources
Dietary
sources of
pyridoxine
Leafy
vegetables
Meat
Eggs
Milk
Wheat
Corn Beans
Potato
Bananas
Pyridoxine is mainly required in the
metabolism of amino acids
Its requirement depends upon the protein
intake
An intake of 1.25 mg/100 gm of proteins
has been recommended
Requirement
Deficiency is very rare
It may sometimes occur in infants and
pregnant women
Deficiency may also occur in patients
taking isoniazid, an anti-tuberculosis drug
Isoniazid forms a complex with pyridoxal
and prevents its activation
Deficiency
Clinical features of pyridoxine deficiency
are:
• Nausea
• Vomiting
• Dermatitis
• Microcytic anaemia
• Convulsions
Convulsions are more common in children
while anaemia is more common in adults
Chronic pyridoxine deficiency may cause
hyperhomocysteinaemia
Hyperhomocysteinaemia increases the
risk of cardio-vascular diseases
Urinary excretion of xanthurenic acid is
increased in pyridoxine deficiency
Measuring xanthurenic acid excretion
Giving a test dose of tryptophan
Pyridoxine deficiency can be diagnosed by:
Biotin is also known as anti-egg white
injury factor
When raw egg white is fed to rats, they
develop some symptoms which are
relieved by biotin
Biotin
It has been shown that raw egg white
contains a protein, avidin
Avidin forms a complex with biotin
preventing its intestinal absorption
This leads to a deficiency of biotin
Avidin is inactivated by heat
Therefore, cooked eggs do not hamper
absorption of biotin
Biotin is heat-stable
Biotin is a heterocyclic sulphur-containing
monocarboxylic acid
HN
|
HC
|
H2C
NH
|
CH
|
CH — (CH2)4— COOH
O
||
C
S
Biotin is a coenzyme for carboxylases
It is also known as co-carboxylase
Biotin is firmly bound to the enzyme
‒COOH group of biotin is bonded with
e-NH2 group of a lysine residue of enzyme
Functions
Some carboxylation reactions
requiring biotin are:
Carboxylation of
pyruvate
Carboxylation of
acetyl CoA
Carboxylation of
propionyl CoA
EMB-RCG
This reaction converts pyruvate into oxalo-
acetate
Oxaloacetate is an intermediate in citric
acid cycle
This reaction is important for the normal
operation of citric acid cycle
Carboxylation of pyruvate
CH3
|
C = O
|
COOH
+ CO2 + ATP
Pyruvate
COOH
|
CH2
|
C = O
|
COOH
+ ADP + Pi
Oxaloacetate
Pyruvate
carboxylaseBiotin
Carboxylation converts acetyl CoA into
malonyl CoA
This reaction is important in fatty acid
synthesis
Carboxylation of acetyl CoA
Carboxylation of acetyl CoA
CH3— C ~ S — CoA + CO2 + ATP
CH2— C ~ S — CoA + ADP + Pi
Acetyl CoA
Malonyl CoA
Acetyl CoA
carboxylase
Biotin
O
||
O
||
COOH
|
Propionyl CoA is carboxylated to D-methyl-
malonyl CoA
This is one of the reactions in the gluco-
neogenic pathway for conversion of
propionate into glucose
Carboxylation of propionyl CoA
CH3
CH3
|
|
CH2
H — C — COOH
|
|
O = C ~ S — CoA + CO2 + ATP
O = C ~ S — CoA + ADP + Pi
Propionyl CoA
D-Methylmalonyl CoA
Propionyl CoA carboxylaseBiotin
Bacterial synthesis in the intestine provides
sufficient amounts of biotin
Dietary sources include animal foods as
well as plant foods
Sources
CauliflowerAvocado
Berries
Eggs Meat
Nuts Sources
of biotin
Biotin requirement is not known with
certainty as the intestinal bacteria meet
most of the requirement
The daily intake has been estimated to be
100 to 300 mg
Requirement
Deficiency of biotin is unknown in human
beings
Deficiency may occur in animals when
they are fed raw egg white
Deficiency
Clinical features of biotin deficiency in
animals are:
• Retarded growth
• Loss of weight
• Dermatitis
• Loss of hair
• Muscular inco-ordination
• Paralysis
Folic acid is also known as folacin or
pteroylglutamic acid
It is made up of pteridine, para-amino-
benzoic acid and glutamic acid
Folic acid
H N2 N
N
|
OH
1
2
3
4
N
5
6
7
8
N
9 10
CH — N —2 — C — N — CH
| |
H COOH
COOH
|
CH2
|
CH2
|
O
||
H
|
Pteridine para-Amino-
benzoic acid
Glutamic
acid
Pteroylgutamic acid (folic acid)
Folic acid is found in food as pteroyl
monoglutamate, pteroyl triglutamate and
pteroyl heptaglutamate
The last two are converted into pteroyl
monoglutamate in the intestinal mucosa
Folic acid is heat-stable in neutral medium
Folic acid functions as a coenzyme,
tetrahydrofolate (H4-folate or FH4)
Folate is first reduced to 7,8-dihydrofolate
(H2-folate or FH2)
7,8-Dihydrofolate is, then, reduced to
5,6,7,8-tetrahydrofolate
Functions
Dihydrofolate
Tetrahydrofolate
Folate
Dihydrofolate reductase
Dihydrofolate reductase
NADPH + H+
NADPH + H+
NADP+
NADP+
Amethopterin and aminopterin are
competitive inhibitors of dihydrofolate
reductase
They act as folic acid antagonists or folic
acid anti-metabolites
H4-Folate is a carrier of one-carbon units
The one-carbon unit may be attached to N5
or N10 of H4-folate
The one-carbon units carried by H4-
folate may be:
• Formyl (–CHO) group
• Formate (–HCOO‒) group
• Methyl (–CH3) group
• Methylene (=CH2) group
• Methenyl (=CH) group
• Formimino (–CH=NH) group
H N2 N
N
N
H
5
H
N
10
CH — N —2 — C — N — CH
| |
CHO COOH
COOH
|
CH2
|
CH2
|
O
||
H
|
H N2 N
N
N
|
CH3
5
H
N
10
CH — N —2 — C — N — CH
| |
H COOH
COOH
|
CH2
|
CH2
|
O
||
H
|
N -Methyl-H -folate
5
4
N -Formyl-H -folate (f -H -folate)
10 10
4 4
H N2 N
N
N
|
CH
||
NH
5
H
N
10
CH — N —2 — C — N — CH
| |
H COOH
COOH
|
CH2
|
CH2
|
O
||
H
|
N -Formimino-H -folate (fi -H -folate)5 5
4 4
|
OH
|
OH
|
OH
H4-Folate can:
• Receive one-carbon units from
various compounds
• Transfer one-carbon units to various
compounds
Sources of one-carbon units
Tetrahydrofolate may receive
one-carbon units from:
• Formiminoglutamic acid
• Methionine
• Choline
• Thymine
• Serine
Formiminoglutamic acid (FIGLU) is formed
in the body from histidine:
Histidine → Urocanic acid → → FIGLU
FIGLU can transfer its formimino group to
tetrahydrofolate:
FIGLU+ H4-Folate → fi5-H4-Folate + Glutamate
Methionine, choline and thymine are the
source of methyl groups
Serine can contribute its hydroxymethyl
group
Utilization of one-carbon units
The one-carbon unit carried by tetra-
hydrofolate can be used for synthesis of:
• Purines
• Serine
• Methionine
• Choline
• Thymine
• n-Formylmethionine
Synthesis of purines:
The carbon atoms two and eight of
purines are contributed by f10-H4-
folate
Synthesis of serine:
The hydroxymethyl group for the
conversion of glycine into serine is
provided by N5, N10-methylene-H4-folate
Synthesis of methionine:
The methyl group for the conversion of
homocysteine into methionine is
provided by N5-methyl-H4-folate
Synthesis of choline:
The methyl groups for the synthesis of
choline from serine are provided by N10-
methyl-H4-folate
Synthesis of thymine:
The methyl group of thymine is provided
by N5, N10-methylene-H4-folate
Synthesis of n-formylmethionine:
• The formyl unit of f10-H4-folate converts
methionine into n-formylmethionine
• n-Formylmethionine initiates protein
synthesis in prokaryotes
Green leafy vegetables are the major
source of folic acid
Folic acid is present in several other
vegetables, yeast, meat, fish, milk etc
Intestinal bacteria also synthesize folic
acid
Sources
Sources of folic acid
Green leafy
vegetables
Other
vegetables
Fish MilkMeat
Yeast
Requirement
Infants and children 100 mg/day
Adult men and women 100 mg/day
Pregnant women 300 mg/day
Lactating women 150 mg/day
Folic acid is required for the synthesis of
purines and thymine
Its deficiency impairs nucleic acid synthesis
This leads to growth failure and megalo-
blastic anaemia
Leukopenia can also occur
Deficiency
Megaloblasts in
folic acid
deficiency
Folic acid deficiency during pregnancy can
cause neural tube defects in the baby
This occurs very early in pregnancy
Folic acid supplements are recommended
from conception or even earlier
Neural tube defect
Deficiency can be diagnosed by giving a
test dose of histidine
Urinary excretion of FIGLU is measured
after giving the test dose
The excretion is increased in subjects
deficient in folic acid
Laboratory diagnosis
Vitamin B12 exists in several forms
Cyanocobalamin was the first form
discovered
It was isolated as a red crystalline
compound from liver in 1948
Cobalamin (Vitamin B12)
Vitamin B12 activity was found in
compounds in which the cyanide
group is replaced by:
• Hydroxyl group (hydroxocobalamin)
• Methyl group (methylcobalamin)
• Nitro group (nitrocobalamin)
Vitamin B12 has a complex structure
Molecular formula of cyanocobalamin is
C63H88O14N14PCo
It has four pyrrole rings with a cobalt atom
at the centre (corrin ring)
The tetrapyrrole is heavily reduced and
substituted
The cobalt atom of the corrin ring
forms co-ordination bonds with:
• Nitrogen atoms of four pyrrole rings
• Cyanide group
• 5,6-Dimethylbenzimidazole
5,6-Dimethylbenzimidazole is linked with
ribose-3-phosphate
The phosphate group of ribose-3-
phosphate is linked with the pyrrole ring D
(IV) through amino propanol
N
N
OH
H
O
H
H H
O
H C –3
H C –3
CH OH2
H N – OC – H C –2 2
HN – OC – H C – H C –2 2
|
CH2
|
CH – CH3
|
O
|
O = P – OH
NH2
|
|
CO
|
CH2
|
CH2
|
N
N
H C–3
H C–3
NH2
CH2
|
|
CO
CO
|
|
|
CH2
CH2
|
|
A
C
D BN N
– CH – CO – NH2 2
– CH – CH – CO – NH2 2 2|
CH3
|
CH3
CH3
CH3
– CH3
CH3
NH2
Co+
CN
Vitamin B12 is heat-stable in acidic and
neutral medium
It is present in food in association with
proteins
The ingested vitamin B12 is released from
proteins by gastric hydrochloric acid
Most of the vitamin binds to R-proteins
present in gastric juice and saliva
R-Proteins are synthesized by many cells,
and include transcobalamin I and trans-
cobalamin III
Absorption, transport and storage
Gastric parietal cells secrete intrinsic factor
(IF)
IF is a glycoprotein of 45 kD which can
bind vitamin B12
At low pH, affinity of vitamin B12 for R-
proteins is much higher than that for IF
Most of the vitamin binds to R-proteins in
the stomach
In duodenum, R-proteins are hydrolysed
by pancreatic proteases
Vitamin B12 released from R-proteins is
bound to IF
One IF molecule binds one molecule of
vitamin B12
A specific receptor on ileal mucosa binds
the IF-vitamin B12 complex
The vitamin is taken up by the mucosal
cells and is transferred to plasma
Most of the vitamin is bound to trans-
cobalamin II in plasma
Transcobalamin II-vitamin B12 complex is
taken up by cells which require vitamin B12
These cells take up the complex with the
help of a specific receptor
Transcobalamin II is hydrolysed in the cell
by lysosomal enzymes
Vitamin B12 is released, mostly in the form
of hydroxocobalamin
It is converted into coenzymes, and is
utilized in the cell
A significant amount of vitamin B12 is
stored in the body
In well-nourished adults, vitamin B12 stores
are about 2,000-5,000 mg
About 60% of the vitamin is stored in liver,
mostly bound to transcobalamin III
Vitamin B12 forms coenzymes known as
cobamides (B12 coenzymes)
The coenzymes are formed by replace-
ment of the cyanide or hydroxyl group
The major B12 coenzymes are methyl-
cobalamin and adenosylcobalamin
Functions
In methylcobalamin, the cyanide group is
replaced by a methyl group
In adenosylcobalamin, it is replaced by 5´-
deoxyadenosine
Methylcobalamin Adenosylcobalamin
The cobamides function as coenzymes,
mainly in the transfer of one-carbon units
They complement the function of tetra-
hydrofolate
Besides H4-folate, cobamides are also
involved in transfer of one-carbon units
An example of one such reaction is
synthesis of methionine from homocysteine
Transfer of one-carbon units
H4-FolateN5-Methyl-H4-folate
MethylcobalaminCobalamin
Methionine Homocysteine
H4-Folate released in this reaction returns
to the folate pool
It can again participate in one-carbon
transfer reactions
In cobalamin deficiency, H4-folate cannot
return to folate pool
It is trapped as methyl-H4-folate (known as
folate trap)
Thus, cobamides help by sharing a part of
the load on H4-folate
Adenosylcobalamin acts as a coenzyme
in the conversion of methylmalonyl CoA
into succinyl CoA
Methylmalonyl CoA is formed mainly from
isoleucine, valine and methionine
It is also formed from fatty acids having an
odd number of carbon atoms
Formation of succinyl CoA
CH3
|
HOOC — C — H
|
C ~ S — CoA
Methylmalonyl CoA isomeraseCobamide
L-Methylmalonyl CoA
Succinyl CoA
||
O
|
CH — C ~ S — CoA2
||
O
CH — COOH2
Succinyl CoA may be:
• Converted into glucose or
• Oxidized in citric acid cycle
In vitamin B12 deficiency, methylmalonic
acid is excreted in large amounts in urine
(methylmalonic aciduria)
Rarely, methylmalonic aciduria may be
caused by an inherited defect in
methylmalonyl CoA isomerase
Vitamin B12 cannot be synthesized by any
plant or animal
It is synthesized only by some bacteria
Animals acquire it through bacterial
synthesis in their intestines
Bacteria present in the human intestine
also synthesize vitamin B12
Sources
Dietary
sources of
vitamin B12
Eggs
Liver Kidney Meat
Cheese
Milk
Requirement
Age and sex Requirement
Infants and
children 0.2-1 µg/day
Adult men and
women 1 µg/day
Pregnant and
lactating women 1.5 µg/day
Deficiency
Deficiency of vitamin B12 is historically
associated with pernicious anaemia
The disease is also known as Addison-
Biermer anaemia
It was a fatal disease before liver was
introduced for its treatment in 1926
A prescription for pernicious anaemia in 1936
Liver was believed to have an anti-
pernicious anaemia factor (APAF)
Castle (1930) showed that stomach
produced a compound necessary for
absorption of APAF
He named this compound as the intrinsic
factor, and APAF as the extrinsic factor
The extrinsic factor later turned out to be
vitamin B12
The basic cause of pernicious anaemia
was found to be absence of intrinsic factor
Autoimmune destruction of gastric parietal
cells leads to absence of intrinsic factor
Clinical features of deficiency may take
long to develop
Hepatic stores of vitamin B12 can last
several years
The deficiency affects the haemopoietic
system and the nervous system
The characteristic haematological feature is
megaloblastic anaemia
Large and immature red cell precursors are
released into circulation
This is done to compensate ineffective
haemopoiesis
Involvement of nervous system causes
sub-acute combined degeneration (SACD)
This is degeneration of dorsal and lateral
columns of spinal cord
Postrior column
Lateral column
SACD
Anterior column
Degeraration
Normal
SACD leads to sensory as well as motor
disturbances
Numbness, tingling, sore tongue and
ataxia are common neurological features
Psychiatric abnormalities can also occur
The neuropathy is believed to be due to
accumulation of methylmalonic acid
Deficiency of vitamin B12 is not always due
to pernicious anaemia
It can also occur due to deficient intake or
decreased absorption
Such deficiency causes megaloblastic
anaemia but not neuropathy
Ascorbic acid
Ascorbic acid (vitamin C) prevents a
specific deficiency disease, scurvy
Therefore, it is also known as anti-
scorbutic factor
It is very heat-labile, specially in basic
medium
Chemically, the structure of ascorbic acid
resembles that of hexoses
Like hexoses, it can exist as L- and D-
isomers
Only L-isomer possesses vitamin activity
Ascorbic acid can be readily oxidized to
dehydroascorbic acid
L-Ascorbic acid and L-dehydroascorbic
acid possess equal vitamin activity
C = O
|
C – OH
||
C – OH
|
H – C
|
HO – C – H
|
CH OH2
H – C
C = O
|
|
|
|
HO – C – H
|
CH OH2
C = O
C = O
L-Ascorbic acid L-Dehydroascorbic acid
O O
Vitamin C is synthesized by all plants and
animals via uronic acid pathway
Exceptions are guinea pigs and primates
which require vitamin C from outside
Guinea pigs and primates lack L-gulono-
lactone oxidase
This enzyme converts L-gulonolactone into
L-ascorbic acid
From an average diet, 70 to 95% of the
ingested ascorbic acid is absorbed
However, as the intake increases, the
proportion of absorption decreases
Cells take up vitamin C with the help of
some transporters
The transporters involved in cellular
uptake are:
• Sodium-Vitamin C Transporters (SVCTs)
• Glucose Transporters (GLUTs)
SVCT1 and SVCT2 are active transport
systems for vitamin C
Transport by SVCT1 and SVCT2 is
sodium-linked
GLUT1 and GLUT3 transport vitamin C by
facilitated diffusion
SVCT1 and SVCT2 transport the reduced
form (ascorbic acid) into the cells
GLUT1 and GLUT3 transport the oxidized
form (dehydroascorbic acid) into the cells
SVCT2 transports vitamin C in all the
tissues with the exception of erythrocytes
Tissue distribution
Total amount of ascorbic acid in an
adult is 2-3 gm
It is distributed in all tissues and body
fluids
It is present in high concentrations in
the glands
The highest concentration is found in the
adrenal glands followed by other glands
The concentration in plasma is 0.5-1.5
mg/dl
The vitamin begins to appear in urine when
the plasma level exceeds 1.5 mg/dl
Functions
Ascorbic acid can undergo reversible
oxidation and reduction
Hence, ascorbic acid acts as a coenzyme
in some oxidation-reduction reactions
C = O
|
C – OH
||
C – OH
|
H – C
|
HO – C – H
|
CH OH2
H – C
C = O
|
|
|
|
HO – C – H
|
CH OH2
C = O
C = O
L-Ascorbic acid
(reduced)
L-Dehydroascorbic acid
(oxidized)
O O
A AH2
Ascorbic acid is required
for the synthesis of:
• Collagen
• Carnitine
• Neurotransmitters
• Tyrosine etc
Ascorbic acid acts as a coenzyme for
prolyl hydroxylase and lysyl hydroxylase
These two hydroxylate proline and lysine
residues in the newly synthesized collagen
Hydroxylation allows collagen molecule to
mature and assume its triple helix structure
Hence, it is essential for the formation and
maintenance of:
• Matrix of bones
• Cartilages
• Dentine
• Blood vessels
• Scar tissue etc
Ascorbic acid plays an important role in
post-translational modification of collagen
Ascorbic acid is a coenzyme for e-N-
trimethyl-lysine hydroxylase and g-butyro-
betaine hydroxylase
These two are necessary for synthesis of
carnitine
Ascorbic acid is a coenzyme for dopamine
b-hydroxylase
This enzyme participates in the synthesis
of norepinephrine and epinephrine from
dopamine
Ascorbic acid is a coenzyme for para-
hydroxyphenylpyruvate hydroxylase
Thus, it participates in the catabolism of
tyrosine
Ascorbic acid is a coenzyme for peptidyl-
glycine a-amidating mono-oxygenase
This enzyme adds amide groups to several
peptide hormones
This addition greatly increases their
stability
Ascorbic acid is required for the formation
of bile acids from cholesterol
Cholesterol is converted into 7-a-hydroxy-
cholesterol for bile acid synthesis
This reaction, catalysed by cholesterol 7-a-
hydroxylase, requires ascorbic acid
Ascorbic acid is a reductant, and keeps
iron and copper in reduced state
By converting ferric ions into ferrous ions, it
helps in the intestinal absorption of iron
Ascorbic acid also acts as an anti-oxidant
Along with other anti-oxidants, it helps in
combating oxidative stress
Sources
Indian gooseberry (amla) is the richest
source of vitamin C
All citrus fruits are rich in vitamin C
Several other fruits and vegetables are
good sources
Sources
of
vitamin C
Green leafy
vegetables
CauliflowerTomatoes
Berries
Amla OrangeLemon
Kiwi
Considerable losses of vitamin C can
occur during cooking
Hence, some raw fruits and salads should
be included in the daily diet
Requirement
Age and sex RDA (ICMR, 2010)
Infants 25 mg/day
Children and adults 40 mg/day
Pregnant women 60 mg/day
Lactating women 80 mg/day
Deficiency
Deficiency of vitamin C produces scurvy
A full-blown picture of scurvy is rare these
days
Isolated signs and symptoms of vitamin C
deficiency are still seen
Signs and symptoms of scurvy
include:
• Swollen, spongy and bleeding gums
• Loosening of teeth
• Petechial haemorrhages
• Anaemia
• Retardation of skeletal growth
• Easy fracturability of bones
• Delayed union of fractures
• Delayed healing of wounds
Bleeding gums in vitamin C deficiency
Petechial haemorrhages
Laboratory diagnosis of deficiency can be
made by ascorbic acid saturation test
After a test dose of ascorbic acid, urinary
excretion of ascorbic acid is measured
The excretion is low in subjects deficient in
vitamin C
Water soluble vitamins

Water soluble vitamins

  • 1.
    Water-soluble Vitamins R. C.Gupta Professor and Head Dept. of Biochemistry National Institute of Medical Sciences Jaipur, India
  • 2.
    Vitamins: A heterogeneous groupof organic compounds Essential for animals and human beings Required in very minute quantities EMB-RCG
  • 3.
    Vitamins do notprovide energy But their dietary intake is essential They perform some functions vital for normal health, growth and reproduction EMB-RCG
  • 4.
    Deficiencies of vitaminsproduce specific diseases These can be cured by taking the deficient vitamins or foods containing the vitamins EMB-RCG
  • 5.
    Several deficiency diseaseswere discovered long before the discovery of the vitamins In some instances, the treatment was discovered before the discovery of the vitamin e.g. scurvy and beriberi EMB-RCG
  • 6.
    Scurvy was commonin sailors going on long voyages It was debilitating and even fatal EMB-RCG
  • 7.
  • 8.
    James Lind curedscurvy by giving lemons Vitamin C was discovered much later
  • 9.
    Beriberi was commonin people whose staple diet consisted of polished rice It was cured by giving them rice polishings; thiamin was discovered later EMB-RCG
  • 10.
    The chemical naturesof vitamins were not known at the time of their discovery Hence, they were named after the letters of the alphabet These names have now been largely replaced by chemical names EMB-RCG
  • 11.
    Vitamins can beclassified into two groups on the basis of their solubility: Water-soluble vitamins Fat-soluble vitamins EMB-RCG
  • 12.
    Water-soluble vitamins Soluble inwater Not stored in the body Excess intake is wasteful Excess intake doesn’t cause toxicity EMB-RCG
  • 13.
  • 14.
    B-complex family comprises: Thiamin Riboflavin Niacin Pantothenicacid Pyridoxine Biotin Folic acid Cobalamin EMB-RCG
  • 15.
    As water-soluble vitaminsare not stored in the body, they must be taken every day Losses can occur during cooking as some of them are heat-labile EMB-RCG
  • 16.
    Some water-soluble vitaminscan be synthesized by intestinal bacteria If intestinal bacteria are destroyed, e.g. by antibiotic therapy, extra intake is required EMB-RCG
  • 17.
    Thiamin (vitamin B1)is heat-stable in acidic medium but not in basic medium It is oxidized by mild oxidizing agents to thiochrome which is biologically inactive It is made up of a substituted pyrimidine linked by a methylene bridge to substituted thiazole Thiamin
  • 19.
    Thiamin forms acoenzyme, thiamin pyrophosphate (TPP) It is also known as thiamin diphosphate (TDP) Functions
  • 20.
    Thiamin pyrophosphate C C C CH CC CH ‒CH2 ‒ CH2 ‒ O ‒ P ‒ O ‒ P ‒OH S N N NH2 Ι ‒ CH2 ‒ N+ ΙΙ ΙΙ ΙΙ O O OHOH Ι CH3 H3C‒
  • 21.
    TPP is acoenzyme for: 1. Transketolase 2. a-Keto acid dehydrogenases
  • 22.
    Transketolase is acoenzyme in the hexose monophosphate shunt a-Keto acid dehydrogenases include: • Pyruvate dehydrogenase • a-Ketoglutarate dehydrogenase • Branched-chain a-keto acid dehydrogenase
  • 23.
    Activity of a-ketoacid dehydrogenases is impaired in thiamin deficiency This can limit the availability of energy
  • 24.
  • 25.
    In cereals, thiaminis present mainly in the outer layer of the grain Removal of the outer layer, e.g. by milling, causes considerable loss of thiamin
  • 26.
    The recommended dailyallowance (RDA) for thiamin is 0.5 mg/1,000 kcal of energy or 1-1.5 mg/day in adults The requirement increases in alcoholics and in hyper-metabolic states e.g. fever, pregnancy, hyperthyroidism etc Requirement
  • 27.
    People consuming polishedrice or refined wheat flour are prone to thiamin deficiency Outer layer of the grain is removed while refining wheat flour or polishing rice Deficiency
  • 28.
    Refined white flourhas much less thiamin than whole wheat flour Refined white flour Whole wheat flour
  • 29.
    Parboiling of ricedecreases the loss of thiamin Polished rice Parboiled rice
  • 30.
    During parboiling, paddyis soaked in warm water for a few hours and is, then, steam- dried Thiamin percolates into the deeper part of the grain Polishing of parboiled rice leads to a limited loss of thiamin
  • 31.
    Alcoholics are proneto thiamin deficiency as alcohol impairs: • Absorption of thiamin • Conversion of thiamin into TPP
  • 32.
    Deficiency of thiamin causesberiberi which affects: Central nervous system Cardiovascular system Gastrointestinal tract EMB-RCG
  • 33.
    Thiamin deficiency causesperipheral neuritis involving sensory and motor nerves Sensory involvement leads to hyper- aesthesia, numbness, tingling and pain Motor involvement leads to muscular weakness, sluggish reflexes, ataxia and paralysis Central nervous system
  • 34.
    The heart musclebecomes weak resulting in congestive heart failure This, in turn, causes oedema and ascites Cardiovascular system Oedema Ascites
  • 35.
    Involvement of gastrointestinaltract causes: • Anorexia • Dyspepsia • Constipation Gastrointestinal tract
  • 36.
    Oedema is acommon feature if cardio- vascular system is involved Hence, beriberi mainly involving cardio- vascular system is known as wet beriberi
  • 37.
    Involvement of centralnervous system doesn’t cause oedema Hence, beriberi mainly involving central nervous system is known as dry beriberi Mixed beriberi is more common in which different systems are involved in varying degrees
  • 38.
    Infantile beriberi canoccur when mother is deficient in thiamin It usually occurs between two and six months of age It is mainly the wet form of beriberi with pronounced oedema
  • 39.
    Vomiting, diarrhoea, hoarsenessand weight loss are common in infantile beriberi The disease responds promptly to thiamin administration
  • 40.
    Laboratory findings inberiberi are: • Increased pyruvic acid level in blood • Decreased thiamin concentration in RBCs • Decreased transketolase activity in RBCs
  • 41.
    Riboflavin was knownin the past as vitamin B2 It is heat-stable in neutral and acidic medium but not in basic medium Its aqueous solution is unstable in sunlight and ultraviolet light Riboflavin
  • 42.
    Chemically, riboflavin is6,7-dimethyl-9-D- ribityl isoalloxazine Riboflavin can be readily reduced to leucoriboflavin
  • 43.
    Riboflavin (6,7-dimethyl-9-D-ribityl isoalloxazine) HC—3 || 1 2 45 6 7 8 9 10 CH —C—C—C—CH OH2 2 H | OH | OH | OH | H | H | 3 NN N H C—3 O NH O NH N
  • 44.
    Functions Riboflavin functions inthe form of two coenzymes: Flavin mononucleotide (FMN) Flavin adenine dinucleotide (FAD)
  • 45.
    FMN and FADcan undergo reversible oxidation and reduction They participate in a number of oxidation- reduction reactions as coenzymes Riboflavin portion of FMN and FAD can reversibly combine with two hydrogen atoms
  • 46.
    H C—3 || CH —C — C — C — CH — O — P — OH2 2 H | OH | OH | OH | H | H | NN N H C—3 O NH O || | OH H C —3 || H NN N H H C —3 O NH FMNH2 FMN AH2 A CH — C — C — C — CH — O — P — OH2 2 H | OH | OH | OH | H | H | O || | OH O O FMN FMNH2 H H
  • 47.
    FMN is a: Constituentof respiratory chain Constituent of microsomal hydroxylase system Coenzyme for L-amino acid oxidase EMB-RCG
  • 48.
    HC—3 || NN N HC—3 O NH FAD HC—3 || N HC—3 O NH H N N H AH2 A N N N N NH 2 NH 2 H | OH | OH | OH | OH | H | H | O || CH— C — C — C — CH— O — P — O — P — O — CH222 OH | O || | | N N OH OH H H OH OH H H H H H H O O N N FADH 2 H | OH | OH | OH | OH | H | H | O || CH— C — C — C — CH— O — P — O — P — O — CH222 OH | O || O O FAD FADH2 AH2 A H H
  • 49.
    FAD is a: Constituentof respiratory chain Constituent of microsomal hydroxylase system Coenzyme for many enzymes EMB-RCG
  • 50.
    Some enzymes requiringFAD as a coenzyme are: • D-Amino acid oxidase • Acyl CoA dehydrogenase • Succinate dehydrogenase • Glycerol-3-phosphate dehydrogenase • Xanthine oxidase • Sphingosine reductase • Pyruvate dehydrogenase • a-Ketoglutarate dehydrogenase
  • 51.
    Dietary sources of riboflavin Milk Dairyproducts Eggs Meat Nuts Leafy vegetables Kidney Liver
  • 52.
    The recommended dailyallowance (RDA) for riboflavin is 0.6 mg/1,000 kcal Or it is 2 mg/day for adults Requirement
  • 53.
    An isolated deficiencyof riboflavin is rare It is generally combined with other deficiencies Deficiency
  • 54.
    Angular stomatitis (fissures atthe angles of mouth) Cheilosis (cracked and swollen lips) Glossitis (swollen, painful, magenta-coloured tongue) Seborrheic dermatitis (rough and scaly skin) Corneal vascularisation (growth of blood vessels into the cornea) Clinical features of deficiency are:
  • 55.
  • 56.
    Laboratory diagnosis ofriboflavin deficiency is difficult Serum and urinary riboflavin are low in severe deficiency Erythrocyte riboflavin is decreased The urinary excretion of riboflavin after a test dose is decreased
  • 57.
    Niacin was knownin the past as anti- pellagra factor, pellagra-preventing factor and vitamin B3 It occurs in two forms, niacin (nicotinic acid) and niacinamide (nicotinamide) Niacin
  • 58.
    Niacin and niacinamideare equally active Niacin is converted into niacinamide in the body
  • 59.
  • 60.
    Functions Niacin performs itsfunctions in the form of two coenzymes: Nicotinamide adenine dinucleotide (NAD) Nicotinamide adenine dinucleotide phosphate (NADP)
  • 61.
    Nicotinamide combines withribose and phosphoric acid to form a nucleotide This combines with an adenine nucleotide to form a dinucleotide
  • 62.
    — CONH2 CH —O — P — O — P — O — CH2 2 NN + N NH2 | N OH*OH HH OHOH HH H H HH OO N OH | OH | O O || || NAD (in NADP, —OH* is esterified with phosphoric acid) Nicotinamide adenine dinucleotide (NAD)
  • 63.
    — CONH2 CH —O — P — O — P — O — CH2 2 NN + N NH2 | N OH*OH HH OHOH HH H H HH OO N OH | OH | O O || || NAD (in NADP, —OH* is esterified with phosphoric acid) OH Ι P Ι =‒ OHO Nicotinamide adenine dinucleotide phosphate (NADP)
  • 64.
    NAD and NADPcan undergo reversible oxidation and reduction They can act as coenzymes for several oxido-reductases CH CHC — CONH2 C — CONH2 N | R + N | R CH CHCH CH CH CH2 NAD (or NADP ) + + NADH (or NADPH) AH2 A + H + CH2CH N+
  • 65.
    NAD and NADPact as coenzymes in many metabolic pathways such as: • Glycolysis • Hexose monophosphate shunt • Citric acid cycle • Synthesis of fatty acids and steroids • Oxidation of fatty acids • Oxidative deamination of amino acids
  • 66.
    NAD generally actsas coenzyme in catabolic pathways NADP generally acts as coenzyme in anabolic pathways
  • 67.
    Some enzymes whichrequire NAD as a coenzyme are: • Lactate dehydrogenase • Pyruvate dehydrogenase • Isocitrate dehydrogenase • a-Ketoglutarate dehydrogenase • Malate dehydrogenase • b-Hydroxyacyl CoA dehydrogenase • Glutamate dehydrogenase • IMP dehydrogenase
  • 68.
    NAD is alsoa constituent of: Respiratory chain Microsomal hydroxylase system
  • 69.
    Examples of enzymesrequiring NADP as a coenzyme are: • Glucose-6-phosphate dehydrogenase • 6-Phosphogluconate dehydrogenase • b-Ketoacyl CoA reductase • a,b-Unsaturated acyl CoA reductase • Squalene synthetase • Cholesterol 7-a-hydroxylase • Thioredoxin reductase • Haem oxygenase
  • 70.
    Sources of niacin Eggs FishTomatoes Green leafy vegetables Milk Meat
  • 71.
    Niacin is alsosynthesized in human beings from tryptophan It has been shown that 1 mg of niacin is synthesized from 60 mg of tryptophan
  • 72.
    Pyridoxal phosphate isrequired as a coenzyme for synthesis of niacin Excess of leucine inhibits the conversion of tryptophan into niacin
  • 73.
    The daily requirementfor niacin is 6.6 mg/1,000 kcal Or the adult requirement can be taken as 20 mg/day Requirement
  • 74.
    Deficiency of niacincauses pellagra Clinical features are stomatitis, glossitis, diarrhoea, dermatitis and dementia If untreated, the disease can be fatal Deficiency
  • 75.
    Dermatitis usually affectsthe exposed parts of the body
  • 76.
  • 77.
    Pellagra is commonin people consuming maize and sorghum as their staple food These two are poor in niacin and tryptophan, and rich in leucine
  • 78.
    Pantothenic acid wasknown in the past as vitamin B5 It is heat-stable in neutral medium but not in acidic or basic medium It is not destroyed by oxidizing or reducing agents Pantothenic acid
  • 79.
    Pantoic acid Pantothenic acid b-Alanine Pantothenicacid is made up of pantoic acid and b-alanine
  • 80.
    Functions • Coenzyme A (CoA) •Acyl carrier protein (ACP) Pantothenic acid performs its functions as a constituent of: Both these contain pantothenic acid in the form of 4’-phosphopantetheine
  • 81.
    Pantothenic acid isfirst phosphorylated at C4 of the pantoic acid residue The product is 4’-phosphopantothenic acid This combines with cysteine to form 4’- phosphopantothenyl cysteine
  • 82.
    CH — C— CH — C — N — CH — CH —2 2 2 C — N — CH — CH — SH2 CH3 | H | H | COOH | O || O || CH3 | || OHO | O = P — OH 4´-Phosphopantothenic acid Cysteine 4´-Phosphopantothenyl cysteine | OH
  • 83.
    Decarboxylation of thecysteine residue converts 4’-phosphopantothenyl cysteine into 4’-phosphopantetheine 4’-Phosphopantetheine is linked with AMP to form dephosphocoenzyme A Ribose moiety of dephosphocoenzyme A is phosphorylated at C3 to form coenzyme A
  • 84.
    N N NH2 | N OH H O H H N O = P— OH H | | CH2 | O = P — OH CH C CH C N CH CH2 2 2— — — — — — — C — N — CH — CH — SH2 2 CH3 | H | H | O || O || CH3 | | OH | O | | O O | O = P — OH | O Coenzyme A N NN N O
  • 85.
    In ACP, 4’-phosphopantetheineis esterified with a serine residue of the protein The –SH group of 4’-phosphopantetheine remains free
  • 86.
    Coenzyme A isalso represented as CoA- SH as its terminal –SH group binds various compounds Coenzyme A participates in a variety of reactions in the metabolism of carbo- hydrates, lipids and amino acids Role of Coenzyme A
  • 87.
    Examples of reactionsrequiring coenzyme A are: • Oxidative decarboxylation of a-keto acids • Activation of fatty acids • Activation of some amino acids
  • 88.
    A number ofcoenzymes are required in this multi-step reaction Coenzyme A is one of them Oxidative decarboxylation of a-keto acids
  • 89.
    R ‒ C‒ COOH + CoA‒SH + NAD+ O ‖ R ‒ C ~ S‒CoA + NADH + H+ + CO2 O ‖ a-Keto acid Acyl CoA Oxidative decarboxylation
  • 90.
    Pyruvate is convertedinto acetyl CoA by oxidative decarboxylation a-Ketoglutarate is converted into succinyl CoA by oxidative decarboxylation
  • 91.
    Before fatty acidscan take part in any reaction, they have to be converted into their CoA derivatives This reaction, known as activation of fatty acids, is catalysed by acyl CoA synthetase (thiokinase) Activation of fatty acids
  • 92.
    R ‒ CH2‒ COOH + CoA‒SH + ATP R ‒ CH2 ‒ C ~ S‒CoA + AMP + PPi O ‖ Fatty acid Acyl CoA Activation of fatty acid
  • 93.
    Some amino acidsare converted into their CoA derivatives before they can be metabolized Examples are leucine, isoleucine and valine Activation of amino acids
  • 94.
    An important roleof CoA is to provide active acetate (acetyl CoA) Active acetate is required for synthesis of fatty acids, cholesterol, ketone bodies, acetylcholine etc
  • 95.
    Coenzyme A alsoforms active succinate (succinyl CoA) Active succinate is required for haem synthesis and for gluconeogenesis from some amino acids
  • 96.
    Pantothenic acid isa constituent of acyl carrier protein (ACP) also ACP is a part of the multienzyme complex which catalyses de novo synthesis of fatty acids Role of acyl carrier protein
  • 97.
    Pantothenic acid iswidely distributed in animal and plant foods It is also synthesized by intestinal bacteria Sources
  • 98.
    Dietary sources of pantothenicacid LiverKidney Meat Eggs Wheat Peas Sweet potatoes Yeast
  • 99.
    The recommended dailyintake is 10 mg A smaller intake may be sufficient for infants and children Requirement
  • 100.
    Deficiency of pantothenicacid has not been reported in human beings In animals, deficiency causes loss of weight, loss of hair, greying of hair, anaemia and necrosis of adrenal glands Deficiency
  • 101.
    Human deficiency canbe produced experimentally It leads to neurological and gastrointestinal disturbances
  • 102.
    Pyridoxine was knownin the past as vitamin B6 It consists of three closely related pyridine derivatives These are pyridoxine, pyridoxal and pyridoxamine All the three are equally active as vitamins Pyridoxine
  • 103.
    CH OH | 2 CHO | CHNH2 2 | —CH OH2 —CH OH2 —CH OH2HO— HO— HO— H C—3 H C—3 H C—3 N N N Pyridoxine Pyridoxal Pyridoxamine N N N
  • 104.
    Pyridoxine, pyridoxal andpyridoxamine are converted into coenzymes The conzymes are: • Pyridoxine phosphate • Pyridoxal phosphate • Pyridoxamine phosphate Functions
  • 105.
    Pyridoxine, pyridoxal andpyridoxamine are phosphorylated by a common enzyme The three coenzymes are interconvertible The phosphate group is provided by ATP The enzyme is pyridoxal kinase
  • 106.
    N HO‒ H3C‒ ‒CH2OH CH2OH Ι CH2OH Ι HO‒ H3C‒ ‒CH2‒O‒P‒OH + ATP +ADP ‖ O OH Pyridoxine Pyridoxine phosphate Pyridoxal kinase N I
  • 107.
    N HO‒ H3C‒ ‒CH2OH CHO I CHO I HO‒ H3C‒ ‒CH2‒O‒P‒OH + ATP +ADP ‖ O OH Pyridoxal Pyridoxal phosphate Pyridoxal kinase N I
  • 108.
    N HO‒ H3C‒ ‒CH2OH CH2NH2 I CH2NH2 I HO‒ H3C‒ ‒CH2‒O‒P‒OH + ATP +ADP ‖ O OH Pyridoxamine Pyridoxamine phosphate Pyridoxal kinase N I
  • 109.
    Vitamin B6 coenzymesare required mainly in the metabolism of amino acids Pyridoxal phosphate (PLP) can form a Schiff base with an amino acid
  • 110.
    Schiff base The aminoacid, thus bound, can undergo various reactions Ι ‖ Ι H3C‒ HO‒ ‒CH2‒O‒ P C‒H R‒CH‒COOH N N
  • 111.
    The amino acidbound to pyridoxal phosphate can undergo: • Transamination • Deamination • Decarboxylation • Transulphuration • Desulphydration
  • 112.
    Pyridoxal phosphate isalso required in: • Metabolism of tryptophan • Synthesis of haem • Cellular uptake of amino acids • Formation of g-amino butyric acid • Glycogenolysis
  • 113.
    These reactions arecatalysed by specific transaminases The amino group of an amino acid is transferred to an a-keto acid This results in the formation of a new amino acid and a new a-keto acid PLP acts as a carrier of the amino group Transamination
  • 114.
    Transamination reactions areimportant in: • Formation of new amino acids • Catabolism of amino acids
  • 115.
     Subjects deficientin thiamin retain most of the test dose in tissues and excrete less in urine  Measurement of transketolase activity in erythrocytes can confirm the diagnosis NH2 NH2 | | R — CH — COOH1 R — C — COOH1 R — CH — COOH2 CHO | | HO— HO— H C—3 H C—3 N N —CH O — P2— —CH O — P2— CH NH2 2 Amino acid Pyridoxal phosphate Pyridoxamine phosphate Amino acid a-Keto acid O || R — C — COOH2 a-Keto acid O || N N
  • 116.
    Deamination PLP acts asa coenzyme for: • Serine deaminase • Threonine deaminase
  • 117.
    Decarboxylation PLP is acoenzyme for decarboxylases acting on: • Glutamate • Arginine • Tyrosine
  • 118.
    PLP is acoenzyme for cystathionine synthetase and cystathionine g-lyase These two transfer sulphur from homocysteine to serine forming cysteine Transulphuration
  • 119.
    PLP is acoenzyme for cysteine desulphydrase This enzyme removes the sulphydryl group from cysteine Desulphydration
  • 120.
    One of theintermediates in the catabolism of tryptophan is 3-hydroxykynurenine This is converted into 3-hydroxyanthranilic acid by kynureninase, a PLP-dependent enzyme Tryptophan metabolism
  • 121.
    When PLP isnot available, 3-hydroxy- anthranilic acid is not formed 3-Hydroxykynurenine is spontaneously converted into xanthurenic acid Xanthurenic acid, which is an alternate metabolite, is excreted in urine
  • 122.
    Tryptophan 3-Hydroxy- kynurenine Kynureninase 3-Hydroxy- anthranilic acid Excretedin urineAcetoacetyl CoA Xanthurenic acid Sponta- neous Urinary xanthurenic acid excretion is an indicator of pyridoxine deficiency PLP In the presence of PLP In absence of PLP
  • 123.
    One of theenzymes involved in the synthesis of haem is d-aminolevulinic acid synthetase This enzyme requires PLP as a coenzyme Synthesis of haem
  • 124.
    Cellular uptake ofL-amino acids is an active process This requires the participation of pyridoxal phosphate Cellular uptake of amino acids
  • 125.
    Gamma-amino butyric acid(GABA) acts as a neurotransmitter in brain It is formed by the action of glutamate decarboxylase on glutamate PLP is required as a coenzyme in this reaction Formation of g-amino butyric acid
  • 126.
    Phosphorylase is akey enzyme of glyco- genolysis Phosphorylase requires PLP as a coenzyme Glycogenolysis
  • 127.
    Sources of pyridoxineinclude animal as well as plant foods Another source is bacterial synthesis in the intestine Sources
  • 128.
  • 129.
    Pyridoxine is mainlyrequired in the metabolism of amino acids Its requirement depends upon the protein intake An intake of 1.25 mg/100 gm of proteins has been recommended Requirement
  • 130.
    Deficiency is veryrare It may sometimes occur in infants and pregnant women Deficiency may also occur in patients taking isoniazid, an anti-tuberculosis drug Isoniazid forms a complex with pyridoxal and prevents its activation Deficiency
  • 131.
    Clinical features ofpyridoxine deficiency are: • Nausea • Vomiting • Dermatitis • Microcytic anaemia • Convulsions Convulsions are more common in children while anaemia is more common in adults
  • 132.
    Chronic pyridoxine deficiencymay cause hyperhomocysteinaemia Hyperhomocysteinaemia increases the risk of cardio-vascular diseases
  • 133.
    Urinary excretion ofxanthurenic acid is increased in pyridoxine deficiency Measuring xanthurenic acid excretion Giving a test dose of tryptophan Pyridoxine deficiency can be diagnosed by:
  • 134.
    Biotin is alsoknown as anti-egg white injury factor When raw egg white is fed to rats, they develop some symptoms which are relieved by biotin Biotin
  • 135.
    It has beenshown that raw egg white contains a protein, avidin Avidin forms a complex with biotin preventing its intestinal absorption This leads to a deficiency of biotin
  • 136.
    Avidin is inactivatedby heat Therefore, cooked eggs do not hamper absorption of biotin Biotin is heat-stable
  • 137.
    Biotin is aheterocyclic sulphur-containing monocarboxylic acid HN | HC | H2C NH | CH | CH — (CH2)4— COOH O || C S
  • 138.
    Biotin is acoenzyme for carboxylases It is also known as co-carboxylase Biotin is firmly bound to the enzyme ‒COOH group of biotin is bonded with e-NH2 group of a lysine residue of enzyme Functions
  • 139.
    Some carboxylation reactions requiringbiotin are: Carboxylation of pyruvate Carboxylation of acetyl CoA Carboxylation of propionyl CoA EMB-RCG
  • 140.
    This reaction convertspyruvate into oxalo- acetate Oxaloacetate is an intermediate in citric acid cycle This reaction is important for the normal operation of citric acid cycle Carboxylation of pyruvate
  • 141.
    CH3 | C = O | COOH +CO2 + ATP Pyruvate COOH | CH2 | C = O | COOH + ADP + Pi Oxaloacetate Pyruvate carboxylaseBiotin
  • 142.
    Carboxylation converts acetylCoA into malonyl CoA This reaction is important in fatty acid synthesis Carboxylation of acetyl CoA
  • 143.
    Carboxylation of acetylCoA CH3— C ~ S — CoA + CO2 + ATP CH2— C ~ S — CoA + ADP + Pi Acetyl CoA Malonyl CoA Acetyl CoA carboxylase Biotin O || O || COOH |
  • 144.
    Propionyl CoA iscarboxylated to D-methyl- malonyl CoA This is one of the reactions in the gluco- neogenic pathway for conversion of propionate into glucose Carboxylation of propionyl CoA
  • 145.
    CH3 CH3 | | CH2 H — C— COOH | | O = C ~ S — CoA + CO2 + ATP O = C ~ S — CoA + ADP + Pi Propionyl CoA D-Methylmalonyl CoA Propionyl CoA carboxylaseBiotin
  • 146.
    Bacterial synthesis inthe intestine provides sufficient amounts of biotin Dietary sources include animal foods as well as plant foods Sources
  • 147.
  • 148.
    Biotin requirement isnot known with certainty as the intestinal bacteria meet most of the requirement The daily intake has been estimated to be 100 to 300 mg Requirement
  • 149.
    Deficiency of biotinis unknown in human beings Deficiency may occur in animals when they are fed raw egg white Deficiency
  • 150.
    Clinical features ofbiotin deficiency in animals are: • Retarded growth • Loss of weight • Dermatitis • Loss of hair • Muscular inco-ordination • Paralysis
  • 151.
    Folic acid isalso known as folacin or pteroylglutamic acid It is made up of pteridine, para-amino- benzoic acid and glutamic acid Folic acid
  • 152.
    H N2 N N | OH 1 2 3 4 N 5 6 7 8 N 910 CH — N —2 — C — N — CH | | H COOH COOH | CH2 | CH2 | O || H | Pteridine para-Amino- benzoic acid Glutamic acid Pteroylgutamic acid (folic acid)
  • 153.
    Folic acid isfound in food as pteroyl monoglutamate, pteroyl triglutamate and pteroyl heptaglutamate The last two are converted into pteroyl monoglutamate in the intestinal mucosa Folic acid is heat-stable in neutral medium
  • 154.
    Folic acid functionsas a coenzyme, tetrahydrofolate (H4-folate or FH4) Folate is first reduced to 7,8-dihydrofolate (H2-folate or FH2) 7,8-Dihydrofolate is, then, reduced to 5,6,7,8-tetrahydrofolate Functions
  • 155.
  • 156.
    Amethopterin and aminopterinare competitive inhibitors of dihydrofolate reductase They act as folic acid antagonists or folic acid anti-metabolites
  • 157.
    H4-Folate is acarrier of one-carbon units The one-carbon unit may be attached to N5 or N10 of H4-folate
  • 158.
    The one-carbon unitscarried by H4- folate may be: • Formyl (–CHO) group • Formate (–HCOO‒) group • Methyl (–CH3) group • Methylene (=CH2) group • Methenyl (=CH) group • Formimino (–CH=NH) group
  • 159.
    H N2 N N N H 5 H N 10 CH— N —2 — C — N — CH | | CHO COOH COOH | CH2 | CH2 | O || H | H N2 N N N | CH3 5 H N 10 CH — N —2 — C — N — CH | | H COOH COOH | CH2 | CH2 | O || H | N -Methyl-H -folate 5 4 N -Formyl-H -folate (f -H -folate) 10 10 4 4 H N2 N N N | CH || NH 5 H N 10 CH — N —2 — C — N — CH | | H COOH COOH | CH2 | CH2 | O || H | N -Formimino-H -folate (fi -H -folate)5 5 4 4 | OH | OH | OH
  • 160.
    H4-Folate can: • Receiveone-carbon units from various compounds • Transfer one-carbon units to various compounds
  • 161.
    Sources of one-carbonunits Tetrahydrofolate may receive one-carbon units from: • Formiminoglutamic acid • Methionine • Choline • Thymine • Serine
  • 162.
    Formiminoglutamic acid (FIGLU)is formed in the body from histidine: Histidine → Urocanic acid → → FIGLU FIGLU can transfer its formimino group to tetrahydrofolate: FIGLU+ H4-Folate → fi5-H4-Folate + Glutamate
  • 163.
    Methionine, choline andthymine are the source of methyl groups Serine can contribute its hydroxymethyl group
  • 164.
    Utilization of one-carbonunits The one-carbon unit carried by tetra- hydrofolate can be used for synthesis of: • Purines • Serine • Methionine • Choline • Thymine • n-Formylmethionine
  • 165.
    Synthesis of purines: Thecarbon atoms two and eight of purines are contributed by f10-H4- folate
  • 166.
    Synthesis of serine: Thehydroxymethyl group for the conversion of glycine into serine is provided by N5, N10-methylene-H4-folate
  • 167.
    Synthesis of methionine: Themethyl group for the conversion of homocysteine into methionine is provided by N5-methyl-H4-folate
  • 168.
    Synthesis of choline: Themethyl groups for the synthesis of choline from serine are provided by N10- methyl-H4-folate
  • 169.
    Synthesis of thymine: Themethyl group of thymine is provided by N5, N10-methylene-H4-folate
  • 170.
    Synthesis of n-formylmethionine: •The formyl unit of f10-H4-folate converts methionine into n-formylmethionine • n-Formylmethionine initiates protein synthesis in prokaryotes
  • 171.
    Green leafy vegetablesare the major source of folic acid Folic acid is present in several other vegetables, yeast, meat, fish, milk etc Intestinal bacteria also synthesize folic acid Sources
  • 172.
    Sources of folicacid Green leafy vegetables Other vegetables Fish MilkMeat Yeast
  • 173.
    Requirement Infants and children100 mg/day Adult men and women 100 mg/day Pregnant women 300 mg/day Lactating women 150 mg/day
  • 174.
    Folic acid isrequired for the synthesis of purines and thymine Its deficiency impairs nucleic acid synthesis This leads to growth failure and megalo- blastic anaemia Leukopenia can also occur Deficiency
  • 175.
  • 176.
    Folic acid deficiencyduring pregnancy can cause neural tube defects in the baby This occurs very early in pregnancy Folic acid supplements are recommended from conception or even earlier
  • 177.
  • 178.
    Deficiency can bediagnosed by giving a test dose of histidine Urinary excretion of FIGLU is measured after giving the test dose The excretion is increased in subjects deficient in folic acid Laboratory diagnosis
  • 179.
    Vitamin B12 existsin several forms Cyanocobalamin was the first form discovered It was isolated as a red crystalline compound from liver in 1948 Cobalamin (Vitamin B12)
  • 180.
    Vitamin B12 activitywas found in compounds in which the cyanide group is replaced by: • Hydroxyl group (hydroxocobalamin) • Methyl group (methylcobalamin) • Nitro group (nitrocobalamin)
  • 181.
    Vitamin B12 hasa complex structure Molecular formula of cyanocobalamin is C63H88O14N14PCo It has four pyrrole rings with a cobalt atom at the centre (corrin ring) The tetrapyrrole is heavily reduced and substituted
  • 182.
    The cobalt atomof the corrin ring forms co-ordination bonds with: • Nitrogen atoms of four pyrrole rings • Cyanide group • 5,6-Dimethylbenzimidazole
  • 183.
    5,6-Dimethylbenzimidazole is linkedwith ribose-3-phosphate The phosphate group of ribose-3- phosphate is linked with the pyrrole ring D (IV) through amino propanol
  • 184.
    N N OH H O H H H O H C–3 H C –3 CH OH2 H N – OC – H C –2 2 HN – OC – H C – H C –2 2 | CH2 | CH – CH3 | O | O = P – OH NH2 | | CO | CH2 | CH2 | N N H C–3 H C–3 NH2 CH2 | | CO CO | | | CH2 CH2 | | A C D BN N – CH – CO – NH2 2 – CH – CH – CO – NH2 2 2| CH3 | CH3 CH3 CH3 – CH3 CH3 NH2 Co+ CN
  • 185.
    Vitamin B12 isheat-stable in acidic and neutral medium It is present in food in association with proteins
  • 186.
    The ingested vitaminB12 is released from proteins by gastric hydrochloric acid Most of the vitamin binds to R-proteins present in gastric juice and saliva R-Proteins are synthesized by many cells, and include transcobalamin I and trans- cobalamin III Absorption, transport and storage
  • 187.
    Gastric parietal cellssecrete intrinsic factor (IF) IF is a glycoprotein of 45 kD which can bind vitamin B12 At low pH, affinity of vitamin B12 for R- proteins is much higher than that for IF
  • 188.
    Most of thevitamin binds to R-proteins in the stomach In duodenum, R-proteins are hydrolysed by pancreatic proteases Vitamin B12 released from R-proteins is bound to IF
  • 189.
    One IF moleculebinds one molecule of vitamin B12 A specific receptor on ileal mucosa binds the IF-vitamin B12 complex The vitamin is taken up by the mucosal cells and is transferred to plasma
  • 190.
    Most of thevitamin is bound to trans- cobalamin II in plasma Transcobalamin II-vitamin B12 complex is taken up by cells which require vitamin B12 These cells take up the complex with the help of a specific receptor
  • 192.
    Transcobalamin II ishydrolysed in the cell by lysosomal enzymes Vitamin B12 is released, mostly in the form of hydroxocobalamin It is converted into coenzymes, and is utilized in the cell
  • 193.
    A significant amountof vitamin B12 is stored in the body In well-nourished adults, vitamin B12 stores are about 2,000-5,000 mg About 60% of the vitamin is stored in liver, mostly bound to transcobalamin III
  • 194.
    Vitamin B12 formscoenzymes known as cobamides (B12 coenzymes) The coenzymes are formed by replace- ment of the cyanide or hydroxyl group The major B12 coenzymes are methyl- cobalamin and adenosylcobalamin Functions
  • 195.
    In methylcobalamin, thecyanide group is replaced by a methyl group In adenosylcobalamin, it is replaced by 5´- deoxyadenosine
  • 196.
  • 197.
    The cobamides functionas coenzymes, mainly in the transfer of one-carbon units They complement the function of tetra- hydrofolate
  • 198.
    Besides H4-folate, cobamidesare also involved in transfer of one-carbon units An example of one such reaction is synthesis of methionine from homocysteine Transfer of one-carbon units
  • 199.
    H4-FolateN5-Methyl-H4-folate MethylcobalaminCobalamin Methionine Homocysteine H4-Folate releasedin this reaction returns to the folate pool It can again participate in one-carbon transfer reactions
  • 200.
    In cobalamin deficiency,H4-folate cannot return to folate pool It is trapped as methyl-H4-folate (known as folate trap) Thus, cobamides help by sharing a part of the load on H4-folate
  • 201.
    Adenosylcobalamin acts asa coenzyme in the conversion of methylmalonyl CoA into succinyl CoA Methylmalonyl CoA is formed mainly from isoleucine, valine and methionine It is also formed from fatty acids having an odd number of carbon atoms Formation of succinyl CoA
  • 202.
    CH3 | HOOC — C— H | C ~ S — CoA Methylmalonyl CoA isomeraseCobamide L-Methylmalonyl CoA Succinyl CoA || O | CH — C ~ S — CoA2 || O CH — COOH2
  • 203.
    Succinyl CoA maybe: • Converted into glucose or • Oxidized in citric acid cycle
  • 204.
    In vitamin B12deficiency, methylmalonic acid is excreted in large amounts in urine (methylmalonic aciduria) Rarely, methylmalonic aciduria may be caused by an inherited defect in methylmalonyl CoA isomerase
  • 205.
    Vitamin B12 cannotbe synthesized by any plant or animal It is synthesized only by some bacteria Animals acquire it through bacterial synthesis in their intestines Bacteria present in the human intestine also synthesize vitamin B12 Sources
  • 206.
  • 207.
    Requirement Age and sexRequirement Infants and children 0.2-1 µg/day Adult men and women 1 µg/day Pregnant and lactating women 1.5 µg/day
  • 208.
    Deficiency Deficiency of vitaminB12 is historically associated with pernicious anaemia The disease is also known as Addison- Biermer anaemia It was a fatal disease before liver was introduced for its treatment in 1926
  • 209.
    A prescription forpernicious anaemia in 1936
  • 210.
    Liver was believedto have an anti- pernicious anaemia factor (APAF) Castle (1930) showed that stomach produced a compound necessary for absorption of APAF He named this compound as the intrinsic factor, and APAF as the extrinsic factor
  • 211.
    The extrinsic factorlater turned out to be vitamin B12 The basic cause of pernicious anaemia was found to be absence of intrinsic factor Autoimmune destruction of gastric parietal cells leads to absence of intrinsic factor
  • 212.
    Clinical features ofdeficiency may take long to develop Hepatic stores of vitamin B12 can last several years The deficiency affects the haemopoietic system and the nervous system
  • 213.
    The characteristic haematologicalfeature is megaloblastic anaemia Large and immature red cell precursors are released into circulation This is done to compensate ineffective haemopoiesis
  • 215.
    Involvement of nervoussystem causes sub-acute combined degeneration (SACD) This is degeneration of dorsal and lateral columns of spinal cord
  • 216.
  • 217.
    SACD leads tosensory as well as motor disturbances Numbness, tingling, sore tongue and ataxia are common neurological features Psychiatric abnormalities can also occur The neuropathy is believed to be due to accumulation of methylmalonic acid
  • 218.
    Deficiency of vitaminB12 is not always due to pernicious anaemia It can also occur due to deficient intake or decreased absorption Such deficiency causes megaloblastic anaemia but not neuropathy
  • 219.
    Ascorbic acid Ascorbic acid(vitamin C) prevents a specific deficiency disease, scurvy Therefore, it is also known as anti- scorbutic factor It is very heat-labile, specially in basic medium
  • 220.
    Chemically, the structureof ascorbic acid resembles that of hexoses Like hexoses, it can exist as L- and D- isomers Only L-isomer possesses vitamin activity
  • 221.
    Ascorbic acid canbe readily oxidized to dehydroascorbic acid L-Ascorbic acid and L-dehydroascorbic acid possess equal vitamin activity
  • 222.
    C = O | C– OH || C – OH | H – C | HO – C – H | CH OH2 H – C C = O | | | | HO – C – H | CH OH2 C = O C = O L-Ascorbic acid L-Dehydroascorbic acid O O
  • 223.
    Vitamin C issynthesized by all plants and animals via uronic acid pathway Exceptions are guinea pigs and primates which require vitamin C from outside Guinea pigs and primates lack L-gulono- lactone oxidase This enzyme converts L-gulonolactone into L-ascorbic acid
  • 224.
    From an averagediet, 70 to 95% of the ingested ascorbic acid is absorbed However, as the intake increases, the proportion of absorption decreases
  • 225.
    Cells take upvitamin C with the help of some transporters The transporters involved in cellular uptake are: • Sodium-Vitamin C Transporters (SVCTs) • Glucose Transporters (GLUTs)
  • 226.
    SVCT1 and SVCT2are active transport systems for vitamin C Transport by SVCT1 and SVCT2 is sodium-linked GLUT1 and GLUT3 transport vitamin C by facilitated diffusion
  • 227.
    SVCT1 and SVCT2transport the reduced form (ascorbic acid) into the cells GLUT1 and GLUT3 transport the oxidized form (dehydroascorbic acid) into the cells SVCT2 transports vitamin C in all the tissues with the exception of erythrocytes
  • 228.
    Tissue distribution Total amountof ascorbic acid in an adult is 2-3 gm It is distributed in all tissues and body fluids It is present in high concentrations in the glands
  • 229.
    The highest concentrationis found in the adrenal glands followed by other glands The concentration in plasma is 0.5-1.5 mg/dl The vitamin begins to appear in urine when the plasma level exceeds 1.5 mg/dl
  • 230.
    Functions Ascorbic acid canundergo reversible oxidation and reduction Hence, ascorbic acid acts as a coenzyme in some oxidation-reduction reactions
  • 231.
    C = O | C– OH || C – OH | H – C | HO – C – H | CH OH2 H – C C = O | | | | HO – C – H | CH OH2 C = O C = O L-Ascorbic acid (reduced) L-Dehydroascorbic acid (oxidized) O O A AH2
  • 232.
    Ascorbic acid isrequired for the synthesis of: • Collagen • Carnitine • Neurotransmitters • Tyrosine etc
  • 233.
    Ascorbic acid actsas a coenzyme for prolyl hydroxylase and lysyl hydroxylase These two hydroxylate proline and lysine residues in the newly synthesized collagen Hydroxylation allows collagen molecule to mature and assume its triple helix structure
  • 234.
    Hence, it isessential for the formation and maintenance of: • Matrix of bones • Cartilages • Dentine • Blood vessels • Scar tissue etc Ascorbic acid plays an important role in post-translational modification of collagen
  • 235.
    Ascorbic acid isa coenzyme for e-N- trimethyl-lysine hydroxylase and g-butyro- betaine hydroxylase These two are necessary for synthesis of carnitine
  • 236.
    Ascorbic acid isa coenzyme for dopamine b-hydroxylase This enzyme participates in the synthesis of norepinephrine and epinephrine from dopamine
  • 237.
    Ascorbic acid isa coenzyme for para- hydroxyphenylpyruvate hydroxylase Thus, it participates in the catabolism of tyrosine
  • 238.
    Ascorbic acid isa coenzyme for peptidyl- glycine a-amidating mono-oxygenase This enzyme adds amide groups to several peptide hormones This addition greatly increases their stability
  • 239.
    Ascorbic acid isrequired for the formation of bile acids from cholesterol Cholesterol is converted into 7-a-hydroxy- cholesterol for bile acid synthesis This reaction, catalysed by cholesterol 7-a- hydroxylase, requires ascorbic acid
  • 240.
    Ascorbic acid isa reductant, and keeps iron and copper in reduced state By converting ferric ions into ferrous ions, it helps in the intestinal absorption of iron
  • 241.
    Ascorbic acid alsoacts as an anti-oxidant Along with other anti-oxidants, it helps in combating oxidative stress
  • 242.
    Sources Indian gooseberry (amla)is the richest source of vitamin C All citrus fruits are rich in vitamin C Several other fruits and vegetables are good sources
  • 243.
  • 244.
    Considerable losses ofvitamin C can occur during cooking Hence, some raw fruits and salads should be included in the daily diet
  • 245.
    Requirement Age and sexRDA (ICMR, 2010) Infants 25 mg/day Children and adults 40 mg/day Pregnant women 60 mg/day Lactating women 80 mg/day
  • 246.
    Deficiency Deficiency of vitaminC produces scurvy A full-blown picture of scurvy is rare these days Isolated signs and symptoms of vitamin C deficiency are still seen
  • 247.
    Signs and symptomsof scurvy include: • Swollen, spongy and bleeding gums • Loosening of teeth • Petechial haemorrhages • Anaemia • Retardation of skeletal growth • Easy fracturability of bones • Delayed union of fractures • Delayed healing of wounds
  • 248.
    Bleeding gums invitamin C deficiency
  • 249.
  • 250.
    Laboratory diagnosis ofdeficiency can be made by ascorbic acid saturation test After a test dose of ascorbic acid, urinary excretion of ascorbic acid is measured The excretion is low in subjects deficient in vitamin C